Принятие управленческих решений с использованием моделей выбора оптимальных стратегий в условиях полной неопределенности

  • Вид работы:
    Реферат
  • Предмет:
    Экономика отраслей
  • Язык:
    Русский
    ,
    Формат файла:
    MS Word
    65,47 kb
  • Опубликовано:
    2010-05-22
Вы можете узнать стоимость помощи в написании студенческой работы.
Помощь в написании работы, которую точно примут!

Принятие управленческих решений с использованием моделей выбора оптимальных стратегий в условиях полной неопределенности

1. ОБЩАЯ МЕТОДИКА ФОРМИРОВАНИЯ КРИТЕРИЕВ

Суть предлагаемой методики формирования критериев заключается в реализации следующих пунктов.

1) Из выигрышей аij, i=1,…,m; j=1,…,n, игрока А составляем матрицу А, предполагая, что она удовлетворяет указанным выше условиям: m³2, n³2 и она не содержит доминируемых (в частности, дублируемых) строк.

Выигрыши аij игрока А, представленные в виде матрицы А, дают возможность лучшего обозрения результатов выбора стратегий Аi, i=1,…,m, игроком А при каждом состоянии природы Пj, j=1,…,n.

2) Фиксируем распределение удовлетворяющих условию (1) вероятностей qj=p(Пj), j=1,…,n, состояний природы Пj, j=1,…n, разумеется, если они известны. Таким образом, пункт 2 участвует в методике формирования критерия в случае принятия решения в условиях риска.

3) На основании пунктов 1 и 2 выбираем натуральное число l, 1£l£n, и определенным образом строим матрицу

В=

j

Bi

1

2

l

B1

b11

b12

b1l

B2

b21

b22

b2l

Bm

bm1

bm2

bml


размера m x l. Построение конкретной матрицы В порождается содержательной идеей формируемого критерия.

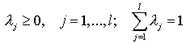
4) Выбираем l из чисел l1,…, ll, удовлетворяющих условиям

(2)


Назовем их коэффициентами формируемого критерия. Они призваны играть роль количественных оценок некоторых субъективных проявлений игрока А (лица, принимающего решение), а именно степени доверия к распределению вероятностей состояний природы и степени его пессимизма (оптимизма) при принятии решений.

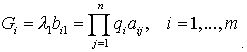
5) Используя матрицу В и коэффициенты l1,…, ll, каждой стратегии Аi, i=1,…,m, игрока А поставим в соответствие число

(3)


которое назовем показателем эффективности Аi.

Таким образом, показатель эффективности Gi стратегии Аi, i=1,…,m, учитывает определенным образом выигрыши игрока А при этой стратегии, вероятности состояний природы (если они известны) и его субъективные проявления при выборе наиболее эффективной стратегии.

6) Определим цену игры G в чистых стратегиях как максимальный показатель эффективности стратегий Аi, i=1,…,m, т.е.

(4)


7) Определим оптимальную стратегию.

Оптимальной стратегией назовем стратегию Аk с максимальным показателем эффективности, другими словами, - стратегию, показатель эффективности Gk которой совпадает с ценой игры G:

Gk= G.

(5)


Понятно, что такое определение оптимальной стратегии не влечет ее единственности.

Отметим, что по логике этого пункта игрок А, выбирая оптимальную стратегию, максимизирует показатель Gi (см. (5)). Это обстоятельство оправдывает то, что этот показатель мы назвали (в пункте 5) показателем эффективности.

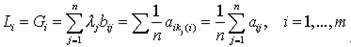
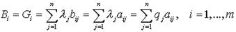
2. ФОРМИРОВАНИЕ НЕКОТОРЫХ ИЗВЕСТНЫХ КРИТЕРИЕВ-ЧАСТНЫЕ СЛУЧАИ ОБЩЕЙ МЕТОДИКИ

Критерий Байеса ([1], [2], [5], [7]).

1) Пусть А является матрицей выигрышей игрока А.

2) Известны вероятности qj=p(Пj), j=1,…,n, состояний природы Пj, j=1,…,n, удовлетворяющие условию (1). Следовательно, речь идет о принятии решения в условиях риска.

3) Полагаем l=n и матрицу В выбираем равной матрице А, т.е.

bij=aij для всех i=1,…,m и j=1,…,n.

4) Коэффициенты l1,…,ln, выбираем равными соответствующим вероятностям q1,…,qn, т.е. ll=qi, i=1,…,n. Этим самым игрок А выражает полное доверие к истинности распределения вероятностей q1,…,qn, состояний природы.

Из (1) следует, что коэффициенты lj, j=1,…,n удовлетворяют условию (3).

5) Показатель эффективности стратегии Аi по критерию Байеса обозначим через Вi и находим его по формуле (3):

.

(6)


Очевидно, что Вi – средневзвешенный выигрыш при стратегии Аi с весами q1,…,qn.

Если стратегию Аi трактовать как дискретную случайную величину, принимающую значения выигрышей при каждом состоянии природы, то вероятности этих выигрышей будут равны вероятностям состояний природы и тогда Вi есть математическое ожидание этой случайной величины (см. (6)).

6) Цена игры по критерию Байеса, обозначаемая нами через В, определяется по формуле (4):


7) Оптимальной среди чистых стратегий по критерию Байеса является стратегия Аk, для которой показатель эффективности максимален:

Вk=В.

Критерий Лапласа ([1], [2], [5], [7]).

2) Исходя из теоретических, либо из практических соображений, констатируется, что ни одному из возможных состояний природы Пj, j=1,…,n, нельзя отдать предпочтения. Потому все состояния природы считают равновероятностными, т.е. qj=n-1, j=1,…,n. Этот принцип называют принципом «недостаточного основания» Лапласа. Вероятности qj=n-1, j=1,…,n, удовлетворяют условию (1).

Поскольку вероятности состояний природы известны: qj=n-1, j=1,…,n, то мы находимся в ситуации принятия решения в условиях риска.

3) Пусть l=n, а в качестве матрицы В можно взять матрицу, получающуюся из матрицы А, если каждую строку последней заменить на произвольную перестановку ее элементов. В частности, можем положить В=А. В общем же случае элементы матрицы В имеют вид bij=aikj(i), i=1,…, m; j=1,…,n, где aik1(i), aik2(i),…,aikn(i) – некоторая перестановка элементов ai1, ai2,…,ain i-й строки матрицы А.

4) Пусть коэффициенты lj=n-1, j=1,…,n. Очевидно, они удовлетворяют условию (2).

Выбор коэффициентов lj, j=1,…,n, таким образом подтверждает полное доверие игрока А к принципу недостаточного основания Лапласа.

5) По формуле (3) показатель эффективности стратегии Аi по критерию Лапласа, обозначаемый нами через Li, равен:

.

(7)


Это есть средний арифметический выигрыш при стратегии Аi.

6) Цена игры по критерию Лапласа, обозначаемая нами через L, по формуле (4):

(8)


7) Оптимальной стратегией Аk по критерию Лапласа является стратегия с максимальным показателем эффективности:

Lk=L.

Заметим, что, как следует из (7) и (8), показатель эффективности Li будет максимальным тогда и только тогда, когда максимальной будет сумма , и потому в качестве показателя эффективности стратегии Аi можно рассмотреть число , а в качестве цены игры – число .

Тогда оптимальной будет стратегия, сумма выигрышей при которой максимальна.

Критерий Вальда ([1] – [7]).

1) Предположим, что А – матрица выигрышей игрока А.

2) Вероятности состояний природы неизвестны и нет возможности получить о них какую-либо статистическую информацию. Поэтому игрок А находится в ситуации принятия решения в условиях неопределенности.

3) Пусть l=1 и

(9)


т.е. матрица В представляет собой вектор столбец размера m x 1.

В=


4) Пусть коэффициент l1=1. Очевидно, условие (2) выполняется.

5) Обозначим показатель эффективности стратегии Аi по критерию Вальда через Wi. В силу (9) и значения коэффициента l1=1, по формуле (3) имеем:

(10)


Таким образом, показатель эффективности стратегии Аi по критерию Вальда есть минимальный выигрыш игрока А при применении им этой стратегии.

6) Цена игры по критерию Вальда, обозначим ее через W, находится по формуле (4):

7) Оптимальной среди чистых стратегий по критерию Вальда является стратегия Аk с максимальным показателем эффективности:

Wk=W.

Другими словами, оптимальной среди чистых стратегий по критерию Вальда считается та чистая стратегия, при которой минимальный выигрыш является максимальным среди минимальных выигрышей всех чистых стратегий. Таким образом, оптимальная стратегия по критерию Вальда гарантирует при любых состояниях природы выигрыш, не меньший максимина:


В силу (10), критерий Вальда является критерием крайнего пессимизма игрока А, а количественным выражением этого крайнего пессимизма является значение коэффициента l1, равное 1. Игрок А, принимая решение, действует по принципу наибольшей осторожности.

Хотя арабская пословица и гласит: «Кто боится собственной тени, тому нет места под солнцем», - тем не менее этот критерий уместен в тех случаях, когда игрок А не столько хочет выиграть, сколько не хочет проиграть. Использование принципа Вальда в обиходе подтверждается такими поговорками как «Семь раз отмерь – один раз отрежь», «Береженого Бог бережет», «Лучше синица в руках, чем журавль в небе».

Критерий Ходжа-Лемана [7].

1) Предположим, что матрицей выигрышей игрока А является матрица А.

2) Известны вероятности qi=p(Пj), j=1,…,n, состояний природы Пj, j=1,…,n, удовлетворяющие условию (1).

Таким образом, игроку А надлежит принимать решение в условиях риска.

3) Пусть l=2,

(11)


· показатель эффективности стратегии Аi по критерию Вальда,

(12)


· показатель эффективности стратегии Аi по критерию Байеса.

Матрица В примет вид

В=


т.е. bi1=Wi, bi2=Bi, i=1,…,m.

4) Коэффициенты l1, l2 выбираются следующим образом:

l1=1-l, l2=l, где lÎ[0, 1].

(13)


Очевидно, что эти коэффициенты удовлетворяют условию (2).

5) По формуле (3), с учетом (11), (12), и (13), показатель эффективности стратегии Аi по критерию Ходжа-Лемана равен:

Gi=libi1+l2bi2=(1-l)Wi+lBi=(1-l)aij+ i=1,…,m.

(14)

В правой части формулы (14) коэффициент lÎ[0, 1] есть количественный показатель степени доверия игрока А данному распределению вероятностей qi=p(Пj), j=1,…,n, состояний природы Пj, j=1,…,n, а коэффициент (1-l) характеризует количественно степень пессимизма игрока А. Чем больше доверия игрока А данному распределению вероятностей состояний природы, тем меньше пессимизма и наоборот.

6) Цену игры по критерию Ходжа-Лемана находим по формуле (4):


7) Оптимальной стратегией по критерию Ходжа-Лемана является стратегия Аk с наибольшим показателем эффективности:

Gk=G.

Отметим, что критерий Ходжа-Лемана является как-бы промежуточным критерием между критериями Байеса и Вальда. При l=1, из (14) имеем:Gi=Bi и потому критерий Ходжа-Лемана превращается в критерий Байеса. А при l=0, из (14): Gi=Wi и, следовательно, из критерия Ходжа-Лемана получаем критерий Вальда.

Критерий Гермейера [7].

1) Пусть матрица А является матрицей выигрышей игрока А.

2) Даны вероятности qi=p(Пj), j=1,…,n, состояний природы Пj, j=1,…,n, удовлетворяющие условию (1).

Т.о. игрок А находится в ситуации принятия решений в условиях риска


(15)


Таким образом, матрица В представляет собой вектор столбец

В=


размера m x 1.

4) Полагаем l1=1. Условие (2), очевидно, выполняется.

5) Показатель эффективности стратегии Аi по критерию Гермейера определяем по формуле (3) с учетом (15) и того, что l1=1:

(16)


Если игрок А придерживается стратегии Аi, то вероятность выигрыша aij при этой стратегии и при состоянии природы Пj равна, очевидно, вероятности qj этого состояния природы. Поэтому формула (16) показывает, что показатель эффективности стратегии Аi по критерию Гермейера есть минимальный выигрыш при этой стратегии с учетом его вероятности.

6) Цена игры по критерию Гермейера определяется по формуле (4):


7) Оптимальной стратегией по критерию Гермейера считается стратегия Аk с наибольшим показателем эффективности:

Gk= G

Заметим, что критерий Гермейера можно интерпретировать как критерий Вальда, применимый к игре с матрицей


Критерий Гермейера так же, как и критерий Вальда является критерием крайнего пессимизма игрока А, но, в отличие от критерия Вальда, игрок А, принимая решение с максимальной осмотрительностью, учитывает вероятности состояний природы.

В случае равномерного распределения вероятностей состояний природы: qj=n-1, j=1,…,n, показатель эффективности стратегии Аi, в силу формулы (16), будет равен Gi=n-1aij и , следовательно, критерий Гермейера эквивалентен критерию Вальда, т.е. стратегия, оптимальная по критерию Гермейера, оптимальна и по критерию Вальда, и наоборот.

Критерий произведений [7].

1) Пусть матрицей выигрышей игрока А является матрица А, все элементы которой положительны:

aij>0, i=1,…,m; j=1,…,n.

2) Известны вероятности qj=p(Пj), j=1,…,n, состояний природы Пj, j=1,…,n, и удовлетворяют условию (1).

3) Пусть l=1 и

(17)



Значит матрица В является вектор-столбцом

В=


размера m x 1.

4) Пусть l1=1. Условие (2) выполняется.

5) Показатель эффективности стратегии Аi по критерию произведений в соответствии с формулами (3) и (17) равен

.

6) Цена игры по критерию произведений вычисляется по формуле (4):


7) Оптимальной стратегией по критерию произведений является стратегия Аk с наибольшим показателем эффективности:

Gk=G.

Отметим, что для критерия произведений является существенным положительность всех состояний вероятностей состояний природы и всех выигрышей игрока А.

Максимаксный критерий ( [1].-[7] ).

1) Пусть А – матрица выигрышей игрока А.

2) Вероятность состояний неизвестны. Решение принимается в условиях неопределенности.

3) Пусть l=1 и

(18)


Значит, матрица В является вектор- столбцом

Вmx1=


размера m x 1.

4) Коэффициент l1 выбираем равным 1: l1=1. При этом условие (2), очевидно, выполняется.

5) Показатель эффективности стратегии Аi по максимаксному критерию обозначим через Мi и определим его по формуле (3) с учетом (18) и того, чтоl1=1:

(19)


Таким образом, показатель эффективности стратегии Аi по максимаксному критерию есть наибольший выигрыш при этой стратегии.

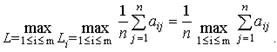
6) Цена игры по максимаксному критерию, обозначаемая нами через М, определяется по формуле (4):


Очевидно, что это есть наибольший элемент матрицы А.

7) Оптимальная стратегия по максимаксному критерию есть стратегия Аk с наибольшим показателем эффективности:

Mk=M.

Из формулы (19) заключаем, что максимаксный критерий является критерием крайнего оптимизма игрока А. Количественно это выражается тем, что l1=1. Этот критерий противоположен критерию Вальда. Игрок А, пользуясь максимаксным критерием, предполагает, что природа П будет находиться в благоприятнейшем для него состоянии, и, как следствие отсюда, ведет себя весьма легкомысленно, с «шапкозакидательским» настроением, поскольку уверен в наибольшем выигрыше. Вместе с тем, в некоторых случаях этим критерием пользуются осознанно, например, когда перед игроком А стоит дилемма: либо получить наибольший выигрыш, либо стать банкротом. Бытовое отражение подобных ситуаций иллюстрируется поговорками: «Пан или пропал», «Кто не рискует, тот не выигрывает» и т.п.

Оптимальная стратегия по максимальному критерию гарантирует игроку А возможность выигрыша, равного максимаксу.

.

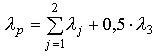
Критерий пессимизма-оптимизма Гурвица с показателем оптимизма lÎ[0; 1] ([1] – [7]).

1) Пусть А – матрица выигрышей игрока А.

2) Вероятности состояний природы неизвестны и нет возможности получить о них какую–либо надежную статистическую информацию.

Таким образом, решение о выборе оптимальной стратегии будет приниматься в условиях неопределенности.

3) Положим l=2. Элементы матрицы В

В=


размера m x 2 определяются следующим образом:

.


4) Коэффициенты l1 и l2 выбираем следующим образом:

l1=1-l; l2=l; lÎ[0, 1]

(21)


Тогда, очевидно, условие (2) выполняется.

5) Обозначим показатель эффективности стратегии Аi, по критерию пессимизма-оптимизма Гурвица через Нi. Тогда по формуле (3) с учетом (20) и (21):

(22)


В формуле (22) l - показатель оптимизма, а (1-l) – показатель пессимизма игрока А при выборе им оптимальной стратегии. Чем ближе к единице показатель оптимизма, тем ближе к нулю показатель пессимизма, и тем больше оптимизма и меньше пессимизма. И наоборот. Если l=0,5, то и 1-l=0,5, т.е. показатели оптимизма и пессимизма одинаковы. Это означает, что игрок А при выборе стратегии ведет себя нейтрально.

Таким образом, число l выбирается в пределах от 0 до 1 в зависимости от склонности игрока А к оптимизму или пессимизму.

6) Цена игры по критерию Гурвица Н определяется из формулы (5):


7) Оптимальная стратегия Аk по критерию Гурвица соответствует показателю эффективности

Hk=H

Критерий Гурвица является промежуточным между критерием Вальда и максимаксным критерием и превращается в критерий Вальда при l=0 и - в максимаксный критерий при l=1.

Обобщенный критерий Гурвица с коэффициентами l1,…, ln ([4], [5]).

1) Пусть А – матрица выигрышей игрока А.

2) Вероятности состояний природы неизвестны. Так что решение принимается в условиях неопределенности.

3) Матрица В получается из матрицы А перестановкой элементов каждой ее строки в неубывающем порядке:

bi1£bi2£…£bin, i=1,…,m.

Таким образом, в 1-м столбце матрицы В стоят минимальные, а в n-м столбце максимальные выигрыши стратегий. Другими словами, в 1-м столбце матрицы В стоят показатели эффективности стратегий по критерию Вальда, а в n-м столбце – показатели эффективности стратегий по максимаксному критерию.

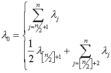
4) Коэффициенты l1,…, ln выбираются удовлетворяющими условиям (2) соответственно различной степени склонности игрока А к оптимизму. При этом показателем пессимизма игрока А называется число

если n – число четное,

(23)

если n – число нечетное,


где  целая часть числа , а показателем оптимизма игрока А называется число

,если n – число четное,

,если n – число нечетное.


Очевидно, что lр+l0=1.

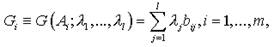
5) Показатель эффективности стратегии Аi по обобщенному критерию Гурвица определяется по формуле (3):


6) Цену игры по обобщенному критерию Гурвица определим по формуле (4):


7) Оптимальные стратегии находятся стандартно: Аk – оптимальная стратегия, если Gk=G.

Отметим, что обобщенный критерий Гурвица учитывает все выигрыши при каждой стратегии, что необходимо для более полной картины эффективности стратегий. Отметим также, что некоторые из приведенных выше критериев являются частными случаями обобщенного критерия Гурвица.

Отметим, что если В=А, то коэффициенты lj, j=1,…,n, можно формально интерпретировать как вероятности состояний природы и в, таком случае, обобщенный критерий Гурвица совпадает с критерием Байеса.

Если lj=n-1, j=1,…,n, то обобщенный критерий Гурвица превращается в критерий Лапласа.

Если l1=1, l2=…=ln=0, то обобщенный критерий Гурвица представляет собой критерий Вальда.

При l1=…=ln-1=0, ln=1, из обобщенного критерия Гурвица получаем максимаксный критерий.

Если l1=1-l, l2=…=ln-1=0, ln=l, где lÎ[0, 1], то обобщенный критерий Гурвица является критерием Гурвица.

Если В=А и qi=p(Пj), j=1,…,n – вероятности состояний природы, удовлетворяющие условиям (1), то выбрав коэффициенты lj, j=1,…,n, следующим образом: l1=1-l+lq1, lj=lqj, j=2,…,n, где lÎ[0, 1], мы из обобщенного критерия Гурвица получим критерий Ходжа Лемана.

3. ЗАДАЧА В УСЛОВИЯХ ПОЛНОЙ НЕОПРЕДЕЛЁННОСТИ

Допустим, инвестор принимает решение о строительстве жилья определенного типа в некотором месте. Инвестор действует в условиях неопределенности (информационной непрозрачности) на рынке жилья. Чтобы сформировать представление о ситуации на рынке жилья на момент завершения строительства ему необходимо учесть цены на недвижимость, конкуренцию на рынке жилья, соотношение предложения и спроса, курсы валют и многое другое. Статистические данные свидетельствуют о том, что одной из главных составляющих стоимости жилья является место его расположения.

Рассмотрим математическую модель данной ситуации. Мы имеем игру с природой, где игрок А – инвестор, природа П – совокупность возможных ситуаций на рынке жилья на момент завершения строительства, из которых можно сформировать, например, пять состояний П1, П2, П3, П4, П5 природы. Известны приближенные вероятности этих состояний q1=p(П1)»0,30; q2=p(П2)»0,20; q3=p(П3)»0,15; q4=p(П4)»0,10; q5=p(П5)»0,25. Предположим, что игрок А располагает четырьмя (чистыми) стратегиями А1, А2, А3, А4, представляющими собой выбор определенного места для постройки жилья. Множество этих мест ограничено градостроительными решениями, стоимостью земли и т.д. Инвестиционная привлекательность проекта определяется как процент прироста дохода по отношению к сумме капитальных вложений, оценка которых известна при каждой стратегии и каждом состоянии природы. Эти данные представлены в следующей матрице выигрышей игрока А:

 А=

Пj

Ai

П1

П2

П3

П4

П5

(24)

А1

2

7

3

15

6

А2

4

6

11

3

5

А3

6

4

9

5

А4

3

8

7

9

5

qj

0,30

0,20

0,15

0,10

0,25


размера 4 х 5, в последней, дополнительной строке которой указаны вероятности состояний природы. Матрица (24) не содержит доминируемых (в частности, дублируемых) строк и все ее элементы положительны.

Инвестору предстоит выбрать участок земли так, чтобы наиболее эффективно использовать капиталовложения.

Подсчитаем показатели эффективности стратегий

· по критериям Байеса, Гермейера и критерию произведений при условии, что инвестор А доверяет данному распределению вероятностей состояний природы,

· по критерию Лапласа, если инвестор А не доверяет данному распределению вероятностей состояний природы и не может отдать предпочтения ни одному из рассматриваемых состояний природы,

· по критерию Ходжа- Лемана с коэффициентом доверия к вероятностям состояний природы, например, l=0,4,

· по критерию Вальда, максимаксному критерию, критерию пессимизма-оптимизма Гурвица с показателем оптимизма, например, l=0,6, и по обобщенному критерию Гурвица с коэффициентами, например, l1=0,35; l2=0,24; l3=0,19; l4=0,13; l5=0,09.

Результаты подсчета показателей эффективности и оптимальные стратегии представлены в следующей таблице:

Таблица показателей эффективности и оптимальных стратегий

Стратегии

Критерии

Байеса

Лапласа

Вальда

Ходжа-Лемана

l=0,4

Гермейгера

Произ-ведений

Макси-максный

Гурвица

l=0,4

Обобщенный Гурвица с коэффиц

l1=0,35
l2=0,24
l3=0,19
l4=0,13
l5=0,09

А1

5,45

6,6 *

2

3,38

0,45

0,8505

15 *

7,2 *

4,82

А2

5,6

5,8

3

4,04

0,3

0,891

11

6,2

4,73

А3

5,95 *

6,6 *

4 *

4,78 *

0,8

1,944 *

10

6,4

5,57 *

А4

5,7

6,4

3

0,9 *

1,701

9

5,4

5,43

Оптимал. стратегии

А3

А1, А3

А3

А3

А4

А3

А1

А1

А3


Заметим, что, поскольку, в критерии Ходжа- Лемана показатель доверия игрока А распределению вероятностей состояний, указанных в последней строке матрицы (24), равен l=0,4, то показатель пессимизма игрока А равен 1-l=0,6.

В критерии Гурвица показатель оптимизма игрока А равен l=0,4 и, следовательно, показатель его пессимизма также равен 1-l=0,6.

В обобщенном критерии Гурвица по формуле (23) показатель пессимизма

= 0,35+0,24+0,5×0,19=0,685

и, следовательно, показатель оптимизма l0=1-0,685=0,315.

Таким образом, во всех примененных критериях, учитывающих индивидуальные проявления игрока А к пессимизму и оптимизму, игрок А более склонен к пессимистической оценке ситуации, чем к оптимистической, примерно с одинаковыми показателями.

В результате применения девяти критериев мы видим, что в качестве оптимальной стратегии А1 выступает 3 раза, стратегия А3 – 6 раз и стратегия А4 – 1 раз. Поэтому, если у инвестора А нет никаких обоснованных серьезных возражений, то в качестве оптимальной можно рассматривать стратегию А3.

Похожие работы на - Принятие управленческих решений с использованием моделей выбора оптимальных стратегий в условиях полной неопределенности

 

Не нашли материал для своей работы?
Поможем написать уникальную работу
Без плагиата!
Без нейросетей!