Процентні ставки та їх структура
Реферат
На тему
ПРОЦЕНТНІ СТАВКИ ТА ЇХ СТРУКТУРА
Зміст
1. Облік фактору часу
у фінансових розрахунках
2. Прості відсотки
3. Складні відсотки
4. Вплив інфляції на результати фінансових розрахунків
5. Облік інфляції у фінансових розрахунках
Розміщаючи капітал
у комерційні банки, інвестиційні проекти, цінні папери і нерухомість, варто
планувати не тільки згодом повернути вкладену суму, але й одержати очікуваний
економічний ефект. Концепція переоцінки вартості грошей ґрунтується на тому, що
ця вартість з часом змінюється. Ключову роль при описі процесу трансформації
вартості коштів у часі відіграють два основних поняття: майбутня вартість
грошей і їхня дійсна вартість.
Майбутня
вартість грошей - це сума інвестованих у даний момент
коштів, в яку вони перейдуть через певний період часу з урахуванням умов
вкладення.
Сучасна
вартість грошей - це сума майбутніх грошових
надходжень, приведених за допомогою певного коефіцієнта (дисконту, дисконтної
ставки) до сучасного періоду.
Розглянемо базові
поняття фінансової математики:
а) відсоток - це
доход від надання капіталу в борг у різних формах (позички, кредити й ін) або від інвестицій виробничого чи фінансового характеру;
б) процентна
ставка - це величина, що характеризує інтенсивність нарахування відсотків;
в) нарощення
первісної (інвестованої) суми - це збільшення даної суми за рахунок нарахованих відсотків; відношення нарощеної суми
до первісної називають множником (коефіцієнтом) нарощення; множник нарощення
показує, у скільки разів зріс первісний капітал;
г) період
нарахування - це інтервал часу, за який нараховуються відсотки.
При проведенні
фінансових розрахунків процеси нарощування вартості можуть здійснюватися як за
простими, так і за складними відсотками.
Прості відсотки - це
метод розрахунку доходу кредитора, одержуваного від позичальника за надані в
борг гроші. Вони нараховуються на ту саму суму позикового капіталу протягом
усього терміну погашення позички.
При складних відсотках
платежі в кожному періоді додаються до капіталу попереднього періоду, а
процентний платіж у наступному періоді нараховується на нарощену величину
первісного капіталу.
Умовні позначки:
а) період
нарахування - п років; т місяців; d днів;
б) сума позики - Ко;
в) сума відсотків
- I;
г) нарощена сума
боргу - Кн ',
д) процентна
ставка - р.
Нарощена сума
боргу розраховується за формулами:
Кн=К0*
(1 + р*п); (1.1)
Кн=К0*
(1 + р
); (1.2)
Кн=К0*
(1 + р
). (1.3)
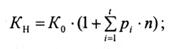
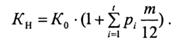
Якщо умови
кредитного договору передбачають зміну процентної ставки протягом терміну
кредиту, то нарощена сума боргу розраховується за формулами:
(1.4)
(1.5)
Кн=К0*
(1 +
).
(1.6)
Існують два методи
нарахування складних відсотків: декурсивний та антисипативний.
Декурсивний (наступний)
спосіб передбачає нарахування відсотків наприкінці кожного часового інтервалу
нарахування. Величина відсотків визначається, виходячи з величини
використовуваного капіталу.
Антисипативний (попередній)
спосіб передбачає нарахування відсотків на початку кожного часового інтервалу.
У світовій практиці
широке поширення одержав декурсивний спосіб нарахування відсотків. Антисипативний
метод нарахування відсотків застосовується, як правило, рідше, у періоди
високої інфляції.
Розглянемо
декурсивний метод нарахування відсотків.
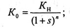
Нарощена сума
боргу (внеску) визначається за формулою:
де Ко
- первісна сума; s - ставка
складних річних відсотків; п - період нарахування, років.
Виходячи з
зазначеної формули можна знайти:
а) первісну суму:
(1.9)
б) ставку складних
річних відсотків:
(1.10)
в) період
нарахування:
(1.11)
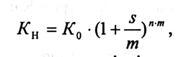
Якщо кількість
розрахункових періодів у році перевищує одиницю, то для розрахунку нарощеної
суми користуються формулою:
, (1.12)
де т - кількість
розрахункових періодів у році.
Інфляція та її
вимірювання. Величезний вплив на результативність фінансових операції робить інфляція,
тобто підвищення загального рівня цін і, як наслідок, знецінювання грошей.
У світовій
практиці облік рівня інфляції здійснюється або за коливанням курсів валют, або
за коливанням рівня цін.
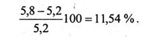
Перший підхід. Припустимо,
на початку року 1 долар коштував 5,2, а наприкінці року - 5,8 грошової одиниці
національної валюти. З цього випливає, що інфляція за рік склала:

Відповідно до
другого підходу, інфляція виміряється за допомогою індексу цін. Індекс цін - це
відношення сукупної ціни "ринкового кошика" у поточному році до ціни
аналогічного "ринкового кошика" у базисному році. Наприклад, при
розрахунку індексу цін на споживчі товари 2002 р. використовується як базовий
період, для якого встановлюється рівень цін, що дорівнює 100. У 2006 р. індекс
цін складав приблизно 118. Це означає, що в 2006 р. ціни були на 18% вищі, ніж
у 2002 p., або, інакше кажучи,
набір товарів, що у 2002р. коштував 100 грошових одиниць, у 2006 p. - 118.
Для кількісної
оцінки впливу інфляції використовуються показники рівня інфляції і й індексу
інфляції І.
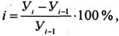
Рівень інфляції
розраховується за формулою:
(1.13)
де Уi - рівень цін i-го
року; Уi-1 - рівень
цін базисного року. Індекс інфляції розраховується за формулою:
І = 1 + і. (1.15)
Рівень інфляції (%)
показує, на скільки відсотків варто збільшити первісну суму, щоб вона зберегла
купівельну спроможність на рівні базисного року.
Індекс інфляції
показує, у скільки разів зросли ціни за розглянутий період часу.
"Правило
величини 70":
(1.16)
де t - приблизна кількість років, необхідна
для подвоєння рівня цін (індексу інфляції).
Інфляція сприяє
знецінюванню грошей, і реальна сума боргу (внеску) скорочується. Розрахунок її
величини варто робити за формулою:
(1.23)
де Кн -
нарощена сума боргу;
І - індекс
інфляції за період кредитування.
Втрати кредитора,
викликані інфляцією, розраховуються за формулою:
Кп = Кн - Кр.
(1.24)