Стратегія банків України на ринку цінних паперів
МІНІСТЕРСТВО ОСВІТИ І НАУКИ
УКРАЇНИ
ДЕРЖАВНИЙ ВИЩИЙ НАВЧАЛЬНИЙ
ЗАКЛАД
«КИЇВСЬКИЙ НАЦІОНАЛЬНИЙ
ЕКОНОМІЧНИЙ УНІВЕРСИТЕТ
імені ВАДИМА ГЕТЬМАНА»
Факультет______________________________________________
Кафедра________________________________________________
Спеціальність____________________________________________
Магістерська
програма____________________________________
Форма
навчання__________________________________________
ЗВІТ ПРО ПЕРЕДДИПЛОМНУ ПРАКТИКУ
на
тему: «Стратегія банків України на ринку цінних паперів»
Київ 2009
ЗМІСТ
ВСТУП
РОЗДІЛ 1 СУТНІСТЬ ТА КЛАСИФІКАЦІЯ ОБ'ЄКТІВ І СУБ'ЄКТІВ
РИНКУ ЦІННИХ ПАПЕРІВ УКРАЇНИ
1.1 Об'єкти ринку цінних паперів в Україні: сутність та структура
1.2 Суб’єкти ринку ціних паперів в Україні: сутність та структура
1.3 Розвиток ринку цінних паперів в Україні
1.4 Стратегії діяльності Національного банку
України та комерційних банків на ринку цінних паперів в Україні
1.4.1 Стратегія діяльності Національного банку
України на ринку цінних паперів
1.4.2 Стратегії діяльності на ринку цінних паперів та формування портфеля
цінних паперів комерційними банками
РОЗДІЛ 2 АНАЛІЗ СТРАТЕГІЇ ТА ПРАКТИКИ ДІЯЛЬНОСТІ
БАНКІВСЬКОЇ СИСТЕМИ НА РИНКУ ЦІННИХ ПАПЕРІВ УКРАЇНИ
2.1 Стратегія та питома вага операцій з цінними
паперами в діяльності банківської системи України
2.2 Застосування цінних паперів в якості платіжних інструментів
в операційній діяльності комерційними банками
2.2.1 Застосування цінних паперів в якості застави
в операціях кредитування клієнтів
2.2.2 Операції вексельного рефінансування клієнтів
2.2.3 Застосування цінних паперів в якості
репо-застави в операціях міжбанківського кредитування та рефінансування з боку НБУ
2.3 Емісійна діяльність комерційних банків по
залученню банківських ресурсів на ринку цінних паперів
2.3.1 Емісія акцій банків
2.3.2 Емісія облігацій банків
2.3 Емісія депозитних сертифікатів
2.4 Інвестиційна діяльність комерційних банків по
розміщенню коштів в активи на ринку цінних паперів
2.4.1 Інвестиції банків в державні цінні папери
2.4.2 Інвестиції банків в комерційні пайові цінні
папери
2.4.3 Інвестиції банків в комерційні боргові цінні
папери
2.5 Професійна діяльність комерційних банків на
ринку цінних паперів
2.5.1 Торгівля цінними паперами
2.5.2 Реєстраційна та депозитарна діяльність
2.5.3 Андеррайтерська діяльність
2.5.4 Управління цінними паперами клієнтів
СПИСОК ВИКОРИСТАНИХ ДЖЕРЕЛ
ДОДАТКИ
ВСТУП
Забезпечення
обороту фінансових ресурсів держави на ринку цінних паперів (фондовому ринку)
здійснюється через цінні папери :
-
пайові цінні папери, за якими емітент не несе зобов'язання повернути кошти,
інвестовані в його діяльність, але які засвідчують участь у статутному фонді,
надають їх власникам право на участь в управлінні справами емітента і одержання
частини прибутку у вигляді дивідендів та частини майна при ліквідації емітента;
-
боргові цінні папери, за якими емітент несе зобов'язання повернути у визначений
термін кошти, інвестовані в його діяльність, але які не надають їх власникам
права на участь в управлінні справами емітента;
-
похідні цінні папери, механізм обігу яких пов'язаний з пайовими, борговими
цінними паперами, іншими фінансовими інструментами чи правами щодо них.
Учасниками
фондового ринку є :
-
емітенти цінних паперів - юридичні й у випадках, передбачених законодавством,
фізичні особи, які від свого імені випускають цінні папери і зобов'язуються
виконувати обов'язки, що випливають з умов їх випуску.
-
інвестори - фізичні та юридичні особи, в тому числі інституціональні інвестори
(інвестиційні фонди, довірчі товариства, пенсійні фонди, страхові компанії
тощо), які мають вільні кошти і бажають вкласти їх в цінні папери .
-
посередники - юридичні особи, діяльність яких тісно пов'язана з наданням
професійних послуг щодо опосередкування діяльності на фондовому ринку емітентів
та інвесторів;
-
держава, яка визначає умови правового регулювання діяльності фондового ринку з
метою підтримання його ефективного функціонування і захисту його учасників.
З
появою цінних паперів , або фондових активів, виникає наче роздвоєння капіталу.
З одного боку, існує реальний капітал, представлений виробничими фондами, з
другого – його віддзеркалення в цінних паперах.
Але “віддзеркалений” в цінному папері капітал,
з'явившись, починає жити самостійним життям, оскільки ринкова вартість цінного
паперу починає змінюватися під впливом зміни як реальних активів, так і під
впливом факторів ринкових відносин. Це приводить до виникнення реального впливу
ринку на виробництво через ринкову доходність цінних паперів, як результат
коливань попиту та конкуренції.
Світова
економічна криза, що болюче вразила виробничий та особливо фінансовий сектор
України, має, на думку переважної більшості експертів, свої корені у занадто
високій та ризикованій активності банків на фондовому ринку. Втілення такого
сценарію стало можливим, вочевидь, через неадекватне управління діяльністю
банків на ринку цінних паперів, що призвело до фундаментальної недооцінки
ризиків і як наслідок – вибору невірної стратегії поведінки банку на фондовому
ринку, а сучасним результатом – банкрутством чи значними фінансовими труднощами
банків.
Той
факт, що фондовий ринок України на нинішньому етапі є нерозвиненим
інституціонально і до того ж знаходиться на стадії спаду, не повинен бути
поводом для нехтування побудовою ефективного менеджменту такого напрямку
банківської діяльності, як діяльність на ринку цінних паперів. Більш того, саме
зараз, коли поточна активність учасників ринку значно зменшилась, у банках
з’явився час та можливість для впровадження організаційних та інших
управлінських змін з метою підвищення власної діяльності фондовому ринку з
початком відновлення економічного зростання. Таким чином, з огляду на
необхідність врахування помилок світових банків в управлінні їх діяльністю на
ринку цінних паперів та можливість для вітчизняних банків своєчасної
оптимізації своєї активності на фондовому ринку, проблема менеджменту
діяльності банку на фондовому ринку є цілком актуальною.
Багато
аспектів менеджменту діяльності банку на фондовому ринку регламентуються
нормативними актами України, зокрема Законами України «Про цінні папери та
фондовий ринок», «Про державне регулювання ринку цінних паперів», Постановами
Правління Національного банку України «Про організацію операційної діяльності в
банках України», «Про затвердження Інструкції з бухгалтерського обліку операцій
з цінними паперами в банках України», Рішеннями Державної комісії з цінних
паперів і фондового ринку «Про затвердження Ліцензійних умов провадження
професійної діяльності на фондовому ринку – діяльності з торгівлі цінними
паперами», «Про затвердження Правил (умов) здійснення діяльності з торгівлі
цінними паперами», іншими нормативно-правовими актами.
Проблемі
менеджменту діяльності банку на ринку цінних паперів приділяли увагу такі
вітчизняні економісти, як А.А. Пересада, Т.В. Майорова,
Л.О. Примостка, І.О. Бланк, Е.Л. Найман, О.А. Кириченко,
В. Шапран, а з іноземних фахівців – П. Станьєр, Г. Марковіц,
А. Шерман, Н. Анненська. Проте суть і склад категорії управління
діяльністю банку операціями на ринку цінних паперів розглядається ними або на
більш високому рівні у рамках поняття інвестиційного менеджменту підприємства,
або на занадто конкретному рівні, наприклад, при дослідженні організації
розміщення банком цінних паперів, що зумовлює необхідність формулювання
власного визначення стратегічного менеджменту банківської діяльності на
фондовому ринку.
РОЗДІЛ 1
СУТНІСТЬ ТА КЛАСИФІКАЦІЯ ОБ'ЄКТІВ І СУБ'ЄКТІВ РИНКУ
ЦІННИХ ПАПЕРІВ УКРАЇНИ
1.1 Об'єкти ринку цінних паперів в Україні: сутність та структура
Цінні
папери – це грошові документи, що засвідчують право володіння або відносини
позики, визначають взаємовідносини між особою, яка їх випустила, та їх
власником і передбачають, як правило, виплату доходу у вигляді дивідендів або
процентів, а також можливість передачі грошових та інших прав, що випливають з
цих документів, іншим особам [7 ].
З
появою цінних паперів, або фондових активів, виникає наче роздвоєння капіталу.
З одного боку, існує реальний капітал, представлений виробничими фондами, з
другого – його віддзеркалення в цінних паперах.
Виникнення
цього різновиду капіталу пов'язано з розвитком потреби в збільшенні
довгострокових кредитних ресурсів , як наслідок розширення комерційної та
виробничої діяльності. Таким чином, фондовий ринок історично почав свій
розвиток на базі позичкового капіталу, оскільки купля цінних паперів означає
фактично передачу частки грошового капіталу інвестора в позику, а сам цінний
папір дає право на отримання регулярного доходу в виді процентів чи дивідендів.
Але “віддзеркалений” в цінному папері капітал,
з'явившись, починає жити самостійним життям, оскільки ринкова вартість цінного
паперу починає змінюватися під впливом зміни як реальних активів, так і під
впливом факторів ринкових відносин. Це приводить до виникнення реального впливу
ринку на виробництво через ринкову доходність цінних паперів, як результат
коливань попиту та конкуренції.
Забезпечення
обороту фінансових ресурсів держави на ринку цінних паперів (фондовому ринку)
здійснюється через цінні папери :
-
пайові цінні папери, за якими емітент не несе зобов'язання повернути кошти,
інвестовані в його діяльність, але які засвідчують участь у статутному фонді,
надають їх власникам право на участь в управлінні справами емітента і одержання
частини прибутку у вигляді дивідендів та частини майна при ліквідації емітента;
-
боргові цінні папери, за якими емітент несе зобов'язання повернути у визначений
термін кошти, інвестовані в його діяльність, але які не надають їх власникам
права на участь в управлінні справами емітента;
-
похідні цінні папери, механізм обігу яких пов'язаний з пайовими, борговими цінними
паперами, іншими фінансовими інструментами чи правами щодо них.
Учасниками
фондового ринку є :
-
емітенти цінних паперів - юридичні й у випадках, передбачених законодавством,
фізичні особи, які від свого імені випускають цінні папери і зобов'язуються виконувати
обов'язки, що випливають з умов їх випуску.
-
інвестори - фізичні та юридичні особи, в тому числі інституціональні
інвестори (інвестиційні фонди, довірчі товариства, пенсійні фонди, страхові
компанії тощо), які мають вільні кошти і бажають вкласти їх в цінні папери .
-
посередники - юридичні особи, діяльність яких тісно пов'язана з наданням
професійних послуг щодо опосередкування діяльності на фондовому ринку емітентів
та інвесторів;
-
держава, яка визначає умови правового регулювання діяльності фондового ринку з
метою підтримання його ефективного функціонування і захисту його учасників.
Об’єкти ринку цінних паперів в Україні визначені Законом України „Про цінні
папери та фондовий ринок” (Стаття 3. Цінні папери та їх класифікація) [ ]:
1. Цінні папери – це документи встановленої форми з відповідними
реквізитами, що посвідчують грошові або інші майнові права, визначають
взаємовідносини особи, яка їх розмістила (видала), і власника, та передбачають
виконання зобов'язань згідно з умовами їх розміщення, а також можливість
передачі прав, що випливають із цих документів, іншим особам.
2.
Цінні папери за порядком їх розміщення (видачі) поділяються на емісійні та
неемісійні.
Емісійні
цінні папери - цінні папери, що посвідчують однакові права їх власників у межах
одного випуску стосовно особи, яка бере на себе відповідні зобов'язання
(емітент).
До
емісійних цінних паперів належать:
акції;
облігації
підприємств;
облігації
місцевих позик;
державні
облігації України;
іпотечні
сертифікати;
іпотечні
облігації;
сертифікати
фондів операцій з нерухомістю (далі - сертифікати ФОН);
інвестиційні
сертифікати;
казначейські
зобов'язання України.
Цінні
папери, що не належать згідно із цим Законом до емісійних цінних паперів,
можуть бути визнані такими Державною комісією з цінних паперів та фондового
ринку, якщо це не суперечить спеціальним законам про ці групи та/або види
цінних паперів.
3.
Цінні папери за формою існування поділяються на документарні та без- документарні.
4.
Цінні папери за формою випуску можуть бути на пред'явника, іменні або ордерні.
Права,
посвідчені цінним папером, належать:
пред'явникові
цінного паперу (цінний папір на пред'явника);
особі,
зазначеній у цінному папері (іменний цінний папір);
особі,
зазначеній у цінному папері, яка може сама здійснити ці права або призначити
своїм розпорядженням (наказом) іншу уповноважену особу (ордерний цінний папір).
5.
В Україні у цивільному обороті можуть бути такі групи цінних паперів:
1)
пайові цінні папери - цінні папери, які посвідчують участь їх власника у
статутному капіталі (крім інвестиційних сертифікатів та сертифікатів ФОН),
надають власнику право на участь в управлінні емітентом (крім сертифікатів ФОН)
і отримання частини прибутку, зокрема у вигляді дивідендів, та частини майна у
разі ліквідації емітента (крім сертифікатів ФОН). До пайових цінних паперів
відносяться:
а)
акції;
б)
інвестиційні сертифікати;
в)
сертифікати ФОН;
2)
боргові цінні папери - цінні папери, що посвідчують відносини позики і
передбачають зобов'язання емітента сплатити у визначений строк кошти відповідно
до зобов'язання. До боргових цінних паперів відносяться:
а)
облігації підприємств;
б)
державні облігації України;
в)
облігації місцевих позик;
г)
казначейські зобов'язання України;
ґ)
ощадні (депозитні) сертифікати;
д)
векселі;
3)
іпотечні цінні папери - цінні папери, випуск яких забезпечено іпотечним
покриттям (іпотечним пулом) та які посвідчують право власників на отримання від
емітента належних їм коштів. До іпотечних цінних паперів відносяться:
а)
іпотечні облігації;
б)
іпотечні сертифікати;
в)
заставні;
4)
приватизаційні цінні папери - цінні папери, які посвідчують право власника на
безоплатне одержання у процесі приватизації частки майна державних підприємств,
державного житлового фонду, земельного фонду;
5)
похідні цінні папери - цінні папери, механізм випуску та обігу яких пов'язаний
з правом на придбання чи продаж протягом строку, встановленого договором,
цінних паперів, інших фінансових та/або товарних ресурсів;
6)
товаророзпорядчі цінні папери - цінні папери, які надають їхньому держателю
право розпоряджатися майном, вказаним у цих документах.
1. Акції
1.
Акція - іменний цінний папір, який посвідчує майнові права його власника
(акціонера), що стосуються акціонерного товариства, включаючи право на
отримання частини прибутку акціонерного товариства у вигляді дивідендів та
право на отримання частини майна акціонерного товариства у разі його
ліквідації, право на управління акціонерним товариством, а також немайнові
права, передбачені Цивільним кодексом України та законом, що регулює питання
створення, діяльності та припинення акціонерних товариств.
2.
Емітентом акцій є тільки акціонерне товариство. Порядок прийняття відповідним
органом акціонерного товариства рішення про розміщення акцій визначається
законом, що регулює питання утворення, діяльності та припинення акціонерних
товариств.
3.
Акція має номінальну вартість, установлену в національній валюті. Мінімальна
номінальна вартість акції не може бути меншою, ніж одна копійка.
4.
Акціонерне товариство розміщує тільки іменні акції. У сертифікаті акції
зазначаються вид цінного паперу, найменування та місцезнаходження акціонерного
товариства, серія і номер сертифіката, номер і дата випуску, міжнародний
ідентифікаційний номер цінного паперу, тип і номінальна вартість акції, ім'я
власника, кількість акцій, що випускаються.
5.
Акціонерне товариство розміщує акції двох типів - прості та привілейовані.
6.
Прості акції надають їх власникам право на отримання частини прибутку
акціонерного товариства у вигляді дивідендів, на участь в управлінні акціонерним
товариством, на отримання частини майна акціонерного товариства у разі його
ліквідації та інші права, передбачені законом, що регулює питання створення,
діяльності та припинення акціонерних товариств.
7.
Привілейовані акції надають їх власникам переважні, стосовно власників простих
акцій, права на отримання частини прибутку акціонерного товариства у вигляді
дивідендів та на отримання частини майна акціонерного товариства у разі його
ліквідації, а також надають права на участь в управлінні акціонерним товариством
у випадках, передбачених статутом і законом, який регулює питання створення,
діяльності та припинення акціонерних товариств.
8.
Акціонерне товариство розміщує привілейовані акції різних класів (з різним
обсягом прав), якщо така можливість передбачена його статутом. У такому разі
умовою їх розміщення є черговість отримання дивідендів і виплат з майна
ліквідованого товариства для кожного класу привілейованих акцій, розміщених
акціонерним товариством, яка встановлюється статутом товариства. Залежно від
умов розміщення привілейовані акції певних класів можуть бути конвертовані у
прості акції або у привілейовані акції інших класів.
Частка
привілейованих акцій у статутному капіталі акціонерного товариства не може
перевищувати 25 відсотків.
9.
Реєстрацію випуску акцій здійснює Державна комісія з цінних паперів та
фондового ринку в установленому нею порядку. Обіг акцій дозволяється після
реєстрації Державною комісією з цінних паперів та фондового ринку звіту про
результати розміщення акцій та видачі свідоцтва про реєстрацію випуску акцій.
Ринкова
ціна акції відкритого акціонерного товариства в розрахунку на 100 грошових
одиниць номіналу називається курсом (у процентних пунктах) [36]:
(1.1)
де
ринковий курс акції в
процентних пунктах;
ринкова ціна акції (ціна
купівлі-продажу);
номінальна ціна емітованої
акції, щодо
якої
розраховуються доходи – процентні дивіденди.
Курсова
вартість акції чи рівень прибутковості акції визначається як відношення відсотка
прибутковості (дивіденду) акції до середньої норми прибутку для альтернативних
інвестицій чи до середнього позичкового відсотка по банківських депозитах
(альтернативне вкладення капіталу).
Курсова вартість акції (дохідна вартість акції) визначається
формулою ( в абсолютній вартості в грн.) [36]:
(1.2)
де
встановлений за
результатами річних
акціонерних
зборів відсоток виплати доходу від номінальної
вартості
акції при емісії.
Курсова
вартість акції (дохідна вартість акції) у випадку її реалізації після одержання
дивіденду збільшується (зменшується) на різницю ціни покупки акції і ціну
поточної ринкової вартості акції. При цьому вводиться поняття – «Плата за ризик
вкладення в дані акції (у %)» [36]:
(1.3)
де
ціна продажу акції після
одержання дивіденду по поточній ринковій вартості на момент продажу;
ціна покупки (придбання)
акції по поточній ринковій вартості на момент придбання акції;
експертна величина різниці
ризиків вкладення коштів в акції й альтернативному вкладенні коштів в інші
інвестиції (наприклад, банківські депозити під позичковий відсоток).
При
цьому в розрахунках передбачається, що часовий інтервал між покупкою і продажем
акції не менше інтервалу виплати дивідендів по акції (виплата – один раз у рік
). До цього ж річного інтервалу віднесена і величина позичкового відсотка по
альтернативному вкладенню капіталу.
2. Опціони на акції відкритих акціонерних
товариств(похідні цінні папери)
Опціон
– це обопільна
умова (контракт) [37], що дає право на покупку чи продаж визначеного
числа акцій відкритих акціонерних товариств за зафіксованою ціною (ціні -
страйк) у заздалегідь погоджену дату чи протягом погодженого періоду часу.
Особливість опціону полягає в тім, що при угоді купівлі - продажу покупець
здобуває не титул власності, а право на його придбання. Одиничний контракт
полягає на визначену кількість акцій (звичайно 100), яка називається лот.
Покупець контракту виплачує продавцю премію, що є своєрідною ціною опціону
Існує два типи опціонів: на покупку і на продаж [37].
Опціон
на покупку (опціон call) означає право покупця на придбання в будь-який момент
контрактного терміну акцій у встановленій кількості за зафіксованою ціною в
розрахунку на потенційне підвищення їхнього курсу.
Опціон
на продаж (опціон put) означає право покупця на продаж у будь-який момент контрактного
терміну акцій у встановленій кількості за зафіксованою ціною в розрахунку на
потенційне зниження їхнього курсу.
Особливість
опціону полягає в тім, що його покупець, оплативши при покупці визначену суму
(премію) продавцю, зовсім не зобов'язаний скористатися своїм правом і неодмінно
купити (чи продати) відповідні акції. У тому випадку, якщо ситуація на ринку
буде для нього несприятливою, тобто власник опціону, розраховуючи на підвищення
курсу акцій, а він понизився (при опціоні на покупку) і, навпаки, підвищився
(при опціоні на продаж), то він відмовиться від свого права на придбання
(продаж) акцій і розірве контракт. У цьому випадку покупець опціону понесе
збитки в розмірі рані виплаченої премії.
Звідси
випливають зовсім різні зобов'язання, узяті на себе покупцем і продавцем
опціонного контракту. Якщо обов'язку покупця обмежуються тільки своєчасною
сплатою премії, то продавець бере на себе зобов'язання з продажу (чи покупки)
відповідного кількості акцій по заздалегідь зафіксованій ціні.
Розмір
премії, що виплачує покупець опціону, залежить від комплексу різних факторів:
котирування даних акцій на ринку цінних паперів, специфічних особливостей
опціону, терміну дії опціонного контракту, співвідношення попиту та пропозиції
на ринку опціонів.
По
термінах виконання розрізняють європейські й американські опціони. При
європейському опціоні умови контракту можуть бути реалізовані тільки після
закінчення зазначеного в ньому терміну. При американському опціоні контракт
може бути реалізований у будь-який час протягом обговореного терміну. Саме цей
тип опціону в даний час на ринку цінних паперів є пріоритетним.
Серед
опціонів на покупку і продаж маються три принципово різних види опціонів:
внутрішні, ринкові і зовнішні.
Внутрішні
- мають ціну - страйк нижче діючої ринкової ціни акцій для call і вище ринкової
ціни для put на момент продажу опціону. Вони є менш ризикованими, але мають
найбільший розмір премії.
Ринкові
- мають ціну - страйк, рівну чи дуже близьку до курсу акцій на момент продажу
опціону. Вони мають середній ризик і рівень прибутковості.
Зовнішні
- являють собою протилежність внутрішнім опціонам: їхня ціна - страйк значно
вище курсу акцій для call і значно нижче для put. дані опціони характеризуються
великим ризиком і малим розміром премії.
3. Облігації
1. Облігація - цінний папір, що посвідчує внесення його власником
грошей, визначає відносини позики між власником облігації та емітентом,
підтверджує зобов'язання емітента повернути власникові облігації її номінальну
вартість у передбачений умовами розміщення облігацій строк та виплатити доход
за облігацією, якщо інше не передбачено умовами розміщення.
2.
Облігації розміщуються у документарній або бездокументарній формі.
3.
Емітент, у порядку, встановленому Державною комісією з цінних паперів та
фондового ринку, може розміщувати відсоткові, цільові та дисконтні облігації.
Відсоткові облігації - облігації, за якими передбачається виплата
відсоткових доходів.
Цільові облігації - облігації, виконання зобов'язань за якими
дозволяється товарами та/або послугами відповідно до вимог, встановлених
умовами розміщення таких облігацій.
Дисконтні облігації - облігації, що розміщуються за ціною, нижчою
ніж їх номінальна вартість. Різниця між ціною придбання та номінальною вартістю
облігації виплачується власнику облігації під час її погашення і становить
доход (дисконт) за облігацією.
4. Облігація має номінальну вартість, визначену в національній
валюті, а якщо це передбачено умовами розміщення облігацій - в іноземній
валюті.
5.
Емітент може розміщувати іменні облігації та облігації на пред'явника. Обіг
облігацій дозволяється після реєстрації Державною комісією з цінних паперів та
фондового ринку звіту про результати розміщення облігацій та видачі свідоцтва
про реєстрацію випуску облігацій.
4.
Облігації підприємств
1.
Облігації підприємств розміщуються юридичними особами тільки після повної
сплати свого статутного капіталу.
Облігації
підприємств підтверджують зобов'язання емітента за ними та не дають право на
участь в управлінні емітентом.
2. Юридична особа має право розміщувати облігації на суму, яка не
перевищує трикратного розміру власного капіталу або розміру забезпечення, що
надається їй з цією метою третіми особами.
3. Умови розміщення облігацій, що розміщуються акціонерним
товариством, можуть передбачати можливість їх конвертації в акції акціонерного
товариства (конвертовані облігації).
4.
Реєстрацію випуску облігацій підприємств здійснює Державна комісія з цінних
паперів та фондового ринку в установленому нею порядку.
5.
Облігації місцевих позик
1. До облігацій місцевих позик належать облігації внутрішніх та
зовнішніх місцевих позик.
Рішення
про розміщення облігацій місцевих позик приймає Верховна Рада Автономної
Республіки Крим або міська рада відповідно до вимог, установлених бюджетним
законодавством.
2.
Реєстрацію випуску облігацій місцевих позик здійснює Державна комісія з цінних
паперів та фондового ринку в установленому нею порядку.
3.
Особливості погашення та реалізації прав за облігаціями місцевих позик
визначаються умовами їх розміщення.
6.
Державні облігації України
1.
Державні облігації України можуть бути:
довгострокові
- понад п'ять років;
середньострокові
- від одного до п'яти років;
короткострокові
- до одного року.
2. Державні облігації України поділяються на облігації внутрішніх
державних позик України, облігації зовнішніх державних позик України та цільові
облігації внутрішніх державних позик України.
3. Облігації внутрішніх державних позик України - державні цінні
папери, що розміщуються виключно на внутрішньому фондовому ринку і
підтверджують зобов'язання України щодо відшкодування пред'явникам цих
облігацій їх номінальної вартості з виплатою доходу відповідно до умов
розміщення облігацій.
4. Цільові облігації внутрішніх державних позик України -
облігації внутрішніх державних позик, емісія яких є джерелом фінансування
дефіциту державного бюджету в обсягах, передбачених на цю мету законом про
Державний бюджет України на відповідний рік, та в межах граничного розміру
державного боргу.
5. Облігації зовнішніх державних позик України - державні боргові
цінні папери, що розміщуються на міжнародних фондових ринках і підтверджують
зобов'язання України відшкодувати пред'явникам цих облігацій їх номінальну
вартість з виплатою доходу відповідно до умов випуску облігацій.
6. Емісія державних облігацій України є частиною бюджетного
процесу і не підлягає регулюванню Державною комісією з цінних паперів та
фондового ринку.
7.
Емісія державних облігацій України регулюється законом України про Державний
бюджет України на відповідний рік, яким встановлюються граничні розміри
державного зовнішнього та внутрішнього боргу.
8. Умови розміщення та погашення облігацій внутрішніх державних
позик України і цільових облігацій внутрішніх державних позик України, не
визначені умовами розміщення, встановлюються Міністерством фінансів України
відповідно до законодавства.
9. Національний банк України виконує операції з обслуговування
державного боргу, пов'язані з розміщенням облігацій внутрішніх державних позик
та цільових облігацій внутрішніх державних позик України, їх погашенням і
виплатою доходів за ними, а також провадить депозитарну діяльність щодо цих
цінних паперів. Порядок проведення операцій, пов'язаних з розміщенням цих
облігацій, встановлюється Національним банком України за погодженням з
Міністерством фінансів України. Особливості провадження депозитарної діяльності
з державними облігаціями України визначаються Державною комісією з цінних
паперів та фондового ринку разом з Національним банком України.
10. Розміщення, обслуговування та погашення облігацій зовнішніх
державних позик України здійснює Міністерство фінансів України, яке може
залучати для цього банки, інвестиційні компанії тощо. Відносини між
Міністерством фінансів України і цими організаціями регулюються відповідними
договорами.
11. Державні облігації
України можуть бути іменними або на пред'явника.
Державні
облігації України розміщуються у документарній або бездокументарній формі.
12. Виплата доходів і погашення державних облігацій України
здійснюються грошима або державними облігаціями України інших видів за згодою
сторін.
7.
Казначейські зобов'язання України
1. Казначейське зобов'язання України - державний цінний папір, що
розміщується виключно на добровільних засадах серед фізичних осіб, посвідчує
факт заборгованості Державного бюджету України перед власником казначейського
зобов'язання України, дає власнику право на отримання грошового доходу та
погашається відповідно до умов розміщення казначейських зобов'язань України.
Емісія казначейських зобов'язань України є частиною бюджетного
процесу і не підлягає регулюванню Державною комісією з цінних паперів та
фондового ринку.
2.
Казначейські зобов'язання України можуть бути:
довгострокові
- понад п'ять років;
середньострокові
- від одного до п'яти років;
короткострокові
- до одного року.
3. Емітентом казначейських зобов'язань України виступає держава в
особі Міністерства фінансів України за дорученням Кабінету Міністрів України.
4.
Казначейські зобов'язання України можуть бути іменними або на пред'явника.
Казначейські зобов'язання України розміщуються у документарній або бездокументарній
формі.
5. Умови розміщення казначейських зобов'язань України можуть
передбачати їх погашення шляхом зменшення зобов'язань перед Державним бюджетом
України власника казначейського зобов'язання України на вартість цього
зобов'язання.
6.
Порядок визначення вартості продажу казначейських зобов'язань України під час
їх розміщення встановлюється Міністерством фінансів України.
7. Особливості провадження депозитарної діяльності з
казначейськими зобов'язаннями України визначаються Державною комісією з цінних
паперів та фондового ринку разом з Національним банком України.
8.
Інвестиційні сертифікати
1. Інвестиційний сертифікат - цінний папір, який розміщується
інвестиційним фондом, інвестиційною компанією, компанією з управління активами
пайового інвестиційного фонду та посвідчує право власності інвестора на частку
в інвестиційному фонді, взаємному фонді інвестиційної компанії та пайовому
інвестиційному фонді.
2. Емітентом інвестиційних сертифікатів виступає інвестиційний
фонд, інвестиційна компанія або компанія з управління активами пайового
інвестиційного фонду.
3.
Інвестиційні сертифікати можуть надавати його власнику право на отримання
доходу у вигляді дивідендів. Дивіденди за інвестиційними сертифікатами
відкритого та інтервального пайового інвестиційних фондів не нараховуються і не
сплачуються.
4. Особливості емісії, розміщення, обігу, обліку та погашення
інвестиційних сертифікатів визначаються відповідним законодавством.
9.
Ощадні (депозитні) сертифікати
1.
Ощадний (депозитний) сертифікат - цінний папір, який підтверджує суму вкладу,
внесеного у банк, і права вкладника (власника сертифіката) на одержання зі
спливом встановленого строку суми вкладу та процентів, встановлених
сертифікатом, у банку, який його видав.
2. Ощадні (депозитні) сертифікати розміщуються на певний строк
(під відсотки, передбачені умовами їх розміщення). Ощадні (депозитні)
сертифікати можуть бути іменними або на пред'явника. Іменні ощадні (депозитні)
сертифікати розміщуються у бездокументарній формі, а на пред'явника - у
документарній.
3. Відступлення ощадного (депозитного) сертифіката здійснюється
шляхом укладення договору між особою, що відступає права за сертифікатом, та
особою, що набуває ці права.
4.
Доход за ощадними (депозитними) сертифікатами виплачується під час пред'явлення
їх для оплати в банк, що розмістив ці сертифікати.
У
разі дострокового пред'явлення ощадного (депозитного) сертифіката до оплати
банк виплачує суму вкладу та відсотки (за вкладами на вимогу), якщо умовами
випуску сертифіката не передбачено інший розмір відсотків.
10.
Вексель
1.
Вексель - цінний папір, який посвідчує безумовне грошове зобов'язання
векселедавця або його наказ третій особі сплатити після настання строку платежу
визначену суму власнику векселя (векселедержателю).
2.
Векселі можуть бути прості або переказні та існують виключно у документарній
формі.
3.
Особливості видачі та обігу векселів, здійснення операцій з векселями,
погашення вексельних зобов'язань та стягнення за векселями визначаються
законом.
11.
Іпотечні, приватизаційні, похідні та товаророзпорядчі цінні папери
Згідно Закону України „Про іпотеку” [10] - іпотека - вид
забезпечення виконання зобов'язання нерухомим майном, що залишається у
володінні і користуванні іпотекодавця, згідно з яким іпотекодержатель має право
в разі невиконання боржником забезпеченого іпотекою зобов'язання одержати
задоволення своїх вимог за рахунок предмета іпотеки переважно перед іншими
кредиторами цього боржника у порядку, встановленому цим Законом.
Заставна
- це первинний
борговий
цінний папір, який засвідчує безумовне право його власника на отримання від
боржника виконання за основним зобов'язанням, за умови, що воно підлягає
виконанню в грошовій формі, а в разі невиконання основного зобов'язання - право
звернути стягнення на предмет іпотеки. Заставна оформлюється згідно іпотечному договору.
Заставна
може передаватися її власником будь-якій особі шляхом вчинення індосаменту.
Наступний власник заставної має ті ж права, що мав іпотекодержатель згідно з
договором, яким обумовлене основне зобов'язання, та іпотечним договором, на
підставі якого була оформлена заставна. У разі видачі заставної припиняються
грошові зобов'язання боржника за договором, який обумовлює основне
зобов'язання, та виникають грошові зобов'язання боржника щодо платежу за
заставною.
Закон України „Про іпотечне кредитування, операції з
консолідованим іпотечним боргом та іпотечні сертифікати” [9] регулює відносини
у системі іпотечного кредитування, а також перетворення платежів за іпотечними
активами у виплати за вторинними цінними паперами - іпотечними сертифікатами із
застосуванням механізмів управління майном (рис.1.1) [40].
Рис.
1.1 Cхема рефінансування банків, в основі якої лежить
іпотечне
кредитування
Таким
чином, об’єднано правила для основних елементів схеми, показаної на рис.1.1, а
саме: іпотечного кредиту, іпотечного пулу та іпотечних цінних паперів
(іпотечних сертифікатів), згідно з якими передбачається дворівнева схема ринку,
що спирається на іпотечне кредитування. На першому рівні такої схеми стоїть
банк, що надає іпотечні кредити (ІК1,..., ІКn)
зацікавленим особам (громадянам і домовласникам). На другому рівні схеми
знаходиться спеціалізований посередник, який розміщує іпотечні цінні папери на
ринку.
Схема
працює таким чином. Боржник бере іпотечний кредит, за яким він зобов’язаний
погашати суму основного боргу (суму кредиту) і виплачувати винагороду за
користування кредитом (проценти). Одночасно із цим оформляється іпотечний
договір, за яким нерухоме майно, що придбавалося, стає предметом іпотеки.
Потім
іпотечні кредити об’єднуються в іпотечні активи, для того щоб банк мав
можливість їх рефінансувати. Тут слід зауважити, що можливість рефінансування
іпотечних активів – одна з найважливіших операцій усієї схеми іпотечного
кредитування, оскільки банкіри не є альтруїстами і їм теж необхідно заробляти
гроші. Без рефінансування банки будуть не у змозі видавати величезні суми у
вигляді іпотечних кредитів на умовах поступового погашення протягом тривалого
строку. Унаслідок цього схема має на увазі участь спеціальних банків –
іпотечних, які працюють із «довгими грошима». Рефінансування іпотечних
кредитів, перетворених на іпотечні активи, провадиться за рахунок розміщення
серед інвесторів іпотечних цінних паперів.
Налагоджена
робота схеми, що базується на іпотечному кредитуванні, залежить і від
синхронізації грошових потоків, які проходять шлях від боржників за іпотечними
кредитами до інвесторів. Тому ст. 14 Закону № 979 містить норму, що строк обігу
іпотечних сертифікатів одного випуску не може перевищувати строку
існування іпотечних активів, які є забезпеченням цього випуску, та строку
відчуження іпотечних активів. Отже, в інвесторів є гарантія, що обіцяні виплати
за іпотечними сертифікатами буде забезпечено виплатами за іпотечними активами
і, крім того, самими активами.
Кредитодавець - банк, який є власником
іпотечних активів, має право випустити сертифікати за схемами, наведеними на
рис.1.2
[41].
Рис.1.2 Організація функціонування другого рівня іпотеки –
іпотечні
цінні папери
Особливості емісії (видачі), обігу та обліку заставних, іпотечних
сертифікатів, іпотечних облігацій, сертифікатів ФОН, приватизаційних, похідних,
товаророзпорядчих цінних паперів та порядок розкриття інформації щодо них
визначаються законодавством [ ], [ ], [ ].
Законом України „Про
Національну депозитарну систему та особливості електронного обігу цінних
паперів в Україні” [ ] обумовлена технологія реєстрації, зберігання та
врахування передачі прав володіння цінними паперами, яка є основою побудови
операцій на ринку цінних паперів:
- депозитарна діяльність – це надання послуг щодо зберігання
цінних паперів незалежно від форми їх випуску, відкриття та ведення рахунків у
цінних паперах, обслуговування операцій на цих рахунках (включаючи кліринг та
розрахунки за угодами щодо цінних паперів) та обслуговування операцій емітента
щодо випущених ним цінних паперів;
- депозитарний облік – це облік цінних паперів на рахунках
власників цінних паперів у зберігачів або облік на рахунках у цінних паперах,
який здійснює депозитарій для зберігачів та емітентів;
документарна форма цінного паперу - сертифікат цінних паперів
(далі - сертифікат), що містить реквізити відповідного виду цінних паперів
певної емісії, дані про кількість цінних паперів та засвідчує сукупність прав,
наданих цими цінними паперами;
- зберігач - комерційний банк або торговець цінними паперами, який
має ліцензію на зберігання та обслуговування обігу цінних паперів і операцій
емітента з цінними паперами на рахунках у цінних паперах як щодо тих цінних
паперів, що належать йому, так і тих, які він зберігає згідно з договором про
відкриття рахунку в цінних паперах; при цьому зберігач не може вести реєстр
власників цінних паперів, щодо яких він здійснює угоди;
- знерухомлення цінних паперів - переведення цінних паперів,
випущених у документарній формі, у бездокументарну форму шляхом депонування
сертифікатів у сховищах зберігача цінних паперів та/або депозитарію з метою
забезпечення подальшого їх обігу у вигляді облікових записів на рахунках
зберігача цінних паперів та/або депозитарію;
- кліринг - отримання, звірка та поточні оновлення інформації,
підготовка бухгалтерських та облікових документів, необхідних для виконання
угод щодо цінних паперів, визначення взаємних зобов'язань, що передбачає
взаємозалік, забезпечення та гарантування розрахунків за угодами щодо цінних
паперів;
- кліринговий депозитарій - депозитарій, який одержав ліцензію
Державної комісії з цінних паперів та фондового ринку на здійснення клірингу
щодо операцій з цінними паперами;
- номінальний утримувач - депозитарій або зберігач цінних паперів,
зареєстрований у реєстрі власників іменних цінних паперів як юридична особа,
якій ці цінні папери передано за дорученням та в інтересах власників цінних
паперів для здійснення операцій у Національній депозитарній системі;
- реєстр власників іменних цінних паперів - складений реєстратором
на певну дату список власників іменних цінних паперів та номінальних
утримувачів;
- реєстратор - юридична особа - суб'єкт підприємницької діяльності,
який одержав у встановленому порядку ліцензію на ведення реєстрів власників
іменних цінних паперів;
Форми
випуску цінних паперів
1.
Цінні папери, обіг яких дозволено на території України, і цінні папери, на які
поширюється дія законів України, можуть випускатися в документарній та
бездокументарній формах.
2. Форма випуску цінних паперів визначається за рішенням емітента
про випуск цінних паперів, затверджується Державною комісією з цінних паперів
та фондового ринку при реєстрації випуску та є підставою для взяття цих цінних
паперів на обслуговування Національною депозитарною системою як іменних цінних
паперів у документарній формі, цінних паперів на пред'явника у документарній
формі або цінних паперів у бездокументарній формі, іменна ідентифікація
власників яких здійснюється на підставі облікового реєстру рахунків власників у
зберігача.
3. Випуск цінних паперів у документарній формі здійснюється
емітентом шляхом виготовлення сертифікатів, які випускаються з урахуванням
вимог, визначених Державною комісією з цінних паперів та фондового ринку.
4.
У разі емісії цінних паперів у бездокументарній формі, крім приватизаційних
паперів, які засвідчують право власника на безоплатне одержання у процесі
приватизації частки майна державних підприємств, державного житлового фонду,
земельного фонду, емітент оформляє глобальний сертифікат, що відповідає
загальному обсягу зареєстрованого випуску, і передає його на зберігання в
обраний ним депозитарій.
Перехід
та реалізація права власності на цінні папери в Національній депозитарній
системі
1.
Іменні цінні папери, випущені в документарній формі (якщо умовами емісії
спеціально не зазначено, що вони не підлягають передачі), передаються у порядку,
встановленому для відступлення права вимоги (цесії).
У
разі відчуження знерухомлених іменних цінних паперів право власності переходить
до нового власника з моменту зарахування їх на рахунок власника у зберігача.
Права
на участь в управлінні, одержання доходу тощо, які випливають з іменних цінних
паперів, можуть бути реалізовані з моменту внесення змін до реєстру власників
іменних цінних паперів.
2.
Право власності на цінні папери на пред'явника, випущені в документарній формі,
переходить до нового власника з моменту передачі (поставки) цінних паперів.
У
разі відчуження знерухомлених цінних паперів на пред'явника право власності на
цінні папери переходить до нового власника з моменту зарахування їх на рахунок
власника у зберігача.
3.
Право власності на цінні папери, випущені в бездокументарній формі, переходить
до нового власника з моменту зарахування цінних паперів на рахунок власника у
зберігача.
4. Підтвердженням права власності на цінні папери є сертифікат, а
в разі знерухомлення цінних паперів чи їх емісії в бездокументарній формі -
виписка з рахунку у цінних паперах, яку зберігач зобов'язаний надавати власнику
цінних паперів.
Виписка
з рахунку у цінних паперах не може бути предметом угод, що тягнуть за собою
перехід права власності на цінні папери.
5.
Угоди щодо цінних паперів не підлягають нотаріальному посвідченню, якщо інше не
передбачено законодавством чи угодою сторін.
1.2 Суб’єкти ринку ціних паперів в Україні: сутність та структура
Згідно
з Законом України „Про цінні папери та фондовий ринок” (стаття 2. Фондовий
ринок) [ ]:
1. Фондовий ринок (ринок цінних паперів) – це сукупність учасників
фондового ринку та правовідносин між ними щодо розміщення, обігу та обліку
цінних паперів і похідних (деривативів).
2.
Учасниками фондового ринку є наступні суб’єкти - емітенти, інвесто-ри, саморегулівні
організації та професійні учасники фондового ринку.
Емітент
– це
юридична
особа, Автономна Республіка Крим або міські ради, а також держава в особі
уповноважених нею органів державної влади, яка від свого імені розміщує
емісійні цінні папери та бере на себе зобов'язання щодо них перед їх
власниками.
Інвестори
в цінні папери – це фізичні та юридичні особи, резиденти і нерезиденти, які набули
права власності на цінні папери з метою отримання доходу від вкладених коштів
та/або набуття відповідних прав, що надаються власнику цінних паперів
відповідно до законодавства. Інституційними інвес-торами є інститути
спільного інвестування (пайові та корпоративні інвестиційні фонди),
інвестиційні фонди, взаємні фонди інвестиційних компаній, недержавні пенсійні
фонди, страхові компанії, інші фінансові установи, які здійснюють операції з
фінансовими активами в інтересах третіх осіб за власний рахунок чи за рахунок
цих осіб, а у випадках, передбачених законодавством, - також за рахунок
залучених від інших осіб фінансових активів з метою отримання прибутку або
збереження реальної вартості фінансових активів.
Саморегулівна
організація професійних учасників фондового ринку - неприбуткове об'єднання
учасників фондового ринку, що провадять професійну діяльність на фондовому
ринку з торгівлі цінними паперами, управління активами інституційних
інвесторів, депозитарну діяльність (діяльність реєстраторів та зберігачів),
утворене відповідно до критеріїв та вимог, установлених Державною комісією з
цінних паперів та фондового ринку.
Професійні
учасники фондового ринку - юридичні особи, які на підставі ліцензії, виданої
Державною комісією з цінних паперів та фондового ринку, провадять на фондовому
ринку професійну діяльність, види якої визначені законами України.
Фондовий
ринок поділяється на первинний та вторинний :
а) Первинний ринок цінних паперів - сукупність правовідносин,
пов'язаних з розміщенням цінних паперів.
б) Вторинний ринок цінних паперів - сукупність правовідносин,
пов'язаних з обігом цінних паперів.
Порядок
первинної емісії цінних паперів у разі відкритого (публічного) та закритого
(приватного) їх розміщення та надходження на первинний ринок цінних паперів
обумовлений Законом України [ ]:
1. Публічне (відкрите) розміщення цінних паперів - їх відчуження
на підставі опублікування в засобах масової інформації або оголошення будь-яким
іншим способом повідомлення про продаж цінних паперів, зверненого до
заздалегідь не визначеної кількості осіб.
У
разі відкритого (публічного) розміщення цінних паперів серед заздалегідь не
визначеного кола осіб емісія здійснюється за такими етапами:
1)
прийняття рішення про відкрите (публічне) розміщення цінних паперів органом
емітента, уповноваженим приймати таке рішення;
2)
подання заяви і всіх необхідних документів для реєстрації випуску цінних
паперів та проспекту їх емісії;
3)
реєстрація Державною комісією з цінних паперів та фондового ринку випуску
цінних паперів та проспекту їх емісії;
4)
прийняття у разі потреби рішення про залучення андеррайтера до розміщення
цінних паперів;
5)
присвоєння цінним паперам міжнародного ідентифікаційного номера;
6) укладення з депозитарієм договору про обслуговування емісії
цінних паперів або з реєстратором - про ведення реєстру власників іменних
цінних паперів, крім випадків, коли облік прав за цінними паперами веде емітент
відповідно до законодавства або цінні папери розміщуються на пред'явника;
7)
виготовлення сертифікатів цінних паперів у разі розміщення цінних паперів у
документарній формі;
8)
розкриття інформації, що міститься в проспекті емісії цінних паперів;
9)
відкрите (публічне) розміщення цінних паперів;
10) затвердження
результатів розміщення цінних паперів органом емітента, уповноваженим приймати
таке рішення;
11) затвердження змін до
статуту, пов'язаних із збільшенням статутного капіталу акціонерного товариства
з урахуванням результатів розміщення акцій;
12) реєстрація змін до
статуту в органах державної реєстрації;
13) подання звіту про
результати відкритого (публічного) розміщення цінних паперів;
14) реєстрація Державною
комісією з цінних паперів та фондового ринку звіту про результати відкритого
(публічного) розміщення цінних паперів;
15) отримання свідоцтва про
реєстрацію випуску цінних паперів;
16) розкриття інформації,
що міститься у звіті про результати відкритого (публічного) розміщення цінних
паперів.
2. Приватне (закрите) розміщення цінних паперів – це розміщення
цінних паперів шляхом безпосередньої пропозиції цінних паперів заздалегідь
визначеному колу осіб.
У
разі закритого (приватного) розміщення цінних паперів серед заздалегідь
визначеного кола осіб емісія здійснюється за такими етапами:
1)
прийняття рішення про закрите (приватне) розміщення цінних паперів органом
емітента, уповноваженим приймати таке рішення;
2)
у разі відмови власника акцій від використання свого переважного права на
придбання акцій, якщо це передбачено умовами закритого (приватного) розміщення
цінних паперів, - отримання від нього письмового підтвердження про відмову;
3)
подання заяви та всіх необхідних документів на реєстрацію випуску цінних
паперів;
4)
реєстрація Державною комісією з цінних паперів та фондового ринку випуску
цінних паперів;
5)
присвоєння цінним паперам міжнародного ідентифікаційного номера;
6) укладення з депозитарієм договору про обслуговування емісії
цінних паперів або з реєстратором - про ведення реєстру власників іменних
цінних паперів, крім випадків, коли облік прав за цінними паперами веде емітент
відповідно до законодавства або цінні папери розміщуються на пред'явника;
7)
виготовлення сертифікатів цінних паперів у разі розміщення цінних паперів у
документарній формі;
8)
закрите (приватне) розміщення цінних паперів;
9)
затвердження результатів розміщення цінних паперів органом емітента,
уповноваженим приймати таке рішення;
10)
затвердження змін до статуту, пов'язаних із збільшенням статутного капіталу
акціонерного товариства з урахуванням результатів розміщення акцій;
11)
реєстрація змін до статуту в органах державної реєстрації;
12)
подання Державній комісії з цінних паперів та фондового ринку звіту про результати
закритого (приватного) розміщення цінних паперів;
13)
реєстрація Державною комісією з цінних паперів та фондового ринку звіту про
результати закритого (приватного) розміщення цінних паперів;
14)
отримання свідоцтва про реєстрацію випуску цінних паперів.
3.
Стосовно кожного розміщення цінних паперів емітентом приймається рішення, яке
оформляється протоколом. Вимоги до змісту протоколу встановлюються Державною
комісією з цінних паперів та фондового ринку.
4.
Перше розміщення акцій відкритого акціонерного товариства є виключно закритим
(приватним) серед засновників.
Види
професійної діяльності на фондовому ринку України [ ]:
1. Професійна діяльність на фондовому ринку - діяльність юридичних
осіб з надання фінансових та інших послуг у сфері розміщення та обігу цінних
паперів, обліку прав за цінними паперами, управління активами інституційних
інвесторів, що відповідає вимогам, установленим до такої діяльності цим Законом
та законодавством.
Поєднання
професійної діяльності на фондовому ринку з іншими видами професійної
діяльності, за винятком банківської, не допускається, крім випадків,
передбачених законом.
2.
На фондовому ринку здійснюються такі види професійної діяльності:
-
діяльність з торгівлі цінними паперами;
-
діяльність з управління активами інституційних інвесторів;
-
депозитарна діяльність;
-
діяльність з організації торгівлі на фондовому ринку.
3.
Професійна діяльність на фондовому ринку здійснюється виключно на підставі
ліцензії, що видається Державною комісією з цінних паперів та фондового ринку.
Перелік документів, необхідних для отримання ліцензії, порядок її видачі та
анулювання встановлюються Державною комісією з цінних паперів та фондового
ринку.
4.
Професійна діяльність учасників фондового ринку, крім депозитаріїв та фондових
бірж, здійснюється за умови членства щонайменше в одній саморегулівній
організації.
Діяльність
з торгівлі цінними паперами
1.
Професійна діяльність з торгівлі цінними паперами на фондовому ринку
провадиться торговцями цінними паперами - господарськими товариствами, для яких
операції з цінними паперами є виключним видом діяльності, а також банками.
Професійна
діяльність з торгівлі цінними паперами включає:
-
брокерську діяльність;
-
дилерську діяльність;
-
андеррайтинг;
-
діяльність з управління цінними паперами.
Торговець
цінними паперами може провадити дилерську діяльність, якщо має сплачений
грошима статутний капітал у розмірі не менш як 120 тисяч гривень, брокерську
діяльність та діяльність з управління цінними паперами - не менш як 300 тисяч
гривень, андеррайтинг - не менш як 600 тисяч гривень.
У
статутному капіталі торговця цінними паперами частка іншого торговця не може
перевищувати 10 відсотків.
Торговцю
цінними паперами забороняється перепродавати (обмінювати) цінні папери власного
випуску.
2.
Брокерська діяльність – це укладення торговцем цінними паперами
цивільно-правових договорів (зокрема договорів комісії, доручення) щодо цінних
паперів від свого імені (від імені іншої особи), за дорученням і за рахунок
іншої особи.
Торговець
цінними паперами може виступати поручителем або гарантом виконання зобов'язань
перед третіми особами за договорами, що укладаються від імені клієнта такого
торговця, отримуючи за це винагороду, що визначається договором торговця
цінними паперами з клієнтом.
3.
Дилерська діяльність – це укладення торговцем цінними паперами
цивільно-правових договорів щодо цінних паперів від свого імені та за свій
рахунок з метою перепродажу, крім випадків, передбачених законом.
4.
Андеррайтинг – це розміщення (підписка, продаж) цінних паперів торговцем цінними
паперами за дорученням, від імені та за рахунок емітента.
У
разі публічного розміщення цінних паперів андеррайтер може брати на себе
зобов'язання за домовленістю з емітентом щодо гарантування продажу всіх цінних
паперів емітента, що підлягають розміщенню, або їх частини. Якщо випуск цінних
паперів публічно розміщується не в повному обсязі, андеррайтер може здійснити
повний або частковий викуп нереалізованих цінних паперів за визначеною в
договорі фіксованою ціною на засадах комерційного представництва відповідно до
взятих на себе зобов'язань.
З
метою організації публічного розміщення цінних паперів андеррайтери можуть
укладати між собою договір про спільну діяльність.
5.
Діяльність з управління цінними паперами – це діяльність, яка провадиться
торговцем цінними паперами від свого імені за винагороду протягом визначеного
строку на підставі договору про управління переданими йому цінними паперами та
грошовими коштами, призначеними для інвестування в цінні папери, а також
отриманими в процесі цього управління цінними паперами та грошовими коштами,
які належать на праві власності установнику управління, в його інтересах або в
інтересах визначених ним третіх осіб.
Торговець
цінними паперами має право укладати договори про управління цінними паперами з
фізичними та юридичними особами.
Сума
договору про управління цінними паперами з одним клієнтом - фізичною особою має
становити не менше суми, еквівалентної 100 мінімальним заробітним платам.
Договір
про управління цінними паперами не може укладатися торговцем цінними паперами з
компанією з управління активами.
6.
Договір доручення, договір комісії або договір про управління цінними паперами
укладається з торговцем цінними паперами в письмовій формі. Права та обов'язки
торговця цінними паперами стосовно його клієнта, умови укладення договорів щодо
цінних паперів, порядок звітності торговця перед його клієнтом, порядок і умови
виплати торговцю винагороди визначаються у договорі, що укладається між ними.
7.
Не вважається професійною діяльністю з торгівлі цінними паперами:
-
розміщення емітентом власних цінних паперів;
-
викуп емітентом власних цінних паперів;
-
проведення юридичними особами та фізичними особами - підприємцями розрахунків з
використанням векселів та/або заставних;
-
провадження юридичними особами на підставі договорів комісії або договорів
доручення купівлі-продажу (обміну) цінних паперів через торговця цінними
паперами, який має ліцензію на провадження брокерської діяльності, а також на
підставі договорів купівлі-продажу або міни, укладених безпосередньо з
торговцем цінними паперами;
-
внесення цінних паперів до статутного капіталу юридичних осіб.
8.
Без участі торговця цінними паперами можуть здійснюватися такі операції:
-
дарування та спадкування цінних паперів;
-
операції, пов'язані з виконанням рішення суду;
-
придбання акцій відповідно до законодавства про приватизацію.
10.
Особливості укладення договорів, пов'язаних з переходом права власності на
емітовані банками акції, визначаються законом.
Діяльність
з управління активами інституційних інвесторів
1. Діяльність з управління активами інституційних інвесторів – це професійна
діяльність учасника фондового ринку - компанії з управління активами, що
провадиться нею за винагороду від свого імені або на підставі відповідного
договору про управління активами інституційних інвесторів.
2.
Діяльність з управління активами інституційних інвесторів регулюється
спеціальним законодавством.
Депозитарна
діяльність
1.
Депозитарна діяльність провадиться учасниками фондового ринку відповідно до
законодавства про депозитарну систему України.
Діяльність
з організації торгівлі на фондовому ринку
1. Діяльність з організації торгівлі на фондовому ринку – це діяльність
професійного учасника фондового ринку (організатора торгівлі) із створення
організаційних, технологічних, інформаційних, правових та інших умов для
збирання та поширення інформації стосовно попиту і пропозицій, проведення
регулярних торгів фінансовими інструментами за встановленими правилами,
централізованого укладення і виконання договорів щодо фінансових інструментів,
у тому числі здійснення клірингу та розрахунків за ними, та розв'язання спорів
між членами організатора торгівлі.
2. Організаторами торгівлі є фондові біржі, що відповідають
вимогам цього Закону.
Для здійснення своєї діяльності фондові біржі повинні підтримувати
власний капітал в розмірі, не меншому ніж 3 мільйони гривень, а для фондових
бірж, що здійснюють кліринг та розрахунки, - не меншому ніж 6 мільйонів
гривень.
Фондова біржа утворюється та діє в організаційно-правовій формі
товариства (крім повного, командитного товариства і товариства з додатковою
відповідальністю) або дочірнього підприємства об'єднання торговців цінними
паперами, та провадить свою діяльність відповідно до Цивільного кодексу
України, законів, що регулюють питання утворення, діяльності та припинення
юридичних осіб, з особливостями, визначеними цим Законом.
Фондова біржа утворюється не менше ніж двадцятьма засновниками -
торговцями цінними паперами, які мають ліцензію на право провадження
професійної діяльності на фондовому ринку, або їх об'єднанням, що налічує не
менше ніж двадцять торговців цінними паперами. Частка одного торговця цінними паперами не
може бути більшою ніж 5 відсотків статутного капіталу фондової біржі.
Фондова
біржа набуває статусу юридичної особи з моменту державної реєстрації. Державна
реєстрація фондової біржі здійснюється в порядку, встановленому Законом України
"Про державну реєстрацію юридичних осіб та фізичних осіб -
підприємців".
Фондова
біржа має право провадити діяльність з організації торгівлі на фондовому ринку
з моменту отримання ліцензії Державної комісії з цінних паперів та фондового
ринку.
Слова
"фондова біржа" та похідні від них дозволяється використовувати лише
юридичним особам, які створені та функціонують відповідно до вимог цього
Закону.
4.
Діяльність фондової біржі як організатора торгівлі тимчасово зупиняється
Державною комісією з цінних паперів та фондового ринку в разі, коли кількість
її членів стала менш ніж 20, а якщо фондову біржу утворено у формі дочірнього
підприємства об'єднання торговців цінними паперами - коли кількість членів
такого об'єднання стала менше ніж 20. Якщо протягом шести місяців прийняття
нових членів не відбулося, діяльність фондової біржі припиняється.
5.
Членами фондової біржі можуть бути виключно торговці цінними паперами, які
мають ліцензію на право провадження професійної діяльності на фондовому ринку
та взяли на себе зобов'язання виконувати всі правила, положення і стандарти
фондової біржі.
У
разі анулювання отриманої торговцем цінними паперами ліцензії на право провадження
професійної діяльності на фондовому ринку його членство у фондовій біржі
тимчасово зупиняється до поновлення ним ліцензії або надання на біржу листа
щодо виключення його з членів біржі. Інші підстави припинення або тимчасового
зупинення членства у фондовій біржі визначаються правилами фондової біржі.
Членство
у фондовій біржі припиняється у разі анулювання ліцензії на право провадження
професійної діяльності на фондовому ринку, виданої торговцю цінними паперами.
6.
Кожний член фондової біржі має рівні права щодо організації діяльності фондової
біржі як організатора торгівлі.
Діяльність
на ринку цінних паперів в розрізі окремих видів професійної діяльності
ліцензується Державною Комісіїю з цінних паперів та фондового ринку згідно з
Законом України «Про державне регулювання ринку цінних паперів в Україні» [ ].
1.
Національна депозитарна система складається з двох рівнів.
Нижній
рівень - це зберігачі, які ведуть рахунки власників цінних паперів, та
реєстратори власників іменних цінних паперів.
Верхній
рівень - це Національний депозитарій України (далі - Національний депозитарій)
і депозитарії, що ведуть рахунки для зберігачів та здійснюють кліринг і
розрахунки за угодами щодо цінних паперів.
Обслуговування
обігу державних цінних паперів, в тому числі депозитарну діяльність щодо цих
паперів, здійснює Національний банк України. Особливості здійснення
депозитарної діяльності з державними цінними паперами встановлюються Державною
комісією з цінних паперів та фондового ринку спільно з Національним банком
України. При здійсненні такої діяльності на Національний банк України не
поширюються обмеження, встановлені абзацом шостим статті 1 та частиною першою
статті 10 цього Закону.
У
разі одержання ліцензії депозитарії та зберігачі можуть вести реєстри власників
іменних цінних паперів.
Ведення
реєстрів власників іменних цінних паперів є виключною діяльністю суб'єктів
підприємницької діяльності і не може поєднуватися з іншими видами діяльності,
крім депозитарної.
2. Перелік цінних паперів, що обслуговуються Національною
депозитарною системою, встановлює Державна комісія з цінних паперів та
фондового ринку.
3. Юридичні особи, які згідно з цим Законом є учасниками
Національної депозитарної системи, здійснюють такі види діяльності:
- зберігання і обслуговування обігу цінних паперів на рахунках у
цінних паперах та операцій емітента щодо випущених ним цінних паперів;
-
кліринг та розрахунки за угодами щодо цінних паперів;
-
ведення реєстрів власників іменних цінних паперів.
4.
Учасниками Національної депозитарної системи є наступні суб’єкти ринку цінних
паперів:
Депозитарії
1. Депозитарій - юридична особа, яка створюється у формі
відкритого акціонерного товариства, учасниками якого є не менше ніж десять
зберігачів, і яка здійснює виключно депозитарну діяльність. При цьому частка одного
учасника в статутному фонді депозитарію не може перевищувати двадцяти п'яти
відсотків цього фонду.
2.
Фондова біржа чи учасники організаційно оформленого позабіржового ринку можуть
бути засновниками депозитарію.
3. Клієнтами депозитарію є зберігачі, які уклали з ним
депозитарний договір, емітенти щодо рахунків власних емісій, відкритих на
підставі договорів про обслуговування емісії цінних паперів, а також інші
депозитарії, з якими укладено договори про кореспондентські відносини.
4.
Оплата послуг депозитарію здійснюється за тарифами, які встановлює сам
депозитарій. Максимальний розмір тарифів встановлюється Державною комісією з
цінних паперів та фондового ринку за погодженням з Антимонопольним комітетом
України.
Зберігачі
цінних паперів
1. Комерційні банки, які мають ліцензію на здійснення діяльності
по випуску та обігу цінних паперів, і торговці цінними паперами за наявності
ліцензії мають право бути зберігачами, провадити за дорученням власника
операції з депонованими цінними паперами і здійснювати іншу депозитарну
діяльність, пов'язану з обігом цінних паперів, за винятком клірингу та
розрахунків за угодами щодо цінних паперів.
У статутному фонді зберігача частка іншого зберігача, торговця
цінними паперами, інвестиційної компанії та інших професійних учасників
фондового ринку не може перевищувати п'яти відсотків. Частка інституційного
інвестора, який не є професійним учасником фондового ринку (страхова компанія,
недержавний пенсійний фонд та інші) у статутному фонді зберігача не може перевищувати
двадцяти відсотків, якщо інше не передбачено законом.
2. Зберігачі здійснюють зберігання та обслуговування обігу цінних
паперів і операцій емітента з цінними паперами на рахунках у цінних паперах,
які належать їх власникам (у тому числі самому зберігачу).
У разі одержання зберігачем ліцензії на ведення реєстрів власників
іменних цінних паперів зберігачу забороняється здійснювати будь-які операції з
цінними паперами, реєстр власників яких він веде, крім операцій реєстратора за
договором з емітентом. Зберігач не може бути інвестиційним керуючим депонента, який є
інституційним інвестором.
3.
Оплата послуг зберігача провадиться за тарифами, встановленими самим
зберігачем. Максимальний розмір тарифів встановлюється Державною комісією з
цінних паперів та фондового ринку за погодженням з Антимонопольним комітетом
України.
Реєстратори
власників іменних цінних паперів
1. Юридичні особи можуть одержати ліцензію на ведення реєстрів
власників іменних цінних паперів, якщо реєстраційна діяльність передбачена їх
статутом. Органи
державної влади не можуть бути засновниками або учасниками реєстратора. Центри
сертифікатних аукціонів і їх правонаступники не можуть вести реєстри і бути
засновниками та учасниками реєстратора.
Реєстратор
та його учасник не можуть прямо чи опосередковано володіти акціями емітента,
реєстр власників іменних цінних паперів якого веде цей реєстратор.
Емітент може вести власний реєстр самостійно, якщо кількість
власників цінних паперів не перевищує кількості, визначеної Державною комісією
з цінних паперів та фондового ринку.
Емітент
не може бути прямо чи опосередковано засновником та учасником реєстратора,
реєстр власників іменних цінних паперів якого веде цей реєстратор.
2.
Реєстратор веде реєстр власників іменних цінних паперів на умовах договору, що
укладається з емітентом цінних паперів.
Типова
форма договору затверджується Державною комісією з цінних паперів та фондового
ринку.
3.
Оплата послуг реєстратора здійснюється за тарифами, які встановлює сам
реєстратор. Максимальний розмір тарифів встановлюється Державною комісією з
цінних паперів та фондового ринку за погодженням з Антимонопольним комітетом
України.
Видача
ліцензій на здійснення депозитарної діяльності
1. Ліцензійні умови здійснення депозитарної діяльності учасниками
Національної депозитарної системи встановлюються Державною комісією з цінних
паперів та фондового ринку.
2. Для здійснення кожного з видів депозитарної діяльності
учасникам Національної депозитарної системи видається ліцензія Державною
комісією з цінних паперів та фондового ринку.
Для здійснення клірингу та розрахунків за угодами щодо цінних
паперів депозитарій має отримати ліцензію Державної комісії з цінних паперів та
фондового ринку. Порядок видачі ліцензії затверджується Державною комісією з
цінних паперів та фондового ринку.
3. Ліцензія на здійснення депозитарної діяльності комерційним
банкам видається Державною комісією з цінних паперів та фондового ринку за
погодженням з Національним банком України.
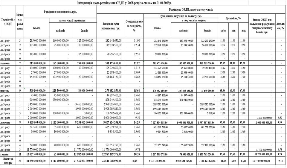
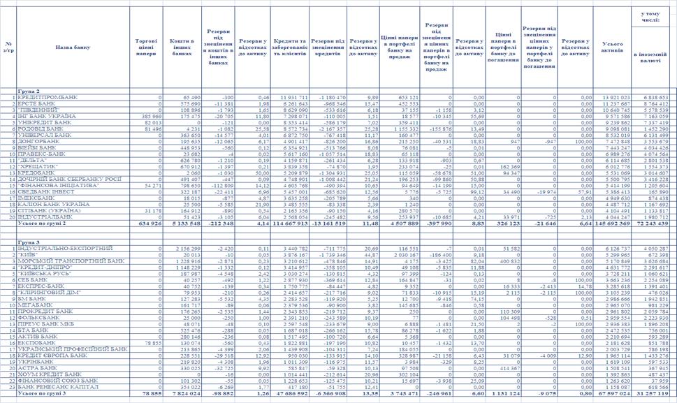
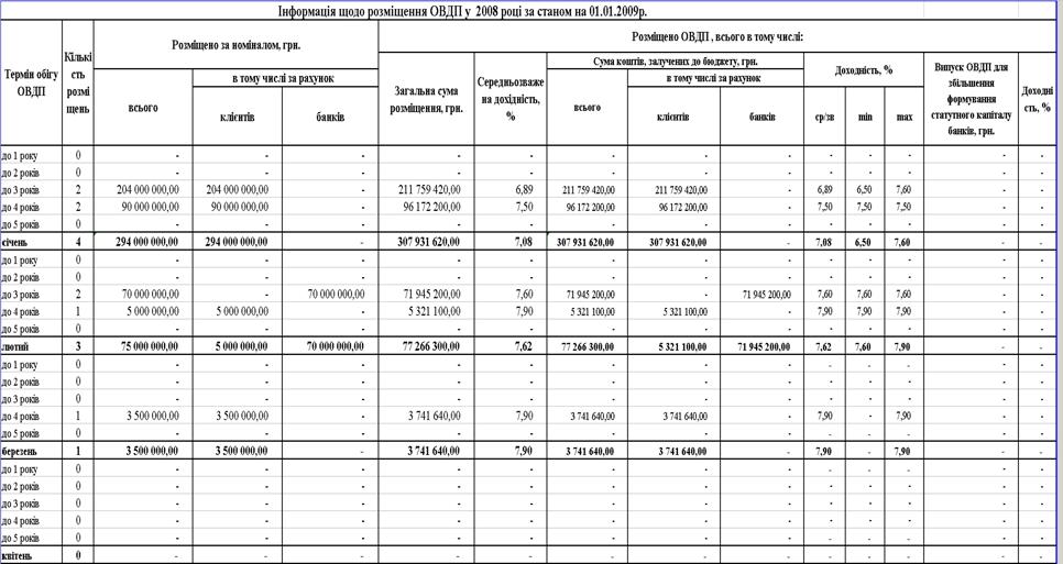
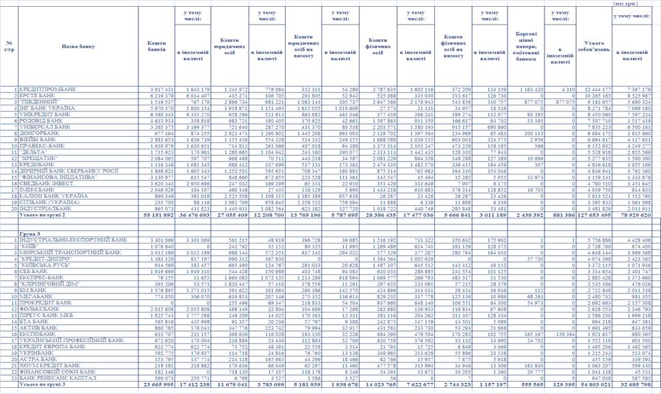
1.3 Розвиток ринку цінних паперів в Україні
Статистичні
дані Державної комісії з цінних паперів та фондового ринку по динаміці розвитку
ринку цінних паперів України (обсягам торгів на ринку цінних паперів України та
кількості професійних учасників ринку ЦП України) за 2004 – 2008 роки наведені
в табл.1.1 – 1.5 [ ].
Таблиця 1.1
Порівняльні дані обсягів торгів на ринку цінних
паперів України та обсягів випуску продукції промисловості та сільського
господарства, а також обсягів ринку будівництва в Україні в 2004 -2008 роках
Таблиця 1.2
Кількість та структура професійних учасників ринку ЦП
України, які мають ліцензії на певні види діяльності
Таблиця 1.3
Обсяги первинного ринку емісії цінних паперів в Україні у
2004 -2008 роках та участь комерційних банків на ринку первинної емісії
Таблиця 1.4
Обсяги та види операцій з цінними паперами, виконані
торгівцями
на вторинному ринку ЦП України у 2004 -2008 роках
Таблиця 1.5
Обсяги первинного та вторинного ринку цінних
паперів
на біржах України у 2008 році
1.4 Стратегії діяльності Національного банку
України та комерційних банків на ринку цінних паперів в Україні
1.4.1 Стратегія діяльності Національного банку
України на ринку цінних паперів
Стратегія
діяльності Національного банку України на ринку цінних паперів України
обумовлена вимогами Закона України „Про Національний банк України” [ ], згідно з яким:
-
Відповідно
до Конституції України основною функцією Національного банку є забезпечення
стабільності грошової одиниці України.
На
виконання своєї основної функції Національний банк сприяє дотриманню
стабільності банківської системи, а також, у межах своїх повноважень, - цінової
стабільності.
-
Національний
банк виконує такі функції, пов'язані з ринком цінних паперів:
3)
виступає кредитором останньої інстанції для банків і організує систему
рефінансування;
24)
за спрощеною процедурою здійснює довгострокове рефінансування комерційних
банків під заставу іпотечних кредитів, наданих цими банками населенню на
інвестування будівництва житла в розмірі не менше ніж 80 відсотків номінальної
вартості пулу іпотечних кредитів, наданого у забезпечення відповідним банкам.
-
Основними
економічними засобами і методами грошово-кредитної політики є регулювання
обсягу грошової маси через наступні операції на ринку цінних паперів:
3)
рефінансування комерційних банків;
5)
операції з цінними паперами (крім цінних паперів, що підтверджують корпоративні
права), у тому числі з казначейськими зобов'язаннями, на відкритому ринку;
7)
емісія власних боргових зобов'язань та операції з ними.
-
Національний банк для забезпечення
виконання покладених на нього функцій здійснює такі операції на ринку цінних
паперів:
1)
надає кредити комерційним банкам для підтримки ліквідності за ставкою не нижче
ставки рефінансування Національного банку та в порядку, визначеному
Національним банком;
3) здійснює
дисконтні операції з векселями і чеками в порядку, визначеному Національним
банком;
4) купує
та продає на вторинному ринку цінні папери у порядку, передбаченому законодавством
України;
9) приймає
на зберігання та в управління державні цінні папери й інші цінності;
12) виконує
операції по обслуговуванню державного боргу, пов'язані із розміщенням державних
цінних паперів, їх погашенням і виплатою доходу за ними;
На
ринку цінних паперів України Національний банк України, як центральний банк
першого рівня дворівневої банківської системи України, виконує наступні види
діяльності:
-
розміщення та депозитарну діяльність з державними цінними паперами;
-
розміщення та депозитарну діяльність з власними ощадними сертифікатами;
-
вторинне придбання та продаж державних цінних паперів;
- заставне репо-кредитування комерційних банків
другого рівня банківської системи України з використанням державних та
комерційних цінних паперів згідно „Положення про регулювання Національним
банком України ліквідності банків України” [ ]. При цьому стратегія
репо-кредитування НБУ комерційних банків сприяє придбанню комерційними банками
України облігацій ОВДП – внутрішньої державної позики, оскільки ці цінні папери
не потребують резерву-вання та беззаперечно рефінансуються НБУ за самим високим
обліковим рів-нем. Таким чином, стратегія НБУ дозволяє одночасно вирішувати
питання фінансування державного бюджету за рахунок розміщення ОВДП серед
комерційних банків, як основних внутрішніх інвесторів, так і питання зниження
ризиків репо-кредитування (рефінансування ліквідності) комерційних банків.
Так, згідно з листом НБУ від 28.09.2009 р. N 14-011/4606-18069, Національний
банк України може розглядати у якості прийнятного забезпечення кредитів
рефінансування у IV кварталі 2009 року, а саме:
-
державні облігації України (облігації внутрішньої державної позики України)
усіх випусків, які знаходяться в обігу та відповідають вимогам п. 3.7 та п. 3.8
(щодо державних облігацій України, які перебувають у довірчій влас-ності) Глави 3 Розділу II
Положення;
-
депозитні сертифікати Національного банку України, що знаходяться в обігу та
відповідають вимогам п. 3.9 Глави 3 Розділу II Положення;
-
облігації Державної іпотечної установи з додатковим забезпеченням у формі
Державної гарантії за зобов'язаннями емітента, яка видана Кабінетом Міністрів
України, що відповідають вимогам п. 3.10 Глави 3 Розділу II Положення;
-
звичайні іпотечні облігації Державної іпотечної установи, що відповіда-ють вимогам п. 3.12 Глави
3 Розділу II Положення;
-
облігації місцевих позик та облігації підприємств, що відповідають ви-могам п. 3.12 Глави 3
Розділу II Положення;
- враховані банком векселі суб'єктів господарювання, що відповідають
вимогам п. 3.13 Глави 3 Розділу II Положення;
-
векселі банків, авальовані іншим банком, що відповідають вимогам п. 3.13 Глави
3 Розділу II Положення.
1.4.2 Стратегії діяльності на ринку цінних паперів та формування
портфеля цінних паперів комерційними банками
Комерційні банки
формують свої портфелі цінних паперів, виходячи з обраної інвестиційної
політики та головної мети, якої прагне досягти банк у процесі проведення
операцій з цінними паперами.
У процесі
формування портфеля цінних паперів банку необхідно проаналізувати такі основні
характеристики, як очікувана дохідність портфеля та рівень сукупного
портфельного ризику. Ефективність управління портфелем цінних паперів банку
визначається за співвідношенням доходів та ризиків, котре показує рівень
компенсації взятих на себе банком ризиків величиною одержаних доходів [ ].
Після вивчення
характеристик усіх цінних паперів, які обертаються на ринку, інвестиційний
менеджмент аналізує їх з погляду того, чи підходящі вони портфелю банку.
Наступним етапом є прийняття рішення щодо купівлі чи продажу певних фінансових
інструментів.
У
банківській практиці виділяють два основні підходи до управління портфелем
цінних паперів, які називають пасивною й активною інвестиційною політикою.
Головні
характеристики пасивної інвестиційної політики:
¨
інвестиції мають довгостроковий
характер;
¨
незначні обороти за операціями купівлі-продажу цінних паперів;
¨
високий рівень диверсифікації, частка окремих цінних паперів мала,
ризик збалансований;
¨
результатом є формування
пасивного портфеля.
Для
активної інвестиційної політики є характерним:
¨
активна гра на підвищення з
недооціненими цінними паперами;
¨
активна гра на зниження з
цінними паперами із завищеною ціною;
¨
великі обороти за операціями купівлі-продажу цінних паперів;
¨
в основному короткостроковий
характер інвестицій;
¨
низький рівень диверсифікації;
¨
висока концентрація окремих
ризикованих цінних паперів;
¨
спекулятивний характер і
високий рівень ризикованості;
¨
результатом є формування
активного портфеля.
Відповідно до
обраної інвестиційної політики банківські портфелі цінних паперів поділяються
на два основних типи — пасивні й активні.
Пасивні
портфелі цінних паперів добре диверсифіковані, а їх ліквідність, ризик і
дохідність відповідають середньоринковим. Формуючи такі портфелі менеджмент не
включає до їх складу різко недооцінені або високоризикові (спекулятивні) цінні
папери, тобто банк ніби «пливе за течією». Прикладом може бути формування
індексних портфелів, до яких включають ті самі цінні папери, на основі яких розраховується
певний фондовий індекс. Ринкова ціна такого портфеля прямує за рухом фондового
індексу. Перевагами є мінімізація витрат на аналітичну підтримку індексного
портфеля та витрат банку, пов’язаних з виходом на ринок (комісійні, біржові,
гарантійні внески).
Активні
портфелі включають цінні папери, курси яких нині (або у перспективі) різко
відхиляються від цін, визначених середньоринковими умовами, і можуть зазнавати
сильних коливань. Склад такого портфеля активно регулюється, спираючись на
постійний докладний аналіз кон’юнктури ринку. Характерною рисою активного
портфеля є значні обороти за операціями купівлі-продажу фінансових інструментів
для відновлення його складу. Активні портфелі формуються певною мірою «проти
ринку», тому інвестиційний менеджер постійно приймає рішення, намагаючись
«побити ринок», а не «пливти за його течією». Виграш досягається завдяки
купівлі цінних паперів на нижніх точках поточних коливань курсової ціни та
продажу їх на ринку на верхніх точках.
Інший
варіант формування активного портфеля — це пошук і придбання недооцінених
паперів, наприклад, у розрахунку на одиницю переробленої емітентом нафти, газу
тощо, порівняно з цінними паперами аналогічних підприємств. У цьому разі
активний портфель забезпечує підвищену дохідність за рахунок тривалого росту
курсової вартості цінних паперів за тих самих значень ліквідності та ризику, що
і в пасивному портфелі.
У
цілому активний підхід до управління портфелем цінних паперів містить велику
спекулятивну складову та характеризується не лише грою (спекуляцією) на
майбутніх цінах та відсоткових ставках, а й наданням дилерських послуг і
постійних котирувань цін покупця та продавця. Органи банківського нагляду в
більшості країн несхвально ставляться до спекулятивної торгівлі цінними
паперами в банку, через що багато інвестиційних менеджерів, особливо в
невеликих банківських установах, віддають перевагу пасивному портфелю.
Але втручання
органів регулювання — це не єдина перепона для застосування активної
інвестиційної політики. Багато банків, у тому числі в розвинутих країнах,
стикаються з проблемами недостатньої кількості досвідчених менеджерів і браком
налагоджених ринків цінних паперів. У результаті для більшості невеликих банків
пасивна інвестиційна політика стає єдино доступною. Великі міжнародні та
регіональні банки, навпаки, дотримуються активної політики і, незважаючи на
регулятивні обмеження, час від часу грають на майбутніх змінах ставок і курсів
цінних паперів.
З
погляду завдань, що постають перед менеджментом у процесі формування банківського
портфеля цінних паперів, виділяють кілька типів портфелів.
1.
Портфель росту орієнтований на придбання цінних паперів, ринкова вартість яких
швидко зростає. Мета створення такого портфеля полягає в нарощуванні капіталу
інвесторів. Тому значна частина прибутків спрямовується на поповнення капіталу,
а проценти, доходи, дивіденди виплачуються власникам у невеликому розмірі або
взагалі не виплачуються. До складу такого портфеля включають насамперед акції;
приватизаційні папери; папери, що засвідчують право власності на паї; інші
цінні папери з невизначеним доходом.
2.
Портфель доходу служить для одержання високих поточних надходжень: рентних
платежів, процентних виплат, дивідендів. Для такого портфеля відношення
стабільно отримуваного доходу до ринкової вартості цінних паперів, що входять
до його складу, вище за середньоринкове значення. Відповідно ринкова вартість
такого портфеля зростає повільно. Портфель доходу формується здебільшого з
ощадних сертифікатів, облігацій, привілейованих акцій, казначейських
зобов’язань.
3.
Портфель ризикового капіталу складається переважно з цінних паперів і паїв
молодих компаній, що проводять на ринку агресивну стратегію швидкого
розширення. Формування такого портфеля має на меті отримання надприбутків за
рахунок придбання акцій, приватизаційних паперів, векселів у момент, коли вони
різко недооцінені на ринку. До складу такого портфеля можуть входити
деривативи, операції з якими проводяться для одержання спекулятивних прибутків
за рахунок сприятливих змін у їхній ціні. По суті, це спекулятивний портфель,
який формується для перепродажу цінних паперів, тільки-но ринкові ціни на них
почнуть зростати. Такий портфель характеризується високим рівнем ризику і може
завдавати значних збитків, адже за статистикою близько 80 % молодих компаній
банкрутують, а проведення спекулятивних операцій на фондових і ф’ючерсних
біржах призводило до банкрутства навіть великі банки.
4.
Збалансований портфель має на меті досягнення декількох цілей: нарощування
капіталу, отримання високого доходу, підтримка ліквідності. До складу такого
портфеля можуть включатися цінні папери зі швидко зростаючою ринковою ціною,
високоприбуткові цінні папери. Висока ризикованість таких вкладень
компенсується за рахунок придбання низькоризикованих та високоліквідних цінних
паперів (як правило, казначейських зобов’язань уряду), що дозволяє знизити
сукупний ризик портфеля. Фактично під час формування збалансованого портфеля
застосовується метод диверсифікації.
У
більшості зарубіжних банків менеджмент надає перевагу саме такому портфелю
цінних паперів. Прикладом може служити досить швидке розміщення на міжнародних
ринках цінних паперів урядів України та Росії, деномінованих у доларах США. З
погляду зарубіжних інвесторів такі папери є високоризикованими. Але їх
дохідність значно перевищує середній рівень дохідності цінних паперів на
міжнародних ринках, тому інвестори ризикують деякою частиною своїх коштів у
надії на отримання високих прибутків. Обсяги вкладень розраховуються так, що в
разі реалізації ризику (затримки виплат, необхідності реінвестування) втрати не
носитимуть доленосного характеру (банкрутство, різке погіршення фінансового
стану) для інвестора.
5.
Спеціалізований портфель формується з огляду не на загальний цільовий критерій,
а за окремими критеріями, такими як вид цінних паперів, галузева чи регіональна
належність, вид ризику, період обігу. Наприклад, залежно від критерію банк може
сформувати такі спеціалізовані портфелі цінних паперів:
¨
портфель короткострокових
цінних паперів;
¨
портфель середньо- і довгострокових
паперів з фіксованим доходом, сформований з облігацій;
¨
галузевий портфель, який
складається з цінних паперів емітентів однієї галузі, наприклад, енергетики чи
нафтової промисловості;
¨
портфель іноземних цінних паперів;
¨
портфель державних цінних
паперів — облігації уряду та місцевих органів влади, казначейські зобов’язання.
Кожний з таких
портфелів служитиме досягненню певної мети.
З
погляду надійності портфель цінних паперів банку оцінюється за критеріями:
¨
рівень сукупного ризику
портфеля;
¨
практика використання методів
зниження ризику, таких як диверсифікація і хеджування;
¨
ступінь ліквідності портфеля;
¨
співвідношення середньозваженого строку погашення портфеля та
тривалості планового періоду інвестування (інвестиційного горизонту);
¨
відповідність цілям, яких
прагне досягти банк за допомогою портфеля.
Основними
показниками дохідності портфеля цінних
паперів банку використовують абсолютні (дохід) та відносні (дохідність)
показники. Дохід портфеля дорівнює сумі доходів, згенерованих окремими
фінансовими інструментами, включеними до його складу. Дохідність — це відносний
показник, який у загальному випадку обчислюють діленням доходів на суму
інвестиції. Дохідність портфеля цінних паперів, на відміну від його ризику, є
адитивною величиною.
Середня дохідність портфеля (dp)
визначається як середньозважена величина дохідності цінних паперів, що входять
до його складу:
, (1.4)
де di
— дохідність i-ї групи цінних паперів
;
Wi —
обсяг цінних паперів i-ї групи в портфелі;
n — кількість
груп цінних паперів у портфелі.
Цінні папери
мають кілька характеристик [ ]:
―
ринкова ціна (р),
―
внутрішня (теоретична чи розрахункова) вартість (v),
―
ставка (норма) дохідності,
―
інвестиційний ризик.
Ринкова ціна
цінного папера — це задекларований показник, що об’єктивно існує на ринку і
відображається у відповідних котируваннях цінного папера. Ринкова ціна
складається під впливом взаємодії попиту та пропонування і є індикатором
інвестиційної привабливості цінного папера. Очевидно, що в будь-який момент для
певного цінного папера на ринку існує лише одна ціна (в інструктивних
документах НБУ у цьому значенні вживається термін «ринкова вартість цінного
папера»).
Внутрішня
вартість цінного папера — це розрахунковий показник, а тому залежить від
прийнятої аналітичної моделі, на базі якої проводяться обчислення. Завдяки цьому
в будь-який момент цінний папір може мати кілька значень внутрішньої вартості,
причому теоретично їх кількість дорівнює кількості учасників ринку, які
проводять такий аналіз. Отже, оцінка внутрішньої вартості містить елемент
суб’єктивізму. Показник теоретичної вартості використовується і в тому разі,
коли цінний папір не обертається на ринку, тож і не має ринкової ціни. В
інструктивних документах НБУ внутрішня вартість називається «розрахунковою
ринковою вартістю цінного папера». Надалі вживатимемо терміни: (ринкова) ціна
та (внутрішня) вартість цінного папера.
Ринкова
ціна та внутрішня вартість часто не збігаються, адже кожен інвестор має свої
міркування щодо внутрішньої вартості цінного папера, покладаючись на
суб’єктивні очікування майбутніх доходів та на результати власного аналізу. В
процесі аналізу співвідношення ринкової ціни та внутрішньої вартості
з’ясовується доцільність тих чи інших управлінських рішень щодо конкретного
цінного папера. Якщо внутрішня вартість цінного папера, розрахована потенційним
інвестором, вища за поточну ринкову ціну, то такий інструмент вигідно в даний
момент придбати, оскільки він недооцінений на ринку.
Коли
ж з погляду конкретного учасника ринкова ціна цінного папера вища за його
внутрішню вартість, то немає сенсу купувати такий інструмент, оскільки його
ціна завищена. Однак таке співвідношення ціни та вартості вказує на те, що
склалася ситуація для вигідного продажу даного цінного папера, якщо він вже
знаходиться в портфелі інвестора. За умови, що ринкова ціна та внутрішня
вартість цінного папера збігаються, проведення операцій спекулятивного
характеру (для одержання доходу від різниці між ціною продажу та купівлі)
навряд чи доцільне.
Ставка
(норма) дохідності цінного папера — це відношення отриманого доходу до суми
вкладення. Дохід за цінним папером складається з двох частин:
·
виплат, які надходять від емітента;
·
ймовірних капітальних приростів
(збитків) внаслідок зміни ринкової ціни цінного папера.
Для аналізу та
бухгалтерського обліку цінних паперів використовуються й інші вартісні
показники, які його характеризують: номінал (номінальна вартість), собівартість
та справедлива вартість.
Номінал
— це задекларована вартість цінного папера, вказана на його бланку. Для
боргових цінних паперів номінал показує суму боргу, котру емітент
зобов’язується повернути під час погашення, і служить базою для нарахування
відсотків. Номінал пайових паперів (титулів власності) характеризує частку
статутного капіталу, що припадала на одну акцію в момент випуску, але в процесі
подальшого обігу цей показник втрачає своє значення.
Собівартість
цінного папера включає ціну придбання, комісійні винагороди, мито, податки,
збори, обов’язкові платежі й інші витрати, безпосередньо пов’язані з придбанням
цінних паперів.
Справедлива
вартість фінансових інструментів — це сума, за якою можна обміняти інструмент
чи погасити заборгованість в операціях між обізнаними, зацікавленими та
незалежними особами. Для цінних паперів, які обертаються на активному ринку,
справедлива вартість приймається рівною ринковій ціні з урахуванням витрат
трансакції.
У
процесі формування портфеля цінних паперів найважливішим орієнтиром для
прийняття управлінських рішень є показник внутрішньої вартості, який
використовується для:
―
прийняття управлінських рішень
щодо купівлі чи продажу цінних паперів;
―
визначення справедливої вартості цінного папера в портфелі банку;
―
коригування балансової вартості
цінних паперів та формування резерву на відшкодування збитків банку.
Методи
визначення внутрішньої вартості фінансових інструментів залишаються найбільш
складним та проблематичним питанням інвестиційного аналізу, а в сучасній
економічній науці запропоновано різні підходи до його вирішення.
Найпоширенішими є фундаменталістський, технократичний підходи та теорія
«блукання навмання».
За
фундаменталістського підходу внутрішня вартість цінного папера оцінюється за
допомогою дисконтування майбутніх надходжень за ним. Для прогнозування цих
надходжень аналізують макроекономічні та галузеві чинники, фінансовий стан
емітента та моделюють рух ціни цінного папера. В економічній літературі цей
напрям досліджень відомий як фундаментальний аналіз.
Технократичний
(або технічний) підхід засновано на аналізі динаміки ринкових цін цінного
папера за минулі періоди та обсягів фондових операцій з купівлі-продажу цих
інструментів. Внутрішня вартість визначається через екстраполяцію результатів
статистичного аналізу історичних даних щодо варіабельності ринкової ціни
цінного папера. Для отримання реалістичних оцінок необхідно сформувати великий
за обсягом масив інформації щодо цінової динаміки на ліквідних ринках, де
присутні численні учасники, а операції здійснюються регулярно і в значних
обсягах. Це практично унеможливлює застосування методів технічного аналізу у
вітчизняній практиці на цей час.
Теорія
«блукання навмання» виходить з того, що зміни і внутрішньої вартості, і
ринкової ціни цінного папера передбачити неможливо, а всю релевантну інформацію
про цінний папір вже враховано в його поточній ринковій ціні. Ця теорія теж
може бути застосована лише до інструментів, які мають активний і
високоліквідний ринок.
На практиці найчастіше
використовують фундаменталістську теорію, а в умовах вітчизняного ринку вона
залишається поки що і єдино прийнятною. Згідно з цією теорією поточна внутрішня
вартість цінних паперів приймається рівною сумі дисконтованих грошових потоків,
які надходять до його власника протягом періоду зберігання. Розрахунок
здійснюють за моделлю, запропонованою в 1938 р. Дж. Вільямсом [10, с. 202]:
, (1.5)
де
v — внутрішня вартість цінних паперів;
CFi
— очікуваний грошовий потік за цінним папером в i-й період
;
d
— ставка дисконту.
Модель
ґрунтується на припущенні про капіталізацію отриманого доходу під ставку
дисконтування. Якщо такої можливості немає або капіталізація доходів не
планується інвестором, то модель не буде реалістичною.
Фундаментальний підхід
використано і Національним банком України для оцінки інвестиційних ризиків у
процесі формування обов’язкового резерву на відшкодування можливих збитків
банків від операцій з цінними паперами.
Запропонована НБУ методика
визначення внутрішньої вартості цінних паперів передбачає два етапи:
·
проведення аналізу
дисконтованих у часі майбутніх грошових потоків на підставі реальної оцінки
обсягу та часу виникнення таких потоків і ставки дисконту, що відповідає нормі
дохідності альтернативних інвестиційних проектів із близьким строком дії та
рівнем ризику (фактор ризику фондового ринку);
·
аналіз фінансового стану та
результатів роботи емітента (фактор ризику емітента).
У міжнародних
стандартах обліку та звітності теж рекомендовано спиратися на метод теперішньої
вартості для визначення справедливої вартості інструментів, які не мають
ринкової ціни, що, по суті, збігається з методами фундаментального аналізу
внутрішньої вартості цінних паперів, а також з методикою, розробленою НБУ.
Як
випливає з формули (1.5), яку надалі називатимемо базовою моделлю, внутрішня
вартість цінного папера залежить від трьох чинників:
·
очікуваних грошових надходжень;
·
тривалості періоду обігу цінного папера (або періоду прогнозування
для безстрокових інструментів);
·
ставки дисконтування.
Перші
два чинники визначаються властивостями конкретної групи цінних паперів і
достатньо регламентовані. Третій чинник — ставку дисконтування — інвестор
обирає самостійно, виходячи з власних міркувань, доступних (можливо, лише йому)
альтернативних напрямів інвестування чи інших ринкових індикаторів.
Загалом ставка
дисконтування може прийматися рівною: відсотковій ставці за банківськими
депозитами; ставці дохідності за іншими фінансовими інструментами з таким самим
рівнем ризику; сумі безризикової ставки (як правило, за казначейськими
зобов’язаннями уряду) та премії за ризик. При визначенні розрахункової вартості
цінного папера для формування резерву на відшкодування можливих збитків банку
згідно з вимогами НБУ за ставку дисконтування приймається КІВОR відповідного
строку дії [15].
Наведену
модель (1.5) можна використати для розв’язання різних задач, що
постають перед менеджментом банку в процесі прийняття інвестиційних рішень. За
її допомогою розраховують внутрішню вартість інвестиції за різних значень
вихідних параметрів (грошових потоків і ставки дисконту). Знаючи поточну
ринкову ціну цінного папера та прийнявши її рівною внутрішній вартості (v = p),
можна обчислити ставку дохідності цінного папера та порівняти одержане значення
з альтернативними варіантами інвестування коштів, що дозволить обрати
прибутковіший напрям розміщення активів банку.
Оцінка
портфельного ризику складається з трьох етапів:
·
оцінка ризику окремих цінних паперів;
·
з’ясування ступеня їх
взаємовпливу;
·
визначення сукупного ризику
портфеля.
Ризики, пов’язані
з проведенням операцій з цінними паперами, не однорідні за своїм змістом, а
тому банк має оцінювати та брати до уваги основні види ризиків, на які
наражається інвестор у процесі придбання та зберігання цінних паперів, а саме:
¨
рівень ліквідності цінних
паперів;
¨
ризик дострокового відкликання;
¨
інфляційний ризик;
¨
відсотковий, кредитний та
діловий ризики;
¨
ризик, пов’язаний з тривалістю періоду обігу цінного папера.
Рівень
ліквідності цінних паперів визначається параметрами відповідного вторинного
ринку, такими як обсяг операцій, активність торгівлі, правила оподаткування
доходів від перепродажу цінних паперів, масштаби діяльності.
Інвестиційний
менеджер, вирішуючи питання про купівлю цінних паперів, має обов’язково оцінити
можливості їх продажу до настання строку погашення. Така потреба може постати
через незбалансовану ліквідність, коли банк відчуватиме брак готівкових коштів.
Ліквідні цінні
папери — це фінансові інструменти, які можуть бути продані в будь-який час без
суттєвого зниження ціни. Ліквідні ринки характеризуються високою ймовірністю
повернення початкової суми інвестиції та стабільністю ціни цінного папера
протягом періоду обігу. На таких ринках спред (різниця між цінами продажу та
купівлі) мінімальний. Але слід пам’ятати, що цінні папери, які легко
реалізуються на ринку з мінімальним ризиком втрати номінальної суми,
характеризуються невисоким рівнем дохідності. Придбання великих обсягів
ліквідних цінних паперів, як правило, призводить до зниження загальної
дохідності банківських активів. Найбільш ліквідними цінними паперами в
більшості країн світу вважаються зобов’язання уряду.
За незначних
обсягів операцій на ринку реалізація цінних паперів значно ускладнюється. У
банківській практиці такі ринки називають «млявими», тобто недосконалими, та
призначеними для обігу невеликих випусків цінних паперів. Здебільшого
низьколіквідними виявляються цінні папери, що не котируються, випущені на
невелику суму або емітентом з низьким рейтингом. Через вузькість таких ринків
банки під час купівлі цінних паперів змушені пропонувати завищену ціну. Якщо
банк побажає зменшити свій пакет низьколіквідних паперів, то потрібно буде
знизити їх ціну.
Отже, на
недосконалих ринках цінних паперів ризик капітальних втрат зростає. Для деяких
видів цінних паперів вторинного ринку взагалі немає. Тож інвестиційному
менеджменту банку необхідно постійно балансувати між дохідністю і ліквідністю,
щоденно переглядаючи управлінські рішення з урахуванням поточних ринкових
ставок і потреб підтримки ліквідності банку.
Ризик
дострокового погашення (відкликання) полягає в тому, що деякі емітенти
залишають за собою право погашення цінних паперів до закінчення періоду обігу.
Як правило, дострокове погашення відбувається після зниження ринкових ставок,
коли емітент може випустити нові цінні папери під нижчу відсоткову ставку.
Отже, банк, у
портфелі якого перебувають цінні папери з правом дострокового погашення,
наражається на ризик втрати доходів. Цей ризик зумовлений необхідністю
реінвестування достроково повернених коштів під нижчі відсоткові ставки, які
склалися на ринку на поточний момент. Купуючи цінні папери з правом
дострокового відкликання, менеджмент має оцінити ймовірність виникнення такої
ситуації та можливі наслідки. Банк може уникнути ризику дострокового погашення,
не включаючи цінні папери такого типу до свого портфеля.
Інфляційний ризик
пов’язується з імовірністю знецінення як процентого доходу, так і номіналу
цінного папера внаслідок росту цін на товари та послуги. Менеджмент має
порівнювати очікуваний рівень дохідності за цінним папером з прогнозованими
темпами інфляції протягом періоду його обігу. У випадках, коли рівень інфляції
не може бути досить точно передбачений або темпи інфляції високі, банківський
портфель цінних паперів краще формувати з короткострокових фінансових
інструментів або цінних паперів з плаваючою ставкою. Такий підхід забезпечує
більшу гнучкість і дозволяє адекватно реагувати на інфляційні процеси в
економіці.
Відсотковий ризик
як імовірність зміни ставок на ринку суттєво впливає на ринкову ціну цінних
паперів, тому має бути оцінений менеджментом у процесі формування портфеля.
Підвищення відсоткових ставок призводить до зниження ринкової ціни раніше
емітованих цінних паперів. При цьому інструменти з максимальним строком
погашення, як правило, зазнають найбільших цінових спадів. У періоди
економічного підйому попит на кредити зростає, відсоткові ставки підвищуються і
банки для одержання додаткових кредитних ресурсів скорочують обсяг портфеля
цінних паперів. Продаж цінних паперів за таких умов через зниження ціни часто
завдає відчутних збитків, які банк розраховує компенсувати за рахунок вищої
дохідності кредитних операцій. У разі зниження відсоткових ставок на ринку ціни
боргових цінних паперів підвищуються.
Кредитний ризик
цінних паперів — це ймовірність невиконання емітентом своїх зобов’язань з
виплати основної суми боргу або процентів. Кредитний ризик притаманний більшій
частині цінних паперів, що обертаються на ринку, особливо тим, які емітовані
приватними компаніями та місцевими органами влади. Безризиковими вважаються
цінні папери уряду країни, хоча в окремих випадках з ними також пов’язується
деякий, хоча і мінімальний, рівень кредитного ризику.
Для обмеження
кредитного ризику цінних паперів менеджмент банку має ретельно проаналізувати
фінансовий стан емітента й оцінити його кредитоспроможність. Крім того,
необхідно вивчити стан галузі, в якій здійснює господарську діяльність емітент,
характер обігу та умови емісії цінних паперів. Якщо ці показники задовольняють
вимоги банку щодо якості цінних паперів, то їх включають до портфеля.
На міжнародних
ринках для визначення якості цінних паперів та рівня їхнього кредитного ризику
використовують рейтинги емітента цінних паперів, пропоновані рейтинговими
компаніями. Вважається, що цінні папери з рейтингом ВВВ і вище за шкалою
Standard & Poor’s, або Ваа і вище за шкалою Moody’s мають невисокий
кредитний ризик і прийнятні для банківського портфеля (додаток 8). Цінні папери
з нижчими рейтингами належать до групи спекулятивних і часто називаються
«сміттєвими». У деяких країнах існують регулюючі правила, якими банкам не
рекомендується придбання спекулятивних цінних паперів.
Діловий ризик
пов’язується з несприятливими явищами в економіці, такими як зниження обсягів
виробництва, банкрутства, безробіття тощо. Безперечно, кризовий стан в
економіці не може не позначитися на фінансовому стані емітентів, що, в свою
чергу, призводить до підвищення кредитного та відсоткового ризику цінних
паперів, а також ризику їх ліквідності.
Вибираючи цінні
папери, які могли б входити до банківського портфеля, менеджмент має
враховувати рівень ділового ризику, для зниження якого застосовують метод
диверсифікації. Галузева диверсифікація, тобто придбання цінних паперів
емітентів, які працюють у різних галузях економіки, дозволяє суттєво знизити
діловий ризик не тільки портфеля цінних паперів, а й загальний ризик банку. Обґрунтований
вибір цінних паперів компенсує негативні наслідки економічного спаду в одній
галузі підйомом в іншій, оскільки навіть за умов зниження ділової активності
існують галузі, котрі розвиваються стабільно або навіть зростають.
Географічна
диверсифікація полягає в придбанні цінних паперів емітентів, які розміщені в
різних економічних регіонах або за межами даної країни. Географічна
диверсифікація допомагає мінімізувати діловий ризик, а отже, знизити загальний
ризик банку. Метод географічної диверсифікації найкраще реалізується саме у
процесі формування портфеля цінних паперів, оскільки не завжди існують
можливості його застосування для зниження ризику кредитного портфеля.
Тож у процесі
прийняття рішення щодо купівлі чи продажу певних цінних паперів необхідно брати
до уваги рівень ділового ризику емітента та його вплив на загальний ризик
банківського портфеля цінних паперів і банку в цілому.
Рівень
ризикованості цінного папера залежить і від тривалості періоду обігу.
Короткострокові цінні папери, як правило, виявляються менш ризикованими,
оскільки всі перелічені щойно ризики протягом короткого періоду не реалізуються
повною мірою. Довгострокові цінні папери є більш ризикованими, але разом з тим
приносять вищі доходи. Методи формування оптимального з погляду строків
погашення портфеля цінних паперів розглянуто нижче.
Усі види ризиків,
характерні для цінного папера, — відсотковий, кредитний, діловий, інфляційний,
дострокового погашення та ризик ліквідності в сукупності формують загальний
ризик даного інструменту, який порівнюється з його дохідністю. Менеджмент має
вирішити питання про прийнятний для банку рівень ризику цінних паперів і серед
всієї сукупності фінансових інструментів, які задовольняють ці вимоги, обрати
найдохідніші.
Одним із важливих
питань інвестиційного менеджменту є вибір оптимального з погляду поставленої
мети підходу до управління інвестиційним горизонтом банківського портфеля
цінних паперів. Під інвестиційним горизонтом розуміють розподіл портфеля в
динаміці, тобто добір цінних паперів з урахуванням строків їх погашення. У
процесі управління менеджмент банку постійно вирішує питання: цінні папери з
якими строками погашення мають перебувати у портфелі банку.
За
останні роки в міжнародній банківській практиці сформовано кілька
альтернативних підходів до вибору строків інвестування, які називають стратегіями
управління інвестиційним горизонтом портфеля.
Стратегії управління
інвестиційним горизонтом:
Стратегія
рівномірного розподілу полягає в інвестуванні коштів рівними частинами в
кожному з кількох інтервалів, на які поділяється загальний інвестиційний горизонт.
Для цього необхідно визначити максимальний прийнятний для банку період
інвестування та поділити його на однакові часові інтервали. Загальна сума
інвестицій поділяється в рівних пропорціях на стільки ж частин, і кошти
спрямовуються на купівлю цінних паперів зі строками погашення в кожному з
визначених інтервалів у межах загального інвестиційного горизонту. Така
стратегія не максимізує прибуток, але має такі переваги:
¨
стабілізація доходу протягом
усього періоду інвестування;
¨
простота і доступність;
¨
гнучкість, оскільки якась
частина цінних паперів весь час погашається, а отже, кошти можуть бути
реінвестовані в нові активи;
¨
не потребує значної підготовки і кваліфікації інвестиційних
менеджерів.
Стратегія
рівномірного розподілу використовується здебільшого невеликими банками.
Стратегія
короткострокового акценту застосовується комерційними банками у випадках, коли
портфель цінних паперів розглядається як джерело підтримання ліквідності, а не
одержання доходу. При цьому вся сума інвестицій вкладається в короткострокові
цінні папери, часовий діапазон яких перебуває в межах одного — двох років, що
дозволяє забезпечити необхідний рівень ліквідності.
Стратегія
довгострокового акценту орієнтована на інвестиційний портфель як джерело
доходів банку. Банки, що додержуються такої стратегії у формуванні своїх
інвестиційних портфелів, вкладають кошти в довгострокові, а отже, більш дохідні
цінні папери, наприклад, акції підприємств та інших банків. Потреби в ліквідних
засобах задовольняються позичками на грошовому ринку або підтриманням значної
частини активів у готівковій формі.
Стратегія
«штанги» поєднує елементи стратегій довгострокового і короткострокового
акценту. Згідно з таким підходом більша частина інвестиційних коштів
вкладається у високоліквідні короткострокові цінні папери, а решта коштів
спрямовується на придбання довгострокових паперів. Вкладення на середні періоди
не здійснюються або є мінімальними. Такий підхід до формування портфеля цінних
паперів, з одного боку, забезпечує ліквідність, а з іншого — служить
генератором доходів банку.
Стратегія
відсоткових очікувань базується на постійному оновленні складових портфеля
цінних паперів залежно від очікуваних змін відсоткових ставок на ринку.
Застосування цієї стратегії спирається на поточні прогнози зміни відсоткових
ставок та економічної кон’юнктури ринку. Якщо очікується зростання відсоткових
ставок, то менеджмент переглядає портфель цінних паперів, маючи на меті
скорочення інвестиційного горизонту, тобто купуються короткострокові папери.
Коли прогноз свідчить про зниження відсоткових ставок у майбутньому, то склад
портфеля переглядається для подовження строків погашення цінних паперів. Це —
найбільш агресивна і складна стратегія управління інвестиційним горизонтом
портфеля цінних паперів банку.
Перевага
стратегії полягає в наданні потенційної можливості одержання значних доходів,
але існують й суттєві недоліки та обмеження, такі як:
¨
високий рівень ризику, що супроводжує цю стратегію, може призвести
до значних фінансових утрат;
¨
для використання такого підходу
банки повинні мати можливість постійного доступу на фондові ринки;
¨
транзакційні витрати, зумовлені необхідністю частого виходу на
ринки, суттєво зростають;
¨
стратегія потребує глибокого знання ринкових законів, застосування
сучасних методів аналізу та прогнозування, високої кваліфікації менеджерів.
Стратегія
відсоткових очікувань застосовується великими банками, які забезпечені
достатніми фінансовими і кадровими ресурсами та провадять ризиковану й
агресивну політику на фондовому ринку.
РОЗДІЛ 2
АНАЛІЗ СТРАТЕГІЇ ТА ПРАКТИКИ ДІЯЛЬНОСТІ БАНКІВСЬКОЇ
СИСТЕМИ НА РИНКУ ЦІННИХ ПАПЕРІВ УКРАЇНИ
2.1 Стратегія та питома вага операцій з цінними
паперами в діяльності банківської системи України
За
станом на 1 листопада 2009 року ліцензію Національного банку України на
здійснення банківських операцій мали 185 банків, у тому числі: 173 банки (93,5%
від загальної кількості банків, що мають ліцензію) – акціонерні товариства (з
них: 96 банків (51,9%) – відкриті акціонерні товариства, 4 банки (2,2%) –
закриті акціонерні товариства, 72 банки (38,9%) – публічні, 1 банк (0,5%) –
приватне), 12 банків (6,5%) – товариства з обмеженою відповідальністю.
У
стані ліквідації перебуває 12 банків, з них 9 банків ліквідуються за рішеннями
НБУ, 3 – за рішеннями господарських (арбітражних) судів.
За
станом на 01.11.2009 власний капітал банків склав 126,9 млрд. грн. або 14,5%
пасивів банків.
Власний
капітал банків має таку структуру. Сплачений зареєстрований статутний капітал
складає 86,9% від капіталу; дивіденди, що спрямовані на збільшення статутного
капіталу – 0,3%; емісійні різниці – 5,0%; загальні резерви, резервний фонд та
інші фонди банків – 13,4%; результати минулих років – 0,5%; результати звітного
року, що очікують затвердження – 0,1%; результати поточного року – (-14,3%);
результат переоцінки основних засобів, нематеріальних активів, цінних паперів у
портфелі банку на продаж та інвестицій в асоційовані компанії – 8,1%.
Зобов’язання
банків за станом на 01.11.2009 становили 748,7 млрд. грн.
Кошти
фізичних осіб складають 203,0 млрд. грн., або 27,1% загального обсягу
зобов’язань, кошти суб’єктів господарювання – 112,8 млрд. грн., або 15,1%.
Банки
мають таку структуру коштів населення з точки зору строковості. Строкові кошти
складають 154,6 млрд. грн., або 76,2% від загальної суми коштів населення, а
кошти на вимогу – 48,4 млрд. грн., або 23,8%.
За
станом на 01.11.2009 активи банків становили 875,6 млрд. грн., загальні активи
– 974,2 млрд. грн.
Більшу
частину загальних активів складають кредитні операції – 77,1%.
Доходи
банків склали 119,8 млрд. грн., з них: процентні доходи становили 101,7 млрд.
грн. (або 84,8% від загальних доходів), комісійні доходи – 13,6 млрд. грн.
(11,3%).
Витрати
банків склали 138,0 млрд. грн., з них: процентні витрати – 56,0 млрд. грн. (або
40,6% від загальних витрат), відрахування в резерви – 51,7 млрд. грн. (37,4%),
комісійні витрати – 2,5 млрд. грн. (1,8%).
Таблиця 2.1
Основні показники діяльності БС України у 2001 – 2009 роках
|
№
з/п
|
Показники
|
Дата
|
|
01.01.2001
|
01.01.2002
|
01.01.2003
|
01.01.2004
|
01.01.2005
|
01.01.2006
|
01.01.2007
|
01.01.2008
|
2009
|
|
01.01
|
01.11
|
|
1.
|
Кількість
зареєстрованих банків
|
195
|
189
|
182
|
179
|
181
|
186
|
193
|
198
|
198
|
198
|
|
2.
|
Виключено з Державного
реєстру банків
|
9
|
9
|
12
|
8
|
4
|
1
|
6
|
1
|
7
|
5
|
|
3.
|
Кількість банків, що
знаходиться у стадії ліквідації
|
38
|
35
|
24
|
20
|
20
|
20
|
19
|
19
|
13
|
12
|
|
4.
|
Кількість діючих банків
|
153
|
152
|
157
|
158
|
160
|
165
|
170
|
175
|
184
|
185
|
|
4.1
|
з них: з іноземним
капіталом
|
22
|
21
|
20
|
19
|
19
|
23
|
35
|
47
|
53
|
49
|
|
4.1.1
|
у т.ч. зі 100% іноземним
капіталом
|
7
|
6
|
7
|
7
|
7
|
9
|
13
|
17
|
17
|
17
|
|
5.
|
Частка іноземного
капіталу у статутному капіталі банків, %
|
13.3
|
12.5
|
13.7
|
11.3
|
9.6
|
19.5
|
27.6
|
35.0
|
36.7
|
34,2
|
|
АКТИВИ
|
|
|
1.
|
Загальні активи (не
скориговані на резерви під активні операції)
|
39866
|
50785
|
67774
|
105539
|
141497
|
223024
|
353086
|
619004
|
973332
|
974092
|
Чисті активи
(скориговані на резерви за активними операціями)
|
37129
|
47 591
|
63896
|
100234
|
134348
|
213878
|
340179
|
599396
|
926086
|
870308
|
|
2.
|
Високоліквідні активи
|
8270
|
7744
|
9043
|
16043
|
23595
|
36482
|
44851
|
63587
|
79702
|
88554
|
|
3.
|
Кредити надані
|
23637
|
32097
|
46736
|
73442
|
97197
|
156385
|
269688
|
485507
|
792384
|
751120
|
|
3.1
|
з нього: кредити, що
надані суб'єктам господарської діяльності
|
18216
|
26564
|
38189
|
57957
|
72875
|
109020
|
167661
|
276184
|
472584
|
474570
|
|
3.2
|
кредити надані фізичним
особам
|
941
|
1373
|
3255
|
8879
|
14599
|
33156
|
77755
|
153633
|
268857
|
231469
|
|
4.
|
Довгострокові кредити
|
3309
|
5683
|
10690
|
28136
|
45531
|
86227
|
157224
|
291963
|
507715
|
448198
|
|
4.1
|
з них: довгострокові
кредити суб'єктам господарської діяльності
|
2761
|
5125
|
9698
|
23239
|
34693
|
58528
|
90576
|
156355
|
266204
|
240444
|
|
5.
|
Проблемні кредити
(прострочені та сумнівні)
|
2679
|
1863
|
2113
|
2500
|
3145
|
3379
|
4456
|
6357
|
18015
|
60882
|
|
6.
|
Вкладення в цінні
папери
|
2175
|
4390
|
4402
|
6534
|
8157
|
14338
|
14466
|
28693
|
40610
|
35176
|
|
7.
|
Резерви під активні
операції банків
|
2737
|
3194
|
3905
|
5355
|
7250
|
9370
|
13289
|
20188
|
48409
|
104990
|
|
% виконання формування
резерву
|
61.5
|
85.4
|
93.3
|
98.2
|
99.7
|
100.05
|
100.1
|
100.04
|
100.1
|
10009
|
|
7.1
|
з них: резерв на
відшкодування можливих втрат за кредитними операціями
|
2 336
|
2963
|
3575
|
4631
|
6367
|
8328
|
12246
|
18477
|
44502
|
86357
|
|
ПАСИВИ
|
|
|
1.
|
Пасиви, усього
|
37129
|
47591
|
63896
|
100234
|
134348
|
213878
|
340179
|
599396
|
926086
|
870308
|
|
2.
|
Власний капітал
|
6507
|
7915
|
9983
|
12882
|
18421
|
25451
|
42566
|
69578
|
119263
|
121540
|
|
2.1
|
з нього: сплачений
зареєстрований статутний капітал
|
3 665
|
4575
|
6003
|
8116
|
11648
|
16144
|
26266
|
42873
|
82454
|
110355
|
|
2.2
|
Частка капіталу у
пасивах
|
17.5
|
16.6
|
15.6
|
12.9
|
13.7
|
11.9
|
12.5
|
11.6
|
12.9
|
14.0
|
|
3.
|
Зобов'язання банків
|
30622
|
39 676
|
53 913
|
87352
|
115927
|
188427
|
297613
|
529818
|
806823
|
748767
|
|
3.1
|
з них: кошти суб'єктів
господарської діяльності
|
13071
|
15653
|
19 703
|
27987
|
40128
|
61214
|
76898
|
111995
|
143928
|
112842
|
|
3.1.1
|
з них: строкові кошти
суб'єктів господарської діяльності
|
2867
|
4698
|
6161
|
10391
|
15377
|
26807
|
37675
|
54189
|
73352
|
47673
|
|
3.2
|
кошти фізичних осіб
|
6649
|
11165
|
19092
|
32113
|
41207
|
72542
|
106078
|
163482
|
213219
|
202954
|
|
3.2.1
|
з них: строкові вклади
фізичних осіб
|
4569
|
8060
|
14128
|
24861
|
33204
|
55257
|
81850
|
125625
|
175142
|
154580
|
|
Довідково:
|
|
|
1.
|
Регулятивний капітал
|
5148
|
8025
|
10099
|
13274
|
18188
|
26373
|
41148
|
72265
|
123066
|
130331
|
|
2.
|
Адекватність
регулятивного капіталу (Н2)
|
15.53
|
20.69
|
18.01
|
15.11
|
16.81
|
14.95
|
14.19
|
13.92
|
14.01
|
16,07
|
|
3.
|
Доходи
|
7446
|
8583
|
10470
|
13949
|
20072
|
27537
|
41645
|
68185
|
122580
|
119962
|
|
4.
|
Витрати
|
7476
|
8051
|
9785
|
13122
|
18809
|
25367
|
37501
|
61565
|
115276
|
143531
|
|
5.
|
Результат діяльності
|
-30
|
532
|
685
|
827
|
1263
|
2170
|
4144
|
6620
|
7304
|
-23569
|
|
6.
|
Рентабельність активів,
%
|
-0.09
|
1.27
|
1.27
|
1.04
|
1.07
|
1.31
|
1.61
|
1.50
|
1.03
|
-3,22
|
|
7.
|
Рентабельність
капіталу, %
|
-0.45
|
7.50
|
7.97
|
7.61
|
8.43
|
10.39
|
13.52
|
12.67
|
8.51
|
-23,97
|
|
8.
|
Чиста процентна маржа,
%
|
6.31
|
6.94
|
6.00
|
5.78
|
4.90
|
4.90
|
5.30
|
5.03
|
5.30
|
6,23
|
|
9.
|
7.10
|
8.45
|
7.20
|
6.97
|
5.72
|
5.78
|
5.76
|
5.31
|
5.18
|
5,33
|
Таблиця 2.2
Обсяги інвестицій банків в операції з цінними
паперами в загальному обсягу кредитно-інвестиційних портфелів банків України
станом на 01.01.2007 року (перші 40 банків БС України)
Таблиця 2.3
Обсяги інвестицій банків в операції з цінними
паперами в загальному обсягу кредитно-інвестиційних портфелів банків України
станом на 01.01.2008 року (перші 40 банків БС України)
Таблиця 2.4
Обсяги інвестицій банків в операції з цінними
паперами в загальному обсягу кредитно-інвестиційних портфелів банків України
станом на 01.01.2009 року (перші 40 банків БС України)
Таблиця 2.5
Обсяги інвестицій банків в операції з цінними
паперами в загальному обсягу кредитно-інвестиційних портфелів банків України
станом на 01.10.2009 року (перші 40 банків БС України)
Таблиця 2.6
Структура активів та місце активних операцій з цінними
паперами в комерційних банках України станом на 01.10.2009
Продовження табл.2.6
Таблиця 2.7
Структура пасивів та місце пасивних операцій з цінними
паперами в комерційних банках України станом на 01.10.2009
Продовження табл.2.7
2.2 Застосування цінних паперів в якості платіжних
інструментів в операційній діяльності комерційними банками
2.2.1. Застосування цінних паперів в якості репо-застави
в операціях кредитування клієнтів
|
20
|
Кредити, що надані
суб'єктам господарювання
|
|
201
|
Кредити, що надані за
операціями репо суб'єктам господарювання
|
|
2010
|
А
|
Кредити, що надані за
операціями репо суб'єктам господарювання
|
|
2016
|
КА
|
Неамортизований дисконт
за кредитами, що надані за операціями репо суб'єктам господарювання
|
2.2.2 Операції вексельного рефінансування клієнтів
|
202
|
Кредити, що надані за
врахованими векселями суб'єктам господарювання
|
|
2020
|
А
|
Кредити, що надані за
врахованими векселями суб'єктам господарювання
|
|
2026
|
КА
|
Неамортизований дисконт
за врахованими векселями суб'єктів господарювання
|
|
2027
|
А
|
Прострочена
заборгованість за кредитами, що надані за врахованими векселями суб'єктам
господарювання
|
|
222
|
Кредити, що надані за
врахованими векселями фізичним особам
|
|
2220
|
А
|
Кредити, що надані за
врахованими векселями фізичним особам
|
|
2226
|
КА
|
Неамортизований дисконт
за врахованими векселями фізичних осіб
|
|
2227
|
А
|
Прострочена
заборгованість за кредитами, що надані за врахованими векселями фізичним
особам
|
2.2.3 Застосування цінних паперів в якості
репо-застави в операціях міжбанківського кредитування та рефінансування з боку
НБУ
|
121
|
Строкові вклади
(депозити) у Національному банку України
|
|
1211
|
А
|
Кошти, що надані
Національному банку України за операціями репо
|
|
131
|
Короткострокові
кредити, що отримані від Національного банку України
|
|
1310
|
П
|
Кредити овернайт, що
отримані від Національного банку України шляхом рефінансування
|
|
1311
|
П
|
Кошти, що отримані від
Національного банку України за операціями репо
|
|
152
|
Кредити, що надані
іншим банкам
|
|
1521
|
А
|
Кредити овернайт, що
надані іншим банкам
|
|
1522
|
А
|
Кредити, що надані
іншим банкам за операціями репо
|
|
162
|
Кредити, що отримані
від інших банків
|
|
1621
|
П
|
Кредити овернайт, що
отримані від інших банків
|
|
1622
|
П
|
Кредити, що отримані
від інших банків за операціями репо
|
2.3 Емісійна діяльність комерційних банків по
залученню банківських ресурсів на ринку цінних паперів
2.3.1 Емісія цінних паперів власного капіталу
банку(акцій та облігацій субординованого боргу)
|
500
|
Статутний капітал
банку
|
|
5000
|
П
|
Зареєстрований
статутний капітал банку
|
|
5001
|
КП
|
Несплачений
зареєстрований статутний капітал банку
|
|
5002
|
КП
|
Власні акції (частки,
паї), що викуплені в акціонерів (учасників)
|
|
5003
|
П
|
Дивіденди, що
спрямовані на збільшення статутного капіталу
|
|
501
|
Емісійні різниці
|
|
5010
|
П
|
Емісійні різниці
|
|
366
|
Субординований борг
банку
|
|
3660
|
П
|
Субординований борг
банку
|
|
3661
|
П
|
Облігації, емітовані
банком, на умовах субординованого боргу
|
|
|
|
|
2.3.2 Емісія цінних паперів власного боргу
(векселі, акцепти, облігації) банків
|
330
|
Короткострокові цінні
папери власного боргу, емітовані банком
|
|
3300
|
П
|
Короткострокові прості
векселі, емітовані банком
|
|
3301
|
П
|
Акцепти, що надані за
короткостроковими переказними векселями
|
|
3305
|
П
|
Інші короткострокові
цінні папери власного боргу, емітовані банком
|
|
331
|
Довгострокові цінні
папери власного боргу, емітовані банком
|
|
3310
|
П
|
Довгострокові прості
векселі, емітовані банком
|
|
3311
|
П
|
Акцепти, що надані за
довгостроковими переказними векселями
|
|
3315
|
П
|
Інші довгострокові
цінні папери власного боргу, емітовані банком
|
2.3.3 Емісія депозитних сертифікатів
|
332
|
Короткострокові ощадні
(депозитні) сертифікати, емітовані банком
|
|
3320
|
П
|
Короткострокові ощадні
(депозитні) сертифікати, емітовані банком
|
|
333
|
Довгострокові ощадні
(депозитні) сертифікати, емітовані банком
|
|
3330
|
П
|
Довгострокові ощадні
(депозитні) сертифікати, емітовані банком
|
|
334
|
Ощадні (депозитні)
сертифікати на вимогу, емітовані банком
|
|
3340
|
П
|
Ощадні (депозитні)
сертифікати на вимогу, емітовані банком
|
|
335
|
Похідні фінансові
зобов'язання в торговому портфелі банку
|
|
3350
|
П
|
Зобов'язання за
проданими опціонними контрактами в торговому портфелі банку
|
|
3351
|
П
|
Зобов'язання за
форвардними контрактами в торговому портфелі банку
|
|
3352
|
П
|
Зобов'язання за
ф'ючерсними контрактами в торговому портфелі банку
|
|
336
|
Похідні фінансові
зобов'язання, що призначені для обліку хеджування
|
|
3360
|
П
|
Зобов'язання за
проданими опціонними контрактами, що призначені для обліку хеджування
|
|
3361
|
П
|
Зобов'язання за
форвардними контрактами, що призначені для обліку хеджування
|
|
3362
|
П
|
Зобов'язання за
ф'ючерсними контрактами, що призначені для обліку хеджування
|
2.4 Інвестиційна діяльність комерційних банків по
розміщенню коштів в активи на на ринку цінних паперів
2.4.1 Інвестиції банків в державні цінні папери
Таблиця 2.10
Класифікація інвестиційних операцій комерційних
банків з державними цінними паперами
|
14
|
Казначейські та інші
цінні папери, що рефінансуються Національним банком України, та цінні папери,
емітовані Національним банком України
|
|
140
|
Боргові цінні папери,
що рефінансуються Національним банком України, у торговому портфелі
банку
|
|
1400
|
А
|
Облігації внутрішньої
державної позики, що рефінансуються Національним банком України, у торговому
портфелі банку
|
|
1401
|
А
|
Облігації зовнішньої
державної позики, що рефінансуються Національним банком України, у торговому
портфелі банку
|
|
1402
|
А
|
Боргові цінні папери
органів державної влади та місцевого самоврядування, що рефінансуються
Національним банком України, у торговому портфелі банку
|
|
1403
|
А
|
Боргові цінні папери,
випущені банками та небанківськими фінансовими установами, що рефінансуються
Національним банком України, у торговому портфелі банку
|
|
1404
|
А
|
Боргові цінні папери
нефінансових підприємств, що рефінансуються Національним банком України, у
торговому портфелі банку
|
|
141
|
Боргові цінні папери,
що рефінансуються Національним банком України, у портфелі банку на продаж
|
|
1410
|
А
|
Облігації внутрішньої
державної позики, що рефінансуються Національним банком України, у портфелі
банку на продаж
|
|
1411
|
А
|
Облігації зовнішньої
державної позики, що рефінансуються Національним банком України, у портфелі
банку на продаж
|
|
1412
|
А
|
Боргові цінні папери
органів державної влади та місцевого самоврядування, що рефінансуються
Національним банком України, у портфелі банку на продаж
|
|
1413
|
А
|
Боргові цінні папери,
випущені банками та небанківськими фінансовими установами, що рефінансуються
Національним банком України, у портфелі банку на продаж
|
|
1414
|
А
|
Боргові цінні папери
нефінансових підприємств, що рефінансуються Національним банком України, у
портфелі банку на продаж
|
Продовження табл.2.10
|
142
|
Боргові цінні папери,
що рефінансуються Національним банком України, у портфелі банку до
погашення
|
|
1420
|
А
|
Облігації внутрішньої
державної позики, що рефінансуються Національним банком України, у портфелі
банку до погашення
|
|
1421
|
А
|
Облігації зовнішньої
державної позики, що рефінансуються Національним банком України, у портфелі
банку до погашення
|
|
1422
|
А
|
Боргові цінні папери
органів державної влади та місцевого самоврядування, що рефінансуються
Національним банком України, у портфелі банку до погашення
|
|
1423
|
А
|
Боргові цінні папери,
випущені банками та небанківськими фінансовими установами, що рефінансуються
Національним банком України, у портфелі банку до погашення
|
|
1424
|
А
|
Боргові цінні папери
нефінансових підприємств, що рефінансуються Національним банком України, у
портфелі банку до погашення
|
|
143
|
Боргові цінні папери,
емітовані Національним банком України, у портфелі банку на продаж
|
|
1430
|
А
|
Боргові цінні папери,
емітовані Національним банком України, у портфелі банку на продаж
|
|
144
|
Боргові цінні папери,
емітовані Національним банком України, у портфелі банку до погашення
|
|
1440
|
А
|
Боргові цінні папери,
емітовані Національним банком України, у портфелі банку до погашення
|
|
149
|
Резерви під знецінення
боргових цінних паперів, що рефінансуються Національним банком України
|
|
1490
|
КА
|
Резерви під знецінення
боргових цінних паперів, що рефінансуються Національним банком України, у
портфелі банку на продаж
|
|
1491
|
КА
|
Резерви під знецінення
боргових цінних паперів, що рефінансуються Національним банком України, у
портфелі банку до погашення
|
|
1492
|
КА
|
Резерви під
заборгованість за нарахованими доходами за борговими цінними паперами, що
рефінансуються Національним банком України, у портфелі банку на продаж
|
|
1493
|
КА
|
Резерви під
заборгованість за нарахованими доходами за борговими цінними паперами, що
рефінансуються Національним банком України, у портфелі банку до
погашення
|
2.4.2 Інвестиції банків в комерційні пайові цінні папери
Таблиця 2.20
|
Клас 3. Операції з
цінними паперами та інші активи і зобов'язання
|
|
30
|
Цінні папери та похідні
фінансові активи в торговому портфелі банку
|
|
300
|
Акції та інші цінні
папери з нефіксованим прибутком у торговому портфелі банку
|
|
3002
|
А
|
Акції та інші цінні
папери з нефіксованим прибутком, що випущені банками, у торговому портфелі банку
|
|
3003
|
А
|
Акції та інші цінні
папери з нефіксованим прибутком, що випущені небанківськими фінансовими
установами, у торговому портфелі банку
|
|
3005
|
А
|
Інші акції та цінні
папери з нефіксованим прибутком у торговому портфелі банку
|
|
304
|
Похідні фінансові
активи в торговому портфелі банку
|
|
3040
|
А
|
Активи за придбаними
опціонними контрактами в торговому портфелі банку
|
|
3041
|
А
|
Активи за форвардними
контрактами в торговому портфелі банку
|
|
3042
|
А
|
Активи за ф'ючерсними
контрактами в торговому портфелі банку
|
2.4.3 Інвестиції банків в комерційні боргові цінні
папери
|
301
|
Боргові цінні папери в
торговому портфелі банку
|
|
3010
|
А
|
Боргові цінні папери
органів державної влади в торговому портфелі банку
|
|
3011
|
А
|
Боргові цінні папери
органів місцевого самоврядування в торговому портфелі банку
|
|
3012
|
А
|
Боргові цінні папери,
випущені банками, у торговому портфелі банку
|
|
3013
|
А
|
Боргові цінні папери,
випущені небанківськими фінансовими установами, у торговому портфелі
банку
|
|
3014
|
А
|
Боргові цінні папери
нефінансових підприємств у торговому портфелі банку
|
|
32
|
Цінні папери в портфелі
банку до погашення
|
|
321
|
Боргові цінні папери в
портфелі банку до погашення
|
|
3210
|
А
|
Боргові цінні папери
органів державної влади в портфелі банку до погашення
|
|
3211
|
А
|
Боргові цінні папери
органів місцевого самоврядування в портфелі банку до погашення
|
|
3212
|
А
|
Боргові цінні папери,
випущені банками, у портфелі банку до погашення
|
|
3213
|
А
|
Боргові цінні папери,
випущені небанківськими фінансовими установами, у портфелі банку до
погашення
|
|
3214
|
А
|
Боргові цінні папери
нефінансових підприємств у портфелі банку до погашення
|
|
329
|
Резерви під знецінення
цінних паперів у портфелі банку до погашення
|
|
3290
|
КА
|
Резерви під знецінення
цінних паперів у портфелі банку до погашення
|
|
3291
|
КА
|
Резерви під
заборгованість за нарахованими доходами за борговими цінними паперами в
портфелі банку до погашення
|
2.5 Професійна діяльність комерційних банків на
ринку цінних паперів
2.5.1 Торгівля цінними паперами
|
31
|
Цінні папери в портфелі
банку на продаж та похідні фінансові активи, що призначені для обліку
хеджування
|
|
310
|
Акції та інші цінні
папери з нефіксованим прибутком у портфелі банку на продаж
|
|
3102
|
А
|
Акції та інші цінні
папери з нефіксованим прибутком, що випущені банками, у портфелі банку на
продаж
|
А
|
Акції та інші цінні
папери з нефіксованим прибутком, що випущені небанківськими фінансовими
установами, у портфелі банку на продаж
|
|
3105
|
А
|
Інші акції та цінні
папери з нефіксованим прибутком у портфелі банку на продаж
|
|
311
|
Боргові цінні папери в
портфелі банку на продаж
|
|
3110
|
А
|
Боргові цінні папери
органів державної влади в портфелі банку на продаж
|
|
3111
|
А
|
Боргові цінні папери
органів місцевого самоврядування в портфелі банку на продаж
|
|
3112
|
А
|
Боргові цінні папери,
випущені банками, у портфелі банку на продаж
|
|
3113
|
А
|
Боргові цінні папери,
випущені небанківськими фінансовими установами, у портфелі банку на
продаж
|
|
3114
|
А
|
Боргові цінні папери
нефінансових підприємств у портфелі банку на продаж
|
|
335
|
Похідні фінансові
зобов'язання в торговому портфелі банку
|
|
3350
|
П
|
Зобов'язання за
проданими опціонними контрактами в торговому портфелі банку
|
|
3351
|
П
|
Зобов'язання за
форвардними контрактами в торговому портфелі банку
|
|
3352
|
П
|
Зобов'язання за
ф'ючерсними контрактами в торговому портфелі банку
(розділ 33 доповнено
групою рахунків 335 згідно з постановою
Правління Національного банку України від 31.08.2007 р. N 310)
|
|
336
|
Похідні фінансові
зобов'язання, що призначені для обліку хеджування
|
|
3360
|
П
|
Зобов'язання за
проданими опціонними контрактами, що призначені для обліку хеджування
|
|
3361
|
П
|
Зобов'язання за
форвардними контрактами, що призначені для обліку хеджування
|
|
3362
|
П
|
Зобов'язання за
ф'ючерсними контрактами, що призначені для обліку хеджування
|
2.5.2 Реєстраційна та депозитарна діяльність
|
97
|
Цінні папери та інші
активи клієнтів на зберіганні
|
|
970
|
Цінні папери та інші
активи клієнтів на зберіганні
|
|
9702
|
А
|
Цінні папери на
зберіганні
|
|
9703
|
А
|
Інші активи на
зберіганні
|
|
9704
|
А
|
Цінні папери клієнтів
згідно з договором доручення (комісії)
|
2.5.3 Андеррайтерська діяльність
|
93
|
Вимоги та зобов'язання
щодо андеррайтингу цінних паперів, спотових і строкових фінансових
інструментів, крім інструментів валютного обміну
|
|
930
|
Цінні папери до
отримання за операціями андеррайтингу
|
|
9300
|
А
|
Вимоги за
андеррайтингом цінних паперів
|
|
931
|
Цінні папери до
відправлення за операціями андеррайтингу
|
|
9310
|
П
|
Зобов'язання за
андеррайтингом цінних паперів
|
2.5.4 Управління цінними паперами клієнтів
|
978
|
Активні рахунки
довірчого управління
|
|
9780
|
А
|
Готівкові кошти за
операціями довірчого управління
|
|
9781
|
А
|
Поточні рахунки
банку-управителя з довірчого управління
|
|
9782
|
А
|
Дебіторська
заборгованість за операціями довірчого управління
|
|
9783
|
А
|
Цінні папери в
довірчому управлінні
|
СПИСОК ВИКОРИСТАНИХ ДЖЕРЕЛ
1. Закон України „Про Національний банк України” від 20
травня 1999 року N 679-XIV // Із змінами і доповненнями,
внесеними Законами України станом від 21 серпня 2009 року N 1608-VI -
Інформаційно-аналітичний центр «ЛІГА», 1991 – 2009(Інтернет- сайт HTTP://www.bank.gov.ua - Офіційний сайт НБУ
80. HTTP://WWW.PRIVATBANK.DP.UA - Офіційний сайт АКБ “Приватбанк”
Додаток А
Поквартальні баланси ПАТ АБ «Приватбанк» у 2008
-2009 роках
|
|
|
|
|
Зведений баланс КБ
ПРИВАТБАНК за 30-10-2009
|
|
|
|
|
|
|
Найменування
статті
|
Сума
|
|
|
|
Активи
|
|
Готiвковi кошти в
касi
|
2 820 270 877,01
|
|
Кошти в НБУ
|
829 735 415,91
|
|
Кошти на коррахунках
"Ностро"
|
1 052 550 142,63
|
|
Межбанкiвськi
кредити
|
10 100 059 595,53
|
|
Кредити юридичним
особам
|
49 773 414 945,02
|
|
Кредити фiзичним
особам
|
20 899 952 121,14
|
|
Нарахованi доходи
|
2 999 532 320,66
|
|
Цiннi папери
|
1 132 198 514,16
|
|
Основнi засоби
банка
|
1 323 672 621,14
|
|
Дебiторська
заборгованiсть
|
4 132 254 928,41
|
|
Валютнi операцiї
|
4 713 163 819,70
|
|
Резерви пiд
кредити
|
-13 266 754 270,01
|
|
Усього Активи:
|
86 510 051 031,30
|
|
|
|
|
|
|
Пасиви
|
|
Кошти на
коррахунках "Лоро"
|
452 320 924,08
|
|
Мiжбанкiвськi
депозити
|
2 611 171 032,11
|
|
Кредити
Нацiонального Банку
|
8 310 000 000,00
|
|
Кредити мiжнарод,
фiнанс,орг,
|
4 800 810 360,00
|
|
Поточнi рахунки
юр, осiб
|
7 249 747 712,68
|
|
Кошти бюджету
|
40 812 983,55
|
|
Депозити
юридичних осiб
|
10 581 234 759,20
|
|
Поточнi рахунки
фiзичних осiб
|
5 468 905 236,54
|
|
Депозити фiзичних
осiб
|
25 418 203 838,48
|
|
Розрахунки за
цiнними паперами
|
1 476 009 346,80
|
|
Нарахованi
витрати
|
923 455 567,03
|
|
Кредиторська
заборгованiсть
|
4 591 535 295,90
|
|
Валютнi операцiї
|
4 713 163 819,68
|
|
Усього Пасиви:
|
76 637 370 876,05
|
|
|
|
|
|
|
Капiтал
|
|
Статутний капiтал
банка
|
7 810 865 848,00
|
|
Резерви банку
|
1 264 180 829,20
|
|
Результат минулих
рокiв
|
92 492 493,16
|
|
Результат
поточного року
|
705 140 984,89
|
|
Усього Капiтал:
|
9 872 680 155,25
|
|
|
|
|
|
|
|
|
|
|
|
|
|
|
|
|
Зведений баланс КБ
ПРИВАТБАНК за 30-06-2009
|
|
|
|
|
|
|
Найменування
статті
|
Сума
|
|
|
|
Активи
|
|
Готiвковi кошти в
касi
|
2 813 517 232,71
|
|
Кошти в НБУ
|
2 030 728 320,57
|
|
Кошти на
коррахунках "Ностро"
|
2 721 424 460,54
|
|
Межбанкiвськi
кредити
|
7 208 861 193,55
|
|
Кредити юридичним
особам
|
45 369 582 160,97
|
|
Кредити фiзичним
особам
|
22 657 491 200,98
|
|
Нарахованi доходи
|
2 580 460 063,32
|
|
Цiннi папери
|
1 021 812 859,70
|
|
Основнi засоби
банка
|
1 362 255 204,42
|
|
Дебiторська
заборгованiсть
|
2 470 174 961,46
|
|
Валютнi операцiї
|
4 231 828 206,27
|
|
Резерви пiд
кредити
|
-11 485 763 160,07
|
|
Усього Активи:
|
82 982 372 704,42
|
|
|
|
|
|
|
Пасиви
|
|
Кошти на
коррахунках "Лоро"
|
234 924 127,75
|
|
Мiжбанкiвськi
депозити
|
3 213 632 042,74
|
|
Кредити
Нацiонального Банку
|
7 681 600 000,00
|
|
Кредити мiжнарод,
фiнанс,орг,
|
4 815 425 789,48
|
|
Поточнi рахунки
юр, осiб
|
7 885 555 665,65
|
|
Кошти бюджету
|
23 962 417,81
|
|
Депозити
юридичних осiб
|
9 522 150 064,78
|
|
Поточнi рахунки
фiзичних осiб
|
6 423 993 050,29
|
|
Депозити фiзичних
осiб
|
23 336 544 094,61
|
|
Розрахунки за
цiнними паперами
|
1 342 987 281,47
|
|
Нарахованi
витрати
|
1 298 705 603,91
|
|
Кредиторська
заборгованiсть
|
4 398 807 416,12
|
|
Валютнi операцiї
|
4 231 828 206,27
|
|
Усього Пасиви:
|
74 410 115 760,88
|
|
|
|
|
|
|
Капiтал
|
|
Статутний капiтал
банка
|
6 810 865 100,00
|
|
Резерви банку
|
1 264 180 829,20
|
|
Результат минулих
рокiв
|
92 492 493,16
|
|
Результат
поточного року
|
404 718 521,18
|
|
Усього Капiтал:
|
8 572 256 943,54
|
|
|
|
|
|
|
|
|
|
|
|
|
Зведений баланс КБ
ПРИВАТБАНК за 31-03-2009
|
|
|
|
|
|
|
Найменування
статті
|
Сума
|
|
|
|
Активи
|
|
Готiвковi кошти в
касi
|
2 296 396 004,62
|
|
Кошти в НБУ
|
630 770 296,50
|
|
Кошти на
коррахунках "Ностро"
|
640 522 402,86
|
|
Вкладення в ОВДП
|
13 069 510,35
|
|
Межбанкiвськi
кредити
|
6 640 242 479,62
|
|
Кредити юридичним
особам
|
45 689 956 090,18
|
|
Кредити фiзичним
особам
|
23 520 063 145,49
|
|
Нарахованi доходи
|
2 348 945 810,71
|
|
Цiннi папери
|
1 040 218 212,59
|
|
Основнi засоби
банка
|
1 389 074 926,99
|
|
Дебiторська
заборгованiсть
|
374 590 037,54
|
|
Валютнi операцiї
|
686 241 197,06
|
|
Резерви пiд
кредити
|
-11 003 217 757,66
|
|
Усього Активи:
|
74 266 872 356,85
|
|
|
|
|
|
|
Пасиви
|
|
Кошти на
коррахунках "Лоро"
|
181 705 180,08
|
|
Мiжбанкiвськi
депозити
|
6 633 652 928,54
|
|
Кредити
Нацiонального Банку
|
3 410 000 000,00
|
|
Кредити мiжнарод,
фiнанс,орг,
|
5 398 412 943,00
|
|
Поточнi рахунки
юр, осiб
|
7 553 698 831,32
|
|
Кошти бюджету
|
37 411 274,72
|
|
Депозити
юридичних осiб
|
8 765 309 164,20
|
|
Поточнi рахунки
фiзичних осiб
|
4 575 584 801,20
|
|
Депозити фiзичних
осiб
|
23 266 728 704,11
|
|
Розрахунки за
цiнними паперами
|
2 504 613 757,62
|
|
Нарахованi
витрати
|
1 263 894 331,55
|
|
Кредиторська
заборгованiсть
|
1 502 520 539,27
|
|
Валютнi операцiї
|
686 241 197,06
|
|
Усього Пасиви:
|
65 779 773 652,67
|
|
|
|
|
|
|
Капiтал
|
|
Статутний капiтал
банка
|
5 684 882 125,00
|
|
Резерви банку
|
617 690 561,16
|
|
Результат минулих
рокiв
|
1 864 965 736,20
|
|
Результат поточного
року
|
319 560 281,82
|
|
Усього Капiтал:
|
8 487 098 704,18
|
|
|
|
|
|
|
|
|
|
|
|
|
|
|
|
|
Зведений баланс КБ
ПРИВАТБАНК за 31-12-2008
|
|
|
|
|
|
|
|
|
Найменування
статті
|
Сума
|
|
|
|
|
|
Активи
|
|
|
Готiвковi кошти в
касi
|
3 154 397 720,78
|
|
|
Кошти в НБУ
|
77 543 205,88
|
|
|
Кошти на
коррахунках "Ностро"
|
757 852 563,67
|
|
|
Вкладення в ОВДП
|
12 897 487,50
|
|
|
Межбанкiвськi
кредити
|
7 102 230 486,76
|
|
|
Кредити юридичним
особам
|
46 878 946 861,43
|
|
|
Кредити фiзичним
особам
|
25 609 190 565,86
|
|
|
Нарахованi доходи
|
1 638 520 253,79
|
|
|
Цiннi папери
|
1 521 732 392,17
|
|
|
Основнi засоби
банка
|
1 465 774 920,17
|
|
|
Дебiторська
заборгованiсть
|
352 275 665,24
|
|
|
Валютнi операцiї
|
521 119 859,25
|
|
|
Резерви пiд
кредити
|
-8 880 819 145,32
|
|
|
Усього Активи:
|
80 211 662 837,18
|
|
|
|
|
|
|
|
|
|
Пасиви
|
|
|
Кошти на
коррахунках "Лоро"
|
393 687 502,25
|
|
|
Мiжбанкiвськi
депозити
|
5 199 358 492,37
|
3 410 000 000,00
|
|
|
Кредити мiжнарод,
фiнанс,орг,
|
5 437 692 914,50
|
|
|
Поточнi рахунки юр,
осiб
|
8 267 512 496,43
|
|
|
Кошти бюджету
|
37 436 215,43
|
|
|
Депозити
юридичних осiб
|
11 904 953 876,98
|
|
|
Поточнi рахунки
фiзичних осiб
|
5 706 146 066,14
|
|
|
Депозити фiзичних
осiб
|
27 043 945 217,05
|
|
|
Розрахунки за
цiнними паперами
|
1 768 985 127,97
|
|
|
Нарахованi
витрати
|
1 470 781 351,57
|
|
|
Кредиторська
заборгованiсть
|
794 480 692,57
|
|
|
Валютнi операцiї
|
521 119 859,25
|
|
|
Усього Пасиви:
|
71 956 099 812,51
|
|
|
|
|
|
|
|
|
|
Капiтал
|
|
|
Статутний капiтал
банка
|
5 684 882 125,00
|
|
|
Резерви банку
|
690 289 311,17
|
|
|
Результат минулих
рокiв
|
528 736 216,90
|
|
|
Результат
поточного року
|
1 351 655 371,60
|
|
|
Усього Капiтал:
|
8 255 563 024,67
|
|
|
|
|
|
|
|
|
|
|
|
|
|
|
Зведений баланс КБ
ПРИВАТБАНК за 30-09-2008
|
|
|
|
|
|
|
Найменування
статті
|
Сума
|
|
|
|
Активи
|
|
Готiвковi кошти в
касi
|
2 857 197 037,73
|
|
Кошти в НБУ
|
4 347 744 275,22
|
|
Кошти на
коррахунках "Ностро"
|
1 103 848 905,27
|
|
Вкладення в ОВДП
|
66 032 435,39
|
|
Межбанкiвськi кредити
|
6 037 047 944,50
|
|
Кредити юридичним
особам
|
35 773 316 035,31
|
|
Кредити фiзичним
особам
|
21 889 642 022,12
|
|
Нарахованi доходи
|
1 160 348 817,15
|
|
Цiннi папери
|
1 828 114 730,52
|
|
Основнi засоби
банка
|
1 521 597 607,70
|
|
Дебiторська заборгованiсть
|
686 775 006,58
|
|
Валютнi операцiї
|
3 212 581 296,58
|
|
Резерви пiд
кредити
|
-4 755 158 223,61
|
|
Усього Активи:
|
75 729 087 890,46
|
|
|
|
|
|
|
Пасиви
|
|
Кошти на
коррахунках "Лоро"
|
404 414 997,77
|
|
Мiжбанкiвськi
депозити
|
6 740 495 868,81
|
|
Кредити мiжнарод,
фiнанс,орг,
|
3 734 829 941,02
|
|
Поточнi рахунки
юр, осiб
|
12 321 873 445,81
|
|
Кошти бюджету
|
288 632 711,67
|
|
Депозити
юридичних осiб
|
6 743 184 892,87
|
|
Поточнi рахунки
фiзичних осiб
|
6 077 509 979,68
|
|
Депозити фiзичних
осiб
|
23 394 712 196,78
|
|
Розрахунки за
цiнними паперами
|
2 362 434 469,64
|
|
Нарахованi
витрати
|
1 122 842 129,45
|
|
Кредиторська
заборгованiсть
|
1 609 930 990,06
|
|
Валютнi операцiї
|
3 212 581 296,58
|
|
Усього Пасиви:
|
68 013 442 920,14
|
|
|
|
|
|
|
Капiтал
|
|
Статутний капiтал
банка
|
5 684 882 125,00
|
|
Резерви банку
|
693 258 408,19
|
|
Результат минулих
рокiв
|
525 767 119,88
|
|
Результат
поточного року
|
811 737 317,25
|
|
Усього Капiтал:
|
7 715 644 970,32
|
|
|
|
|
|
|
|
|
|
|
|
|
|
|
|
|
Зведений баланс КБ
ПРИВАТБАНК за 26-06-2008
|
|
|
|
|
|
|
|
|
Найменування
статті
|
Сума
|
|
|
|
|
|
Активи
|
|
|
Готiвковi кошти в
касi
|
3 209 725 334,96
|
|
|
Кошти в НБУ
|
1 805 774 133,01
|
|
|
Кошти на
коррахунках "Ностро"
|
1 084 269 384,96
|
|
|
Вкладення в ОВДП
|
16 343 917,61
|
|
|
Межбанкiвськi
кредити
|
10 450 279 151,80
|
|
|
Кредити юридичним
особам
|
28 891 848 429,73
|
|
|
Кредити фiзичним
особам
|
23 072 743 427,74
|
|
|
Нарахованi доходи
|
1 207 768 014,56
|
|
|
Цiннi папери
|
1 599 290 398,80
|
|
|
Основнi засоби
банка
|
1 466 147 806,61
|
|
|
Дебiторська
заборгованiсть
|
569 320 780,81
|
|
|
Валютнi операцiї
|
134 540 347,74
|
|
|
Резерви пiд
кредити
|
-4 259 665 729,45
|
|
|
Усього Активи:
|
69 248 385 398,88
|
|
|
|
|
|
|
|
|
|
Пасиви
|
|
|
Кошти на
коррахунках "Лоро"
|
251 422 329,42
|
|
|
Мiжбанкiвськi
депозити
|
6 546 652 172,81
|
|
|
Кредити мiжнарод,
фiнанс,орг,
|
4 175 353 093,48
|
|
|
Поточнi рахунки
юр, осiб
|
9 699 009 016,90
|
|
|
Кошти бюджету
|
108 871 223,47
|
|
|
Депозити
юридичних осiб
|
5 489 279 010,35
|
|
|
Поточнi рахунки
фiзичних осiб
|
8 755 528 807,06
|
|
|
Депозити фiзичних
осiб
|
21 447 413 518,20
|
|
|
Розрахунки за
цiнними паперами
|
2 676 918 857,67
|
|
|
Нарахованi
витрати
|
1 174 107 744,24
|
|
|
Кредиторська
заборгованiсть
|
944 233 812,87
|
|
|
Валютнi операцiї
|
134 540 347,66
|
|
|
Усього Пасиви:
|
61 403 329 934,13
|
|
|
|
|
|
|
Капiтал
|
|
|
Статутний капiтал
банка
|
4 353 810 000,00
|
|
|
Резерви банку
|
697 718 861,13
|
|
|
Результат минулих
рокiв
|
1 982 399 244,88
|
|
|
Результат
поточного року
|
811 127 358,74
|
|
|
Усього Капiтал:
|
7 845 055 464,75
|
|
|
|
|
|
|
|
|
|
|
|
|
|
|
Зведений баланс КБ
ПРИВАТБАНК за 31-03-2008
|
|
|
|
|
|
|
|
|
Найменування
статті
|
Сума
|
|
|
|
|
|
Активи
|
|
|
Готiвковi кошти в
касi
|
2 430 409 917,92
|
|
|
Кошти в НБУ
|
830 570 076,01
|
|
|
Кошти на
коррахунках "Ностро"
|
635 500 558,05
|
|
|
Вкладення в ОВДП
|
16 114 186,41
|
|
|
Межбанкiвськi
кредити
|
4 649 939 541,85
|
|
|
Кредити юридичним
особам
|
29 666 082 553,22
|
|
|
Кредити фiзичним
особам
|
21 689 282 890,07
|
|
|
Нарахованi доходи
|
991 603 696,35
|
|
|
Цiннi папери
|
1 593 136 926,34
|
|
|
Основнi засоби
банка
|
1 438 947 608,04
|
|
|
Дебiторська
заборгованiсть
|
428 636 514,82
|
|
|
Валютнi операцiї
|
849 033 307,43
|
|
|
Резерви пiд
кредити
|
-4 029 849 551,34
|
|
|
Усього Активи:
|
61 189 408 225,17
|
|
|
|
|
|
|
|
|
|
Пасиви
|
|
|
Кошти на
коррахунках "Лоро"
|
186 518 244,93
|
|
|
Мiжбанкiвськi
депозити
|
6 292 110 830,75
|
|
|
Кредити мiжнарод,
фiнанс,орг,
|
4 081 589 061,19
|
|
|
Поточнi рахунки
юр, осiб
|
8 496 688 589,38
|
|
|
Кошти бюджету
|
105 291 110,34
|
|
|
Депозити
юридичних осiб
|
4 043 204 421,95
|
|
|
Поточнi рахунки
фiзичних осiб
|
5 154 936 205,60
|
|
|
Депозити фiзичних
осiб
|
20 151 590 512,08
|
|
|
Розрахунки за
цiнними паперами
|
3 009 966 721,84
|
|
|
Нарахованi
витрати
|
881 595 513,66
|
|
|
Кредиторська
заборгованiсть
|
668 282 112,58
|
|
|
Валютнi операцiї
|
849 033 307,43
|
|
|
Усього Пасиви:
|
53 920 806 631,73
|
|
|
|
|
|
|
|
|
|
Капiтал
|
|
|
Статутний капiтал
банка
|
4 228 250 000,00
|
|
|
Резерви банку
|
622 737 460,66
|
|
|
Результат минулих
рокiв
|
2 052 920 192,41
|
|
|
Результат
поточного року
|
364 693 940,37
|
|
|
Усього Капiтал:
|
7 268 601 593,44
|
|
|
|
|
|
|
|
|
|
|
|
|
|
|
Зведений баланс КБ
ПРИВАТБАНК за 29-12-2007
|
|
|
|
|
|
|
|
|
Найменування
статті
|
Сума
|
|
|
|
|
|
Активи
|
|
|
Готiвковi кошти в
касi
|
3 029 257 629,32
|
|
|
Кошти в НБУ
|
2 101 779 987,21
|
|
|
Кошти на
коррахунках "Ностро"
|
930 622 603,85
|
|
|
Вкладення в ОВДП
|
15 771 369,00
|
|
|
Межбанкiвськi
кредити
|
6 846 392 764,19
|
|
|
Кредити юридичним
особам
|
23 555 078 256,11
|
|
|
Кредити фiзичним
особам
|
18 139 224 479,62
|
|
|
Нарахованi доходи
|
837 958 346,99
|
|
|
Цiннi папери
|
1 564 355 847,07
|
|
|
Основнi засоби
банка
|
1 533 757 885,46
|
|
|
Дебiторська
заборгованiсть
|
375 129 825,56
|
|
|
Валютнi операцiї
|
262 769 227,08
|
|
|
Резерви пiд
кредити
|
-3 935 335 275,78
|
|
|
Усього Активи:
|
55 256 762 945,68
|
|
|
|
|
|
|
|
|
|
Пасиви
|
|
|
Кошти на
коррахунках "Лоро"
|
1 208 478 700,42
|
|
|
Мiжбанкiвськi
депозити
|
5 125 383 682,68
|
|
|
Кредити мiжнарод,
фiнанс,орг,
|
4 504 211 370,41
|
|
|
Поточнi рахунки
юр, осiб
|
7 375 889 206,22
|
|
|
Кошти бюджету
|
33 554 522,51
|
|
|
Депозити
юридичних осiб
|
3 675 335 744,65
|
|
|
Поточнi рахунки
фiзичних осiб
|
5 258 331 402,70
|
|
|
Депозити фiзичних
осiб
|
17 660 673 492,84
|
|
|
Розрахунки за
цiнними паперами
|
3 046 362 107,11
|
|
|
Нарахованi
витрати
|
852 147 644,64
|
|
|
Кредиторська
заборгованiсть
|
863 800 786,52
|
|
|
Валютнi операцiї
|
262 769 227,08
|
|
|
Усього Пасиви:
|
49 866 937 887,78
|
|
|
|
|
|
|
Капiтал
|
|
|
Статутний капiтал
банка
|
2 713 250 000,00
|
|
|
Резерви банку
|
622 737 460,66
|
|
|
Результат минулих
рокiв
|
518 757 773,36
|
|
|
Результат
поточного року
|
1 535 079 823,88
|
|
|
Усього Капiтал:
|
5 389 825 057,90
|
|
|
|
|
|
Додаток Б
Розміщення облігацій внутрішньої державної позики ОВДП у
2008 - 2009 роках на первинному ринку державних ЦП
Таблиця Б.1
Таблиця Б.2
Продовження табл.Б.2
Продовження табл.Б.2