Сущность и цели денежно-кредитной политики

  • Вид работы:
    Курсовая работа (т)
  • Предмет:
    Банковское дело
  • Язык:
    Русский
    ,
    Формат файла:
    MS Word
    110,70 kb
  • Опубликовано:
    2010-07-27
Вы можете узнать стоимость помощи в написании студенческой работы.
Помощь в написании работы, которую точно примут!

Сущность и цели денежно-кредитной политики

Содержание

1. Денежно-кредитная политика

1.1 Цели денежно-кредитной политики

1.2 Объекты и субъекты денежно-кредитной политики

1.3 Методы денежно-кредитной политики

1.4 Инструменты денежно-кредитной политики

Список использованной литературы

1. Денежно-кредитная политика


1.1 Цели денежно-кредитной политики


Первичные цели конкретизируют стратегическую установку государства в долгосрочном периоде, тактические цели - способы достижения общей цели в конкретных условиях меняющейся конъюнктуры, а промежуточные - основные показатели, которыми руководствуется центральный банк в своей повседневной деятельности.




Стабильность цен

Первичные цели



Полная занятость



Соразмерный и стабильный экономический рост




Внешнеэкономическая стабильность





Тактическая цель



Форма кривой предложения денег








Темпы роста денежной массы

Промежуточные цели



Ставка процента



Номинальный объем производства




Уровень цен


Следует отличать:

Первичные цели

Первичные цели сводятся к достижению ориентиров магического четырехугольника:

стабилизация уровня цен (процент инфляции);

достижение полной занятости (процент безработицы);

равновесный и стабильный экономический рост (прирост ВВП);

внешнеэкономическая стабильность (равновесный платежный баланс).

Правительство ежегодно корректирует значения этих экономических ориентиров. Следует подчеркнуть, что от того, насколько четко сформулирована первичная цель денежно-кредитной политики, в большой степени зависит особенность экономического развития страны. [9 c.53]

Тактические цели

Если цель развития национальной экономики заключается в обеспечении достаточного экономического роста, то такова и стратегическая цель денежно-кредитной политики. Следовательно, высшая цель денежно-кредитной политики государства заключается в обеспечении стабильности цен, эффективной занятости населения и росте реального объема валового национального продукта. Эта цель достигается с помощью мероприятий в рамках денежно-кредитной политики, которые осуществляются довольно медленно, рассчитаны на многие годы и не являются быстрой реакцией на изменение рыночной конъюнктуры.

Промежуточные цели

Промежуточная цель денежно-кредитной политики - это экономическая переменная, которую центральный банк избирает в качестве объекта своего повседневного контроля, так как считает, что она способствует достижению основных целей монетарной политики.

Промежуточная цель должна удовлетворять следующим условиям:

Согласованность с основными целями центрального банка. Центральный банк будет заботиться о достижении промежуточной цели, только если это помогает ему достичь основных целей денежно-кредитной политики.

Измеримость, переменная, избранная в качестве промежуточной цели, может считаться приемлемой, если ее возможно правильно и точно измерить.

Своевременность. Достоверная информация о промежуточной цели должна поступать в центральный банк своевременно.

Контролируемость. Центральный банк должен иметь возможность влиять на величину переменной, выбранной в качестве промежуточной цели.

1.2 Объекты и субъекты денежно-кредитной политики


Объектами денежно-кредитной политики являются спрос и предложение на денежном рынке. Субъектами денежно-кредитной политики выступают прежде всего центральный банк в соответствии с присущими ему функциями проводника денежно-кредитной политики государства и коммерческие банки. [4 c.68]

Выбор промежуточных целей денежно-кредитной политики может повлиять на состояние денежного рынка посредством формирования как предложения, так и спроса на деньги.

Реально предложение денег зависит от целей денежно-кредитной политики в конкретной стране:

Если целью денежно-кредитной политики является поддержание на неизменном уровне количества денег в обращении, то предложение денег регулируется независимо от уровня процентной ставки и проводится с целью ограничения инфляции.

Целью денежно-кредитной политики государства может быть и поддержание фиксированной ставки процента. Такая денежно-кредитная политика носит название гибкой. Целевым ориентиром денежно-кредитной политики является не столько борьба с инфляцией, сколько стимулирование инвестиций.

Денежно-кредитная политика допускает колебания и денежной массы в обращении и ставки процента. В этих условиях денежно-кредитная политика ставит своей целью поддержание достаточного уровня монетизации экономики, является пассивной и проводится в условиях стабильно развивающейся экономики.

 

1.3 Методы денежно-кредитной политики


В рамках денежно-кредитной политики государства применяются прямые и косвенные методы.

Прямые методы носят характер административных мер в форме различных директив центрального банка, касающихся объема денежного предложения и цен на финансовом рынке. Реализация этих мер дает наиболее быстрый эффект с точки зрения контроля центрального банка над ценой или максимальным объемом депозитов и кредитов, особенно в условиях экономического кризиса. Однако со временем прямые методы воздействия в случае "неблагоприятного" с точки зрения хозяйствующих субъектов воздействия на их деятельность могут вызвать перелив, отток финансовых ресурсов в "теневую" экономику или за рубеж.

Косвенные методы регулирования денежно-кредитной политики сферы воздействуют на поведение хозяйствующих субъектов при помощи рыночных механизмов. Естественно, что эффективность использования косвенных методов тесно связано с уровнем развития денежного рынка. При переходной экономике, особенно на первых этапах преобразований, используются как прямые, так и косвенные инструменты с постепенным вытеснением первых вторыми. [7 c.93]

Помимо прямых и косвенных различают общие и селективные методы осуществления денежно-кредитной политики центральных банков.

Общие методы являются преимущественно косвенными и оказывают влияние не денежный рынок в целом.

Селективные методы регулируют конкретные виды кредита и носят в основном директивный характер. Их применение связано с решением частных задач, таких, как ограничение выдачи ссуд некоторыми банками или ограничение выдачи отдельных видов ссуд, рефинансирование на льготных условиях отдельных коммерческих банков и т.д. Используя селективные методы, центральный банк сохраняет за собой функции централизованного перераспределения кредитных ресурсов, несвойственных центральным банкам стран с рыночной экономикой, поскольку они искажают рыночные цены и распределение ресурсов, сдерживают конкуренцию на финансовых рынках. Применение в практике центральных банков селективных методов воздействия на деятельность коммерческих банков типично для экономической политики, проводимой на стадии циклического спада, в условия резкого нарушения пропорций воспроизводства.

1.4 Инструменты денежно-кредитной политики


В мировой экономической практике центральные банки используют следующие основные инструменты денежно-кредитной политики:

изменение норматива обязательных резервов или так называемых резервных требований

Обязательные резервы представляют собой процентную долю от обязательств коммерческого банка. Эти резервы коммерческие банка обязаны хранить в центральном банке. Исторически обязательные резервы рассматривались центральными банками как экономический инструмент, обеспечивающий коммерческим банкам достаточную ликвидность в случае массового изъятия депозитов, позволяющий предотвратить неплатежеспособность коммерческого банка и тем самым защитить интересы его клиентов, вкладчиков и корреспондентов. Однако в настоящее время изменение нормы обязательных резервов коммерческих банков, или резервных требований, используется как наиболее простой инструмент, применяемый в целях наиболее быстрой настройки денежно-кредитной сферы.

Механизм действия данного инструменты денежно-кредитной политики заключается в следующем:

если центральный банк увеличивает норму обязательных резервов, то это приводит к сокращению избыточности резервов коммерческих банков, которые они могут использовать для проведения ссудных операций. Соответственно это вызывает мультипликационное уменьшение денежного предложения, поскольку при изменении норматива обязательных резервов меняется величина депозитного мультипликатора;

при уменьшении нормы обязательных резервов происходит мультипликационное расширение объема предложения денег.

Норма резервирования увеличивается


Количество ссужаемых денег уменьшается


Предприятия берут меньше кредитов


Денежная масса в обращении уменьшается


Норма резервирования уменьшается


Количество ссужаемых денег увеличивается


Предприятия берут больше кредитов


Денежная масса в обращении увеличивается


Этот инструмент монетарной политики является наиболее мощным, но достаточно грубым, поскольку воздействует на основы всей банковской системы. Даже изначальное изменение нормы обязательных резервов способно вызвать существенные изменения в объеме банковских резервов и привести к модификации кредитной политики коммерческих банков. [12c.52]

Изменение норматива обязательных резервов влияет на денежное предложение посредством мультипликатора. Все остальные инструменты денежно-кредитной политики непосредственно воздействуют на размер денежной базы.

Увеличение денежной базы приводит частично к росту количества денег на руках населения, частично к увеличению вкладов в коммерческих банках. Это в свою очередь влечет за собой усиление процесса мультипликации и расширение объемов денежной массы на величину большую, чем денежная база.

В России система обязательных резервов введена в 1990г. (а последний ее вариант - в 1995г). норма резервов в настоящее время составляет 15-20% (в зависимости от видов вкладов). К сожалению, система излишне жесткая, потому что не подкреплена другими эффективно действующими кредитными регуляторами и поэтому явственно обнаруживает свою нерыночную природу. Одну из основных задач российская система резервирования, увы, не выполняет: стабильность в работе коммерческих банков она не прибавила и, скорее, рассчитана лишь на страхование всей банковской системы в целом.

процентную политику центрального банка, т.е. изменение механизма заимствования средств коммерческими банками у центрального банка или депонирования средств коммерческих банков в центральном банке

Процентная политика центрального банка проводится по двум направлениям: регулирование займов коммерческих банков у центрального банка и депозитная политика центрального банка, которая еще может быть названа политикой учетной ставки или ставки рефинансирования.

Ставка рефинансирования - это процент, под который центральный банк предоставляет кредиты финансово устойчивым коммерческим банкам, выступая как кредитор в последней инстанции.

Учетная ставка - процент (дисконт), по которому центральный банк учитывает векселя коммерческих банков, что является разновидностью их кредитования под залог ценных бумаг.

Переучет векселей долгое время был одним из основных методов денежно-кредитной политики центральных банков Западной Европы. Центральные банки предъявляли определенные требования к учитываемому векселю, главным из которых являлась надежность долгового обязательства.

Векселя переучитываются по ставке редисконтирования. Эту ставку называют также официальной дисконтной ставкой, обычно она отличается от ставки по кредитам (рефинансирования) на незначительную величину в меньшую сторону. Центральный банк покупает долговое обязательство по более низкой цене, чем коммерческий банк. [7 c.36]

Учетную ставку (ставку рефинансирования) устанавливает центральный банк. Уменьшение ее делает для коммерческих банков займы дешевыми. При получении кредита коммерческими банками увеличиваются их резервы, вызывая мультипликационное увеличение количества денег в обращении. И наоборот, увеличение учетной ставки (ставки рефинансирования) делает займы невыгодными. Более того, некоторые коммерческие банки, имеющие заемные средства, пытаются возвратить их, так как эти средства становятся очень дорогими. Сокращение банковских резервов приводит к мультипликационному сокращению денежного предложения.

Недостатком использования рефинансирования при проведении денежно-кредитной политики является то, что этот метод затрагивает лишь коммерческие банки. Если рефинансирование используется мало или осуществляется не в центральном банке, то указанный метод почти полностью теряет свою эффективность.

Определение размера учетной ставки - один из наиболее важных аспектов кредитно-денежной политики, а изменение учетной ставки выступает показателем изменений в области кредитно-денежного регулирования. Размер учетной ставки обычно зависит от уровня ожидаемой инфляции и в то же время оказывает на инфляцию большое влияние. Когда центральный банк намерен смягчить или ужесточить кредитно-денежную политику, он снижает или повышает учетную (процентную) ставку. Банк может устанавливать одну или несколько процентных ставок по различным видам операций или проводить процентную политику без фиксации процентной ставки. Процентные ставки центрального банка необязательны для коммерческих банков в их взаимоотношениях с клиентами и с другими банками. Однако уровень официальной учетной ставки является для коммерческих ориентиром при проведении кредитных операций.

Вместе с тем именно при проведении этого инструмента показывает, что результаты денежно-кредитной политики слабо предсказуемы. Например, снижение ставки рефинансирования рассматривается как мера, приводящая к расширению денежного предложения однако снижение ставки рефинансирования влияет на рыночную ставку процента, которая снижается, следовательно, увеличивается спрос на наличные деньги и другие активы, спрос на которые находится в обратной зависимости от уровня процентной ставки. В свою очередь спрос на депозиты снижается - мультипликатор уменьшается, но как и в каком периоде снижение ставки рефинансирования повлияет на банковский мультипликатор, сказать трудно. Поэтому в денежно-кредитной политике следует различать кратко-срочные и долгосрочные периоды. В кратко-срочном периоде снижение ставки рефинансирования является "расширительной" мерой, в долгосрочном - сдерживающей.

Наряду с пересмотром ставки рефинансирования изменялись проценты за использование ломбардным кредитом, кредитом "овернайт", операциями РЕПО и средствам банков, привлеченным в депозиты в Банк России.

При осуществлении ломбардной политики в рамках политики рефинансирования центральный банк устанавливает условия, при которых коммерческие банки получают ссуду под залог депонированных в банке ценных бумаг в деньгах центрального банка по ломбардной процентной ставке, которая может ежедневно меняться.

Депозитные операции центрального банка позволяют коммерческим банкам получать доход от так называемых свободных, или избыточных, резервов, а центральному банку дают возможность влиять на размер денежного предложения.

Банк России с помощью указанных операций регулирует не только кратко-срочную ликвидность банков, но и ликвидность в среднесрочном периоде. Банк России будет и в дальнейшем использовать депозитные операции как инструмент оперативного изъятия излишней ликвидности банковской системы для повышения сбалансированного спроса и предложения в различных секторах финансового рынка.

операции с государственными ценными бумагами на открытом рынке

операции центрального банка на открытом рынке в настоящее время являются в мировой экономической практике основным инструментом денежно-кредитной политики. Центральный банк продает или покупает по заранее установленному курсу ценные бумаги, в том числе государственные, формирующие внутренний долг страны. Этот инструмент считается наиболее гибким инструментом регулирования кредитных вложений и ликвидности коммерческих банков.

Операции центрального банка на открытом рынке оказывают прямое влияние на объем свободных ресурсов, имеющихся у коммерческих банков, что стимулирует либо сокращение, либо расширение объема кредитных вложений в экономику, одновременно влияя на ликвидность банков, соответственно уменьшая или увеличивая ее. Такое воздействие осуществляется посредством изменения центральным банком цены покупки у коммерческих банков или продажи им ценных бумаг. При жесткой рестрикционной политике, результатом которой должен стать отток кредитных ресурсов с ссудного рынка, центральный банк уменьшает цену продажи или увеличивает цену покупки, тем самым увеличивая или уменьшая ее отклонение от рыночного курса.

Если центральный банк покупает ценные бумаги у коммерческих банков, он переводит деньги на их корреспондентские счета; таким образом увеличиваются кредитные возможности банков. Они начинают выдавать ссуды, которые в форме безналичных реальных денег входят в сферу денежного обращения, а при необходимости трансформируются в наличные деньги. Если центральный банк продает ценные бумаги, то коммерческие банки со своих корреспондентских счетов оплачивают такую покупку, тем самым уменьшая свои кредитные возможности, связанные с эмиссией денег.

Операции на открытом рынке проводятся центральным банком обычно совместно с группой крупных банков и других финансово-кредитных учреждений.

Схема осуществления этих операций следующая:

предположим, что на денежном рынке наблюдается излишек денежной массы в обращении и центральный банк ставит задачу ограничить или ликвидировать этот излишек. В данном случае центральный банк начинает активно предлагать государственные ценные бумаги на открытом рынке банкам или населению, которые покупают правительственные ценные бумаг через специальных дилеров. Поскольку предложение государственных ценных бумаг увеличивается, их рыночная цена падает, а процентные ставки по ним растут, соответственно возрастает их привлекательность для покупателей. Население (через дилеров) и банки начинают активно скупать правительственные ценные бумаги, что приводит в конечном счете к сокращению банковских резервов. Сокращение объема банковских резервов в свою очередь приводит к уменьшению предложения денег в пропорции, равной банковскому мультипликатору. При этом процентная ставка растет.

Предположим теперь, что на денежном рынке существует недостаток денежных средств в обращении. В этом случае центральный банк проводит политику, направленную на расширение денежного предложения, а именно центральный банк начинает скупать правительственные ценные бумаги у банка и населения по выгодному для них курсу. Тем самым центральный банк увеличивает спрос на государственные ценные бумаги. В результате их рыночная цена возрастает, а процентная ставка по ним подает, что делает казначейские ценные бумаги непривлекательными для их владельцев. Население и банк начинают активно продавать государственные ценные бумаги, что приводит в конечном счете к увеличению банковских резервов и (с учетом мультипликационного эффекта) денежного предложения. При этом процентная ставка падает.

И снова можно отметить непредсказуемость результатов денежно-кредитной политики в связи с тем, что открытый рынок - это финансовый рынок. Рост продаж на открытом рынке приводит к увеличению предложения финансовых активов, следовательно, к росту процентных ставок. В свою очередь рост процентных ставок отразится на увеличении мультипликатора, что отчасти погасит эффект снижении денежной базы. И наоборот, операции покупки на открытом рынке могут привести к увеличению спроса на финансовые активы, снижению процентных ставок и мультипликатора.

Несмотря на временное прекращение функционирования рынка государственных ценных бумаг (ГКО - ОФЗ), Банк России не исключает из круга используемых инструментов денежно-кредитной политики такой инструмент регулирования ликвидности банковской системы, как операции на открытом рынке. В условиях сжатия финансовых рынков и обострения проблемы ликвидности Банк России в сентябре 1998 года разработал приложение о введении в обращение облигаций Банка России (ОБР) и начал операции с ними, в том числе Банк России предоставил банкам возможность использования указанных ценных бумаг в качестве залога под ломбардные, внутридневные кредиты и кредиты "овернайт", а также проведение с ними сделок РЕПО. В настоящее время опыт эмиссии ОБР продемонстрировал пока еще слабое влияние этого инструмента на банковскую ликвидность. [14 c.87]

Рассмотренные инструменты политики используются центральным банком обычно в комплексе в соответствии с целью денежно-кредитной политики. Оптимальная комбинация инструментов денежно-кредитной политики зависит от стадии развития и структуры финансовых рынков, роли центрального банка в экономике страны. Например, политика учетных ставок (ставок рефинансирования), занимая второе место по значению после политики центрального банка на открытом рынке, проводится обычно в сочетании с операциями центрального банка на открытом рынке. Так, при продаже государственных ценных бумаг на открытом рынке в целях уменьшения денежного предложения центральный банк устанавливает высокую учетную ставку (выше доходности ценных бумаг), что ускоряет процесс продажи коммерческими банками государственных ценных бумаг, поскольку им становится невыгодно восполнять резервы займами у центрального банка, и повышает эффективность операций на открытом рынке. И наоборот, при покупке центральным банком государственных ценных бумаг на открытом рынке он резко понижает учетную ставку (ниже доходности ценных бумаг). В этой ситуации коммерческим банкам выгодно занимать резервы у центрального банка и направлять имеющиеся средства на покупку более доходных государственных ценных бумаг. Расширительная политика центрального банка становится более эффективной.

управление наличной денежной массой, эмиссия денег

Управление наличной денежной массой представляет собой регулирование обращения наличных денег, эмиссию, организацию их обращения и изъятия из обращения, осуществляемые центральным банком.

валютное регулирование

Валютное регулирование в качестве инструмента денежно-кредитной политики стало применятся центральными банками с 30-х годов ХХ века как реакция на "бегство капиталов" в условиях рыночного кризиса и Великой депрессии. Под валютным регулированием понимается управление валютными потокам и внешними платежами, формирование валютного курса национальной денежной единицы. На валютный курс оказывает влияние множество факторов: состояние платежного баланса, экспорта и импорта, доля внешней торговли в валовом внутреннем продукте, дефицит бюджета и источников его покрытия, экономическая и политическая ситуация и др. Реальный в конкретных условиях валютный курс может быть определен в результате свободных предложений по купле и продаже валюты на валютных биржах. Эффективной системой валютного регулирования является валютная интервенция. Она заключается в том, что центральный банк вмешивается в операции на валютном рынке с целью воздействия на курс национальной валюты путем купли и продажи иностранной валюты. Для повышения курса национальной валюты центральный банк продает иностранную валюту, для снижения этого курса скупает иностранную валюту в обмен на национальную. Центральный банк проводит валютные интервенции для того, чтобы максимально приблизить курс национальной валюты к его покупательной способности и в тоже время найти компромисс между интересами национальной валюты заинтересованы фирмы-экспортеры, они обеспечивают основную часть поступающей валютной выручки.

Задача 1.

Рассчитать реальную процентную ставку по депозиту на основе имеющейся информации (таблица 1). Сделать вывод о целесообразности размещения средств на депозите.

Таблица 1 - Исходные данные для расчёта

Годовая номинальная процентная ставка по депозиту, %

Дата вклада (в текущем году)

01.09

Прогнозируемый годовой темп инфляции в следующем году, %

2

ИПЦ в текущем году, в % к декабрю предыдущего года:


Декабрь

100

Январь

100,2

Февраль

100,5

Март

100,6

Апрель

101,1

Май

101,2

Июнь

101,5

Июль

101,8

Август

102,4

Сентябрь

-

Октябрь

 -


Чтобы рассчитать реальную ставку по депозиту необходимо определить темп инфляции, приходящийся на период вклада. Он принимается равным среднемесячному темпу инфляции в текущем году за прошедшие месяцы. Фактические данные об инфляции в текущем году представлены в виде индекса потребительских цен (ИПЦ) по данным Федеральной службы статистики РФ.

Таблица 2 - ИПЦ в текущем году, в % к декабрю предыдущего года

Декабрь

100


Январь

100,2

0, 20

Февраль

100,5

0,30

Март

100,6

0,10

Апрель

101,1

0,50

Май

101,2

0,10

Июнь

101,5

0,30

Июль

101,8

0,30

Август

102,4

0,59

Сентябрь

-


Октябрь

 -



Так показатель инфляции который приходится на срок вклада в текущем году, зависит от фактической инфляции в этом же году, необходимо рассчитать фактические темпы инфляции за текущий год, а потом определить её среднемесячный темп. По формуле получаем темп инфляции в январе 0, 20% в феврале 0,30%, в марте 0,10%, в апреле 0,50%, в мае 0,10%, в июне 0,30%, в июле 0,3%, в августе 0,59%.

Среднемесячная инфляция за период с января по август составила:

i1 = ( (i1-i0) /i0) *100

iср. = (0, 20+0,30+0,10+0,50+0,10+0,3+0,3+0,59) / 8 =0,299

Прогнозируемый годовой темп инфляции в следующем году 2%

Приведем темп инфляции в индекс цен:

i1 = 1+ (i1/100)

i = 1+ (0,299/100) = 1,00298

i = 1+ (2/100) = 1,02

Индекс инфляции за весь срок вклада:

i = (1,00298) 8* (1,02) 4 = 1,024 *1,082 = 1,108

Чтобы рассчитать реальную процентную ставку, необходимо индекс перевести в темп инфляции по формуле:

i1 = (i1 - 1) *100%

i = (1,108-1) *100%

i =10,8

Реальная процентная ставка по вкладу в банке рассчитывается по формуле И. Фишера.

rR = (0,05 - 0,108) / (1+0,108)

rR = - 0,052 (-5,2%)

Итак, если деньги вкладываются под 5% годовых, то при прогнозируемых темпах инфляции, реальный доход составит - 5,2%. Таким образом, при предлагаемой коммерческим банком процентной ставке вкладчик не сможет обеспечить сохранность своих сбережений от обесценивания.

Задача 2.

Определить соответствует ли реальное количество денег в обращении действительной потребности в них. Сделать вывод о нехватке/избытке денежных средств в экономике и о последствиях, возможных в данной ситуации. Какие могут возникнуть сложности при использовании формулы К. Маркса на практике? Как определяется действительная потребность в деньгах в РФ?

Стоимость проданных в кредит товаров, млрд. руб.

774,0

Сумма выплаченного государственного долга, млрд. р.

359,2

Задолженность предприятий железнодорожного транспорта бюджету, млрд. р.

422,3

Стоимость оказанных услуг, млрд. р.

108,8

Стоимость произведённых и реализованных товаров, млрд. р.

1842,8

Задолженность государства перед предприятиями железнодорожного транспорта, млрд. р.

1125,3

Наличные деньги, млрд. р.

66,9

Вклады до востребования и остатки средств на срочных счетах, млрд. р.

145,8


В первую очередь необходимо рассчитать фактический объём денежной массы, обслуживающей сделки в экономике по формуле. Данный показатель будет использован для расчёта скорости обращения денежной единицы, а также для сравнения его с действительной потребностью в данных. Представив необходимые значения в формулу, получим:

О = ВВП/М2

где М2 - наличные деньги и объём средств на банковских счетах;

ВВП - стоимость произведённых в стране товаров и услуг за определённый период.


Получается, в среднем 1 р. Обслуживает чуть более 9 сделок от реализации товаров в стране за рассматриваемый период.

Рассчитаем теперь действительную потребность в деньгах на основе имеющихся данных, используя формулу:

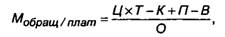
Мобращ/плат = (Ц*Т-К+П-В) /О

где Мобращ/плат - количество денег, необходимое в качестве обращения платежа;

К - сумма цен товаров, проданных в кредит;

П - сумма платежей по долговым обязательствам срок погашения которых наступил;

В - сумма взаимопогашающихся расчётов;

О - Среднее число оборотов денег как средства обращения и платежа.

Мобращ/плат = ( (1842,8+108,8) - 774,0 + 359,2 - 422,3) / 9,18

Мобращ/плат =1114,5/9,18

Мобращ/плат =121,41

Таким образом, действительная потребность в деньгах не превышает фактический объём денежной массы: 121,41 млрд. р. и 212,7 млрд. р. Такая ситуация может привести к обесценению денег, то есть количества товаров, которое может быть приобретено на денежную единицу по сложившимся на рынке ценам. Темп обесценения денег отражает темп инфляции.

Анализируя пути развития форм стоимости и денежного обращения, К. Маркс открыл закон денежного обращения, устанавливающий взаимосвязь между массой обращающихся денег и факторами, влияющими на потребность в деньгах. Первоначальный вариант закона денежного обращения выявляет связь между количеством денег, необходимых для выполнения ими функции средства обращения и суммой цен реализуемых товаров с учётом скорости обращения денежной единицы:


где Мовращ - количество денег, необходимое в качестве средства обращения; Ц - уровень цен товаров и услуг Т - количество проданных на рынке товаров и услуг; О - скорость обращения денег.

Скорость обращения денег - среднее число оборотов денежной единицы за известный период. Одни и те же деньги могут в течение определённого периода постоянно переходить из рук в руки, обслуживая продажу товаров и оказание услуг.

Далее К. Маркс раскрывает содержание этого закона с учётом функции денег как средства платежа. В российской научной литературе отдельно выделяют функцию денег как средство платежа. Функцию средства платежа деньги выполняют во всех случаях, когда нет непосредственного обмена товаров на деньги. Соответственно, в функции средства платежа деньги используются при возникновении кредитных отношений, в случае авансовых платежей, а также при реализации товаров на условиях предоплаты. В этом случае формула (1) видоизменяется:


где Мобращ/плат - количество денег, необходимое в качестве средства обращения и платежа; С - сумма цен товаров, проданных в кредит; П - сумма платежей по долговым обязательствам срок погашения которых наступил; В - сумма взаимопогашающихся расчётов; О - среднее число оборотов денег как средства обращения и платежа.

Однако вышеизложенные рекомендации не позволяют определи действительную потребность в деньгах. Закон денежного обращения да лишь правильную оценку зависимости потребности оборота в деньгах, ь её недостаточно для конкретного расчёта такой потребности.

Таким образом, рассмотренные выше теории не могут быть использс ваны для конкретного определения (расчёта) необходимого количеств* денег в обращении, но могут быть полезны при определении факторов влияющих на денежное обращение, а также при осуществлении государственного регулирования денежного обращения.

Причина таких сложностей заключается в том, что границы налично-денежного обращения и безналичного оборота "размыты": предприятия осуществляют расчёты наличными деньгами в сравнительно крупных размерах и предусмотреть их объём сложно; расширяются денежные обороты населения с помощью пластиковых карточек и предусмотреть объём оборотов, осуществляемых с помощью них вместо оборота наличными деньгами трудно. Кроме этого, представляется достаточно затруднительным определить скорость обращения денег - для этого обычно используются косвенные методы. В развитых странах исчисляются следующие показатели "О".

Показатель скорости обращения денег:


где М2 - наличные деньги и объем средств на банковских счетах; ВВП - стоимость произведённых в стране товаров и услуг за определённый период.

Показатель оборачиваемости денег в платёжном обороте:

 

Задача 3.

Торговая сделка, оформлена простым векселем сроком обращения 60 дней, который был учтён в банке. Определить доход и годовую доходность для продавца векселя и банка. Условия сделки представлены в табл.3

Исходные данные для расчёта

Показатель

Значение

Вексельная сумма, р.

260000

Дата составления

21.09.05

Дата учёта

25.10.05

Процентная ставка, %

9

Учётная ставка, %

7


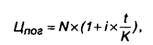
Так как вексель имеет вид ценной бумаги с объявленным процентным доходом, в первую очередь необходимо определить общую сумму обязательства, которая будет выплачена в момент погашения векселя по формуле:


где N - номинал векселя; t - срок займа; К - временная база (количество дней в году); i - процентная ставка.

Таким образом, общая сумма вексельного обязательства, рассчитанного по формуле, составит:

Цпог = 260000х (1 + 0,09*60/360) = 263899,99р.

Далее определяем цену, по которой вексель учитывается коммерческим банком:


где t - количество дней до даты погашения; d - учётная ставка.

В данной задаче с момента учёта векселя до даты его погашения 26 дней (при условии соблюдения следующего правила подобных финансовых операций: день учёта и день погашения считаются за 1 день). Соответственно:

Ц = 263899,99* (1-0,07*26/360) = 262565,83р.

Доход коммерческого банка:

263899,99 - 262565,83= 1334,16

Доходность этой операции за 26 дней определяется отношением дохода к затратам, понесённым для получения этого дохода:

R =1334,16/262565,83, R = 0,005 (0,5%).

Соответственно годовая доходность этой операции за 360 дней - 7,03% ( ( (0,005/26) *360) *100).

Доход продавца векселя (поставщика продукции): 262565,83 - 260000= 2565,83р.

Доходность операции за 34 дня:

R = 2565,83/260000 = 0,0099 (0,99%)

Годовая доходность 10,44%

Задача 4.

Сравнить проценты к уплате, связанные с использованием револьверного кредита и отдельного кредита (ролловера) получаемого на условиях простого процента на 1 месяц.

Показатель

Значение

Сумма кредита, р.

116000

Ставка по кредиту,%

22

Комиссионные,%

6

Остаток на счёте, р.

27556


день

Приход

Расход

Остаток на

счёте

Размер

кредита

Проценты

Комиссионные

Остаток

кредита

1

13850

0

27556

0

0,00

2,95

116000,00

2

36860

98750

-34334

34334

20,98

2,08

3

38232

48765

-44867

44867

27,42

1,81

71133,00

4

8548

39652

-75971

75971

46,43

1,02

40029,00

5

88960

56780

-43791

43791

26,76

1,84

72209,00

6

15810

38563

-66544

66544

40,67

1,26

49456,00

7

26660

45679

-85563

85563

52,29

0,77

30437,00

8

311854

285675

-59384

59384

36,29

1,44

56616,00

9

38888

10400

-30896

30896

18,88

2,16

85104,00

10

42680

87994

-76210

76210

46,57

1,01

39790,00

11

4962

12458

-83706

83706

51,15

0,82

32294,00

12

27570

25431

-81567

81567

49,85

0,88

34433,00

13

28471

16778

-69874

69874

42,70

1,17

46126,00

14

18970

14577

-65481

65481

40,02

1,28

50519,00

15

163958

114397

-15920

9,73

2,54

100080,00

16

10220

27695

-33395

33395

20,41

2,10

82605,00

17

14836

15678

-34237

34237

20,92

2,08

81763,00

18

57113

87899

-65023

65023

39,74

1,30

50977,00

19

22428

37665

-80260

80260

49,05

0,91

35740,00

20

23050

19873

-77083

77083

47,11

0,99

38917,00

21

14000

32455

-95538

95538

58,38

0,52

20462,00

22

21752

14900

-88686

88686

54, 20

0,69

27314,00

23

166875

107953

-29764

29764

18, 19

2, 19

86236,00

24

52593

0

22829

0

0,00

2,95

116000,00

Итого процентов и комиссионных

817,72




Таким образом резюмируем: используя кредитную линию револьверного типа за месяц (24 банковских дня) предприятие выплатило процентов и комиссионных в размере 795,90 р.

На условиях простого процента, затраты связанные с поддержанием такого источника финансирования составят:

I = (116000*0,22) /12 = 2126,7р.

Список использованной литературы


1. Бабич А.М., Павлова Л.Н. Финансы, денежное обращение и кредит. Учебное пособие. - М.: ЮНИТИ, 2005.

2. Борискин А.В. Деньги Кредит Банки/ Е.Ф. Борискин, А.А. Тарабцева. - С-Пб.: СпецЛит, 2005.

3. Гончаров Д. О банковской и коммерческой тайне. // Законность. 2000, №1, стр.52.

4. Деньги, кредит, банки: учебник/ колл. Авт.; под ред. Лаврушина О.И. - 3-е изд., перераб. и доп. - М.: КНОРУС, 2006.

5. Деньги. Кредит. Банки. Учебное пособие. - М.: КИОРУС, 2006.

6. Кожухарь Л.И. Основы общей теории и статистики - М.: Финансы и статистика, 2004.

7. Лаврушин О.И. Деньги Кредит Банки. - М.: Финансы и статистика, 2006

8. Лакшина О.А. Банковские резервы как условие эффективного функционирования кредитной системы // Деньги и кредит, 2008, № 7.

9. Лунтовский Г.И. Проблемы денежно-кредитной системы (интервью с председателем подкомитета по денежно-кредитной политике и деятельности Центрального Банка Государственной Думы) // Деньги и кредит, 2007, № 3.

10. Львин Б. Об устройстве банковской и денежной системы // Вопросы экономики, 2007, № 10.

11. Общая теория денег и кредита. /Под ред. Жукова Е.Ф. - М.: ЮНИТИ,

12. Олейник О.М. Основы банковского права. Курс лекций. - М.: Юристъ, 2004.

13. Семенюта О.Г. Основы банковской деятельности в Российской Федерации. - Ростов-на-Дону: Феникс, 2006.

14. Финансы. Денежное обращение и кредит. Под ред. Г.Б. Полякова. М., 2005.

15. Финансы. Денежное обращение. Кредит. Под ред. Дробозиной. М., "Финансы", издательское объединение "Юнити", 2004.

Похожие работы на - Сущность и цели денежно-кредитной политики

 

Не нашли материал для своей работы?
Поможем написать уникальную работу
Без плагиата!
Без нейросетей!