Схема Бернуллі
Міністерство
освіти і науки України
Приватний
вищий навчальний заклад
Європейський
університет
Запорізька
філія
Контрольна
робота
з
дисципліни: Теорія ймовірності і математична статистика
Варіант
№ 5 - Схема Бернуллі
Виконав
Перевірив:
Запоріжжя,
2007р.
СХЕМА
БЕРНУЛЛІ
У багатьох
задачах теорії ймовірностей, статистики та повсякденної практики треба
досліджувати послідовність (серію) п випробувань. Наприклад,
випробування "кинуто 1000 однакових монет" можна розглядати як
послідовність 1000 більш простих випробувань - "кинута одна монета".
При киданні 1000 монет імовірність появи герба або надпису на одній монеті не
залежить від того, що з'явиться на інших монетах. Тому можна казати, що у цьому
випадку випробування повторюються 1000 разів незалежним чином.
Означення 1.
Якщо
усі п випробувань проводити в однакових умовах і імовірність появи події А в
усіх випробуваннях однакова та не залежить від появи або непояви А в інших
випробуваннях, то таку послідовність незалежних випробувань називають схемою
Бернуллі.
Нехай випадкова
подія А може з'явитись у кожному випробуванні з імовірністю Р(А) =
р або не з'явитись з імовірністю q = Р{А) = 1 - р.
Поставимо задачу:
знайти імовірність того, що при п випробуваннях подія А з'явиться
т разів і не з'явиться п - т разів. Шукану імовірність позначимо Рп(т).
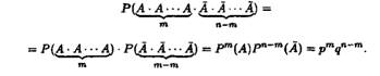
тобто їх
Якщо подія А з'явилася
2 рази в 4 випробуваннях, то можливі такі події
У загальному
випадку, коли подія А з'являється т разів у п випробуваннях,
таких складних подій буде
Обчислимо
імовірність однієї складної події, наприклад,
Імовірність
сумісної появи п незалежних подій дорівнює добутку ймовірностей цих
подій згідно з теоремою множення ймовірностей, тобто
Кількість таких складних подій
і вони несумісні. Тому, згідно з
теоремою додавання ймовірностей несумісних подій, маємо
Формулу (1)
називають формулою Бернуллі. Вона дозволяє знаходити імовірність появи
події А т разів при п випробуваннях, які утворюють схему Бернуллі.
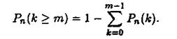
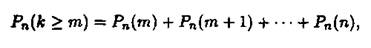
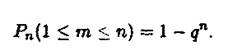
Зауваження 1. Імовірність
появи події Арп випробуваннях схеми Бернуллі менш т разів знаходять за
формулою
Імовірність появи
події А не менше т разів можна знайти за формулою
або за формулою

Зауваження 2. У
багатьох випадках треба знаходити найбільш імовірне значення то
числа т появ події А. Це значення т визначається співвідношеннями
Число то
повинно бути цілим. Якщо (п + 1)р - ціле число, тоді найбільше значення імовірність має при
двох числах
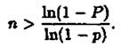
Зауваження 3.
Якщо імовірність появи події А в кожному випробуванні дорівнює р, то
кількість п випробувань, які необхідно здійснити, щоб з імовірністю Р
можна було стверджувати, що подія А з'явиться хоча б один раз, знаходять за
формулою,
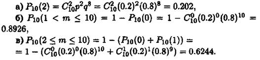
Приклад 1. Прилад складено з 10 блоків,
надійність кожного з них 0.8. Блоки можуть виходити з ладу незалежно один від
одного. Знайти імовірність того, що
а) відмовлять
два блоки;
б) відмовить
хоча б один блок;
в) відмовлять
не менше двох блоків.
Розв'язання. Позначимо за подію А відмову
блока. Тоді імовірність події А за умовою прикладу буде
Р(А) =р = 1-0.8 = 0.2, тому д = 1-р =
1-0.2=0.8.
Згідно з умовою
задачі п = 10. Використовуючи формулу Бернуллі та Зауваження 1, одержимо
Приклад 2. За одну годину автомат
виготовляє 20 деталей. За скільки годин імовірність виготовлення хоча б однієї
бракованої деталі буде не менше 0.952, якщо імовірність браку будь-якої деталі
дорівнює 0.01?
Розв'язання. Застосовуючи формулу (2),
знайдемо спочатку таку кількість виготовлених деталей, щоб з імовірністю р =
0.952 можна було стверджувати про наявність хоча б однієї бракованої деталі,
якщо імовірність браку за умовою р = 0.01
Отже, за
час(годин) автомат з імовірністю 0.952 виготовить хоча б одну браковану деталь.
Приклад 3. При новому технологічному
процесі 80 % усієї виготовленої продукції має найвищу якість. Знайти найбільш
імовірне число виготовлених виробів найвищої якості серед 250 виготовлених
виробів.
Розв'язання. Позначимо шукане число то-Згідно
Зауваження
За умовою
прикладу п = 250, р = 0.8, q — 0.2, тому
Але то повинно
бути цілим числом, тому то = 200.
СПИСОК
ВИКОРИСТАНОІ ЛІТЕРАТУРИ
1. Барковський В.В.,
Барковська Н.В., Лопатін О.К. теорія ймовірностей та математична статистика. –
К.: ЦУЛ, 2002. – 448с.
2. Гмурман В.Е.
Теория вероятностей и математическая статистика. – М.: Высшая школа, 1980.
3. Гмурман В.Е.
Руководство к решению задач по теории вероятностей и математической статистике.
– М.: Высшая школа, 1975.
4. Гнеденко Б.В.
Курс теории вероятностей. – М.: наука, 1988.
5. Леоненко М.М.,
Мішура Ю.С. та ін. Теоретико-ймовірностні та статистичні методи в економетриці
та фінансовій математиці. – К.: Інформтехніка, 1995.