Біржові індекси як основні індикатори стану фондового ринку

  • Вид работы:
    Реферат
  • Предмет:
    Банковское дело
  • Язык:
    Русский
    ,
    Формат файла:
    MS Word
    536,90 kb
  • Опубликовано:
    2010-03-20
Вы можете узнать стоимость помощи в написании студенческой работы.
Помощь в написании работы, которую точно примут!

Біржові індекси як основні індикатори стану фондового ринку

ЗМІСТ

Вступ

1. Основні світові біржові індекси, види та суть

2. Еволюція та сучасні тенденції фондових індексів в Україні

3. Сучасні стан та фактори, які впливають на котирування світових фондових індексів

Висновок

Список використаних джерел та літератури

Вступ

При зіставленні будь-яких даних, що характеризують економічні явища чи процес у часі й у просторі, широко використовуються відносні статистичні показники - індекси. Вони дозволяють розрахувати і порівняти складні соціально-економічні явища, які складаються з безпосередньо непорівнянних елементів. Індекси засновані на звітних і базисних даних у залежності від відношення показників до змісту дослідження.

При аналізі своєї діяльності фірма проводить дослідження і фіксує висновок про фактори, які впливають на її роботу. Використання індексів дозволяє установити кількісні взаємозв'язки між значимими для фірми показниками, що приводяться до деякого загального знаменника, який робить їх порівнянними. Для аналізу загального руху курсів цінних паперів у динаміці застосовують біржові індикатори та індекси.

Інвестори часто порівнюють середні індикатори або індекси на певну дату з метою визначення відносної сили або слабкості ринку. Серед показників найвідомішими є індекс Доу Джонса, який розраховують спеціалісти видавничого дому «Доу Джонс», індекс «Ніккей» Токійської фондової біржі, ФАЦ Франкфуртської фондової біржі, індекси «Файненшл Таймс» і «Рейтер» — Лондонської. Найвідоміший індикатор — це середня Доу Джонса для промислових акцій (Dow Jones Industrial Average — DJIA). Його часто називають промисловим індексом Доу Джонса, який складається з курсів 30 випусків акцій. Вони відібрані на підставі високої оцінки ринком і поширення серед широкого кола власників. Ця група складається з першокласних промислових акцій. Як приклад можна навести такі компанії, як General Electric Co., Texas Co., General Motors Corp., Exxon Corp., Procter & Gamble Co., Dupont Co., Shevron Corp., Coca-Cola Co., Boeing Co., Walt Disney Co., McDonald’s Corp., Philip Morris Corp., Alcoa.

1. Основні світові біржові індекси, види та суть

Індекси Dow Jones. 26 травня 1898 один із засновників американської Dow Jones Company і перший редактор Wall Street Journal Чарльз Доу (Charles H. Dow) придумав чергове нововведення. Крім введеного ним раніше біржового індексу - "залізничний середній" (Dow Jones Railroad Average) він запропонував використовувати ще один - "промисловий" (Dow Jones Industrial Average, DJIA).

Сьогодні акції є повсякденним інвестиційним інструментом у руках навіть самих консервативних інвесторів. Коло любителів біржової гри розширився з жменьки кланових груп з Уолл-Стріт до мільйонів представників середнього класу. А завдяки мережевим технологіям в "біржову рулетку" залучається все більше число гравців. Свіжа й достовірна інформація про стан ринку стала доступною практично кожному. А як швидко оцінити загальний напрямок ринку? У першу чергу дивляться на біржові індекси та їх динаміку. Сучасний фондовий ринок з його незліченними індикаторами (Dow Jones Averages, Nasdaq, NYSE Index, S & P 500, Wilshire 5000, Nikkei, DAX ...) і їх різновидами став буденністю. Але тоді, в кінці XIX століття, індекс Доу Джонса сприймався як промінь світла в темному царстві. Сто з гаком років тому навіть пропаленим ділкам з Уолл-стріта було не під силу розібратися у щоденній плутанині курсів і визначити тенденцію ринку - чи рухається він вгору, вниз або просто топчеться на місці.

З того часу одним з найпопулярніших біржових індикаторів у США залишається "промисловий середній" (Dow Jones Industrial Average) з сімейства індексів Dow Jones Averages (DJA). Акції хоча б однієї із тридцяти його промислових компаній, як правило, знаходяться в портфелі, який себе поважає індивідуального або інституційного інвестора. І не просто так - адже всі акції цієї тридцятки складають приблизно п'яту частину восьмітрілліонной вартості акцій всіх американських компаній і близько чверті всіх акцій, що котируються на Нью-Йоркській фондовій біржі. Прагнучи створити порядок з хаосу, 3 липня 1884 Чарльз Доу доповів громадськості про перший з сімейства своїх ринкових індикаторів у журналі "Customer" s Afternoon Letter "- попередника" The Wall Street Journal ". Оскільки група складових індекс акцій включала в себе дев'ять залізничних і дві промислові компанії, то перший індекс Доу був названий "залізничним" (Dow Jones Railroad Average). Спочатку індекс розраховувався як середнє арифметичне всіх вхідних у нього акцій. Наприклад, у той далекий день він склав 69.93 пункту - результат ділення сукупної вартості всіх акцій (769.23) на кількість компаній (11). Аналогічно визначався і "промисловий середній" (Dow Jones Industrial Average, DJIA), введену навесні 1896 З тих пір ця шкільна арифметика практично не змінилася. Але сама ідея, що індекс можна використовувати для розрізнення довгострокових трендів фондового ринку від короткострокових флуктуацій, заслуговує на повагу. "Для того, щоб розрізнити морський приплив і відлив, - говорив Доу, - можна встромляти палички в пісок, що на тому місці, де закінчує свій біг хвиля. Аналогічно, за максимумів і мінімумів індикаторів можна розрізняти" межвежьі "і" бичачі "тенденції ринку". Індекс Доу виявився простою і зручною точкою відліку для порівняння окремих акцій з курсом ринку. В інвестора з'явилася можливість зіставляти ринок з іншими індикаторами стану економіки. З'явилася нова тема для розмови.

З 7 жовтня 1896 Wall Street Journal став щодня публікувати промислового значення індексу, що містить у той час акції дюжини компаній, і практика нерегулярної біржової статистики була успішно завершена. У 1916 р. DJIA доповнився акціями ще восьми компаній, а 12 років по тому вже налічував 30 компаній, що ми й маємо сьогодні. У тому ж 1928-го індекс став розраховуватися з використанням спеціального множника. Введення останнього повинно було припинити перекручування, викликані дробленням акцій компаній або заміною одних акцій на інші. Але за звичкою цей індекс до цих пір називають "середнім" (average). Індикатор, що складається з акцій комунальних компаній, Dow Jones Utility Average, був придуманий в 1929 р. вже через понад чверть століття після смерті Чарльза Доу. Спочатку цей індекс включав акції 20 компаній, потім був урізаний до 15, і до цих пір його більше не чіпали. Оскільки "залізничний" індекс став містити акції авіакомпаній і автомобільних вантажоперевізників, то в 1970 р. його було вирішено перейменувати в "індекс транспортних компаній" (20 Transportations Average). Отже, нині розклад такий: показник 30 Industrials або DJIA вважається найбільш важливим, 20 Transportations і 15 Utilities - всі разом вони складають четвертий індекс під назвою 65 Dow Jones Composite Average. Протягом більш ніж вікову історію складу Dow Jones Industrial Average значно змінювався - різні компанії то потрапляли в нього, то зникали геть. Тільки General Electric незмінно залишався на місці. До оновленого складу DJIA 1 листопада 1999 крім Home Depot і SBC Communications увійшли Intel і Microsoft, що котируються також і на ринку NASDAQ. У результаті сьогодні ми маємо наступний список "тридцятки": Alcoa, American Express, AT & T, Boeing, Caterpillar, Citigroup, Coca-Cola, DuPont, Eastman Kodak, Exxon Mobil, General Electric, General Motors, Home Depot, Honeywell International, Hewlett-Packard, IBM, Intel, International Paper, JP Morgan, Johnson & Johnson, McDonald's, Merck, Microsoft, Minnesota Mining & Manufacturing, Philip Morris, Procter & Gamble, SBC Communications, United Technologies, Wal-Mart Stores, Walt Disney. Промисловий індекс (Industrial Average) - це усереднені ціни перерахованих вище акцій. Але якщо якась із цих компаній оголошує дроблення акцій (stock split) або виплату дивідендів, то так званий поточний дільник - current divisor - зменшується.

З 1997 року на індекс Dow Jones з'явилися ф'ючерсні контракти в Чікаго. Часто DJIA критикують за те, що дорогі акції (наприклад, IBM) надають більший вплив на індекс, ніж дешеві (наприклад, USX). До того ж деякі інвестори віддають перевагу більш широкий вибір акцій, ніж складений з акцій 30 або 65 компаній. Але їм є з чого вибирати - у біржових індексах не бракує. Індекс "Standard & Poor's" (S & P). Цей індекс публікується незалежною компанією Standard & Poor's. Він зазвичай складається у двох варіантах - по акціях 500 корпорацій і по акціях 100 корпорацій. S & P 500 являє собою зважений за ринковою вартістю індекс акцій 500 корпорацій, які представлені в ньому в наступній пропорції: 400 промислових корпорацій, 20 транспортних, 40 фінансових і 40 комунальних компаній. У нього включені в основному акції компаній, зареєстрованих на Нью-йоркській фондовій біржі, однак присутні також акції деяких корпорацій, які котируються на Американській фондовій біржі й у позабіржовому обороті. Індекс представляє близько 80% ринкової вартості всіх випусків, що котируються на Нью-йоркській фондовій біржі. Цей індекс більш складний у порівнянні з індексом Доу-Джонса, але він вважається також більш точним в силу того, що в ньому представлені акції більшого числа корпорацій та акції кожної корпорації зважуються на величину вартості всіх акцій, що знаходяться в руках акціонерів. Ф'ючерси і опціони по ньому продаються на Чиказької товарної біржі. S & P 100 обчислюється на тій же основі, що й індекс по акціях 500 корпорацій, але складається з акцій корпорацій, по яких існує зареєстровані опціони на Чиказької біржі опціонів. В основному це промислові корпорації.

Існують також інші індекси сімейства Standard & Poor's: S & P Europe 350, S & P Latin America 40, S & P Asia Pacific 100, S & P MidCap 400, S & P SmallCap 600, S & P REIT Composite, S & P / BARRA Growth & Value, S & P / TOPIX 150, S & P / TSE 60, S & P / TSE Canadian MidCap, S & P / TSE Canadian SmallCap.

NASDAQ індекси. Історія NASDAQ веде відлік з 8 лютого 1971 р., з дня її перших офіційних торгів. NASDAQ - це автоматизована система роздрібної торгівлі цінними паперами, буквальний переклад назви "автоматизоване котирування Національної асоціації торговців цінними паперами" - National Association of Securities Dealers Automated Quotation - "NASDAQ". У 1994 р. NASDAQ за середньорічним обсягом торгів обійшла найбільшу і престижну Нью-йоркську фондову біржу. А злиття NASD і AMEX, що сталося 4 роки по тому, ще більше зміцнило позиції освіченої Nasdaq Amex Market Group. Для оцінки стану ринку наздаковци придумали цілу серію індексів:

1.   Nasdaq Composite - узагальнюючий індекс, який враховує акції всіх майже 5 тис. компаній (як американських, так і закордонних), включених у лістинг NASDAQ. Акції будь-якої з них впливають на індекс пропорційно своєї ринкової вартості. Остання розраховується дуже просто: загальна кількість акцій компанії XYZ множиться на поточну ринкову вартість однієї акції XYZ.

2.   Індекс Nasdaq National Market Composite аналогічний Nasdaq Composite з тією різницею, що складені на основі акцій з лістингу Національного ринку - однієї з двох частин ринку NASDAQ.

3.   Індекс Nasdaq-100 складають нефінансові найбільші американські та іноземні компанії, що входять в лістинг NASDAQ, - виробники комп'ютерного "заліза" та "софту", телекомунікаційні компанії, роздрібні та оптові торгові фірми, а також компанії, пов'язані з біотехнологією. (До речі, компаній неамериканського походження на NASDAQ більше, ніж на AMEX і NYSE разом узятих.) Спочатку головним критерієм потрапляння у верхні рядки індексу був вага компанії, виражений у доларах США, - ринкова капіталізація, але в грудні 1998 р. була пророблена хитра "перебалансіровка", за якої ринкова капіталізація кожної компанії вже множилась на якийсь щокварталу переглядається ваговий коефіцієнт. Результатом цього нововведення, на думку наздаковцев, повинна була стати більш досконала диверсифікація. У результаті, наприклад, Microsoft поступається Cisco Systems, хоча за капіталізацією Microsoft в кілька разів перевершує останню.

4.   Галузеві індекси враховують вид діяльності складових їхніх компаній. Наприклад, Nasdaq Financial-100 визначається на основі близько ста акцій фінансових компаній. Індекси Nasdaq Industrial, Nasdaq Transportation, Nasdaq Bank, Nasdaq Telecommunications, Nasdaq Insurance, Nasdaq Computer, Nasdaq Other Finance, Nasdaq Biotechnology характеризують курсові коливання акцій промислових і транспортних компаній, банків, телекомунікаційних, страхових та комп'ютерних компаній, фінансових небанківських установ, компаній, що працюють з біотехнологіями.

Індекс Нью-Йоркської фондової біржі (NYSE Index). Цей індекс являє собою зважений за ринковою вартістю показник руху курсів акцій усіх корпорацій, що зареєстрували свої папери на Нью-йоркській фондовій біржі (New York Stock Exchange), тобто, по суті, це показник являє собою середню ціну на акцію по всіх компаніях на Нью -йоркської фондової біржі, зважений за ринковою вартістю акцій кожної корпорації (з відповідними коригуваннями по факторах дроблення акцій, злиття і поглинання). На відміну від індексу Доу-Джонса, який виражається в пунктах, індекс NYSE виражається в доларах. Операції з опціонами за цим індексом здійснюються на самій Нью-йоркській фондовій біржі. Операції з ф'ючерсними контрактами здійснюються на Нью-Йоркській біржі ф'ючерсів, що є підрозділом Нью-йоркської фондової біржі.

Індекси Американської фондової біржі (AMEX). Американська фондова біржа публікує два основні індекси, які обчислюються на абсолютно різній основі. Основний ринковий індекс Американської фондової біржі (AMEX Major Market Index) є простим середнім показником руху цін 20 провідних промислових корпорацій. Він був задуманий Американською фондовою біржею як своєрідного субститута промислового індексу Доу-Джонса. Хоча він розраховується і публікується Американською фондовою біржею, в його склад входять акції корпорацій, зареєстрованих на Нью-йоркській фондовій біржі. Примітно, що 15 з них є також компонентами промислового індексу Доу-Джонса. Операції з ф'ючерсами по цьому індексу здійснюються на Чиказької торгової біржі. Індекс ринкової вартості Американської фондової біржі (AMEX Market Value Index) обчислюється на принципово іншій основі: він є показником, зваженим за ринковою вартістю всіх випущених акцій тих корпорацій, які включені в нього як компоненти. Вперше він був опублікований у вересні 1973 року. Він включає в себе як компоненти більше 800 випусків акцій, що представляють цінні папери корпорацій всіх великих галузевих груп, зареєстрованих на Американській фондовій біржі, включаючи, крім звичайних акцій, американські депозитні свідоцтва і підписні сертифікати. З технічної точки зору він є унікальним в силу того, що при його розрахунку передбачається, що дивіденди у формі готівки, виплачувані по вхідних в його склад акціях, реінвестуються, і на цій основі вони відбиваються в індексі. Опціони по цьому індексу котируються на Американській фондовій біржі.

Сімейство індексів Рассела. Індекси Рассела розраховуються компанією Френка Рассела, Frank Russell Company. Серед найвідоміших: Russell 3000 Index відображає динаміку акцій 3,000 найбільших за ринковою капіталізацією американських компаній, на які припадає близько 98% вартості всього американського ринку акцій. Russell 1000 Index відображає динаміку акцій 1,000 найбільших компаній з Russell 3000 Index, на які припадає близько 92% сукупної капіталізації компаній, представлених в Russell 3000 Index. Russell 2000 Index відображає динаміку 2,000 більш дрібних компаній, представлених в Russell 3000 Index, на які припадає близько 8% сукупної ринкової капіталізації компаній з Russell 3000 Index. Value Line Composite Зважений за ціною індекс як протилежність індекс, зважений за капіталізацією. Деякі вважають, що даний індекс дає краще уявлення про ефективність інвестицій, тому що окремі акції не перешиває в ньому, і більшість індивідуальних інвесторів не будують свій портфель з зважуванням за ринковою капіталізацією.

У Франції сновними фондовими індексами є CAC-40 і CAC General. САС 40 розраховується за 40 акціями найбільших емітентів, що торгуються на Паризькій фондовій біржі. Ф'ючерсний контракт на даний індекс, можливо, є найбільш популярним і торгуються ф'ючерсних контрактом у всьому світі. САС General розраховується за акціями 250 емітентів.

Німеччина. Основним фондовим індексом є DAX 30, що охоплює 30 найпопулярніших акцій (на основі торговельної статистики за 3 останні роки) на Франкфуртській біржі. Індекс зважений за ринковою капіталізацією. За результатами торгів в електронній системі розраховується індекс Xetra DAX, він практично збігається з DAX 30. Проте електронна сесія довший, тому ціни закриття можуть істотно відрізнятися. Розраховуються також DAX 100 і композитний індекс CDAX по 320 акцій.

Великобританія представлена FT-SE 30 Share Index, Financial Times Industrial Ordinary Share Index вперше почав публікуватися в 1935р. і охоплює акції 30 промислових і торгових компаній. Розраховується як середня геометрична, що отримується шляхом множення курсів акцій 30 з вибірки і подальшого вилучення з твору кореня 30-го ступеня. FT-SE 100 - найбільш поширений індекс у Великобританії, широко відомий як 'footsie' (Футсі 100). Являє собою зважений арифметичний індекс, що розраховується на базі 100 найбільших за ринковою капіталізацією компаній Великобританії на щохвилинної основі. На компоненти "Футсі" припадає близько 70% загальної капіталізації фондового ринку Великобританії. FT-SE Mid 250 - індекс акцій компаній із середньою капіталізацією, на які припадає приблизно 20% ринку Великобританії. Це наступні 250 компаній після сотні найбільших, що входять в індекс FT-SE 100. Розраховується з грудня 1985р.

Головний фондовий індекс Японії - Nikkei (скорочене від словосполучення "nihon keizai" - "nihon" по-японськи Японія, а "keizai" - "фінанси, економіка"). У його вибірку входять 225 акцій, що торгуються на Токійській фондовій біржі. Це середньоарифметичним незважених індекс, що розраховується за тією ж методикою, що DJIA. Друкується з 1950р. Другий досить популярний індекс - Topix, що розраховується з 1968р. по всіх акцій, що торгуються на 1-ій секції ТФБ. Індекс JPN є модифікованим зваженим за ціною індексом, що відображає динаміку 210 звичайних акцій, які активно торгуються на Токійській фондовій біржі і представляють великий зріз всіх галузей японської економіки. JPN тісно пов'язаний, але не ідентичний індексу Nikkei.

Найбільш відомий індекс Торонтському біржі TSE 300, зважений за розміром капіталізації й охопив 14 секторів економіки.

Гонконг - найбільш відомий індекс - зважений за ринковою капіталізацією індекс Гонконгської фондової біржі Hang Seng Index, що розраховується по акціях 33 компаній, капіталізація яких становить близько 70% загальної капіталізації ринку. До складу індексу входять компанії 4 секторів: торгівля і промисловість, фінанси, комунальні послуги, земельна власність.

Перераховані вище індекси хоч і є основними і найбільш значущими не тільки для своїх національних економік, а й для всього світового господарства в цілому, але представляють лише невелику частку з усіх використовуваних біржових і позабіржових котирувальних індексів. Індекси є динамічною економічною категорією, розвиваючись і вдосконалюючись разом зі змінами у світовій економіці. Безумовно створення і використання індексів дозволило активізувати торгівлю цінними паперами в кілька разів, а отже, підвищити інвестиційну активність економік як розвинених, так і держав, що розвиваються. Сучасний аналіз фондових ринків в основних своїх положеннях грунтується на аналізі біржових індексів. Саме така відкрита гра, що дозволяє створити рівні передумови для успішного прогнозу та здійснення біржової діяльності як для великих, так і для молодих і небагатих інвесторів.

 

2. Еволюція та сучасні тенденції фондових індексів в Україні

В умовах ринкових відносин велике значення для регулювання національної економіки та раціонального перерозподілу інвестиційних ресурсів має розвиток фондового ринку в Україні, який значною мірою залежить від соціально-економічних змін в країні як передумов для розширення його послуг.

Розвиток біржового ринку є індикатором лібералізації економіки та успішного проведення ринкових реформ, створює важливий компонент сучасного механізму економічного регулювання, надає економіці певної гнучкості й мобільності, забезпечуючи можливість швидкого переливу ресурсів із одних галузей в інші та здійснення структурної перебудови виробництва.

Вітчизняний фондовий ринок було створено за дуже короткий період часу. Упродовж 1995-1998 років ринок швидко нарощував обсяги. Цей етап характеризується значним кількісним і якісним зростанням фондового ринку України. Каталізатором цього процесу можна вважати такі фактори, як прискорення темпів приватизації, зростання сектору державних цінних паперів з надзвичайно високою дохідністю, високі темпи інфляції та фіксований валютний курс, що стимулювало приплив грошей нерезидентів, схильних до ризику. У період фінансової кризи 1997-1998 років відбувався масовий вихід іноземного капіталу з фінансового ринку, і лише з 2000 року ринок знову почав нарощувати обсяги.

На вітчизняному ринку від 1997 р. розраховують дві модифікації фондового індексу КАС-20 — простий і зважений. Методика його розрахунку відповідає світовим стандартам і ґрунтується на зміні ринкової капіталізації компаній, які входять до бази індексу.


Індекс КАС-20(w) зважений відбиває динаміку розвитку ринку цінних паперів України, його зростання або спад. Його розраховують за формулою:

Компанія «Альфа-капітал» розраховує індекси для металургійної, хімічної, енергетичної, нафтогазової, машинобудівної галузей відповідно.

 

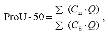
Планується розрахунок щоденних значень КАС-20. Це дасть змогу будувати лінійну зміну індексу і проводити глибший аналіз динаміки ринку цінних паперів.У разі переваги простого індексу над зваженим інвестору вигідніше купувати цінні папери різних підприємств, ніж вкладати кошти в цінні папери великих емітентів. Фахівці інвестиційної компанії «Проспект Інвестментс» розраховують ще один індекс українського ринку цінних паперів — РroU-50.В основу розрахунку індексу покладено стандартну методику капіталізованих індексів. Капіталізація кожного емітента визначається множенням загальної кількості акцій цього емітента на ціну, розраховану, як середньозважена ціна попиту учасників ринку, які котирують ці акції.


 де Cп та Cб — відповідно поточна і базова середні ринкові ціни акцій кожної з компаній, включених до бази розрахунку індексу; Q — загальна кількість акцій емітента. Початкове значення індексу — 100. Для розрахунку ціни акцій використовують котирування різних торговельних майданчиків: ПФТС, фондових бірж, «телефонного ринку», що дає змогу зробити індекс ProU-50 об’єктивнішим і представницьким. Індекс IPI-U розраховують спільно агенція «Інтерфакс-Україна» і компанія «Полар-інвест». Щохвилини його почали розраховувати з 1 січня 1999 р. До бази індексу входять найліквідніші акції, а зміни лістингу проводять щомісяця. Особливістю цього індексу є те, що його розраховують на підставі доларових цін акцій.


Індекс ПФТС — це середнє для найліквідніших українських акцій, що мають найбільшу ринкову капіталізацію. Його розраховують щотижня у гривнях і доларах на підставі реальних угод і твердих котирувань у ПФТС. Частка акцій компаній, що включається до індексу та обертається на ринку, має перевищувати 10 % від їхньої загальної кількості. Компоненти індексу зважують на підставі ринкової капіталізації, однак частку держави і стратегічного інвестора, як правило, виключають. Склад індексу переглядають на відповідність зазначеним критеріям щомісяця, а в разі потреби вносять певні зміни. Критерії для вибору підприємств до списку індексу такі:

1. Підприємства-емітенти мають пройти лістинг ПФТС і належати до першого або другого рівнів списку ПФТС.

2. До переліку акцій підприємств, що входять до індексу, відбирають акції, за якими в ПФТС була зареєстрована найбільша кількість двосторонніх угод. Причому ціна двосторонньої угоди не має бути меншою за найкращу ціну купівлі й не більшою за найкращу ціну продажу на момент уведення звіту в систему.


Ринкова капіталізація визначається як добуток ціни на кількість емітованих акцій. Ціну, своєю чергою, визначають як ціну останньої угоди в поточний період, що потрапляє в коридор: найкраща ціна покупки — найкраща ціна продажу на момент закриття торгової сесії. Якщо такої угоди немає, за ціну акції приймають значення середини цього коридору. Початкове значення індексу — 100. Індекс ПФТС визнаний Міжнародною фінансовою корпорацією (МФК) як єдиний індекс для використання цією організацією під час моніторингу внутрішнього стану українського ринку цінних паперів. У квітні 1998 р. Україна як ринок, що розвивається, була включена до системи індексів МФК до індексу IFC Frontier. Дані для розрахунку індексу ґрунтуються на результатах торгівлі у ПФТС.

З метою подальшого розвитку ринку цінних паперів, забезпечення інформування громадськості стосовно тенденцій розвитку ринку корпоративних прав та на виконання п. 3.3 Заходів щодо забезпечення виконання у 2000 р. завдань, передбачених Посланням Президента України до Верховної Ради України, Програмою діяльності Кабінету Міністрів України та спрямованих на поліпшення соціально-економічного стану України, затверджених постановою Кабінету Міністрів України від 29.04.2000 р. № 747, Державною комісією з цінних паперів та фондового ринку було затверджено Методику розрахунку інтегрального індексу фондового ринку (рішення Комісії від 20.12.2000 р. № 237).


Методикою передбачено, що розрахунок інтегрального індексу здійснюють на підставі квартальних звітів торговців цінними паперами за результатами всіх виконаних угод з купівлі-продажу акцій. Тобто базою розрахунку індексу є всі угоди купівлі-продажу акцій, що були виконані на організованому й неорганізованому ринках цінних паперів України. Інтегральний індекс враховує особливості побудови фондового ринку України, які полягають у тому, що на організованому ринку здійснюється лише близько 15 % від обсягу всіх виконаних угод із цінними паперами. Починаючи від липня 2000 р., початку розрахунку інтегрального індексу, спостерігається загальна тенденція до його зростання, пов’язана зі збільшенням кількості угод із цінними паперами, збільшенням середньої ціни купівлі-продажу акцій та кількості емітентів, із цінними паперами яких здійснюються угоди на ринку цінних паперів. Це свідчить про загальне поліпшення макроекономічних процесів у країні й посилення інтересу інвесторів до акцій вітчизняних підприємств.

Розвиток ринку у 2000-2007 роках стимулювався, з одного боку, стабільним розвитком економіки країни, зростанням обсягів ВВП, промислового виробництва, з другого - сприятливими зовнішніми факторами: зростанням попиту на світових ринках на продукцію основних українських експортерів, зростанням цін на продукцію металургії, а також усіх фондових індексів. Перелічені фактори призвели до чергового припливу спекулятивних іноземних капіталів: за підсумками 2007 року індекс ПФТС зріс на 135,4% - найвищий показник у Європі і другий у світі.

2008 рік завершив черговий етап розвитку ринку цінних паперів України, що розпочався у 2005 році і впродовж якого вітчизняний ринок привернув увагу широкого кола іноземних та вітчизняних інвесторів. Підвищення інвестиційної привабливості країни та активне входження зовнішнього капіталу на український ринок максимально позитивно позначились на його біржовому сегменті, який протягом останніх чотирьох років збільшився більше ніж в 5 разів та досяг свого піку в 2008 році.

Наприкінці 2008 року макроекономічні процеси в країні характеризувались певною нестабільністю, на що відповідно відреагував і національний фондовий ринок. Фондовий ринок України зазнав погіршення показників ліквідності, що пов'язано з внутрішніми ризиками та впливом ситуації на світовому фінансовому ринку. Зокрема, за підсумками 2008 року спостерігається втрата позицій основних українських індексів фондового ринку, значне зниження біржового курсу акцій "блакитних фішок". Починаючи з вересня у зв'язку із ціновою нестабільністю неодноразово призупинялися торги на фондовій біржі ПФТС.

У 2009 році головними стримуючими чинниками для інвестиційної активності на фондовому ринку залишаються як внутрішні, так і зовнішні фактори, зокрема спостерігається вплив загальносвітової фінансової кризи.

Засобом широкого залучення капіталів є здійснення випуску та торгівлі різними цінними паперами, в тому числу акціями, облігаціями та іншими фінансовими інструментами. За результатами торгів на організаторах торгівлі протягом 2008 року обсяг виконаних біржових контрактів з цінними паперами становив 37,5 млрд. грн., що порівняно з даними за 2007 рік більше на 2,35 млрд.грн.. За підсумками 2008 року найважливішим джерелом залучення фінансових ресурсів на ринку цінних паперів виступали такі види цінних паперів, як акції, облігації підприємств та інвестиційні сертифікати. Протягом 2008 року обсяг випуску акцій, зареєстрованих центральним апаратом Комісії, становив 46,83 млрд. грн., що порівняно з 2007 роком більше на 14,89 млн. грн. На обсяги випуску акцій активно впливає банківський сектор, який нарощує власний капітал.

Результати 2008 року перевершили найпесимістичніші прогнози аналітиків та експертів з різних країн. Ключові фондові індикатори світу впали на 32-49%, російські індекси ММВБ та РТС провалилися на 67 та 73% відповідно. Український лідер ПФТС з лідерів росту 2007-го перетворився на лідера падіння 2008-го і з результатом -74,33% завершив цей рік на рівні 301,42 пункту.

Розпочався катастрофічний відтік капіталу та по мірі погіршення ситуації на глобальних ринках, інвестиційні фонди стали стрімко переводити його в більш надійні активи. Якщо в першому півріччі 2008 року така втрата могла компенсуватися істотним нарощенням експорту (чому сприяв світовий ріст попиту на сировинні ресурси, а відповідно і на зростання цін, наприклад ціни на сталь з $ 210 за тону на початок року зросли до $ 296 у липні), то вже наприкінці року відчувалася значна нестача грошей. Банківським інститутам було важко займати дешеві грошові ресурси на зовнішніх ринках. Пізніше це вилилося в катастрофічне падіння ліквідності фінансового сектору, що в свою чергу поставило під загрозу подальший розвиток реального сектору економіки і можливість рефінансування боргових зобов’язань фінансових закладів.

В другій половині 2008 року на фоні послаблення світового попиту і падінню цін на сталь відбулося значне погіршення економічної кон’юнктури, що викликане зниженням росту промислового виробництва, інвестицій в основний капітал при одночасному збереженні високого рівня споживчого попиту. Фактично, закриття кредитного ринку призупинило будівництво житла, доріг, інфраструктури, що призвело до падіння попиту на металургійну продукцію на внутрішньому ринку. Це в свою чергу привело за собою призупинення діяльності більшості металургійних гігантів, що було початком величезної хвилі безробіття.

Значне надходження спекулятивного капіталу вказало на неготовність економіки нашої країни, яка відреагувала збільшенням інфляційних процесів. Невідповідність між попитом і пропозицією всередині країни позначилося стагфляційними процесами: розрив між інфляцією (22,3%) і динамікою ВВП (2,1%) в 2008 році став найбільшим з кінця 90-х років. За даними Держкомстату, у травні 2008 року рівень інфляції в Україні був найвищим серед країн СНД – 31%. Дії НБУ з обмеження грошової маси мали наслідком зменшення ліквідності комерційних банків і подорожчання кредитів. Водночас збільшилися бюджетні соціальні виплати і компенсації втрачених заощаджень населення, що зменшувало фінансові ресурси економіки країни й збільшувало споживчі настрої населення. Останнє в свою чергу задовольнилось різким ростом імпорту, чому сприяла девальвація долару стосовно гривні.

Отже, результати 2008 року перевершили найпесимістичніші прогнози аналітиків та експертів з різних країн. Ключові фондові індикатори світу впали на 32-49%, російські індекси ММВБ та РТС провалилися на 67 та 73% відповідно. Український лідер ПФТС з лідерів росту 2007-го перетворився на лідера падіння 2008-го і з результатом -74,33% завершив рік на рівні 301,42 пункту.

Таким чином, можна зробити певні висновки, про те що після швидкого піднесення стану економіки та розвитку фондового ринку відбувся значний спад, що вилився в серйозну фінансову кризу від якої постраждали не лише окремо взяті компанії, але й цілі галузі і економіки. України не стала виключенням, а навпаки, увійшла у список країн з найбільш несприятливим економічним станом таких як Угорщина, країни Балтії та інші. Причиною цьому стала неготовність нашої країни до неконтрольованих, значних за обсягами інвестиційних вливань, що носили спекулятивний характер. Тобто, надто стрімкий ріст, "перегрітість" ринку у попередні роки, особливо у 2007-му, значна залежність від іноземного капіталу, яка спершу була одним з головних рушіїв українського ринку цінних паперів, а 2008-го році чинив суттєвий тиск та призвів до кризового стану. Серед причин - надто стрімкий ріст, "перегрітість" ринку у попередні роки, особливо у 2007-му, значна залежність від іноземного капіталу, яка спершу була одним з головних рушіїв українського ринку цінних паперів, а 2008-го року чинив суттєвий тиск.

3. Сучасні стан та фактори, які впливають на котирування світових фондових індексів

Оптимізм на світових фондових ринках протягом 2009 року змінився на занепокоєння інвесторів через відсутність нових ознак відновлення світової економіки та ряду негативних заяв з боку Світового банку та МВФ щодо можливого погіршення перспектив світового економічного розвитку. Це у підсумку призвело до підвищеної волатильності та різноспрямованого закриття основних фондових індексів.

Провідні світові фондові індекси закінчили 2009 рік різноспрямовано: Nikkei 225 (+4,58%), SSE (+12,40%), S&P500 (+0,02%), Nasdaq (+3,42%), DJI (-0,63%), DAX (-2,68%).

Зростанню світових фондових індексів у 2009 р. сприяли такі позитивні чинники:

· позитивні показники індексу ділової активності у виробничій сфері США - у грудні зростання до 44,8 пунктів проти 42,8 пунктів у червні 2009 р. (очікувалось 44,6 пункти);

· зростання обсягів замовлень на товари довгострокового користування у США – у травні 2009 р. до 1,8% (очікувалось падіння до - 0,9%);

· зростання обсягу роздрібних продаж у США в 2009 році на 0,5%;

· публікація індикатору впевненості від університету Мічиган: за грудень 2009 р. – 70,8 пунктів (очікувалось 69,0 пунктів);

· зниження кількості зайнятих у несільськогосподарському секторі США лише на 345 тис. у травні проти очікуваного зниження на 520 тисяч;

· повідомлення про повернення Федеральній резервній системі банком Morgan Stanley 10 млрд. дол. США, виділених у рамках програми з підтримки банківського сектору, а також викупу у ФРС США своїх акцій компаніями Bank of New York Mellon та Amex;

· публікація кращого, ніж очікувалося, індексу настроїв у економічній сфері від німецького інституту ZEW: у червні відмічено зростання до 44,8 пунктів проти 33,1 пунктів у травні 2009 р. (очікувалося 35,0 пунктів);

· інформація про те, що індекс ділової активності Китаю переступає позначку 50% другий місяць поспіль;

· повідомлення Комісії з регулювання ринку цінних паперів КНР про те, що знятий 9-місячний мораторій на проведення IPO на біржах Китаю;

· зростаючий уже четвертий місяць поспіль китайський індекс менеджерів із закупівлі – у червні 2009 р. цей показник становив 53,2 пункти.

Проте, майже одночасна публікація негативних прогнозів у середині червня призвели до зміни тренду на фінансових ринках. Несприятливі наслідки мали такі повідомлення, як:

1.   Світовий банк: погіршення прогнозу щодо масштабів скорочення світової економіки, прогноз падіння глобального ВВП на 2009 р. -2,9% (попередній прогноз -1,7%);

2.   Голова МВФ: висока вірогідність погіршення у світовій економці в майбутньому;

3.   ФРС («Бежева книга» - економічний звіт по регіонам США): ситуація в американській економіці в цілому залишається складною, на ринках праці та комерційної нерухомості тривають труднощі, спостерігається зниження активності у виробничому секторі економіки, ускладнилося отримання споживчих кредитів;

4.   Повідомлення адміністрації США: планується посилення регулювання банківської системи з метою оздоровлення фінансового сектору.

В подальшому переважали несприятливі чинники, що зумовило посилення негативних тенденцій, зокрема:

· публікація даних про інфляцію у США – у грудні 2009 р. індекс споживчих цін становив 0,1% проти 0% у червні (очікувалося 0,3%);

· ниження обсягів промислового виробництва у Єврозоні – у грудні 2009 р. -1,9% проти -1,4% у червні цього ж року (у річному вираженні -21,6%);

· зниження обсягів роздрібної торгівлі у Єврозоні – у грудні 2009 р. - 0,4% проти 0,1% у червні (очікувалось -0,1%);

· обережне ставлення інвесторів до покращення індикатору умов ділового середовища від IFO (грудні 2009 р. 85,9 пунктів) порівняно з прогнозним та попереднім значенням, враховуючи негативну ситуацію в економіці Німеччини;

· повідолення про банкрутство General Motors та Chrysler.

Очікується, що світові фондові індикатори протягом 2010 р. зберігатимуть високу волатильність на фоні публікацій корпоративних звітів та стабілізації ринкових умов. Проте, незважаючи на деякі ознаки стабілізації, ризики серйозного зниження залишаються високими, а світова економіка продовжує бути вразливою до нових шоків у майбутньому.

Висновок

На сьогоднішній день стан фондового ринку починає стабілізуватися, але цей процес проходить під тиском ризиків макроекономічної і фінансової діяльності країни. І хоча індекси ПФТС вже сьогодні досягають максимальних показників за останні 15 місяців, не можна говорити про подолання кризового стану. Стрибкоподібний розвиток фондового ринку України ускладнює його прогнозування, створює непевність в його стійкості та надійності. Експерти впевнені, що значне підвищення індексу ПФТС за жовтень 2009 року зміниться його корекцією у бік зниження. Вже зараз очевидно, що після 2%-го росту, зафіксованого в 2008 році, темпи росту української економіки в кінці 2009 році будуть значно нижче попередніх років, і не можна виключати негативної динаміки.

Якщо розглядати тенденції світових фондових індексів, то очікується, що світові фондові індикатори протягом 2010 р. зберігатимуть високу волатильність на фоні публікацій корпоративних звітів та стабілізації ринкових умов. Проте, незважаючи на деякі ознаки стабілізації, ризики серйозного зниження залишаються високими, а світова економіка продовжує бути вразливою до нових шоків у майбутньому.

Список використаних джерел та літератури:

1. Акеліс Стівен Б. Технічний аналіз від А до Я: Повний набір інструментів торгівлі. - М., 2003

2. Дегтярева О. И., Кандинського О.А. Біржова справа - К., 2004

3. Ляшенко В.І. Фондові індекси та рейтинги-Донецьк, 2005

4. Калач Г.М. Вплив фінансової глобалізації на фондовий ринок України // Фінанси України. – 2009. - №1. – С.115–121.

5. Пилипко В.С. Розвиток фондового ринку і перспективи зростання інноваційного потенціалу АТ// Економіка і прогнозування.-2009.-№4.- С. 92-107

6. Rewiew/ Обзор фондового рынка Украины в 2008–2009 гг. – Февраль, 2009.

7. www.pfts.com.ua

8. www.ssmsc.gov.ua

Похожие работы на - Біржові індекси як основні індикатори стану фондового ринку

 

Не нашли материал для своей работы?
Поможем написать уникальную работу
Без плагиата!
Без нейросетей!