Показатели качества элементарных звеньев

  • Вид работы:
    Практическое задание
  • Предмет:
    Экономика отраслей
  • Язык:
    Русский
    ,
    Формат файла:
    MS Word
    2,16 Mb
  • Опубликовано:
    2009-12-06
Вы можете узнать стоимость помощи в написании студенческой работы.
Помощь в написании работы, которую точно примут!

Показатели качества элементарных звеньев

Министерство образования и науки Российской Федерации









Отчет

по лабораторной работе № 1

«Показатели качества элементарных звеньев»

Вариант-2


Преподаватель

Студент гр.







Екатеринбург, 2008

Вид звена:

1. Безынерционное звено

2. Апериодическое звено (Инерционное звено)

3. Реальное дифференцирующее звено

4. Колебательное звено

5. Интегрирующее звено

6. Неустойчивое звено первого порядка

7. Неустойчивое звено второго порядка

8. Интегро-диффиренцирующее звено

Установочные данные:

K

1; 6

T

0,5; 5

ξ

1,1

0,6

0,1

0

-0,1



 



Вычисление показателей качества:

Безынерционное звено

Уравнение динамики ->

Передаточная функция W(s) ->

a) k=1

Рис.1.а. Безынерционное звено (при k=1)

Значение показателей качества:

Время регулирования:

 

0

Перерегулирование:


0

Время нарастания [tн – время достижения в первый раз установившегося значения]: 0

Количество колебаний N за время регулирования tр:0

Статическая точность, установившаяся ошибка: 0

б) k=6

Рис.1.b. Безынерционное звено (при k=6)

Значение показателей качества:

Время регулирования:

 

0

Перерегулирование:


0

Время нарастания [tн – время достижения в первый раз установившегося значения]: 0

Количество колебаний N за время регулирования tр: 0

Статическая точность, установившаяся ошибка: 5

Апериодическое звено (Инерционное звено)

Уравнение динамики ->

Передаточная функция W(s) ->

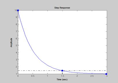
a) k=1, T=0.5

Рис.2.а. Апериодическое звено (при k=1, T=0.5)

Значение показателей качества:

Время регулирования:

 

1.5

Перерегулирование:


0

Время нарастания tн – время достижения в первый раз установившегося значения: 1.5

Количество колебаний N за время регулирования tр: 0

Статическая точность, установившаяся ошибка: 0.5

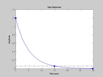
б) k=6, T=5

Рис.2.b. Апериодическое звено (при k=6, T=5)

Значение показателей качества:

Время регулирования:

 

15

Перерегулирование:


0

Время нарастания tн – время достижения в первый раз установившегося значения: 15

Количество колебаний N за время регулирования tр: 0

Статическая точность, установившаяся ошибка: 5

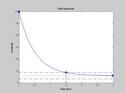
с) k=6, T=0.5

Рис.2.с. Апериодическое звено (при k=6, T=0.5)

Значение показателей качества:

Время регулирования:

 

1.5

Перерегулирование:


0

Время нарастания tн – время достижения в первый раз установившегося значения: 1.5

Количество колебаний N за время регулирования tр: 0

Статическая точность, установившаяся ошибка: 5

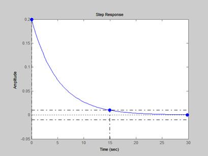
d) k=1, T=5

Рис.2.d. Апериодическое звено (при k=6, T=0.5)

Значение показателей качества:

Время регулирования:

 

15

Перерегулирование:


0

Время нарастания tн – время достижения в первый раз установившегося значения: 15

Количество колебаний N за время регулирования tр: 0

Статическая точность, установившаяся ошибка: 0

3 .Реальное дифференцирующее звено

Уравнение динамики ->

Передаточная функция W(s) ->

a) k=1, T=0.5

Рис.3.a. Реально дифференцирующее звено (при k=1, T=0.5)

Значение показателей качества:

Время регулирования:

 

1.5

Перерегулирование:


lnf

Время нарастания tн – время достижения в первый раз установившегося значения: 1.5

Количество колебаний N за время регулирования tр: 0

Статическая точность, установившаяся ошибка: -1

b) k=1, T=5

Рис.3.b. Реально дифференцирующее звено (при k=1, T=5)

Значение показателей качества:

Время регулирования:

 

1.5

Перерегулирование:


-7.21e+017

Время нарастания tн – время достижения в первый раз установившегося значения: 15

Количество колебаний N за время регулирования tр: 0

Статическая точность, установившаяся ошибка: (-2.78e-017)-1

c) k=6, T=0.5

Рис.3.c. Реально дифференцирующее звено (при k=6, T=0.5)

Значение показателей качества:

Время регулирования:

 

1.5

Перерегулирование:


lnf

Время нарастания tн – время достижения в первый раз установившегося значения: 1.5

Количество колебаний N за время регулирования tр: 0

Статическая точность, установившаяся ошибка: -1

d) k=6, T=5

Рис.3.d. Реально дифференцирующее звено (при k=6, T=5)

Значение показателей качества:

Время регулирования:

 

15

Перерегулирование:


lnf

Время нарастания tн – время достижения в первый раз установившегося значения: 15

Количество колебаний N за время регулирования tр: 0

Статическая точность, установившаяся ошибка: -1

4. Колебательное звено:

Уравнение динамики ->

Передаточная функция W(s) ->

a) k=1, T=0.5,

Значение показателей качества

Время регулирования:

 

2.75

Рис.4.a. Колебательное звено (при k=1, T=0.5 )

Перерегулирование:


0

Время нарастания tн – время достижения в первый раз установившегося значения: 2.75

Количество колебаний N за время регулирования tр: 0

Статическая точность, установившаяся ошибка: 0

b) k=1, T=0.5,

Значение показателей качества

Время регулирования:

 

2.61

Рис.4.b. Колебательное звено (при k=1, T=0.5, )

Перерегулирование:


9.47

Время нарастания tн – время достижения в первый раз установившегося значения: 1.27

Количество колебаний N за время регулирования tр: 0

Статическая точность, установившаяся ошибка: 0

c) k=1, T=0.5,

Значение показателей качества

Время регулирования:

 

14.5

Рис.4.c. Колебательное звено (при k=1, T=0.5, )

Перерегулирование:


72.9

Время нарастания tн – время достижения в первый раз установившегося значения: 0.81

Количество колебаний N за время регулирования tр: 4

Статическая точность, установившаяся ошибка: 0

d) k=1, T=0.5,

Значение показателей качества

Время регулирования:

 >25

Перерегулирование:


100

Рис.4.d. Колебательное звено (при k=1, T=0.5, )

Время нарастания tн – время достижения в первый раз установившегося значения: 0.761

Количество колебаний N за время регулирования tр:

Установившийся режим не наступает

Статическая точность, установившаяся ошибка: 0

e) k=1, T=0.5,

Значение показателей качества

Время регулирования:

 >12

Рис.4.e. Колебательное звено (при k=1, T=0.5, )

Перерегулирование:


912

Время нарастания tн – время достижения в первый раз установившегося значения: 0.717

Количество колебаний N за время регулирования tр:

Установившийся режим не наступает

Статическая точность, установившаяся ошибка: 0

f) k=1, T=5,

Значение показателей качества

Время регулирования:

 

27.5

Рис.4.f. Колебательное звено (при k=1, T=5, )

Перерегулирование:


0

Время нарастания tн – время достижения в первый раз установившегося значения: 27.5

Количество колебаний N за время регулирования tр: 0

Статическая точность, установившаяся ошибка: 0

g) k=1, T=5,

Значение показателей качества

Время регулирования:

 

26.1

Рис.4.g. Колебательное звено (при k=1, T=5, )

Перерегулирование:


9.47

Время нарастания tн – время достижения в первый раз установившегося значения: 12.7

Количество колебаний N за время регулирования tр: 0

Статическая точность, установившаяся ошибка: 0

h) k=1, T=5,

Значение показателей качества

Время регулирования:

 

145

Перерегулирование:


72.9

Рис.4.h. Колебательное звено (при k=1, T=5, )

Время нарастания tн – время достижения в первый раз установившегося значения: 8.1

Количество колебаний N за время регулирования tр: 4

Статическая точность, установившаяся ошибка: 0

i) k=1, T=5,

Значение показателей качества

Время регулирования:

  >70

Рис.4.h. Колебательное звено (при k=1, T=5, )

Перерегулирование:


100

Время нарастания tн – время достижения в первый раз установившегося значения: 7.6

Количество колебаний N за время регулирования tр:

Установившийся режим не наступает

Статическая точность, установившаяся ошибка: 0

j) k=1, T=5,

Значение показателей качества

Время регулирования:

 >120

Рис.4.j. Колебательное звено (при k=1, T=5, )

Перерегулирование:


912

Время нарастания tн – время достижения в первый раз установившегося значения: 7.17

Количество колебаний N за время регулирования tр: Установившийся режим не наступает

Статическая точность, установившаяся ошибка: 0

k) k=6, T=0.5,

Значение показателей качества

Время регулирования:

 

2.75

Рис.4.k. Колебательное звено (при k=6, T=0.5, )

Перерегулирование:


0

Время нарастания tн – время достижения в первый раз установившегося значения: 2.75

Количество колебаний N за время регулирования tр: 0

Статическая точность, установившаяся ошибка: 5

l) k=6, T=0.5,

Значение показателей качества

Время регулирования:

 

2.61

Перерегулирование:


9.47

Время нарастания tн – время достижения в первый раз установившегося значения: 1.27

Количество колебаний N за время регулирования tр:0

Статическая точность, установившаяся ошибка: 5

Рис.4.l. Колебательное звено (при k=6, T=0.5, )

m) k=6, T=0.5,

Рис.4.m. Колебательное звено (при k=6, T=0.5, )

Значение показателей качества

Время регулирования:

 

14.5

Перерегулирование:


72.9

Время нарастания tн – время достижения в первый раз установившегося значения: 0.81

Количество колебаний N за время регулирования tр: 4

Статическая точность, установившаяся ошибка: 5

n) k=6, T=0.5,

Рис.4.n. Колебательное звено (при k=6, T=0.5, )

Значение показателей качества

Время регулирования:

 >25

Перерегулирование:


100

Количество колебаний N за время регулирования tр:

Установившийся режим не наступает

Статическая точность, установившаяся ошибка: 5

o) k=6, T=0.5,

Рис.4.o. Колебательное звено (при k=6, T=0.5, )

Значение показателей качества

Время регулирования:

 >12

Перерегулирование:


912

Время нарастания tн – время достижения в первый раз установившегося значения: 0.717

Количество колебаний N за время регулирования tр:

Установившийся режим не наступает

Статическая точность, установившаяся ошибка: 5

p) k=6, T=5,

Рис.4.p. Колебательное звено (при k=6, T=5, )

Значение показателей качества

Время регулирования:

 

27.5

Перерегулирование:


0

Время нарастания tн – время достижения в первый раз установившегося значения: 27.5

Количество колебаний N за время регулирования tр: 0

Статическая точность, установившаяся ошибка: 5

q) k=6, T=5,

Рис.4.q. Колебательное звено (при k=6, T=5, )

Значение показателей качества

Время регулирования:

 

26.1

Перерегулирование:


9.47

Время нарастания tн – время достижения в первый раз установившегося значения: 12.7

Количество колебаний N за время регулирования tр: 0

Статическая точность, установившаяся ошибка: 5

r) k=6, T=5,

Рис.4.r. Колебательное звено (при k=6, T=5, )

Значение показателей качества

Время регулирования:

 

145

Перерегулирование:


72.9

Время нарастания tн – время достижения в первый раз установившегося значения: 12.7

Количество колебаний N за время регулирования tр: 4

Статическая точность, установившаяся ошибка: 5

s) k=6, T=5,

Рис.4.s. Колебательное звено (при k=6, T=5, )

Значение показателей качества

Время регулирования:

 >70

Перерегулирование:


100

Время нарастания tн – время достижения в первый раз установившегося значения: 7.6

Количество колебаний N за время регулирования tр:

Установившийся режим не наступает

Статическая точность, установившаяся ошибка: 5

t) k=6, T=5,

Рис.4.t. Колебательное звено (при k=6, T=5, )

Значение показателей качества

Время регулирования:

 >120

Перерегулирование:


912

Время нарастания tн – время достижения в первый раз установившегося значения: 7.17

Количество колебаний N за время регулирования tр:

Установившийся режим не наступает

Статическая точность, установившаяся ошибка: 5

Интегрирующее звено

Уравнение динамики ->

Передаточная функция W(s) ->

a) k=1

Рис.5.a. Интегрирующее звено (при k=1)

Значение показателей качества:

Время регулирования:

 

0

Перерегулирование:


Lnf(unstable)

Время нарастания tн – время достижения в первый раз установившегося значения: 0

Количество колебаний N за время регулирования tр: 0

Статическая точность, установившаяся ошибка: 0

b) k=6

Рис.5.b. Интегрирующее звено (при k=6)

Значение показателей качества:

Время регулирования:

 

0

Перерегулирование:


Lnf(unstable)

Время нарастания tн – время достижения в первый раз установившегося значения: 0

Количество колебаний N за время регулирования tр:0

Статическая точность, установившаяся ошибка: 0

Неустойчивое звено первого порядка

Уравнение динамики ->

Передаточная функция W(s) ->

a) k=1, T=0.5

Рис.6.a. Неустойчивое звено первого порядка (при k=1, T=0.5)

Значение показателей качества:

Время регулирования:

 >1.2

Перерегулирование:


-1.1e+003

Время нарастания tн – время достижения в первый раз установившегося значения: >1.2

Количество колебаний N за время регулирования tр: 0

Статическая точность, установившаяся ошибка: -2

b) k=1, T=5

Рис.6.b. Неустойчивое звено первого порядка (при k=1, T=5)

Значение показателей качества:

Время регулирования:

 >12

Перерегулирование:


-1.1e+003

Время нарастания tн – время достижения в первый раз установившегося значения: >12

Количество колебаний N за время регулирования tр: 0

Статическая точность, установившаяся ошибка: -2

c) k=6, T=0.5

Рис.6.c. Неустойчивое звено первого порядка (при k=6, T=0.5)

Значение показателей качества:

Время регулирования:

 >1.2

Перерегулирование:


-1.1e+003

Время нарастания tн – время достижения в первый раз установившегося значения: >1.2

Количество колебаний N за время регулирования tр: 0

Статическая точность, установившаяся ошибка: -7

d) k=6, T=5

Рис.6.d. Неустойчивое звено первого порядка (при k=6, T=5)

Значение показателей качества:

Время регулирования:

 >12

Перерегулирование:


-1.1e+003

Время нарастания tн – время достижения в первый раз установившегося значения: >12

Количество колебаний N за время регулирования tр: 0

Статическая точность, установившаяся ошибка: -7

Неустойчивое звено второго порядка

Уравнение динамики ->

Передаточная функция W(s) ->

a) k=1, T=0.5,

Рис.7.a. Неустойчивое звено второго порядка (при k=1, T=0.5 )

Значение показателей качества

Время регулирования:

 

0.475

Перерегулирование:


368

Время нарастания tн – время достижения в первый раз установившегося значения: 0.475

Количество колебаний N за время регулирования tр: 0

Статическая точность, установившаяся ошибка: 0

b) k=1, T=0.5,

Рис.7.b. Неустойчивое звено второго порядка (при k=1, T=0.5, )

Значение показателей качества

Время регулирования:

 

2.61

Перерегулирование:


1.05e+003

Время нарастания tн – время достижения в первый раз установившегося значения: 0.567

Количество колебаний N за время регулирования tр: 0

Статическая точность, установившаяся ошибка: 0

c) k=1, T=0.5,

Рис.7.c. Неустойчивое звено второго порядка (при k=1, T=0.5, )

Значение показателей качества

Время регулирования:

 >12

Перерегулирование:


912

Время нарастания tн – время достижения в первый раз установившегося значения: 0.717

Количество колебаний N за время регулирования tр:

Установившийся режим не наступает.

Статическая точность, установившаяся ошибка:0

d) k=1, T=0.5,

Рис.7.d. Неустойчивое звено второго порядка (при k=1, T=0.5, )

Значение показателей качества

Время регулирования:

 >25

Перерегулирование:


100

Время нарастания tн – время достижения в первый раз установившегося значения: 0.761

Количество колебаний N за время регулирования tр:

Установившийся режим не наступает.

Статическая точность, установившаяся ошибка: 0

e) k=1, T=0.5,

Рис.7.e. Неустойчивое звено второго порядка (при k=1, T=0.5, )

Значение показателей качества

Время регулирования:

 

14.5

Перерегулирование:


72.9

Время нарастания tн – время достижения в первый раз установившегося значения: 0.81

Количество колебаний N за время регулирования tр: 4

Статическая точность, установившаяся ошибка: 0

f) k=1, T=5,

Рис.7.f. Неустойчивое звено второго порядка (при k=1, T=5, )

Значение показателей качества

Время регулирования:

 >8

Перерегулирование:


368

Время нарастания tн – время достижения в первый раз установившегося значения: 4.75

Количество колебаний N за время регулирования tр:

Установившийся режим не наступает.

Статическая точность, установившаяся ошибка: 0

g) k=1, T=5,

Рис.7.g. Неустойчивое звено второго порядка (при k=1, T=5, )

Значение показателей качества

Время регулирования:

 >20

Перерегулирование:


1.05e+003

Время нарастания tн – время достижения в первый раз установившегося значения: 5.67

Количество колебаний N за время регулирования tр:

Установившийся режим не наступает.

Статическая точность, установившаяся ошибка: 0

h) k=1, T=5,

Рис.7.h. Неустойчивое звено второго порядка (при k=1, T=5, )

Значение показателей качества

Время регулирования:

 >120

Перерегулирование:


912

Время нарастания tн – время достижения в первый раз установившегося значения: 7.17

Количество колебаний N за время регулирования tр:

Установившийся режим не наступает.

Статическая точность, установившаяся ошибка: 0

i) k=1, T=5,

Рис.7.i. Неустойчивое звено второго порядка (при k=1, T=5, )

Значение показателей качества

Время регулирования:

 >70

Перерегулирование:


100

Время нарастания tн – время достижения в первый раз установившегося значения: 7.6

Количество колебаний N за время регулирования tр:

Установившийся режим не наступает.

Статическая точность, установившаяся ошибка: 0

j) k=1, T=5,

Рис.7.j. Неустойчивое звено второго порядка (при k=1, T=5, )

Значение показателей качества

Время регулирования:

 

145

Перерегулирование:


72.9

Время нарастания tн – время достижения в первый раз установившегося значения: 8.1

Количество колебаний N за время регулирования tр: 4

Статическая точность, установившаяся ошибка: 0

k) k=6, T=0.5,

Рис.7.k. Неустойчивое звено второго порядка (при k=6, T=0.5, )

Значение показателей качества

Время регулирования:

 >0.8

Перерегулирование:


368

Время нарастания tн – время достижения в первый раз установившегося значения: 0.475

Количество колебаний N за время регулирования tр:

Установившийся режим не наступает.

Статическая точность, установившаяся ошибка:5

l) k=6, T=0.5,

Рис.7.l. Неустойчивое звено второго порядка звено (при k=6, T=0.5, )

Значение показателей качества

Время регулирования:

 >2

Перерегулирование:


1.05e+003

Время нарастания tн – время достижения в первый раз установившегося значения: 0.567

Количество колебаний N за время регулирования tр:

Установившийся режим не наступает.

Статическая точность, установившаяся ошибка: 5

m) k=6, T=0.5,

Рис.7.m. Неустойчивое звено второго порядка (при k=6, T=0.5, )

Значение показателей качества

Время регулирования:

 >12

Перерегулирование:


912

Время нарастания tн – время достижения в первый раз установившегося значения: 0.717

Количество колебаний N за время регулирования tр:

Установившийся режим не наступает.

Статическая точность, установившаяся ошибка: 5

n) k=6, T=0.5,

Рис.7.n. Неустойчивое звено второго порядка (при k=6, T=0.5, )

Значение показателей качества

Время регулирования:

 >25

Перерегулирование:


100

Время нарастания tн – время достижения в первый раз установившегося значения: 0.761

Количество колебаний N за время регулирования tр:

Установившийся режим не наступает.

Статическая точность, установившаяся ошибка: 5

o) k=6, T=0.5,

Рис.7.o. Неустойчивое звено второго порядка (при k=6, T=0.5, )

Значение показателей качества


 

14.5

Перерегулирование:


72.9

Время нарастания tн – время достижения в первый раз установившегося значения: 0.81

Количество колебаний N за время регулирования tр: 4

Статическая точность, установившаяся ошибка: 5

p) k=6, T=5,

Рис.7.p. Неустойчивое звено второго порядка (при k=6, T=5, )

Значение показателей качества

Время регулирования:

 >8

Перерегулирование:


368

Время нарастания tн – время достижения в первый раз установившегося значения: 4.75

Количество колебаний N за время регулирования tр:

Установившийся режим не наступает.

Статическая точность, установившаяся ошибка: 5

q) k=6, T=5,

Рис.7.q. Неустойчивое звено второго порядка (при k=6, T=5, )

Значение показателей качества

Время регулирования:

 >20

Перерегулирование:


1.05e+003

Время нарастания tн – время достижения в первый раз установившегося значения: 5.67

Количество колебаний N за время регулирования tр:

Установившийся режим не наступает.

Статическая точность, установившаяся ошибка: 5

r) k=6, T=5,

Рис.7.r. Неустойчивое звено второго порядка (при k=6, T=5, )

Значение показателей качества

Время регулирования:

 >120

Перерегулирование:


912

Время нарастания tн – время достижения в первый раз установившегося значения: 7.17

Количество колебаний N за время регулирования tр:

Установившийся режим не наступает.

Статическая точность, установившаяся ошибка: 5

s) k=6, T=5,

Рис.7.s. Неустойчивое звено второго порядка (при k=6, T=5, )

Значение показателей качества

Время регулирования:

 >70

Перерегулирование:


100

Время нарастания tн – время достижения в первый раз установившегося значения: 7.6

Количество колебаний N за время регулирования tр:

Установившийся режим не наступает.

Статическая точность, установившаяся ошибка: 5

t) k=6, T=5,

Рис.7.t. Неустойчивое звено второго порядка (при k=6, T=5, )

Значение показателей качества

Время регулирования:

 

145

Перерегулирование:


72.9

Время нарастания tн – время достижения в первый раз установившегося значения: 8.1

Количество колебаний N за время регулирования tр: 4

Статическая точность, установившаяся ошибка: 5

Интегро-диффиренцирующее

Уравнение динамики ->

Передаточная функция W(s) ->

a) T1=0.5; T2=5; k=1

Рис.8.a. Неустойчивое звено второго порядка (при T1=0.5; T2=5; k=1)

Значение показателей качества:

Время регулирования:

 

1.5

Перерегулирование:


900

Время нарастания tн – время достижения в первый раз установившегося значения: 1.5

Количество колебаний N за время регулирования tр: 0

Статическая точность, установившаяся ошибка: 0

b) T1=0.5; T2=5; k=6

Рис.8.b. Неустойчивое звено второго порядка (при T1=0.5; T2=5; k=6)

Значение показателей качества:

Время регулирования:

 

1.5

Перерегулирование:


900

Время нарастания tн – время достижения в первый раз установившегося значения: 1.5

Количество колебаний N за время регулирования tр: 0

Статическая точность, установившаяся ошибка: 5

c) T1=5; T2=0.5; k=1

Рис.8.c. Неустойчивое звено второго порядка (при T1=5; T2=0.5; k=1)

Значение показателей качества:

Время регулирования:

 

15

Перерегулирование:


0

Время нарастания tн – время достижения в первый раз установившегося значения: 15

Количество колебаний N за время регулирования tр: 0

Статическая точность, установившаяся ошибка: 0

d) T1=5; T2=0.5; k=6

Рис.8.d. Неустойчивое звено второго порядка (при T1=5; T2=0.5; k=6)

Значение показателей качества:

Время регулирования:

 

15

Перерегулирование:


0

Время нарастания tн – время достижения в первый раз установившегося значения: 15

Количество колебаний N за время регулирования tр: 0

Статическая точность, установившаяся ошибка: 5

Итоговая таблица:

Значения коэффициентов\показатели качества

Время регулирования, tp (сек)

Перерегулирование, σ (%)

Время нарастания, tн (сек)

Количество колебаний N за время регулирования tр

Установившаяся ошибка

Безынерционное звено

k=1

0

0

0

0

0

k=6

0

0

0

0

5

Вывод: С увеличением коэффициента передачи (k) возрастает установившаяся ошибка.

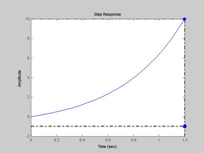
Апериодическое звено (Инерционное звено)

k=1, T=0.5

1.5

0

1.5

0

0.5

k=1, T=5

15

0

15

0

0

k=6, T=0.5

1.5

0

1.5

0

5

k=6, T=5

15

0

15

0

5

Вывод: С увеличением коэффициента передачи (k) увеличивается установившаяся ошибка. С ростом постоянной времени (Т) возрастает время регулирования, время нарастания.

Реальное дифференцирующее звено

k=1, T=0.5

1.5


1.5

0

-1

k=1, T=5

1.5

(-7.21e+017)

15

0

(-2.78e-017)-1

k=6, T=0.5

1.5


1.5

0

-1

k=6, T=5

15


15

0

-1

Вывод: Увеличение коэффициента передачи (k) и постоянной времени влияет на: 1. время регулирования (при k=1 и k=6 при Т=0.5 – остается неизменным; при k=1 и k=6 при Т=5 – увеличивается). 2. время нарастания (при k=1 и k=6 при Т=0.5 – остается неизменным; при k=1 и k=6 при Т=5 – не изменяется). 3. перерегулирование изменяется при увеличение постоянной времени. 4. установившаяся ошибка постоянна, за исключением значений k=1 и Т=5.

Колебательное звено

k=1, T=0.5

2.75

0

2.75

0

0

k=1, T=0.5

2.61

947

1.27

0

0

k=1, T=0.5

14.5

72.9

0.81

4

0

k=1, T=0.5

>25

100

0.761

0

k=1, T=0.5

>12

912

0.717

0

k=1, T=5

27.5

0

27.5

0

0

k=1, T=5

26.1

9.47

12.7

0

0

k=1, T=5

145

72.9

8.1

4

0

k=1, T=5

>70

100

7.6

0

k=1, T=5

>120

912

7.17

0

k=6, T=0.5

2.75

0

2.75

0

5

k=6, T=0.5

2.61

9.47

1.27

0

5

k=6, T=0.5

14.5

72.9

0.81

4

5

k=6, T=0.5

>25

100

0.761

5

k=6, T=0.5

>12

912

0.717

5

k=6, T=5

27.5

0

27.5

0

5

k=6, T=5

26.1

9.47

12.7

0

5

k=6, T=5

145

72.9

12.7

4

5

k=6, T=5

>70

100

7.6

5

k=6, T=5

>120

912

7.17

5

Вывод: В случае, когда k=1, Т=0.5, а  увеличивается – время регулирования увеличивается до , а потом уменьшается. Заметно влияние на перерегулирование. Время нарастания уменьшается. Количество колебаний за время регулирования увеличивается.

k=1, Т=5, а  увеличивается – время регулирования уменьшается до , дальше увеличивается. Перерегулирование заметно возрастает. Время нарастания уменьшается. Количество колебаний за время регулирования увеличивается.

k=6, T=0.5 и  увеличивается – время регулирования уменьшается до , дальше увеличивается. Перерегулирование заметно возрастает. Время нарастания уменьшается. Количество колебаний за время регулирования увеличивается.

k=6, T=5 и  увеличивается - время регулирования уменьшается до , дальше увеличивается. Перерегулирование заметно возрастает. Время нарастания уменьшается. Количество колебаний за время регулирования увеличивается.

При увеличении коэффициента передачи увеличивается установившаяся ошибка, время нарастания и перерегулирование остается неизменным. При увеличении постоянной времени увеличивается время нарастания, время регулирования, колебания остаются неизменными.

Интегрирующее звено

k=1

0

Lnf(unstable)

0

0

0

k=6

0

Lnf(unstable)

0

0

0

Вывод: При увеличении коэффициента передачи все значения показателей качества остаются неизменными.

Неустойчивое звено первого порядка

k=1, T=0.5

>1.2

-1.1e+003

>1.2

0

-2

k=1, T=5

>12

-1.1e+003

>12

0

k=6, T=0.5

>1.2

-1.1e+003

>1.2

0

-7

k=6, T=5

>12

-1.1e+003

>12

0

-7

Вывод: При увеличении постоянной времени (Т) увеличивается время регулирования, время нарастания и перерегулирование остается постоянным.

Увеличение коэффициента передачи влияет на количество колебаний пропорционально, остальные показатели качества остаются неизменными.

Неустойчивое звено второго порядка

k=1, T=0.5

0.475

368

0.475

0

0

k=1, T=0.5

2.61

1.05e+003

0.567

0

0

k=1, T=0.5

>12

912

0.717

0

k=1, T=0.5

>25

100

0.761

0

k=1, T=0.5

14.5

72.9

0.81

4

0

k=1, T=5

>8

368

4.75

0

k=1, T=5

>20

1.05e+003

5.67

0

k=1, T=5

>120

912

7.17

0

k=1, T=5

>70

100

7.6

0

k=1, T=5

145

72.9

8.1

4

0

k=6, T=0.5

>0.8

368

0.475

5

k=6, T=0.5

>2

1.05e+003

0.567

5

k=6, T=0.5

>12

912

0.717

5

k=6, T=0.5

>25

100

0.761

5

k=6, T=0.5

14.5

72.9

0.81

4

5

k=6, T=5

>8

368

4.75

5

k=6, T=5

>20

1.05e+003

5.67

5

k=6, T=5

>120

912

7.17

5

k=6, T=5

>70

100

7.6

5

k=6, T=5

145

72.9

8.1

4

5

Вывод:

Интегро-диффиренцирующее звено

T1=0.5; T2=5; k=1

1.5

900

1.5

0

0

T1=0.5; T2=5; k=6

1.5

900

1.5

0

5

T1=5; T2=0.5; k=1

15

0

15

0

0

T1=5; T2=0.5; k=6

15

0

15

0

5

Вывод:



Не нашли материал для своей работы?
Поможем написать уникальную работу
Без плагиата!
Без нейросетей!