Тарифная политика и ее влияние на комиссионный доход коммерческих банков
МИНИСТЕРСТВО ОБРАЗОВАНИЯ И НАУКИ УКРАИНЫ
Запорожский государственный
технический университет
ДИПЛОМНЫЙ ПРОЕКТ
на тему:
ТАРИФНАЯ ПОЛИТИКА И ЕЕ ВЛИЯНИЕ НА КОМИССИОННЫЕ ДОХОДЫ КОММЕРЧЕСКИХ БАНКОВ
РЕФЕРАТ
12 рис., 31 табл., 20 с.
приложений, 41 источник.
Объект исследований дипломной работы – банковская система Украины, коммерческие банки АКБ «Приватбанк»(Днепропетровск)
и АКБ «Финбанк» (Одесса).
Цель дипломной работы – определение сущности и структуры комиссионных доходов в коммерческих банках
Украины, выявление основных факторов влияния характеристик банка и политики тарификации
его банковских услуг на весовую долю комиссионных доходов в операционных доходах
банка.
Задачи дипломного исследования:
- исследование сущности
и классификации операций банковских услуг как источников комиссионных доходов банка;
- анализ влияния тарификации
комиссий в операциях банковских услуг на роль комиссионных доходов в общих доходах
коммерческих банков Украины;
- поиск перспективных направлений развития операций банковских
услуг и увеличения комиссионных доходов коммерческих банков.
Метод исследований – исторический анализ и группирование.
Практическая ценность полученных результатов состоит в том, что в современных условиях конкуренции 12
основных банков Украины с остальными 145 банками уровень комиссионных доходов имеет
стандартный уровень 27 – 30% в операционном доходе банка и поднимается до 35 – 38%
в 12 системообразующих банках Украины, которые занимают более 50% банковского рынка
и конкурентно формируют тарифную политику остальной банковской системы, создавая
для себя определенные «монопольные ниши» высокодоходных комиссионных операций.
КЛЮЧЕВЫЕ СЛОВА: КОМИССИОННЫЙ ДОХОД, ТАРИФЫ ОПЕРАЦИЙ.
СОДЕРЖАНИЕ
ВВЕДЕНИЕ
1
ЭКОНОМИЧЕСКАЯ СУЩНОСТЬ И КЛАССИФИКАЦИЯ
ОПЕРАЦИЙ БАНКОВСКИХ УСЛУГ КАК ИСТОЧНИКОВ КОМИССИОННЫХ ДОХОДОВ БАНКА
1.1 Сущность
операций банковских услуг клиентам банка
1.2 Классификация основных
статей доходов коммерческих банков
1.3 Сущность и классификация
видов комиссионных доходов банка
2
АНАЛИЗ ВЛИЯНИЯ ТАРИФИКАЦИИ КОМИССИЙ
В ОПЕРАЦИЯХ БАНКОВСКИХ УСЛУГ НА РОЛЬ КОМИССИОННЫХ ДОХОДОВ В ОБЩИХ ДОХОДАХ КОММЕРЧЕСКИХ
БАНКОВ УКРАИНЫ
2.1 Динамика комиссионных доходов в банковской системе Украины
в 2003 – 2006 годах
2.2 Динамика и структура комиссионных доходов в коммерческом
банке АКБ “Приватбанк”
2.3 Сравнительная характеристика тарификации основных комиссий
в банковских операциях в АКБ “Приватбанк” и АКБ «Финбанк» (Одесса)
3
ПЕРСПЕКТИВНЫЕ НАПРАВЛЕНИЯ РАЗВИТИЯ
ОПЕРАЦИЙ БАНКОВСКИХ УСЛУГ И УВЕЛИЧЕНИЯ КОМИССИОННЫХ ДОХОДОВ КОММЕРЧЕСКИХ БАНКОВ
3.1
Рост комиссионных доходов АКБ «Приватбанк»
при развитии кастодиальных операций по регистрации, депозитарному хранению и обслуживанию
ценных бумаг клиентов
3.2 Рост комиссионных
доходов АКБ «Приватбанк» при диверсификационном развитии операций с пластиковыми платежно-кредитными карточками
ВЫВОДЫ
СПИСОК ИСПОЛЬЗОВАННЫХ ИСТОЧНИКОВ
ССЫЛОК
ПРИЛОЖЕНИЯ
ВВЕДЕНИЕ
Актуальность темы дипломного исследования состоит в исследовании весовой доли сектора банковских
услуг, как источников комиссионных доходов банка в общем операционном доходе банка,
который включает также традиционный процентный, торговый, дивидендный и другие виды
доходов.
Предмет исследований дипломной работы – структура комиссионных доходов коммерческих банков и тарификация
основных банковских операций, обеспечивающих эти доходы.
Объект исследований дипломной работы – банковская система Украины, коммерческие банки АКБ «Приватбанк»(Днепропетровск)
и АКБ «Финбанк» (Одесса).
Цель дипломной работы – определение сущности и структуры комиссионных доходов в коммерческих банках
Украины, выявление основных факторов влияния характеристик банка и политики тарификации
его банковских услуг на весовую долю комиссионных доходов в операционных доходах
банка.
Задачи дипломного исследования:
- исследование сущности
и классификации операций банковских услуг как источников комиссионных доходов банка;
- анализ влияния тарификации
комиссий в операциях банковских услуг на роль комиссионных доходов в общих доходах
коммерческих банков Украины;
- поиск перспективных направлений
развития операций банковских услуг и увеличения комиссионных доходов коммерческих
банков.
Метод исследований – исторический анализ и группирование.
Информационно-методологическая база исследований дипломного проекта — отчетные документы АКБ
«Приватбанк» за 2001 - 2006 года, информационные материалы Национального банка Украины,
Всеукраинской банковской лиги.
Практическая ценность полученных результатов дипломного исследования по основным факторам влияния характеристик
коммерческого банка и его рыночной тарифной политики на уровень комиссионных доходов
состоит в том, что в современных условиях конкуренции 12 основных банков Украины
с остальными 145 банками уровень комиссионных доходов имеет стандартный уровень
27 – 30% в операционном доходе банка и поднимается до 35 – 38% в 12 системообразующих
банках Украины, которые занимают более 50% банковского рынка и конкурентно формируют
тарифную политику остальной банковской системы, создавая для себя определенные «монопольные
ниши» высокодоходных комиссионных операций.
1
ЭКОНОМИЧЕСКАЯ СУЩНОСТЬ
И КЛАССИФИКАЦИЯ ОПЕРАЦИЙ БАНКОВСКИХ УСЛУГ КАК ИСТОЧНИКОВ КОМИССИОННЫХ ДОХОДОВ БАНКА
1.1 Сущность
операций банковских услуг клиентам банка
Банковские услуги - это операции банковских учреждений
по предоставлению услуг клиентам, которые не связаны с привлечением дополнительных
ресурсов. Основной формой оплаты банковских услуг являются комиссии. Банки предоставляют
клиентам разнообразные услуги, их объединяют в определенные группы по соответствующим
признакам и критериям. Наиболее распространенной является классификация банковских
услуг, в которой выделяют такие группы услуг: лицензированные, нелицензированные,
чистые, суррогатные, комиссионные, гонорарные, спрэдовые, балансовые, внебалансовые
и т.п.[27].
К лицензированным банковским услугам относятся такие,
предоставление которых требует лицензии Национального банка Украины. Это, в частности:
кассовое обслуживание клиентов; инкассация и перевозка денежных ценностей; ведение
счетов клиентов в национальной и иностранной валюте; привлечения депозитов юридических
и физических лиц; выдача гарантий и поручительств; управления денежными средствами
и ценными бумагами по доверенности клиентов и т.д..
Чистыми называются услуги, которые не несут любого риска
для активов банка, кроме риска операционных ошибок. Например, осуществления расчетов
за собственные средства клиентов, инкассовые услуги, инкассация денежной наличности,
кассовое обслуживание и др.
Суррогатными называются услуги, конечный результат от осуществления
которых может повлиять на активы банка, хотя на момент предоставления услуги такого
влияния не происходит. Например, гарантии, подтвержденные аккредитивы, непокрытые
чеки, аваль и акцепт векселей и т.п..
К чисто комиссионным относятся услуги, за предоставление
которых банк взимает с клиента плату в виде комиссии, а сам не платит никаких комиссий
при их предоставлении. Это хранение ценностей в собственном депозитарии, ведение
реестров собственников ценных бумаг, размещение ценных бумаг, эмитированных клиентами
по их поручению и т.п..
Гонорарными называются услуги, за предоставление которых
банк получает от клиентов обусловленную заведомо плату. Это лизинг, траст, консультационные
и некоторые другие услуги.
К спрэдовых относят услуги, чистые доходы от которых формируются
как различие между комиссией, полученной от клиента, и комиссией, уплаченной при
организации данной услуги. Примером такой услуги является выдача клиентам денежной
наличности за счет купленной у других банков или в учреждении НБУ. Спрэд возникает
лишь тогда, когда банк использует посторонних (третьих) лиц при предоставлении услуг
клиентам.
К балансовым принадлежат услуги, которые учитываются на
балансовых счетах (кредитные, инвестиционные, валютные операции). Эти услуги, в
свою очередь, могут быть активными и пассивными. Услуги, которые не учитываются
на балансовых счетах, относят к внебалансовым (гарантии, поручительства, консультации),
их предоставление не сопровождается вложением или привлечением средств.
Рынок банковских услуг в Украине находится на стадии формирования.
Наибольшим спросом пользуются услуги расчетно-кассового характера. Тем не менее,
с развитием рыночного отношения появляется спрос и на такие услуги, как лизинг,
факторинг, гарантии, трастовые услуги.
Быстро развивается спрос на услуги банков в сфере обращения
ценных бумаг: купля-продажа ценных бумаг по заявкам клиентов, размещение эмиссии
ценных бумаг и т.п..
1.2 Классификация
основных статей доходов коммерческих банков
Доходы и затраты, которые
признаны банком от осуществления банковских операций согласно закону Украины "О
банках и банковской деятельности" [1] и от других операций, которые осуществляются
соответственно законодательству Украины, с целью отображения их в финансовой отчетности
рассматриваются как доходы и затраты, полученные в результате операционной, инвестиционной
и финансовой деятельности банка.
Доходы и затраты банка отображаются в бухгалтерском учете
по счетам классов 6 и 7 Плана счетов бухгалтерского учета банков Украины, утвержденного
постановлением Правления Национального банка Украины от 17.06.2004 N 280 [10] (Приложение
В).
Доходы и затраты признаются
при таких условиях:
а) признание реальной задолженности
по активам и обязательствам банка;
б) финансовый результат операции,
связанной с предоставлением (получением) услуг, может быть точно определен.
Доходы и затраты, которые
возникают в результате операций, определяются договором между ее участниками или
другими документами, оформленными в соответствии с требованиями действующего законодательства
Украины.
Доходы и затраты признаются
по каждому виду деятельности (операционной, инвестиционной, финансовой) банка.
Критерии признания дохода
и затрат применяются в отдельности к каждой операции банка. Каждый вид дохода и
затрат отображается в бухгалтерском учете в отдельности.
В результате использования
активов банка другими сторонами доходы признаются в виде процентов, роялти и дивидендов.
Проценты признаются в том
отчетном периоде, к которому они принадлежат, и рассчитываются, исходя из базы их
начисления и срока пользования соответствующими активами. Роялти признаются по принципу
начисления в соответствии с экономическим содержанием соответствующего соглашения.
Дивиденды признаются в периоде принятия решения про их выплату.
Условием признания процентов
и роялти есть вероятность получения банком экономической выгоды, а дивидендов -
достоверно оцененный доход.
В операциях по торговле финансовыми
инструментами прибыли и убытки признаются при наличии таких условий:
- покупателю переданы риски
и выгоды, связанные с правом собственности на активы;
- банк не осуществляет дальнейшее
управление и контроль за реализованными активами;
- сумма дохода может быть
достоверно определена;
- есть уверенность, что в
результате операции состоится увеличение экономических выгод банка;
- затраты, связанные с этой
операцией, могут быть достоверно определены.
Не признаются затратами и
не включаются в отчет о финансовых результатах:
- платежи по договорам комиссии,
агентским соглашениям и другим аналогичным договорам в пользу комитента, принципала
и т.п.;
- предыдущая (авансовая)
оплата товаров, работ, услуг;
- погашение полученных кредитов,
возвращение депозитов и т.п.;
- затраты, которые отображаются
уменьшением собственного капитала соответственно действующему законодательству Украины.
В результате операционной
деятельности в банке реализуются следующие виды доходов и затрат [13]:
- процентные доходы и затраты;
- комиссионные доходы и затраты;
- прибыли (убытки) от торговых
операций;
- доход в виде дивидендов;
- затраты на формирование
специальных резервов банка;
- доходы от возвращения прежде
списанных активов;
- другие операционные доходы
и затраты;
- общие административные
затраты;
- налог на прибыль;
- непредвиденные доходы и
затраты.
Процентные доходы и затраты
– это операционные доходы и затраты, полученные (уплаченные) банком за использование
денежных средств, их эквивалентов или средств, которые привлечены банком, суммы
которых вычисляются пропорционально времени с применением эффективной ставки процента.
Комиссионные доходы и затраты
– это операционные доходы и затраты по предоставленным (полученным) услугам, сумма
которых вычисляется пропорционально сумме актива или обязательства, или является
фиксированной.
Прибыли (убытки) от торговых
операций – это результат (прибыль или убыток) от операций по купле-продаже разных
финансовых инструментов, в том числе по операциям с ценными бумагами, по операциям
с иностранной валютой и банковскими металлами, в ходе реализации которых банк признает
прибыли и убытки:
- от реализации финансовых
инвестиций;
- от изменений в оценке (переоценке)
инвестиций к справедливой стоимости;
- от результата переоценки
активов и обязательств в иностранной валюте и банковских металлах в случае изменения
официального курса гривны к иностранным валютам (банковским металлам).
Доход в виде дивидендов –
это доход, который возникает в результате использования банком ценных бумаг с нефиксированной
прибылью.
Затраты на формирование специальных
резервов банка - это затраты на покрытие возможных убытков от уменьшения полезности
активов банка и списания безнадежных активов.
Доходы от возвращения прежде
списанных активов – это средства, которые поступили для погашения задолженности,
которая было признана банком безнадежной относительно получения.
Другие операционные доходы
и затраты – это доходы и затраты от операций, которые не связаны с инвестиционной
и финансовой деятельностью, а также те, что не включены в вышеупомянутые группы
операционных доходов и затрат, в частности:
- доходы (затраты) от оперативного
лизинга (аренды);
- затраты на услуги аудита;
- затраты на инкассацию;
- неустойки (штрафы, пени),
которые получены (уплачены) по банковским операциям, другое.
Общие административные затраты
– это операционные затраты, связанные с обеспечением деятельности банков. К ним
принадлежат затраты на содержание персонала (заработная плата, затраты на социальное
обеспечение, обязательные начисления, страхование, дополнительные выплаты, премии,
обучение и т.п.); амортизация необоротных активов; затраты на содержание и эксплуатацию
основных средств и нематериальных активов (ремонт, страхование), другие эксплуатационные
затраты (коммунальные услуги, охрана и т.п.); гонорары за профессиональные услуги
(юридические, медицинские и т.п.); затраты на связь (почтовые, телефонные, факс
и т.п.); уплата налогов и других обязательных платежей, кроме налога на прибыль
и прочие затраты, направленные на обслуживание и управление банком.
Налог на прибыль – это операционные
затраты банка, связанные с уплатой налога соответственно действующему законодательству
Украины и с учетом требований международных стандартов бухгалтерского учета и национальных
положений (стандартов) бухгалтерского учета относительно признания отсроченных налоговых
обязательств и налоговых активов.
Непредвиденные доходы (затраты)
возникают в результате чрезвычайных событий, имеют одноразовый характер, не повторяются
по сути и признаются по фактам событий. К ним принадлежат потери от стихийного бедствия,
пожаров, техногенных аварий и т.п.; суммы страхового возмещения и покрытие потерь
от чрезвычайных ситуаций.
По результатам инвестиционной
деятельности банк признает:
- доходы (затраты) по операциям
увеличения (уменьшения) инвестиций в ассоциированные компании;
- доходы (затраты) по операциям
увеличения (уменьшения) инвестиций в дочерние учреждения;
- доходы (затраты) от реализации
(приобретения) основных средств и нематериальных активов и т.п..
По результатам операций,
связанных с финансовой деятельностью, банк признает:
- доходы (затраты) по операциям
с ценными бумагами собственного долга;
- доходы (затраты) по субординированному
долгу;
- дивиденды, которые уплачены
на протяжении отчетного периода;
- доходы, которые возникают
в результате выпуска инструментов собственного капитала и т.п..
Признанные банком доходы
и затраты группируются по их характеру по соответствующим статьям в финансовой отчетности
банка "Отчет о финансовых результатах" [11].
1.3 Сущность
и классификация видов комиссионных доходов банка
Комиссионные доходы (затраты) - это доходы (затраты) по
всем услугам, предоставленным (полученным) контрагентами, кроме комиссионных, которые
подобны по природе процентам.
Соответственно МСБО 18 "Доход" [13] в зависимости
от цели оценки гонорара за финансовые услуги и учета связанного с ним финансового
инструмента признаются такие комиссии:
1) комиссии, которые являются неотъемлемой частью финансового
инструмента (например, комиссии за осуществление оценки финансового состояния заемщика,
оценки гарантий, залогов, за обсуждение условий кредита, за подготовку и обработку
документов);
2) комиссии, полученные (уплаченные) на протяжении периода
предоставления услуг (например, за обслуживание кредита);
3) комиссии, полученные (уплаченные) после выполнения определенных
действий (например, за услуги банку - координатору консорциума).
К категории комиссионных принадлежат:
1.
Комиссионные доходы за гарантии размещения
займов от лица других кредиторов и по операциям с ценными бумагами.
2.
Комиссионные доходы (затраты) от операций
расчетно-кассового обслуживания, обслуживания кредитных (депозитных) счетов, за
сохранение ценностей и осуществление операций с ценными бумагами.
3.
Комиссионные доходы за проведение операций
с иностранной валютой и за продажу или куплю монет и банковских металлов для третьих
сторон.
4.
Другие комиссионные доходы (затраты)
по операциям, которые определяются Законом "О банках и банковской деятельности".
Комиссии, полученные (уплаченные) банком, делятся также
на комиссионные: за одноразовые услуги; за услуги по обязательным результатам; за
беспрерывные услуги; за услуги, которые предоставляются поэтапно.
К комиссиям за одноразовые услуги принадлежат комиссии
за услуги валютного обмена. К комиссиям за услуги по обязательным результатам принадлежат:
комиссии за услуги, которые предоставляются на протяжении определенного периода
и считаются завершенными только после его окончания, при условии достижения предусмотренного
соглашением результата (например, некоторые консультационные услуги); комиссии за
услуги по заведомо определенным результатам, который не может быть получен, пока
услуга не предоставлена полностью.
К комиссиям за беспрерывные услуги принадлежат арендные
платежи, комиссии за расчетно-кассовое обслуживание (кроме уплаты процентов по остаткам
средств на счетах контрагентов) и прочие.
К комиссиям за услуги, которые предоставляются поэтапно
принадлежат, например, комиссии за предоставление консультаций, которые в соответствии
с годовыми или бессрочными соглашениями предоставляются поэтапно.
Комиссии за предоставленные
(полученные) услуги банка в зависимости от цели их оценки и основы учета связанного
с ними финансового инструмента делятся на [13]:
а) комиссии, которая являются
неотъемлемой частью дохода (затрат) финансового инструмента. Эти комиссии признаются
в составе первоначальной стоимости финансового инструмента и влияют на определение
сумм дисконта и премии по этим финансовым инструментом. К ним принадлежат такие
комиссии:
- комиссии за инициирование
кредита, которые получены (уплачены) банком и связаны с созданием или приобретением
финансового инструмента, который не учитывается в торговом портфеле с признанием
переоценки через прибыли/убытки;
- комиссии, которые получены
(уплачены) банком по обязательствам кредитования (резервирования кредитной линии)
во время инициирования или приобретения кредита;
- комиссии, которые получены
(уплачены) банком при выпуске долговых обязательств, которые учитываются по амортизированной
себестоимости.
Комиссии за инициирование
кредита, которые получены (уплачены) банком и связаны с созданием или приобретением
финансового инструмента, который не учитывается в торговом портфеле с признанием
переоценки через прибыли/убытки, включают:
- комиссии за оценку финансового
состояния заемщика;
- комиссии за оценку гарантий,
залогов;
- комиссии за обсуждение
условий инструмента;
- комиссии за подготовку,
обработку документов и завершение операции и т.п..
б) комиссии, которые получены
(уплачены) банком во время предоставления услуг, признаются доходами (затратами).
К ним принадлежат:
- комиссии за расчетно-кассовое
обслуживание клиентов;
- комиссии за обслуживание
кредитной задолженности;
- комиссии за резервирование
кредитной линии, которые рассчитываются на пропорциональной времени основе на протяжении
срока действия обязательства;
- комиссии за управление
инвестицией и т.п.;
в) комиссии, которые получены
(уплачены) после выполнения определенных действий, признаются как доход (затраты)
после завершения определенной операции. К ним принадлежат:
-
комиссии за распределение
акций (частиц) клиентов;
-
комиссии за размещение
ценных бумаг по операциям андеррайтинга;
-
комиссии по операциям
на валютном рынке и рынке банковских металлов для клиентов;
-
комиссии за синдицирование
кредита;
-
комиссии за доверительное
обслуживание клиентов и т.п..
2 АНАЛИЗ ВЛИЯНИЯ ТАРИФИКАЦИИ КОМИССИЙ В ОПЕРАЦИЯХ
БАНКОВСКИХ УСЛУГ НА РОЛЬ КОМИССИОННЫХ ДОХОДОВ В ОБЩИХ ДОХОДАХ КОММЕРЧЕСКИХ БАНКОВ
УКРАИНЫ
2.1
Динамика комиссионных
доходов в банковской системе
Украины в
2003 – 2006 годах
По состоянию на 1 июля 2006 года лицензию Национального
банка на осуществление банковских операций в Украине имели 165 банков, в том числе:
131 банк (79,3 % от общего количества действующих банков) – акционерные общества
(из них: 89 банков (53,9 %) – открытые акционерные общества, 41 банки (24,8 %) –
закрытые акционерные общества), 34 банка (20,6 %) – общества с ограниченной ответственностью
(Приложение А) [40].
Общая характеристика финансовых показателей банковской
системы Украины может быть представлена следующими группами:
а) Капитал (балансовый) банков имеет такую структуру. Уставной
капитал составляет 63,7 % от капитала, эмиссионные разницы 2,5 %, общие резервы,
резервный фонд и прочие фонды банков – 15,4 %, результат прошлых лет – 2,5 %, результаты
отчетного года, которые ожидают утверждения – 0,3 %, результат текущего года – 7,2
%, результат переоценки основных средств, нематериальных активов и инвестиций в
ассоциированные и дочерние компании – 8,4 %.
б) Обязательства банков имеют такую структуру.
Средства Национального банка Украины составляют 0,5 % от общей суммы обязательств;
коррсчета других банков – 3,0 %; срочные вклады (депозиты) других банков и кредиты,
которые полученные от других банков – 17,1 %; средства юридических лиц - субъектов
хозяйствования – 29,0 %; средства физических лиц – 37,2 %; средства небанковских
финансовых учреждений – 2,7 %; средства бюджета и внебюджетных фондов – 1,2 %; кредиты,
которые получены от международных и других финансовых организаций – 1,9 %, ценные
бумаги собственного долга – 1,3 %; субординированный долг – 1,7 %; другие обязательства
– 4,4 %.
в)Банки имеют такую структуру общих активов. Высоколиквидные
акти-вы составляют – 13,1 % от суммы общих активов, кредитные
операции – 75,1 %, вложения в ценные бумаги – 5,0 %, дебиторская задолженность –
0,8 %, основные средства и нематериальные активы – 4,7 %, начисленные доходы к получению
– 0,9 %, другие активы – 0,4 % от суммы общих активов.
г) За І полугодие
2006 года прибыль банков составил 2147,7 млн.
грн., что в 2,4 раза больше,
чем за соответствующий период 2005 года ( 892,6 млн. грн.).
Сравнительно с соответствующим
периодом минувшего года доходы банков увеличились на 6201,6 млн. грн. или на 52,4
% и составили 18031,0 млн. грн., в т.ч. процентные доходы составляли 13011,3 млн.
грн. (или 72,2 % от общих доходов), комиссионные доходы – 3490,3 млн. грн. (19,4
%), результат от торговых операций – 997,2 млн. грн. (5,5 %), другие операционные
доходы –448,5 млн. грн. (2,5 %), другие доходы – 51,2 млн. грн. (0,3 %), возврат списанных активов
– 32,5 млн. грн.(0,2 %).
Сравнительно с соответствующим периодом минувшего года
затраты банков увеличились на 4946,5 млн. грн. или на 45,2 % и составили 15883,3
млн. грн., в т.ч. процентные затраты составляли 7358,7 млн. грн. (или 46,3 % от
общих затрат), комиссионные затраты – 320,4 млн. грн. (2,0 %), другие операционные
затраты –776,0 млн. грн. (4,9 %), общие административные затраты – 5324,5 млн. грн.
(33,5 %), отчисления в резервы – 1702,5 млн. грн. (10,7 %), налог на прибыль – 401,1
млн. грн. (2,5 %).
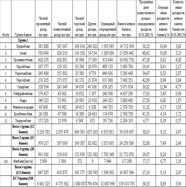
В соответствии с алгоритмом Национального банка
Украины банковская система разбита на 4 рейтинговые группы по уровню валюты баланса
банка [40] (таблицы 2.1-2.3): 1 группа – 12 банков (системообразующие
банки); 2 гру-ппа – 15 банков (большие банки); 3 группа – 28
банков(средние банки); 4 груп-па – 111 банков (малые банки). В таблицах 2.1 –
2.3 представлена структура до-ходов в указанных группах по состоянию на 01.01.2005,
01.01.2006, 01.07.2006.
Таблица
2.1 – Структура доходов и характеристики комиссионных доходов в банковской системе
Украины по состоянию на 01.01.2005
Таблица
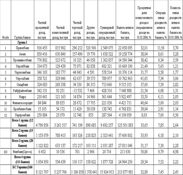
2.2 – Структура доходов и характеристики комиссионных доходов в банковской системе
Украины по состоянию на 01.01.2006
Таблица
2.3 – Структура доходов и характеристики комиссионных доходов в банковской системе
Украины по состоянию на 01.07.2006
На рисунках 2.1 – 2.2 представлены
сравнительные результаты расчета процентной доли комиссионного дохода в суммарном
операционном доходе для основных групп банков Украины, а также результаты расчета
комиссионной доходности активов балансов для основных групп банков Украины (данные
расчетов представлены в таблицах 2.1 –2.3) по состоянию на 01.01.2005, 01.01.2006,
01.07.2006. В группе 1 - системообразующих банков представлены результаты по всем
12 банкам, в 4 группе показаны результаты по одному АКБ «Финбанк» (Одесса), который
занимает 104 –116 рейтинговые места по объему валюты баланса.
Рисунок
2.1 - Процентная доля комиссионного дохода в суммарном
операционном
доходе для основных групп банков Украины по состоянию на 01.10.2005, 01.01.2006,
01.07.2006
Рисунок
2.2 - Комиссионная доходность активов для основных групп банков Украины по состоянию
на 01.10.2005, 01.01.2006, 01.07.2006
Анализ результатов, представленных
в таблицах 2.1-2.3, а также на рисунках 2.1-2.2, показывает наличие в банковской
системе Украины следующих тенденций в структурном месте комиссионных доходов в суммарном
операционном доходе банков:
а) Процентная структурная доля комиссионных доходов в 4
группах банков имеет 2 тенденции – снижение доли по мере уменьшения валюты активов
баланса банка (фактор размерности банка) и снижение доли по мере развития операций
в банковской системе по времени (временной фактор):
-
38,0%(01.01.2005) - 32,0 % (01.07.2006)
– для 1 группы;
-
34,0%(01.01.2005) - 32,0 % (01.07.2006)
– для 2 группы;
-
32,0%(01.01.2005) - 27,0 % (01.07.2006)
– для 3 группы;
-
30,0%(01.01.2005) - 26,0 % (01.07.2006)
– для 4 группы;
б) Комиссионная доходность активов валюты баланса в 4 группах
банков также имеет 2 тенденции – снижение уровня доходности по мере уменьшения валюты
активов баланса банка (фактор размерности банка) и снижение уровня доходности по
мере развития операций в банковской системе по времени (временной фактор):
-
3,5%(01.01.2005) - 2,7 % (01.07.2006)
– для 1 группы;
-
2,6%(01.01.2005) - 2,1 % (01.07.2006)
– для 2 группы;
-
2,4%(01.01.2005) - 2,2 % (01.07.2006)
– для 3 группы;
-
2,5%(01.01.2005) - 1,9 % (01.07.2006)
– для 4 группы;
На рисунках 2.3 – 2.4 представлены
индивидуальные структуры и динамика процентных долей комиссионных доходов в банках
1 группы по состоянию на 01.01.2005, 01.01.2006, 01.07.2006 года, которые показывают
отсутствие единого стратегического подхода по формированию комиссионных доходов
даже в малой группе 12 системообразующих банков. Так, анализ графиков рисунка 2.1
показывает, что у первых трех банков АКБ«Приватбанк», АКБ «Аваль», АКБ «Проминвестбанк»доля
комиссионных доходов в операционном доходе банка (35-38%), а 12 банк 1 группы (
АКБ «Укрпромбанк») имеет структурную долю комиссионных доходов в 4 раза ниже (9-10%).



Рисунок
2.3 – Структура доходов в банках 1 группы и банке 4 группы
на 01.01.2005

Рисунок 2.4 – Структура доходов в
банках 1 группы и банке 4 группына 01.07.2006
2.2 Динамика
и структура комиссионных доходов в коммерческом банке АКБ “Приватбанк”
Закрытое акционерное общество Коммерческий банк “Приватбанк”
(ЗАО КБ “Приватбанк”), зарегистрировано в Национальном банке Украины 19 марта 1992
года, регистрационный номер — 92 [39].
Приватбанк является лидером среди украинских
коммерческих банков по количеству клиентов: его услугами пользуются свыше 16% населения Украины.
По состоянию
на 31.12.2002 года в банке работало 15 826 сотрудников в сравнении с 10 342 сотрудниками
состоянием на 31.12.2001 года. На сегодняшний день в банке работает свыше 28 тысяч
сотрудников, из них 3 650 - в головном офисе банка.
Технологическая инфраструктура АКБ «Приватбанк»
по состоянию на 01.09.2006 года характеризуется как [39]:
-
количество филиалов и отделений
по Украине – 2 224;
-
количество автоматов самообслуживания
(банкоматов) по
Украине – 3 234;
-
количество платежных POS-терминалов
в сети торговли и услуг
Украины – 18 695;
-
количество эмитированных
пластиковых карточек для безналичных
расчетов и работы с автоматами самообслуживания
– 11 119 398;
- количество счетов юридических лиц – 233 599;
- количество счетов физических лиц-предпринимателей
– 192 029.
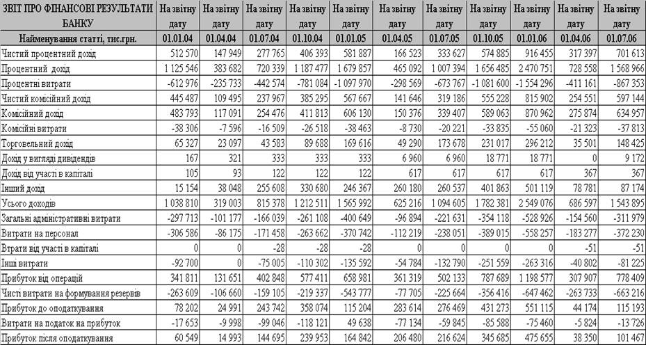
В таблицах Б.1 – Б.2 Приложения Б приведены отчетные балансы
и отчеты о финансовых результатах АКБ “Приватбанк” за 2003 - 2006 года [38-40].
Состоянием на 01.01.2006
года (по результатам 2005 года) АКБ „Приватбанк” [40] является лидером и занимает
следующие рейтинговые места в банковской системе Украины :
- Объем валюты активов баланса – 21 664,360
млн.грн.( 1 место);
- Объем собственного капитала – 2 307,466
млн.грн.( 1 место);
- Объем уставного капитала – 189,228 млн.евро(
2 место);
- Объем кредитно-инвестиционного портфеля
– 16 763,230 млн.грн.( 1 место);
- Объем текущих и срочных депозитов физических
лиц
– 9 966,027 млн.грн.( 1 место);
- Объем текущих и срочных депозитов юридических
лиц
– 4 016,333 млн.грн.( 3 место);
- Объем балансовой прибыли – 472,042 млн.грн.(
1 место);
- Прибыльность уставного капитала – 41,774
% ( 11 место);
- Прибыльность
активов баланса – 2,179 % ( 6 место);
На рисунке 2.5
представлены данные по поквартальной динамике абсолютных величин комиссионных доходов
и комиссионных затрат в АКБ «Приватбанк» в 2003 –2006 годах.. На рисунках 2.6 –
2.9 представлена структура комиссионных доходов АКБ «Приватбанк» в 2003 –2006 годах.
Рисунок 2.5 – Поквартальная динамика комиссионных
доходов в АКБ
«Приватбанк»
в 2003 –206 годах
Рисунок 2.6 – Постатейная структура
комиссионных доходов в АКБ
«Приватбанк»
в 2003 году
Рисунок 2.7
– Постатейная структура комиссионных доходов в АКБ
«Приватбанк»
в 2004 году
Рисунок 2.8 – Постатейная структура
комиссионных доходов в АКБ
«Приватбанк»
в 2005 году
Рисунок 2.9
– Постатейная структура комиссионных доходов в АКБ
«Приватбанк»
в 2006 году
Как оказывает совместный анализ графиков, приведенных
на рисунках 2.5 – 2.9 динамика и структура комиссионных доходов АКБ «Приватбанк»
в 2003 – 2006 годах характеризуется следующими показателями:
а) Устойчивым ростом объемов комиссионных доходов
с уровня 483,8 млн.грн. в 2003 году до:
-
606,1 млн.грн. в 2004 году(прирост
составляет +25,3%);
-
870,9 млн.грн. в 2005 году
(прирост составляет + 43,7%);
-
1 270,6 млн.грн. в 2006
году по данным прогноза за полугодие (прирост составляет +45,8%);
б) Повышением структурной доли комиссионных
доходов за расчетно-кассовое обслуживание клиентов и банков с уровня 27,45% в 2003
году до:
-
66,0 % в 2004 году;
-
77,1 % в 2005 году;
-
77,6 % в 2006 году по данным
прогноза за полугодие;
в) Понижением структурной доли комиссионных
доходов за операции на валютных рынках для клиентов с уровня 19,75% в 2003 году
до:
-
7,9 % в 2004 году;
-
5,42 % в 2005 году;
-
3,37 % в 2006 году по данным
прогноза за полугодие;
г) Повышением структурной доли комиссионных
доходов за операции кредитного обслуживания клиентов с уровня 2,71% в 2003 году
до:
-
12,2 % в 2004 году;
-
4,4 % в 2005 году;
-
10,63 % в 2006 году по
данным прогноза за полугодие;
д) Повышением структурной доли комиссионных
доходов за операции с ценными бумагами клиентов с уровня 2,65% в 2003 году до:
-
5,44 % в 2004 году;
-
12,42 % в 2005 году;
-
6,03 % в 2006 году по данным
прогноза за полугодие;
Таким образом, суммарная процентная доля указанных
4-х секторов комиссионных доходов АКБ «Приватбанк» в 2005 – 2006 годах составила
97,6-99,34 % и определяет стратегическое направление развития комиссионных доходов
в банке.
Для сравнительного анализа на рисунке 2.10
приведена постатейная структура комиссионных доходов в АКБ «Аваль» в 2006 году.
Рисунок 2.10
– Постатейная структура комиссионных доходов в АКБ
«Аваль» в
2006 году
Как показывает анализ рисунка 2.10, в АКБ
«Аваль» 95,25% комиссионных доходов реализуется только в двух секторах банковских
услуг – расчетнокассове обслуживание и операции для клиентов на валютном рынке,
т.е. характерные для АКБ «Приватбанк» сектора кредитного обслуживания и операций
с ценными бумагами клиентов в комиссионных доходах АКБ «Аваль» практически отсутствуют.
2.3 Сравнительная
характеристика тарификации основныхкомиссий в банковских операциях в АКБ “Приватбанк”
и АКБ “Финбанк”(Одесса)
Состоянием на 01.01.2006
года (по результатам 2005 года) АКБ „Финбанк” (Одесса) входит в 4 группу малых банков
Украины (111 банков) и занимает 105 - 110 рейтинговые места в банковской системе
Украины (165 банков) [40]:
- Объем валюты активов баланса – 211,630
млн.грн.( 105 место);
- Объем балансовой прибыли – 3,30 млн.грн.(
72 место);
- Прибыльность уставного капитала – 6,87
% ;
- Прибыльность
активов баланса – 1,56 %;
Таким образом, сравниваемые АКБ “Приватбанк» и АКБ «Финбанк»
по масштабам валюты баланса отличаются в 100 раз – объем валюты баланса АКБ «Финбанк»
составляет 0,97% от объема валюты баланса АКБ «Приватбанк, объем балансовой прибыли
АКБ «Финбанк» составляет 0,7% от объема балан-совой прибыли АКБ «Приватбанк.
В соответствии с данными в таблиц 2.1 – 2.3, относительное
масштабирование показателей комиссионных доходов через нормирование на объем валюты
баланса показало, что:
а) Относительный уровень комиссионной доходности валюты
баланса в АКБ «Приватбанк» в 2006 году составил 4,45%, относительная доля комисси-онных
доходов в операционных доходах составила 38,68%;
б) Относительный уровень комиссионной доходности валюты
баланса в АКБ «Финбанк» в 2006 году составил 1,22%, относительная доля комиссионных
доходов в операционных доходах составила 24,02%;
Рассмотрим влияние тарифов комиссионных операций в этих
сравниваемых банках на структуру формирования относительной доли комиссионных доходов
в операционных доходах банка и комиссионную доходность активов, представленных в
таблицах 2.4 – 2.21.
Таблица 2.4 – Тарифы комиссионных вознаграждений
в АКБ «Приватбанк» за операции расчетно-касового обслуживания юрлиц и предпринимателей
|
N п/п
|
Услуга
|
Тариф
|
|
1
|
Открытие текущего счета в национальной валюте (2600,
2604, 2650):
|
|
|
- юридическим
лицам, открывающим корпоративную пластиковую карту
|
49
|
|
- в остальных
случаях
|
99
|
|
- предпринимателям
|
29
|
|
2
|
Плата за открытие счета для формирования уставного фонда
|
0
|
|
3
|
Открытие первого валютного счета
|
119
|
|
4
|
Открытие последующего валютного счета
|
10,0 за
каждый
|
|
5
|
Проведение платежей в системе банка
|
0,00 грн.
|
|
6
|
Проведение безналичного платежа на счета в других банках
(фин.учреждениях) с использованием СЭП НБУ в течение операционного дня (в т.ч.
со ссудного счета), сумма дебетования:
|
|
|
до 50
грн.
|
0,36
|
|
св.50
до 500
|
1,48
|
|
св.500
до 1000
|
2,96
|
|
св.1000
до 10000
|
5,92
|
|
св.10000
до 100000
|
14,87
|
|
св.100000
|
29,70
|
|
6.1
|
Проведение безналичного платежа на счета в других банках
(фин.учреждениях) с использованием СЭП НБУ в течение операционного дня (в т.ч.
со ссудного счета), сумма дебетования:
|
|
|
до 50
грн.
|
0,50
|
|
св. 50
до 1000
|
1,50
|
|
св. 1000
до 10000
|
5,00
|
|
св. 10000
|
10,00
|
|
Разрешить
использование п. 6 или п. 6.1 по усмотрению руководителя РП
|
|
|
7
|
Проведение расчетов клиентов по текущему счету в национальной
(иностранной) валюте (2600, 2604, 2605, 2650, 2655) или счету в банковских металлах
(без использования систем дистанционного обслуживания)
|
10,00
грн. ежемесячно
|
|
8
|
Проведение расчетов по текущим счетам клиентов в национальной
(иностранной) валюте (2600, 2604, 2605, 2650, 2655) и счетам в банковских металлах
с использованием систем дистанционного обслуживания
|
59,00
грн. ежемесячно
|
|
9
|
Начисление годовых процентов по текущим остаткам на счетах
клиентов в национальн.валюте
Остаток, грн:
|
|
|
до 10
000
|
до 0,1%
|
|
св.10
000
|
до 5%
|
|
10
|
Закрытие счета:
|
|
|
- по инициативе
клиента
|
49
|
|
- при
ликвидации предприятия
|
10
|
|
11
|
Получение наличных в кассе банка:
- до 5 000 грн.
|
1% от
суммы + 25,00грн. (за обработку чека) *
|
|
|
|
- от 5 000,01 грн.
|
1% от
суммы
|
|
11.1
|
Кассовое обслуживание в рамках зарплатного проекта
|
0,75%
|
|
12
|
Прием денежной выручки от субъектов предпринимательской
деятельности в РП банка без открытия текущего счета при заключении соответствующего
договора
|
|
1
|
Открытие текущего счета в национальной (иностранной)
валюте с одновременным открытием карточного счета 2605 и выдачей корпоративной
платежной карточки VISA Business Electron (не более 2-х карточек)
|
Входит
в стоимость проведения расчетов по текущим счетам
|
|
2
|
Открытие карточного счета 2605 без открытия текущего
счета с выдачей корпоративной пластиковой карточки VBE (не более 2-х карт)
|
Входит
в стоимость проведения расчетов по текущим счетам
|
|
3
|
Проведение платежей в системе банка
|
Входит
в стоимость проведения расчетов по текущим счетам
|
|
4
|
Проведение безналичного платежа на счета в других банках
(фин.учреждениях) с использованием СЭП НБУ в течение операционного дня (в т.ч.
со ссудного счета)
|
1,50 грн.
|
|
5
|
Проведение этих же платежей, но с использованием системы
дистанционного обслуживания счетов
|
1,00 грн.
|
|
6
|
Проведение расчетов клиентов по текущему счету в национальной
(иностранной) валюте (за каждый счет 2600 и 2605) или
счету в банковских металлах (без использования систем дистанционного обслуживания)
|
20 грн.
|
|
7
|
Проведение расчетов по текущим счетам клиентов в национальной
(иностранной) валюте (в т.ч. 2605) и счетам в
банковских металлах с использованием систем дистанционного обслуживания
|
29 грн.
|
|
8
|
Получение наличных в кассе банка:
- до 5 000 грн.
|
1% от
суммы + 25,00грн. (за обработку чека) *
|
|
- от 5 000,01 грн.
|
1% от
суммы
|
Таблица 2.5 - Тарифы комиссионных вознаграждений
в АКБ «Приватбанк» за документарные операции с юридическими лицами
|
Услуга
|
Тариф
|
|
Тарифы ПриватБанка по документарным аккредитивам
|
|
1. Открытие аккредитива в гривне:
|
|
|
• с покрытием*
|
0.2% от
суммы, но не менее 60 грн.
|
|
• без
покрытия*
|
0.2% от
суммы, но не менее 60 грн.
|
|
2. Авизование
аккредитива в гривне**
|
0.15%
от суммы, но не менее 60 грн.
|
|
3. Изменение
условий аккредитива в гривне
|
50 грн.
|
|
4. Исполнение
аккредитива в гривне*
|
|
• эмитированного
другим банком
|
0.2% от
суммы, но не менее 60 грн.
|
|
• эмитированного
подразделением ПриватБанка
|
0.15 %
от суммы, но не менее 50 грн.
|
|
5. Обслуживание
непокрытого аккредитива в гривне
|
5% годовых
от суммы задолженности
|
|
6. Перевод
исполнениея по трансферабельному аккредитиву в гривне***
|
0.10%
от суммы перевода исполнения по аккредитиву за каждый перевод, но не менее 50
грн.
|
|
7. За
подтверждение аккредитива в гривне
|
0.2% от
суммы, но не менее 100 грн.
|
|
8. Отправка
сообщений по аккредитиву в гривне:
|
|
• в другие
банки
|
30 грн.
|
|
• на филиалы
|
30 грн.
|
|
9. Пересылка
документов по аккредитиву
|
30 грн.
|
|
* - При
стоимости услуги более 1200 грн., тариф устанавливается по согласованию с клиентом.
** - При
стоимости услуги более 900 грн., тариф устанавливается по согласованию с клиентом.
|
Тарифы ПриватБанка
по резервным аккредитивам
|
Услуга
|
Тариф,
UAH
|
|
1. Подготовительные
операции
|
385
|
|
2. Авизование,
запрос подлинности
|
0.1% от
суммы, но не < 220 и не > 2750
|
|
3. Открытие,
продление срока, увеличение суммы:
|
|
|
3.1 С
обязательством иностранного банка
|
0.3% от
суммы/суммы увеличения, но не < 330 и не > 3850
|
|
3.2 Без
обязательства иностранного банка
|
0.2% от
суммы/суммы увеличения, но не < 220 и не > 3300
|
|
4. Авизование
изменений аккредитива, включая аннуляцию
|
220
|
|
5. Платеж
|
0.1% от
суммы, но не <440 и не > 1100
|
|
6. Комиссия
за обязательство
|
По согласованию
|
|
7. Запрос
|
110
|
|
8. Отправка
сообщений:
|
45
|
|
9. Отправка
документов за пределы Украины
|
Тариф
DHL (или аналогичной службы)+25
|
|
10. Отправка
документов по Украине
|
Тариф
DHL (или аналогичной службы)+5
|
|
11. Изменение,
аннуляция
|
220
|
Тарифы ПриватБанка
по документарному инкассо
|
Услуга
|
Тариф,
UAH
|
|
Принятие
и отправка документов на базе инкассо
|
0.1% от
суммы, но не менее 165 и не более 1650
|
|
Представление
документов, полученных на базе инкассо
|
0.1% от
суммы, но не менее 165 и не более 550
|
|
Выдача
документов без платежа или акцепта
|
110
|
|
Изменения,
включая аннуляцию
|
165
|
|
Запрос
|
110
|
|
Отправка
сообщений в другие банки
|
45
|
|
Отправка
документов за пределы Украины
|
Тариф
DHL (или аналогичной службы)+25
|
|
Отпрака
документов по Украине
|
Тариф
DHL (или аналогичной службы)+5
|
|
Возврат
банку ремитенту документов, полученных на инкассо и неоплаченных клиентом
|
Тариф
DHL (или аналогичной службы)+165
|
Таблица 2.6 - Тарифы комиссионных вознаграждений
в АКБ «Приватбанк» за операции с ценными бумагами (облигации внутреннего госзайма
Украины)
|
ОПЕРАЦИЯ
|
Сумма
сделки,
тыс.грн.
|
Взимаемый
% от
суммы
сделки
|
|
Покупка-продажа
ОВГЗ
по заявке
Клиента
(Первичные
аукционы и вторичные торги)
|
10-100
>100-300
>300-800
>800-1000
>1000
|
0,5 %
0,4 %
0,2 %
0,1 %
0,05 %
|
|
Перерегистрация
в субдепозитарии банка по заявке Клиента
|
- -
|
0,1 %
от номинальной
стоимости ОВГЗ
|
|
Покупка-продажа
ОВГЗ на вторичных торгах ФС УМВБ
|
- -
|
комиссия
Банка + 0,1%
(комиссия
УМВБ, устанавливается
биржевым
комитетом)
|
|
Хранение
ОВГЗ
(облигаций)
|
- -
|
Комиссия
не
взимается
|
|
Доведение
до Клиента суммы погашения и дисконтного (процентного) дохода
|
- -
|
Комиссия
не
взимается
|
Таблица 2.7 - Тарифы комиссионных вознаграждений
в АКБ «Приватбанк» за операции подготовки и обслуживания кредитов
|
Комиссия за рассмотрение кредитного проекта (взимается единоразово,
в % от суммы кредита)
|
до 0,3%
|
|
Комиссия за проведение оценки обеспечения (взимается единоразово,
в % от суммы кредита)
|
до 0,5%
|
|
Комиссионный. сбор за предоставление кредита, за выделение кредитной
линии (взимается единоразово, в % от суммы кред. лимита)
|
до 1%
|
|
Комиссия за обслуживание кредитной линии (в % от каждой суммы, выдаваемой
в пределах лимита кредитной линии)
|
до 0,1 %
|
|
Комиссия за неиспользов. часть кред. лимита за каждый день от невыбранной
суммы (в % годовых)
|
до 10%
|
|
Комиссия, за досрочное погашение кредита (для кредитов свыше 3 месяцев),
начисляется на сумму досрочного погашения на срок неиспользования суммы кредита
(в % годовых)
|
до 10%
|
|
Комиссия за открытие ссудного счета
|
до 100 грн.
|
Таблица 2.8 - Тарифы комиссионных вознаграждений
в АКБ «Приватбанк» за гарантийные операции
|
Услуга
|
Тариф,
UAH
|
|
Подготовительные
операции по банковской гарантии
|
385
|
|
Выпуск гарантии / продление срока гарантии / увеличение
суммы гарантии:
|
|
- без
обязательства иностранного банка
|
0.2% от
суммы/суммы увеличения, но не менее 220 и не более 3300
|
|
- с обязательством
иностранного банка
|
0.3% от
суммы/суммы увеличения, но не менее 330 и не более 3850
|
|
Изменение
гарантии/аннуляция
|
220
|
|
Комиссия
за обязательство
|
по согласованию
|
|
Авизование
гарантии *
|
0.1 %
от суммы, но не менее 220 и не более 2750
|
|
Авизование
изменений гарантии, включая аннуляцию *
|
220
|
|
Запрос
|
110
|
|
Платеж
по гарантии **
|
0.1 %
от суммы, но не менее 440 и не более 1100
|
|
Отправка
сообщений в другие банки
|
45
|
|
Отправка документов:
|
|
|
- за пределы
Украины
|
Тариф
DHL (или аналогичной службы) + 25
|
|
- в пределах
Украины
|
Тариф
DHL (или аналогичной службы) + 5
|
Таблица 2.9
- Тарифы комиссионных вознаграждений в АКБ «Приватбанк» за операции с чеками
|
Продажа дорожных чеков American Express
(в период
проведения Акции с 01.07.06 по 30.06.07 г.) - 0%
|
|
Покупка дорожных
чеков, оформленных в системе ПриватБанка:
|
|
в USD/EUR
|
1% (min. 20 грн)
|
|
Покупка дорожных
чеков, оформленных вне системы ПриватБанка:
|
|
в USD/EUR
|
2% (min. 20 грн)
|
|
в валютах, отличных от USD и EUR
|
5% (min. 20 грн)
|
|
Инкассо дорожных
чеков:
|
|
в USD/EUR
|
3% (min.20 грн)
|
|
Инкассо именных чеков:
|
|
в иностранной валюте
|
3% (min.20 грн)
|
Тариф банка взимается в гривне
по курсу НБУ на день совершения операции.
Физические лица, которые
сдают платежные документы на инкассо, обязаны оплатить комиссию, которая состоит
из следующих составляющих:
1) комиссия ПриватБанка (указана
в таблице тарифов);
2) комиссия банка-плательщика
(эмитента чека);
3) комиссия иностранного
банка-корреспондента за обработку чека.
КОМИССИИ ИНОСТРАННЫХ БАНКОВ-КОРРЕСПОНДЕНТОВ
НА ЧЕКИ, ВЫПИСАННЫЕ НА СУММЫ ДО 999 EUR/ 999 USD
по чекам, выпущенным в ЕВРО
(EUR):
если чек выпущен финансовыми
институтами Германии - 0,50 EUR;
если чек выпущен финансовыми
институтами стран, входящих в Еврозону (кроме Германии) - 3 EUR;
если чек выписан финансовыми
институтами стран, не входящих в Еврозону - 4 EUR
по чекам в следующих валютах:
канадских долларах, швейцарских
франках, датских кронах, швецких кронах, английских фунтах, долларах США выпущенным
финансовыми институтами одной из следующих стран:
Австрия, Бельгия, Канада,
Швейцария, Германия, Дания, Испания, Финляндия, Франция, Великобритания, Греция,
Ирландия, Исландия, Италия, Лихтенштейн, Люксембург, Нидерланды, Норвегия, Португалия,
Швеция
комиссия составляет - 4 EUR
по чекам в долларах США (USD):
выпущенных финансовыми институтами США
и Канады - 0
Таблица 2.10 - Тарифы комиссионных вознаграждений
в АКБ «Приватбанк» за отправление переводов WESTERN UNION в гривне (ТОЛЬКО ПО УКРАИНЕ)
и долларах США
Клиентская
плата за перевод гривны (только по территории Украины)
|
Сумма
отправки (грн.)
|
Клиентская
плата (грн.)
|
Сумма
отправки (грн.)
|
Клиентская
плата (грн.)
|
|
0.00 -
100.00
|
10.00
|
3 000.01
- 3 500.00
|
115.00
|
|
100.01
- 200.00
|
15.00
|
3 500.01
- 4 000.00
|
130.00
|
|
200.01
- 300.00
|
19.00
|
4 000.01
- 4 500.00
|
145.00
|
|
300.01
- 400.00
|
22.00
|
4 500.01
- 5 000.00
|
160.00
|
|
400.01
- 500.00
|
25.00
|
5 000.01
- 5 500.00
|
175.00
|
|
500.01
- 600.00
|
28.00
|
5 500.01
- 6 000.00
|
190.00
|
|
600.01
- 800.00
|
34.00
|
6 000.01
- 6 500.00
|
205.00
|
|
800.01
- 1 000.00
|
40.00
|
6 500.01
- 7 000.00
|
220.00
|
|
1 000.01
- 1 500.00
|
55.00
|
7 000.01
- 7 500.00
|
235.00
|
|
1 500.01
- 2 000.00
|
70.00
|
7 500.01
- 8 000.00
|
250.00
|
|
2 000.01
- 2 500.00
|
85.00
|
8 000.01
- 8 500.00
|
265.00
|
|
2 500.01
- 3 000.00
|
100.00
|
8 500.01
- 9 000.00
|
280.00
|
|
|
9 000.01
- 9 500.00
|
295.00
|
|
|
9 500.01
- 10 000.00
|
310.00
|
|
|
10 000.01
- 10 500.00
|
325.00
|
* За каждые 500 гривен от суммы свыше
10 000 гривен дополнительно оплачивается 15 гривен.
Клиентская
плата за перевод долларов США по Украине и за рубеж
|
Сумма
отправки (USD)
|
Клиентская
плата (USD)
|
|
0.00 -
50.00
|
13.00
|
|
50.01
- 100.00
|
15.00
|
|
100.01
- 200.00
|
22.00
|
|
200.01
- 300.00
|
29.00
|
|
300.01
- 400.00
|
34.00
|
|
400.01
- 500.00
|
40.00
|
|
500.01
- 750.00
|
45.00
|
|
750.01
- 1 000.00
|
50.00
|
|
1 000.01
- 1 500.00
|
75.00
|
|
1 500.01
- 1 750.00
|
80.00
|
|
1 750.01
- 2 000.00
|
90.00
|
|
2 000.01
- 2 500.00
|
110.00
|
|
2 500.01
- 3 000.00
|
120.00
|
|
3 000.01
- 3 500.00
|
140.00
|
|
3 500.01
- 4 000.00
|
160.00
|
|
4 000.01
- 4 500.00
|
180.00
|
|
4 500.01
- 5 000.00*
|
200.00
|
* В каждом интервале 500.00 USD свыше
5 000.00 USD дополнительно удерживается 20.00 USD.
Таблица 2.11 - Тарифы комиссионных вознаграждений
в АКБ «Приватбанк» за операции с банковскими платежными карточками (тарифы по классическим
картам VISA)
|
Наименование
|
VISA Domestic / AutoCard Domestic*
|
Интернет
|
VISA Classic/AutoCard Classic* /StarCard
|
VISA Classic Фотокарта
|
|
гривня
|
гривня
|
доллар США
|
гривня
|
доллар США, евро
|
гривня
|
доллар США, евро
|
|
Открытие
карточного счета, без НДС
|
10 грн
|
10 грн
|
2
|
50 грн
|
10
|
75 грн
|
15
|
|
Выполнение
расчетных операций по карточному счету в течение 1 года, без НДС
|
20 грн
|
25 грн
|
5
|
100 грн
|
100 грн
|
20
|
|
Сумма неснижаемого остатка/страхового депозита не менее
|
-
|
-
|
-
|
-
|
-
|
-
|
|
Открытие
карточного счет (в т.ч. дополнительного) по инициативе клиента либо в случае утери
(кражи) карты, без НДС
|
10 грн
|
25 грн
|
5
|
25 грн
|
5
|
25 грн
|
5
|
|
Открытие
дополнительного карточного счета доверенному лицу, без НДС
|
15 грн
|
-
|
-
|
75 грн
|
15
|
75 грн
|
15
|
|
Выполнение
расчетных операций по дополнительному карточному счету в течение года (взимается
начиная с 2-го года обслуживания ), без НДС
|
15 грн
|
25грн
|
5
|
75грн
|
15
|
75грн
|
15
|
|
Комиссия
за снятие наличных в системе ПриватБанка (в т.ч. банкоматах), без НДС
|
1%
|
-
|
1%
|
1%
|
|
Комиссия
за снятие наличных в системе МКПБ (в т.ч. банкоматах), без НДС
|
1%
|
-
|
1%
|
1%
|
|
Комиссия
за снятие наличных в зарубежных банках/банкоматах, без НДС
|
-
|
-
|
1% + 15 грн
|
1% + 3 долл. США
|
1% + 15 грн
|
1% + 3 долл. США
|
|
Комиссия
за снятие наличных в других украинских банках/банкоматах, без НДС
|
1% + 5 грн
|
-
|
1% + 5 грн
|
1% + 5 грн
|
1% + 5 грн
|
1% + 5 грн
|
|
Блокировка
доступа к карточному счету, без НДС
|
0
|
5 грн
|
1
|
0
|
0
|
0
|
0
|
|
Безналичная
оплата товаров/услуг в торговых точках, без НДС
|
0
|
0
|
0
|
0
|
|
Безналичное
зачисление средств
|
0%
|
0%
|
0%
|
0%
|
|
Плата
за обслуживание неактивного*
карточного счета, в месяц, без НДС
|
экв 5 грн
|
* - неактивный - карточный счет, на
который течение 3 месяцев после истечения срока действия карты и ее неперевыпуска
отсутствовали поступления средств. В случае если остаток на неактивном карточном
счете меньше экв 5 грн, комиссия устанавливается в размере остатка средств на данном
картсчете.
Таблица 2.12 – Тарифы комиссионных вознаграждений
в АКБ «Финбанк» (г.Одесса) за операции расчетно-касового обслуживания юрлиц и предпринимателей
|
№ п/п
|
Название
операции, услуги которая предоставляется банком
|
НДС
|
Размер
ставки комиссионного вознаграждения
|
|
В гривне
|
В валюте
|
|
1.1.
|
Открытие текущего счета.
|
нет
|
50,00
грн.
|
|
1.1.1.
|
Открытие текущего счета клиенту, который раньше имел
текущий счет в банке, в связи с его реорганизацией, изменением формы собственности
и т.д.
|
нет
|
25,00
грн.
|
|
1.2.
|
Закрытие
счета (кроме ликвидации СХД).
|
нет
|
150,00
грн.
|
|
1.2.1.
|
Закрытие
счета в связи с ликвидацией, реорганизацией, изменением формы собственности.
|
нет
|
Бесплатно
|
|
1.3.
|
Начисление
% на остаток по текущим счетам:
|
нет
|
0,5%
|
Х
|
|
1.4.
|
Выдача
справок о наличии, состоянии счета, курсах валют и др.
|
|
1.4.1.
|
В день
обращения клиента.
|
нет
|
25,00
грн. за одну справку
|
|
1.4.2.
|
На следующий
операционный день.
|
нет
|
15,00
грн. за одну справку
|
|
1.5.
|
Выдача
дубликатов выписок и платежных документов.
|
нет
|
15,00
грн. за один дубликат
|
|
1.6.
|
Выдача
копии заявления-расчета об установлении лимита остатка в кассе предприятия.
|
нет
|
10,00
грн. за одну копию
|
|
1.7. Выдача
справок относительно проведенных банком платежей по внешне - экономическим контрактам
клиента по письменному запросу (по одному контракту).
|
|
1.7.1.
|
По операциям до 1 года
|
нет
|
Х
|
30,00
грн.
|
|
1.7.2.
|
По операциям от 1 до 2 лет
|
нет
|
Х
|
50,00
грн.
|
|
1.7.3.
|
По операциям от 2 до 3 лет
|
нет
|
Х
|
80,00
грн.
|
|
1.7.4.
|
По операциям, которые проведены более 3-х лет назад
|
нет
|
Х
|
150,00
грн.
|
|
1.8.
|
Безналичные
зачисления на текущие счета клиентов.
|
нет
|
Бесплатно
|
|
1.9. Перевод
средств в пользу клиентов других банков:
|
|
1.9.1.
|
в гривнах
|
нет
|
2,00 грн.
за одно платежное поручение
|
|
1.9.2.
|
в долларах
США (комиссионные затраты банков-корреспондентов клиентом не возмещаются).
|
нет
|
0,1% (мин.
30,00$/ макс. 150,00$)
от суммы
перевода
(или в
гривнах по курсу НБУ)
|
|
1.9.3.
|
в ЕВРО (комиссионные затраты банков-корреспондентов клиентом
не возмещаются).
|
нет
|
0,18%
(мин. 30,00EURO/ макс. 200,00 EURO ) от суммы перевода
(или в
гривнах по курсу НБУ)
|
|
1.9.4.
|
в других
валютах ( комиссионные затраты банков-корреспондентов клиентом не возмещаются).
|
нет
|
0,1% (мин
30,00$/ макс. 150,00$)
от суммы
перевода
(или в
гривнах по курсу НБУ)
|
|
1.10.
|
Перевод
денежных средств с текущего счета клиента в день их принятия через кассу банка
денежной наличностью свыше 50 000 грн.
|
нет
|
0,1% от
суммы перевода
|
Х
|
|
1.11.
|
Внесение изменений и дополнений в платежные документы,
уточнение реквизитов получателя средств, которые осуществляются по вине клиента,
после принятия их к выполнению банком.
|
нет
|
Х
|
50,00$
за каждое
изменение
|
|
1.12.
|
Поиск
исходящих платежей по просьбе клиента
|
нет
|
Х
|
20,00$
за каждый платеж плюс комиссия третьих банков
|
|
1.13.
Аннулирование осуществленных клиентских платежей:
|
|
1.13.1.
|
в течение
операционного дня
|
нет
|
Х
|
25,00$
за каждый платеж
|
|
1.13.2.
|
до двух
банковских дней
|
нет
|
Х
|
50,00$
за каждый платеж
|
|
1.14.
|
Выдача
денежной наличности из кассы банка по предварительно представленному заявлению
на получение денежной наличности.
|
нет
|
1%
от суммы
получения
|
1%
от суммы
получения по курсу НБУ
|
|
1.15.
|
Подкрепление
касс предприятий банкнотами в национальной валюте Украины номиналами 1, 2, 5,
10, 20 и 50 гривен, так же монетами номиналом 1, 2 и 5 грн.
|
нет
|
0,3 %
от выданной суммы банкнот (монет)
|
Х
|
|
1.16.
|
Подкрепление
касс предприятий банкнотами в национальной валюте Украины номиналами 100 и 200
грн.
|
нет
|
0,3 %
от выданной суммы банкнот
|
Х
|
|
1.17.
|
Подкрепление
разменной монетой номиналами 1 коп. - 25 коп. касс предприятий
|
нет
|
14,00
грн. за 1000 штук монет
|
Х
|
|
1.18.
|
Подкрепление
разменной монетой номиналами 50 коп. касс предприятий
|
нет
|
3,00 грн.
за 1000 штук монет
|
Х
|
|
1.19.
|
Реализация
бланков векселей.
|
да
|
1,50 грн.
за один бланк (в т.ч. НДС)
|
Х
|
|
1.20.
|
Прием
денежной наличности в иностранной валюте за оплату экспортных контрактов
|
нет
|
Х
|
1% (мин.5,00
$)
|
|
1.21.
|
Прием
денежной наличности от населения за товары и услуги:
|
|
1.21.1.
|
От 1,00
грн. до 100 грн.
|
нет
|
1 грн.
|
|
1.21.2.
|
От 101грн.
до 1000 грн.
|
нет
|
1,5%
|
|
1.21.3.
|
От 1001грн.
до 5000 грн.
|
нет
|
1,3%
|
|
1.21.4.
|
От 5001
грн. до 10 000 грн.
|
нет
|
1,0%
|
|
1.21.5.
|
Свыше
10 000 грн.
|
нет
|
100 грн.
|
|
1.22.
|
Прием
денежной наличности от населения в высшие учебные заведения г.Одессы:
|
|
1.22.1.
|
До 1000
грн.
|
нет
|
1,0%
|
|
1.22.2.
|
С 1001
грн.
|
нет
|
0,5%
|
|
1.22.3.
|
Представительство
МВД Украины.
|
да
|
2,0%
|
|
1.23.
|
Выдача
справки на вывоз валюты за границу на командировку, без НДС.
|
нет
|
Х
|
Бесплатно
|
|
1.23.2.
|
Замена
карточек образцов подписей.
|
да
|
5,00 грн.
за комплект
|
|
1.23.3.
|
Засвидетельствование
карточек с образцами подписей.
|
нет
|
15,00
грн. за комплект
|
|
1.24.
|
Предоставление
выписок со счета.
|
да
|
Бесплатно
|
Х
|
|
1.25.
|
Комиссия
третьих банков за переводы клиентов, взысканная банками-корреспондентами (при
предоставлении клиенту копии телексного сообщения о размере комиссии).
|
нет
|
|
В гривне
по курсу НБУ на день уплаты
|
|
1.26.
|
Почтово-телеграфные
затраты по операциям клиента.
|
да
|
Согласно
счету
|
Таблица 2.13 - Тарифы комиссионных вознаграждений
в АКБ «Финбанк» (г.Одесса) за документарные операции с юридическими лицами
|
№ п/п
|
Название
операции, услуги которая предоставляется банком
|
НДС
|
Размер
ставок комиссионного вознаграждения
|
|
В гривне
|
В иностранной
валюте
|
|
Импортные
|
Экспортные
|
|
|
Документарные
аккредитивы:
|
|
2.1.
|
Предварительное
авизование аккредитива.
|
нет
|
Х
|
50,00$
|
|
2.2.
|
Открытие
покрытого аккредитива / увеличение суммы аккредитива.
|
нет
|
0,2% (мин.
70,00грн./макс. 1200,00 грн.) от суммы аккредитив / увеличение
|
0,4% (мин.
120,00$ / макс. 500,00$) от суммы аккредитива / увеличение
|
Х
|
|
2.3.
|
Обслуживание
непокрытого аккредитива / подтверждение аккредитива без денежного покрытия.
|
нет
|
В соответствии
с решением Кредитного комитета Х% годовых от суммы
|
Х
|
В соответствии
с решением Кредитного комитета Х% годовых от суммы
|
|
2.4.
|
Подтверждение
аккредитива с денежным покрытием в банке.
|
нет
|
0,2% (мин.
50,00 грн./ макс.100 грн.) от суммы аккредитива
|
Х
|
0,1% (мин.
30,00$ / макс. по договору) от суммы аккредитива
в квартал
|
|
2.5.
|
Авизование
аккредитива / изменений условий аккредитива.
|
нет
|
0,1% (мин.
70,00 грн. / макс. 900,00 грн.) от суммы аккредитива
|
Х
|
0,2% (мин.
120,00$ / макс. 500,00$)
от суммы
аккредитива
|
|
2.6.
|
Изменение
условий аккредитива / аннулирование до срока его окончания / авизование изменений
условий аккредитива.
|
нет
|
50,00
грн.
за каждое
изменение
|
40,00$
за каждое
изменение
|
|
2.7.
|
Прием
, проверка документов на соответствие условиям аккредитива.
|
нет
|
0,2%
(мин.
50$/ макс. 300$) от суммы аккредитива
|
0,2%
(мин.
50$/ макс. 350$) от суммы аккредитива
|
|
2.8.
|
Выполнение
аккредитива - платеж против документов
|
нет
|
0,25%
(мин. 100,00 грн / макс. 500,00 грн.) от суммы платежа
|
0,2% (мин.
25$/ макс. 500$) от суммы аккредитива
|
0,2% (мин.
25$/ макс. 500$) от суммы аккредитива
|
|
2.9.
|
Перевод
трансферабельного аккредитива в пользу другого бенефициара.
|
нет
|
0,1%
(мин.
50,00 грн.)
от суммы
аккредитива
|
Х
|
0,2% (мин.
120$ / макс. 500$)
от суммы
аккредитива
|
|
2.10.
|
Документы
с расхождениями (удерживается с бенефициара) за каждый документ.
|
нет
|
20,00
грн.
|
30,00$
|
|
2.11.
|
Выполнение
функций рамбурсного банка.
|
нет
|
0,1% (мин.
25$/ макс. 500$) от суммы аккредитива
|
|
|
Документарное
инкассо:
|
|
2.12.
|
Принятие
и отправка документов на основании инкассо.
|
нет
|
Х
|
0,1% (мин.
10,00$/ макс. 100,00$) от суммы инкассо
|
|
|
2.13.
|
Контроль
получения документов и оплаты (отказа от оплаты) по инкассо, зачисление средств
по инкассо.
|
нет
|
Х
|
0,05%
(мин. 10,00$/ макс. 100,00$) от суммы инкассо
|
|
|
2.14.
|
Получение
и авизование документов по инкассо.
|
нет
|
0,1% (мин.
10,00$/ макс. 100,00$) от суммы инкассо
|
Х
|
|
|
2.15.
|
Оплата
документов по инкассо
|
нет
|
0,15%
(мин. 10,00$/ макс. 100,00$) от суммы инкассо
|
Х
|
|
|
2.16.
|
Изменение
условий, аннулирование или отзыв.
|
нет
|
25,00$
|
30,00$
|
|
|
2.17.
|
Отправка
извещений в другие банки.
|
нет
|
10,00$
|
|
2.18.
|
Прием чеков на инкассовой основе (чистое инкассо чеков).
|
нет
|
Х
|
3,5% от
суммы чека
|
|
|
2.19.
|
Пересылка
документов по документарным операциях.
|
да
|
Тариф
DHL (UPS) + 5,00$ по курсу НБУ
|
Таблица 2.14 - Тарифы комиссионных вознаграждений
в АКБ «Финбанк» (г.Одесса) за расчетно-касовые операции с физическими лицами
|
п/п
|
Название
операции, услуги что предоставляется банком
|
НДС
|
Размер
ставок комиссионного вознаграждения
|
|
В гривне
|
В валюте
|
|
3.1.
|
Открытие
текущего счета.
|
нет
|
10,00
грн.
|
25,00
грн.
|
|
3.2.
|
Закрытие
текущего счета.
|
нет
|
Бесплатно
|
|
3.3.
|
Выдача
справок о наличии, состоянии счета и др.
|
нет
|
15,00
грн. за одну справку
|
|
3.5.
|
Перечисление
денежных средств с текущих, карточных и депозитных счетов.
|
|
3.5.1.
|
На счета
в других уполномоченных банках Украины и иностранных банках
|
нет
|
2,00 грн.
за один перевод
|
1% мин.
(30USD, 30EUR, 30RUB) в валюте платежа или в гривне по курсу НБУ
|
|
3.5.2.
|
На счета,
открытые в АКБ "Финбанк"
|
нет
|
Бесплатно
|
|
3.7.
|
Выплата
денежной наличности со счетов клиентов:
|
|
3.7.1.
|
Выплата
переводов, поступивших на текущий счет клиента
|
нет
|
1% от
суммы
|
1% мин.
(10USD, 10EUR, 10RUB) в валюте платежа или в гривне по курсу НБУ
|
|
3.7.2.
|
Выплата
наличных средств, поступивших в пользу моряков, или членов их семей
|
нет
|
Х
|
0,8% мин.
(8USD, 8EUR, 8RUB) в валюте платежа или в гривне по курсу НБУ
|
|
3.8.
|
Выплата
переводов без открытия текущего счета.
|
нет
|
1% (мин.
10 грн.) от суммы
|
1% мин.
(15USD, 15EUR, 15RUB) в валюте платежа или в гривне по курсу НБУ
|
|
3.11.
|
Проведение
конвертации свободно-конвертируемых валют при выплате переводов.
|
нет
|
Х
|
0,3% от
суммы валюты что конвертируется
|
|
3.12.1.
|
Замена
карточек образцов подписей
|
нет
|
3,00 грн.
за карточку
|
|
3.12.2.
|
Засвидетельствование
карточек с образцами подписей
|
нет
|
5,00 грн.
за карточку
|
|
3.14.
|
Комиссия
за обмен изношенных купюр.
|
нет
|
Х
|
6% от
номинала купюры (по курсу НБУ)
|
|
3.15.
|
Обмен
банкноты на разменную монету.
|
нет
|
14 грн.
за 1000 шт.
|
Х
|
Таблица 2.15 - Тарифы комиссионных вознаграждений
в АКБ «Финбанк» (г.Одесса) за операции на межбанковском валютном рынке Украины
|
№ п/п
|
Название
операции, услуги что предоставляется банком
|
НДС
|
Размер
ставок комиссионного вознаграждения
|
|
5.1. Свободная продажа валюты (по курсу Банка):
|
|
5.1.1.
|
до 100.000,00$
|
нет
|
0,35%
от суммы продажи
|
|
5.1.2.
|
свыше
100.000,00$
|
нет
|
0,25%
от суммы продажи
|
|
5.2.
|
Покупка
валюты, без НДС. (по курсу Банка):
|
нет
|
|
|
5.2.1.
|
до 100.000,00$
|
нет
|
0,5% от
суммы покупки
|
|
5.2.2.
|
свыше
100.000,00$
|
нет
|
0,3% от
суммы покупки
|
|
5.3.
|
Конверсионные
операции с одной валюты в другую.
|
нет
|
1,25%
от суммы конвертации
|
|
Примечание. В случае превышения фактических затрат
банка над списанной со счета клиента суммой по курсу НБУ вместе с комиссией по
конвертации, комиссия которая подлежит оплате клиентом, увеличивается на сумму
указанной разницы.
|
Таблица 2.16 - Тарифы комиссионных вознаграждений
в АКБ «Финбанк» (г.Одесса) за операции с ценными бумагами
|
№ п/п
|
Название
операции, услуги что предоставляется банком
|
НДС
|
Размер
ставок комиссионного вознаграждения
|
|
6.1.
|
Операции
с государственными ЦБ Украины.
|
нет
|
Согласно
договора
|
|
6.2.
|
Операции
с муниципальными ЦБ Украины.
|
нет
|
Согласно
договора
|
|
6.3.
|
Операции
с корпоративными ЦБ.
|
нет
|
Согласно
договора
|
|
6.4.
|
Аваль
векселей.
|
нет
|
Минимум
0,5% от суммы векселя
|
|
6.5.
|
Домициляция
векселей.
|
нет
|
От 0,1%
до 1,5% от суммы векселя
|
|
6.6.
|
Инкассация
векселей.
|
нет
|
От 0,1%
до 1% от суммы векселя
|
|
6.7.
|
Выполнение
операций по трастовым договорам.
|
нет
|
От 0,1%
до 2,% от суммы операции
|
|
6.8.
|
Выполнение
Банком функций комиссионера.
|
нет
|
От 0,1%
до 1,5% от суммы операции
|
|
6.9.
|
Предоставление
консалтинговых услуг клиентам
|
да
|
Согласно
договора
|
Таблица 2.17 - Тарифы комиссионных вознаграждений
в АКБ «Финбанк» (г.Одесса) за операции подготовки и обслуживания кредитов
|
№ п/п
|
Название
операции, услуги предоставляемой банком
|
НДС
|
Размер
ставок комиссионного вознаграждения
|
|
Юридические
лица
|
Физические
лица
|
|
7.1.
|
Прием
и рассмотрение кредитной заявки клиента.
|
да
|
80,00
грн.
|
25,00
грн.
|
|
7.2.
|
Оформление
документов:
|
|
7.2.1.
|
по выдаче
срочного кредита клиенту
|
да
|
100,00
грн.
|
30,00
грн.
|
|
7.2.2.
|
по открытию
овердрафта клиенту
|
да
|
80,00
грн.
|
Х
|
|
7.2.3.
|
по открытию
кредитной линии клиенту
|
да
|
150,00
грн.
|
80,00
грн.
|
|
7.3.
|
Оформление
документов по выдаче отдельных траншей в границах открытой линии.
|
да
|
20,00
грн.
|
20,00
грн.
|
|
7.4.
|
Изменение
условий кредитного договора по инициативе клиента.
|
нет
|
50,00
грн.
|
10,00
грн.
|
|
7.5.
|
Оформление
и выдача клиенту справки о состоянии задолженности по кредитам в Банке
|
нет
|
15,00
грн. за справку
|
|
7.6.
|
Установление
кредитного лимита по БПК
|
нет
|
Х
|
0,3% (макс.
100$)
|
|
7.7.
|
Выдержка
из Государственного реестра обременений движимого имущества Украины
|
7,00 грн.
|
42,00
грн.
|
X
|
|
7.8.
|
Прием
документов и рассмотрение заявки на кредит для СПД - физических лиц
|
10.00
грн.
|
60,00
грн.
|
X
|
Таблица 2.18 - Тарифы комиссионных вознаграждений
в АКБ «Финбанк» (г.Одесса) за гарантийные операции
|
№ п/п
|
Название
операции, услуги что предоставляется банком
|
НДС
|
Размер
ставок комиссионного вознаграждения
|
|
В гривне
|
В валюте
|
|
8.1.
|
Предоставление
необеспеченных гарантий клиентам банка (в квартал от суммы гарантии).
|
нет
|
3-5% (мин.
250,00 грн.)
|
1%-3%
(мин. 50,00$ )
|
|
8.2.
|
Предоставление
гарантий, которые обеспеченные в соответствии с законом Украины "О залоге"
(в квартал от суммы гарантии)
|
нет
|
1%-3%
(мин.150,00грн.)
|
0,5% -2%
(мин. 30,00$)
|
|
8.3.
|
Авизование
гарантий.
|
нет
|
100,00
грн.
|
30,00$
|
|
8.4.
|
Подтверждение
гарантии (в квартал от суммы гарантии).
|
нет
|
2% (мин.
50,00 грн.)
|
2% (мин.100,00$)
|
|
8.5.
|
Изменение
условий гарантии.
|
нет
|
150,00
грн.
|
50,00$
|
|
8.6.
|
Аннулирование
гарантии.
|
нет
|
150,00
грн.
|
50,00$
|
|
8.7.
|
Платеж
по гарантии (от суммы гарантии).
|
нет
|
0,2% (мин.
50,00 грн./ макс. 150,00 грн.)
|
0,2% (мин.
50,00$ / макс. 150,00$)
|
|
8.8.
|
Оформление
документов по выдаче гарантии.
|
нет
|
150,00
грн.
|
Таблица 2.19 - Тарифы комиссионных вознаграждений
в АКБ «Финбанк» (г.Одесса) за операции с чеками
|
п/п
|
Название
операции, услуги что предоставляется банком
|
НДС
|
Размер
ставок комиссионного вознаграждения
|
|
9.1.
|
Продажа
дорожных чеков.
|
нет
|
1% (мин.
5,00 $) от суммы чеку по курсу НБУ
|
|
9.2.
|
Инкассо
дорожных чеков:
|
|
9.2.1.
|
На инкассо
с выплатой покрытия через 60 дней
|
нет
|
2 % (мин.
5,00 $)
от суммы
чеку по курсу НБУ
|
|
9.2.2.
|
Инкассо
именных чеков с выплатой покрытия через 60 дней
|
нет
|
3.5 %
от суммы чеку
|
Таблица 2.20 - Тарифы комиссионных вознаграждений
в АКБ «Финбанк» (г.Одесса) за отправление переводов WESTERN UNION в гривне (ТОЛЬКО
ПО УКРАИНЕ) и долларах США
|
Сумма
перевода (грн.)
|
Комиссионный
сбор (грн.)
|
Сумма
перевода (грн.)
|
Комиссионный
сбор (грн.)
|
|
0,00-100,00
|
10,00
|
4000,01-4500,00
|
145,00
|
|
100,01-200,00
|
15,00
|
4500,01-5000,00
|
160,00
|
|
200,01-300,00
|
19,00
|
175,00
|
|
300,01-400,00
|
22,00
|
5500,01-6000,00
|
190,00
|
|
400,01-500,00
|
25,00
|
6000,01-6500,00
|
205,00
|
|
500,01-600,00
|
28,00
|
6500,01-7000,00
|
220,00
|
|
600,01-800,00
|
34,00
|
7000,01-7500,00
|
235,00
|
|
800,01-1000,00
|
40,00
|
7500,01-8000,00
|
250,00
|
|
1000,01-1500,00
|
55,00
|
8000,01-8500,00
|
265,00
|
|
1500,01-2000,00
|
70,00
|
8500,01-9000,00
|
280,00
|
|
2000,01-2500,00
|
85,00
|
9000,01-9500,00
|
295,00
|
|
2500,01-3000,00
|
100,00
|
9500,01-10000,00
|
310,00
|
|
3000,01-3500,00
|
115,00
|
За каждые
500 грн. более 10000 дополнительно уплачивают 15 грн.
|
|
3500,01-4000,00
|
130,00
|
|
ДОЛЛАРЫ
США
|
|
Сумма
перевода (USD)
|
Комиссионный
сбор (USD)
|
Сумма
перевода (USD)
|
Комиссионный
сбор (USD)
|
|
0,00-50,00
|
13,00
|
1750,01-2000,00
|
90,00
|
|
50,01-100,00
|
15,00
|
2000,01-2500,00
|
110,00
|
|
100,01-200,00
|
22,00
|
2500,01-3000,00
|
120,00
|
|
200,01-300,00
|
29,00
|
3000,01-3500,00
|
140,00
|
|
300,01-400,00
|
34,00
|
3500,01-4000,00
|
160,00
|
|
400,01-500,00
|
40,00
|
4000,01-4500,00
|
180,00
|
|
500,01-750,00
|
45,00
|
4500,01-5000,00
|
200,00
|
|
750,01-1000,00
|
50,00
|
За каждые
500 USD более 5000 дополнительно уплачивается 20 USD
|
|
1000,01-1500,00
|
75,00
|
|
1500,01-1750,00
|
80,00
|
Таблица 2.21 - Тарифы комиссионных вознаграждений
в АКБ «Финбанк» (г.Одесса) за операции с банковскими платежными карточками
|
№ п/п
|
Название
операции, услуги предоставляемой банком
|
Размер
ставок комиссионного вознаграждения
|
|
В гривне
|
В валюте
|
|
13.1.
|
Выплата
денежной наличности по БПК банков-нерезидентов, без НДС.
|
3%
от суммы
выплаты
|
3%
от суммы
выплаты
|
|
13.2.
|
Выплата
денежной наличности по БПК банков-резидентов, без НДС.
|
Бесплатно
|
X
|
|
13.3.
|
Выплата
денежной наличности по БПК КБ "Приватбанк", без НДС.
|
1%
от суммы
выплаты
|
X
|
|
13.4.
|
Выплата
денежной наличности по зарплатным БПК КБ "Приватбанк", без НДС.
|
Бесплатно
|
X
|
|
13.5.
|
Выплата
денежной наличности по всем карточкам АКБ "Финбанк", без НДС:
|
|
|
13.5.1.
|
До 10.000,-
$ в месяц и эквивалент других валют
|
Бесплатно
|
Бесплатно
|
|
13.5.2.
|
Больше
10.000,- $ в месяц
|
1%
от суммы
выплаты
|
1%
от суммы
выплаты
|
|
13.6.
|
Получение
денежной наличности по карточкам PRIVAT TRAVEL, без НДС:
|
|
|
13.6.1.
|
в банкоматах
АКБ "Финбанк"
|
0,2%
|
0,2%
|
|
13.6.2.
|
в банкоматах
КБ "Приватбанк"
|
1% + 0,50$
|
1% +3,00
грн
|
|
13.6.3.
|
в банкоматах
за границей
|
1% (мин.
3,00$)
|
X
|
|
13.7.
|
Получение
остатка
|
0,5%
|
0,5%
|
Как показывает
совместный анализ тарифов, приведенных в табл.2.4 – 2.21:
а) конкуренция между банками с учетом многофилиальности и наличия
в г.Одессе не только коммерческого банка АКБ «Финбанк», но и регионального управления
АКБ «Приватбанк»(Днепропетровск), приводит к универсализации тарифов на основные
банковские услуги. Так; клиентская стоимость денежных переводов в системе WESTERN UNION, а также комиссии по
обслуживанию эмитированных банками пластиковых карт VISA, являются одинаковыми.
б) тарифная политика, в основном, формируется в зависимости
от наличия фактической клиентуры банка, привлекаемой комплексом новейших телекоммуникационных
услуг и услуг банковского самообслуживания. Одновременно, объем валюты баланса,
собственного страхового капитала и резервных фондов банка существенно влияют на
тарифы по некоторым комиссионным операциям. Так, тарифы на банковские гарантии в
АКБ «Приватбанк» составляют 0,2%(но не более 3800 грн.) в гривнах и 0,3% (но неболее
4300 грн.) в валюте, а в АКБ «Финбанк» тарифы на банковские гарантии составляют
3-5% в гривнах и 1-3% в валюте
в) существенное влияние на уровень тарифов оказывает финансовая
мощь и рейтинг банка в банковской системе Украины, который позволяет диктовать свои
цены на определенный сектор банковских услуг. Так, тарифы комиссии на подготовку
и обслуживание кредитных проектов в АКБ «Приватбанк» составляют до 2% от суммы кредита,
а в АКБ «Финбанк» - не более 180 грн. Тарифы на расчетно-кассовое обслуживание клиентов
при перечислении средств по системе СЭП НБУ в другой банк составляют в АКБ «Финбанк»
- 2 грн. за 1 платеж, а в АКБ «Приватбанк» тарифицированы по шкале (табл.2.4) от
0,36 грн.при суме платежа до 50 грн. до 29,70 грн. за платеж на суму 100000 грн..
Таким образом, в АКБ «Приватбанк» положительно решен вопрос
о себестоимости «электронных платежей» в СЭП НБУ и «малыми» платежами за счет перераспределения
нагрузки комиссии с «малых» платежей на «крупные», что существенно повышает привлекательность
АКБ «Приватбанк» для населения и частных предпринимателей.
г) большое количество клиентов позволяет АКБ «Приватбанк» снизить
тарифы на комиссионные услуги по покупке продаже валюты клиентов на межбанковском
валютном рынке до 0,1 – 0,2%, тогда как тарифы в АКБ «Финбанк» составляют на ниже
0,35% и он, в основном, обслуживает только своих клиен-тов.
д) борьба АКБ «Финбанк» за клиентов приводит к снижению тарифов
по комиссии за получение наличных по платсиковым картам АКБ «Финбанк» в банкоматах
АКБ «Финбанк» до 0,2%, в то время как АКБ «Приватбанк» сохраняет уровень тарифов
1% для своих клиентов.
3 ПЕРСПЕКТИВНЫЕ НАПРАВЛЕНИЯ РАЗВИТИЯ ОПЕРАЦИЙ
БАНКОВСКИХ УСЛУГ И УВЕЛИЧЕНИЯ КОМИССИОННЫХ
ДОХОДОВ КОММЕРЧЕСКИХ БАНКОВ
3.1 Рост комиссионных доходов АКБ «Приватбанк»
при развитии кастодиальных операций по регистрации, депозитарному хранению и обслуживанию ценных бумаг клиентов
Новым направлением в развитиии
комиссионных банковских услуг являются кастодиальные операции по регистраторской
и депозитарной деятельности банка с корпоративными ценными бумагами клиентов.
В табл.3.1 –3.3 приведен
перечень основных операций, осуществляемых регистратором АКБ «Приватбанк» для реестров
эмитентов новых ценных бумаг и реестров зарегистрированных владельцев ценных бумаг.
Таблица 3.1 – Перечень операций регистратора
АКБ «Приватбанк» и тарифы для эмитентов (обязательные)
|
Операция
|
Расценки
|
|
Прием документов и внесение в систему реестра информации об эмитенте
и выпуске ЦБ
|
100,00 грн.
|
|
Открытие счетов собственникам ЦБ с зачислением
на них ЦБ в соответствии с полученным от Эмитента перечнем (реестром) собственников:
- с магнитного носителя
- с бумажного носителя
|
0,25 грн. за каждого собственника ЦБ.
0,50 грн. за каждого собственника ЦБ.
|
|
Внесение изменений в систему счетов собственников ЦБ по запросу Эмитента
(в случае неверного предоставления данных)
|
0,70 грн. за каждую запись (по каждому собственнику ЦБ)
|
|
Обслуживание (учет ЦБ) системы счетов собственников
ЦБ
- до десяти собственников ЦБ
- до тридцати собственников ЦБ
|
60,00 грн. (за квартал за всю систему реестра)
140,00 грн. (за квартал за всю систему реестра)
|
|
Обслуживание (учет ЦБ) системы счетов собственников ЦБ* (большее
тридцати собственников ЦБ)
|
0,30 грн. за одного собственника ЦБ за квартал, но не ниже 150,00
грн. за всю систему реестра
|
|
Ответственное сохранение сертификатов именных ценных бумаг
|
140,00 грн. за каждую 1000 шт сертификатов за квартал
|
|
Хранение документов на протяжении 3-х лет после разрыва договора
эмитентом
|
420,00 грн. за каждые 5000 листов
|
Таблица 3.2
- Расценки на операции Регистратора ПриватБанк дополнительные для Эмитента
|
Операция
|
Расценки
|
|
Предоставление информации о состоянии счетов
собственников ЦБ на определенную дату :
- на магнитном носителе
- на бумажном носителе
|
из расчета на один счет, учитывающий собственника
ЦБ за всю систему реестра
35,00 + N*0,05 грн.
35,00 + N*0,10 грн.
|
|
Предоставление информации о начисленных дивидендах собственникам
ЦБ и суммы удержанного подоходного налога с собственников ЦБ (платежня ведомость):
- на магнитном носителе
- на бумажном носителе
|
из расчета на одного учитываемого собственника
ЦБ за всю ведомость
90,00 + N*0,05 грн.
90,00 + N*0,10 грн.
|
|
Расчетно-кассовое обслуживание по уплате дивидендов физическим лицам
|
0,70 грн. + 1 % от суммы уплаченных дивидендов за расчетно-кассовое
обслуживание из расчета на одного враховуємого собственника ЦБ
|
|
Предоставление разнообразных видов отчетной
документации, связанной с учетом и движением ЦБ на счетах собственников ЦБ Эмитента
- на магнитном носителе
- на бумажном носителе
|
Из расчета на одну запись по лицевому счету
50,00 + К*0,05 грн.
50,00 + К* 0,10 грн.
|
|
Подготовка и предоставление информации акционерам и государственным
органам (запрос на проведение собрания акционеров, справки про удержанный подоходный
налог при уплате дивидендов, а также любая другая информация)
|
1,00 грн. за печатный лист + стоимость почтовых услуг (если другое
не обусловлен дополнительным соглашением)
|
|
Проведение корпоративных операций с ЦБ Эмитента
|
По согласованию сторон
|
|
Информационное и организационное обеспечение проведения общего собрания
акционеров
|
По согласованию сторон
|
|
Оформление бланков сертификатов (временных свидетельств)
|
1,00 грн. из расчета на один сертификат (временное свидетельство)
|
|
Другие операции, связанные с учетом, обслуживанием и выполнением
операций по ЦБ Эмитента
|
по согласованию сторон
|
|
Другие операции, связанные с учетом, обслуживанием и выполнением
операций по ЦБ Эмитента
|
по согласованию сторон
|
|
Заверение копий документов системы реестра
|
1,00 грн. за каждый лист документа
|
Таблица 3.3 – Операции регистратора АКБ «Приватбанк»
и тарифы для зарегистрированных лиц
|
Операция
|
Расценки*
|
|
Внесение
изменений в счета собственников ЦБ (открытых лицевых счетов):
|
- реквизитов
собственников ЦБ (без перемен прав собственности на ЦБ);
|
1,00 грн.
- для физических лиц;
25,00
грн. - для юридических лиц;
|
|
- с частичной
или полной передачей прав собственности на ЦБ (с оформлением бланков сертификатов
(временных свидетельств) по лицевому счету) при сумме операций с ЦБ:
|
0 грн.
(дарение, наследование и т.д.)
|
2,00 грн.
|
|
до 10
000,00 грн.
|
1,5 %
от суммы операций с ЦБ ( но не ниже 1 грн..)
|
|
от 10
000,00 грн.
|
150,00
грн. + 1,0 % от суммы превышающий сумму 10 000,00 грн. операций с ЦБ, но не ниже
номинала.
|
|
до 150
000,00 грн.
|
1 550,00
грн + 0,5 % от суммы превышающей сумму 150 000,00 грн. операций с ЦБ , но не ниже
номинала.
|
|
- доверительное
управление ( с предоставлением выписки )
|
0,30 грн.
с одного доверителя
|
|
- залог
( с предоставлением выписки ) и прекращение залога
|
0,75%
от оценочной суммы
|
|
- блокирование
ЦБ ( с предоставлением выписки ) и разблокирование
|
0,25%
от суммы операций с ЦБ, но не ниже 1,00 грн.
|
|
Предоставление
выписки о состоянии лицевого счета или об операциях по лицевому счету собственника
ЦБ без внесения изменений в реестр:
|
0,30 грн.
за один лист выписки из лицевого счета собственника ЦБ - для физических лиц;
3,00 грн.
за один лист выписки из лицевого счета собственника ЦБ - для юридических лиц;
|
|
Заверение
подписи собственника ЦБ на распоряжениях, согласно действующему законодательству
|
5,00 грн.
за каждое заверение подписи
|
|
Заверение
подписи собственника ЦБ на распоряжениях, согласно действующему законодательству
с выездом
|
9,00 грн.
за каждое заверение подписи + транспортные затраты
|
|
Заверение
поручения на право участия и голосование на общих сборах акционеров при передаче
собственником своих полномочий другому лицу
|
10,00
грн. за каждое заверение поручения
|
|
Предоставление
разнообразных видов отчетной документации, связанной с учетом и движением ЦБ по
счетам собственников ЦБ
|
по согласованию
сторон, но не ниже 1,00 грн. за один лист печатной информации
|
|
Предоставление
консультационных услуг
|
по согласованию
сторон, но не ниже 1,00 грн. для физического лица и 20,00 грн. для юридического
лица + 1,00 грн. за каждый печатный лист
|
|
Засвидетельствование
копий документов, которые являются основанием для внесения изменений в систему
реестра (договоры комиссии, брокерские контракты, распоряжение, доверенности на
третьи лица и т.п.)
|
1,00 грн.
за каждый лист документа
|
Операции депозитарных услуг , осуществляемые
депозитарием АКБ «ПриватБанк»:
1.
Открытие счета в ценных бумагах;
2.
Обслуживание обращения ценных бумаг
в Национальной депозитарной системе:
- ответственное хранение ЦБ в документарной и бездокументарной
форме;
- обездвиживание документарной формы выпуска;
- учетные операции зачисления, списания, перевода, перемещения
ЦБ со счета на счет с предоставлением выписки со счета в ЦБ;
- учет отягощения ЦБ Депонентов обязательствами;
- хранение документов, подтверждающих право собственности
на ЦБ;
- регистрация Хранителя (Депозитария) номинальным держателем
в реестре владельцев по ЦБ в документарной форме выпуска;
- получение дохода по ЦБ и перечисление их на банковский
счет Депонента;
- выдача выписки со счета в ЦБ;
- выдача отчетов Депоненту о проведении операций по счету
в ЦБ;
- снятие ЦБ с учета;
- выдача ЦБ из хранилища;
- расчетно-клиринговые операции по принципу "поставка
против оплаты".
- депозитарное обслуживание Институтов совместного инвестирования.
Все операции с ценными бумагами
депонентов проводятся в рамках Национальной депозитарной системы на базе программного
продукта депозитария ОАО "Межрегиональный фондовый союз", к которой на
сегодняшний день подключены более 100 хранителей ценных бумаг.
Клиентами Хранителя ценных
бумаг ПриватБанка являются юридические и физические лица (резиденты и нерезиденты)
- собственники ценных бумаг, украинские эмитенты.
Преимущества бездокументарной формы выпуска:
- упрощение, ускорение и удешевление перерегистрации прав
собственности по ценным бумагам;
- увеличение скорости обращения ценных бумаг, возможность
проведения многократных операций купли-продажи в течение дня;
- увеличение инвестиционной привлекательности ценных бумаг.
По результатам рейтинга, проводимого депозитарием ОАО
"Межрегиональный фондовый союз", Хранитель ПриватБанк входит в пятерку
лучших, среди более 100 хранителей. С начала 2005 года Хранитель ПриватБанка занимает
первое место в рейтинге Хранителей, проводимом Профессиональной ассоциации регистраторов
и депозитариев.
Профессиональная деятельность Хранителя осуществляется
на основании Лицензии Государственной комиссии по ценным бумагам и фондовому рынку
серии АБ номер 113054 от 15.10.2004г.
По состоянию на 01.01.2006 года Хранителем ПриватБанк обслуживается
4775 счетов в ценных бумагах. В 95 реестрах собственников именных ценных бумаг Хранитель
ПриватБанк зарегистрирован номинальным держателем. Количество ценных бумаг на счетах
в ценных бумагах депонентов - 69 461 879 381 штук, общей номинальной стоимостью
- 4 812 106 029,15 грн.
Хранитель ПриватБанка имеет опыт обслуживания Институтов
совместного инвестирования (ИСИ), а так же Пенсионных негосударственных фондов.
В табл. Г.1 – Г.2 Приложения Г представлен основной перечень
и тарифы по операциям депозитария (Хранителя) АКБ «Приватбанк».
На графиках рисунка 3.1 представлен
анализ эффективности внедрения кастоидальных услуг для увеличения комиссионных доходов
АКБ «Приватбанк» от операций с ценными бумагами клиентов.
Рисунок 3.1 - Динамика структурной части комиссионных
доходов от регистраторской и депозитарной деятельности в общем объеме комиссионных
доходов АКБ «Приватбанк» от операций с ценными бумагами клиентов
Как показывает анализ графиков рисунка 3.10
внедрение кастодиальных услуг в АКБ «Приватбанк» привело к постепенному увеличению
их весовой доли в суммарных комиссионных доходах от операций банка с ценными бумагами
клиентов:
- по операциям регистратора с уровня 0,55%
в 1999 году до уровня 8,56% в 2006 году;
- по операциям депозитария с уровня 25,74%
в 1999 году до уровня 89,4% в 2006 году;
Увеличение весовой роли доходов от кастодиальных
операций с ценными бумагами клиентов дополнительно объясняется пассивным интересом
клиентов к операциям с государственными ОВГЗ Украины.
3.2 Рост комиссионных
доходов АКБ «Приватбанк» при диверсификационном развитии операций с пластиковыми
платежно-кредитными карточками
ПриватБанк является признанным
лидером отечественного рынка платежных карт. На сегодняшний день банком выпущено
более 11,1 миллиона пластиковых карт (36% от общего количества карт, эмитированных
украинскими банками). В сети обслуживания пластиковых карт банка работает 3 230
банкоматов, пластиковые карты банка принимают к оплате свыше 18,6 тысяч торгово-сервисных
точек по всей Украине (таблица 3.4). Наличие широкой сети обслуживания карточных
продуктов позволяет ПриватБанку активно внедрять услуги по автоматизированной выдаче
корпоративным клиентам заработной платы с использованием пластиковых карт.
Таблица
3.4 – Основные показатели развития инфраструктуры АКБ «Приват-банк» [39]
|
Показатели
инфраструктуры АКБ «Приватбанк»
|
1 января
2005
|
1 января
2006
|
27 сентября
2006
|
|
Банкоматы
|
2 005
|
2 945
|
3 234
|
|
POS-терминалы
|
13 679
|
16 620
|
18 695
|
|
Филиалы и офисы
|
1 657
|
1 933
|
2 224
|
|
Пластиковые карты
|
6 007 484
|
8 430 424
|
11 119 398
|
|
Счета юридических лиц
|
183 417
|
211 360
|
233 599
|
|
Счета предпринимателей
|
123 484
|
160 734
|
192 029
|
ПриватБанк также является
лидером на рынке услуг физическим лицам. Так, более 40% клиентов банков, оформляющих
кредиты на покупку бытовой техники, пользуются кредитными программами ПриватБанка.
Также услугами ПриватБанка пользуются 27,8% всех клиентов депозитных программ, более
26% клиентов, производящих обмен валюты. Около 21% клиентов украинских банков выбирают
ПриватБанк при открытии текущего счета и свыше 15% пользуются услугами банка при
осуществлении денежных переводов.
Инновационная политика ПриватБанка
ориентирована на внедрение на украинском рынке принципиально новых, передовых банковских
услуг, которые предоставляют клиентам новые возможности управления своими финансами.
ПриватБанк первым в Украине предложил своим клиентам услуги интернет-банкинга "Приват24"
и GSM-банкинга, а также услуги по продаже через сеть своих банкоматов и POS-терминалов
электронных ваучеров ведущих операторов мобильной связи и IP-телефонии.
В таблицах 3.5 – 3.12 представлена номенклатура развития
пластиковых платежно-кредитных карточек в АКБ «Приватбанк» в разных ценовых классах
– от пенсионера до элитарных «золотых» карт.
Показательными
являются тарифы по новому виду кредитной карты "Универсальная" [39] с
возможностью получения кредита в наличными:
- открытие картсчета, без НДС - 0 грн/USD,
- базовая процентная ставка по кредиту в UAH - 3 % в месяц
от остатка задолженности (36 % годовых), в USD - 1,83 % в месяц (21,96 % годовых),
- процентная ставка по кредиту на льготный период (30 дней
с момента возникновения задолженности по каждой транзакции) - 0,01 % годовых от
задолженности,
- комиссия за снятие наличных в сети ПриватБанка/ Москомприватбанка
и безналичные платежи с карты в системах Приват24 / Приват48 - 3 % от суммы,
- размер обязательного ежемесячного платежа - 7 % от остатка
задолжен-ности (платеж в т.ч. включает начисленные за отчетный период проценты),
- комиссия за снятие наличных в других украинских банках
- 3% + 5 грн
- комиссия за снятие наличных в зарубежных банках - 3%
+ 15 грн / 3 долл США
Таблица 3.5 - Тарифы АКБ «Приватбанк», общие
для всех видов личных карт
|
Наименование тарифа
|
Тариф банка
|
|
Комиссия
за снятие наличных в системе ПриватБанка (в т.ч. банкоматах), без НДС
|
1%
|
|
Комиссия
за снятие наличных в системе МКПБ (в т.ч. банкоматах), без НДС
|
1%
|
|
Безналичная
оплата товаров/услуг в торговых точках, без НДС
|
0% (кроме TV-card - 3%)
|
|
Безналичное
зачисление средств
|
0%
|
|
Безналичные платежи с карточных Счетов (с проведением
операционистом в отделении банка)
|
1% от суммы платежа (min 2 грн., max 100 грн).
|
|
Внутрибанковский перевод средств (в отделении банка)
со счетов, в т.ч. карточных, на депозитные кредитные счета одного и того же лица
(кроме платежей с кредитных карт).
|
2 грн
|
|
Открытие
дополнительного карточного счета "ВОЯЖ" сроком 1 год, без НДС
|
Экв. 100 долл. США
|
|
Открытие дополнительного карточного счета "ВОЯЖ"
сроком 2 года, без НДС
|
Экв. 200 долл. США
|
|
Комиссия
за снятие наличных в отделении ПриватБанка, в котором открыт карточный счет (при
условии, если средства были внесены наличными на карточный счет в этом же отделении),
без НДС
|
0% (снятие наличных в валюте картсчета)
1% (снятие наличных в валюте, отличной от валюты картсчета)
выдача остатка по Интернет-карте – 1%
|
|
Комиссия
за снятие наличных в зарубежных банках/банкоматах, без НДС
|
1% + 15 грн (3 долл. США)
|
|
Комиссия за снятие наличных в других украинских банках/банкоматах,
без НДС
|
1% + 5 грн
|
|
Блокировка
доступа к карточному счету, без НДС
|
0 (кроме Internet карты и TV-card - экв.1 долл. США)
|
|
Открытие карточного счета в связи с повышением класса
карты с VISA Electron на VISA Classic, без НДС
|
|
Открытие карточного счета в связи с повышением класса
карты с VISA Classic на VISA Classic Фотокарта, без НДС
|
25 грн (5 долл. США)
|
|
Открытие карточного счета в связи с повышением класса
карты с VISA Classic на VISA Gold, без НДС
|
150 грн 30 долл. США
|
|
Открытие
карточного счета в связи с повышением класса карты с Gold на Platinum, без НДС
|
экв. 100 долл. США
|
|
Дополнительная
комиссия за снятие наличных в других банках/банкоматах в сумме, превышающей экв.
50000 грн. в течение одного месяца (% от суммы превышения), без НДС
|
1% (кроме Platinum – 0%)
|
|
Предоставление
подтверждающих документов по просьбе клиента* (платежных документов, получаемых
по запросу в банк-эквайер, торговые точки, и т.п.), без НДС
|
50 грн (10 долл. США, 10€) (кроме Gold и Platinum – 0)
|
|
Плата
за превышение платежного лимита
|
150% действующей процентной ставки по кредитному лимиту
|
|
Плата
за несвоевременное погашение кредитного лимита
|
200% процентной ставки по кредитному лимиту
|
|
Тариф
за выдачу наличных в иностранной валюте в системе ПриватБанка по картам, эмитированным
другими банками:
|
- в банкоматах в гривне - 0%, в валюте - от 3%
- в отделениях банка (в т.ч. cash-терминалах) - 3%
(кроме карт банков-агентов и банков-партнеров, тарифы
по которым устанавливаются отдельными договорами или др. документами).
|
|
Плата
за обслуживание неактивного* карточного счета, в месяц, без НДС
|
экв 5 грн
|
* - неактивный - карточный счет, на
который течение 3 месяцев после истечения срока действия карты и ее неперевыпуска
отсутствовали поступления средств. В случае если остаток на неактивном карточном
счете меньше экв 5 грн, комиссия устанавливается в размере остатка средств на данном
картсчете.
Для
личных карт продление срока действия карты не производится в случае отсутсвия достаточной
суммы средств для продления либо по заявлению клиента. Для зарплатных и пенсионных
(социальных) карт продление срока действия карты не производится также и в случае
непоступления заработной платы (пенсии, социальных выплат) в течение 6 месяцев.
Плата за пользование кредитным
лимитом определяется действующей ставкой по кредитным лимитам.
* Тариф взимается также при
проведении претензионной работы в случае, если подтверждается обоснованность списания
оспариваемой клиентом транзакции. По транзакциям в сети торговых точек T&E (путешествия
и развлечения, напр. отели, прокат автомобилей, и т.д.) - тариф 30 долл. США ( 30
евро, 150 грн.).
Таблица 3.6 - Пенсионные карты АКБ «Приватбанк»(тарифы)
|
Наименование тарифа
|
VISA Electron Domestic/Cirrus/Maestro Domestic
|
VISA Domestic
|
VISA Classic/ EC/MC Mass
|
|
Открытие
пенсионного карточного счета
|
0
|
7 грн
|
35 грн
|
|
Выполнение
расчетных операций по пенсионному карточному счету в течение года
|
0
|
8 грн
|
20 грн
|
|
Открытие
дополнительного пенсионного карточного счета доверенному лицу
|
5 грн
|
15 грн
|
55 грн
|
|
Выполнение
расчетных операций по дополнительному пенсионному карточному
счету
в течение года (взимается начиная со 2-го года обслуживания)
|
2 грн
|
8 грн
|
20 грн
|
|
Открытие
нового пенсионного карточного счета по инициативе клиента
|
4 грн
|
10 грн
|
30 грн
|
|
Открытие
пенсионного карточного счета в связи с утерей карты
|
5 грн
|
15 грн
|
55 грн
|
|
Зачисление
пенсии и денежной помощи, (целевые зачисления)
|
0%
|
|
Безналичное
пополнение (кроме целевых зачислений)
|
1%
|
|
Пополнение
наличными:
- с физическим
присутствием карты
- без
физического присутствия карты
|
0%
0,75 %
|
|
Минимальный
первоначальный взнос на карточный счет
|
0
|
|
Неснижаемый
остаток
|
0
|
|
Предоставление
подтверждающих документов (по просьбе клиента)
|
20 грн
|
|
Пользование
финансовым кредитным лимитом, % к текущей базовой
кредитной
ставке с понижающим коэффициентом 0.6
|
100%
|
|
Пользование
торговым кредитным лимитом, % к текущей базовой
кредитной
ставке с понижающим коэффициентом 0.6
|
70%
|
|
Превышение
текущего платежного лимита, % к текущей базовой
кредитной
ставке
|
150%
|
|
Несвоевременное
погашение задолженности по кредитному лимиту,
% к текущей
базовой кредитной ставке
|
200%
|
|
Комиссия
за снятие наличных в системе ПриватБанка
|
0
|
|
Комиссия
за снятие наличных в других украинских банках % от суммы
|
1 % +
5 грн
|
|
Комиссия
за снятие наличных в зарубежных банках/банкоматах, % от суммы
|
-
|
1 % +
15 грн
|
|
Безналичная
оплата товаров/услуг
|
0
|
|
Начисление
процентов на остаток по картсчету "Пенсионной пластиковой карты", на
суммы до 5000 грн (включительно)
|
7 % годовых
|
|
|
|
|
|
Таблица 3.7 - Тарифы АКБ «Приватбанк» по недорогим
картам Visa
|
Наименование
|
VISA Electron Domestic Online
|
VISA Electron/ Ukrtelecom
|
|
гривня
|
гривня
|
доллар США
|
|
Открытие
карточного счета, без НДС
|
0
|
5 грн
|
1
|
|
Выполнение
расчетных операций по карточному счету в течение 1 года, без НДС
|
0
|
5 грн
(10 грн для Meridian)
|
1 (2 для Meridian)
|
|
Сумма неснижаемого остатка/страхового депозита не менее
|
-
|
-
|
-
|
|
Начисление
процентов на остаток по карточному счету
|
0%
|
0%
|
|
Открытие
карточного счет (в т.ч. дополнительного) по инициативе клиента либо в случае утери
(кражи) карты, без НДС
|
0
|
5 грн
|
1
|
|
Открытие
дополнительного карточного счета доверенному лицу, без НДС
|
-
|
5 грн
|
1
|
|
Выполнение
расчетных операций по дополнительному карточному счету в течение года (взимается
начиная с 2-го года обслуживания ), без НДС
|
-
|
5 грн
|
1
|
|
Комиссия
за снятие наличных в системе ПриватБанка (в т.ч. банкоматах), без НДС
|
1%
|
1%
|
|
Комиссия
за снятие наличных в системе МКПБ (в т.ч. банкоматах), без НДС
|
1%
|
1%
|
1%
|
|
Комиссия
за снятие наличных в зарубежных банках/банкоматах, без НДС
|
-
|
1% + 15 грн
|
1% + 3 долл. США
|
|
Комиссия
за снятие наличных в других украинских банках/банкоматах, без НДС
|
1% + 5 грн
|
1% + 5 грн
|
1% + 5 грн
|
|
Безналичная
оплата товаров/услуг в торговых точках, без НДС
|
0
|
0
|
|
Безналичное
зачисление средств
|
0%
|
0%
|
|
Плата
за обслуживание неактивного*
карточного счета, в месяц, без НДС
|
экв 5 грн
|
Таблица 3.8 – Тарифы АКБ «Приватбанк» по элитным
картам Visa
|
Наименование
|
VISA Gold
|
VISA Platinum
|
|
|
гривня
|
доллар США
|
доллар США, гривня
|
|
|
Открытие
карточного счета, без НДС
|
250 грн
|
50
|
экв.100
долл. США
|
|
|
Выполнение
расчетных операций по карточному счету в течение 1 года, без НДС
|
600 грн
|
120
|
экв. 100 долл. США
|
|
|
Выполнение
расчетных операций по карточному счету, ежемесячно, без НДС
|
-
|
-
|
экв. 25
долл. США
|
|
|
Сумма неснижаемого остатка/страхового депозита не менее
|
-
|
-
|
-
|
|
|
Начисление
процентов на остаток по карточному счету
|
0%
|
0%
|
|
|
Открытие
карточного счет (в т.ч. дополнительного) по инициативе клиента либо в случае утери
(кражи) карты, без НДС
|
25 грн
|
5
|
0
|
|
|
Открытие
дополнительного карточного счета доверенному лицу, без НДС
|
100 грн
|
20
|
экв. 100
долл. США
|
|
|
Выполнение
расчетных операций по дополнительному карточному счету в течение года (взимается
начиная с 2-го года обслуживания ), без НДС
|
100грн
|
20
|
экв. 100 долл. США
|
|
|
Комиссия
за снятие наличных в системе ПриватБанка (в т.ч. банкоматах), без НДС
|
1%
|
1%
|
|
|
Комиссия
за снятие наличных в системе МКПБ (в т.ч. банкоматах), без НДС
|
1%
|
1%
|
1%
|
|
|
Комиссия
за снятие наличных в зарубежных банках/банкоматах, без НДС
|
1% + 15 грн
|
1% + 3 долл. США
|
1% + 15 грн/3 долл. США
|
|
|
Комиссия
за снятие наличных в других украинских банках/банкоматах, без НДС
|
1% + 5 грн
|
1% + 5 грн
|
1% + 5 грн
|
|
|
Блокировка
доступа к карточному счету, без НДС
|
0
|
0
|
0
|
|
|
Безналичная
оплата товаров/услуг в торговых точках, без НДС
|
0
|
0
|
|
Безналичное
зачисление средств
|
0%
|
0%
|
|
|
Плата
за обслуживание неактивного*
карточного счета, в месяц, без НДС
|
экв 5 грн
|
|
АКБ «Приватбанк» расширяет рынок платежно-кредитных услуг
с использованием пластиковых карт и автоматов банковского самообслуживания внедряя
новое поколение пластиковых карт мгновенного выпуска :
- Миттєва (Мгновенная)
-
Maestro
Prepaid
-
Travel Card
Миттєва – международная карта мгновенного выпуска,
выпускаемая ПриватБанком на платформе Maestro международной платежной системы MasterCard
International, оформляется в любом отделении ПриватБанка.
Миттєва интересна прежде всего людям,
ценящим свое время, отправля-ющимся в отпуск, командировку. Карта является международной,
и дает право на обслуживание, как в Украине, так и за рубежом.
Срок действия карты – 3 года.
Владельцы данной карты могут использо-вать ее только в банкоматах и терминалах с
возможностью ввода ПИН-кода.
Преимущества
карты Миттєва:
- моментальная выдача карты
- удобство и простота оформления (минимум документооборота)
- валюта по выбору (гривна, доллары США или евро)
- не нужно заботится о конвертации валюты, т.к. наличные при снятии автоматически
конвертируются в валюту страны пребывания
- карта не персонализирована (на карте не указываются сведения
о ее владельце)
- получение наличных в банкоматах в любой стране мира
Чтобы
оформить пластиковую карту ПриватБанка Миттєва
необходимо:
- заполнить и подписать заявление,
которое входит в состав договора с ПриватБанком на оформление карты мгновенного
выпуска;
- внести или перечислить
денежные средства на открытый для Вас специальный карточный счет.
Документы,
необходимые для открытия карты:
- Гражданский паспорт;
- Идентификационный код налогоплательщика.
MAESTRO-PREPAID - предоплаченная
расчетная карта мгновенного выпуска. Карта предоставляет возможность использовать
ее в качестве "подарка". Не менее важное преимущество нового банковского
продукта заключается в том, что в силу “безымянности” карты время ее выпуска заметно
сократилось, что делает ее незаменимой в случае срочного отъезда в командировку
или на отдых.
Maestro
Prepaid МЕЖДУНАРОДНАЯ. Валюта - USD, UAH, EUR
Максимальный взнос - 1000грн,
(150 USD, 150 EUR)
Особенности
Maestro Prepaid:
- Моментальная выдача карты,
минимум времени на заполнение документов, простота использования.
- Средства на карте доступны
сразу после приобретения карты (в реальном режиме времени).
- Владельцы данной карты
могут использовать ее только в банкоматах и терминалах с возможностью ввода ПИН-кода.
- Так как карту Maestro Prepaid
(международную) можно использовать за рубежом, то КЛИЕНТУ не нужно заботиться о
конвертации валюты - он имеет возможность снимать наличные в валюте страны пребывания.
При внесении средств на карту
применяется упрощенный порядок идентификации, при котором предъявление клиентом
паспорта и ИНН – по желанию клиента.
Пластиковая карта мгновенного выпуска Travel Card - это
международная карта, созданная специально
для Путешественников. Карта предоставляется клиентам в туристических
компаниях Украины (получение карты непосредственно при оформлении туристических
путевок), при приобретении билетов в аэропортах, вокзалах. Оформляется без внесения
страхового депозита.
Преимущества
Travel Card:
- мобильность,
простота и удобство получения банковской услуги - в удобное время,
в удобном месте
- валюта по выбору: гривна, евро, доллары США
- получение наличных в банкоматах в любой стране мира
- приобретение карты в туристических компаниях Украины
Аналогов на Украине нет. Чтобы оформить пластиковую карту
ПриватБанка Travel Card
необходимо:
- заполнить заявление и подписать договор об обслуживании
платежной карты с ПриватБанком;
- внести денежные средства на открытый для Вас специальный
карточный счет.
Особенности оформления Travel Card:
- можно внести денежные средства
на карту, передав их лицу, осуществившему выдачу карты (непосредственно в турагенстве),
или обратившись с Договором-заявлением в отделения Банка.
- Первое пополнение - наличными.
- В дальнейшем можно пополнять
карту как наличным, так и безналичным способом.
В таблице 3.10 представлены операции и тарифы по пластиковым
картам АКБ «Приватбанк» мгновенного выпуска.
Новым проектом АКБ «Приватбанк», расширяющим и улучшающим
условия денежных переводов, является международный проект "Удобные переводы"
- Новый способ денежных переводов от ПриватБанка и VISA:
-
наличными на карту
- с карты
на карту
Новая услуга позволяет посылать
деньги прямо на карту VISA Вашим близким, друзьям или деловым партнерам. Отосланные
деньги автоматически направляются на их карту VISA, где бы они ни находились.
В таблице 3.10 приведены тарифы системы «Удобные переводы».
Таблица 3.9 - Карты мгновенного выпуска АКБ
«Приватбанк» (тарифы)
|
Наименование
тарифа
|
Maestro Prepaid*
|
Найкращий подарунок
|
Миттєва
|
Travel Card
|
|
International
грн, ДОЛЛ. США, евро
|
International
грн
|
International грн, ДОЛЛ. США, евро
|
International грн, ДОЛЛ. США, евро
|
|
Открытие
картсчета и выполнение расчетных операций по карточному счету, без НДС
|
0
|
-
|
10 грн
/ 2 долл. США / 2 евро
|
0
|
|
Пополнение
карточного счета, без НДС
|
1%(min
5 грн, 1ДОЛЛ. США, 1евро) от суммы взноса на карту
|
0
|
0
|
1%
|
|
Комиссия
за снятие наличных в системе ПриватБанка (для международных - и в сети Москомприватбанка),
без НДС
|
0%
|
2%
|
1%
|
0%
|
|
Комиссия
за снятие наличных в других укр. банках , без НДС
|
1% + 5
грн
|
2% + 5
грн
|
1% + 5
грн
|
1% + 5
грн
|
|
Комиссия
за снятие наличных в зарубежных банках, без НДС
|
1% + 15
грн (3 ДОЛЛ. США, 3 евро)
|
2% + 15
грн
|
1% + 15
грн (3 ДОЛЛ. США, 3 евро)
|
1% + 15
грн (3 ДОЛЛ. США, 3 евро)
|
|
Оплата
в торгово-сервисной сети, без НДС
|
0%
|
0%
|
0%
|
-
|
|
Минимальный
взнос на карту
|
0
|
100 грн
|
-
|
-
|
|
Максимальный
взнос на карту**
|
1000 грн
(150ДОЛЛ. США, 150евро)
|
1000 грн
|
-
|
-
|
|
Плата
за обслуживание неактивного*** карточного счета, в месяц, без НДС
|
экв 5
грн
|
экв 5
грн
|
экв 5
грн
|
экв 5
грн
|
Таблица
3.10 - Тарифы на оказание услуг по переводу денежных
средств в долларах США, Тарифы на оказание услуг по переводу денежных средств на
карту Visa (в гривневом эквиваленте) – АКБ «Приватбанк» - «Удобные переводы»
|
Сумма
операции
|
Перечисление
на/между картами ПриватБанка,$
|
Перечисление
на/между картами украинских банков,$
|
Перечисление
на/между картами зарубежных банков,$
|
|
Операция
"Наличные - карта"
|
|
1 $ -
10 $
|
0
|
1
|
3
|
|
11 $ -
20 $
|
0
|
2
|
3
|
|
21 $ -
50 $
|
0
|
3
|
4
|
|
51 $ -
100 $
|
0
|
5
|
5
|
|
101 $
- 150 $
|
0
|
6
|
7
|
|
151 $
- 200 $
|
0
|
7
|
8
|
|
201 $-
500 $
|
0
|
8
|
12
|
|
501 и
более
|
0
|
25
|
|
Операция
"Карта-карта" в отделении
|
|
1 $ -
10 $
|
1% min
1грн. (0,20$)
|
1
|
3
|
|
11 $ -
20 $
|
1% min
1грн. (0,20$)
|
2
|
3
|
|
21 $ -
50 $
|
1% min
1грн. (0,20$)
|
3
|
4
|
|
51 $ -
100 $
|
1% min
1грн. (0,20$)
|
5
|
5
|
|
101 $
- 150 $
|
1% min
1грн. (0,20$)
|
6
|
7
|
|
151 $
- 200 $
|
1% min
1грн. (0,20$)
|
7
|
8
|
|
201 $-
500 $
|
1% min
1грн. (0,20$)
|
11
|
12.5
|
|
501 и
более
|
1% min
1грн. (0,20$)
|
20
|
25
|
|
Операция
"Карта - карта" в Приват 24
|
|
1 $ -
10 $
|
0.05
|
1
|
3
|
|
11 $ -
20 $
|
0.05
|
2
|
3
|
|
21 $ -
50 $
|
0.05
|
3
|
4
|
|
51 $ -
100 $
|
0.8
|
5
|
5
|
|
101 $
- 150 $
|
0.8
|
6
|
7
|
|
151 $
- 200 $
|
0.8
|
7
|
8
|
|
201 $-
500 $
|
0.8
|
11
|
12.5
|
|
501 и
более
|
3
|
20
|
25
|
|
Операция
"Карта - карта" в банкомате
|
|
|
1 гривня
|
1.8%+1$
|
1.9%+3$
|
На графиках рисунка 3.2 представлен
анализ эффективности внедрения диверсификационного развития операций с пластиковыми
карточками для увеличения комиссионных доходов АКБ «Приват-банк» от расчетно-кассовых
операций с клиентами.
Рисунок 3.2 - Динамика структурной части комиссионных
доходов от операций с пластиковыми карточками в общем объеме комиссионных доходов
АКБ «Приватбанк» от расчетно-кассовых операций с клиентами
Как показывает анализ графиков рисунка 3.11
внедрение диверсификационного расширения АКБ «Приватбанк» номенклатуры и пунктов
обслуживания пластиковых карточек привело к постепенному увеличению их весовой доли
в суммарных комиссионных доходах от операций банка по расчетно-кассовому обслуживанию
клиентов с уровня 16,55% в 1999 году до уровня 65,73% в 2006 году.
ВЫВОДЫ
Предметом исследований дипломной работы являются выявление
влияния тарифной политики банка на комиссионные доходы банка - доходы по всем услугам,
предоставленным контрагентам банка, кроме комиссионных, которые подобны по природе
процентам:
1) комиссии, которые являются неотъемлемой частью финансового
инструмента (например, комиссии за осуществление оценки финансового состояния заемщика,
оценки гарантий, залогов, за обсуждение условий кредита, за подготовку и обработку
документов);
2) комиссии, полученные (уплаченные) на протяжении периода
предоставления услуг (например, за обслуживание кредита);
3) комиссии, полученные (уплаченные)
после выполнения определенных действий (например, за услуги банку - координатору
консорциума).
В соответствии с
алгоритмом Национального банка Украины в исследованиях дипломного проекта банковская
система разбита на 4 рейтинговые группы по уровню валюты баланса банка: 1 группа
– 12 банков (системообразующие банки); 2 группа – 15 банков (большие банки); 3 группа
– 28 банков(средние банки); 4 группа – 111 банков (малые банки).
Проведенный анализ
структуры доходов в указанных группах по состоянию на 01.01.2005, 01.01.2006, 01.07.2006
показывает наличие в банковской системе Украины
следующих тенденций в структурном месте комиссионных доходов в суммарном операционном
доходе банков:
а) Процентная структурная доля комиссионных доходов в 4
группах бан-ков имеет 2 тенденции – снижение доли по мере уменьшения валюты активов
баланса банка (фактор размерности банка) и снижение доли по мере развития операций
в банковской системе по времени (временной фактор):
-
38,0%(01.01.2005) - 32,0 % (01.07.2006)
– для 1 группы;
-
34,0%(01.01.2005) - 32,0 % (01.07.2006)
– для 2 группы;
-
32,0%(01.01.2005) - 27,0 % (01.07.2006)
– для 3 группы;
-
30,0%(01.01.2005) - 26,0 % (01.07.2006)
– для 4 группы;
б) Комиссионная доходность активов валюты баланса в 4 группах
банков также имеет 2 тенденции – снижение уровня доходности по мере уменьшения валюты
активов баланса банка (фактор размерности банка) и снижение уровня доходности по
мере развития операций в банковской системе по времени (вре-менной фактор):
-
3,5%(01.01.2005) - 2,7 % (01.07.2006)
– для 1 группы;
-
2,6%(01.01.2005) - 2,1 % (01.07.2006)
– для 2 группы;
-
2,4%(01.01.2005) - 2,2 % (01.07.2006)
– для 3 группы;
-
2,5%(01.01.2005) - 1,9 % (01.07.2006)
– для 4 группы;
Проведенный анализ индивидуальных
структур и динамики процентных долей комиссионных доходов в банках 1 группы по состоянию
на 01.01.2005, 01.01.2006, 01.07.2006 года показывают отсутствие единого стратегического
подхода по формированию комиссионных доходов даже в малой группе 12 системообразующих
банков. Так, у первых трех банков Украины (АКБ«Приватбанк», АКБ «Аваль», АКБ «Проминвестбанк»)
- наиболее значительная доля комиссионных доходов в операционном доходе банка (35-38%),
а 12 банк 1 группы ( АКБ «Укрпромбанк») имеет структурную долю комиссионных дохо-дов
в 4 раза ниже (9-10%), чем ведущий банк АКБ «Приватбанк».
Детально исследуемый в дипломном проекте АКБ
«Приватбанк» является лидером среди украинских коммерческих банков по количеству
клиентов: его услугами пользуются свыше 16% населения Украины.
Технологическая инфраструктура АКБ «Приватбанк»
по состоянию на 01.09.2006 года характеризуется как:
-
количество филиалов и отделений
по Украине – 2 224;
-
количество автоматов самообслуживания
(банкоматов) по
Украине – 3 234;
-
количество платежных POS-терминалов
в сети торговли и услуг
Украины – 18 695;
-
количество эмитированных
пластиковых карточек для безналичных
расчетов и работы с автоматами самообслуживания
– 11 119 398;
- количество счетов юридических лиц – 233 599;
- количество счетов физических лиц-предпринимателей
– 192 029.
Состоянием на 01.01.2006
года (по результатам 2005 года) АКБ „Приватбанк” является лидером и занимает следующие
рейтинговые места в банковской системе Украины :
- Объем валюты активов баланса
– 21 664,360 млн.грн.( 1 место);
- Объем собственного капитала
– 2 307,466 млн.грн.( 1 место);
- Объем уставного капитала
– 189,228 млн.евро( 2 место);
- Объем кредитно-инвестиционного
портфеля
– 16 763,230 млн.грн.( 1
место);
- Объем текущих и срочных
депозитов физических лиц
– 9 966,027 млн.грн.( 1 место);
- Объем текущих и срочных
депозитов юридических лиц
– 4 016,333 млн.грн.( 3 место);
- Объем балансовой прибыли
– 472,042 млн.грн.( 1 место);
- Прибыльность уставного
капитала – 41,774 % ( 11 место);
- Прибыльность активов баланса – 2,179 % (
6 место);
Проведенный анализ динамики и структуры комиссионных
доходов АКБ «Приватбанк» в 2003 – 2006 годах показал, что они характеризуются следующими
показателями:
а) Устойчивым ростом объемов комиссионных доходов
с уровня 483,8 млн.грн. в 2003 году до:
-
606,1 млн.грн. в 2004 году(прирост
составляет +25,3%);
-
870,9 млн.грн. в 2005 году
(прирост составляет + 43,7%);
-
1 270,6 млн.грн. в 2006
году по данным прогноза за полугодие (прирост составляет +45,8%);
б) Повышением структурной доли комиссионных
доходов за расчетно-кассовое обслуживание клиентов и банков с уровня 27,45% в 2003
году до:
-
66,0 % в 2004 году;
-
77,1 % в 2005 году;
-
77,6 % в 2006 году по данным
прогноза за полугодие;
в) Понижением структурной доли комиссионных
доходов за операции на валютных рынках для клиентов с уровня 19,75% в 2003 году
до:
-
7,9 % в 2004 году;
-
5,42 % в 2005 году;
-
3,37 % в 2006 году по данным
прогноза за полугодие;
г) Повышением структурной доли комиссионных
доходов за операции кредитного обслуживания клиентов с уровня 2,71% в 2003 году
до:
-
12,2 % в 2004 году;
-
4,4 % в 2005 году;
-
10,63 % в 2006 году по
данным прогноза за полугодие;
д) Повышением структурной доли комиссионных
доходов за операции с ценными бумагами клиентов с уровня 2,65% в 2003 году до:
-
5,44 % в 2004 году;
-
12,42 % в 2005 году;
-
6,03 % в 2006 году по данным
прогноза за полугодие;
Таким образом, суммарная процентная доля указанных
4-х секторов комиссионных доходов АКБ «Приватбанк» в 2005 – 2006 годах составила
97,6-99,34 % и определяет стратегическое направление развития комиссионных доходов
в банке.
Для выявления влияния тарифов комиссионных операций на
структуру формирования относительной доли комиссионных доходов в операционных доходах
банка и комиссионную доходность активов в дипломном проекте проведено совместное
исследование тарифов в АКБ «Приватбанк» и АКБ «Финбанк» (Одесса).
Состоянием на 01.01.2006
года (по результатам 2005 года) АКБ „Финбанк” (Одесса) входит в 4 группу малых банков
Украины (111 банков) и занимает 105 - 110 рейтинговые места в банковской системе
Украины (165 банков):
- Объем валюты активов баланса
– 211,630 млн.грн.( 105 место);
- Объем балансовой прибыли
– 3,30 млн.грн.( 72 место);
- Прибыльность уставного
капитала – 6,87 % ;
- Прибыльность активов баланса – 1,56 %;
Таким образом, сравниваемые АКБ “Приватбанк» и АКБ «Финбанк»
по масштабам валюты баланса отличаются в 100 раз – объем валюты баланса АКБ «Финбанк»
составляет 0,97% от объема валюты баланса АКБ «Приватбанк, объем балансовой прибыли
АКБ «Финбанк» составляет 0,7% от объема балан-совой прибыли АКБ «Приватбанк.
Относительное масштабирование показателей комиссионных
доходов через нормирование на объем валюты баланса показало, что:
а) Относительный уровень комиссионной доходности валюты
баланса в АКБ «Приватбанк» в 2006 году составил 4,45%, относительная доля комисси-онных
доходов в операционных доходах составила 38,68%;
б) Относительный уровень комиссионной доходности валюты
баланса в АКБ «Финбанк» в 2006 году составил 1,22%, относительная доля комиссион-ных
доходов в операционных доходах составила 24,02%;
Проведенный совместный анализ тарифов комиссионных операций
показал, что:
а) конкуренция между банками с учетом многофилиальности и наличия
в г.Одессе не только коммерческого банка АКБ «Финбанк», но и регионального управления
АКБ «Приватбанк»(Днепропетровск), приводит к универсализации тарифов на основные
банковские услуги. Так; клиентская стоимость денежных переводов в системе WESTERN UNION, а также комиссии по
обслуживанию эмитированных банками пластиковых карт VISA, являются одинаковыми.
б) тарифная политика, в основном, формируется в зависимости
от объема фактической клиентуры банка, привлекаемой комплексом новейших телекоммуникационных
услуг и услуг банковского самообслуживания. Одновременно, объем валюты баланса,
собственного страхового капитала и резервных фондов банка существенно влияют на
тарифы по некоторым комиссионным операциям. Так, тарифы на банковские гарантии в
АКБ «Приватбанк» составляют 0,2%(но не более 3800 грн.) в гривнах и 0,3% (но неболее
4300 грн.) в валюте, а в АКБ «Финбанк» тарифы на банковские гарантии составляют
3-5% в гривнах и 1-3% в валюте
в) существенное влияние на уровень тарифов оказывает финансовая
мощь и рейтинг банка в банковской системе Украины, который позволяет диктовать свои
цены на определенный сектор банковских услуг. Так, тарифы комиссии на подготовку
и обслуживание кредитных проектов в АКБ «Приватбанк» составляют до 2% от суммы кредита,
а в АКБ «Финбанк» - не более 180 грн. Тарифы на расчетно-кассовое обслуживание клиентов
при перечислении средств по системе СЭП НБУ в другой банк составляют в АКБ «Финбанк»
- 2 грн. за 1 платеж, а в АКБ «Приватбанк» тарифицированы по шкале (табл.2.4) от
0,36 грн.при суме платежа до 50 грн. до 29,70 грн. за платеж на суму 100000 грн..
Таким образом, в АКБ «Приватбанк» положительно решен вопрос
о себестоимости «электронных платежей» в СЭП НБУ и «малыми» платежами за счет перераспределения
нагрузки комиссии с «малых» платежей на «крупные», что существенно повышает привлекательность
АКБ «Приватбанк» для населения и частных предпринимателей.
г) большое количество клиентов позволяет АКБ «Приватбанк» снизить
тарифы на комиссионные услуги по покупке продаже валюты клиентов на меж-банковском
валютном рынке до 0,1 – 0,2%, тогда как тарифы в АКБ «Финбанк» составляют на ниже
0,35% и он, в основном, обслуживает только своих клиентов.
д) борьба АКБ «Финбанк» за клиентов приводит к снижению тарифов
по комиссии за получение наличных по пластиковым картам АКБ «Финбанк» в банкоматах
АКБ «Финбанк» до 0,2%, в то время как АКБ «Приватбанк» сохраняет уровень тарифов
1% для своих клиентов.
Таким образом, в условиях
неравной банковской конкуренции в банковской системе Украины относительная комиссионная
доходность валюты баланса банка являются возрастающей функцией от абсолютного объема
валюты баланса банка, которая определяется объемом клиентуры и собственным капиталом
банка, позволяющим привлечь 8-ми кратное количество заемных ресурсов.
Тарифная политика банка формируется под влиянием двух факторов:
а) при предоставлении банковских услуг, имеющих высокий
спрос клиентов и большой уровень предложения со стороны конкурирующих банков, уровень
тарифов имеет «жизненный цикл» развития – от минимума при привлечении клиентов до
максимума за счет качественного улучшении предоставления и финансовой мощи банка;
б) при предоставлении банковских услуг, имеющих высокий
спрос клиентов и малый уровень предложения со стороны конкурирующих банков («незанятая
ниша»), уровень тарифов имеет «жизненный цикл» развития – от максимума при привлечении
клиентов до минимума при появлении в секторе конкурентов;
В качестве перспективных направлений развития операций
банковских услуг и увеличения комиссионных доходов коммерческих банков в дипломной
работе рассмотрены два следующих направления освоения «незанятых ниш» рынка банковских
услуг на примере деятельности АКБ «Приватбанк»:
- развитие кастодиальных операций по регистраторскому,
депозитарному хранению и обслуживанию ценных бумаг клиентов;
- диверсификационная стратегия развитии операций с пластиковыми платежно- кредитными карточками во всех
сегментах расчетно-кассового обслуживания клиентов (внедрение сегмента недорогих
и элитных карт, внедрение сегмента пенсионных карт, внедрение нового сегмента карт
мгновенного выпуска, внедрение проекта «Удобные переводы» с переводом денежных средств
сразу на пластиковую карточку адресата с возможностью получения средств в удобное
время);
Проведенный в дипломной работе анализ показал,
что :
а) внедрение кастодиальных услуг в АКБ «Приватбанк»
привело на фоне непривлекательности рынка государственных ценных бумаг к постепенному
увеличению их весовой доли в суммарных комиссионных доходах от операций банка с
ценными бумагами клиентов:
- по операциям регистратора с уровня 0,55%
в 1999 году до уровня 8,56% в 2006 году;
- по операциям депозитария с уровня 25,74%
в 1999 году до уровня 89,4% в 2006 году;
б) внедрение диверсификационного расширения
АКБ «Приватбанк» номенклатуры и пунктов обслуживания пластиковых карточек привело
к постепенному увеличению их весовой доли в суммарных комиссионных доходах от операций
банка по расчетно-кассовому обслуживанию клиентов с уровня 16,55% в 1999 году до
уровня 65,73% в 2006 году.
Практическая ценность полученных результатов дипломного
исследования по основным факторам влияния характеристик коммерческого банка и его
рыночной тарифной политики на уровень комиссионных доходов состоит в том, что в
современных условиях конкуренции 12 основных банков Украины с остальными 145 банками
уровень комиссионных доходов имеет стандартный уровень 27 – 30% в операционном доходе
банка и поднимается до 35 – 38% в 12 системообразующих банках Украины, которые занимают
более 50% банковского рынка и конкурентно формируют тарифную политику остальной
банковской системы, создавая для себя определенные «монопольные ниши» высокодоходных
комиссионных операций.
СПИСОК ИСПОЛЬЗОВАННЫХ
ИСТОЧНИКОВ ССЫЛОК
1. ЗАКОН УКРАЇНИ „Про банки і банківську діяльність” // від 7 грудня 2000
року N 2121-III (Із змінами і доповненнями, внесеними Законами України станом від
22 грудня 2005 року N 3273-IV) // Законодавча-довідкова система законодавства України
WWW.LIGA-ZAKON.COM.UA , квітень 2006 року
2. Закон України “Про Національний
банк України” // від 20 травня 1999 року N 679-XIV (станом на 10.01. 2002 року N
2922-III)// Законодавча-довід-кова система законодавства України WWW.LIGA-ZAKON.COM.UA
, квітень 2006 року
3. Закон України “Про господарські
товариства”//від 19 вересня 1991 року N1576-XII ( від 17 травня 2001 року N 2409-III)
// Законодавча-довідкова система законодавства України WWW.LIGA-ZAKON.COM.UA , квітень
2006 року
4. Закон України “ Про платіжні
системи та переказ грошей в Україні” // від 5 квітня 2001 року N 2346-III // Законодавча-довідкова
система законодавства України WWW.LIGA-ZAKON.COM.UA , квітень 2006 року
5. Перелік і тарифи на послуги
процесингу, що надаються банкам – членам міжнародних платіжних систем Центральним
міжбанківським процесинговим центром Центральної розрахункової палати Національного
банку України // Постанова Правління Національного банку України від 17 липня 2001
р. N 280 // Законодавча-довідкова система законодавства України WWW.LIGA-ZAKON.COM.UA
, квітень 2006 року
6. Положення про управління ризиками та формування і використання
страхових фондів для забезпечення проведення міжбанківських розрахунків у гривнях
за операції, що здійснюються за допомогою банківських платіжних карток міжнародної
платіжної системи VISA International // Постанова Правління Національного банку
України від 20.11.98 р. N 490 // Законодавча-довідкова система законодавства України
WWW.LIGA- ZAKON.COM.UA , квітень 2006 року
7. Положення
про міжбанківські розрахунки за операції, що здійснюються із застосуванням банківських
платіжних карток міжнародної платіжної системи VISA International //Постанова Правління
Національного банку України від 20.11.98 р. N 490 // Законодавча-довідкова система
законодавства України WWW.LIGA-ZAKON.COM.UA , квітень 2006 року
8. Положення про впровадження
пластикових карток міжнародних платіжних систем у розрахунках за товари, надані
послуги та при видачі готівки // Постанова Правління Національного банку України
від 24 лютого 1997 р. N 37 / від 27 грудня 2000 року N 508 // Законодавча-довідкова
система законодавства України WWW.LIGA-ZAKON.COM.UA , квітень 2006 року
9. Положення “ Про порядок
емісії платіжних карток і здійснення операцій з ними” // Постанова Правління Національного
банку України від 27 серпня 2001 року N 367 // Законодавча-довідкова система законодавства
України WWW.LIGA-ZAKON.COM.UA , квітень 2006 року
10. Про затвердження Плану
рахунків бухгалтерського обліку банків України та Інструкції про застосування Плану
рахунків бухгалтерського обліку банків України // Постанова Правління Національного
банку України від 17 червня 2004 року N 280 (Із змінами і доповненнями, внесеними
постановами Правління Національного банку України станом від 1 грудня 2005 року
N 457) // Законодавча-довідкова система законодавства України WWW.LIGA- ZAKON.COM.UA
, квітень 2006 року
11. Про затвердження Інструкції
про порядок складання та оприлюднення фінансової звітності банків України // Постанова
Правління Національного банку України від 7 грудня 2004 року N 598 (Із змінами і
доповненнями, внесеними постановами Правління Національного банку України станом
від 13 березня 2006 року N 82) // Законодавча-довідкова система законодавства України
WWW.LIGA-ZAKON.COM.UA , квітень 2006 року
12. Правила бухгалтерського обліку операцій з використанням платіжних
карток у банках України // Постанова Правління Національного банку України від 17
грудня 2001 року N 524 (Із змінами і доповненнями, внесе- ними постановою Правління
Національного банку України станом від 19 березня 2003 року N 123) // Законодавча-довідкова
система законодавства України WWW.LIGA-ZAKON.COM.UA , квітень 2006 року
13. Правила бухгалтерського
обліку доходів і витрат банків України // Постанова Правління Національного банку
України від 18 червня 2003 року N255 // Законодавча-довідкова система законодавства
України WWW.LIGA-ZAKON.COM.UA , квітень 2006 року
14. Аналіз банківської діяльності:
Підручник / А.М.Герасимович та ін.; За ред. А.М.Герасимовича. — К.: КНЕУ, 2003.— 599 с.
15. Банківський менеджмент: Навч. посібник / За ред. О.А. Кириченка.
– К.: Знання-Прес, 2002. – 438 с.
16. Банківські операції:
Підручник / За ред. А. М. Мороз. — К.: КНЕУ, друге видання. — 2002. — 476 с.
17. Банковское
дело: Учебник /Под ред. О.И.Лаврушина – Москва, «Фи-нансы и статистика», 1998 –
576 с.
18. Банківські операції:
Підручник. – 2-ге вид., випр. і доп./ А.М.Мороз, М.І.Савлук, М.Ф.Пуховкіна та ін.;
За ред. д-ра екон. наук, проф. А.М.Мороза. – К.: КНЕУ, 2002. – 476 с.
19. Васюренко
О.В. Банківські операції : Навчальний
посібник . – 4-те вид., перероблене і доповнене – Київ: Знання, 2004. – 324 с. –
(Вища освіта ХХІ століття)
20. Васюренко
Л.В., Федосік І.М. Ресурси комерційного
банку: теоретич-ний та прикладний аналіз: Монографія. – Харків:
ПП Яковлєва, 2003. – 88 с.
21. Гриджук Д.М.
Забезпечення кредитних зобов"язань у діяльності банків/ Д.М.Гриджук, В.О.Олійник.-
Київ: Істина, 2001.- 256с.
22. Гроші та кредит: Підручник
/ За ред. проф. М. І. Савлука. — К.: КНЕУ, 2002. — 578 с.
23. Деньги, кредиты,
банки : Учебник/ Под ред. О.И. Лаврушина. -2-е изд. Перераб. и доп. -М.: Финансы
и статистика, 2000
24. Ефимова М.Р., Ганченко О.И., Петрова
Е.В. Практикум по общей теории статистики: Учебное пособие. – Москва: Финансы и
статистика, 2000.
25. Ізмайлова К.В. Фінансовий
аналіз: Навч.посібник.- К.: МАУП,2000
26. Ишринская
Е.Б. Операции коммерческих банков : российский и зарубежный опыт. -М.: Финансы и
статистика 1995.- 450 с.
27. Коцовська
Р., Ричаківська В та інш. Операції комерційних банків – Львів : ЛБІ НБУ, 2001 –
276 с.
28. Краевая А. Дифференциация
обслуживания как часть банковской стратегии // Банковская практика за рубежом, Агентство <<Стандарт>>, №2, 2006,
с.42-43
29. Лагутин В.Д. Кредитование
: теория и практика. Учебное пособие.- 3 –е изд- К.: «Знание», 2002, 215 с.
30. Миллер Р.Л., Ван-Хуз
Д.Д. Современные деньги и банковское дело / Пер.с англ. – М.: ИНФРА - М, 2000. –
856 с.
31. Полфреман
Д. Основы банковского дела /Пер. с англ. – М.:ИНФРА-М, 1996. – 624 с.
32. Примостка
Л.О. Аналіз банківської діяльності: сучасні концепції, методи та моделі: Монографія.
— КНЕУ, 2002.— 316 с.
33. Примостка
Л.О. Фінансовий менеджмент у банку: Підручник. — 2-е вид., доп. і перероб. — К.:
КНЕУ. 2004. — 468 с.
34. Роуз П.С.
Банковский менеджмент. Пер. с англ. со 2-го изд.— М.: «Дело ЛТД»,1995.— 768 с.
35. Современные технологии
для банка // Журнал «Банковские технологии», Россия, № 4, 2004. – с.32- 48.
36. Шевченко
Р. І. Банківські операції : Навч.-метод. посіб. для самост. вивч. дисципліни / Київський
національний економічний ун-т - К. : КНЕУ, 2003. – 276с.
37. Эдгар М. Управление финансами в коммерческих банках / Пер.с
англ. – М.: Альпина Бизнес Букс, 2004. – 208 с.
38. Офіційний сайт НБУ – HTTP://www.bank.gov.ua
39. Офіційний сайт АКБ “Приватбанк”
– HTTP:// WWW.PRIVATBANK.DP.UA
40. Офіційний сайт Асоціації
банків України – HTTP:// WWW.AUB.COM.UA
41. Законодавчо-довідкова
система законодавства України – HTTP:// WWW.LIGA-ZAKON.COM.UA
Приложение
А
Основные показатели
деятельности банковской системы Украины за 2000 – 2006 роки (млн.грн.) [34]
|
№
|
Показники
|
Дата
|
|
01.01.
2001
|
01.01.
2002
|
01.01.
2003
|
01.01.
2004
|
01.01.
2005
|
2006
|
|
01.01
|
01.02
|
01.03
|
01.04
|
01.05
|
01.06
|
01.07
|
01.08
|
01.09
|
|
1.
|
Кількість
зареєстрованих банків
|
195
|
189
|
182
|
179
|
181
|
186
|
188
|
189
|
188
|
187
|
188
|
188
|
187
|
190
|
|
2.
|
Виключено
з Державного реєстру банків
|
9
|
9
|
12
|
8
|
4
|
1
|
0
|
1
|
2
|
3
|
3
|
3
|
4
|
5
|
|
3.
|
Кількість
банків, що знаходиться у стадії ліквідації
|
38
|
35
|
24
|
20
|
20
|
20
|
20
|
20
|
20
|
20
|
21
|
21
|
20
|
20
|
|
4.
|
Кількість
діючих банків
|
153
|
152
|
157
|
158
|
160
|
165
|
164
|
165
|
165
|
166
|
165
|
165
|
165
|
166
|
|
4.1
|
з них:
з іноземним капіталом
|
22
|
21
|
20
|
19
|
19
|
23
|
23
|
23
|
28
|
28
|
28
|
30
|
30
|
30
|
|
4.1.1
|
у т.ч.
зі 100% іноземним капіталом
|
7
|
6
|
7
|
7
|
7
|
9
|
9
|
9
|
11
|
11
|
11
|
11
|
11
|
11
|
|
5.
|
Частка
іноземного капіталу у статутному капіталі банків, %
|
13.3
|
12.5
|
13.7
|
11.3
|
9.6
|
19.5
|
19.2
|
18.8
|
21.6
|
21.5
|
21.1
|
23.4
|
22.2
|
21.0
|
|
|
АКТИВИ
|
|
|
1.
|
39866
|
50785
|
67774
|
105539
|
141497
|
223024
|
221189
|
231273
|
237294
|
243272
|
249950
|
264954
|
270702
|
283291
|
|
1.1
|
Чисті
активи (скориговані на резерви за активними операціями)
|
37129
|
47 591
|
63896
|
100234
|
134348
|
213878
|
211811
|
221803
|
227710
|
233317
|
239729
|
254558
|
259765
|
271972
|
|
2.
|
Високоліквідні
активи
|
8270
|
7744
|
9043
|
16043
|
23595
|
36482
|
34045
|
36361
|
32863
|
33214
|
33531
|
34646
|
33908
|
36222
|
|
3.
|
Кредити
надані
|
23637
|
32097
|
46736
|
73442
|
97197
|
156385
|
156728
|
165033
|
174236
|
180504
|
187056
|
199060
|
204871
|
215469
|
|
3.1
|
з нього:
кредити надані суб'єктам господарської діяльності
|
18216
|
26564
|
38189
|
57957
|
72875
|
109020
|
108777
|
113030
|
118121
|
120311
|
124340
|
130531
|
133602
|
138020
|
|
3.2
|
кредити
надані фізичним особам
|
941
|
1373
|
3255
|
8879
|
14599
|
33156
|
33772
|
35540
|
38570
|
41537
|
45098
|
48645
|
52943
|
57540
|
|
4.
|
Довгострокові
кредити
|
3309
|
5683
|
10690
|
28136
|
45531
|
86227
|
87037
|
90239
|
95060
|
99162
|
105183
|
111972
|
117848
|
123839
|
|
4.1
|
з них:
довгострокові кредити суб'єктам господарської діяльності
|
2761
|
5125
|
9698
|
23239
|
34693
|
58528
|
58814
|
60642
|
63179
|
64412
|
67414
|
70777
|
72985
|
75131
|
|
5.
|
Проблемні
кре-дити (простро-чені та сумнівні
|
2679
|
1863
|
2113
|
2500
|
3145
|
3379
|
3661
|
3709
|
3798
|
3979
|
4125
|
4169
|
4280
|
4325
|
|
6.
|
Вкладення
в цінні папери
|
2175
|
4390
|
4402
|
6534
|
8157
|
14338
|
13985
|
13403
|
13793
|
12874
|
12583
|
13311
|
13084
|
13199
|
|
7.
|
Резерви
під активні операції банків
|
2737
|
3194
|
3905
|
5355
|
7250
|
9370
|
9582
|
9662
|
10069
|
10276
|
10552
|
10990
|
11312
|
11670
|
|
|
% виконання
формування резерву
|
61.5
|
85.4
|
93.3
|
98.2
|
99.7
|
100.05
|
100.04
|
100.03
|
99.96
|
100.10
|
100.1
|
100.1
|
|
100.14
|
|
7.1
|
з них:
резерв на відшкодування можливих втрат за кредитними операціями
|
2 336
|
2963
|
3575
|
4631
|
6367
|
8328
|
8494
|
8657
|
9033
|
9241
|
9435
|
9901
|
10221
|
10537
|
|
|
ПАСИВИ
|
|
|
1.
|
Пасиви,
усього
|
37129
|
47591
|
63896
|
100234
|
134348
|
213878
|
211811
|
221803
|
227710
|
233317
|
239729
|
254558
|
259765
|
271972
|
|
2.
|
Балансовий
капітал
|
6507
|
7915
|
9983
|
12882
|
18421
|
25451
|
25931
|
26683
|
27263
|
27576
|
28128
|
29454
|
30881
|
32314
|
|
2.1
|
з нього:
статут-ний капітал
|
3671
|
4573
|
5998
|
8116
|
11605
|
16111
|
16346
|
16723
|
17536
|
17607
|
17869
|
18954
|
19948
|
20969
|
|
2.2
|
Частка
капіталу у пасивах
|
17.5
|
16.6
|
15.6
|
12.9
|
13.7
|
11.9
|
12.2
|
12.0
|
12.0
|
11.8
|
11.7
|
11.6
|
11.9
|
11.9
|
|
3.
|
Зобов'язання
банків
|
30622
|
39 676
|
53 913
|
87352
|
115927
|
188427
|
185880
|
195120
|
200447
|
205741
|
211601
|
225105
|
228884
|
239658
|
|
3.1
|
з них:
кошти суб'єктів господарської діяльності
|
13071
|
15653
|
19 703
|
27987
|
40128
|
61214
|
58977
|
58813
|
59925
|
60629
|
63986
|
65156
|
67412
|
68801
|
|
3.1.1
|
з них:
строкові кошти суб'єктів господарської діяльності
|
2867
|
4698
|
6161
|
10391
|
15377
|
26807
|
25610
|
25127
|
25561
|
28556
|
28867
|
29192
|
30870
|
31775
|
|
3.2
|
кошти
фізичних осіб
|
6649
|
11165
|
19092
|
32113
|
41207
|
72542
|
73332
|
75168
|
76891
|
79460
|
80910
|
83514
|
86554
|
89003
|
|
3.2.1
|
з них:
строкові вклади фізичних осіб
|
4569
|
8060
|
14128
|
24861
|
33204
|
55257
|
57222
|
58345
|
59158
|
60902
|
62585
|
65543
|
67712
|
|
|
Довідково:
|
|
|
1.
|
Регулятивний
капітал
|
5148
|
8025
|
10099
|
13274
|
18188
|
26373
|
26489
|
27899
|
28895
|
28881
|
29772
|
31324
|
31901
|
33195
|
|
2.
|
Адекватність
регулятивного капіталу (Н2)
|
15.53
|
20.69
|
18.01
|
15.11
|
16.81
|
14.95
|
15.08
|
15.23
|
14.92
|
14.59
|
14.54
|
14.31
|
14.19
|
14.08
|
|
3.
|
Доходи
|
7446
|
8583
|
10470
|
13949
|
20072
|
27537
|
2668
|
5237
|
8383
|
11398
|
14631
|
18016
|
21494
|
25153
|
|
4.
|
Витрати
|
7476
|
8051
|
9785
|
13122
|
18809
|
25367
|
2398
|
4761
|
7615
|
10377
|
13215
|
16188
|
19232
|
22487
|
|
5.
|
Результат
діяльності
|
-30
|
532
|
685
|
827
|
1263
|
2170
|
270
|
476
|
768
|
1021
|
1416
|
1828
|
2262
|
2666
|
|
6.
|
Рентабельність
активів, %
|
-0.09
|
1.27
|
1.27
|
1.04
|
1.07
|
1.31
|
…
|
…
|
1.43
|
1.4
|
1.53
|
1.62
|
1.68
|
1.69
|
|
7.
|
Рентабельність
капіталу, %
|
-0.45
|
7.50
|
7.97
|
7.61
|
8.43
|
10.39
|
…
|
…
|
11.84
|
11.68
|
12.75
|
13.56
|
14.10
|
14.24
|
|
8.
|
Чиста
процент-на маржа, %
|
6.31
|
6.94
|
6.00
|
5.78
|
4.90
|
4.90
|
…
|
…
|
4.81
|
4.79
|
4.90
|
5.00
|
5.03
|
5.09
|
|
9.
|
Чистий
спред, %
|
7.10
|
8.45
|
7.20
|
6.97
|
5.72
|
5.78
|
…
|
…
|
5.59
|
5.53
|
5.59
|
5.64
|
5.62
|
5.64
|
Приложение
Б
Финансовые
показатели деятельности АКБ “Приватбанк”
Таблиця Б.1
- Баланс АКБ „Приватбанк” за 2003 – 2006 роки (поквартальний розріз)
Продовження табл.Б.1
Таблиця Б.2
- Формування прибутку в АКБ „Приватбанк” у 2003 -2006 роках
Приложение
В
План
счетов доходов и комиссионных расходов бухгалтерского учета
в банках
Укарины [ ]
|
Клас 6. Доходи
|
|
60
|
Процентні доходи
|
|
600
|
Процентні доходи за коштами, що розміщені в Національному
банку України
|
|
6000
|
П
|
Процентні доходи за коштами на вимогу, що розміщені в
Національному банку України
|
|
6002
|
П
|
Процентні доходи за коштами, що надані Національному
банку України за операціями репо
|
|
6003
|
П
|
Процентні доходи за короткостроковими вкладами (депозитами),
що розміщені в Національному банку України
|
|
601
|
Процентні доходи за коштами, що розміщені в інших банках
|
|
6010
|
П
|
Процентні доходи за коштами на вимогу, що розміщені в
інших банках
|
|
6011
|
П
|
Процентні доходи за депозитами овернайт, що розміщені
в інших банках
|
|
6012
|
П
|
Процентні доходи за короткостроковими вкладами (депозитами),
що розміщені в інших банках
|
|
6013
|
П
|
Процентні доходи за довгостроковими вкладами (депозитами),
що розміщені в інших банках
|
|
6014
|
П
|
Процентні доходи за кредитами овернайт, що надані іншим
банкам
|
|
6015
|
П
|
Процентні доходи за кредитами, що надані іншим банкам
за операціями репо
|
|
6016
|
П
|
Процентні доходи за кредитами овердрафт та короткостроковими
кредитами, що надані іншим банкам
|
|
6017
|
П
|
Процентні доходи за довгостроковими кредитами, що надані
іншим банкам
|
|
6018
|
П
|
Процентні доходи за фінансовим лізингом (орендою), що
наданий іншим банкам
|
|
602
|
Процентні доходи за кредитами, що надані суб'єктам господарювання
|
|
6020
|
П
|
Процентні доходи за кредитами овердрафт, що надані суб'єктам
господарювання
|
|
6021
|
П
|
Процентні доходи за кредитами, що надані за операціями
репо суб'єктам господарювання
|
|
6022
|
П
|
Процентні доходи за кредитами, що надані за врахованими
векселями суб'єктам господарювання
|
|
6023
|
П
|
Процентні доходи за операціями з факторингу із суб'єктами
господарювання
|
|
6026
|
АП
|
Процентні доходи за кредитами в поточну діяльність, що
надані суб'єктам господарювання
|
|
6027
|
АП
|
Процентні доходи за кредитами в інвестиційну діяльність,
що надані суб'єктам господарювання
|
|
6028
|
П
|
Процентні доходи за фінансовим лізингом (орендою), що
наданий суб'єктам господарювання
|
|
6029
|
АП
|
Процентні доходи за іпотечними кредитами, що надані суб'єктам
господарювання
|
|
603
|
Процентні доходи за кредитами, що надані органам державної
влади
|
|
6030
|
АП
|
Процентні доходи за кредитами, що надані органам державної
влади
|
|
6031
|
АП
|
Процентні доходи за кредитами, що надані органам місцевого
самоврядування
|
|
6032
|
АП
|
Процентні доходи за іпотечними кредитами, що надані органам
державної влади
|
|
6033
|
АП
|
Процентні доходи за іпотечними кредитами, що надані органам
місцевого самоврядування
|
|
604
|
Процентні доходи за кредитами, що надані фізичним особам
|
|
6040
|
П
|
Процентні доходи за кредитами овердрафт, що надані фізичним
особам
|
|
6042
|
АП
|
Процентні доходи за кредитами на поточні потреби, що
надані фізичним особам
|
|
6043
|
АП
|
Процентні доходи за кредитами в інвестиційну діяльність,
що надані фізичним особам
|
|
6044
|
П
|
Процентні доходи за фінансовим лізингом (орендою), що
наданий фізичним особам
|
|
6045
|
П
|
Процентні доходи за кредитами, що надані за врахованими
векселями фізичним особам
|
|
6046
|
АП
|
Процентні доходи за іпотечними кредитами, що надані фізичним
особам
|
|
605
|
Процентні доходи за цінними паперами
|
|
6050
|
АП
|
Процентні доходи за цінними паперами, що рефінансуються
Національним банком України, у портфелі банку на продаж
|
|
6051
|
АП
|
Процентні доходи за цінними паперами, що рефінансуються
Національним банком України, у портфелі банку до погашення
|
|
6052
|
АП
|
Процентні доходи за іншими цінними паперами в портфелі
банку на продаж
|
|
6053
|
АП
|
Процентні доходи за іншими цінними паперами в портфелі
банку до погашення
|
|
6054
|
АП
|
Процентні доходи за цінними паперами, емітованими Національним
банком України, у портфелі банку на продаж
|
|
6055
|
АП
|
Процентні доходи за цінними паперами, емітованими Національним
банком України, у портфелі банку до погашення
|
|
6056
|
АП
|
Процентні доходи за цінними паперами, що рефінансуються
Національним банком України, у торговому портфелі банку
|
|
6057
|
АП
|
Процентні доходи за цінними паперами в торговому портфелі
банку
|
|
608
|
Процентні доходи за операціями з філіями банку
|
|
6080
|
П
|
Процентні доходи за операціями з філіями банку
|
|
609
|
Інші процентні доходи
|
|
6099
|
П
|
Інші процентні доходи
|
|
61
|
Комісійні доходи
|
|
610
|
Комісійні доходи за операціями з банками
|
|
6100
|
П
|
Комісійні доходи від розрахунково-касового обслуговування
банків
|
|
6101
|
П
|
Комісійні доходи від кредитного обслуговування банків
|
|
6103
|
П
|
Комісійні доходи за операціями з цінними паперами для
банків
|
|
6104
|
П
|
Комісійні доходи за операціями на валютному ринку та
ринку банківських металів для банків
|
|
6106
|
П
|
Комісійні доходи від довірчого обслуговування банків
|
|
6108
|
П
|
Комісійні доходи за позабалансовими операціями з банками
|
|
6109
|
П
|
Інші комісійні доходи за операціями з банками
|
|
611
|
Комісійні доходи за операціями з клієнтами
|
|
6110
|
П
|
Комісійні доходи від розрахунково-касового обслуговування
клієнтів
|
|
6111
|
П
|
Комісійні доходи від кредитного обслуговування клієнтів
|
|
6113
|
П
|
Комісійні доходи за операціями з цінними паперами для
клієнтів
|
|
6114
|
П
|
Комісійні доходи за операціями на валютному ринку та
ринку банківських металів для клієнтів
|
|
6116
|
П
|
Комісійні доходи від довірчого обслуговування клієнтів
|
|
6118
|
П
|
Комісійні доходи за позабалансовими операціями з клієнтами
|
|
6119
|
П
|
Інші комісійні доходи за операціями з клієнтами
|
|
618
|
Комісійні доходи за операціями з філіями банку
|
|
6180
|
П
|
Комісійні доходи за операціями з філіями банку
|
|
62
|
Результат від торговельних операцій
|
Результат від торговельних операцій
|
|
6203
|
АП
|
Результат від торгових операцій з цінними паперами в
торговому портфелі банку
|
|
6204
|
АП
|
Результат від торгівлі іноземною валютою та банківськими
металами
|
|
6209
|
АП
|
Результат від торговельних операцій з іншими фінансовими
інструментами
|
|
63
|
Інші операційні доходи
|
|
630
|
Дохід у вигляді дивідендів
|
|
6300
|
П
|
Дохід у вигляді дивідендів
|
|
631
|
Дохід від інвестицій в асоційовані і дочірні компанії
|
|
6310
|
П
|
Дохід від інвестицій в асоційовані компанії
|
|
6311
|
П
|
Дохід від інвестицій у дочірні компанії
|
|
638
|
Інші операційні доходи за операціями з філіями банку
|
|
6380
|
П
|
Інші операційні доходи за операціями з філіями банку
|
|
639
|
Інші операційні доходи
|
|
6393
|
АП
|
Результат від продажу цінних паперів з портфеля банку
на продаж
|
|
6395
|
П
|
Доходи від оперативного лізингу (оренди)
|
|
6396
|
П
|
Доходи від наданих консультаційних послуг фінансового
характеру
|
|
6397
|
П
|
Штрафи, пені, що отримані банком
|
|
6399
|
П
|
Інші операційні доходи
|
|
64
|
Інші доходи
|
|
649
|
Інші доходи
|
|
6490
|
П
|
Позитивний результат від продажу нематеріальних активів
та основних засобів
|
|
6499
|
П
|
Інші доходи
|
|
67
|
Повернення списаних активів
|
|
671
|
Повернення списаних активів
|
|
6710
|
П
|
Повернення раніше списаної безнадійної дебіторської заборгованості
за операціями з банками
|
|
6711
|
П
|
Повернення раніше списаної безнадійної заборгованості
інших банків
|
|
6712
|
П
|
Повернення раніше списаної безнадійної заборгованості
за кредитами, що надані клієнтам
|
|
6713
|
П
|
Повернення раніше списаної безнадійної заборгованості
від знецінення цінних паперів на продаж
|
|
6714
|
П
|
Повернення раніше списаної безнадійної заборгованості
від знецінення цінних паперів у портфелі банку до погашення
|
|
6715
|
П
|
Повернення раніше списаної безнадійної іншої дебіторської
заборгованості та інших активів банку
|
|
6717
|
П
|
Повернення раніше списаних безнадійних доходів минулих
років
|
|
Клас 7. Витрати
|
|
71
|
Комісійні витрати
|
|
710
|
Комісійні витрати
|
|
7100
|
А
|
Комісійні витрати на розрахунково-касове обслуговування
|
|
7101
|
А
|
Комісійні витрати на кредитне обслуговування
|
|
7103
|
А
|
Комісійні витрати за операціями з цінними паперами
|
|
7104
|
А
|
Комісійні витрати за операціями на валютному ринку та
ринку банківських металів
|
|
7106
|
А
|
Комісійні витрати на довірче обслуговування
|
|
7108
|
А
|
Комісійні витрати за позабалансовими операціями
|
|
7109
|
А
|
Інші комісійні витрати
|
|
718
|
Комісійні витрати за операціями з філіями банку
|
|
7180
|
А
|
Комісійні витрати за операціями з філіями банку
|
Приложение
Г
Операции и тарифы депозитарных операций АКБ
«Приватбанк»
Таблиця Г.1 - Розцінки на депозитарні операції
з ЦП Зберігача ПриватБанку
Юридичні особи (без ПДВ)
|
|
Перелік операцій
|
Вартість, грн.
|
Термін оплати
|
|
Адміністративні операції
|
|
1
|
Відкриття рахунку у ЦП (за одну операцію)
|
30,00 грн.
|
100% передплата
|
|
2
|
Відкриття рахунку у ЦП депонентам при первинному розміщенні емітентом
бездокументарного випуску ЦП.
|
1,00 грн.
|
100% передплата
|
|
3
|
Закриття рахунку у ЦП
|
50,00 грн.
|
100% передплата
|
|
4
|
Внесення змін до реквізитів рахунку у ЦП
|
Враховано
при відкритті рахунку у ЦП
|
-
|
|
5
|
Внесення змін до способу зберігання ЦП
|
Враховано
при відкритті рахунку у ЦП
|
-
|
Обслуговування рахунку у цінних паперах
|
|
6
|
Абонентська плата за обслуговування рахунку в цінних паперах депонента
|
Відсутня
|
-
|
|
7
|
Облік ЦП на рахунку у ЦП (в місяць).
|
0,02% від загальної номінальної вартості, але не менш ніж 40,00 грн.
та не більш ніж 600,00 грн. +10,00 грн.
|
Оплата у останній день кварталу
|
Облікові операції
|
|
8
|
Облікова операція зарахування ЦП на рахунок у ЦП з оформленням Зберігача
номінальним утримувачем
(за одну операцію).
|
0,05% від номінальної вартості, але не менш ніж 10,00 грн. + послуги
Реєстратора та не більш ніж 600,00 грн. +10,00 грн.
|
100% передплата
|
|
9
|
Облікова операція зарахування ЦП на рахунок у ЦП з оформленням Депозитарію
номінальним утримувачем (за одну операцію).
|
0,07% від номінальної вартості, але не менш ніж вартість операції
зарахування у Депозитарії* + послуги Реєстратора, та не більш ніж 600,00 грн.
+10,00 грн.
|
100% передплата
|
|
10
|
Облікові операції зарахування ЦП на рахунок в ЦП (за одну операцію).
|
0,02% від номінальної вартості, але не менш ніж вартість операції зарахування у Депозитарії * + 10,00 грн. та не більш ніж 600,00 грн.
|
100% передплата
|
|
11
|
Облікові операції зарахування ЦП на рахунки Депонентів при первинному
розміщенні емітентом бездокументарного випуску ЦП.
|
Враховано
при відкритті рахунку у ЦП
|
-
|
|
12
|
Облікові операції списання ЦП з рахунку у ЦП (за одну операцію).
|
0,05% від номінальної вартості, але не менш ніж вартість операції
списання у Депозитарії* +10,00 грн. та не більш ніж 600,00 грн.
|
100% передплата
|
|
13
|
Облікові операції списання ЦП з рахунку у ЦП внаслідок матеріалізації
ЦП (за одну операцію).
|
0,05% від номінальної вартості, але не менш ніж вартість операції
списання у Депозитарії* + послуги Реєстратора +10,00 грн. та не більш ніж 600,00
грн. + витрати
на нотаріальне посвідчення
|
100% передплата
|
|
14
|
Облікові операції переказу ЦП в межах Зберігача (за одну операцію).
|
0,02% від номінальної вартості, але не менш ніж 10,00 грн. та не
більш ніж 600,00 грн.
|
100% передплата
|
|
15
|
Облікові операції переміщення ЦП (за одну операцію).
|
0,05 % від номінальної вартості +послуги Реєстратора + послуги Депозитарію
*, але не менш ніж 50,00 грн. та не більш ніж 600,00 грн. +10,00 грн. + витрати на нотаріальне
посвідчення
|
100% передплата
|
|
16
|
Дарування цінних паперів, спадщина
|
0,02% від номінальної вартості, але не менш ніж вартість операції зарахування у Депозитарії * + 10,00 грн. та не більш ніж 600,00 грн.
|
100% передплата
|
|
17
|
Послуги із термінового знерухомлення, матеріалізації та переміщення
цінних паперів
|
За домовленістю сторін
|
100% передплата
|
Операції з документарними ЦП
|
|
18
|
Прийом ЦП у сховище на зберігання (за один бланк).
|
За домовленістю сторін
|
100% передплата
|
|
19
|
Відповідальне зберігання :
|
|
|
|
колективне зберігання (за один бланк в місяць).
|
За домовленістю сторін
|
Оплата у останній день місяця
|
|
відокремлене зберігання (за один бланк в місяць).
|
За домовленістю сторін
|
Оплата у останній день місяця
|
|
20
|
Перевірка справжності документарних ЦП при їх зарахуванні (за один
бланк).
|
За домовленістю сторін
|
Оплата у день виконання операції
|
|
21
|
Видача ЦП зі сховища Зберігача (за один бланк).
|
За домовленістю сторін
|
Оплата у день виконання операції
|
|
22
|
Транспортування ЦП: в межах м. Дніпропетровська
за межі м. Дніпропетровська
|
За домовленістю сторін
|
Оплата у день виконання операції
|
Інформаційні операції
|
|
23
|
Надання виписки про операції з цінними паперами:
|
|
|
|
за запитом Депонента
|
10,00 грн. +10,00 грн.
|
100% передплата
|
|
за підсумками операції
|
Враховано
при здійсненні облікової операції
|
-
|
|
24
|
Надання виписки про стан рахунку у цінних паперах
|
10,00 грн. +10,00 грн.
|
100% передплата
|
|
25
|
Надання інформаційних довідок (за довідку)
|
10,00 грн. +10,00 грн.
|
100% передплата
|
|
26
|
Надання довідково-аналітичних матеріалів
|
За домовленістю сторін
|
100% передплата
|
Інші операції
|
|
27
|
Операції з ЦП на рахунку у ЦП, внаслідок операцій емітента з власним
випуском ЦП (за одну операцію).
|
Враховано
при відкритті рахунку у ЦП
|
-
|
|
28
|
Обтяження ЦП зобов'язаннями (Блокування) (за одну операцію).
|
0,02% від номінальної вартості, але не менш ніж 35,00 грн. та не більш ніж 600,00 грн.
|
100% передплата
|
|
29
|
Зняття обтяження ЦП зобов’язаннями.
|
Враховано
при здійсненні операції обтяження ЦП зобов’язаннями
|
-
|
|
30
|
Отримання доходів за ЦП та перерахування їх на банківський рахунок
Депонента.
|
Враховано
при відкритті рахунку у ЦП Депоненту
|
-
|
|
31
|
Оцінка правильності регулярних розрахунків вартості чистих активів
інвестиційного фонду чи взаємного фонду інвестиційної компанії.
|
100,00 грн.
|
100% передплата
|
|
32
|
Комісія за зарахування або списання ЦП на рахунок/з рахунку у ЦП
внаслідок знерухомлення або матеріалізації ЦП для ІСІ
|
послуги Реєстратора + 50,00 грн. +10,00 грн.
|
100% передплата
|
|
33
|
Оцінка правильності розрахунків вартості чистих активів ІСІ на один
інвестиційний сертифікат, виконаних компанією з управління активами ІСІ:
|
|
|
|
1. Щоквартальна:
|
|
|
|
- у випадку, коли всі ЦП обертаються у Зберігача у відповідності
з вимогами чинного законодавства;
|
100,00 грн. +10,00 грн.
|
100% передплата
|
|
- в перехідний період.
|
250,00 грн. +10,00 грн.
|
100% передплата
|
|
2. По одиночна за вимогою компанії з управління активами:
|
200,00 грн. +10,00 грн.
|
100% передплата
|
|
34
|
Оцінка правильності розрахунків чистої вартості активів пенсійного
фонду i чистої вартості одиниці пенсійних внесків, виконаних керуючим адміністратором
|
За домовленістю сторін
|
100% передплата
|
|
35
|
Внесення (зміна) інформації про емітента у програмний комплекс Зберігача.
|
1,00 грн.
|
100% передплата
|
|
36
|
Внесення (зміна) інформації про цінні папери емітента у програмний
комплекс Зберігача
|
1,00 грн.
|
100% передплата
|
|
37
|
Поставка цінних паперів по принципу "поставка проти оплати"
(за одну операцію)
|
250,00 грн.
|
100% передплата
|
|
38
|
Подовження операційного дня зберігача (сплачує депонент, за зверненням
якого продовжується операційний день зберігача):
На 30 хвилин
На 1-у годину
На 2-і години
Більше ніж на 2-і години, але не пізніше 22.00
|
50,00 грн.
100,00 грн.
200,00 грн.
500,00 грн.
|
100% передплата
|
|
39
|
Комісія за оформлення документів Депонента, щодо депозитарних операцій
на рахунку у ЦП. (За один документ)
|
5 грн.
|
100% передплата
|
*Послуги Депозитарію
- 10,00 грн.
*Послуги Реєстратора
- На підставі рахунку Реєстратора
Таблиця Г.2 - Розцінки на депозитарні операції
з ЦП Зберігача ПриватБанку
Фізичні особи
(без ПДВ)
|
|
Перелік операцій
|
Вартість, грн.
|
Термін оплати
|
|
Адміністративні операції
|
|
1
|
Відкриття рахунку у ЦП (за одну операцію)
|
10,00 грн.
|
100% передплата
|
|
2
|
Відкриття рахунку у ЦП депонентам при первинному розміщенні емітентом
бездокументарного випуску ЦП.
|
1,00 грн.
|
100% передплата
|
|
3
|
Відкриття рахунку у ЦП депонентам, які придбали акції в процесі приватизації,
але на суму не більш, ніж 750,00 грн.
|
1,00 грн.
|
100% передплата
|
|
4
|
Закриття рахунку у ЦП
|
5,00 грн.
|
100% передплата
|
|
5
|
Внесення змін до реквізитів рахунку у ЦП
|
Враховано
при відкритті рахунку у ЦП
|
-
|
|
5
|
Внесення змін до способу зберігання ЦП
|
Враховано
при відкритті рахунку у ЦП
|
-
|
Обслуговування рахунку у цінних паперах
|
|
6
|
Абонентська плата за обслуговування рахунку в цінних паперах депонента
|
Відсутня
|
-
|
|
7
|
Облік ЦП на рахунку у ЦП, номінальна вартість пакету яких перевищує
5000,00 грн. (в місяць):
|
20,00 грн. + 0,01% від загальної номінальної вартості, але не більш
ніж 500,00 грн.
|
Оплата у останній день кварталу
|
|
8
|
Облік ЦП на рахунку у ЦП депонентів, які придбали акції в процесі
приватизації, але на суму не більш, ніж 750,00 грн. (в місяць).
|
2,00 грн.
|
Оплата у останній день кварталу
|
Облікові операції
|
|
9
|
Облікова операція зарахування ЦП на рахунок у ЦП з оформленням Зберігача
номінальним утримувачем
(за одну операцію).
|
100% передплата
|
|
10
|
Облікова операція зарахування ЦП на рахунок у ЦП з оформленням Депозитарію
номінальним утримувачем (за одну операцію).
|
0,05% від номінальної вартості, але не менш ніж вартість операції
зарахування у Депозитарії *+ послуги реєстратора + 20,00 грн. та не більш ніж
300,00 грн.
|
100% передплата
|
|
11
|
Облікові операції зарахування ЦП на рахунок в ЦП (за одну операцію).
|
0,02% від номінальної вартості, але не менш ніж вартість операції
зарахування у Депозитарії* +10,00 грн. та не більш ніж 300,00 грн.
|
100% передплата
|
|
12
|
Облікові операції зарахування ЦП на рахунки депонентів, які придбали
акції в процесі приватизації, але на суму не більш, ніж 750,00 грн. (за одну операцію).
|
Враховано
при відкритті рахунку у ЦП
|
-
|
|
13
|
Облікові операції зарахування ЦП на рахунки депонентів при первинному
розміщенні емітентом бездокументарного випуску ЦП.
|
Враховано
при відкритті рахунку у ЦП
|
-
|
|
14
|
Облікові операції списання ЦП з рахунку у ЦП (за одну операцію).
|
0,04% від номінальної вартості, але не менш ніж вартість операції
списання у Депозитарії* + 10,00 грн. та не більш ніж 300,00 грн.
|
100% передплата
|
|
15
|
Облікові операції списання ЦП з рахунку у ЦП внаслідок матеріалізації
ЦП (за одну операцію).
|
0,04% від номінальної вартості, але не менш ніж вартість операції
списання у Депозитарії* + послуги Реєстратора +10,00 грн. та не більш ніж 300,00
грн. + витрати
на нотаріальне посвідчення
|
100% передплата
|
|
16
|
Облікові операції переказу ЦП в межах Зберігача (за одну операцію).
|
0,02% від номінальної вартості, але не менш ніж 10,00 грн. та не
більш ніж 300,00 грн.
|
100% передплата
|
|
17
|
Облікові операції переміщення ЦП (за одну операцію).
|
0,02% від номінальної вартості + послуги Реєстратора + послуги Депозитарію*,
але не менш ніж 50,00 грн. та не більш ніж 500,00 грн.+ поштові витрати + витрати
на нотаріальне посвідчення
|
100% передплата
|
|
18
|
Дарування цінних паперів, спадщина
|
0,02% від номінальної вартості, але не менш ніж вартість операції зарахування у Депозитарії* + 10,00 грн. та не більш ніж 300,00 грн.
|
100% передплата
|
|
19
|
Послуги із термінового знерухомлення та матеріалізації цінних паперів
|
За домовленістю сторін
|
100% передплата
|
Операції з документарними ЦП
|
|
20
|
Прийом ЦП у сховище на зберігання (за один бланк).
|
За домовленістю сторін
|
100% передплата
|
|
21
|
Відповідальне зберігання :
|
|
|
|
колективне зберігання (за один бланк в місяць).
|
За домовленістю сторін
|
Оплата у останній день місяця
|
|
відокремлене зберігання (за один бланк в місяць).
|
За домовленістю сторін
|
Оплата у останній день місяця
|
|
22
|
Перевірка справжності документарних ЦП при їх зарахуванні (за один
бланк).
|
За домовленістю сторін
|
Оплата у день виконання операції
|
|
23
|
Видача ЦП зі сховища Зберігача (за один бланк).
|
За домовленістю сторін
|
Оплата у день виконання операції
|
|
24
|
Транспортування ЦП: в межах м. Дніпропетровська
за межі м. Дніпропетровська
|
За домовленістю сторін
|
100% передплата
|
Інформаційні операції
|
|
25
|
Надання виписки про операції з цінними паперами:
|
|
|
|
за запитом Депонента
|
5,00 грн.
|
100% передплата
|
|
за підсумками операції
|
Враховано
при здійсненні облікової операції
|
-
|
|
26
|
Надання виписки про стан рахунку у цінних паперах
|
5,00 грн.
|
100% передплата
|
|
27
|
Надання інформаційних довідок (за довідку)
|
5,00 грн.
|
100% передплата
|
|
28
|
Надання довідково-аналітичних матеріалів
|
За домовленістю сторін
|
100% передплата
|
Інші операції
|
|
29
|
Операції з ЦП на рахунку у ЦП, внаслідок операцій емітента з власним
випуском ЦП (за одну операцію).
|
Враховано
при відкритті рахунку у ЦП
|
-
|
|
30
|
Обтяження ЦП зобов'язаннями (Блокування) (за одну операцію).
|
0,02% від номінальної вартості, але не менш ніж 20,00 грн. та не більш ніж 300,00 грн.
|
100% передплата
|
|
31
|
Зняття обтяження ЦП зобов’язаннями.
|
Враховано
при здійсненні операції обтяження ЦП зобов’язаннями
|
-
|
|
32
|
Отримання доходів за ЦП та перерахування їх на банківський рахунок
Депонента.
|
Враховано
при відкритті рахунку у ЦП Депоненту
|
-
|
|
33
|
Внесення (зміна) інформації про емітента у програмний комплекс Зберігача.
|
1,00 грн.
|
100% передплата
|
|
34
|
Внесення (зміна) інформації про цінні папери емітента у програмний
комплекс Зберігача
|
1,00 грн.
|
100% передплата
|
|
35
|
Поставка цінних паперів по принципу "поставка проти оплати"
(за одну операцію)
|
200,00 грн.
|
100% передплата
|
|
36
|
Подовження операційного дня зберігача (сплачує депонент, за зверненням
якого продовжується операційний день зберігача):
На 30 хвилин
На 1-у годину
На 2-і години
Більше ніж на 2-і години, але не пізніше 22.00
|
50,00 грн.
100,00 грн.
200,00 грн.
500,00 грн.
|
100% передплата
|
|
37
|
Комісія за оформлення документів Депонента, щодо депозитарних операцій
на рахунку у ЦП. (За один документ)
|
5 грн.
|
100% передплата
|
*Послуги Депозитарію
- 10,00 грн.
*Послуги Реєстратора
- На підставі рахунку Реєстратора