Статистические методы определения экономических показателей
Задача 1
По данным таблице произведите группировку 30 коммерческих
банков по величине кредитных вложений. Результаты группировки изложите в
сводных групповых таблицах и проанализируйте.
|
Номер банка
|
Кредитные вложения млн. руб.
|
Капитал, млн. руб.
|
Прибыль, млн. руб.
|
|
1
|
50,2
|
106,3
|
2,5
|
|
2
|
0,5
|
100,1
|
0,1
|
|
3
|
89,8
|
95,7
|
2,0
|
|
4
|
88,3
|
90,9
|
5,3
|
|
5
|
21,0
|
88,1
|
22,1
|
|
6
|
59,9
|
87,9
|
0,2
|
|
7
|
0,1
|
86,9
|
0,9
|
|
8
|
156,0
|
101,7
|
5,9
|
|
9
|
145,5
|
101,0
|
0,1
|
|
10
|
93,3
|
97,8
|
0,1
|
|
11
|
136,4
|
96,3
|
3,9
|
|
12
|
150,8
|
96,3
|
0,4
|
|
13
|
135,4
|
95,0
|
13,4
|
|
14
|
99,9
|
93,2
|
17,2
|
|
15
|
111,3
|
92,6
|
5,6
|
|
16
|
167,1
|
86,8
|
12,3
|
|
17
|
98,3
|
86,7
|
1,1
|
|
18
|
171,0
|
85,3
|
4,8
|
|
19
|
148,3
|
83,9
|
3,6
|
|
20
|
117,3
|
80,9
|
13,6
|
|
21
|
180,0
|
79,7
|
2,0
|
|
22
|
198,1
|
103,4
|
2,4
|
|
23
|
215,0
|
101,8
|
49,3
|
|
24
|
211,0
|
101,1
|
2,0
|
|
25
|
250,5
|
98,0
|
6,6
|
|
26
|
199,7
|
95,8
|
16,8
|
|
27
|
256,7
|
84,7
|
19,1
|
|
28
|
366,8
|
106,4
|
9,7
|
|
29
|
298,5
|
97,7
|
34,4
|
|
30
|
302,5
|
92,9
|
5,1
|
Решение:
Определим величину интервала
h=(xmax - xmin)/n =(366,8-0,1)/4=91,7.
Обозначим границы групп: 0,1-91,7 – 1 группа; 91,8-183,4
– 2 группа; 183,5-275,1 – 3 группа; 275,2-366,8 – 4 группа.
Разнесем показатели, характеризующие состояние банков по
4 указанным выше группам и подсчитаем групповые итоги. Полученным данным
занесем в таблицу.
Определим общие итоги по каждому показателю. Полученные
данные занесем в таблицу.
|
Величина кредитных вложений, млн. руб.
|
Номера банков
|
Число банков
|
Кредитные вложения, млн. руб.
|
Капитал, млн. руб.
|
Прибыль, млн. руб.
|
|
0,1-91,7
|
7, 2, 5, 1, 6, 4, 3
|
7
|
309,8
|
655,9
|
55,7
|
|
91,8-183,4
|
10, 17, 14, 15, 20, 13, 11, 9, 19, 12, 8, 16, 18, 21
|
14
|
1910,6
|
1277,2
|
84
|
|
183,5-275,1
|
22, 26, 24, 23, 25, 27
|
6
|
1331
|
584,8
|
96,2
|
|
275,2-366,8
|
29, 30, 28
|
3
|
967,8
|
297
|
49,2
|
|
Итого
|
|
30
|
4519,2
|
2814,9
|
285,1
|
Полученные в таблицы абсолютные данные пересчитываем в «проценты
к итогу»
Например, 1группа:
доля банков: 7/30*100%=23,3%
структура кредитных вложений: 309,8/4519,2*100%=44,26 и
т.д.
Таблица 1.
Группировка коммерческих банков региона по величине
кредитных вложений в % к итогу
|
Величина кредитных вложений, млн. руб.
|
Число банков
|
Доля банков
|
Структура кредитных вложений, млн. руб.
|
Структура капитала, млн. руб.
|
Структура прибыли, млн. руб.
|
|
0,1-91,1
|
7
|
23,3
|
6,9
|
23,3
|
19,5
|
|
91,8-183,4
|
14
|
46,7
|
42,3
|
45,4
|
29,5
|
|
183,5-275,1
|
6
|
20,0
|
29,5
|
20,8
|
33,8
|
|
275,2-366,8
|
3
|
10,0
|
21,3
|
10,5
|
17,2
|
|
Итого
|
30
|
100
|
100
|
100
|
100
|
Из таблицы 1 видно, что в основном преобладают банки
второй группы, т.е. средне-активно работающие на рынке кредитования. Их
удельный вес в общей численности коммерческих банках составляет 46,7%, на их
долю приходится 45,2% всего капитала, 42,3 % кредитных вложений и только 29,5%
прибыли. В то же время, следующая, более активная по сравнению с предыдущей
группа коммерческих банков численностью лишь 20,0%, имеет 20,8% капитала и 29,5
% кредитных вложений. Но она наиболее выгодно размещает свои кредиты. Ее
прибыль составляет 33,8 % от общей массы прибыли коммерческих банков
Таблица 2
Группировка коммерческих банков региона по величине
кредитных вложений
|
Величина кредитных вложений, млн. руб.
|
Число банков
|
Кредитные вложения, млн. руб.
|
Прибыль, млн. руб.
|
|
0,1-91,7
|
7
|
309,8
|
44,26
|
55,7
|
7,96
|
|
91,8-183,4
|
14
|
1910,6
|
136,77
|
84
|
6,00
|
|
183,5-275,1
|
6
|
1331
|
221,83
|
96,2
|
16,07
|
|
275,2-366,9
|
3
|
967,8
|
322,60
|
49,2
|
16,40
|
|
Итого
|
30
|
4519,2
|
-
|
285,1
|
-
|
|
В среднем на один банк
|
-
|
-
|
150,64
|
|
9,51
|
Чем активнее банк работает на рынке кредитования, тем выше
прибыль.
Задача 2
Выполните вторичную группировку данных представленных в
таблице, выделив три группы предприятий со средней численностью работающих до
500, 501-5000, 5001 и более человек.
|
Группы предприятий по среднегодовой численности
работающих
|
Число предприятий, %
|
Объем продукции, %
|
|
До 100
|
7
|
3
|
|
101-200
|
35
|
6
|
|
201-500
|
24
|
8
|
|
501-3000
|
12
|
15
|
|
3001-10000
|
18
|
26
|
|
10001 и более
|
4
|
42
|
|
Итого
|
100
|
100
|
Решение:
В первую группу предприятий с численностью до 500 чел.
полностью войдут 3 первые группы (до 100, 101-200, 201-500). Тогда доля
предприятий этих групп составит 66% (7+35+24), а объем продукции –17% (3+6+8).
Для расчета показателей группы предприятий с численностью
501-5000 чел. необходимо взять 4 группу и добавить 2000 от интервала
3001-10000. Поскольку данный интервал составляет 7000 чел, то 2000-это 2/7
пятой группы. Тогда доля предприятий группы 501-5000 рассчитывается так:
12+(18/7)*2=17,4 ≈17%.
Аналогично рассчитываем объем продукции:
15+(26/7)*2=22,4%.
В третью группу предприятий с численностью 5001 чел. и
более войдут 5/7 пятой группы:
(18/7)*5+4=16,86≈17%.
Объем продукции составит(26/7)*5+43=60,6%.
Вторичная группировка представлена в таблице:
Группировка промышленных предприятий по среднегодовой
численности работающих (в % к итогу)
|
Группы предприятий по среднегодовой численности работающих
|
Число предприятий, %
|
Объем продукции, %
|
|
До 500
|
66
|
17
|
|
501-5000
|
17
|
22,4
|
|
5001и более
|
17
|
60,6
|
|
Итого
|
100
|
100
|
Задача 3
На основе данных таблицы определите средний возраст
персонала.
Распределение сотрудников предприятия по возрасту:
|
Возраст
|
Число сотрудников (чел.)
|
|
До 25
|
8
|
|
25-30
|
32
|
|
30-40
|
68
|
|
40-50
|
49
|
|
50-60
|
21
|
|
60 и более
|
3
|
|
Итого
|
181
|
Решение:
Для определения среднего возраста персонала найдем
середины интервалов. При этом величины открытых интервалов (первого и
последнего) условно приравниваются к величинам интервалов, примыкающих к ним
(второго и предпоследнего).
С учетом этого середины интервалов будут: 22,5 27,5 35,0 45,0
55,0 65,0
Задача 4
По данным таблицы определите моду и медиану.
|
Номер студента
|
1
|
2
|
3
|
4
|
5
|
6
|
7
|
8
|
9
|
10
|
|
Возраст
|
19
|
21
|
19
|
20
|
20
|
20
|
21
|
23
|
20
|
Решение:
Модальный возраст в данном случае – 20 лет, так как он
повторяется в 4 раза, т.е. чаще, чем все другие.
Для расчета медианы по не сгруппированным данным
ранжируем студентов по возрасту:
|
х1
|
х2
|
х3
|
х4
|
х5
|
х6
|
х7
|
х8
|
х9
|
х10
|
|
19
|
19
|
20
|
20
|
20
|
20
|
21
|
21
|
22
|
22
|
Определим порядковый номер медианы по формуле:
Это значит, что медиана расположена между 5 и 6 значением
признака. Она равна средней арифметической из суммы пятого и шестого значений:
Задача 5
По данным таблицы определите моду, медиану.
Распределение населения области по уровню среднедушевых денежных
доходов
|
Среднедушевой денежный доход (в среднем за месяц), руб.
|
Численность населения, тыс. чел
|
|
До 4000
|
22,1
|
|
4000-6000
|
27,8
|
|
6000-8000
|
25,2
|
|
8000-10000
|
19,6
|
|
10000-12000
|
14,3
|
|
12000-16000
|
17,6
|
|
16000-20000
|
9,0
|
|
20000 и более
|
11,1
|
|
Итого:
|
146,7
|
Решение:
Интервал с границами 4000-6000 в данном распределении
будет модальным, так как он имеет наибольшую величину.
Формула для определения моды по интервальным рядам имеет
следующий вид:
,
где:
ХMo — начало модального интервала;
WMo— частота, соответствующая модальному интервалу;
WMo-1 — предмодальная частота;
WMo+1— послемодальная частота.
где:
ХMe— нижняя граница медианного интервала;
h — величина интервала;
SMe-1— накопленная частота интервала, предшествующего
медианному;
mMe— частота медианного интервала.
Для определения медианного интервала необходимо
рассчитывать накопленную частоту каждого последующего интервала до тех пор,
пока она не превысит ½ суммы накопленных частот (в нашем случае 73,35).
Таким образом, медианным является интервал с границами
6000-8000. Тогда медиана равна:
|
Интервал
|
Накопленная частота, млн. чел.
|
|
До 4000
|
22,1
|
|
4000-6000
|
49,9
|
|
6000-800
|
75,1
|
Задача 7
По данным о вводе в действие жилых домов (млн. м2)
рассчитать цепные, базисные
а) абсолютные приросты;
б) темпы роста;
в) темпы прироста.
Показатель
|
2001
|
2002
|
2003
|
2004
|
2005
|
|
Общая площадь, млн. м2
|
7,0
|
6,5
|
5,9
|
5,5
|
4,9
|
Решение
|
|
Абсолютный прирост
|
Темп роста, %
|
Темп прироста, %
|
|
цепной
|
базисный
|
цепной
|
базисный
|
цепной
|
базисный
|
|
1
|
7,0
|
|
|
|
|
|
|
|
2
|
6,5
|
6,5-7,0=-0,5
|
6,5-7,0=-0,5
|
6,5/7,0*100=92,86
|
6,5/7,0*100=92,86
|
92,86-100= -7,14
|
92,86-100= -7,14
|
|
3
|
5,9
|
5,9- 6,5=-0,6
|
5,9-7,0= -1,1
|
5,9/6,5*100 =90,77
|
5,9/7,0*100=84,29
|
90,77-100= -9,23
|
84,29-100= -15,71
|
|
4
|
5,5
|
5,5-5,9=-0,4
|
5,5-7,0=-1,5
|
5,5/5,9*100=78,57
|
5,5/7,0*100=78,57
|
93,22-100= -6,78
|
78,57-100=--21,43
|
|
5
|
4,9
|
4,9-5,5=-0,4
|
4,9-7,0=-2,1
|
4,9/5,5*100=89,09
|
4,9/7,0*100=70,00
|
89,09-100= -10,91
|
70,00-100= -30,00
|
Задача 8
Имеются данные о реализации овощной продукции в области.
Определите индекс товарооборота, сводный индекс цен, сводный индекс физического
объема реализации.
|
Наименование товара
|
Август
|
Сентябрь
|
|
Цена за 1 кг, руб. (p0)
|
Продано, т (q0)
|
Цена за 1 кг, руб. (p1)
|
Продано, т (q1)
|
|
Лук
|
12
|
18
|
12
|
15
|
|
Картофель
|
11
|
22
|
10
|
27
|
|
Морковь
|
9
|
20
|
7
|
24
|
|
Итого
|
х
|
Х
|
х
|
х
|
Решение:
Добавим в таблицу расчетные графы:
|
Наименование товара
|
Август
|
Сентябрь
|
Расчетные графы
|
|
Цена за 1 кг, руб. (p0)
|
Продано, т (q0)
|
Цена за 1 кг, руб. (p1)
|
Продано, т (q1)
|
P0q0
|
P1q1
|
P0q1
|
|
Лук
|
12
|
18
|
12
|
15
|
216
|
180
|
180
|
|
Картофель
|
11
|
22
|
10
|
27
|
242
|
270
|
297
|
|
Морковь
|
9
|
20
|
7
|
24
|
180
|
168
|
216
|
|
Итого
|
х
|
Х
|
х
|
х
|
638
|
618
|
693
|
Рассчитаем индекс товарооборота:
или
96, 9%
Товарооборот в целом по данной товарной группе в текущем
периоде по сравнению с базисным уменьшился на 3,1 % (100% - 96,9%)
Вычислим сводный индекс цен
или
89,2%
По данной товарной группе цены в сентябре по сравнению с
августом в среднем снизились на 10,8%.
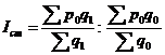
3) Рассчитаем индекс физического объема реализации:
или
108,6 %
Физический объем реализации увеличился на 8,6%.
Задача 9
По данным таблицы проведите анализ цен реализации товара
в 2-х регионах.
|
Регион
|
Август
|
Сентябрь
|
|
Цена руб. (p0)
|
Продано, шт. (q0)
|
Цена, руб. (p1)
|
Продано, шт. (q1)
|
|
1
|
12
|
10000
|
13
|
8000
|
|
2
|
17
|
20000
|
19
|
9000
|
|
Итого
|
х
|
30000
|
х
|
27000
|
Решение:
Добавим в таблицу расчетные графы
|
Регион
|
Август
|
сентябрь
|
Расчетные графы
|
|
Цена руб. (p0)
|
Продано, т (q0)
|
Цена за 1 кг., руб. (p1)
|
Продано, т (q1)
|
P0q0
|
P1q1
|
P0q1
|
|
1
|
12
|
10000
|
13
|
8000
|
120000
|
234000
|
216000
|
|
2
|
17
|
20000
|
19
|
9000
|
340000
|
171000
|
153000
|
|
Итого
|
Х
|
30000
|
х
|
27000
|
46000
|
405000
|
369000
|
Вычислим индекс переменного состава.
или
97,8
Рассчитаем индекс структурных сдвигов
или
89,1%
Из данных таблицы видно, что цена в каждом регионе в
сентябре по сравнению с августом возросла. В целом же, средняя цена снизилась
на 2,2%. (97,8% - 100%). Такое несоответствие объясняется влиянием изменением
структуры реализации товаров регионам: в сентябре по более высокой цене
продавали товара вдвое больше, в сентябре
Ситуация принципиально изменилась. В целом по полученному
значению индекса структурных сдвигов можно сделать вывод, что цены за счет
структурных сдвигов цены снизились на 10,9% (100%-89,1%)
Задача 10
По данным таблицы определите среднее линейное отклонение,
размах вариации, дисперсию, среднее квадратическое отклонение, коэффициент
вариации.
|
Группы работников по стажу, лет
|
Количество рабочих, чел.
|
|
6-10
|
15
|
|
10-14
|
30
|
|
14-18
|
45
|
|
18-22
|
10
|
Решение:
Расчетная таблица имеет следующий вид:
|
Группы работников по стажу, лет
|
Количество рабочих, чел. (f)
|
Середина интервала, (х)
|
хf
|
½x-`x½
|
½x-`x½f
|
(x-`x)2
|
(x-`x)2f
|
x2
|
x2f
|
|
6-10
|
15
|
8
|
120
|
6
|
90
|
36
|
540
|
64
|
960
|
|
10-14
|
30
|
12
|
360
|
2
|
60
|
4
|
120
|
144
|
4320
|
|
14-18
|
45
|
16
|
720
|
2
|
90
|
4
|
180
|
256
|
11520
|
|
18-22
|
10
|
20
|
200
|
6
|
60
|
360
|
400
|
4000
|
|
Всего
|
100
|
14
|
1400
|
16
|
300
|
80
|
1200
|
864
|
20800
|
1) Определим средний стаж по формуле средней
арифметической
лет
2) Определим среднее линейное отклонение
года
3) Рассчитаем дисперсию
4. Рассчитаем среднее квадратическое отклонение:
года
5.Найдем размах вариации:
R=22-6=16 лет
6. Найдем коэффициент вариации:
Рассчитанные показатели свидетельствуют о том, что средний
стаж работы составляет 14 лет, отклонение индивидуальных значений стажа от
среднего составляет в среднем 3 года; среднее квадратическое отклонение – 3,5
года - небольшое, следовательно, средняя арифметическая хорошо отражает
представленную совокупность. Совокупность однородна по изучаемому признаку.
Вариация признака < 33, т.е. умеренная.