Математические методы и модели в экономике
ФЕДЕРАЛЬНОЕ АГЕНТСТВО ПО ОБРАЗОВАНИЮ
ГОСУДАРСТВЕННОЕ ОБРАЗОВАТЕЛЬНОЕ УЧРЕЖДЕНИЕ ВЫСШЕГО ПРОФЕССИОНАЛЬНОГО
ОБРАЗОВАНИЯ
КАМСКАЯ ГОСУДАРСТВЕННАЯ ИНЖЕНЕРНО-ЭКОНОМИЧЕСКАЯ АКАДЕМИЯ
КАФЕДРА ЭОУП
КОНТРОЛЬНАЯ РАБОТА
по дисциплине "Математические методы и модели в
экономике"
Выполнил: студент гр. 4381-С
Кустовский Р.Г.
Проверил: доцент
Коврижных О.Е.
г. Набережные Челны
2010
ЗАДАНИЕ 1
Построить одноиндексную математическую модель задачи линейного
программирования. В модели надо указать единицы измерения всех переменных,
целевой функции и каждого ограничения
Цех мебельного комбината выпускает
трельяжи, трюмо и тумбочки под телевизоры. Норма расхода материала в расчете на
одно изделие, плановая себестоимость, оптовая цена предприятия, плановый
ассортимент и трудоемкость единицы продукции приведены в таблице. При этом,
запас древесно-стружечных плит, досок еловых и березовых 92, 33 и 17 куб.м.
соответственно. Плановый фонд рабочего времени 19100 человеко-часов.
Исходя из необходимости выполнения плана
по ассортименту и возможности его перевыполнения по отдельным (и даже всем) показателям,
постройте модель, на основе которой можно найти план производства,
максимизирующий прибыль.
|
Показатели
|
Изделия
|
|
трельяж
|
трюмо
|
тумбочка
|
|
Норма расхода материала, куб.м.:
|
|
|
|
|
древесно-стружечные плиты
|
0,042
|
0,037
|
0,028
|
|
доски еловые
|
0,024
|
0,018
|
0,081
|
|
доски березовые
|
0,007
|
0,008
|
0,005
|
|
Трудоемкость, чел.-ч.
|
7,5
|
10,2
|
6,7
|
|
Плановая себестоимость, ден.ед.
|
98,81
|
65,78
|
39,42
|
|
Оптовая цена предприятия, ден.ед.
|
97,10
|
68,20
|
31,70
|
|
Плановый ассортимент, шт.
|
450
|
1200
|
290
|
Решение:
В условии задачи сформулирована
цель получение максимальной прибыли при необходимости выполнения плана по
ассортименту и возможности его перевыполнения. Поэтому, искомыми величинами, а
значит, и переменными задачи являются количество произведенной продукции:
Х1 - количество
изготовленных трельяжей.
Х2 -
количество изготовленных трюмо.
Х3 -
количество изготовленных тумбочек.
Поэтому целевой
функцией будет математическое выражение, в которой суммируется прибыль от
изготовления каждой продукции. Прибыль является разность между себестоимостью и
оптовой ценой продукции.
L = (97,10 – 98,81) *Х1 +
(68,2 – 65,78)* Х2 +(31,7 – 39,42)* Х3 =
= –1,71 * Х1+
2,42 * Х2 – 7,72 * Х3 àmax
Условием является то,
что сумма расхода материалов не должно быть больше имеющихся материалов, а так
же обязательное условие - выполнение плана. Таким образом, математическая
модель задачи будет иметь вид:
ЗАДАНИЕ 2
Решить одноиндексную задачу линейного программирования
графическим методом.
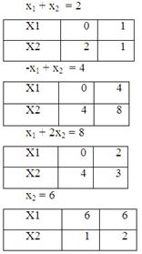
Построим следующие
прямые:
х1 + х2
= 2 (1)
-х1 + х2
= 4 (2)
х1 + 2х2
= 8 (3)
х1 = 6 (4)
Для этого вычислим
координаты прямых:

Построим целевую
функцию по уравнению
Нижняя точка
пересечения целевой функции и многоугольника – это точка минимума целевой
функции.
Найдем координаты точки
D ( 2; 0 ).
Минимальное значение
целевой функции
L(Х) = L(D) = 1*2 + 3*0 = 2
ЗАДАНИЕ 3
Задача сетевого
планирования
По данным варианта необходимо:
1)
построить
сетевую модель, рассчитать временные параметры событий (на рисунке) и работ (в
таблице);
2)
определить
критические пути модели;
3)
оптимизировать
сетевую модель по критерию "минимум исполнителей" (указать какие
работы надо сдвигать и на сколько дней, внесенные изменения показать на
графиках привязки и загрузки пунктирной линией).
|
Название
работы
|
Нормальная
длительность
|
Количество
исполнителей
|
Вариант 2 (N=11 человек)
1.
D - исходная работа проекта;
2.
Работа E следует за D;
3.
Работы A, G и C
следуют за E;
4.
Работа B следует за A;
5.
Работа H следует за G;
6.
Работа F следует за C;
Работа I начинается
после завершения B, H, и F
|
|
A
|
3
|
5
|
|
B
|
4
|
7
|
|
C
|
1
|
1
|
|
D
|
4
|
3
|
|
E
|
5
|
2
|
|
F
|
7
|
3
|
|
G
|
6
|
6
|
|
H
|
5
|
1
|
|
I
|
8
|
5
|
1.
Построим
сетевую модель, рассчитаем временные параметры событий ( на рисунке) и работ (
в таблице).
Сетевой график
|
Код
|
Название работы
|
t
|
Трн
|
Тро
|
Тпн
|
Тпо
|
Rп
|
Rс
|
|
1-2
|
D
|
4
|
0
|
4
|
0
|
0
|
0
|
|
2-3
|
E
|
5
|
4
|
9
|
4
|
9
|
0
|
0
|
|
3-5
|
A
|
3
|
9
|
12
|
13
|
16
|
4
|
0
|
|
3-6
|
G
|
6
|
9
|
15
|
9
|
15
|
0
|
0
|
|
3-4
|
C
|
1
|
9
|
10
|
12
|
13
|
3
|
0
|
|
5-7
|
B
|
4
|
12
|
16
|
16
|
20
|
4
|
4
|
|
6-7
|
H
|
5
|
15
|
20
|
15
|
20
|
0
|
0
|
|
4-7
|
F
|
7
|
10
|
17
|
13
|
20
|
3
|
3
|
|
7-8
|
I
|
8
|
20
|
28
|
28
|
0
|
0
|
В таблице использованы
следующие сокращения:
t - длительность работы
Трн - ранний срок начала работы
Тро - ранний срок окончания работы
Тпн - поздний срок начала работы
Тпо - ранний срок окончания работы
Rп - полный резерв времени
Rс - свободный резерв времени
2. Определим
критические пути модели
Критический путь –
1,2,3,6,7,8 = 28 суток - максимальный по продолжительности полный путь.
3. Оптимизируем сетевую
модель по критерию "минимум исполнителей" (укажем какие работы надо
сдвигать и на сколько дней, внесенные изменения показать на графиках привязки и
загрузки пунктирной линией).
Построим график
привязки для следующих исходных данных.
|
Название работы
|
|
|
Количество исполнителей
|
|
D
|
1-2
|
4
|
3
|
|
E
|
2-3
|
5
|
2
|
|
A
|
3-5
|
3
|
5
|
|
G
|
3-6
|
6
|
6
|
|
C
|
3-4
|
1
|
1
|
|
B
|
5-7
|
4
|
7
|
|
H
|
6-7
|
5
|
1
|
|
F
|
4-7
|
7
|
3
|
|
I
|
7-8
|
8
|
5
|
При оптимизации
использования ресурса рабочей силы сетевые работы чаще всего стремятся
организовать таким образом, чтобы:
·
количество
одновременно занятых исполнителей было минимальным;
·
выровнять
потребность в людских ресурсах на протяжении срока выполнения проекта.
Проведенная оптимизация
была основана на использовании свободных и полных резервов работ.
Для этого необходимо
чуть дальше сдвинуть указанные работы, а именно: работу (3,5) сдвинуть на 1
дней, работу (5,7) - на 3 дня, и работу (4,7) на 3 дня.
В результате
оптимизации количество одновременно занятых исполнителей снизили с 16 человек
до 11.
ЗАДАНИЕ 4
Решить задачу
управления запасами.
Завод радиоэлектронной
аппаратуры производит 860 радиоприемников в сутки. Микросхемы для
радиоприемников (по 1 шт. на приемник) производятся на этом же заводе с
интенсивностью 3420 тыс. шт. в сутки. Затраты на подготовку производства партии
микросхем составляют 81 руб. (числа в задаче условные), себестоимость
производства 1 тыс. шт. микросхем равна 25 руб. Хранение микросхем на складе
обходится заводу в 1,5 руб. за каждую тысячу в сутки. У завода появилась
возможность закупать микросхемы в другом месте по цене 25 руб. за 1 тыс. шт.
Стоимость доставки равна 32 руб.
Выясните, стоит ли
заводу закупать микросхемы вместо того, чтобы их производить. Для более
выгодного режима работы завода (производство или закупка) определите
периодичность подачи заказа, и затраты на управление запасами в месяц (22 рабочих
дня).
1.
Для моделирования процессов
производства продукции применим модель планирования экономичного размера
партии.
Размер партии микросхем, производимых на
заводе:
Q* = Ö (2К1*n*l)/(S(l-n)
Q* = Ö (2*81*0,86*3420) /(1,5*(3420 – 0,86) = 9,639 тыс. шт.
Частота запуска микросхем в производство:
t1=(Q*/n)*q
Общие затраты на управление запасами:
L1 = К1*(n/Q*) + S*( Q*(l - n))/(2l) + Сin
L1 = 81*(0,860/9,639)
+ 1,5* (9,639*(3420 – 0,86))/(2*3420) + 25*0,86 = 36 руб/сут.
L1 = 36 *22
= 792 руб/мес.
2.
Моделирование процесса закупки
произведем с помощью модели Уилсона.
Размер партии заказа:
Qw = Ö2*К2n/S
Qw = Ö2*32*0,86/1,5= 6,057 тыс. шт
Подача каждого нового заказа должна
производиться через:
t2 = (Qw/n)*q
t2 = (6,057/0,86)*22
= 154,946 часов ~ 5,16 ~ 5 раб. дней
Затраты на управление запасами:
L2 = К2*(n/Q) + S*(Q/2) + С2n
L2 = 32*(0,86/6,057)
+ 1,5*(6,057/2) + 25*0,86 = 30,6 руб./сут
L2 = 30,6
*22 = 672,9 руб./мес.
Ответ: таким образом, можно сделать вывод,
что заводу выгодно покупать микросхемы у внешнего источника, чем производить их
самим, расходы в этом случае меньше.