Комета C/2007 N3 (Lulin)
Министерство
образования и науки Украины
Министерство
образования и науки Автономной Республики Крым
Малая
академия наук школьников Крыма «Искатель»
секция
астрономии
КОМЕТА C/2007 N3 (Lulin)
Работу выполнил:
Потапов Евгений, дч
учащийся Гимназии №11 им.
К.А. Тренева
Научные руководители:
Лавут Елена Сергеевна,
Максименко Алевтина
Павловна
Симферополь
2009г.
СОДЕРЖАНИЕ
Введение
Общие сведения о кометах
краткая история изучения комет
строение, состав комет
природа комет
общая теория об элементах орбиты
Комета C/2007
N3 (Lulin)
общие сведения о комете
расчет орбиты кометы
Заключение
Список использованной литературы
ВВЕДЕНИЕ
За все
время, проведенное в Малой Академии Наук, мне удалось пронаблюдать,
сфотографировать и изучить несколько комет. По двум из них, самым ярким и
знаменитым я написал работы. Это были комета 73Р Швассмана-Вахмана 3, которая в
2006 году распалась на множество фрагментов, подобно комете Шумейкеров-Леви 9,
и выдающаяся комета 2007 года 17Р Holmes, внезапно вспыхнувшая и, тем самым, повысившая свою яркость более, чем в
400 000 раз. Все эти работы были основаны на живых фотографиях этих комет.
Однако, в прошедший год меня постигла неудача и единственная, хоть как-то проявившая
себя комета, на которую я возлагал большие надежды в написании будущей работы, пролетела
в самый дождливый период, дав возможность в редких проявлениях между тучами
запечатлеть комету С/2007 N3 Lulin на пленку всего 5 раз за 2 ночи
наблюдений. Но, я не стал искать новую тему для будущего творческого взноса,
потому, что меня очень заинтересовало очень быстрое движение этой кометы по
звездному небу. Я решил узнать, откуда такая скорость передвижения и как она
связана с орбитой кометы? Для этого я попытался сам рассчитать элементы ее
орбиты, начертить саму орбиту, а также, по возможности, сделать другие
вычисления, исходя из 5 фотографий кометы Лулина.
ОБЩИЕ
СВЕДЕНИЯ
Краткая
история изучения комет:
Ещё в
древности человек мог наблюдать прекрасные хвостатые светящиеся образования на
небе, которые, завораживая своим видом, внезапно появлялись и исчезали куда-то.
Эти объекты назвали кометами, что означает «длинноволосые», «косматые».
Первое
письменное упоминание о появлении кометы датируется 2296г. до н. э. Движение
кометы по созвездиям тщательно наблюдалось китайскими астрономами. Научно
обосновать явление комет первым попытался Аристотель. На принадлежность комет к
Солнечной системе впервые указал Э. Галлей. Джованни Вирджинио Скиапарелли
впервые показал, что рой кометных тел, сопровождает Солнце в его движении среди
звёзд. Этот рой был назван облаком Оорта. Эрнст Юлиус Эпик установил, что
ежегодно нашу Солнечную систему покидают несколько наблюдавшихся комет.
Известный советский астроном Борис Александрович Воронцов-Вельяминов продолжил
идеи Эпика и высказал предположение о существовании межгалактического кометного
фона.
За
прошедшие двести лет астрономия совершила гигантский прорыв в понимании законов
строения и эволюции комет. В наши дни для изучения комет используются не только
наземные средства наблюдений, но и возможности космических аппаратов.
Строение.
Состав комет:
У комет,
приблизившихся к Солнцу, различают «голову» и «хвост». Центральная часть головы
кометы называется ядром. Ядро -это небольшое компактное тело, являющееся
конгломератом каменной и ледяной пород. Диаметры ядра колеблются в пределах от
0,5 до 20 км, масса составляет 10 в 10 степени кг. Оно, в основном, состоит из
смеси льдов различной природы.
Ядро
кометы окутывает оболочка кома, которая является вторичным образованием, т. к.
состоит из вещества, выброшенного из кометного ядра.
Под
действием светового давления и корпускулярных потоков образуется хвост. Хвост
кометы - длинные струйные образования из головы кометы в противоположную от
Солнца сторону. Хвост кометы состоит из улетучивающихся из ядра под действием
солнечных лучей молекул газов и частиц пыли. Хвосты различают: пылевой, газовый
и аномальный.
Природа
комет:
Вдали от
Солнца температура кометного ядра близка к абсолютному нулю. На расстоянии
примерно 5а.е. от Солнца температура на поверхности кометного ядра становится
-140 градусов Цельсия. Начинается процесс испарения льдов. При испарении
летучих веществ на поверхности ядра образуется корка, препятствующая
дальнейшему испарению газов. Толщина корки увеличивается с течением времени.
Это явление называется «кометная старость». Кометам свойственно
"омолаживаться". Это происходит при столкновениях комет между собой
или с астероидами. Сохранению молодости комет способствует их выброс в облако
Оорта. Механизм столкновения комет может приводить не только к их омоложению,
но и к дроблению кометных ядер на более мелкие. Известны
"микрокометы" и "миникометы".
Кометы
делят на два основных класса в зависимости от периода их обращения вокруг
Солнца:
Короткопериодическими
называют кометы с периодами обращения менее 200 лет, а долгопериодическими - с
периодами более 200 лет. Все короткопериодические кометы являются членами
разных кометно-планетных семейств больших планет.
Общая
теория об элементах орбиты
Рис. 1
Элементы орбиты -
величины, характеризующие орбиту небесного тела, а также положения тела на
орбите.
Орбита
небесного тела, движущегося в поле тяготения др. тела, представляет собой
кривую второго порядка (конич. сечение), в одном из фокусов которой находится
центр масс двух тел (притягивающий центр). Данное определение относится к
случаю, когда взаимодействующие тела сферически-симметричны или же находятся на
столь большом расстоянии, что отклонение их формы от сферической не сказывается
существенно на силе взаимодействия.
Точка орбиты
тела, ближайшая к притягивающему центру, наз. перицентром, а наиболее удаленная
- апоцентром. В данном случае это перигелий и афелий.
На рис. 1 Sxy
- основная координатная плоскость. Здесь это плоскость земного экватора.
Ось Sx
направлена в основную точку, за которую для орбит тел в Солнечной системе чаще
всего принимают точку весеннего равноденствия
(одну из точек пересечения
экватора с эклиптикой). Плоскость NПN' - плоскость орбиты небесного
тела, П - перигелий орбиты,
- полюс орбиты (он находится на
прямой, проходящей через перигелий и перпендикулярной к плоскости орбиты), T
- положение небесного тела на орбите.
Прямая NSN',
по которой плоскость орбиты NПN' пересекается с основной координатной
плоскостью Sxy, называется линией узлов. Полупрямая SN,
которую небесное тело пересекает, показывает положительное направление линии
узлов. Если движение небесного тела происходит против часовой стрелки для
наблюдателя, находящегося в полюсе орбиты
, то точка N называется
восходящим узлом орбиты, а N' - нисходящим узлом. Угол
между осью Sx
и полупрямой SN наз. долготой восходящего узла. Этот угол отсчитывается
от оси Sx в сторону оси Sy от 0 до 360o.
Угол i между плоскостью орбиты и плоскостью Sxy
называется наклоном орбиты. Наклон может иметь все значения от 0 до 180o.
Если
, то движение наз. прямым, если же
, то обратным. Угловое расстояние
линии SП
от линии узлов SN наз. расстоянием перигелия от узла или аргументом
перигелия. Угол
отсчитывается в направлении движения тела от 0 до 360o.
Рис. 2
Величины
составляют
первую группу элементов орбиты, первые два из них характеризуют положение
плоскости орбиты, а третий - ориентацию орбиты в этой плоскости.
Размер орбиты
и ее форму характеризуют элементы p и e - параметр и
эксцетреситет (рис. 2). Эксцетреситетом орбиты e наз. отношение
расстояния между фокусами F1F2=2c этой орбиты к
расстоянию между ее вершинами A и A'. Расстояние между ее
вершинами обозначают 2a, а величину a наз. большой полуосью
орбиты, так что e=c/a. Для нашей параболической орбиты c=a,
поэтому e=1. Половина фокальной хорды DD' орбиты,
перпендикулярной к ее оси, носит название фокального параметра и обозначается
буквой p. Вместо двух элементов p и e для параболы
используют один элемент q=p/2 - перигелийное расстояние (на рис. 2
отрезок AF1). Движение по круговой орбите является частным
случаем движения по эллипсу (e=0).
Положение
небесного тела на орбите в некоторый начальный момент времени t0
определяется его угловым расстоянием от линии апсид. Этот угол обозначается
через M0 и наз. средней аномалией в эпоху. Часто в качестве
элемента выбирают момент времени
прохождения небесного тела через
перигелий орбиты.
Элементы
наз. кеплеровскими элементами. Они
определяют орбиту независимо от того, является ли она эллиптической,
гиперболической или параболической.
КОМЕТА C/2007 N3 (Lulin)
Общие сведения о
комете
Любители астрономии
хорошо помнят неожиданную вспышку кометы Холмса, всего за сутки превратившую
эту комету из телескопического объекта в объект, видимый невооруженным глазом.
Но прошло чуть более года, как Природа уготовила нам новый сюрприз. Конечно, не
такой яркий, но не менее загадочный.
Комета C/2007 N3 (Lulin),
проще говоря – комета Лулина, была открыта сравнительно недавно - в июле 2007
года двумя астрономами Цюань Чжи Е (Quanzhi Ye) и Чи Шэн Линь (Chi Sheng Lin).
Свое интересное название она получила в честь тайваньской обсерватории Лулин,
где работал один из первооткрывателей.
Комета Lulin
представляет собой очень интересный и необычный объект, который движется по
своей орбите в противоположную всем планетам сторону. При этом угол наклона
орбиты кометы к плоскости эклиптики очень мал – всего 1,6° (или 178, 380).
Комета движется по параболической траектории и, вероятно, это ее первый визит к
Солнцу. Орбита кометы пересекает пути всех планет-гигантов Солнечной системы
(перигелий кометы - между орбитами Земли и Марса), но ни одна из них на нее не
оказала заметного влияния.
Еще в начале июля 2008
года блеск кометы Lulin был около 11m, но уже к октябрю увеличился до 9,5m. В
конце декабря ее блеск оценивался в 7,6m. Максимального сближения с Землей
комета достигла 24 февраля 2009 года, когда геоцентрическое расстояние
составило 61 миллион километров. Ее блеск составил 5m, при этом скорость
перемещения кометы по небесной сфере составила примерно 5° в сутки. Это
объясняют ее «обратным» движением.
В период наилучшей
видимости в феврале 2009 года комета двигалась по созвездиям Весов, Девы, Льва
и Рака. Комета прошла близ ярких звезд Спики и Регула. При наблюдении на неё
через бинокль или телескоп, наблюдали видимое движение кометы на фоне звёзд. 14
января комета находилась на ближайшем расстоянии от Солнца. А в ночь с 23 на 24
февраля комета Lulin прошла всего в 2° южнее Сатурна. Именно в эту ночь были
относительно неплохие погодные условия, и нам удалось запечатлеть на пленку это
прохождение.
Ко всему
прочему, комета Lulin, подобно
комете 17P Holmes, имела необычный зеленоватый оттенок ( >> ).
Характерный цвет комете Лулин придали входящие в состав ее ядра молекулы
углерода и ядовитого газа дициан, которые под воздействием солнечных лучей и в
условиях безвоздушного пространства создают зеленоватое свечение.
И, пожалуй,
главной особенностью этой замечательной кометы был "сброс" кометой
Лулин своего нормального хвоста ( >> ). Аномальный хвост кометы, или
"антихвост", при этом не изменился.
Природа
феномена, как и очень многое в природе комет вообще, далека от понимания.
Эффект сброса хвоста наблюдался при столкновении в 2007 году кометы Энке с
облаком солнечного вещества, выброшенного протуберанцем. Однако можно ли в
данном случае говорить о выбросе солнечного ветра, неясно.
На
представленных астрономами снимках сгусток, отделившийся, от ядра, отстоит от
него примерно на полградуса - диаметр полной Луны. К тому же Солнце находится
не просто в абсолютном минимуме своей активности, но и в минимуме, по
необъяснимым причинам необыкновенно затянувшемся.
Расчет
элементов орбиты кометы Lulin
Как я уже упоминал,
комета Lulin, к несчастью, пролетела в самый
дождливый период, не дав ее толком сфотографировать. К тому же, мешала яркая Луна.
Но, я не отчаялся и решил узнать, почему комета имела довольно большую скорость
на звездном небе, рассчитав ее орбиту.
На 19.02.09 в 5ч. 20м.
α = 12h 30΄ 36΄΄
δ = -2º 54΄47΄΄
На 24.02.09 в 2ч. 00м.
α = 11h 1΄ 7΄΄
δ = +6º 18΄
Эфемериды третьего
положения мне пришлось взять в готовом виде в Интернете:
На 10.03.09. в 0ч. 00м.
α = 7h 54΄ 18΄΄
δ = +20º 13΄ 11΄΄
Для начала, выполнив
необходимые вычисления, я перевел экваториальные координаты (α, δ)
этих трех положений в эклиптикальные (X, Y, Z).
За единицу времени принял
средние солнечные сутки, за единицу расстояния – астрономическую единицу.
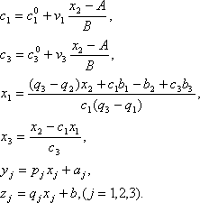
1. Находим для всех трех
моментов величины:
Далее находим:
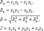
2. Находим величины:
,
где k = 0,017 202 1;
3. Решаем систему двух
уравнений с двумя неизвестными x2 и r2:
Применяя так
называемый метод последовательных приближений, выбираем произвольно некоторое
начальное значение x2 = (x2)0, после чего
находим (r2)0 и из следующего уравнения вычисляем
значение x2 = (x2)1. Если бы начальное
значение x2 было выбрано правильно, т.е. удовлетворяло бы
уравнениям, то тогда (x2)0 = (x2)1.
В противном случае (x2)0 ≠ (x2)1. Тогда с
новым значением (x2)1 вычисляем аналогичным путем
следующее приближение (x2)2. Если (x2)1
≠ (x2)2, то
вычисляем дальше и так до тех пор, пока два последующих приближения не сойдутся
в пределах заданной точности.
4. Далее
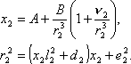
находим:
Координаты (xj
,yj, zj), j = 1,2,3 – прямоугольные
гелиоцентрические экваториальные координаты тела в моменты 1, 2, 3
соответственно. Дальнейшее вычисление элементов орбиты может быть проведено по
двум гелиоцентрическим положениям. Обычно выбирают два крайних положения, но я
взял два положения, соответствующие моим снимкам 19.02 и 24.02.2009.
5. Вычисляем:

где x, y, z1 – эклиптические координаты кометы
19.02, а x, y, z3 – координаты на 24.02.
6. Находим
элементы Ω (долготу узла), i (наклонение) по формулам:
После
проведения этих вычислений, у меня получились такие результаты:
Ω ≈
338,8º
i ≈ 178, 4º, что означает
обратное движение кометы по орбите с наклоном самой орбиты к эклиптике на
1,6º.
7. определяем параметр
орбиты р:
,
где Y вычисляем с помощью непрерывной
дроби:
р ≈ 2,6896 а. е.
Имея в
распоряжении параметр орбиты, по очень простой формуле q=p/2 можно
высчитать q (перигелийное расстояние) орбиты
кометы Lulin.
q = 1,3448 а.е.
Значит,
перигелий орбиты, с учетом погрешностей, находится где-то около орбиты Марса.
8.
Эксцентриситет орбиты кометы Лулина, по определению равен 1, исходя из ее
параболической орбиты. В связи с этим же мы не можем высчитать несуществующую
большую полуось. Следовательно, такой элемент, как средняя аномалия М = 0.
9. Последним
элементом находим аргумент перигелия ω. Я не нашел формул для его
вычисления, поэтому мне пришлось считать аргумент перигелия и момент для
прохождения (t0) перигелия с помощью специальной компьютерной
программы.
В итоге вышло:
ω ≈
152,2º
t0
≈ 18. 01. 2009
Итак,
получились такие элементы орбиты кометы С/2007 N3 Lulin:
i ≈ 178, 4º
Ω ≈
338,8º
q ≈ 1,3448 а.е.
e
= 1
M
= 0
ω ≈
152,2º
t0
≈ 18. 01. 2009
Если сравнить
с теми, что даны во Всемирной сети:
Наклон орбиты, гр 178,3704
Долгота восходящего узла, гр 338,4791
Перигелийное расстояние, а.е. 1,209265
Эксцентриситет орбиты 0,999581
Аргумент перигелия, гр 136,9164
Дата прохождения
перигелия 10. 01.2009
Видно, что погрешность в моих вычислениях не очень большая, даже, можно сказать, приемлемая.

Теперь, зная элементы орбиты кометы Лулина, можно начертить и саму орбиту:
ЗАКЛЮЧЕНИЕ
Таким образом, мне
удалось изучить, немного пронаблюдать и сфотографировать еще одну неординарную
комету C/2007 N3 (Lulin),
таящую в себе много загадок. В одной из них я смог разобраться – это ее очень
быстрое движение на небе среди звезд из-за нестандартного расположения орбиты
кометы, но вторая – отделение хвоста – так и остается неразгаданной.
Благодаря этой комете,
точнее, благодаря неблагоприятным условиям ее видимости, мне, конечно, не
удалось сделать так много ее фотоснимков, как прошлых неординарных комет, но,
зато на примере кометы Lulin
я смог разобраться и изучить небольшой, однако, довольно непростой раздел
астрометрии, такой, как вычисление кеплеровских элементов параболической
орбиты, о котором раньше я знал лишь азы.
В дальнейшем я планирую
подробней и более глубоко изучить комету Lulin, исходя из имеющихся данных, попытаться рассчитать ее
нормальную скорость, позиционный угол хвоста и другие элементы.
СПИСОК ИСПОЛЬЗОВАНОЙ
ЛИТЕРАТУРЫ
2.
Учебник для 11
класса Е. П. Левитан
3.
Учебник для 11
класса Б. А. Воронцов-Вельяминов
4.
Общий курс астрономии
М. Кононович.
5.
Интернет-ресурсы:
A.
http://meteoweb.ru/astro/clnd023
D.
http://www.astrogalaxy.ru/797