Підвищення ефективності діяльності ПриватБанку на основі теорії синергетики
Міністерство
освіти і науки України
Національний
гірничий університет
Кафедра
Економічної кібернетики та інформаційних технологій
ПОЯСНЮВАЛЬНА
ЗАПИСКА
дипломної
роботи
магістра
спеціальності
Економічна кібернетика
на
тему: «Підвищення ефективності діяльності ПриватБанку на основі теорії
синергетики»
Виконавець:
____________ Степанюк Ю. Ю.
(підпис)
|
Керівники
|
Прізвище, ініціали
|
Оцінка
|
Підпис
|
|
роботи
|
Паршина О. А.
|
|
|
|
розділів:
|
|
|
|
|
|
|
|
|
|
|
|
|
|
|
|
|
|
|
|
Дніпропетровськ,
2009
РЕФЕРАТ
Пояснювальна
записка: 150
с., 28 рисунків, 37 таблиць, 4 додаток, 28 джерел.
Об’єкт
розроблення –
автоматизована інформаційна система для розробки математичних моделей
фінансового стану та стійкості банку.
Мета роботи – підвищення ефективності
діяльності банку на базі реалізації автоматизованої інформаційної системи, яка
б задовольняла вимогам обліку фінансового стану банку та якості обробки
інформації.
Метод
дослідження та апаратура. Для дослідження даної предметної області використаний
аналітичний метод на основі вивчення Законів України та підзаконних актів, за
якими виконуються розрахунки фінансової стійкості банку. В основу алгоритмів
обробки даних покладені методи теорії синергетики і математичної статистики.
Для проектування і реалізації інформаційної системи використаний персональний
комп’ютер на базі процесора AMD Duron XP.
У першому розділі
зроблено аналіз методів та прийомів дослідження фінансової діяльності.
У другому розділі
розроблена методика вивчення фінансового стану та стійкості банку та методика
комп’ютерного моделювання.
Новизна
проектних рішень полягає у використані для дослідження таких складних систем, як
банківська система синергетичний підхід.
У третьому
розділі представлені розроблені математичні моделі фінансового стану та
стійкості банку.
У четвертому
розділі представлена розробка інформаційної системи, а у п’ятому представлені
вимоги до охорони праці.
Практичне
значення
роботи полягає у підвищенні ефективності діяльності банку на основі моделювання
та ймовірному виявленні дисипативних структур і управлінні розвитком системи.
ЗМІСТ
ВСТУП
1 АНАЛІЗ МЕТОДІВ ТА
ПРИЙОМІВ ДОСЛІДЖЕННЯ ФІНАНСОВОЇ ДІЯЛЬНОСТІ
1.1
Характеристика банка
1.2 Аналіз методів
дослідження фінансової діяльності банка
1.3 Аналіз методів теорії синергетики
1.4 Мета та задачі
дослідження
2 МЕТОДИКА ВИВЧЕННЯ
ФІНАНСОВОГО СТАНУ І СТІЙКОСТІ
БАНКУ ТА КОМПЬЮТЕРНОГО
МОДЕЛЮВАННЯ
2.1 Аналіз фінансової
стійкості комерційного банку
2.2 Методика побудови математичних моделей
показників фінансової стійкості
2.3 Методика
комп’ютерного моделювання
3 РОЗРОБКА МАТЕМАТИЧНИХ
МОДЕЛЕЙ ФІНАНСОВОГО СТАНУ ТА СТІЙКОСТІ БАНКУ
3.1 Аналіз та моделювання
зовнішнього середовища на основі кореляційно–регресивного аналізу
3.2 Розробка математичних
моделей динаміки зміни коефіцієнтів
фінансової стійкості
банка
3.2.1 Розробка
математичної моделі динаміки зміни коефіцієнта надійності
3.2.2 Розробка математичної моделі
динаміки зміни коефіцієнта
фінансового важеля
3.2.3 Розробка математичної моделі
динаміки зміни коефіцієнта участі
власного капіталу у формуванні активів
3.2.4 Розробка математичної моделі
динаміки зміни коефіцієнта
захищеності власного капіталу
3.2.5 Розробка математичної моделі
динаміки зміни коефіцієнта
захищеності дохідних активів власним
капіталом
3.2.6 Розробка математичної моделі
динаміки зміни коефіцієнта мультиплікатора капіталу
3.3 Комп’ютерне моделювання фінансової
стійкості
4 РОЗРОБКА ІНФОРМАЦІЙНОЇ СИСТЕМИ
4.1 Інформаційне забезпечення
4.1.1 Загальна характеристика
інформаційного забезпечення
4.1.2 Організація збору і передачі
первинної інформації
4.2 Організаційне забезпечення
4.3 Технічне забезпечення
4.4 Програмне забезпечення
5 ОХОРОНА ПРАЦІ
5.1 Загальні вимоги безпеки
5.2 Вимоги до приміщень, обладнаними
робочими місцями з комп'ютерною технікою
5.3 Санітарно - гігієнічні вимоги
5.4 Вимоги до організації робочого місця
користувача ПЭВМ
5.5 Вимоги безпеки перед, під час та по
закінченню роботи
ВИСНОВКИ
ЛІТЕРАТУРА
ДОДАТКИ
А – Розрахунки фінансової стійкості
ПриватБанку та графічне представлення показників
Б – Розрахунки зв’язку між показниками банку
та зовнішнім середовищем
В – Розрахунки двофакторних моделей впливу
зовнішнього середовища на показники банку
Г – Вид інформаційної системи
ВСТУП
Рівень
економічного розвитку України залежить не тільки від розвитку і впровадження
сучасних ресурсозберігаючих технологій і передової техніки, а значною мірою
визначається ступенем розвитку банківської системи. Банки забезпечують
фінансування всіх сфер підприємництва, виробничої і невиробничої сфер, сфери
керування і сприяють наповненню державного бюджету необхідними коштами. Така
велика діяльність банків вимагає системного підходу до вивчення їхньої
діяльності. У процесі проведення системних досліджень необхідно оцінити
стійкість фінансово-економічної діяльності, тому що надійна банківська система
є однією з важливих умов подальшого розвитку вітчизняної ринкової економіки.
У
зв'язку з цим великий інтерес представляє вивчення впливу показників
зовнішнього середовища на систему, а саме на фінансово-економічну діяльність
банку. В аспекті системних досліджень, банк являє собою складну економічну
систему. Система в цілому і її елементи мають складну внутрішню структуру, що
виявляється в комплексі складних взаємодій між ними і зовнішнім середовищем.
Під впливом обурюючих факторів як зовнішнього середовища, так і невизначеності
економічної ситуації, у процесі фінансово-економічної діяльності в складній
банківській системі можуть виникати упорядковані і неупорядковані структури.
Діяльність банку в такий спосіб може розглядатися у виді досить складного
нелінійного нерівноважного процесу.
Найбільш
ефективним підходом для дослідження таких складних систем, як банківська
система є синергетичний підхід. Його використання дозволяє провести дослідження
базових математичних моделей, що засновані на припущеннях про властивості
окремих елементів, що складають складну систему банку, і законів взаємодії між
ними. Головною відмітною властивістю досліджуваного банківського середовища є
процеси самоорганізації. Тому синергетичний підхід можна розглядати як загальну
теорію самоорганізації для дослідження складних банківських систем.
Для
підвищення ефективності діяльності банку на основі сінергетичного підходу необхідно
виконати слідуючи задачі:
§
виконати
аналіз існуючих методів дослідження фінансової стійкості банку;
§
виконати
аналіз методів теорії синергетики;
§
зробити
аналіз фінансової стійкості банку;
§
розробити
методику вивчення фінансового стану та стійкості банку;
§
запропонувати
методику комп’ютерного моделювання;
§
провести аналіз
показників зовнішнього середовища;
§
розробити
модель впливу зовнішнього середовища на фінансову стабільність банку;
§
виконати
економіко-математичне моделювання фінансової стабільності;
§
запропонувати
підвищення ефективності діяльності банку на основі економіко-математичного
моделювання внутрішніх та зовнішніх факторів;
§
розробити
інформаційну систему, на основі якої буде легко виконувати розрахунки при
подальшому використанні запропонованих моделей та значити шляхи підвищення
ефективності фінансової діяльності ПриватБанку.
1 АНАЛІЗ МЕТОДІВ ТА ПРИЙОМІВ ДОСЛІДЖЕННЯ ФІНАНСОВОЇ ДІЯЛЬНОСТІ
1.1 Характеристика банка
Заснований 19 березня 1992 року, на сьогодні ПриватБанк входить до числа
найбільших системних банків країни і є одним з визнаних лідерів банківської
системи України.
Володіючи
генеральною ліцензією Національного банку України на проведення банківських
операцій, ПриватБанк здійснює весь спектр послуг по обслуговуванню
корпоративних і фізичних клієнтів відповідно до міжнародних стандартів.
Довгостроковий інтерес клієнта – головний пріоритет в роботі банку. Послідовно
розширюючи спектр надаваємих послуг і якість банківських продуктів, ПриватБанк
активно нарощує свою клієнтську базу. При цьому ПриватБанк –банк, що пропонує
комплексне вирішення завдань, які постають перед клієнтом, на основі
індивідуального підходу та широкого досвіду роботи банку на фінансовому ринку
України.
Проводячи послідовну політику зміцнення стабільності банку і
вдосконалення якості обслуговування, ПриватБанк вважає одним із пріоритетних
напрямків своєї роботи розвиток комплексу сучасних послуг для індивідуального
клієнта. На сьогодні банк пропонує громадянам України понад 150 видів послуг,
серед яких поточні, вкладні операції, карткові продукти, різноманітні програми
споживчого кредитування, здійснювані в партнерстві з провідними вітчизняними
торговими, ріелторськими компаніями й автовиробниками. Банк є уповноваженим
Урядом України банком з виплати пенсій і соціальної допомоги громадян, виплати
компенсації жертвам нацистських репресій, активно впроваджує програми
обслуговування для окремих найменш захищених категорій клієнтів, зокрема,
пенсіонерів. Сьогодні рахунки в ПриватБанку мають близько 2,2 млн. українських
громадян, свої пенсії в банку отримують понад 250 тисяч пенсіонерів, що
свідчить про високий рівень довіри до банку з боку населення.
Регіональна мережа ПриватБанку, що включає в себе понад 1000 філій і
відділень на всій території України, дозволяє будь якому клієнту отримати
найвищий рівень обслуговування практично в будь якій точці країни. Широке коло
зарубіжних партнерів ПриватБанку не лише демонструє його визнання як
повноправного учасника світової банківської системи, але й, найголовніше,
дозволяє задовольняти потреби клієнтів банку, пов`язані з їхньою міжнародною
діяльністю. ПриватБанк підтримує кореспондентські відносини з найбільшими
іноземними банками, ефективно співробітничаючи з ними на різних сегментах
фінансового ринку.
ПриватБанк – лідер у сфері впровадження передових банківських послуг
Інноваційна політика ПриватБанку орієнтована на впровадження на
українському ринку принципово нових, передових банківських послуг, котрі
надають клієнтам нові можливості управління своїми фінансами. ПриватБанк першим
в Україні запропонував своїм клієнтам послуги «мобільного» банкінгу, а також
послуги з продажу через мережу своїх банкоматів і POS терміналів електронних
ваучерів провідних операторів мобільного зв'язку і IP телефонії. Також
ПриватБанк першим в Україні запропонував своїм клієнтам класичний варіант
системи Інтернет банкінгу «Приват24 ». ПриватБанк першим з українських банків
подолав 1 000 000-й рубіж емісії карток і став першим банком на території СНД,
котрий видав більш як 500 тисяч карток системи VISA.
Мета керівництва –забезпечити кожному клієнту комплекс сучасних, якісних,
технологічних банківських продуктів і послуг на рівні світових стандартів,
зробити ПриватБанк провідним фінансовим інститутом не лише в Україні, а й в
СНД. Прагнучи активно працювати в усіх регіонах України, ПриватБанк продовжує
розвиток регіональної мережі.
Ріст банку – не самоціль. Сьогодні на перший план виходить такі аспекти
роботи, як максимальне розширення спектру і підвищення якості пропонованих
послуг, розвиток нових форм бізнесу на основі сучасних електронних технологій,
досягнення твердих лідерських позицій у всіх секторах фінансового ринку,
форсування інвестиційної діяльності банку і стратегічне партнерство з
найбільшими суб'єктами національної економіки.
Один з найважливіших факторів стратегії розвитку – застосовування
адаптованих до вітчизняних умов західних технологій.
ПриватБанк впевнено дивиться в майбутнє, орієнтуючись як на фінансові
результати своєї діяльності, так і на ту роль, яку банк відіграє в економіці
України.
Стратегія розвитку є чіткою й реальною, а головним пріоритетом роботи
банку завжди був і буде довгостроковий інтерес клієнтів.
1.2 Аналіз методів дослідження фінансової діяльності банка
Відповідно до Закону України «Про банки і банківську діяльність»
банк - юридична особа, яка має виключне право на підставі ліцензії
Національного банку України здійснювати у сукупності такі операції: залучення у
вклади коштів фізичних і юридичних осіб та розміщення зазначених коштів від
свого імені, на власних умовах і на власний ризик, відкриття і ведення
банківських рахунків фізичних та юридичних осіб.
Наявність грошей, нерівномірність їх обігу приводить до утворення
в господарському обороті, з одного боку, тимчасово вільних грошових засобів, а
з іншого боку, зумовлює додаткову потребу в них. Тому є неминучою поява
суб'єктів підприємництва, що акумулюють вільні грошові засоби - банків і
суб'єктів господарювання, яким вони надаються для задоволення їх потреб (шляхом
продажу або надання послуг за плату - рис. 1.1).
Рисунок 1.1 - Основні умови виникнення банку й економічних
відносин між ним і його клієнтами
Виконуючи свої функції (кредитно-розрахункове, касове й інше
банківське обслуговування), комерційні банки взаємодіють зі своїми партнерами -
підприємствами, установами, організаціями, громадянами та іншими суб'єктами
ринкових відносин. Найбільш яскравим прикладом взаємодії банку з партнерами
можуть бути кредитні відносини. Здійснення кредитних відносин вимагає від банку
проведення економічного аналізу не тільки своєї діяльності, а і діяльності
своїх партнерів (учасників-акціонерів і позичальників позики, до яких можуть
належати також банки). При цьому особлива увага приділяється аналізу діяльності
банків-позичальників, бо їх кредитні відносини за даних кризових умов
загострюються, міжбанківський кредит стає небезпечним і ризикованим, немає
гарантії його повернення. Багато банків відмовляються від виконання своїх
зобов'язань за виданими гарантійними листами. Тому деякі банки створюють у себе
аналітичні служби для проведення аналізу балансів тих банків, з якими вони
працюють, і по визначенню серед усіх банківських установ рейтингів банків і
ліміту, встановленого на основі оцінки рівня взаємовідносин для видачі
міжбанківських кредитів
[14].
Таким чином, комерційні банки проводять внутрішній аналіз (власної
діяльності) і зовнішній економічний аналіз (діяльності партнерів). Внутрішній
аналіз діяльності банків є одним із найважливіших напрямків економічної роботи.
При цьому велике значення має правильна організація цієї роботи, бо без неї
неможливо управляти діяльністю банків як на мікрорівні (тобто на рівні окремого
банку), так і на макрорівні (банківська система). На мікрорівні управління
економічний аналіз необхідний для обґрунтування бізнес-плану, оцінки його
виконання, розкриття причинно-наслідкових зв'язків між факторами і кінцевими
результатами діяльності (продуктом) - наданими послугами і прибутком
(доходністю), вишукування резервів можливого збільшення прибутку, оцінки
стабільності фінансового стану банку, його платоспроможності й ліквідності.
Важливе значення економічний аналіз має для визначення вигідності вкладень
кредитних ресурсів, оцінки ризику і визначення перспектив розвитку банку.
Оцінка наявних можливостей банку дозволяє збалансувати їх із ринковими
запитами, виробити обґрунтовані програми розвитку і поведінки банку на ринку,
створити адекватну основу для прийняття правильних управлінських рішень.
Аналіз діяльності банку проводиться з урахуванням дії внутрішніх і
зовнішніх факторів, що впливають на діяльність банку.
Аналіз внутрішніх факторів (умов) діяльності банку
будується на оцінці його фінансово-економічного стану, запропонованого переліку
послуг, стратегічної поведінки банку на ринку, рівня технічного обладнання,
кваліфікації персоналу, вивчення інформаційної забезпеченості та
якості маркетингової діяльності й організаційної структури банку.
Спектр зовнішніх факторів функціонування банку дуже широкий і
визначається спрямуванням господарської і кредитної політики держави, заходами
щодо управління і регулювання економіки, а також контролем Національного банку
України (органів банківського нагляду), кон'юнктурою ринку, конкуренцією і т.д.
Зовнішній аналіз (аналіз діяльності партнерів) проводиться
банком із моменту його створення і протягом усього періоду його функціонування.
При створенні комерційного банку економічний аналіз використовується для оцінки
фінансово-господарської діяльності його учасників, визначення відповідності їх
фінансового стану вимогам законодавчих актів. У процесі функціонування банку
економічний аналіз служить засобом оцінки кредитоспроможності позичальників, їх
економічної заможності, фінансової стабільності й платоспроможності,
ліквідності. Метою цього аналізу є обґрунтування управлінського рішення про
надання кредитів з урахуванням мінімізації ризику і максимізації доходу, а
також контроль за поверненням кредиту.
§
Оперативний аналіз проводиться в процесі поточної роботи банку для
оцінки дотримання нормативів платоспроможності, ліквідності, формування
резервів та інших показників, вживання негайних заходів, що забезпечують їх
дотримання, а також отримання достатнього прибутку [14].
Важливе значення має перспективний аналіз, що
застосовується для прогнозування очікуваних результатів у майбутньому, а також
для визначення нових видів послуг і внутрішньої банківської політики.
Специфічними є такі види аналізу:
§
Функціональний аналіз дозволяє визначити спеціалізацію
діяльності комерційного банку, його місце в системі розподілу банківських
послуг, можливість форм і перспектив взаємодії з іншими контрагентами системи,
а також оцінити ефективність і доцільність функцій, що виконуються банком.
Такий аналіз проводиться на підставі даних підсумку балансу, співвідношення
обсягів депозитів і кредитів, власних і залучених коштів, а також частки
міжбанківських операцій у загальному обсязі ресурсів і їх вкладень. Внаслідок
функціонального аналізу визначаються підвищення доходності (прибутковості) і
ліквідності банківських послуг шляхом виключення неефективних і пошуку більш
прогресивних способів виконання необхідних послуг.
§
Структурний аналіз проводиться для всіх видів банківських послуг,
активних і пасивних статей балансу. Цей аналіз сприяє визначенню складу і
питомої ваги економічних контрагентів активів і пасивів банку, а також
структури доходів, видатків і прибутків банку.
§
Оперативно-вартісний аналіз поглиблює визначення
доходності банку і дає уявлення про вартість і рентабельність (або збитковість)
конкретних видів послуг. Він дозволяє оцінити значення кожного виду послуг у
формуванні прибутку банку і розробити основні напрямки депозитно-кредитної
політики відносно конкретних контрагентів із метою максимізації доходів.
§
Макроекономічний аналіз діяльності банків дозволяє визначити масштабність
їх продуктивності й прибутку, а також рівень участі комерційного банку або
групи банків у формуванні грошової маси, розподіл банківських послуг,
регіональний розподіл кредитних ресурсів. Аналіз масштабності продуктивності
проводиться шляхом співвідношення масштабів конкретних видів послуг із середнім
рівнем або абсолютними (максимальними і мінімальними) значеннями аналогічних
показників у цілому по банківській системі
[14].
Для
вивчення фінансової діяльності банка застосовують методи фінансового аналізу.
Основна
мета фінансового аналізу - одержання невеликого числа ключових (найбільш
інформативних) параметрів, що дають об'єктивну і точну картину фінансового
стану підприємства, його прибутків і збитків, змін у структурі активів і
пасивів, у розрахунках з дебіторами і кредиторами.
Вихідною
базою фінансового аналізу є дані бухгалтерського обліку і звітності,
аналітичний перегляд яких повинний відновити всі основні аспекти господарської
діяльності і зроблених операцій в узагальненій формі, тобто з необхідної для
аналізу ступенем агрегування [28].
Практика
фінансового аналізу виробила основні методи читання фінансових звітів. Серед
них можна виділити наступні: горизонтальний аналіз, вертикальний аналіз,
трендовий аналіз, метод фінансових коефіцієнтів, порівняльний аналіз, факторний
аналіз.
Горизонтальний (тимчасовий) аналіз — визначення абсолютних и відносних
змін величин різних статей балансу за певний період.
Вертикальний (структурний) аналіз — визначення структури підсумкових
фінансових показників з виявленням впливу кожної позиції звітності на результат
у цілому.
Трендовий аналіз - порівняння кожної позиції звітності з попередніми
періодами і визначення тренда, тобто основної тенденції динаміки показника,
очищеної від випадкових впливів і індивідуальних особливостей окремих періодів.
За допомогою тренда формуються можливі значення показників у майбутньому, а,
отже, ведеться перспективний, прогнозний аналіз.
Коефіцієнтний аналіз зводиться до вивчення рівнів і динаміки відносних
показників фінансового стану, що розраховуються як відношення величин
балансових статей або інших абсолютних показників, одержуваних на основі
звітності або бухгалтерського обліку. При аналізі фінансових коефіцієнтів їхні
значення порівнюються з базисними величинами, а також вивчається їхня динаміка
за звітний період і за ряд суміжних звітних періодів. Як базисні величини
використовуються:
§
теоретично
обґрунтовані або отримані в результаті експертних опитувань величини відносних
показників, що характеризують оптимальні або критичні значення з погляду
стійкості фінансового стану підприємства;
§
усереднені
по часовому ряді значення показників даного підприємства, що відносяться до
минулих, сприятливих з погляду фінансового стану періодів;
§
значення
показників, розраховані за даними звітності найбільш щасливого конкурента;
§
середньогалузеві
значення показників.
Крім фінансових коефіцієнтів в аналізі фінансового стану велику роль грають абсолютні показники, що розраховуються на основі звітності, такі, як чисті активи
(реальний власний капітал), власні оборотні кошти, показники забезпеченості
запасів власними оборотними коштами. Дані показники є критеріальними,
оскільки з їх допомогою формулюються критерії, що дозволяють визначити якість
фінансового стану.
Порівняльний (просторовий) аналіз - це як внутрішньогосподарське
порівняння за окремими показниками фірми, дочірніх фірм, підрозділів, цехів,
так і міжгосподарське порівняння показників даної фірми з показниками
конкурентів, зі середньогалузевими і середніми загальноекономічними даними.
Факторний аналіз — це аналіз впливу окремих факторів (причин) на
результативний показник за допомогою детермінованих або стохастичних прийомів
дослідження. Причому факторний аналіз може бути як прямим (власне аналіз),
тобто, що полягає в роздробленні результативного показника на складові частини,
так і зворотним (синтез), коли окремі елементи з'єднують у загальний
результативний показник [28].
В
окрему групу необхідно виділити кількісні методи фінансового аналізу.
Кількісні методи фінансово-економічного аналізу підрозділяються на статистичні,
бухгалтерські і економіко-математичні.
Статистичні методи економічного аналізу:
§
статистичне
спостереження - запис інформації з певних принципів і з певними цілями;
§
абсолютні
і відносні показники (коефіцієнти, відсотки);
§
розрахунки
середніх величин: середні арифметичні прості, зважені, геометричні;
§
ряди
динаміки: абсолютний приріст, відносний приріст, темпи росту, темпи приросту;
§
зведення
й угруповання економічних показників по певних ознаках;
§
порівняння:
з конкурентами, з нормативами, у динаміку;
§
індекси —
вплив факторів на порівнювані показники;
§
деталізація
(наприклад, продуктивність праці річна залежить, по-перше, від продуктивності
вартовий, по-друге, від використаного часу протягом року);
§
графічні
методи.
Бухгалтерські методи:
·
метод
подвійного запису;
·
бухгалтерський
баланс;
·
інші
бухгалтерські методи.
Економіко-математичні методи:
ü
методи
елементарної математики;
ü
класичні
методи математичного аналізу: диференціювання, інтегрування, варіаційне вирахування;
ü
методи
математичної статистики: вивчення одномірних і багатомірних статистичних
сукупностей;
ü
економетричні
методи: статистичне оцінювання параметрів економічних залежностей, у тому числі
виробничих функцій; міжгалузевого балансу народного господарства і т.д.;
ü
методи
математичного програмування: оптимізація, лінійне
програмування, квадратичне програмування, нелінійне програмування, блокове програмування, динамічне програмування;
ü
методи
дослідження операцій: керування запасами, методи технічного зносу і заміни
устаткування, теорія ігор, теорія розкладів, методи економічної кібернетики;
ü
евристичні
методи;
ü
методи
економіко-математичного моделювання і факторного аналізу, які використовуються
для рішення специфічних задач фінансового аналізу [28].
Реальні об'єкти
занадто складні, тому для їхнього вивчення створюють моделі - копії
досліджуваних реальних об'єктів. З одного боку, моделі повинні бути доступні
для вивчення, у силу чого вони не повинні бути занадто складні – виходить, вони
неминуче будуть лише спрощеними копіями. Але, з іншого боку, висновки, отримані
при їхньому вивченні, необхідно розповсюдити на реальні об’єкти - прототипи,
отже, модель повинна відображати істотні риси досліджуваного реального об'єкта [18].
Моделювання як відображення дійсності виробляється за допомогою математичних формул.
Наприклад,
продуктивність праці знаходиться як середній виробіток на одного працівника
:
(1.1)
де N - оборот або обсяг вироблення продукції на
підприємстві;
R - чисельність працівників.
Типи моделей можуть бути:
1.
адитивні
(моделі додавання), наприклад собівартість
(S):
S=A+M+U, (1.2)
де А - амортизація;
M - матеріали;
U — оплата праці з нарахуваннями;
2. мультиплікативні
(моделі множення), наприклад, продукція знаходиться з вираження:
(1.3)
де N — оборот, тобто сума засобів, виручених за
розглянутий період від реалізації продукції (у цінах підприємства, тобто без
ПДВ і інших непрямих податків);
- оборотність оборотного капіталу, тобто обсяг реалізованої продукції, що приходиться на 1 руб., вкладений в
оборотні кошти підприємства;
Е
- середня (хронологічна) величина оборотного капіталу;
3.
кратні
(моделі розподілу), наприклад вищенаведена формула продуктивності праці [28].
Використовуються наступні методи моделювання:
1.
методи
подовження моделі. Наприклад, показник капіталомісткість продукції знаходиться з вираження
(1.4)
У зв'язку з тим що
K=F+E,
(1.5)
де
F - необоротні активи (основний капітал),
Е
— оборотні активи (оборотний капітал), капіталомісткість може бути розкладена в
такий спосіб:
(1.6)
Уводимо
позначення:
- капіталомісткість (фондомісткість)
продукції по основному капіталу,
(1.7)
-
капіталомісткість продукції по оборотному капіталу,
(1.8)
В
результаті одержуємо, що капіталомісткість продукції складається з
капіталомісткості продукції по основному капіталу і капіталомісткості продукції
по оборотному капіталу:
(1.9)
2.
методи
розширення факторної системи. Наприклад, фондомісткість продукції по основному капіталу
знаходиться з вираження
(1.10)
Помноживши
і розділивши на А (амортизація), одержимо
F/N=(F/A)*(A/N),
(1.11)
де
F/A - кількість років служби основних засобів;
A/N— амортизаціемісткість продукції (частка
амортизації в продукції);
3.
методи
скорочення (розподілу) факторної системи (моделі).
Наприклад,
рентабельність (
)
, (1.12)
де
Р - прибуток;
К
- капітал.
Скориставшись
співвідношенням
K=F+E
(1.13)
зробимо
наступні перетворення:
, (1.14)
де
P/N - прибутковість продукції;
F/N-
фондомісткість продукції по основному капіталу;
E/N
- оборотність оборотного капіталу [28].
4.
методи факторного аналізу
Факторний аналіз здійснюється шляхом використання спеціального
наукового апарату - сукупності прийомів (способів) аналізу, що залежно від
характеру (форми) причинно-наслідкових зв'язків функціональні або стохастичні (імовірнісні)
поділяються на дві групи: одна при функціональній (прямій) формі
зв'язку, тобто при жорстко-детермінованій моделі факторного аналізу, інша - при
стохастичній моделі факторного аналізу.
Для факторного аналізу використовуються групові і комбінаційні
таблиці.
Аналіз за допомогою жорстко-детермінованих моделей, що інколи
скорочено називається детермінованим аналізом, має ряд особливостей:
§ по-перше, при
детермінованому підході факторна модель повністю замикається на ту систему
факторів, що підлягають об'єднанню в дану модель;
§ по-друге, даний
підхід не дозволяє поділити результати впливу водночас діючих факторів, які не
підлягають об'єднанню в одну модель;
§ по-третє,
детермінований аналіз може виконуватися для одиничного об'єкта за браком
сукупності спостережень.
Існують такі види моделей детермінованого аналізу:
ü адитивна модель, тобто модель,
до якої фактори входять у виді алгебраїчної суми.
ü мультиплікативна
модель, тобто модель, до якої входять фактори у виді добутку.
ü кратна модель, тобто модель,
що являє собою відношення факторів.
ü змішана модель, тобто модель,
до якої входять фактори в різних комбінаціях.
Жорстко-детермінована модель, яка налічує понад два фактори,
називається багатофакторною.
Детермінований факторний аналіз має жорстку послідовність
процедур, що виконуються:
·
побудова економічно обґрунтованої (з позиції факторів аналізу)
факторної детермінованої моделі;
·
вибір прийому факторного аналізу і підготовка умов для його
виконання (наприклад побудова аналітичної таблиці);
·
виконання процедур розрахунку аналізу моделі разом із перевіркою;
·
формулювання висновків і рекомендацій за результатами аналізу [14].
Перший етап винятково важливий, оскільки неправильно побудована
модель може призвести до логічно невиправданих і неправильних результатів. Сенс
даного етапу полягає в тому, що будь-яке розширення жорстко-детермінованої
факторної моделі не має суперечити логіці зв'язку «причина-наслідок». На
другому етапі вибирається один із прийомів факторного аналізу. Розглянемо зміст
деяких прийомів, що часто використовуються під час факторного аналізу.
Прийоми вивчення функціональних причинно-наслідкових зв'язків
при детермінованій моделі факторного аналізу
1. Індексний прийом. Під індексом (лат. - іndех) у широкому
значенні розуміється відносний показник, що характеризує співвідношення рівнів
явищ у часі порівняно з бізнес-планом або у просторі. Індексним прийомом можна
виявити вплив різних факторів на кінцевий результат, який вивчається.
2. Прийом елімінування - це логічний прийом,
при якому для визначення впливу факторів на результат припускають, що один з одночасно
діючих факторів є змінним (що змінюється), а інші - сталими незалежно від
економічної можливості такого ізолювання.
3. Прийом різниць абсолютних показників ґрунтується на
прямому підрахунку впливу кожного фактора, включеного в розрахунок. Щоб визначити
величину впливу кожного фактора на відхилення у кінцевому результаті,
використовуючи цей прийом, необхідно виявити різницю між звітними (фактичними)
і плановими (базисними) факторними показниками, а після цього різницю по
кожному показнику помножити на абсолютну величину інших факторних показників у
такому порядку:
§ «різниця» у
показниках за першим фактором множиться на планову величину всіх наступних
факторних показників;
§ «різниця» у
показниках за другим фактором множиться на фактичну величину показника першого
фактора і планову величину показників усіх наступних факторів;
§ «різниця» у
показниках за третім фактором множиться на фактичну величину попередніх
показників і планову величину наступних і т.д [14].
4. Однією з модифікацій елімінування є прийом
перерахунку планових (або базисних) показників.
Перерахунок цих показників викликається зміною умов роботи об'єкта аналізу,
вплив яких при дослідженні необхідно врахувати.
5. Прийом для розрахунку часткового впливу факторів. У тих випадках,
коли на кінцевий результат паралельно впливає значна кількість факторів і вплив
кожного з них за допомогою ланцюгових підстановок встановити складно,
застосовують прийом часткового впливу факторів. Величина впливу кожного фактора
при цьому визначається як пропорційна загальній зміні кінцевого результату.
6. Графічні прийоми пов'язані, передусім, із геометричним зображенням
функціональної залежності за допомогою ліній на площині.
7. Балансовий прийом - це спеціальний прийом
зіставлення взаємопов'язаних показників, які характеризують діяльність об'єкта,
що аналізується, з метою з'ясування і виміру їх взаємного впливу, а також
підрахунку резервів підвищення ефективності виробництва. При застосуванні
балансового прийому аналізу зв'язок між окремими показниками виражається в
формі рівності підсумків, отриманих у результаті різноманітних їх зіставлень.
8. Прийом деталізації даних, що використовуються при
аналізі, застосовується за необхідності деталізації їх за місцем і часом
проведення господарських операцій шляхом розкладу узагальнюючих показників на
частини. Наприклад, цей прийом вживається для визначення впливу результатів
роботи окремих підрозділів підприємства на загальні результати його діяльності [14].
Стохастичне моделювання є певною мірою
доповненням і заглибленням факторного аналізу. У факторному аналізі ці моделі
використовуються з трьох основних причин:
§ необхідності
вивчення впливу факторів, за якими не можна побудувати жорстко детерміновану
модель;
§ необхідності
вивчення впливу факторів, що не підлягають об'єднанню в одній жорстко
детермінованій моделі;
§ необхідності
вивчення впливу складних факторів, що не можуть бути виражені одним кількісним
показником.
На відміну від жорстко детермінованого стохастичний підхід при
аналізі потребує дотримання ряду передумов:
а) наявності сукупності;
б) достатнього обсягу спостережень;
в) випадковість і незалежність спостережень;
г) однорідність;
д) наявність розподілу ознак, близького до нормального;
є) наявність спеціального математичного апарату [14].
Побудова стохастичної моделі проводиться у декілька етапів:
§ якісний аналіз
(визначення мети аналізу, сукупності, результативних і факторних показників
(ознак), вибір періоду, за який проводиться аналіз, а також вибір прийому
аналізу);
§ попередній аналіз
сукупності, яка моделюється (перевірка однорідності, виключення аномальних
спостережень, уточнення необхідного обсягу вибірки, установлення законів
розподілу показників, що вивчаються);
§ побудова
стохастичної (регресійної) моделі;
§ оцінка
адекватності моделі;
§ економічна інтерпретація
і практичне використання моделі.
Викладені особливості стохастичної моделі факторного аналізу
необхідно враховувати при виборі прийомів аналізу явищ.
Прийоми, що використовуються для аналізу стохастичних
(імовірнісних) причинно-наслідкових зв'язків
1. Прийом порівняння паралельних рядів дозволяє
встановити напрямок зв'язку між факторами і кінцевим результатом шляхом
зіставлення двох або кількох рядів показників. Сутність цього прийому в тому,
що спочатку факторні показники розташовуються в порядку зростання або спадання
(ранжируються), а після цього паралельно їм розташовуються відповідні показники
результату. Порівняння цих рядів дає змогу не тільки підтвердити наявність
зв'язку, а і виявити його напрям.
2. Прийом аналітичних групувань є найрозповсюдженішим
прийомом аналізу.
Як правило, підставою групування служить
ознака-фактор, за результативними ознаками проводиться розрахунок групувань
середніх значень, за зміною величини яких визначається наявність зв'язку між
факторами і кінцевими результатами. Отже, аналітичними можна називати такі
групування, що дозволяють встановити і вивчити зв'язок між результатами і
факторами одиниць однотипної сукупності. Групування дозволяє вивчити ті або
інші економічні явища в їх взаємозв'язку і взаємообумовленості, виявити вплив
найістотніших факторів, виявити ті або інші закономірності й тенденції,
притаманні цим процесам і явищам [14].
3. Дисперсний аналіз пов'язаний із вивченням
ознак, що варіюються (змінюються), одиниць сукупності, числове кількісне
значення яких називається варіантами. Справа в тому, що середня величина, що є
узагальнюючим показником для всіх одиниць сукупності, не дає інформації про
індивідуальне значення ознаки, що варіюється, за відмінностями між ними. Звідси
виникає необхідність доповнювати середні величини показниками, що дозволяють
оцінити типовість цих середніх величин шляхом виміру коливання (варіації)
ознаки, що вивчається. Використання цих показників дозволяє зробити аналіз
повним і змістовним і, завдяки цьому, глибше зрозуміти сутність явищ, що
вивчаються. У ролі таких показників використовуються: розмах варіації, середнє
лінійне відхилення, дисперсія, середнє квадратичне відхилення і відносний
показник варіації - коефіцієнт варіації.
4. Прийом регресійно - кореляційного аналізу (РКА) є логічним
продовженням, поглибленням більш елементарних прийомів (прийому паралельних
рядів, аналітичних групувань), що дозволяє глибше досліджувати взаємозв'язки
кінцевого результату і багатьох факторів, які впливають на нього. Він дає
можливість виразити зв'язок у виді певного математичного рівняння, що
характеризує механізм взаємодії факторів і кінцевих результатів.
РКА полягає у побудові й аналізі економіко-математичної моделі у
виді рівняння регресії (кореляційного зв'язку) залежності явища від факторів,
що його визначають: ух =f(х1, х2,..., хn). При лінійному
зв'язку його щільність характеризується такими показниками, як коефіцієнти
детермінації та кореляції.
Одним із розповсюджених аналітичних задач, що вирішуються за
допомогою РКА, є задача на запуск-випуск промислових виробів.
5. Економіко-математичні прийоми можуть
застосовуватися при вивченні як функціональних (детермінованих), так і
стохастичних (імовірнісних) причин-но-наслідкових зв'язків. Широке використання
математичних прийомів є важливим напрямом удосконалення методики економічного
аналізу, підвищує його ефективність в управлінні об'єктом, що аналізується. Це
досягається шляхом скорочення строків проведення аналітичної роботи (завдяки
використанню ЕОМ), більш повного охоплення впливу факторів на результати
діяльності, постановки і вирішення багатьох багатовимірних задач аналізу, які
практично не можуть бути виконані вручну або традиційними методами.
Сформульована математична задача економічного аналізу може бути
вирішена одним із розроблених класичною математичною наукою математичних
прийомів і прийомами математичної статистики.
Економічні прийоми базуються на синтезі трьох галузей знань:
економіки, математики і статистики. Основою економетрії є економічна модель,
під якою розуміється схематичне подання економічного явища або процесу за
допомогою наукової абстракції, відображення його характерних рис. Найбільш
розповсюдженим у сучасній економіці є прийом аналізу економіки
«затрати-випуск». Це матричні (балансові) моделі, що будуються за шаховою
схемою і дозволяють у найбільш компактній формі уявити взаємозв'язок затрат і
результатів виробництва.
Залежно від конкретних задач і мети аналізу для дослідження
діяльності об'єкта, що аналізується, можна використати такі прийоми, як
математичне програмування, теорія ігор, теорія масового обслуговування, прийоми
моделювання і системного аналізу та ряд інших прийомів [14].
Огляд методичної літератури з аналізу банківської діяльності та
ознайомлення з практикою безпосередньо в банках свідчить, що на сьогодні єдина
система показників, які в узагальнюючому вигляді характеризують їх фінансовий
стан, остаточно ще не склалася. Кожний банк використовує свої самостійно
розроблені методики, що включають різні показники, які часто суттєво різняться.
Розглянемо групу коефіцієнтів, що характеризують фінансову
стійкість банку (табл. 1.1) [2].
Таблиця 1.1 - Алгоритм розрахунку й економічний зміст показників,
що характеризують фінансову стійкість
|
№
|
Найменування показника
|
Алгоритм розрахунку за балансом
|
Економічний зміст показника визначає
|
Оптимальне значення
|
|
1
|
Коефіцієнт надійності
|
КН=К/ЗК
|
Співвідношення власного капіталу до залучених
коштів. Рівень залежності банку від залучених коштів
|
Не менше 5%
|
|
2
|
Коефіцієнт фінансового важеля
|
Кфв = ЗК/К
|
Співвідношення зобов'язань банку і капіталу,
розкриває здатність банку залучати кошти на фінансовому ринку
|
У межах 1:20
|
|
3
|
Коефіцієнт участі власного капіталу у формуванні
активів – достатність капіталу
|
КУК=К/АЗАГ
|
Розкриває достатність сформованого власного капіталу
в активізації та покритті різних ризиків
|
Не менше 10%
|
|
4
|
Коефіцієнт захищеності власного капіталу
|
КЗК=АК/К
|
Співвідношення капіталізованих активів і власного
капіталу. Показує, яку частину капіталу розміщено в нерухомість
|
х
|
|
5
|
Коефіцієнт захищеності дохідних активів
|
КЗДА=(К-НАД-ЗБ)/АД
|
Сигналізує про захист дохідних активів (що чутливі
до зміни процентних ставок) мобільним власним капіталом
|
х
|
|
6
|
Коефіцієнт мультиплікатора капіталу
|
КМК = А/Ка
|
Ступінь покриття активів акціонерним капіталом
|
12,0-15,0
|
1.3 Аналіз
методів теорії синергетики
У
постнеокласичній картині світу упорядкованість, структурність, так само як і
хаосомність, стохастичність, визнані об'єктивними, універсальними
характеристиками дійсності. Вони виявляють себе на всіх структурних рівнях
розвитку. Проблема іррегулярного поводження нерівноважних систем знаходиться в
центрі уваги багатьох наукових дисциплін і насамперед синергетики - теорії
самоорганізації, що зробила своїм предметом виявлення найбільш загальних
закономірностей спонтанного структурогенеза.
Поняття
синергетики одержало широке поширення в сучасних наукових дискусіях і
дослідженнях останніх десятиліть в області науки і методології. Сам термін має
давньогрецьке походження й означає сприяння, співучасть або сприяючий,
допомагаючий. Сліди його вживання можна знайти ще в исихазмі – містичні течії
Візантії.
1973 р.- рік
виступу Г. Хакен на першій конференції, присвяченої проблемам самоорганізації,
поклав початок новій дисципліні і вважається роком народження синергетики. М.
Хакен звернув увагу на те, що корпоративні явища спостерігаються в
найрізноманітніших системах . У своїй класичній роботі «Синергетика» він
відзначав, що в багатьох дисциплінах, від астрофізики до соціології, ми часто
спостерігаємо, як кооперація окремих частин системи приводить до утворення
макроскопічних структур або функцій. Синергетика в її нинішньому стані фокусує
увагу на таких ситуаціях, у яких структури або функції системи переживають
драматичні зміни на рівні макромасштабу. Зокрема, синергетику особливо цікавить
питання про те, як зміна підсистеми або її частини роблять зміни, цілком
обумовлені процесами самоорганізації. Парадоксальним здавалося те, що при
переході від неупорядкованого стану до стану порядку всі ці системи поводяться
схожим образом [17].
« Я назвав нову
дисципліну «синергетикою»,- писав у передмові до своєї книги «Синергетика»,
переведеної на багато мов, професор Штутгартського університету Г. Хакен,- не
тільки тому, що в ній досліджується спільна дія багатьох елементів систем, але
і тому, що для знаходження загальних принципів керуючих самоорганізацій,
необхідне кооперування багатьох різних дисциплін». Відповідно до автора
терміна, слово «Синергетика» має 2 смисли. З одного боку, мова йде про
кооперативне сприяння елементів складних систем, а з іншого боку - про співробітництво
учених різних областей знання [11].
У 1982 році на
конференції по синергетиці були виділені конкретні пріоритети нової науки. Г.
Хакен підкреслив, що в зв'язку з кризою узкоспеціалізованих областей знання
інформацію необхідно зжати до невеликого числа законів, концепцій або ідей, а
синергетику можна розглядати як одну з подібних спроб. На думку вченого,
існують ті самі принципи самоорганізації різних по своїй природі систем, від
електронів до людей, а значить мова повинна вестися про загальних детермінованих
природних і соціальних процесів, на перебування яких і спрямована синергетика [17].
Так стало питання
про те, як можна погодити висновок про зростання згодом ентропії в замкнутих
системах (зростання невизначеності, хаосу) із процесами самоорганізації в живій
і неживій природі, що відбуваються у відкритих системах [27]. Ентропія - показник необоротності.
При будь-якому необоротному процесі ентропія зростає. Стримати ріст ентропії
можуть тільки оборотні процеси [11].
По сучасних
уявленням, у формуванні яких істотну роль зіграла кібернетика, процес
самоорганізації являє собою автоматичний процес, при якому, якщо говорити про
біологічні системи, виживають комбінації, вигідні з погляду адаптації усього
виду й окремих організмів.
Кібернетика
відіграє істотну роль у розумінні загальних принципів процесів самоорганізації
і дає методи конструювання різних типів систем, що самоорганізуються. Однак при
цьому залишається відкритим питання про фізичні процеси, що відбуваються в ході
самоорганізації у всіляких системах. Ці процеси як правило дуже складні, але
проте встановлення загальних закономірностей процесів самоорганізації
виявляється можливим [27].
Структура
(система) – це об'єкт, що володіє стійкістю, «жорсткістю». Структура має
здатність до якоїсь межі «пручатися» зовнішнім і внутрішнім змінам, залишатися
«вірної» собі, не змінюючись у цілому. Якщо ж такі зміни відбулися, то говорять
про загибель, руйнування структури. Структури бувають 2 видів:
§
регулярні
структури, наприклад, кристалічна решітка. Вони, як правило, складаються з
однорідних елементів, розташованих симетрично;
§
нерегулярні
- прикладом може бути будь-який живий організм, що складається з різнорідних
кліток, розташованих за складним планом [11].
Згідно ідеї
брюссельської школи, що істотно спирається на роботи Пригожина, відкритий
характер гнітючої більшості систем у Всесвіті говорить про те, що реальність аж
ніяк не є ареною, на якій панує порядок, стабільність і рівновага. Головну роль
у навколишньому нас світі грають нестійкість і нерівноваженість [21].
В умовах, далеких
від рівноваги, діють біфуркаційні механізми. Вони припускають наявність крапок
роздвоєння і неодиничність продовження розвитку. Результати їхньої дії важко
передбачувані. Біфуркаційні процеси свідчать про ускладнення системи.
Флуктуації в загальному випадку означають обурення і підрозділяються на два
великих класи:
·
клас
флуктуацій, створюваних зовнішнім середовищем;
·
клас
флуктуацій, відтворених самою системою [17].
Іноді окрема
флуктуація або комбінація флуктуацій може стати (у результаті позитивного
зворотного зв'язку) настільки сильною, що існуюча колись організація не
витримує і руйнується. У цей переломний момент (називають особливою точкою або
точкою біфуркації) принципово неможливо пророчити, у якому напрямку буде
відбуватися подальший розвиток: чи стане стан системи хаотичним або вона
перейде на новий, більш диференційований і більш високий рівень упорядкованості
або організації, що називають дисипативною структурою. Фізичні або хімічні
структури такого роду називають дисипативними тому, що для їхньої підтримки
потрібно більше енергії, ніж для підтримки більш простих структур, на зміну
яким вони приходять [21].
Таким чином,
синергетика виявляється досить продуктивною науковою концепцією. Її предметом
виступають процеси самоорганізації - спонтанного структурогенеза. Вона включила
в себе нові пріоритети сучасної картини світу:
ª
концепцію
нестабільного нерівноважного світу;
ª
феномен
невизначеності і наявність великої кількості альтернатив розвитку;
ª
ідею
виникнення порядку і хаосу.
Спроби осмислення
понять порядку і хаосу, створення теорії спрямованого безладдя спираються на
великі класифікації і типології хаосу. Останній може бути простим, складним,
детермінованим і т.д. [17].
Інтуїтивно
визначають хаос від противного: хаос панує там, де немає ніякого порядку, немає
структури [11].
«...Порядок же
має на увазі існування в навколишньому світі не тільки «законів», але і чогось
ще: обмежень, інваріантостей, сталості якихось співвідношень, тієї або іншої
регулярності...Стираючий усякі розходження, що знеособлює підхід старого
детермінізму змінився всіляко підкреслюючи розходження еволюційним підходом,
заснованим на використанні детермінацій» [21].
Найпростіший вид
хаосу – «маломірний» - зустрічається в науці і техніку і піддається описові за
допомогою детермінованих систем. Він відрізняється складним тимчасовим, але
досить простим просторовою поведінкою. «Багатомірний» хаос супроводжує
нерегулярне поводження нелінійних середовищ. У турбулентному режимі складними,
що не піддаються координації будуть і тимчасові, і просторові параметри. Під
поняттям «детермінований хаос» мають на увазі поведінку нелінійних систем, що
описується рівняннями без стохастичних джерел, з регулярними початковими і
граничними умовами.
Можна виділити ряд
причин і обставин, у результаті яких відбувається втрата стійкості і перехід до
хаосу:
§
шуми;
§
зовнішні
перешкоди;
§
фактори,
що обурюють.
Джерело
хаосомности іноді зв'язують з наявністю різноманіття ступенів волі, що може
привести до реалізації абсолютно випадкових послідовностей. До обставин, що
обумовлюють хаосогенность, відноситься принципова нестійкість руху, коли два
близьких стани можуть породжувати різні траєкторії розвитку, чуйно реагуючи на
стохастику зовнішніх впливів.
Сучасний рівень
досліджень приводить до істотних доповнень традиційних поглядів на процеси
хаотизаціі. У постнеокласичну картину світу хаос увійшов не як джерело
деструкції, а як стан, похідний від первинної нестійкості матеріальних
взаємодій, що може з'явитися причиною спонтанного структурогенеза. У світлі
останніх теоретичних розробок хаос з'являється не просто як безформна маса, але
і як понад складно організована послідовність, логіка якої становить значний
інтерес. Учені впритул підійшли до розробки теорії спрямованого безладдя,
визначаючи хаос як нерегулярний рух з неперіодично повторюваними, хитливими
траєкторіями, де для кореляції просторових і тимчасових параметрів характерно
випадковий розподіл [17].
Процеси, що
вивчаються в синергетиці, описуються нелінійними рівняннями. Макроскопічна
система складається з величезної кількості взаємодіючих між собою частинок
(електронів і ядер). Взаємодія між частинками відбувається через поля, і тому
для визначення стану системи потрібно розв’язати систему рівнянь, що описують
динаміку частинок і рівняння для полів (електромагнітних, гравітаційних та
інших). Для макроскопічної системи, що складається з 1023 частинок,
виконати таку задачу неможливо. Крім того, у більшості випадків розв’язок такої
задачі навіть непотрібний, оскільки при експериментальному визначенні величин,
що характеризують систему, проводиться усереднення з величезною кількістю
частинок. Тому для характеристики стану системи вводять макроскопічні
параметри, значення яких формується різноманітними процесами, що відбуваються
на макроскопічному рівні. Основні рівняння для макроскопічних змінних одержують
різними шляхами:
§
з
мікроскопічних рівнянь після усереднення по мікроскопічних змінних і нехтування
неістотними для даного явища процесами;
§
з
феноменологічних міркувань, постулюючи співвідношення між величинами;
§
одержуючи
їх із законів збереження і вводячи параметри, значення яких отримуємо з
досліду.
У загальному
випадку ці рівняння є нелінійними і описують процеси нестійкості та явища
самоорганізації в нерівноважних системах. Проте опис системи, що складається з
величезної кількості частинок, обмеженим числом змінних є наближення. Вийти за
рамки цього наближення можна, враховуючи флуктуації. Макроскопічні параметри,
що визначають стан системи, називають динамічними змінними.
Отже, стан
системи описується набором N динамічних
змінних, які визначаються з основних законів досліджуваної області явищ.
Позначимо i-ту динамічну змінну в момент
часу t через Xi(t), де (i=1,2,..., N).Величина Xi(t) задовольняє системі диференційних
рівнянь
де i=1,2,...,N.
У цьому
співвідношенні fi(X1, X2,…XN,
,t) у загальному випадку – деяка
нелінійна функція аргументів (вигляд функції визначається законами
досліджуваної області). Величина
визначає сукупність
параметрів, що описують внутрішні і зовнішні умови [24].
Важливою
характеристикою розв’язків рівнянь є їх стійкість. Це зумовлено тим, що
внаслідок дії різноманітних процесів, не врахованих у рівняннях (1.15), які
часто мають випадковий характер, система може бути переведена з однієї фазової
траєкторії в іншу.
Розглянемо деяку
траєкторію Xi(t), яка є розв’язком системи (1.15).
За теоремою Ляпунова розв’язок називається стійким, якщо для довільного моменту
часу t для будь якого значення
>0 можна знайти таке значення
>0, що для будь-якого розв’язку
, який задовольняє умові:
(1.16)
має місце

(1.17)
Розв’язок, який
задовольняє умові
(1.18)
при t
називається асимптотично стійким.
Умови (1.16),
(1.17) означають, що для стійкого руху фазові траєкторії не розбігаються. Умова
(1.18) означає, що всі траєкторії асимптотично наближаються до однієї стійкої
траєкторії [24].
Для систем з
одним ступенем вільності вихідну систему рівнянь запишемо в одне рівняння
першого порядку:
(1.19)
Фазовим простором
тут є пряма лінія. Особливі точки визначаються так:
(1.20)
Приклад
нелінійної функції і положення особливих точок для системи з однією динамічною
змінною наведено на рис.1.2.
Рисунок
1.2- Особливі точки для системи з однією змінною
Згідно
з теоремою Ляпунова для даного випадку розв’язок є стійким, якщо
(точки Х(1) і Х(3)
на рис. 1.2), і нестійким, якщо
(точки Х(2)
і Х(4) на рис. 1.2). В точці Х(5)
,
у цьому разі питання про стійкість потребує окремого дослідження [24].
Проаналізуємо
залежність розв’язку від зовнішнього параметра
.
Якщо зі зміною параметра
функція
змінює знак, то змінюється також
характер стійкості розв’язку поблизу особливої точки : стійка точка може стати
нестійкою, і навпаки. Розглянемо на площині (Х,
)
криву
, яка описує положення особливої точки
від параметра
(рис. 1.3).
Рисунок
1.3 - Залежність положення особливої точки від зовнішнього параметра
Переріз
кривої
прямою
=const визначає число і положення особливих
точок при заданому значенні параметра
.Характер
стійкості визначається значенням похідної
. З
рисунка 1.3 випливає, що в області 1(
), а в області 2 (
). Тому можна визначити знак приросту
функції зі зміною Х (тобто похідної) в області
, а
також характер стійкості. В області жирної лінії на рисунку 1.3 особливі точки
стійкі, а в області тонкої - нестійкі. З рисунка 1.3 видно, що в областях
і
існує
одна особлива точка, в області
система має три
особливі точки: дві стійкі і одна нестійка. Зі зміною параметра
в точках
і
відбувається різка зміна стану системи.
Так, зі збільшенням параметра
від значень
стаціонарна точка рухається вдовж
нижньої кривої. При досягненні точки
система стає
нестійкою і з подальшим збільшенням
стаціонарна точка,
що характеризує стан системи, стрибкоподібно переходить на верхню криву. Отже,
з плавною зміною
раптово змінюється положення
стійкої стаціонарної точки (від Х(1) до Х(2)). Аналогічно
зі зміщенням
при
точка
рухається вдовж верхньої кривої (рисунок 1.3) і при
відбувається
різка зміна стану системи від значення Х(4) до Х(3).
Значення параметра
, за яким різко змінюється
число і характер особливих точок, називається біфуркаційним. Для прикладу,
наведеному на рисунку 1.3, біфуркаційними є значення параметрів
і
.
Також
синергетика вивчає системи з двома ступенями вільності. Чисельні задачі такого
рівня зводяться до вивчення зв’язків системи двох рівнянь з двома невідомими [24].
Серед
розв’язків динамічних рівнянь особливе місце займають розв’язки, які описують
періодичну зміну динамічного стану системи. На фазовій площині такому руху
відповідає замкнена траєкторія. Ізольована замкнена траєкторія на фазовій
площині називається граничним циклом. Якщо сусідні траєкторії при t
наближаються до граничного циклу, то
граничний цикл називається орбітально стійким (рис. 1.4а). У разі віддалення
траєкторії від граничного циклу, то такий цикл називається орбітально нестійким
(рис. 1.4б). Якщо траєкторія при t
з одного боку наближається до граничного циклу, а з іншого
віддаляється, то граничний цикл називається напівстійким (рис. 1.4в).
Наявність
у системі граничного циклу свідчить про існування періодичних коливань, частота
і амплітуда яких не залежать від початкових умов. Андронов назвав їх
автоколиваннями. Автоколивання виникають за наявності позитивного зворотного
зв’язку в системі, а їхня частота визначається внутрішніми параметрами системи.
Рівняння, що описують автоколивання, є нелінійними. Автоколивання виникають в
різноманітних явищах
[24].
Рисунок
1.4 – Фазові траєкторії граничних циклів: а - стабільного,б - нестабільного, в
– напівстабільного.
1.4 Мета та задачі дослідження
Під час виконання аналізу банку була встановлена важливість вивчення умов
існування та можливостей банківської діяльності, насамперед ПриватБанку. Було
встановлено, що комерційні банки відіграють вирішальну роль в забезпеченні
взаємозв’язку між виробниками продукції (продавцями) та її споживачами
(покупцями), здійснюючи розрахунки між ними, залучають за плату тимчасово
вільні кошти юридичних і фізичних осіб, надають кредитні ресурси, виконують
багато інших операцій та послуг.
Для дослідження фінансового стану ПриватБанку зібрана небезінтересна
інформація, а саме:
·
основні
показники економічного і соціального стану України;
·
баланси,
які являються вихідною базою фінансового аналізу;
·
основні
показники діяльності ПриватБанку.
Для
подальшого дослідження зроблен аналіз літературних джерел, де описані існуючи
методики аналізу, що проводяться в банку та методи та моделі фінансового
аналізу. Також проаналізовані методи і моделі теорії синергетики, тому що
будуть вивчатися як внутрішні, так і зовнішні фактори діяльності ПриватБанку.
Задачі
дипломної роботи:
§
виконати
аналіз використання теорії синергетики;
§
запропонувати
методику вивчення фінансового стану та стабільності банку;
§
запропонувати
методику комп’ютерного моделювання;
§
провести
дослідження показників зовнішнього середовища;
§
розробити
модель впливу зовнішнього середовища на фінансову стабільність банку;
§
виконати
економіко-математичне моделювання фінансової стабільності;
§
запропонувати
підвищення ефективності діяльності банку на основі економіко-математичного
моделювання внутрішніх та зовнішніх факторів;
§
розробити
інформаційну систему, на основі якої буде легко виконувати розрахунки при
подальшому використанні запропонованих моделей та значити шляхи підвищення
ефективності фінансової діяльності ПриватБанку.
§
2 МЕТОДИКА ВИВЧЕННЯ ФІНАНСОВОГО СТАНУ І СТІЙКОСТІ
БАНКУ ТА КОМПЬЮТЕРНОГО МОДЕЛЮВАННЯ
Аналіз
фінансового стану комерційного банка можна представить як зовнішній: з сторони
центрального банку, незалежних рейтингових агентств, потенційних клієнтів
(вкладників, акціонерів), і внутрішній - внутрішніми аналітичними службами
банка.
Провести більш
або менш чітку границю між цими двома підходами не завжди можливо, так як
використовуються одні джерела інформації (з різним ступенем деталізації),
переслідуються спільні цілі.
Одна
з найважливіших характеристик фінансового стану банка — стабільність його
діяльності з позиції довгострокової перспективи.
Вона зв'язана насамперед із загальною фінансовою структурою банка, ступенем
його залежності від кредиторів і інвесторів.
Огляд методичної літератури з аналізу банківської діяльності та
ознайомлення з практикою безпосередньо в банках свідчить, що на сьогодні єдина
система показників, які в узагальнюючому вигляді характеризують їх фінансовий
стан, остаточно ще не склалася. Кожний банк використовує свої самостійно
розроблені методики, що включають різні показники, які часто суттєво різняться.
Більшість методик поєднує чотири групи показників, що дають
можливість оцінити фінансовий стан банку виходячи із:
1)
оцінки фінансової стійкості;
2)
оцінки ділової активності;
3)
оцінки ліквідності;
4)
оцінки ефективності управління.
Оціночні показники являють собою коефіцієнти, що розраховуються на
основі даних балансу комерційного банку та звіту про прибутки і збитки.
Національний банк України рекомендує при визначенні узагальнюючої оцінки фінансового
стану банку використовувати загальновідому систему «САМЕL».
2.1 Аналіз фінансової стійкості комерційного банку
Розглянемо першу групу коефіцієнтів, що характеризують фінансову
стійкість банку. У відношенні методів рішення задачі кількісного визначення
фінансової стійкості існує два основних підходи:
1)
для оцінки фінансового стану банку необхідно орієнтуватися винятково на дані
про джерела фінансування, тобто на капітал. У
цьому випадку оцінка фінансової стійкості банку виробляється тільки на підставі
даних пасиву балансу;
2)
для оцінки фінансової стійкості банка необхідно аналізувати взаємозв'язок між
активом і пасивом балансу, тобто простежувати напрямки використання засобів.
Безумовно,
коефіцієнти, розраховані за даними пасиву балансу, є основними в цьому блоці
аналізу. Однак характеристика фінансової
стійкості за допомогою таких показників навряд чи буде повною — важливо не
тільки те, відкіля притягнуті засоби, але і куди вони вкладені, яка структура
вкладень [15].
На
мій погляд другий підхід є більш повним і з економічної точки зору більш
виправданим. Тому оцінку фінансової стійкості
банка проведемо з використанням як коефіцієнтів, розрахованих по пасиві
балансу, так і коефіцієнтів, що відбивають взаємозв'язок між джерелами
формування засобів банка і структурою вкладень.
Для цього спочатку визначимо, з нашого погляду, найважливіші з
них, приведемо алгоритм їх розрахунку та розкриємо їх економічний зміст. Після
цього на основі даних балансу розрахуємо вибрані показники, проаналізуємо їх
рівень, тенденції і зробимо висновок про рівень фінансової стійкості банку.
Отже основними коефіцієнтами, які характеризують фінансову
стійкість банку, являються:
·
коефіцієнт надійності;
·
коефіцієнт фінансового важеля;
·
коефіцієнт участі власного капіталу у формуванні активів;
·
коефіцієнт захищеності власного капіталу;
·
коефіцієнт захищеності дохідних активів власним капіталом;
·
коефіцієнт
мультиплікатора капіталу [2].
У
Законі України «Про банки і банківську діяльність» визначено такі поняття
капіталу:
§
капітал
банку - залишкова вартість активів банку після вирахування всіх його
зобов'язань. Цей капітал відображається в п'ятому класі Плану рахунків
бухгалтерського обліку банку (балансовий капітал);
§
капітал
підписний - величина капіталу, на яку отримано письмові зобов'язання акціонерів
(пайовиків) банку на внесення коштів за підпискою на акції (паї);
§ капітал регулятивний (власні
кошти) - складається з основного та додаткового капіталу, зваженого на ризики,
що визначаються нормативно-правовими актами НБУ [14].
Коефіцієнт надійності показує рівень залежності
банку від залучених коштів. Це співвідношення власного капіталу (К) до
залучених коштів (ЗК):
(2.1)
Коефіцієнт фінансового важеля – співвідношення
зобов’язань банку (ЗК) і капіталу (К). Розрахунок цього показника
розкриває здатність банку залучати кошти на фінансовому ринку:
(2.2)
Коефіцієнт участі власного капіталу у формуванні активів – достатність капіталу. Цей коефіцієнт розкриває достатність сформованого
власного капіталу в активізації та покритті різних ризиків:
(2.3)
де
АЗАГ – активи загальні.
Коефіцієнт захищеності власного капіталу - співвідношення
капіталізованих активів (АК) і власного капіталу. Показує, яку
частину капіталу розміщено в нерухомість (майно):
(2.4)
Коефіцієнт захищеності дохідних активів власним капіталом – сигналізує про
захист дохідних активів (що чутливі до зміни процентних ставок) мобільним
власним капіталом:
(2.5)
де
НАД – недохідні активи;
АД
– дохідні активи;
ЗБ
– збитки.
Коефіцієнт мультиплікатора капіталу – характеризує ступінь покриття
активів (акціонерним) капіталом:
(2.6)
де
АЗАГ – активи загальні;
Ка
– засновницький (акціонерний) капітал [2].
Розрахунок
фінансової стійкості ПриватБанку по формулам 2.1 - 2.6 та графічне представлення
показників представлені у додатку А.
Існують
4 типи фінансових ситуацій:
1) абсолютна стійкість фінансового стану, що зустрічається рідко,
являє собою крайній тип фінансової стійкості.
Вона задається системою умов:
а) надлишок (+) власних оборотних коштів або
рівність величин власних оборотних коштів і
запасів;
2) нормальна стійкість фінансового стану, що гарантує його
платоспроможність:
а) недолік (-) власних оборотних коштів,
б) надлишок (+) довгострокових джерел формування запасів або
рівність величин довгострокових джерел і
запасів;
3)
хитливий фінансовий стан, сполучений з порушенням
платоспроможності, при якому, проте, зберігається можливість відновлення рівноваги за рахунок поповнення реального власного
капіталу і збільшення власних оборотних коштів, а також за рахунок додаткового
залучення довгострокових кредитів і позикових засобів:
а) недолік (-) власних оборотних коштів,
б) недолік (-) довгострокових джерел формування запасів,
в) надлишок (+) загальної величини основних джерел формування запасів або рівність величин основних
джерел і запасів;
4) кризовий фінансовий стан, при якому підприємство знаходиться
на грані банкрутства, оскільки в даній ситуації грошові кошти, короткострокові
фінансові вкладення (за винятком вартості власних акцій, викуплених в акціонерів), дебіторська заборгованість організації (за
винятком заборгованості засновників (учасників) по внесках у статутний капітал) та інші оборотні активи не покривають навіть його
кредиторської заборгованості (включаючи резерви майбутніх витрат і платежів) та
інші короткострокові пасиви:
а) недолік (-) власних оборотних коштів,
б) недолік (-) довгострокових джерел формування запасів,
в) недолік (-) загальної величини основних джерел формування запасів [28].
З приведених у додатку А даних видно, що коефіцієнт надійності
(співвідношення капіталу банку і залучених коштів за мінімально допустимого
значення не менше 5,0 %) хоч з лютого по жовтень 2005 року був нижче
допустимого значення, але вже з грудня 2005 і до кінця 2008 року знаходиться в
нормі. Таким чином, банк має забезпеченість власним капіталом і, отже, високу
надійність, тобто він досяг того рівня, за якого не залежить від стихій у
залученні вільних коштів грошового ринку, бо має вдосталь своїх, дешевших, які
можна розміщати в кредити господарюючим суб'єктам та в інвестиції.
Коефіцієнт
фінансового важеля не досягає максимально допустимого співвідношення 1 : 20. Це
свідчить про те, що банк не проявляє активність щодо залучення вільних коштів
на грошовому ринку, тому що має високе забезпечення власними.
Коефіцієнт
участі власного капіталу у формуванні активів знаходиться нижче за оптимальне
значення (не менше 10 %), крім січня та лютого 2008 року, коли він знаходився в
нормі, але в цілому він має ріст. Це говорить про те, що в банку поступово росте
достатність сформованого власного капіталу в активізації та покритті різних
ризиків.
Отриманні
дані свідчать і про зростання захищеності власного капіталу зростаючим
вкладенням його також у свої власні капіталізовані активи — основні засоби і
нематеріальні активи. Це підтверджується перемінним зростанням відповідного
коефіцієнта.
Також
банк значно посилив захист дохідних активів власним капіталом. Так, якщо на у
2005 р. цей коефіцієнт мав навіть таке негативне значення як (-1,63), то вже к 2008
року він зріс майже до позитивного значення. Це свідчить про те, що розмір
власного капіталу за мінусом недохідних активів не покривав у 2005 року
дохідних активів, а вже у 2006 почав покривати, на що вплинуло два фактори:
зростання капіталу і скорочення недохідних активів.
Що
стосується коефіцієнта мультиплікатора капіталу, який характеризує ступінь
покриття активів акціонерним капіталом, то за оптимального співвідношенні
12,0—15,0 разів, він на протязі досліджуваного періоду перевищував цей показник
і лише у січні та лютому 2008 року мав оптимальне співвідношення. Це свідчить,
насамперед, що темп зростання акціонерного капіталу перевищує темп зростання
активів, що не є ризикованим у даному випадку.
Отже,
банк поліпшив менеджмент пасивів і активів, підвищивши забезпеченість власними
коштами і скоротивши обсяг недохідних активів.
Крім
коефіцієнта участі власного капіталу у формуванні активів, всі основні
показники взяті нами для аналізу фінансової стійкості банку, мають тенденцію до
поліпшення (коефіцієнт надійності, коефіцієнт мультиплікатора капіталу,
захищеності власного капіталу, захищеності ним дохідних активів, ) або
стабілізації чи незначної зміни (коефіцієнт «фінансового важеля»).
Звідси
можна зробити висновок, що фінансова стійкість банку достатньо забезпечена його
капіталом і останній може захищати банк від імовірних ризикованих втрат
сьогодні і в близькому майбутньому.
2.2 Методика
побудови математичних моделей показників фінансової стійкості
В
якості вихідних даних були обрані показники фінансової стійкості, зокрема
коефіцієнт надійності, коефіцієнт фінансового важеля, коефіцієнт
участі власного капіталу у формуванні активів, коефіцієнт захищеності власного
капіталу, коефіцієнт захищеності дохідних активів власним капіталом, коефіцієнт
мультиплікатора капіталу, розраховані в розділі 2.1 ( додаток А).
Методика
передбачає розробку математичних моделей різних типів і вибір оптимальних
моделей по сукупності критеріїв якості і надійності:
1)
Сформувати
масив вихідних даних:
ti-
часовий інтервал (з 01.01.01 до 01.12.04р.);
Хi –
відповідний показник коефіцієнта фінансової стійкості.
2)
Вибір
апроксимуючого полінома і його параметрів для даного тимчасового ряду
коефіцієнта фінансової стійкості.
а) У випадку
лінійної форми зв’язку результативна ознака змінюється під впливом факторної
ознаки рівномірно. Така форма зв’язку виражається рівнянням прямої:
Х*=а*t+b
(2.7)
де Х*
- вирівняне середнє значення результативної ознаки;
a і b – параметри рівняння.
Параметри
рівняння a і b визначаємо методом найменших квадратів складеної і розв’язаної
системи двох рівнянь з двома невідомими:
(2.8)
де n – число членів в кожному з двох
порівнювальних рядів;
- сума значень факторної ознаки;
- сума квадратів значень факторної
ознаки;
- сума значень результативної ознаки;
- сума добутків значень факторної
ознаки на значення результативної ознаки [7].
Результати
розрахунку представляємо у виді таблиці 2.1.
Таблиця 2.1 -
Процедура розрахунку показників моделі при лінійній апроксимації
|
№ п/п
|
ti
|
Xi
|
ti2
|
Xi * ti
|
Xi*
|
(Xi - Xi*)2
|
|
...
|
...
|
...
|
...
|
...
|
...
|
...
|
|
Сума
|
Сума
|
Сума
|
Сума
|
Сума
|
Сума
|
В результаті
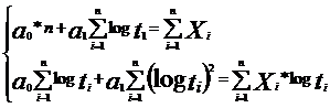
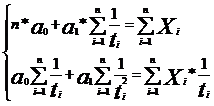
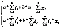
рішення системи рівнянь обчислюємо значення параметрів a і b і одержуємо
поліном при лінійній апроксимації. Представляємо графічне зображення отриманого
рішення.
б) Параболічна
залежність як форма математичного вираження зв’язків між досліджуваними явищами
застосовується в тих випадках, коли із зростанням факторної ознаки відбувається
нерівномірне зростання або спадання результативної ознаки.
При знаходженні
рівняння зв’язку між ознаками в якості апроксимаційної функції застосовується
тип кривої, вираженої у вигляді параболи другого порядку:
X*=a0+a1*t+a2*t2
(2.9)
Параметри a0,
a1 і a2 визначаємо по методу найменших квадратів шляхом
складання і розв’язку системи нормальних рівнянь [7]:
(2.10)
Результати
розрахунку представимо у виді таблиці 2.2.
Таблиця 2.2 -
Процедура розрахунку показників моделі при параболічній апроксимації
|
№ п/п
|
ti
|
Xi
|
ti2
|
ti3
|
ti4
|
Xi * ti
|
Xi * ti2
|
Xi*
|
(Xi -Xi*)2
|
|
...
|
...
|
...
|
...
|
...
|
...
|
...
|
...
|
...
|
...
|
|
Сума
|
Сума
|
Сума
|
Сума
|
Сума
|
Сума
|
Сума
|
Сума
|
Сума
|
У результаті
рішення системи рівнянь обчислюємо значення параметрів a0, a1 і
a2 і одержуємо поліном при параболічній апроксимації. Представляємо
графічне зображення отриманого рішення.
в) Якщо результативна ознака при
збільшенні факторної ознаки спадає, але не безкінечно, а прямує до певного
рівня, то для її аналізу застосовується рівняння гіперболи:
(2.11)
Параметри a0
і a1 визначаємо по методу найменших квадратів при рішенні системи
рівнянь [7]:
(2.12)
Результати
розрахунку представимо у виді таблиці 2.3.
Таблиця 2.3 -
Процедура розрахунку показників моделі при гіперболічній апроксимації
|
№ п/п
|
ti
|
Xi
|
1/ti
|
1/ti2
|
Xi/ti
|
Xi*
|
(Xi - Xi*)2
|
|
...
|
...
|
...
|
...
|
...
|
...
|
...
|
...
|
|
|
Сума
|
Сума
|
Сума
|
Сума
|
Сума
|
Сума
|
Сума
|
У результаті
рішення системи рівнянь обчислюємо значення параметрів a0 і a1
і одержуємо поліном при гіперболічній апроксимації. Представляємо графічне зображення
отриманого рішення.
г) Вирівнювання
за напівлогарифмічною кривою проводяться в тих випадках, коли зі зростанням
факторної ознаки середня результативна ознака спочатку до певних меж зростає
досить швидко, але пізніше темпи її зростання поступово сповільнюються:
(2.13)
Параметри a0
і a1 визначаємо по методу найменших квадратів при рішенні системи
рівнянь [7]:
(2.14)
Результати
розрахунку представляємо у виді таблиці 2.4.
Таблиця 2.4 -
Процедура розрахунку показників моделі при напівлогарифмічній апроксимації
|
№ п/п
|
ti
|
Xi
|
Log ti
|
(log ti)^2
|
Xi log ti
|
Xi*
|
(Xi - Xi*)2
|
|
...
|
...
|
...
|
...
|
...
|
...
|
...
|
...
|
|
Сума
|
Сума
|
Сума
|
Сума
|
Сума
|
Сума
|
Сума
|
В результаті
рішення системи рівнянь обчислюємо значення параметрів a0 і a1
і одержуємо поліном при напівлогарифмічній апроксимації [7]. Представляємо
графічне зображення отриманого рішення.
3)
Провести,
засноване на методі найменших квадратів, порівняння значень Xi*,
отриманих шляхом застосування кожного з поліномів. Сутність методу найменших
квадратів полягає в тім, що сума квадратів відхилень, отриманого значення Xi*
(апроксимуючого значення) від заданого значення Xi, повинна бути
мінімальної.
Найбільш точний
поліном, що відповідає емпіричним (заданим) значенням Xi, повинний
дати найменше значення цієї суми. Для порівняння рекомендується побудувати
таблицю 2.5.
Таблиця 2.5 –
Порівняльна оцінка моделей
4)
Визначення
параметрів математичної моделі та розрахунок показників точності і
адекватності.
а)
Для вимірювання щільності зв’язку і визначення його напрямку використовується
коефіцієнта кореляції, який визначається за формулою:
(2.15)
Величина
коефіцієнта лінійної кореляції змінюється у діапазоні: -1 < r < 1. Чим більше | r |, тим сильніше лінійна
залежність компонентів t і X.
б)
Коефіцієнт детермінації показує яка частка зміни Х пояснюється впливом на нього
t. Він визначається як квадрат
парного лінійного коефіцієнта кореляції:
(2.16)
де r-
коефіцієнт кореляції.
в)
Коефіцієнти кореляції, як правило, розраховуються для вибіркових даних. Щоб
поширити отримані приватні результати на генеральну сукупність, приходиться
допустити деяку помилку, яку можна оцінити за допомогою середньоквадратичної
помилки (
):
, (2.17)
де r-
коефіцієнт кореляції;
n- обсяг
вибіркової сукупності.
При
достатньо великому числі спостережень (n>50) коефіцієнт кореляції можна
вважати достовірним, якщо він перевищує свою помилку в 3 і більше разів, а якщо
він менший 3, то зв’язок між досліджуваними ознаками t і Х не доведений [7].
г) За
допомогою середньоквадратичної помилки обчислюють коефіцієнт надійності (tr), що порівнюють з табличним значенням
коефіцієнта надійності (tтабл):
, (2.18)
де r-
коефіцієнт кореляції;
- середньоквадратична помилка.
Якщо tr
> tтабл, то коефіцієнт кореляції вважається значимим [7].
д) Для
генерального коефіцієнта кореляції обчислюється довірчий інтервал:
r -
r* tтабл …r +
r* tтабл, (2.19)
де r-
коефіцієнт кореляції;
- середньоквадратична помилка;
tтабл
- табличне значення коефіцієнта кореляції.
є)
Адекватність моделі означає, що відповідне рівняння регресії правильне,
коректно описує взаємозв'язок між результативною і пояснюючою перемінною. Для
перевірки адекватності моделі застосовується статистичний критерій
адекватності, що називається критерієм Фішера. Він розраховується по формулі:
, (2.20)
де R2- коефіцієнт
детермінації;
і
—
ступеня волі.
= 1
= n – 2
F
порівнюють з табличними значеннями статистики Фішера. Для 5%-ного рівня
значущості критичне значення Fт(0,95)=5,32. Якщо F > Fтабл,
то модель є адекватною, а якщо менше, те неадекватною [26].
Результати
розрахунків показників точності і адекватності між досліджуваними ознаками
представляємо у виді таблиці 2.6.
Таблиця
2.6 - Розрахунок показників точності і адекватності
5)
Висновки
відносно отриманих результатів та визначення оптимальної моделі по сукупності
критеріїв якості і надійності.
2.3 Методика комп’ютерного моделювання
1)
Провести розрахунок досліджуваних показників за формулами, наведеними у розділі
2.1, 2.1-2.6;
2)
Порівняти отримані результати з оптимально допустимим значенням або коридором;
3)
У випадку розбіжності між розрахованим показником та оптимальним значенням, необхідно
виявити тип фінансової ситуації за наведеною класифікацією у розділі 2.1.
Якщо
досліджувана організація за розрахованими показниками є абсолютно стійкою, але
це дуже рідкісне явище, то комп’ютерне моделювання проводити нема потреби.
Установа
може мати нормальну стійкість фінансового стану, яка гарантує його
платоспроможність, то в такому разі є можливість промоделювати деякі показники,
щоб вона набула абсолютної стійкості.
Але
якщо банк має нестійке або кризове фінансове становище, то необхідне комп’ютерне
моделювання досліджуваних показників. Основними способами виходу з такого
становища будуть: поповнення джерел формування запасів і оптимізація їхньої
структури, а також обґрунтоване зниження рівня запасів, оскільки позитивним
фактором фінансової стійкості є наявність джерел формування запасів, а
негативним фактором — величина запасів.
4)
Розглянемо
перший показник фінансової стійкості – коефіцієнт надійності – співвідношення
власного капіталу до залучених коштів. Мінімально допустиме його значення складає
не менше 5% [2]. Якщо отримане значення
менше за мінімальне, то рівень залежності банку від залучених коштів дуже
високий. Розглянемо існуючи варіанти для досягнення оптимального значення:
а) дослідження
зміни коефіцієнта надійності від зміни власного капіталу;
б) дослідження
зміни коефіцієнта надійності від зміни залучених коштів;
в) дослідження
зміни коефіцієнта надійності від одночасної зміни власного капіталу та
залучених коштів.
5)
Показник
фінансового важеля –співвідношення зобов’язань банку і капіталу. Він має
максимально допустиме співвідношення 1:20 [2]. Якщо розрахований показник нижче указаного співвідношення, то банк не
виявляє активності у залученні вільних коштів на фінансовому ринку, а якщо
вище, то банк підвищує активність щодо залучення вільних коштів на грошовому
ринку. Існуючи варіанти досягнення оптимального значення:
а) дослідження
зміни коефіцієнта фінансового важеля від зміни власного капіталу;
б) дослідження
зміни коефіцієнта фінансового важеля від зміни зобов’язань банку;
в) дослідження
зміни коефіцієнта фінансового важеля від одночасної зміни власного капіталу та
зобов’язань банку.
6)
Коефіцієнт
участі власного капіталу у формуванні активів або достатність капіталу –
співвідношення капіталу і загальних активів. Оптимальне значення цього
показника має бути не менше 10%. Якщо розраховане значення не досягає цього
обмеження, тобто банк не має достатнього сформованого власного капіталу в
активізації та покритті різних ризиків [2]. Існуючи варіанти досягнення
оптимального значення:
а) дослідження
зміни коефіцієнта достатності капіталу від зміни капіталу;
б) дослідження
зміни коефіцієнта достатності капіталу від зміни загальних активів;
в) дослідження
зміни коефіцієнта достатності капіталу від одночасної зміни власного капіталу
та загальних активів.
7)
Коефіцієнт
захищеності власного капіталу – співвідношення капіталізованих активів (основні
засоби та нематеріальні активи) і капіталу. Для стійкого становища установи цей
показник повинен або бути на рівні або мати ріст, що буде свідчить про
зростання захищеності власного капіталу зростаючим вкладенням його також у свої
власні капіталізовані активи [2]. Для
росту показника необхідне, щоб темп росту капіталу перевищував темп росту
капіталізованих активів. Розглянемо існуючи варіанти досягнення оптимального
значення:
а) дослідження
зміни коефіцієнта захищеності власного капіталу від зміни капіталу;
б) дослідження
зміни коефіцієнта захищеності власного капіталу від зміни капіталізованих
активів;
в) дослідження
зміни коефіцієнта захищеності власного капіталу від одночасної зміни власного
капіталу та капіталізованих активів.
8)
Коефіцієнт
захищеності дохідних активів власним капіталом – співвідношення капіталу за
мінусом недохідних активів та збитків і дохідних активів. Для того, щоб банк
посилював захист дохідних активів мобільним власним капіталом, необхідне зріст
показника [2]. Варіанти досягнення
оптимального значення:
а) дослідження
зміни коефіцієнта захищеності дохідних активів власним капіталом від зміни
капіталу;
б) дослідження
зміни коефіцієнта захищеності дохідних активів власним капіталом від зміни
недохідних активів;
в) дослідження
зміни коефіцієнта захищеності дохідних активів власним капіталом від зміни
дохідних активів;
г) дослідження
зміни коефіцієнта захищеності дохідних активів власним капіталом від зміни
капіталу, дохідних та недохідних активів.
9)
Коефіцієнт
мультиплікатора капіталу – співвідношення загальних активів і засновницького
(акціонерного) капіталу. Оптимальне співвідношення цього показника 12,0 – 15,0
разів [2]. Якщо менше норми, то ступінь покриття активів акціонерним капіталом
замала та необхідно, щоб темп зростання акціонерного капіталу перевищував темп
зростання активів, а якщо більше – навпаки. Розглянемо варіанти досягнення
оптимального значення:
а) дослідження зміни
коефіцієнта мультиплікатора капіталу від зміни загальних активів;
б) дослідження
зміни коефіцієнта мультиплікатора капіталу від зміни засновницького капіталу;
в) дослідження
зміни коефіцієнта мультиплікатора капіталу і від одночасної зміни засновницького
капіталу та загальних активів.
10)
Висновки
відносно отриманих результатів комп’ютерного моделювання.
3 РОЗРОБКА МАТЕМАТИЧНИХ МОДЕЛЕЙ ФІНАНСОВОГО СТАНУ ТА СТІЙКОСТІ БАНКУ
3.1 Аналіз та моделювання зовнішнього середовища на основі кореляційно
–регресивного аналізу
Одним
з найбільш загальних законів об’єктивного світу є закон загального зв’язку і
залежності між явищами суспільного життя. Ці явища найбільш складні, оскільки
вони формуються під дією багато чисельних і взаємозв’язаних факторів.
Усі
явища суспільного життя існують неізольовано, вони органічно зв’язані між
собою, залежать одні від одних, обумовлюють одні одних і знаходяться в
постійному русі та розвитку. Розкриваючи взаємозв’язки і взаємозалежності між
явищами, можна пізнати їх суть і закони розвитку. Тому вивчення взаємозв’язків
є основним завданням аналізу.
Причинна
залежність є головною формою закономірних зв’язків, які діють в певних умовах
місця і часу. Отже, для появи наслідку потрібні і причини, і умови, тобто
відповідні фактори.
Суспільні
явища або окремі їх ознаки, які впливають на інші і обумовлюють їх зміну,
називаються факторними, а суспільні явища або окремі їх ознаки, які змінюються
під впливом факторних, називаються результативними.
За
характером залежності явищ розрізняють функціональні і кореляційні зв’язки.
Функціональним
називається зв’язок, при якому певному значенню факторної ознаки завжди
відповідає одне або декілька значень результативної ознаки. Функціональні
зв’язки характеризуються повною відповідністю між причиною та наслідком.
Внаслідок цього функціональна залежність виражається точною математичною
формулою. Функціональні залежності досить рідко використовуються для
дослідження суспільних явищ [7].
Кореляційним
називається зв’язок, при якому кожному значенню факторної ознаки відповідає
декілька значень результативної ознаки. В кореляційних зв’язках між причиною і
наслідком немає повної відповідності, а спостерігається лише певне
співвідношення. На відміну від функціонального зв’язку кореляційний
проявляється не в кожному окремому випадку, а в середньому при великій
кількості спостережень. Кореляційні зв’язки найчастіше використовуються при
дослідження суспільних явищ.
За
напрямом розрізняють зв’язки прямі і обернені.
Прямий
зв’язок –це зв’язок, коли із зростанням факторної ознаки зростає і
результативна ознака.
При
оберненому зв’язку із збільшенням факторної ознаки результативна зменшується
або навпаки, із зменшенням факторної ознаки результативна зростає.
За
своїм аналітичним виразом (за формулою) зв’язки поділяються на прямолінійні і
криволінійні.
При
прямолінійній кореляційній залежності рівним змінам середніх значень факторної
ознаки відповідають приблизно рівні зміни середніх значень результативної
ознаки.
При
криволінійній кореляційній залежності рівним змінам середніх значень факторної
ознаки відповідають нерівні зміни середніх значень результативної ознаки.
За
допомогою зв’язків кореляції вирішують такі завдання:
§ визначаються форми зв’язку;
§ вимірюється щільність (сила)
зв’язку;
Стійкість
банка залежіть не тільки від її внутрішньої діяльності, але і від зовнішнього
середовища, яке постійно оказує на нього вплив. Якщо заздалегідь знати як та
які процеси окажуть вплив на стійкість і рівновагу банку, то є можливість
уникнути цій системі не передбачуваних ситуацій.
Таким
чином, були проведені багаточисельні кореляційно – регресійні аналізи між
основними показниками банка і показниками економічного і соціального стану
України (зовнішнім середовищем) та виявлені найсильніші зв’язки.
Основні
показники банка:
ü кошти юридичних осіб;
ü кошти фізичних осіб;
ü кредити юридичних осіб;
ü кредити фізичних осіб;
ü активи.
З
багаточисельних показників зовнішнього середовища обрані слідуючи основні
показники економічного і соціального стану України, які мають найсильніші
зв’язки з банківською структурою:
·
обсяг
промислової продукції;
·
виробництво
товарів народного споживання;
·
грошові
доходи населення;
·
грошові
витрати та заощадження населення;
·
середньомісячна
номінальна заробітна плата працівників.
Розрахунок
коефіцієнта кореляції між показниками виробляється за вже наведеною формулою
(2.15). Розрахункові таблиці представлені у додатку Б.
Таким
чином, представимо кореляційні залежності в таблиці 3.1.
В даному випадку
на результативну ознаку впливає не один, а декілька факторів. Між факторами
існують складні взаємозв’язки, тому їх вплив на результативну ознаку
комплексний і його не можна розглядати як просту суму ізольованих впливів.
Багатофакторний
кореляційно – регресійний аналіз дозволяє оцінити міру впливу на досліджуваний
результативний показник кожного із введених у модель факторів при фіксованому
на середньому рівні інших факторів. При цьому важливою умовою є відсутність
функціонального зв’язку між факторами.
Математично
завдання зводиться до знаходження аналітичного виразу, котрий якнайкраще
відображав би зв’язок факторних ознак з результативною [7].
Найбільш складною
проблемою є вибір форми зв’язку, яка виражається аналітичним рівнянням, на
основі котрого за існуючими факторами визначаються значення результативної
ознаки – функції. Ця функція повинна краще за інші відображати реально існуючи
зв’язки між досліджуваним показником і факторами. Емпіричне обґрунтування типу
функції за допомогою графічного аналізу зв’язків для багатофакторних моделей
практично непридатне. Форму зв’язку можна визначити шляхом перебору функцій
різних типів, але це зв’язане з великою кількістю зайвих розрахунків. Беручи до
уваги, що будь – яку функцію багатьох змінних можна шляхом логарифмування або
заміни змінних звести до лінійного виду, рівняння множинної регресії можна
виразити у лінійній формі:
(3.1)
Таблиця
3.1 Зведена таблиця коефіцієнтів кореляції між обраними показниками банка та
зовнішнім середовищем
|
Показник банку, грн
|
Зовнішнє середовище, грн
|
r
|
|
|
|
Активи
|
Обсяг промислової продукції
|
0,73
|
|
|
Грошові доходи населення
|
0,43
|
|
|
Середньомісячна номінальна заробітна плата населення
|
0,61
|
|
|
Виробництво товарів народного споживання
|
0,73
|
|
|
Грошові витрати та заощадження населення
|
0,41
|
|
|
Кошти юридичних осіб
|
Обсяг промислової продукції
|
0,86
|
|
|
Грошові доходи населення
|
0,87
|
|
|
Середньомісячна номінальна заробітна плата населення
|
0,87
|
|
|
Виробництво товарів народного споживання
|
0,82
|
|
|
Грошові витрати та заощадження населення
|
0,89
|
|
|
Кошти фізичних осіб
|
Обсяг промислової продукції
|
0,94
|
|
|
Грошові доходи населення
|
0,85
|
|
|
Середньомісячна номінальна заробітна плата населення
|
0,96
|
|
|
Виробництво товарів народного споживання
|
0,85
|
|
|
Грошові витрати та заощадження населення
|
0,86
|
|
|
Кредити юридичних осіб
|
Обсяг промислової продукції
|
0,94
|
|
|
Грошові доходи населення
|
0,87
|
|
|
Середньомісячна номінальна заробітна плата населення
|
0,95
|
|
|
Виробництво товарів народного споживання
|
0,85
|
|
|
Грошові витрати та заощадження населення
|
0,87
|
|
|
Кредити фізичних осіб
|
Обсяг промислової продукції
|
0,96
|
|
|
Грошові доходи населення
|
0,79
|
|
|
Середньомісячна номінальна заробітна плата населення
|
0,94
|
|
|
Виробництво товарів народного споживання
|
0,85
|
|
|
Грошові витрати та заощадження населення
|
0,79
|
|
Для
знаходження впливу зовнішнього середовища на діяльність банку побудуємо
двофакторні моделі, в яких в якості факторних ознак оберемо показники з
найбільшими значеннями коефіцієнта кореляції з показниками банку (табл. 3.1).
Так,
для розрахунку параметрів лінійної двофакторної регресії
(3.2)
де
УХ – розрахункові значення результативної ознаки – функції;
х1
и х2 – факторні ознаки;
а0,
а1 и а2 – параметри рівняння, які можна розрахувати
способом найменших квадратів, розв’язавши систему нормальних рівнянь:
(3.3)
Кожний
коефіцієнт рівняння показує ступінь впливу відповідного фактора на
результативний показник при фіксованому положенні решти факторів, тобто, як із
зміною окремого фактора на одиницю змінюється результативний показник. Вільний
член рівняння множинної регресії економічного змісту немає [7].
З
метою виявлення порівняльної сили впливу окремих факторів і резервів, які
закладені в них, вираховуються часткові коефіцієнти еластичності та бета -
коефіцієнти за формулами 3.4-3.5:
(3.4)
(3.5)
де
аi – коефіцієнти регресії при i- му факторі;
- середнє значення i- го фактора;
- середнє значення результативної
ознаки;
- середнє квадратичне відхилення i- го фактора;
- середнє квадратичне відхилення результативної
ознаки.
Часткові
коефіцієнти еластичності показують, на скільки процентів в середньому зміниться
результативна ознака при зміни на 1% кожного фактора та фіксованому положенні
інших факторів.
Для
визначення факторів, які мають найбільші резерви поліпшення досліджуваної
ознаки, з врахуванням ступеня варіації факторів, закладених у рівняння
множинної регресії, вираховують часткові b – коефіцієнти, які показують на яку
частину середнього квадратичного відхилення змінюється результативна ознака при
зміні відповідної факторної ознаки на величину її середнього квадратичного
відхилення.
Для
характеристики тісноти зв’язку в множинній лінійній кореляції використовують
множинний коефіцієнт кореляції, формула якого має вигляд:
(3.6)
де
ryx1, ryx2, rx1x2 – парні коефіцієнти лінійної
кореляції.
Множинний
коефіцієнт кореляції коливається в межах від 0 до +1. При R=0 зв’язок між досліджуваними
ознаками відсутній, при R=1 – функціональний. Коефіцієнт показує, яку частину загальної кореляції
складають коливання, під впливом факторів, закладених в багатофакторну модель
для дослідження [7].
Коефіцієнт
множинної детермінації:
(3.7)
Розробимо двофакторну модель впливу зовнішнього середовища
(показників економічного та соціального стану України) на активи банку. В
якості факторних ознак обираємо: х1 - обсяг промислової продукції та
х2 - середньомісячна номінальна заробітна плата населення.
Розрахункова
таблиця представлена в додатку В. В результаті розрахунків отримали рівняння
зв’язку, яке визначає залежність результативної ознаки (активи банку) від двох
факторних та має вид Х*=-286.66+0.82х1-14.35х2.
В
таблиці 3.2 представимо показники точності і адекватно розробленої моделі, які
розраховані по формулам 3.2 -3.7.
Таблиця
3.2 – Показники точності та адекватності моделі впливу зовнішнього середовища
на активи банку
Аналіз
часткових коефіцієнтів еластичності показує, що за абсолютним приростом
найбільший вплив на активи банку має обсяг промислової продукції, їз збільшенням
якого на 1% активи підвищаться на 1,87%, а при збільшенні середньої заробітної плати на 1 % активи зменшаться
на 0,82%.
З
аналізу b – коефіцієнтів видно, що на
активи найбільший вплив із двох досліджуваних факторів з врахуванням їх
варіації має обсяг промислової продукції, бо йому відповідає найбільше значення
b – коефіцієнта.
Високі
значення парних коефіцієнтів кореляції свідчать про сильний вплив (окремо)
середньомісячної номінальної заробітної плати працівників та обсягу промислової
продукції на активи банку.
Вирахуваний
коефіцієнт множинної кореляції показує, що між двома факторними та
результативною ознаками існує достатньо тісний зв’язок. Сукупний коефіцієнт
множинної детермінації свідчить про те, що варіація активів банку на 65% обумовлюється двома факторами,
введеними в кореляційну модель. Це означає, що обрані фактори – показники
економічного та соціального стану України (обсяг промислової продукції та
середньомісячна номінальна заробітна плата населення) суттєво впливають на
досліджуваний показник (активи банку).
Розробимо двофакторну модель впливу зовнішнього середовища на
кошти юридичних осіб в банку. В якості факторних ознак обираємо: х1
- обсяг промислової продукції та х2 - грошові доходи населення.
Розрахункова
таблиця представлена в додатку В. В результаті розрахунків отримали рівняння
зв’язку, яке визначає залежність результативної ознаки (кошти юридичних осіб в
банку) від двох факторних та має вид Х*=316,22+0,07х1+0,05х2.
В
таблиці 3.3 представимо показники точності і адекватно розробленої моделі, які
розраховані по формулам 3.2 -3.7.
Таблиця
3.3 – Показники точності та адекватності моделі впливу зовнішнього середовища
на кошти юридичних осіб в банку
Аналіз
часткових коефіцієнтів еластичності показує, що за абсолютним приростом
найбільший вплив на кошти юридичних осіб в банку має обсяг промислової
продукції, їз збільшенням якого на 1% обсяг коштів підвищаться на 0,51%, а при
збільшенні грошових доходів населення на 1%, обсяг коштів підвищується на 034%.
З
аналізу b – коефіцієнтів видно, що на
активи найбільший вплив із двох досліджуваних факторів з врахуванням їх
варіації мають грошові доходи населення, бо йому відповідає найбільше значення b – коефіцієнта.
Високі
значення парних коефіцієнтів кореляції свідчать про сильний вплив (окремо)
грошових доходів населення та обсягу промислової продукції на кошти юридичних
осіб в банку.
Вирахуваний
коефіцієнт множинної кореляції показує, що між двома факторними та
результативною ознаками існує достатньо тісний зв’язок. Сукупний коефіцієнт
множинної детермінації свідчить про те, що варіація активів банку на 83%
обумовлюється двома факторами, введеними в кореляційну модель. Це означає, що
обрані фактори (обсяг промислової продукції та грошові доходи населення)
суттєво впливають на досліджуваний показник (кошти юридичних осіб в банку).
Розробимо двофакторну модель впливу зовнішнього середовища на
кошти фізичних осіб в банку. В якості факторних ознак обираємо: х1 -
обсяг промислової продукції та х2 - середньомісячна номінальна
заробітна плата населення.
Розрахункова
таблиця представлена в додатку В. В результаті розрахунку отримали рівняння
зв’язку, яке визначає залежність результативної ознаки (кошти фізичних осіб в
банку) від двох факторних та має вид Х*=-3286,57+0,14х1+8,56х2.
В
таблиці 3.4 представимо показники точності і адекватно розробленої моделі, які
розраховані по формулам 3.2 -3.7.
Таблиця
3.4 – Показники точності та адекватності моделі впливу зовнішнього середовища
на кошти фізичних осіб в банку
Аналіз
часткових коефіцієнтів еластичності показує, що за абсолютним приростом
найбільший вплив на кошти фізичних осіб в банку має середньомісячна номінальна
заробітна плата населення, їз збільшенням якої на 1% кошти фізичних осіб в
банку підвищаться на 1,56%, а при збільшенні обсягу промислової продукції на 1
% обсяг коштів збільшиться на 1%.
З
аналізу b – коефіцієнтів видно, що на
обсяг коштів фізичних осіб найбільший вплив із двох досліджуваних факторів з
врахуванням їх варіації має середньомісячна номінальна заробітна плата
населення, бо їй відповідає найбільше значення b – коефіцієнта (0,61).
Високі
значення парних коефіцієнтів кореляції свідчать про сильний вплив (окремо)
середньомісячної номінальної заробітної плати працівників та обсягу промислової
продукції на кошти фізичних осіб в банку.
Вирахуваний
коефіцієнт множинної кореляції показує, що між двома факторними та
результативною ознаками існує достатньо тісний зв’язок. Сукупний коефіцієнт
множинної детермінації свідчить про те, що варіація коштів фізичних осіб в
банку на 94% обумовлюється двома факторами, введеними в кореляційну модель. Це
означає, що обрані фактори (обсяг промислової продукції та середньомісячна
номінальна заробітна плата населення) суттєво впливають на досліджуваний
показник (кошти фізичних осіб в банку).
Розробимо двофакторну модель впливу зовнішнього середовища на
кредити юридичних осіб в банку. В якості факторних ознак обираємо: х1
- обсяг промислової продукції та х2 - середньомісячна номінальна
заробітна плата населення.
Розрахункова
таблиця представлена в додатку В. В результаті розрахунку отримали рівняння
зв’язку, яке визначає залежність результативної ознаки (кредити юридичних осіб
в банку) від двох факторних та має вид Х*=-2670,01+0,17х1+9,00х2.
В
таблиці 3.5 представимо показники точності і адекватно розробленої моделі, які
розраховані по формулам 3.2 -3.7.
Таблиця
3.5 – Показники точності та адекватності моделі впливу зовнішнього середовища
на кредити юридичних осіб в банку
Аналіз
часткових коефіцієнтів еластичності показує, що за абсолютним приростом
найбільший вплив на кредити юридичних осіб в банку має середньомісячна
номінальна заробітна плата населення, їз збільшенням якої на 1% кредити
юридичних осіб в банку підвищаться на 1,02%, а при збільшенні обсягу
промислової продукції на 1 % обсяг кредитів збільшиться на 0,77%.
З
аналізу b – коефіцієнтів видно, що на
обсяг кредитів юридичних осіб найбільший вплив із двох досліджуваних факторів з
врахуванням їх варіації має середньомісячна номінальна заробітна плата
населення, бо їй відповідає найбільше значення b – коефіцієнта (0,57).
Високі
значення парних коефіцієнтів кореляції свідчать про сильний вплив (окремо)
середньомісячної номінальної заробітної плати працівників та обсягу промислової
продукції на кредити юридичних осіб в банку.
Вирахуваний
коефіцієнт множинної кореляції показує, що між двома факторними та
результативною ознаками існує достатньо тісний зв’язок. Сукупний коефіцієнт
множинної детермінації свідчить про те, що варіація кредитів юридичних осіб в
банку на 93% обумовлюється двома факторами, введеними в кореляційну модель. Це
означає, що обрані фактори – показники економічного та соціального стану
України (обсяг промислової продукції та середньомісячна номінальна заробітна
плата населення) суттєво впливають на досліджуваний показник (кредити юридичних
осіб в банку).
Розробимо двофакторну модель впливу зовнішнього середовища на
кредити фізичних осіб в банку. В якості факторних ознак обираємо: х1
- обсяг промислової продукції та х2 - середньомісячна номінальна
заробітна плата населення.
Розрахункова
таблиця представлена в додатку В. Отримали рівняння зв’язку, яке визначає
залежність результативної ознаки (кредити фізичних осіб в банку) від двох
факторних та має вид Х*=-2324,61+0,14х1+2,22х2.
В
таблиці 3.6 представимо показники точності і адекватно розробленої моделі, які
розраховані по формулам 3.2 -3.7.
Таблиця
3.6 – Показники точності та адекватності моделі впливу зовнішнього середовища
на кредити фізичних осіб в банку
Аналіз
часткових коефіцієнтів еластичності показує, що за абсолютним приростом
найбільший вплив на кредити фізичних осіб банку має обсяг промислової
продукції, їз збільшенням якого на 1% кредити фізичних осіб в банку підвищаться
на 3,28%, а при збільшенні середньомісячної номінальної заробітної плати на 1 %
обсяг кредитів збільшиться на 1,32%.
З
аналізу b – коефіцієнтів видно, що на
обсяг кредитів фізичних осіб найбільший вплив із двох досліджуваних факторів з
врахуванням їх варіації має обсяг промислової продукції, бо йому відповідає
найбільше значення b –
коефіцієнта (0,70).
Високі
значення парних коефіцієнтів кореляції свідчать про сильний вплив (окремо)
середньомісячної номінальної заробітної плати працівників та обсягу промислової
продукції на кредити фізичних осіб в банку.
Вирахуваний
коефіцієнт множинної кореляції показує, що між двома факторними та
результативною ознаками існує достатньо тісний зв’язок. Сукупний коефіцієнт
множинної детермінації свідчить про те, що варіація активів банку на 94%
обумовлюється двома факторами, введеними в кореляційну модель. Це означає, що
обрані фактори (обсяг промислової продукції та середньомісячна номінальна
заробітна плата населення) суттєво впливають на досліджуваний показник (кредити
фізичних осіб в банку).
3.2 Розробка математичних моделей динаміки зміни коефіцієнтів фінансової
стійкості банка
3.2.1 Розробка математичної моделі динаміки зміни коефіцієнта надійності
Розглянемо
запропоновану методику у розділі 2.2 на прикладі одного з показників фінансової
стійкості, а саме коефіцієнта надійності.
1)
Формуємо
масив вихідних даних (табл. 3.7) на
основі даних, розрахованих у розділі 2.1 ( додаток А).
де ti-
часовий інтервал (з 01.01.01 до 01.12.04р.);
Хi
–відповідний показник коефіцієнта надійності.
Таблиця
3.7 – Вихідні данні
|
№ п/п
|
ti
|
Xi
|
№ п/п
|
ti
|
Xi
|
№ п/п
|
ti
|
Xi
|
|
1
|
1
|
8,41
|
17
|
17
|
7,91
|
33
|
33
|
6,91
|
|
2
|
2
|
4,62
|
18
|
18
|
7,62
|
34
|
34
|
6,05
|
|
3
|
3
|
4,50
|
19
|
19
|
7,86
|
35
|
35
|
6,31
|
|
4
|
4
|
4,52
|
20
|
20
|
8,09
|
36
|
36
|
6,16
|
|
5
|
5
|
4,94
|
21
|
21
|
8,10
|
37
|
37
|
11,53
|
|
6
|
6
|
4,53
|
22
|
22
|
7,14
|
38
|
38
|
11,73
|
|
7
|
7
|
4,25
|
23
|
23
|
7,43
|
39
|
39
|
10,53
|
|
8
|
8
|
4,57
|
24
|
24
|
7,64
|
40
|
40
|
10,16
|
|
9
|
9
|
3,90
|
25
|
25
|
9,52
|
41
|
41
|
9,40
|
|
10
|
10
|
3,56
|
26
|
26
|
9,42
|
42
|
42
|
8,38
|
|
11
|
11
|
6,93
|
27
|
27
|
8,98
|
43
|
43
|
8,13
|
|
12
|
12
|
7,91
|
28
|
28
|
8,28
|
44
|
44
|
8,10
|
|
13
|
13
|
8,17
|
29
|
29
|
8,35
|
45
|
45
|
7,98
|
|
14
|
14
|
8,63
|
30
|
30
|
8,26
|
46
|
46
|
7,72
|
|
15
|
15
|
8,63
|
31
|
31
|
7,50
|
47
|
47
|
8,16
|
|
16
|
16
|
7,63
|
32
|
32
|
7,21
|
48
|
48
|
9,42
|
2)
Вибір
апроксимуючого полінома і його параметрів для коефіцієнта надійності
а) Визначення
параметрів та побудова лінійної моделі
Таблиця 3.8 - Процедура розрахунку показників
моделі при лінійній апроксимації
|
№ п/п
|
ti
|
Xi
|
ti2
|
Xi * ti
|
Xi*
|
(Xi - Xi*)2
|
|
1
|
1
|
8,41
|
1
|
8,41
|
7,45
|
0,92
|
|
2
|
2
|
4,62
|
4
|
9,24
|
7,48
|
8,16
|
|
3
|
3
|
4,50
|
9
|
13,49
|
7,50
|
9,02
|
|
4
|
4
|
4,52
|
16
|
18,08
|
7,52
|
9,02
|
|
5
|
5
|
4,94
|
24,71
|
7,55
|
6,78
|
|
6
|
6
|
4,53
|
36
|
27,20
|
7,57
|
9,22
|
|
7
|
7
|
4,25
|
49
|
29,75
|
7,59
|
11,17
|
|
8
|
8
|
4,57
|
64
|
36,54
|
7,62
|
9,29
|
|
9
|
9
|
3,90
|
81
|
35,06
|
7,64
|
14,02
|
|
10
|
10
|
3,56
|
100
|
35,64
|
7,66
|
16,80
|
|
11
|
11
|
6,93
|
121
|
76,19
|
7,69
|
0,58
|
|
12
|
12
|
7,91
|
144
|
94,89
|
7,71
|
0,04
|
|
13
|
13
|
8,17
|
169
|
106,22
|
7,73
|
0,19
|
|
14
|
14
|
8,63
|
196
|
120,81
|
7,76
|
0,76
|
|
15
|
15
|
8,63
|
225
|
129,44
|
7,78
|
0,72
|
|
|
16
|
16
|
7,63
|
256
|
122,03
|
7,80
|
0,03
|
|
17
|
17
|
7,91
|
289
|
134,55
|
7,83
|
0,01
|
|
18
|
18
|
7,62
|
324
|
137,08
|
7,85
|
0,05
|
|
19
|
19
|
7,86
|
361
|
149,40
|
7,87
|
0,00
|
|
20
|
20
|
8,09
|
400
|
161,86
|
7,89
|
0,04
|
|
21
|
21
|
8,10
|
441
|
170,05
|
7,92
|
0,03
|
|
22
|
22
|
7,14
|
484
|
157,06
|
7,94
|
0,64
|
|
23
|
23
|
7,43
|
529
|
170,97
|
7,96
|
0,28
|
|
24
|
24
|
7,64
|
576
|
183,38
|
7,99
|
0,12
|
|
25
|
25
|
9,52
|
625
|
237,97
|
8,01
|
2,27
|
|
26
|
26
|
9,42
|
676
|
245,00
|
8,03
|
1,93
|
|
27
|
27
|
8,98
|
729
|
242,34
|
8,06
|
0,84
|
|
28
|
28
|
8,28
|
784
|
231,80
|
8,08
|
0,04
|
|
29
|
29
|
8,35
|
841
|
242,19
|
8,10
|
0,06
|
|
30
|
30
|
8,26
|
900
|
247,67
|
8,13
|
0,02
|
|
31
|
31
|
7,50
|
961
|
232,52
|
8,15
|
0,42
|
|
32
|
32
|
7,21
|
1024
|
230,65
|
8,17
|
0,93
|
|
33
|
33
|
6,91
|
1089
|
228,19
|
8,20
|
1,64
|
|
34
|
34
|
6,05
|
1156
|
205,75
|
8,22
|
4,70
|
|
35
|
35
|
6,31
|
1225
|
220,89
|
8,24
|
3,73
|
|
36
|
36
|
6,16
|
1296
|
221,67
|
8,27
|
4,44
|
|
37
|
37
|
11,53
|
1369
|
426,53
|
8,29
|
10,49
|
|
38
|
38
|
11,73
|
1444
|
445,66
|
8,31
|
11,67
|
|
39
|
39
|
10,53
|
1521
|
410,80
|
8,34
|
4,83
|
|
40
|
40
|
10,16
|
1600
|
406,43
|
8,36
|
3,25
|
|
41
|
41
|
9,40
|
1681
|
385,55
|
8,38
|
1,04
|
|
42
|
42
|
8,38
|
1764
|
351,86
|
8,40
|
0,00
|
|
43
|
43
|
8,13
|
1849
|
349,43
|
8,43
|
0,09
|
|
44
|
44
|
8,10
|
1936
|
356,29
|
8,45
|
0,13
|
|
45
|
45
|
7,98
|
2025
|
358,88
|
8,47
|
0,25
|
|
46
|
46
|
7,72
|
2116
|
354,94
|
8,50
|
0,61
|
|
47
|
47
|
8,16
|
2209
|
383,40
|
8,52
|
0,13
|
|
48
|
48
|
9,42
|
2304
|
452,01
|
8,54
|
0,76
|
|
Сумма
|
1176,00
|
361,66
|
38024,00
|
9620,48
|
383,95
|
152,19
|
В результаті
рішення системи рівнянь (2.8) обчислюємо значення параметрів a і b і одержуємо
поліном при лінійній апроксимації Х*=0,02*t+7,43. Представляємо графічне
зображення отриманого рішення на рисунку 3.1.
Рисунок 3.1 –
Лінійна апроксимація динаміки зміни коефіцієнта надійності – Х*=0,02*t+7,43
На графіку 1
відповідає січень 2005 року, 2 – лютий 2005 року і т.д. до 48 – грудень 2008
року.
б) Визначення
параметрів та побудова параболічної моделі
Таблиця 3.9 - Процедура розрахунку показників
моделі при параболічній апроксимації
|
№ п/п
|
ti
|
Xi
|
ti2
|
ti3
|
ti4
|
Xi * ti
|
Xi * ti2
|
Xi*
|
(Xi - Xi*)2
|
|
1
|
1
|
8,41
|
1
|
1
|
1
|
8,41
|
8,41
|
10,97
|
6,55
|
|
2
|
2
|
4,62
|
4
|
8
|
16
|
9,24
|
18,48
|
10,64
|
36,22
|
|
3
|
3
|
4,50
|
27
|
81
|
13,49
|
40,47
|
10,32
|
33,91
|
|
4
|
4
|
4,52
|
16
|
64
|
256
|
18,08
|
72,32
|
10,02
|
30,20
|
|
5
|
5
|
4,94
|
25
|
125
|
625
|
24,71
|
123,56
|
9,73
|
22,88
|
|
6
|
6
|
4,53
|
36
|
216
|
1296
|
27,20
|
163,21
|
9,45
|
24,16
|
|
7
|
7
|
4,25
|
49
|
343
|
2401
|
29,75
|
208,27
|
9,19
|
24,37
|
|
8
|
8
|
4,57
|
64
|
512
|
4096
|
36,54
|
292,36
|
8,94
|
19,10
|
|
9
|
9
|
3,90
|
81
|
729
|
6561
|
35,06
|
315,50
|
8,70
|
23,13
|
|
10
|
10
|
3,56
|
100
|
1000
|
10000
|
35,64
|
356,43
|
8,49
|
24,21
|
|
11
|
11
|
6,93
|
121
|
1331
|
14641
|
76,19
|
838,06
|
8,28
|
1,83
|
|
12
|
12
|
7,91
|
144
|
1728
|
20736
|
94,89
|
1138,63
|
8,09
|
0,03
|
|
|
13
|
13
|
8,17
|
169
|
2197
|
28561
|
106,22
|
1380,87
|
7,91
|
0,07
|
|
14
|
14
|
8,63
|
196
|
2744
|
38416
|
120,81
|
1691,31
|
7,75
|
0,78
|
|
15
|
15
|
8,63
|
225
|
3375
|
50625
|
129,44
|
1941,55
|
7,60
|
1,06
|
|
16
|
16
|
7,63
|
256
|
4096
|
65536
|
122,03
|
1952,52
|
7,46
|
0,03
|
|
17
|
17
|
7,91
|
289
|
4913
|
83521
|
134,55
|
2287,42
|
7,34
|
0,33
|
|
18
|
18
|
7,62
|
324
|
5832
|
104976
|
137,08
|
2467,41
|
7,24
|
0,14
|
|
19
|
19
|
7,86
|
361
|
6859
|
130321
|
149,40
|
2838,64
|
7,14
|
0,52
|
|
20
|
20
|
8,09
|
400
|
8000
|
160000
|
161,86
|
3237,12
|
7,06
|
1,06
|
|
21
|
21
|
8,10
|
441
|
9261
|
194481
|
170,05
|
3571,10
|
7,00
|
1,21
|
|
22
|
22
|
7,14
|
484
|
10648
|
234256
|
157,06
|
3455,39
|
6,95
|
0,04
|
|
23
|
23
|
7,43
|
529
|
12167
|
279841
|
170,97
|
3932,30
|
6,91
|
0,27
|
|
24
|
24
|
7,64
|
576
|
13824
|
331776
|
183,38
|
4401,04
|
6,89
|
0,56
|
|
25
|
25
|
9,52
|
625
|
15625
|
390625
|
237,97
|
5949,29
|
6,88
|
6,94
|
|
26
|
26
|
9,42
|
676
|
17576
|
456976
|
245,00
|
6369,95
|
6,89
|
6,42
|
|
27
|
27
|
8,98
|
729
|
19683
|
531441
|
242,34
|
6543,13
|
6,91
|
4,26
|
|
28
|
28
|
8,28
|
784
|
21952
|
614656
|
231,80
|
6490,36
|
6,95
|
1,78
|
|
29
|
29
|
8,35
|
841
|
24389
|
707281
|
242,19
|
7023,51
|
6,99
|
1,84
|
|
30
|
30
|
8,26
|
900
|
27000
|
810000
|
247,67
|
7430,17
|
7,06
|
1,44
|
|
31
|
31
|
7,50
|
961
|
29791
|
923521
|
232,52
|
7208,24
|
7,13
|
0,13
|
|
32
|
32
|
7,21
|
1024
|
32768
|
1048576
|
230,65
|
7380,88
|
7,22
|
0,00
|
|
33
|
33
|
6,91
|
1089
|
35937
|
1185921
|
228,19
|
7530,20
|
7,33
|
0,17
|
|
34
|
34
|
6,05
|
1156
|
39304
|
1336336
|
205,75
|
6995,45
|
7,45
|
1,95
|
|
35
|
35
|
6,31
|
1225
|
42875
|
1500625
|
220,89
|
7731,22
|
7,58
|
1,62
|
|
36
|
36
|
6,16
|
1296
|
46656
|
1679616
|
221,67
|
7980,02
|
7,73
|
2,47
|
|
37
|
37
|
11,53
|
1369
|
50653
|
1874161
|
426,53
|
15781,76
|
7,89
|
13,22
|
|
38
|
38
|
11,73
|
1444
|
2085136
|
445,66
|
16934,98
|
8,07
|
13,39
|
|
39
|
39
|
10,53
|
1521
|
59319
|
2313441
|
410,80
|
16021,20
|
8,26
|
5,18
|
|
40
|
40
|
10,16
|
1600
|
64000
|
2560000
|
406,43
|
16257,11
|
8,46
|
2,88
|
|
41
|
41
|
9,40
|
1681
|
68921
|
2825761
|
385,55
|
15807,41
|
8,68
|
0,52
|
|
42
|
42
|
8,38
|
1764
|
74088
|
3111696
|
351,86
|
14778,00
|
8,91
|
0,29
|
|
43
|
43
|
8,13
|
1849
|
79507
|
3418801
|
349,43
|
15025,55
|
9,16
|
1,07
|
|
44
|
44
|
8,10
|
1936
|
85184
|
3748096
|
356,29
|
15676,82
|
9,42
|
1,75
|
|
45
|
45
|
7,98
|
2025
|
91125
|
4100625
|
358,88
|
16149,70
|
9,69
|
2,96
|
|
46
|
46
|
7,72
|
2116
|
97336
|
4477456
|
354,94
|
16327,39
|
9,98
|
5,14
|
|
47
|
47
|
8,16
|
2209
|
103823
|
4879681
|
383,40
|
18019,67
|
10,29
|
4,53
|
|
48
|
48
|
9,42
|
2304
|
110592
|
5308416
|
452,01
|
21696,43
|
10,60
|
1,41
|
|
Сума
|
1176
|
362
|
38024
|
1382976
|
53651864
|
9620,48
|
319840,83
|
395,62
|
334,04
|
В результаті
рішення системи рівнянь (2.9) обчислюємо значення параметрів a0, a1
і a2 і одержуємо поліном при параболічній апроксимації Х*=
11,32-0,35*t-0,01*t2. Представляємо графічне зображення
отриманого рішення на рисунку3.2.
Рисунок 3.2 –
Параболічна апроксимація динаміки зміни коефіцієнта надійності - Х*=
11,32-0,35*t-0,01*t2
в) Визначення параметрів та побудова
гіперболічної моделі
Таблиця 3.10 - Процедура розрахунку показників
моделі при гіперболічній апроксимації
|
№ п/п
|
ti
|
Xi
|
1/ti
|
1/ti2
|
Xi/ti
|
Xi*
|
(Xi - Xi*)2
|
|
1
|
1
|
8,41
|
1,00
|
1,00
|
8,41
|
3,22
|
26,99
|
|
2
|
2
|
4,62
|
0,50
|
0,25
|
2,31
|
5,89
|
1,62
|
|
3
|
3
|
4,50
|
0,33
|
0,11
|
1,50
|
6,78
|
5,23
|
|
4
|
4
|
4,52
|
0,25
|
0,06
|
1,13
|
7,23
|
7,34
|
|
5
|
5
|
4,94
|
0,20
|
0,04
|
0,99
|
7,50
|
6,53
|
|
6
|
6
|
4,53
|
0,17
|
0,03
|
0,76
|
7,68
|
9,87
|
|
7
|
7
|
4,25
|
0,14
|
0,02
|
0,61
|
7,80
|
12,62
|
|
8
|
8
|
4,57
|
0,13
|
0,02
|
0,57
|
7,90
|
11,09
|
|
9
|
9
|
3,90
|
0,11
|
0,01
|
0,43
|
7,97
|
16,63
|
|
10
|
10
|
3,56
|
0,10
|
0,01
|
0,36
|
8,03
|
19,96
|
|
11
|
11
|
6,93
|
0,09
|
0,01
|
0,63
|
8,08
|
1,33
|
|
12
|
12
|
7,91
|
0,08
|
0,01
|
0,66
|
8,12
|
0,05
|
|
|
13
|
13
|
8,17
|
0,08
|
0,01
|
0,63
|
8,16
|
0,00
|
|
14
|
14
|
8,63
|
0,07
|
0,01
|
0,62
|
8,18
|
0,20
|
|
15
|
15
|
8,63
|
0,07
|
0,00
|
0,58
|
8,21
|
0,18
|
|
16
|
16
|
7,63
|
0,06
|
0,00
|
0,48
|
8,23
|
0,37
|
|
17
|
17
|
7,91
|
0,06
|
0,00
|
0,47
|
8,25
|
0,11
|
|
18
|
18
|
7,62
|
0,06
|
0,00
|
0,42
|
8,27
|
0,43
|
|
19
|
19
|
7,86
|
0,05
|
0,00
|
0,41
|
8,29
|
0,18
|
|
20
|
20
|
8,09
|
0,05
|
0,00
|
0,40
|
8,30
|
0,04
|
|
21
|
21
|
8,10
|
0,05
|
0,00
|
0,39
|
8,31
|
0,05
|
|
22
|
22
|
7,14
|
0,05
|
0,00
|
0,32
|
8,32
|
1,40
|
|
23
|
23
|
7,43
|
0,04
|
0,00
|
0,32
|
8,33
|
0,81
|
|
24
|
24
|
7,64
|
0,04
|
0,00
|
0,32
|
8,34
|
0,49
|
|
25
|
25
|
9,52
|
0,04
|
0,00
|
0,38
|
8,35
|
1,36
|
|
26
|
26
|
9,42
|
0,04
|
0,00
|
0,36
|
8,36
|
1,13
|
|
27
|
27
|
8,98
|
0,04
|
0,00
|
0,33
|
8,37
|
0,37
|
|
28
|
28
|
8,28
|
0,04
|
0,00
|
0,30
|
0,01
|
|
29
|
29
|
8,35
|
0,03
|
0,00
|
0,29
|
8,38
|
0,00
|
|
30
|
30
|
8,26
|
0,03
|
0,00
|
0,28
|
8,39
|
0,02
|
|
31
|
31
|
7,50
|
0,03
|
0,00
|
0,24
|
8,39
|
0,80
|
|
32
|
32
|
7,21
|
0,03
|
0,00
|
0,23
|
8,40
|
1,42
|
|
33
|
33
|
6,91
|
0,03
|
0,00
|
0,21
|
8,40
|
2,22
|
|
34
|
34
|
6,05
|
0,03
|
0,00
|
0,18
|
8,41
|
5,56
|
|
35
|
35
|
6,31
|
0,03
|
0,00
|
0,18
|
8,41
|
4,42
|
|
36
|
36
|
6,16
|
0,03
|
0,00
|
0,17
|
8,42
|
5,11
|
|
37
|
37
|
11,53
|
0,03
|
0,00
|
0,31
|
8,42
|
9,65
|
|
38
|
38
|
11,73
|
0,03
|
0,00
|
0,31
|
8,43
|
10,90
|
|
39
|
39
|
10,53
|
0,03
|
0,00
|
0,27
|
8,43
|
4,43
|
|
40
|
40
|
10,16
|
0,03
|
0,00
|
0,25
|
8,43
|
2,98
|
|
41
|
41
|
9,40
|
0,02
|
0,00
|
0,23
|
8,44
|
0,94
|
|
42
|
42
|
8,38
|
0,02
|
0,00
|
0,20
|
8,44
|
0,00
|
|
43
|
43
|
8,13
|
0,02
|
0,00
|
0,19
|
8,44
|
0,10
|
|
44
|
44
|
8,10
|
0,02
|
0,00
|
0,18
|
8,45
|
0,12
|
|
45
|
45
|
7,98
|
0,02
|
0,00
|
0,18
|
8,45
|
0,22
|
|
46
|
46
|
7,72
|
0,02
|
0,00
|
0,17
|
8,45
|
0,54
|
|
47
|
47
|
8,16
|
0,02
|
0,00
|
0,17
|
8,45
|
0,09
|
|
48
|
48
|
9,42
|
0,02
|
0,00
|
0,20
|
8,46
|
0,92
|
|
Сума
|
1176
|
361,66
|
4,46
|
1,62
|
29,51
|
387,36
|
176,81
|
У результаті
рішення системи рівнянь обчислюємо значення параметрів a0 і a1
і одержуємо поліном при гіперболічній апроксимації: X*=8,57-5,35*1/t. Представляємо графічне зображення
отриманого рішення на рисунку 3.3
Рисунок 3.3 –
Гіперболічна апроксимація динаміки зміни коефіцієнта надійності - X*=8,57-5,35*1/t
г) Визначення
параметрів та побудова напівлогарифмічної моделі
Таблиця 3.11 - Процедура розрахунку показників
моделі при напівлогарифмічній апроксимації
|
№ п/п
|
ti
|
Xi
|
Log ti
|
(log ti)^2
|
Xi log ti
|
Xi*
|
(Xi - Xi*)2
|
|
1
|
1
|
8,41
|
0,00
|
0,00
|
0,00
|
15,94
|
56,67
|
|
2
|
2
|
4,62
|
0,30
|
0,09
|
1,39
|
14,19
|
91,55
|
|
3
|
3
|
4,50
|
0,48
|
0,23
|
2,15
|
13,16
|
75,10
|
|
4
|
4
|
4,52
|
0,60
|
0,36
|
2,72
|
12,44
|
62,66
|
|
5
|
5
|
4,94
|
0,70
|
0,49
|
3,45
|
11,87
|
48,01
|
|
6
|
6
|
4,53
|
0,78
|
0,61
|
3,53
|
11,41
|
47,29
|
|
7
|
7
|
4,25
|
0,85
|
0,71
|
3,59
|
11,02
|
45,84
|
|
8
|
8
|
4,57
|
0,90
|
0,82
|
4,13
|
10,68
|
37,40
|
|
9
|
9
|
3,90
|
0,95
|
0,91
|
3,72
|
10,39
|
42,13
|
|
10
|
10
|
3,56
|
1,00
|
1,00
|
3,56
|
10,12
|
42,96
|
|
11
|
11
|
6,93
|
1,04
|
1,08
|
7,21
|
9,88
|
8,71
|
|
12
|
12
|
7,91
|
1,08
|
1,16
|
8,53
|
9,66
|
3,07
|
|
13
|
13
|
8,17
|
1,11
|
1,24
|
9,10
|
9,46
|
1,65
|
|
14
|
14
|
8,63
|
1,15
|
1,31
|
9,89
|
9,27
|
0,41
|
|
15
|
15
|
8,63
|
1,18
|
1,38
|
10,15
|
9,09
|
0,22
|
|
16
|
16
|
7,63
|
1,20
|
1,45
|
9,18
|
8,93
|
1,70
|
|
17
|
17
|
7,91
|
1,23
|
1,51
|
9,74
|
8,78
|
0,74
|
|
|
18
|
18
|
7,62
|
1,26
|
1,58
|
9,56
|
8,63
|
1,04
|
|
19
|
19
|
7,86
|
1,28
|
1,64
|
10,06
|
8,50
|
0,40
|
|
20
|
20
|
8,09
|
1,30
|
1,69
|
10,53
|
8,37
|
0,07
|
|
21
|
21
|
8,10
|
1,32
|
1,75
|
10,71
|
8,24
|
0,02
|
22
|
7,14
|
1,34
|
1,80
|
9,58
|
8,13
|
0,97
|
|
23
|
23
|
7,43
|
1,36
|
1,85
|
10,12
|
8,01
|
0,34
|
|
24
|
24
|
7,64
|
1,38
|
1,90
|
10,55
|
7,91
|
0,07
|
|
25
|
25
|
9,52
|
1,40
|
1,95
|
13,31
|
7,80
|
2,95
|
|
26
|
26
|
9,42
|
1,41
|
2,00
|
13,33
|
7,70
|
2,96
|
|
27
|
27
|
8,98
|
1,43
|
2,05
|
12,85
|
7,61
|
1,87
|
|
28
|
28
|
8,28
|
1,45
|
2,09
|
11,98
|
7,52
|
0,58
|
|
29
|
29
|
8,35
|
1,46
|
2,14
|
12,21
|
7,43
|
0,85
|
|
30
|
30
|
8,26
|
1,48
|
2,18
|
12,19
|
7,34
|
0,84
|
|
31
|
31
|
7,50
|
1,49
|
2,22
|
11,19
|
7,26
|
0,06
|
|
32
|
32
|
7,21
|
1,51
|
2,27
|
10,85
|
7,18
|
0,00
|
|
33
|
33
|
6,91
|
1,52
|
2,31
|
10,50
|
7,10
|
0,03
|
|
34
|
34
|
6,05
|
1,53
|
2,35
|
9,27
|
7,02
|
0,95
|
|
35
|
35
|
6,31
|
1,54
|
2,38
|
9,74
|
6,95
|
0,41
|
|
36
|
36
|
6,16
|
1,56
|
2,42
|
9,58
|
6,88
|
0,52
|
|
37
|
37
|
11,53
|
1,57
|
2,46
|
18,08
|
6,81
|
22,25
|
|
38
|
38
|
11,73
|
1,58
|
2,50
|
18,53
|
6,74
|
24,84
|
|
39
|
39
|
10,53
|
1,59
|
2,53
|
16,76
|
6,68
|
14,86
|
|
40
|
40
|
10,16
|
1,60
|
2,57
|
16,28
|
6,61
|
12,58
|
|
41
|
41
|
9,40
|
1,61
|
2,60
|
15,17
|
6,55
|
8,13
|
|
42
|
42
|
8,38
|
1,62
|
2,63
|
13,60
|
6,49
|
3,56
|
|
43
|
43
|
8,13
|
1,63
|
2,67
|
13,27
|
6,43
|
2,87
|
|
44
|
44
|
8,10
|
1,64
|
2,70
|
13,31
|
6,37
|
2,97
|
|
45
|
45
|
7,98
|
1,65
|
2,73
|
13,18
|
6,32
|
2,75
|
|
46
|
46
|
7,72
|
1,66
|
2,76
|
12,83
|
6,26
|
2,12
|
|
47
|
47
|
8,16
|
1,67
|
2,80
|
13,64
|
6,21
|
3,81
|
|
48
|
48
|
9,42
|
1,68
|
2,83
|
15,83
|
6,15
|
10,65
|
|
Сума
|
1176
|
362
|
61
|
85
|
481
|
409
|
692
|
В
результаті рішення системи рівнянь обчислюємо значення параметрів a0
і a1 і одержуємо поліном при напівлогарифмічній апроксимації: X*=15,94-5,82*logt. Представляємо графічне зображення
отриманого рішення на рисунку 3.4.
Рисунок 3.4 –
Напівлогарифмічна апроксимація динаміки зміни коефіцієнта надійності - X*=15,94-5,82*logt
3)
Порівняння
значень Xi*, отриманих шляхом застосування кожного з
поліномів.
Таблиця 3.12 – Порівняльна оцінка моделей
динаміки зміни коефіцієнта надійності
Найбільш
точним поліномом являється лінійна модель, яка відповідає емпіричним (заданим)
значенням Xi та дає найменше значення цієї суми (152,19).
4)
Розрахунок
показників точності і адекватності між досліджуваними ознаками
Таблиця
3.13 – Показники точності і
адекватності
5)
Висновки
відносно отриманих результатів та визначення оптимальної моделі.
Отримані
результати, які наведені в таблиці 3.8, говорять про те, що сума квадратів відхилень, отриманого значення Xi*
(апроксимуючого значення) від заданого значення Xi, мінімальна у
випадку побудови лінійного поліному. Таким чином, найбільш точним поліномом є
лінійна модель, яка має наступну математичну модель: X*=0,02*t+7,43.
Розрахунок
коефіцієнта кореляції говорить о наявності прямого зв’язку між досліджуваними
ознаками з середньою щільністю коефіцієнта надійності від часу (0,6).
Отже, в
обстеженій сукупності показників коефіцієнта надійності 36% варіації рівень
залежності банку від залучених коштів пояснюється різним часовим періодом.
Істотність зв’язку коефіцієнта детермінації R2 перевірили за допомогою таблиці критерію F для 5%-ного рівня значущості. Критичне
значення Fт(0,95)=5,32 значно менше від фактичного 5,32<26,34, що підтверджує
істотність кореляційного зв’язку між досліджуваними ознаками.
При
достатньо великому числі спостережень коефіцієнт кореляції можна вважати
достовірним, тому що він перевищує свою помилку в більше ніж 3 рази, а отже
зв’язок між коефіцієнтом надійності (рівнем залежності банку від залучених
коштів) та часом доведений.
Двірничий
інтервал: 0,41<r(0,60)<0,80.
Усе це дає
підставу вважати, що обчислений лінійний коефіцієнт кореляції достатньо точно
характеризує щільність зв’язку між досліджуваними ознаками.
Аналогічно робимо
розрахунки для інших коефіцієнтів фінансової стійкості.
3.2.2 Розробка
математичної моделі динаміки зміни коефіцієнта фінансового важеля
В якості
вихідних даних обраний такий показник фінансової стійкості, як коефіцієнт
фінансового важеля, який розкриває здатність банку залучати кошти на
фінансовому ринку. Розрахунок цього показника представлен у додатку А.
На основі
представленої методики у розділі 2.2 розробляються математичні моделі різних
типів. Представимо таблицю 3.14 з порівняльною оцінкою
отриманих моделей та оптимальною моделлю.
Таблиця 3.14 – Порівняльна оцінка моделей
динаміки зміни коефіцієнта фінансового важеля
|
Тип залежності
|
|
(Xi - Xi*)2
|
|
Математична модель
|
|
Лінійна
|
1150,79
|
Х*=-0,41*t+26,03
|
|
Параболічна
|
6803,96
|
X*=58,45-3,55*t+0,06t2
|
|
Гіперболічна
|
972,07
|
X*=14,83+5,02*(1/t)
|
|
Напівлогарифмічна
|
22872,60
|
X*=98,75-61,45*logt
|
|
Мінімальна
|
972,07
|
X*=14,83+5,02*(1/t)
|
Результати
розрахунків показників точності і адекватності між досліджуваними ознаками представлені
в таблиці 3.15
Таблиця 3.15 – Розрахунок показників точності і
адекватності
Отримані
результати свідчать про те, що сума квадратів відхилень, отриманого значення Xi*
(апроксимуючого значення) від заданого значення Xi, мінімальна у
випадку побудови гіперболічного поліному. Таким чином, найбільш точним
поліномом є гіпербола, яка має таку математичну модель: X*=14,83+5,02*(1/t).
Розрахунок коефіцієнта
кореляції говорить о наявності оберненого зв’язку між досліджуваними ознаками з
середньою щільністю коефіцієнта фінансового важеля від часу (-0,61).
Отже, в
обстеженій сукупності показників коефіцієнта фінансового важеля у 38% варіації
здатність банку залучати кошти на фінансовому ринку пояснюється різним часовим
періодом. Істотність зв’язку коефіцієнта детермінації R2 перевірили за допомогою таблиці критерію F для 5%-ного рівня значущості. Критичне
значення Fт(0,95)=5,32 значно менше від фактичного 5,32<27,66, що підтверджує істотність кореляційного зв’язку між
досліджуваними ознаками.
При
достатньо великому числі спостережень коефіцієнт кореляції можна вважати
достовірним, тому що він перевищує свою помилку в більше ніж 3 рази, а отже
зв’язок між коефіцієнтом фінансового важеля (здатність банку залучати кошти на
фінансовому ринку) та часом доведений.
Двірничий
інтервал: -0,80<r(-0,61)<-0,42.
Усе це дає
підставу вважати, що обчислений лінійний коефіцієнт кореляції достатньо точно
характеризує щільність зв’язку між досліджуваними ознаками.
3.2.3 Розробка
математичної моделі динаміки зміни коефіцієнта участі власного капіталу у
формуванні активів
В якості вихідних
даних обраний такий показник фінансової стійкості, як коефіцієнт участі
власного капіталу у формуванні активів, який розкриває достатність сформованого
власного капіталу в активізації та покритті різних ризиків. Розрахунок цього
показника представлен у додатку А.
На основі
представленої методики у розділі 2.2 розробляються математичні моделі різних
типів. Представимо таблицю 3.16 з порівняльною оцінкою
отриманих моделей та оптимальною моделлю.
Таблиця 3.16 – Порівняльна оцінка моделей
динаміки зміни коефіцієнта участі власного капіталу у формуванні активів
Результати
розрахунків показників точності і адекватності між досліджуваними ознаками
представлені в таблиці 3.17
Таблиця 3.17 – Розрахунок показників точності і
адекватності
Отримані
результати свідчать про те, що сума квадратів відхилень, отриманого значення Xi*
(апроксимуючого значення) від заданого значення Xi, мінімальна у
випадку побудови лінійного поліному. Таким чином, найбільш точним поліномом є
лінія, яка має таку математичну модель: X* = 0,02*t+7,02.
Розрахунок
коефіцієнта кореляції говорить о наявності прямого зв’язку між досліджуваними
ознаками з середньою щільністю коефіцієнта участі власного капіталу у
формуванні активів від часу (0,61).
Отже, в
обстеженій сукупності показників коефіцієнта фінансового важеля у 37% варіації
достатність сформованого власного капіталу в активізації та покритті різних ризиків
пояснюється різним часовим періодом. Істотність зв’язку коефіцієнта
детермінації R2 перевірили за допомогою таблиці критерію F для 5%-ного рівня значущості. Критичне значення Fт(0,95)=5,32
значно менше від фактичного 5,32<26,71, що підтверджує
істотність кореляційного зв’язку між досліджуваними ознаками.
При
достатньо великому числі спостережень коефіцієнт кореляції можна вважати
достовірним, тому що він перевищує свою помилку в більше ніж 3 рази, а отже
зв’язок між коефіцієнтом достатності капіталу та часом доведений.
Двірничий
інтервал: 0,42<r(0,61)<0,80.
Усе це дає
підставу вважати, що обчислений лінійний коефіцієнт кореляції достатньо точно
характеризує щільність зв’язку між досліджуваними ознаками.
3.2.4 Розробка
математичної моделі динаміки зміни коефіцієнта захищеності власного капіталу
В якості вихідних
даних обраний такий показник фінансової стійкості, як коефіцієнт захищеності
власного капіталу, який показує яку частину капіталу розміщено в нерухомість
(майно). Розрахунок цього показника представлен у додатку А.
На основі
представленої методики у розділі 2.2 розробляються математичні моделі різних
типів. Представимо таблицю 3.18 з порівняльною оцінкою
отриманих моделей та оптимальною моделлю.
Таблиця 3.18 – Порівняльна оцінка моделей
динаміки зміни коефіцієнта захищеності власного капіталу
Результати
розрахунків показників точності і адекватності між досліджуваними ознаками
представлені в таблиці 3.19
Таблиця 3.19 – Розрахунок показників точності і
адекватності
Отримані
результати свідчать про те, що сума квадратів відхилень, отриманого значення Xi*
(апроксимуючого значення) від заданого значення Xi, мінімальна у
випадку побудови гіперболічного поліному. Таким чином, найбільш точним
поліномом є гіпербола, яка має таку математичну модель: X* = 0,61-0,32*(1/t).
Розрахунок
коефіцієнта кореляції говорить о том, що між досліджуваними ознаками зовсім
немає зв’язку.
3.2.5 Розробка
математичної моделі динаміки зміни коефіцієнта захищеності дохідних активів
власним капіталом
В якості вихідних
даних обраний такий показник фінансової стійкості, як коефіцієнт захищеності
дохідних активів власним капіталом, який сигналізує про захист дохідних активів
(що чутливі до зміни процентних ставок) мобільним власним капіталом. Розрахунок
цього показника представлен у додатку А.
На основі
представленої методики у розділі 2.2 розробляються математичні моделі різних
типів. Представимо таблицю 3.20 з порівняльною оцінкою
отриманих моделей та оптимальною моделлю.
Результати
розрахунків показників точності і адекватності між досліджуваними ознаками
представлені в таблиці 3.21
Таблиця 3.20 –
Порівняльна оцінка моделей динаміки зміни коефіцієнта захищеності дохідних
активів власним капіталом
Таблиця 3.21 – Розрахунок показників точності і
адекватності
Отримані
результати свідчать про те, що сума квадратів відхилень, отриманого значення Xi*
(апроксимуючого значення) від заданого значення Xi, мінімальна у
випадку побудови лінійного поліному. Таким чином, найбільш точним поліномом є лінія,
яка має таку математичну модель: X* =0,03*t-1,34.
Розрахунок
коефіцієнта кореляції говорить о наявності прямого зв’язку між досліджуваними
ознаками з середньою щільністю коефіцієнта захищеності дохідних активів власним
капіталом від часу (0,67).
Отже, в
обстеженій сукупності показників досліджуваного коефіцієнта у 44% варіації
сигнал про захист дохідних активів мобільним власним капіталом пояснюється
різним часовим періодом. Істотність зв’язку коефіцієнта детермінації R2 перевірили
за допомогою таблиці критерію F
для 5%-ного рівня значущості. Критичне значення Fт(0,95)=5,32 значно
менше від фактичного 5,32<36,69, що підтверджує
істотність кореляційного зв’язку між досліджуваними ознаками.
При
достатньо великому числі спостережень коефіцієнт кореляції можна вважати
достовірним, тому що він перевищує свою помилку в більше ніж 3 рази, а отже
зв’язок між коефіцієнтом достатності капіталу та часом доведений.
Двірничий
інтервал: 0,50<r(0,67)<0,83.
Усе це дає
підставу вважати, що обчислений лінійний коефіцієнт кореляції достатньо точно
характеризує щільність зв’язку між досліджуваними ознаками.
3.2.6 Розробка
математичної моделі динаміки зміни коефіцієнта мультиплікатора капіталу
В якості вихідних
даних обраний такий показник фінансової стійкості, як коефіцієнт
мультиплікатора капіталу, який характеризує ступінь покриття активів
(акціонерним) капіталом. Розрахунок цього показника представлен у додатку А.
На основі
представленої методики у розділі 2.2 розробляються математичні моделі різних
типів. Представимо таблицю 3.22 з порівняльною оцінкою
отриманих моделей та оптимальною моделлю.
Результати
розрахунків показників точності і адекватності між досліджуваними ознаками
представлені в таблиці 3.23
Таблиця 3.22 –
Порівняльна оцінка моделей динаміки зміни коефіцієнта мультиплікатору капіталу
Таблиця 3.23 – Розрахунок показників точності і
адекватності
Отримані
результати свідчать про те, що сума квадратів відхилень, отриманого значення Xi*
(апроксимуючого значення) від заданого значення Xi, мінімальна у
випадку побудови гіперболічного поліному. Таким чином, найбільш точним
поліномом є гіпербола, яка має таку математичну модель: X* = 29,37+14,30*(1/t).
Розрахунок
коефіцієнта кореляції говорить о наявності оберненого зв’язку між
досліджуваними ознаками з тісною щільністю коефіцієнта мультиплікатора капіталу
від часу (-0,74).
Отже, в
обстеженій сукупності показників досліджуваного коефіцієнта у 55% варіації
ступінь покриття активів (акціонерним) капіталом пояснюється різним часовим
періодом. Істотність зв’язку коефіцієнта детермінації R2 перевірили за допомогою таблиці критерію F для 5%-ного рівня значущості. Критичне
значення Fт(0,95)=5,32 значно менше від фактичного 5,32<55,33, що підтверджує істотність кореляційного зв’язку між
досліджуваними ознаками.
При
достатньо великому числі спостережень коефіцієнт кореляції можна вважати
достовірним, тому що він перевищує свою помилку в більше ніж 3 рази, а отже
зв’язок між коефіцієнтом достатності капіталу та часом доведений.
Двірничий
інтервал: -0,60<r(-0,74)<-0,88.
Усе це дає
підставу вважати, що обчислений лінійний коефіцієнт кореляції достатньо точно
характеризує щільність зв’язку між досліджуваними ознаками.
3.3
Комп’ютерне моделювання фінансової стійкості
1) Досліджувані
показники фінансової стійкості ПриватБанку розраховані за формулами 2.1 -2.6,
наведеними у розділі 2.1, та представлені у додатку А.
2)
Установа має нормальну стійкість фінансового стану, яка гарантує його
платоспроможність, але є можливість промоделювати деякі показники, щоб вона
набула абсолютної стійкості.
3) Коефіцієнт надійності – співвідношення власного капіталу до залучених
коштів. Мінімально допустиме його значення складає не менше 5%. Даний показник
за досліджуваний період 2005 -2008 роки лише з лютого по жовтень 2005 року був
нижче оптимального значення, тобто банк мав високий рівень залежності від
залучених коштів, але на протязі всього подальшого часу знаходився в нормі.
Тому проводити комп’ютерне моделювання цього показника немає потреби.
4) Показник фінансового важеля – співвідношення зобов’язань банку і
капіталу. Він має максимально допустиме співвідношення 1:20. Показник
знаходиться нижче указаного співвідношення, а це свідчить про те, що банк не
проявляє активності у залученні вільних коштів на фінансовому ринку, тому що
має високе забезпечення власними. Виходячи з цього, проводити комп’ютерне
моделювання показника фінансового важеля також немає потреби.
5) Коефіцієнт участі власного капіталу у формуванні активів або
достатність капіталу – співвідношення капіталу і загальних активів. Оптимальне
значення цього показника має бути не менше 10%. Розраховане значення не досягає
цього обмеження, тобто банк не має достатнього сформованого власного капіталу в
активізації та покритті різних ризиків, але воно має поступовий ріст, що вже
говорить про наявність позитивної тенденції. Для досягнення абсолютної
стійкості банка за цим показником
необхідно провести моделювання.
а) дослідження
зміни коефіцієнта достатності капіталу від зміни капіталу
В даному випадку
розглянемо поведінку коефіцієнта участі власного капіталу у формуванні активів
при незмінному значенні загальних активів та варіації капіталу. За
досліджуваний період часу (2005-2008 роки) капітал банку змінювався від 280 193
221,29 і до 1 365 510 804,78 гривень. Побудуємо графік (рис. 3.5), на якому зобразимо досліджуваний
коефіцієнт в динаміці в залежності від росту капіталу, а також червону лінію
показника (оптимальне значення).
З рисунка можна
зробити висновок про те, що коефіцієнт знаходиться в нормі при числовому
значенні капіталу від 979 400 104,95 і до 1 021 688 770,43 грн. Таким чином,
указаний грошовий інтервал являється критичним значенням капіталу, тому що
більші числові значення призводять до росту коефіцієнта достатності капіталу, а
менші – к його падінню. Значить, для досягнення абсолютної стійкості банка за
цим показником необхідне
зростання капіталу.
Рисунок 3.5 – Залежність коефіцієнта достатності
капіталу від росту капіталу
б) дослідження
зміни коефіцієнта достатності капіталу від зміни загальних активів
Розглянемо
поведінку коефіцієнта участі власного капіталу у формуванні активів при
незмінному значенні капіталу та варіації загальних активів. За досліджуваний
період часу (2005-2008 роки) загальні активи банку змінювалися від 3 610 522
710,02 і до 16 692 673 778,10 гривень. Побудуємо графік (рис. 3.6), на якому зобразимо досліджуваний
коефіцієнт в динаміці в залежності від росту загальних активів, а також червону
лінію показника (оптимальне значення).
З рисунка можна
зробити висновок про те, що коефіцієнт знаходиться в нормі при числовому
значенні загальних активів від 10 323 838 576,79 і до 10 938 880 583,31 грн.
Таким чином, указаний грошовий інтервал являється критичним значенням загальних
активів, тому що менші числові значення призводять до росту коефіцієнта
достатності капіталу, а більші – к його падінню. Значить, для досягнення
абсолютної стійкості банка за цим показником необхідне зменшення загальних активів.
Рисунок 3.6 – Залежність коефіцієнта достатності
капіталу від росту загальних активів
в) дослідження
зміни коефіцієнта достатності капіталу від одночасної зміни власного капіталу
та загальних активів.
Розглянемо
поведінку коефіцієнта участі власного капіталу у формуванні активів при
варіюванні значень капіталу та загальних активів. Як вже встановлено для росту
коефіцієнта необхідне зростання капіталу та зменшення загальних активів. Таким
чином, побудуємо графік (рис. 3.7), на якому зобразимо поведінку коефіцієнта при збільшенні капіталу та
зменшенні загальних активів від знайденого критичного діапазону значень та
припустимо невизначений часовий інтервал.
З отриманих
результатів робимо висновок про те, що за досліджуваним коефіцієнтом банк буде
мати абсолютну стійкість у випадку зростання капіталу та зниження загальних
активів на основі зросту коефіцієнта участі власного капіталу у формування
активів.
Рисунок 3.7 – Моделювання коефіцієнта участі
власного капіталу у формуванні активів від зміни капіталу та загальних активів
6) Коефіцієнт захищеності власного капіталу – співвідношення
капіталізованих активів (основні засоби та нематеріальні активи) і капіталу.
При розрахунку показника за досліджуваний період виявлено його перемінне
зростання, що свідчить про зростання захищеності власного капіталу зростаючим
вкладенням його також у свої власні капіталізовані активи. Це свідчить про
добру тенденцію, але взагалі показник коефіцієнта остався на одному рівні, тому
для абсолютної стійкості банку за цим показником проведемо моделювання.
а) дослідження
зміни коефіцієнта захищеності власного капіталу від зміни капіталу
В даному випадку
розглянемо поведінку коефіцієнта захищеності власного капіталу при незмінному
значенні капіталізованих активів та варіації капіталу. За досліджуваний період
часу (2005-2008 роки) капітал банку змінювався від 280 193 221,29 і до 1 365
510 804,78 гривень. Побудуємо графік (рис. 3.8), на якому зобразимо досліджуваний коефіцієнт в динаміці в
залежності від росту капіталу.
Рисунок 3.8 –
Залежність коефіцієнта захищеності капіталу від росту капіталу
З рисунка можна
зробити висновок про те, що коефіцієнт має ріст при грошовому значенні капіталу
від 414 342 469,97 і до 425 876 358,63 грн. Таким чином, указаний грошовий
інтервал являється критичним значенням капіталу, тому що менші числові значення
призводять до росту коефіцієнта захищеності капіталу, а більші – к його
падінню. Значить, для досягнення абсолютної стійкості банка за цим показником необхідне зменшення
капіталу.
б) дослідження
зміни коефіцієнта захищеності власного капіталу від зміни капіталізованих
активів
Розглянемо
поведінку коефіцієнта захищеності власного капіталу при незмінному значенні
капіталу та варіації капіталізованих активів. За досліджуваний період часу (2005-2008
роки) капіталізовані активи банку змінювалися від 123 395 197,36 і до 676 969 060,10
гривень. Побудуємо графік (рис. 3.9), на якому зобразимо досліджуваний коефіцієнт в динаміці в залежності
від росту капіталізованих активів.
Рисунок 3.9 – Залежність коефіцієнта захищеності
власного капіталу від росту капіталізованих активів
З рисунка можна
зробити висновок про те, що коефіцієнт має ріст в грошовому значенні
капіталізованих активів від 271 360 668,61 і до 290 651 807,34 грн. Таким
чином, указаний грошовий інтервал являється критичним значенням капіталізованих
активів, тому що більші числові значення призводять до росту коефіцієнта
захищеності власного капіталу, а менші – к його падінню. Значить, для
досягнення абсолютної стійкості банка за цим показником необхідне збільшення
капіталізованих активів.
в) дослідження
зміни коефіцієнта захищеності власного капіталу від одночасної зміни власного
капіталу та капіталізованих активів
Розглянемо
поведінку досліджуваного коефіцієнта при варіюванні значень капіталу та
капіталізованих активів. Як вже встановлено для росту коефіцієнта необхідне
зростання капіталізованих активів та зменшення капіталу іншими словами темп
росту капіталізованих активів повинен перевищувати темп росту капіталу. Таким
чином, побудуємо графік (рис. 3.10), на якому зобразимо поведінку коефіцієнта
при збільшенні капіталізованих активів та зменшенні капіталу від знайденого
критичного діапазону значень та припустимо невизначений часовий інтервал.
Рисунок 3.10 –
Моделювання коефіцієнта захищеності власного капіталу від зміни капіталу та
капіталізованих активів
З отриманих
результатів робимо висновок про те, що за досліджуваним коефіцієнтом банк буде
мати абсолютну стійкість у випадку зростання капіталізованих активів та
зниження капіталу на основі зросту коефіцієнта захищеності власного капіталу.
7) Коефіцієнт захищеності дохідних активів власним капіталом –
співвідношення капіталу за мінусом недохідних активів та збитків і дохідних
активів. Для того, щоб банк посилював захист дохідних активів мобільним власним
капіталом, необхідне зростання показника.
а) дослідження
зміни коефіцієнта захищеності дохідних активів власним капіталом від зміни
капіталу;
В даному випадку
розглянемо поведінку досліджуваного коефіцієнта при незмінному значенні
недохідних та дохідних активів та варіації капіталу. За досліджуваний період
часу (2005-2008 роки) капітал банку змінювався від 280 193 221,29 і до 1 365 510
804,78 гривень. Побудуємо графік (рис. 3.11), на якому зобразимо досліджуваний коефіцієнт в динаміці в залежності
від росту капіталу.
Рисунок 3.11 - Залежність коефіцієнта захищеності
дохідних активів власним капіталом від росту капіталу
З рисунка можна
зробити висновок про те, що коефіцієнт знаходиться в нормі при числовому
значенні капіталу від 979 400 104,95 і до 1 021 688 770,43 грн. Таким чином,
указаний грошовий інтервал являється критичним значенням капіталу, тому що
більші числові значення призводять до росту коефіцієнта захищеності дохідних
активів власним капіталом, а менші – к його падінню. Значить, для досягнення
абсолютної стійкості банка за цим показником необхідне зростання капіталу.
б) дослідження
зміни коефіцієнта захищеності дохідних активів власним капіталом від зміни
недохідних активів
Розглянемо
поведінку досліджуваного коефіцієнта при незмінному значенні капіталу і
дохідних активів та варіації недохідних активів. За досліджуваний період часу (2005-2008
роки) недохідні активи банку змінювалися від 914 466 693,71 і до 5 742 884 541,20
гривень. Побудуємо графік (рис. 3.12), на якому зобразимо коефіцієнт захищеності дохідних активів власним
капіталом в динаміці в залежності від росту недохідних активів.
Рисунок 3.12 - Залежність коефіцієнта захищеності
дохідних активів власним капіталом від росту недохідних активів
З рисунка можна
зробити висновок про те, що коефіцієнт має ріст в грошовому значенні недохідних
активів від 3 627 297 962,24 і до 3 990 436 964,64 грн. Таким чином, указаний
грошовий інтервал являється критичним значенням недохідних активів, тому що
менші числові значення призводять до росту коефіцієнта захищеності дохідних
активів власним капіталом, а більші – к його падінню. Значить, для досягнення
абсолютної стійкості банка за цим показником необхідне зменшення недохідних активів.
в) дослідження
зміни коефіцієнта захищеності дохідних активів власним капіталом від зміни
дохідних активів
Розглянемо
поведінку досліджуваного коефіцієнта при незмінному значенні капіталу і
недохідних активів та варіації дохідних активів. За досліджуваний період часу (2005-2008
роки) дохідні активи банку змінювалися від 2 497 658 105,71 і до 12 396 187 165,61
гривень. Побудуємо графік (рис. 3.13), на якому зобразимо коефіцієнт
захищеності дохідних активів власним капіталом в динаміці в залежності від
росту дохідних активів.
Рисунок 3.13 - Залежність коефіцієнта захищеності
дохідних активів власним капіталом від росту дохідних активів
З рисунка можна
зробити висновок про те, що коефіцієнт має ріст в грошовому значенні дохідних
активів від 8 469 582 021,83 і до 9 609 239 557,89 грн. Таким чином, указаний
грошовий інтервал являється критичним значенням дохідних активів, тому що менші
числові значення призводять до росту коефіцієнта захищеності дохідних активів
власним капіталом, а більші – к його падінню. Значить, для досягнення абсолютної
стійкості банка за цим показником
необхідне зменшення дохідних активів.
г) дослідження
зміни коефіцієнта захищеності дохідних активів власним капіталом від зміни
капіталу, дохідних та недохідних активів
Розглянемо
поведінку досліджуваного коефіцієнта при варіюванні значень капіталу дохідних
та недохідних активів. Як вже встановлено для росту коефіцієнта необхідне
зростання капіталу та зменшення недохідних і дохідних активів. Таким чином,
побудуємо графік (рис. 3.14), на якому зобразимо поведінку коефіцієнта при
збільшенні капіталу та зменшенні недохідних і дохідних активів від знайденого
критичного діапазону значень та припустимо невизначений часовий інтервал.
Рисунок 3.14 –
Моделювання коефіцієнта захищеності дохідних активів власним капіталом від
зміни капіталу, недохідних та дохідних активів
З отриманих
результатів робимо висновок про те, що за досліджуваним коефіцієнтом банк буде
мати абсолютну стійкість у випадку зростання капіталу та зниження дохідних і
недохідних активів на основі зросту коефіцієнта захищеності дохідних активів
власним капіталом.
8) Коефіцієнт мультиплікатора капіталу – співвідношення загальних активів
і засновницького (акціонерного) капіталу. Оптимальне співвідношення цього
показника 12,0 – 15,0 разів. Якщо розраховане значення менше норми, то ступінь
покриття активів акціонерним капіталом замала та необхідно, щоб темп зростання
акціонерного капіталу перевищував темп зростання активів, а якщо більше –
навпаки.
а) дослідження
зміни коефіцієнта мультиплікатора капіталу від зміни загальних активів
Розглянемо
поведінку досліджуваного коефіцієнта при незмінному значенні засновницького
(акціонерного) капіталу та варіації загальних активів. За досліджуваний період
часу (2005-2008 роки) загальні активи банку змінювалися від 3 610 522 710,02 і
до 16 692 673 778,10 гривень. Побудуємо графік (рис. 3.15), на якому зобразимо коефіцієнт мультиплікатора
капіталу в динаміці в залежності від росту загальних активів і червоний
(оптимальний) коридор.
Рисунок 3.15 - Залежність коефіцієнта
мультиплікатора капіталу від росту загальних активів
З рисунка можна
зробити висновок про те, що коефіцієнт знаходиться в нормі при числовому
значенні загальних активів від 10 323 838 576,79 і до 10 938 880 583,31 грн.
Таким чином, указаний грошовий інтервал являється критичним значенням загальних
активів, тому що менші числові значення призводять до зниження коефіцієнта
мультиплікатора капіталу, а більші – к його росту. Значить, для досягнення
абсолютної стійкості банка за цим показником необхідне зменшення загальних активів.
б) дослідження
зміни коефіцієнта мультиплікатора капіталу від зміни засновницького капіталу
В даному випадку
розглянемо поведінку досліджуваного коефіцієнта при незмінному значенні загальних
активів та варіації засновницького капіталу. За досліджуваний період часу (2005-2008
роки) акціонерний капітал банку змінювався від 140 000 000,00 до 700 000 000,00
гривень. Побудуємо графік (рис. 3.16), на якому зобразимо коефіцієнт мультиплікатора капіталу в динаміці в
залежності від росту засновницького капіталу, а також червоний (оптимальний)
коридор.
Рисунок 3.16 - Залежність коефіцієнта
мультиплікатора капіталу від росту засновницького капіталу
З рисунка можна
зробити висновок про те, що коефіцієнт знаходиться в нормі при числовому
значенні засновницького капіталу 700 000 000,00 грн. Таким чином, не має
можливості указати грошовий інтервал, тому що критичним значенням являється
максимальне число акціонерного капіталу, але більші числові значення призводять
до росту коефіцієнта мультиплікатора капіталу, а менші – к його падінню. Значить,
для досягнення абсолютної стійкості банка за цим показником необхідне зростання
засновницького капіталу.
в) дослідження
зміни коефіцієнта мультиплікатора капіталу і від одночасної зміни
засновницького капіталу та загальних активів
Розглянемо
поведінку досліджуваного коефіцієнта при варіюванні значень акціонерного
капіталу та загальних активів. Як вже встановлено для оптимального значення
коефіцієнта необхідне зростання засновницького капіталу та зменшення загальних
активів. Але для того щоб розрахований показник не просто зменшився, а попав в
указаний червоний коридор необхідно зафіксувати зменшенні значення загальних
активів. Таким чином, побудуємо графік (рис. 3.17), на якому зобразимо поведінку коефіцієнта при збільшенні
капіталу та зменшенні загальних активів від знайденого критичного діапазону
значень, припустимо невизначений часовий інтервал.
Рисунок 3.17 – Моделювання коефіцієнта
мультиплікатора капіталу від зміни засновницького капіталу та загальних активів
З отриманих
результатів робимо висновок про те, що за досліджуваним коефіцієнтом банк буде
мати абсолютну стійкість у випадку фіксованого значення капіталу 700 000 000,00
грн. та зміни загальних активів від 8 61 482 141,49 до 10 323 838 576,79, тому
що коефіцієнт мультиплікатора капіталу буде знаходитись в указаному червоному
(оптимальному) коридорі.
4 РОЗРОБКА
ІНФОРМАЦІЙНОЇ СИСТЕМИ
4.1
Інформаційне забезпечення
4.1.1 Загальна
характеристика інформаційного забезпечення
Інформаційне
забезпечення являє собою сукупність проектних рішень по обсягах, розміщенню,
формах організації інформації, що циркулює в автоматизованих інформаційних
технологіях. Воно містить у собі сукупність показників, довідкових даних,
класифікаторів і кодифікаторів інформації, уніфіковані системи документації,
спеціально організовані для автоматичного обслуговування, масиви інформації на
відповідних носіях, а також персонал, що забезпечує надійність збереження,
своєчасність і якість технології обробки інформації [9].
Загальну
структуру інформаційного забезпечення ілюструє рисунок 4.1. Важливою складовою
інформаційного забезпечення є інформаційна база, що складається з
внутрімашинної і внемашинной інформаційної бази.
Машинна
інформаційна база – частина інформаційної бази інформаційної системи, що являє
собою сукупність інформаційних файлів, що зберігаються в пам'яті ЕОМ і на
магнітних носіях.
Машинна
інформаційна база складається з інформаційних файлів, що можуть бути
організовані у виді окремих незалежних між собою, локальних інформаційних
файлів або у виді бази даних, тобто інтегрованої сукупності зв'язаних між собою
файлів, якими керує система керування базами даних (СУБД).
Файл – це
ідентифікована сукупність логічно зв'язаних між собою даних, що розташовані
поза програмою в зовнішній пам'яті і доступні програмі за допомогою спеціальних
операцій.
База даних (БД) –
це пойменована, структурована сукупність взаємозалежних даних, що
характеризують окрему предметну область і знаходяться під керуванням СУБД [5].
Основне функціональне призначення інформаційне забезпечення
системи - нагромадження всієї доступної інформації, що передує
і супроводжує біржовому процесові, а також генеруємої їм, і видача біржової
інформації або результатів аналізу біржового
процесу зовнішнім приймачам інформації фондового ринку.
Рисунок 4.1 –
Структура інформаційного забезпечення
На вибір СУБД
найбільший вплив робить узгодження ряду параметрів середовища реалізації і СУБД
[9].
Фактори, що
впливають на вибір СУБД:
§
трудомісткість
реалізації додатків;
§
вартість
експлуатації інформаційної системи;
§
можливість
з'єднання розробки БД із раніше виконаними програмними реалізаціями;
§
прогнозовані
терміни реалізації інформаційної системи;
§
витрати
на навчання персоналу.
Для контролю
інформації необхідно вирішити наступні задачі:
·
створити
"динамічну" модель предметної області системи (у якій відповідність
БД поточному станові предметної області забезпечується не періодично, а в
режимі реального часу);
·
забезпечити
ефективність функціонування, тобто забезпечити вимоги своєчасної реакції
системи на запити і відновлення БД;
·
забезпечити
централізоване збереження даних у пам'яті ЕОМ;
·
забезпечити
вибірку з інформаційних масивів даних відповідно заданим критеріям;
·
забезпечити
захист даних від некоректних відновлень, від руйнувань при збоях устаткування і
від несанкціонованого доступу.
Ці задачі можна
здійснити за допомогою створення єдиного сховища - бази даних і використання
засобів СУБД [22].
4.1.2
Організація збору і передачі первинної інформації
Збір інформації –
це підрахунок, зважування, вимір або інші варіанти визначення обсягів тієї або
іншої господарської операції. Реєстрація – це занесення зібраних зведень на
носій інформації.
Збір інформації
може виконуватися вручну, автоматизоване або автоматично. Реєстрація інформації
теж виконується в трьох варіантах: автоматичному, автоматизовано і вручну.
Ручна реєстрація
– це виписування первинних паперових документів, а автоматизована
(машинно-ручна) – це виписування первинного документа за допомогою технічного
пристосування, що дуже часто доповнюється рівнобіжним формуванням машинного
носія. У випадку автоматичного збору інформації вона найчастіше автоматично
реєструється [9].
Якщо операція
збирається і реєструється не в місці її обробки, то виникає потреба в її
передачі. Порядок передачі інформації на обробку залежить від типу носія
інформації і наявності технічних пристосувань, а також якості носіїв
інформації.
Перелік джерел і
носіїв інформації:
1.Баланс банку;
2. Масив основних
показників соціального та економічного стану України;
6. Масив основних
показників банку.
Первинна
інформація заноситься в автоматизовану інформаційну систему.
4.2
Організаційне забезпечення
Організаційне
забезпечення являє собою комплекс документів, що регламентують діяльність
персоналу АИТ в умовах функціонування АИС. У процесі рішення задач керування
даний вид забезпечення визначає взаємодія працівників управлінських служб і
персоналу АИТ з технічними засобами і між собою [22].
Документація по
розробленій інформаційній системі вміщає в собі інструкцію для користувача, а
також, а також інструкцію для адміністратора.
Довідник
користувача у виді інструкції має такі розділи:
1 Вступ.
2 Призначення й
умови використання.
3 Підготовка до
роботи.
4 Опис операцій.
5 Аварійні
ситуації.
Інструкція для користувача
1.
Дана система надає можливість розрахувати показники фінансової стійкості та з
допомогою моделювання зовнішнього середовища (основних показників економічного
та соціального стану України), показників фінансової стійкості та фінансової
стійкості розробити моделі, з використанням яких значити шляхи підвищення
ефективності фінансової діяльності ПриватБанку.
Система
функціонує на окремому комп'ютері чи локальній обчислювальній мережі. Мережа
поєднує комп'ютери, установлені на робочих місцях працівників структурних
підрозділів, що беруть участь у технологічних процесах діловиробничої
діяльності.
Уважно
прочитайте дану інструкцію перед тим, як приступати до роботи із системою.
Тільки в цьому випадку у Вас не виникне ніяких ускладненням з її використанням.
2. Інформаційна система
призначена для дослідження таких складних систем, як банківська на основі
синергетичного підходу. Використання такого виду підходу дозволяє провести
дослідження базових математичних моделей, які основані на припущеннях о
властивостях окремих елементів, які складають складну систему банка, та
взаємодій між ними.
Задача
вирішується на автоматизованому робочому місці бухгалтера і/чи економіста.
3. Попереднім етапом підготовки
до роботи в системі можна вважати установку даної системи на АРМ бухгалтера
і/чи економіста і її настроювання. Цю роботу повинні виконати співробітники, що
відповідають за експлуатацію електронно-обчислювальної техніки. На робочому
столі повинний бути створений ярлик з посиланням на інформаційну систему.
4. Для того щоб запустити ІС
відкрийте ярлик «...» на робочому столі.
Щоб почати роботу
натисніть кнопку <Вхід> на заставці.
Після цього Вам
буде запропонований вибір виконати:
§
доповнити
вихідні дані (макроекономічні показники, баланс банку, показники банку);
§
розрахунок
фінансової стійкості;
§
провести
моделювання:
o
зовнішнього
середовища;
o
показників
фінансової стійкості;
o
фінансової
стійкості.
Ви
натискаєте відповідну кнопку в залежності від того, що Вам потрібно виконати.
Далі у Вас
маються наступні можливості:
·
На підставі балансів банку та показників банку
відповідно зробити потрібні Вам розрахунки фінансової стійкості. Особливість
використання полягає в тому, що змінюючи дані балансу та показників банку Ви
автоматично одержуєте різні фінансові розрахунки. Таким чином, дана
інформаційна система дозволяє заощадити час і зусилля.
·
На листах «Моделювання зовнішнього середовища»:
Особливість
використання полягає в тому, що Ви можете розробляти двофакторні моделі впливу
зовнішнього середовища (обраних показників) на показники банку (активи, кошти
юридичних осіб, кошти фізичних осіб, кредити юридичних осіб та кредити фізичних
осіб відповідно на різних листах) та автоматично отримувати розрахунки показників
точності та адекватності отриманих моделей.
·
На листах «Моделювання показників фінансової
стійкості». Ця частина моделювання дозволяє виконати дослідження показників
фінансової стійкості на основі побудови для обраного коефіцієнта лінійної,
параболічної, гіперболічної та напівлогарифмічної моделі.
·
На листах «Моделювання фінансової стійкості». Цей
етап моделювання дозволяє визначити шляхи підвищення фінансової стійкості
банку.
І так далі, при
цьому в будь-який момент Ви можете повернутися в головне меню – натисканням
кнопки <Головне меню >.
Після того як Ви
закінчили роботу в системі і хочете вийти з неї, необхідно натиснути кнопку
<Заставка>, на даному листі вибрати <Вихід> і відповісти на
запитання «Зберегти зміни?». Якщо Ви упевнені в тому, що усе зробили правильно,
і Вам потрібно зберегти дану інформацію і розрахунки – потрібно натиснути
«ТАК». В іншому випадку – натиснути «Ні».
5. У випадку виникнення
яких-небудь неполадок у роботі із системою, варто звернутися до людини, яка
відповідає за експлуатацію електронно-обчислювальної техніки. Для того щоб
ефективно працювати в системі, необхідно ознайомитися з інструкцією по
користування системою.
4.3 Технічне
забезпечення
Технічне
забезпечення являє собою комплекс технічних засобів (технічні засоби збору,
реєстрації, передачі, обробки, відображення, розмноження інформації, оргтехніка
й ін.), що забезпечують роботу АИТ. Центральне місце серед усіх технічних
засобів займає ПЭВМ. Структурними елементами технічного забезпечення поряд з
технічними засобами є також методичні і керівні матеріали, технічна
документація й обслуговуючий цей технічний засоби персонал [5].
Для створення автоматизованої
інформаційної системи розрахунку фінансової стійкості банку, а після і для
моделювання впливу зовнішнього середовища, показників фінансової стійкості та
фінансової стійкості, установлена на АРМ комп'ютерна техніка повинна
відповідати таким мінімальним вимогам:
- процесор AMD Durоn XP;
- системна плата;
- оперативна пам'ять не менш 32
Мбайт;
- твердий диск (обсяг не менш 6
Гбайт);
- CD-ROM;
- клавіатура;
- маніпулятор “миша”;
- монітор;
- принтер;
- модем.
4.4 Програмне забезпечення
Програмне
забезпечення включає сукупність програм, що реалізують функцій і задачі АИТ і
комплексів, що забезпечують усталену роботу, технічних засобів. До складу
програмного забезпечення входять загальносистемні і спеціальні програми, а
також інструктивно – методичні матеріали по застосуванню засобів програмного
забезпечення і персонал, що займається його розробкою і супроводом на весь
період життєвого циклу АИТ [9].
Створення
комп'ютерних інформаційних систем, що допомагають обличчям, які приймають
рішення, є важливою й актуальною задачею. Такі системи повинні бути гнучкими,
уміти швидко пристосовуватися до умов, що змінюються, і надавати найбільш
оперативну і важливу інформацію. Здатність швидко обробляти вихідні дані й
одержувати корисну для бізнесу інформацію дає можливість прийняти краще
рішення, і це приводить, у кінцевому рахунку, до збільшення доходів. В банках
мається, як правило, безліч вихідних даних, але цінність цієї інформації
полягає не в її кількості, а в можливості вибирати з неї найбільш важливу, і
вчасно подавати цю інформацію обличчям, що приймають рішення. Слід зазначити,
що розробити досить універсальні додатки для цих цілей просто неможливо, тому
що потреби людей, що приймають рішення, постійно змінюються. Стає очевидним, що
використання таких могутніх засобів програмування як, наприклад С++ чи Delphi
не дає очікуваного ефекту через складність алгоритмів і великих термінів
розробки проектів, а ідеальний засіб інформаційних систем на базі ПК повинен
поєднати обчислювальні можливості електронних таблиць і сучасних візуальних
засобів розробки програм.
Microsoft
Excel є найбільш могутнім засобом розробки інформаційних систем, що сполучають
у собі переваги, як табличного процесора, так і засобів візуального
програмування - убудованої мови Visual Basic for Applications (VBA). За
допомогою VBA розроблювачі можуть поєднувати більш 100 об'єктів і близько 400
інших убудованих додатків (функцій, надбудов і т.п.), що дозволяє створювати
гнучкі і розвинуті інформаційні системи. В Ехсеl можна також поєднувати частини
систем, розроблені в інтерактивному режимі, і за допомогою програмного коду,
легко інтегрувати їх з іншими офісними додатками. Ехсеl може бути використаний
для будь-якої інформаційної системи, що містить аналіз даних, тому що включає
набір об'єктів обробки даних, що є найбільш передовим. В даний час на базі
інструментальних засобів Ехсеl уже створені тисячі інформаційних систем, що
успішно використовуються в усьому світі. З огляду на зазначені переваги варто
очікувати, що потреба в інформаційних системах, створених на основі Ехсеl і VBA,
значно зросте найближчим часом і усе більше число компаній прийдуть до розуміння
того, що використовуючи Ехсеl, вони зможуть створювати інформаційні системи з
меншими витратами часу і коштів.
Для даної
інформаційної системи на комп'ютері повинна бути встановлена операційна система
Windows 98 або більш пізні версії. Сама система повинна бути встановлена в
папку C:\Program Files\... На робочому столі системи повинний бути створений
ярлик, з посиланням на файл системи.
У даній
роботі пропонується новий простий у використанні варіант інформаційної системи
створений спеціально для розрахунку фінансової стійкості банку, а після і для
моделювання впливу зовнішнього середовища, показників фінансової стійкості та
фінансової стійкості. Рішення цієї виконувалося з застосуванням табличного
процесора Excel. Заставка та головне меню запропонованої інформаційної системи
представлений у додатку Г.
Інформаційна
система займає в Microsoft Excel вісімнадцять аркушів. На першому листі
створені три кнопки за допомогою редактора Visual Basic. Для цього необхідно
було зробити наступні операції:
1.
Додати панель
інструментів «Елементи керування».
2.
Ввійти в
режим конструктора.
3.
На панелі
інструментів вибрати значок кнопки і розтягти його в потрібному місці.
4.
У
властивостях об'єкта вказати назва кнопки.
5.
Перейти в
редактор Microsoft Visual Basic і записати макрос відповідному переходові з
даного листа, на необхідний.
6.
Вийти з
режиму конструктора.
Текст програм:
Private Sub
Avtor_Click() виводиться на екран інформація про UserForm1.Show автора у виді
інформаційного вікна.
End Sub
Private Sub
Vhod_Click() перехід на Лист1 шляхом натискання на
Лист1.Activate кнопку
End Sub
Усі кнопки
переходу з одного листа на інший створюються аналогічно приведеному прикладові.
Private Sub
Vihod_Click() вихід із системи з запитом на
ActiveWorkbook.Close
збереження
End Sub
Видалення лінійок прокручування, сітки і ярличків виконується
наступними командами, що впливають на робочу книгу і лист:
With Active Window
DisplayHorizontalScrollBar
= False лінійна горизонталь у книзі
DisplayVerticalScrollBar
= False лінійна вертикаль у книзі
DisplayWorkbookTabs
= False ярлик у книзі
DisplayGridlines
= False сітка листа
DisplayHeadings
= False заголовок рядків і стовпців
End With
Для створення
користувальницької форми необхідно у редакторі VBA виконати команду Вставка/UserForm
(Insert/UserForm). На екрані з'явиться порожня користувальницька форма і Панель
інструментів, схожа на панель Елементи управління, вікно Властивості
містить властивості користувальницької форми і воно додається в список вікна
проекту.
Поміщати елементи
управління на користувальницьку форму можна щигликом миші по елементу і
перетаскуванням його у вікно користувальницької форми в потрібне місце. Для
зміни властивостей елемента управління необхідно його виділити й у вікні Властивості
виконати необхідні зміни властивостей. У будь-який момент форму можна відкрити,
натиснувши кнопку Запуск підпрограми/ UserForm на панелі інструментів.
Для відображення
форми з підпрограми VBA викликається метод Show користувальницької форми. У
приведеному прикладі форма UserForm1 відображена на екрані і перевіряється
натискання кнопок ОК за допомогою властивості Tag користувальницької форми.
Sub
Відображення_форми ()
UserForm1. Show
If UserForm1. Tag
= vbOK Then
MsgBox
"Натиснута кнопка ОК"
Else
MsgBox
"Натиснута кнопка Сховати"
End If
End Sub
Для закриття
користувальницької форми викликається метод Hide елемента управління. Тобто
форма може бути закрита за допомогою коду, зв'язаного з кнопкою на формі, що
містить виклик методу Hide. Для відображення модуля коду форми UserForm1
необхідно виділити її у вікні проекту і виконати команду Вид/Програма
(View/Code) або за допомогою подвійного щиглика мишею по модулю UserForm1,
або щиглика правою кнопкою на формі чи елементі управління.
5 ОХОРОНА
ПРАЦІ
Охорона праці – соціально – технічна наука, що виявляє і вивчає виробничі небезпеки і професійні шкідливості, розробляє методи їхнього запобігання або ослаблення з метою усунення нещасних випадків, професійних захворювань, аварій і пожеж [12].
Більшість професій банку жадає від його працівників значної розумової і нервово-емоційної напруги, великої напруги зорово-моторного аналізатора при різкому обмеженні рухової активності, змушеній робочій позі переважно сидячи.
У банку розроблені і діють усі необхідні нормативні акти про охорону праці (накази, положення, норми, правила, переліки, інструкції й ін.). Керівники, фахівці й інші працівники банку забезпечуються всіма необхідними нормативними актами про охорону праці.
Умови праці на робочих місцях і в приміщеннях банку в основному відповідають вимогам нормативних актів про охорону праці. Банк забезпечує дотримання прав працівників, гарантованих законодавством про охорону праці.
Для створення і підтримки нормальних, безпечних і нешкідливих умов праці в банку розробляються і реалізуються щорічно комплексні заходи щодо охорони праці. На заходи щодо охорони праці в Приватбанку витрачаються значні засоби:
§ навчання;
§ медогляди і лікувально-профілактичні заходи щодо їхніх результатів;
§ щеплення проти грипу;
§ створення необхідного мікроклімату в приміщеннях, рівня вентиляції, освітленості робочих місць;
§ реконструкції, планово-профілактичне обслуговування і ремонт приміщень, устаткування і засобів праці для забезпечення їхньої безпечної експлуатації;
§ забезпечення спецодягом і іншими засобами індивідуального захисту працівників, що виконують роботи підвищеної небезпеки;
§ забезпечення працівників питною водою й оздоровчими напоями, що відповідають санітарно-гігієнічним вимогам;
§ санітарна обробка приміщень;
§ перевезення працівників банку, що проживають у віддалених районах, на роботу і з роботи й ін.
У зв'язку з наявністю на робочих місцях різного роду і виду технічних пристроїв, пальних матеріалів, необхідністю виконання окремих робіт підвищеної небезпеки, працівники банку і їхніх керівників повинні знати і виконувати (дотримувати) норми, правила, вимоги безпеки, зазначені в нормативних актах про охорону праці і пожежної безпеки.
5.1 Загальні
вимоги безпеки
При придбанні і
введенні в експлуатацію комп'ютерної техніки необхідно дотримувати і виконувати
наступні вимоги:
- комп'ютерна
техніка, що здобувається, повинна відповідати вимогам діючих в Україні
стандартів, національних стандартів держав-виробників, "Правил охорони
праці при експлуатації електронно-обчислювальних машин (ДНАОП
0.00-1.31-99)" (п.3) і мати відповідні оцінки на корпусі, у паспорті або
іншій експлуатаційній документації;
- після
запровадження в дію "Правил охорони праці при експлуатації
електронно-обчислювальних машин (ДНАОП 0.00-1.31-99)" забороняється
використання нової комп'ютерної техніки, що підлягає обов'язкової сертифікації
в Україні, або в стандартах на яку утримуватися вимоги по забезпеченню безпеки
праці, життя і здоров'я людей, без наявності виданого у встановленому порядку
або визнаного в Україні відповідно до державної системи сертифікації Укрсепро
сертифіката, що засвідчує їхня відповідність обов'язковим вимогам;
- прийняття в
експлуатацію нової комп'ютерної техніки повинне здійснюватися тільки при
наявності в комплекті з нею паспорта, інструкції або іншій експлуатаційній документації,
переведеної на український (або також і росіянин) мова;
- відеотермінали,
комп'ютери, спеціальні периферійні пристрої ЕОМ, вітчизняні й імпортні, що
знаходяться на момент запровадження в дію "Правил охорони праці при
експлуатації електронно-обчислювальних машин (ДНАОП 0.00-1.31-99)" і не
мають сертифікату, у плині 2-х років після запровадження в дію "Правил
охорони праці при експлуатації електронно-обчислювальних машин (ДНАОП
0.00-1.31-99)" повинні пройти оцінку (експертизу) їхньої безпеки і нешкідливості
для здоров'я людини, відповідності вимогам діючих в Україні стандартів і
нормативно-правових актів про охорону праці в організаціях (лабораторіях), що
мають дозвіл органів державного нагляду за охороною праці на проведення такої
роботи.
Облаштованість
робочих місць, обладнаних відеотерміналами, повинне забезпечувати:
- належні умови
висвітлення приміщення і робітника місця, відсутність відблисків;
- оптимальні
параметри мікроклімату (температура, відносна вологість, швидкість руху, рівень
іонізації повітря);
- належні
ергономічні характеристики основних елементів робочого місця;
а також
враховувати наступні небезпечні і шкідливі фактори:
- наявність шуму
і вібрації;
- м'яке
рентгенівське випромінювання;
- електромагнітне
випромінювання;
- ультрафіолетове
й інфрачервоне випромінювання;
- електростатичне
поле між екраном і оператором;
- наявність пилу,
озону, окислів азоту й аэроионизации.
Відеодисплейний
термінал на основі електронно-променевої трубки (ЭЛТ) є джерелом випромінювання
декількох визначених діапазонів електромагнітного спектра.
Реальна
інтенсивність випромінювання кожного діапазону, частота й інші параметри
залежать від технічної конструкції конкретного термінала, режимів роботи ВДТ,
екранування й інших факторів.
Рівень більшості
цих факторів не перевищує гранично припустимих значень і тому вплив
електромагнітних хвиль, статичної електрики, на користувача ВДТ найчастіше,
буває незначним.
Однак вплив
специфічного для ВДТ комплексу цих факторів може вплинути на здоров'я людини за
певних умов:
- тривалий вплив
цих факторів;
- безперервна
робота з відеотерміналом без дотримання встановлених регламентованих перерв з
урахуванням характеру роботи і эргономических вимог по організації робочого
місця;
- розміщення
відеотерміналів без обліку вимог безпеки;
- недостатність
вентиляції повітря, освітленості робочих місць;
- ослаблення
захисних можливостей імунної системи організму працівника;
- робота жінки з
відеотерміналом у період вагітності і годівлі дитини грудьми.
Найбільше
навантаження при роботі з відеотерміналом має зоровий аналізатор працівника.
Небезпека для
здоров'я представляють в основному старі моделі комп'ютерів з моніторами, у
яких не прийняті спеціальні міри для зниження потужності випромінювання,
передбачені стандартами безпеки. ВДТ випромінює не тільки в напрямку екрана.
Випромінювання з боку бічних і задніх стінок ВДТ значно сильніше і може
заподіяти шкода сусідньому працівникові.
Використання
лазерних і светодиодных принтерів приводить до виділення озону. Підвищена
концентрація озону може виявитися шкідливої для здоров'я.
У процесі роботи
ВДТ концентрація іонів у повітрі робочої зони користувачів перетерплює значні
зміни. Концентрація негативних іонів значно знижується, а концентрація
позитивно заряджених іонів зростає.
Порушення балансу
концентрації негативних і позитивних іонів може привести до несприятливих змін
в організмі людини, що впливає на серцево-судинну, кровотворну і вегетативну
нервову систему.
Для профілактики
несприятливого впливу комплексу факторів при роботі з відеотерміналами
необхідно дотримувати наступні міри безпеки:
- використовувати
в роботі відеотермінали і ПЭВМ, що має сертифікат (санітарно-гігієнічний
висновок) про відповідність стандартові України або міжнародних стандартів;
- використовувати
при необхідності захисні засоби - приэкранные фільтри, локальні світлофільтри
(засобу індивідуального захисту око) і інші міри захисту, що пройшли іспиту в
акредитованих лабораторіях і мають щорічний гігієнічний сертифікат;
- обмежувати
безперервну тривалість діяльності перед екраном з урахуванням характеру роботи
і періодичності регламентованих перерв;
- не розміщати
відеотермінали концентрированно в робочій зоні, застосовувати раціональне
розміщення робочих місць з обліком эргономических вимог;
- виключати ВДТ,
якщо на ньому не працюють, але знаходяться поруч з ним;
- для
нормалізації іонного складу повітря робочої зони використовувати примусову
вентиляцію, іонізатори;
- для виключення
виділення лазерним принтером озону варто застосовувати озонові фільтри;
- для запобігання
утворення значної напруженості полючи і захисту від статичної електрики
комп'ютер повинний бути надійно і якісно заземлений, у приміщеннях із ВДТ
необхідно використовувати нейтралізатори й увлажнители, а статі повинні мати
антистатичне покриття;
- уживати заходів
до зміцнення захисних можливостей імунної системи організму працівника, жінкам
у період вагітності і годівлі дитини грудьми утримуватися від роботи з ВДТ.
5.2 Вимоги до
приміщень, обладнаними робочими місцями з комп'ютерною технікою
При проектуванні,
реконструкції, обробці інтер'єра приміщень, у яких на робочих місцях
використовується комп'ютерна техніка повинні враховуватися і виконуватися
вимоги "Правил охорони праці при експлуатації електронно-обчислювальних
машин (ДНАОП 0.00-1.31-99)"( п.2); "Державних санітарних правил і
норм роботи з візуальними дисплейними терміналами електронно-обчислювальних
машин (Дсанпін 3.3.2.007-98)" (п.2.).
Не допускається
розташування приміщень для роботи з відеотерміналами (ВДТ) і
електронно-обчислювальними машинами (ЕОМ) у підвалах і цокольних поверхах.
Площа приміщень,
у яких розміщаються ВДТ, визначають з розрахунку не менш 6,0 кв. м площі і 20,0
куб. м обсягу на одне робоче місце.
Заземлені
конструкції, що знаходяться в приміщеннях (батареї опалення, водопровідні
труби, кабелі з заземленим відкритим екраном і т.п.), повинні бути надійно
захищені діелектричними щитками або сітками від випадкового дотику.
Стіни, стеля,
стать приміщень, у яких розміщається комп'ютерна техніка, повинні бути
виготовлені з матеріалів, дозволених для оформлення приміщень органами
державного санітарно-епідеміологічного нагляду.
Забороняється
застосовувати для обробки інтер'єра приміщень із ВДТ полімерні матеріали (ДСП,
що миються шпалера, рулонні синтетичні матеріали, паперові пластики і т.п.), що
виділяють у повітря шкідливі хімічні речовини.
У приміщеннях з
комп'ютерною технікою варто щодня робити вологе збирання, а також повинні
знаходитися медичні аптечки першої допомоги.
Для всіх
приміщень, у яких експлуатуються відеотермінали й ЕОМ, повинна бути визначена
категорія по пожежній небезпеці відповідно до ОНТП 24-86 "Визначення
категорій приміщень і будинків по вибухопожежної небезпеки" і клас зони
відповідно до ПУЭ. Відповідні позначення повинні бути нанесені на вхідні двері
приміщення.
Пожежею
називається неконтрольоване горіння поза спеціальним вогнищем, що наносить
матеріальний збиток. Горіння – це швидкоплинна хімічна реакція, як правило,
з'єднання речовин з киснем повітря, що супроводжується інтенсивним виділенням
теплоти і світла [12].
Приміщення з
комп'ютерною технікою повинні бути оснащені системою автоматичної пожежної
сигналізації і переносними вуглекислотними вогнегасників з розрахунку 2 шт. на
кожні 20 кв. м площі приміщення у відповідності вимогами нормативних актів про
пожежну безпеку. Підходи до засобів пожежогасіння повинні бути вільними.
Обслуговування,
ремонт і налагодження комп'ютерної техніки повинні виконуватися в окремому
приміщенні. При цьому робочі місця фахівців повинні бути оснащені спеціальним
устаткуванням і захисними засобами. Стать усієї зони обслуговування, ремонту і
налагодження комп'ютерної техніки повинний бути покритий діелектричними
ковдрами, термін використання яких після їхнього іспиту на електричну міцність
не минув, або закладений ізолюючими підстилками (шириною не менш 0,75-0,8 м)
для ніг.
5.3 Санітарно
- гігієнічні вимоги
Організація
раціонального висвітлення робочих місць – одне з основних питань охорони праці.
При незадовільному висвітленні різко знижується продуктивність праці, можливі
нещасні випадки, поява короткозорості, швидка стомлюваність.
Приміщення з
комп'ютерною технікою повинні мати природне і штучне висвітлення.
Природне
висвітлення характеризується тим, що створювана освітленість змінюється в
надзвичайно широких межах у залежності від часу дня, року, метеорологічних
факторів. Тому як нормовану величину для природного висвітлення прийнята
відносна величина – коефіцієнт природної освітленості (КЕО), що являє собою
виражене у відсотках відношення освітленості в даній крапці усередині приміщення
ЕВ до одночасного значення зовнішньої горизонтальної освітленості ЕН,
створюваної світлом цілком відкритого небозводу [12].
Таким чином,
природне світло повинне забезпечувати коефіцієнт природної освітленості (КЕО)
не нижче 1,5%. При виробничій необхідності допускається експлуатація ЕОМ у
приміщеннях без природного висвітлення за узгодженням з органами державного
нагляду за охороною праці й установами санітарно-епідеміологічної служби.
Вікна приміщень з
відеотерміналами повинні мати регулювальні пристрої для відкривання, а також
жалюзі, штори, зовнішні козирки і т.п.
Штучне
висвітлення передбачається у всіх виробничих і побутових приміщеннях, де
недостатньо природного світла, а також для висвітлення приміщень у нічний час.
Воно повинно бути обладнано системою загального рівномірного висвітлення. У
приміщеннях, де переважають роботи з документами, допускається застосування
системи комбінованого висвітлення (установка додатково до загального
висвітлення світильників місцевого висвітлення). Рівень освітленості на
робочому столі в зоні розміщення документів повинний бути в межах 300-500 лк. У
випадку неможливості забезпечити системою загального висвітлення даний рівень
освітленості допускається застосування світильників місцевого висвітлення; при
цьому не повинно бути відблисків на поверхні екрана і збільшення освітленості
екрана більш ніж 300 лк.
Як джерело світла
при штучному висвітленні повинні застосовуватися, як правило, люмінесцентні
лампи типу ЛБ. При устаткуванні відбитого світла можуть застосовуватися
металогалогенові лампи. У світильниках місцевого висвітлення допускається
застосування ламп накалювання. Система висвітлення приміщення (типи і види
світильників, порядок їхнього розміщення, яскравість і ін. її характеристики)
повинні відповідати вимогам "Правил охорони праці при експлуатації
електронно-обчислювальних машин (ДНАОП 0.00-1.31-99)".
Для забезпечення
нормативних значень освітленості необхідно очищати шибки і світильники не рідше
2 разів у рік і вчасно заміняти перегорілі лампи.
Рівні шуму в приміщеннях
і на робочих місцях осіб, що працюють з відеотерміналами й ЕОМ повинні
відповідати вимогам "Правил охорони праці при експлуатації
електронно-обчислювальних машин (ДНАОП 0.00-1.31-99)".
Шумом прийнято
називати всякий небажаний для людини звук, що заважає сприйняттю корисних
сигналів [12].
Для забезпечення
нормованих рівнів шуму застосовуються шумопоглинальні засоби (непальні або
трудногорючі спеціальні перфоровані плити, панелі, мінеральна вата, підвісні
стелі), дозволені органами санітарно-епідеміологічного нагляду для оформлення
приміщень і вибір яких улаштовується спеціальними інженерно-акустичними
розрахунками.
Приміщення з ЕОМ
повинні бути обладнані системою опалення, кондиціонування повітря або витяжною
вентиляцією відповідно до вимог "Правил охорони праці при експлуатації
електронно-обчислювальних машин (ДНАОП 0.00-1.31-99)".
Параметри
мікроклімату, іонного складу повітря на робочих місцях, оснащених
відеотерміналами повинні відповідати вимогам "Державних санітарних правил
і норм роботи з візуальними дисплейними терміналами електронно-обчислювальних
машин (Дсанпін 3.3.2.007-98)".
Нормовані
оптимальні параметри мікроклімату в приміщеннях із ВДТ і ПЭВМ:
- температура
повітря - у холодний час - 21-24 град., - у теплий час - 22-25 град.;
- відносна
вологість повітря - 40-60%;
- швидкість руху
повітря - 0,1-0,2 м/c.
Рівні іонізації
повітря приміщень при роботі на ВДТ і ПЭВМ (кількість негативних і позитивних
іонів у 1 куб див):
- мінімально
необхідний рівень - позитивних - 400, - негативних - 600;
- оптимальний
рівень - позитивних - 1500-3000, - негативних - 3000-5000;
- максимально
припустимий рівень - позитивних - 50000, - негативних - 50000.
Для підтримки
припустимих значень мікроклімату і концентрації позитивних і негативних іонів
необхідно передбачати установки або прилади зволоження і/або штучної іонізації,
кондиціонування повітря.
Рівні
електромагнітного, інфрачервоного, ультрафіолетового випромінювання, магнітних
полів, напруженість електростатичного поля, потужність експозиційної дози рентгенівського
випромінювання на робочих місцях, змісту озону в повітрі робочої зони не
повинні перевищувати припустимих значень відповідно до п.2.2.27-2.2.33
"Правил охорони праці при експлуатації електронно-обчислювальних машин
(ДНАОП 0.00-1.31-99)".
При проектуванні,
реконструкції, монтажі й експлуатації ліній електромережі, електроустаткування
й електричного висвітлення в приміщеннях з комп'ютерною технікою необхідно
дотримувати вимоги п.2.3 "Правил охорони праці при експлуатації
електронно-обчислювальних машин (ДНАОП 0.00-1.31-99)".
Лінія
електромережі для харчування комп'ютерної техніки виповнюється як окрема
групова трьохпровідна мережа, шляхом прокладання фазових, нульових робочих і
нульового захисного провідників.
Не допускається
підключення до одного контактного затиску нульових робочих і нульового
захисного провідників.
Штепсельні
з'єднання і електророзетки крім контактів фазового і нульового робітника
провідників повинні мати спеціальні контакти для підключення нульового
захисного провідника.
Неприпустиме
підключення комп'ютерної техніки до звичайної двопровідної електромережі.
Електророзетки
необхідно монтувати на непальних або важкогорючих пластинах.
Електромережа
штепсельних розеток для харчування комп'ютерної техніки прокладають по статі
уздовж стін приміщення або в каналах або під знімною статтю в металевих трубах
(або гнучких металевих рукавах). При цьому не допускається використання
проводів і кабелів в ізоляції з вулканізованої гуми й інших матеріалів, що
містять сірку.
Відкрита
прокладка кабелів під статтю забороняється.
Металеві труби і
гнучкі металеві рукави повинні бути заземлені.
При розташуванні
в приміщенні по його периметрі до 5 ПЭВМ допускається прокладка електромережі
без металевих труб і гнучких металевих рукавів при використанні кабелю в
оболонці з непального або важкогорючогоо матеріалу.
Неприпустимим є:
- експлуатація
кабелів і проводів з ушкодженої або ізоляцією, що втратила захисні властивості;
- залишення під
напругою кабелів і проводів з неізольованими провідниками;
- застосування
саморобних подовжувачів, нестандартного (саморобного) електронагрівального
устаткування або ламп накалювання для опалення приміщень;
- користування
ушкодженими розетками, вимикачами й іншими електровиробами, а також лампами,
стекло яких має сліди затемнення або здуття;
- використання
електроапаратури і приладів в умовах, що не відповідають указівкам
(рекомендаціям) підприємств-виготовлювачів.
5.4 Вимоги до
організації робочого місця користувача ПЭВМ
Організація
робочого місця користувача відеотермінала і ПЭВМ повинна забезпечувати
відповідність всіх елементів робочого місця і їхнє розташування ергономичним
вимогам, характерові й особливостям трудової діяльності у відповідності п.4.1
"Правил охорони праці при експлуатації електронно-обчислювальних машин (ДНАОП
0.00-1.31-99)".
Площа, виділена
для одного робочого місця з відеотерміналом або ПЭВМ, повинна складати не менш
6 кв.м, а обсяг не менш 20 куб.м.
При розміщенні
робочих місць з відеотерміналами і ПЭВМ необхідно випливати таким вимогам:
- робочі місця
повинні розміщатися на відстані не менш 1 м від стін з вікнами і таким чином,
щоб природне світло падало збоку, переважно ліворуч;
- відстань між
бічними поверхнями відеотерміналів повинна бути не менш 1,2 м;
- відстань між
тильною поверхнею одного відеотермінала й екраном іншого не повинне бути менше
2,5 м;
- прохід між
рядами робочих місць повинний бути не менш 1 м.
Конструкція
робочого місця користувача відеотермінала повинна забезпечувати підтримку
оптимальної робочої пози з такими ергономичними характеристиками:
- стопи ніг - на
статі або на підставці для ніг;
- стегна - у
горизонтальній площині;
- передпліччя -
вертикальні;
- лікті - під
кутом 70-90 град. до вертикальної площини;
- зап'ястя -
зігнуті під кутом не більш 20 град. до горизонтальної площини;
- нахил голови -
15-20 град. щодо вертикальної площини.
Якщо користування
відеотерміналом і ПЭВМ є основним видом діяльності, то зазначене устаткування
розміщається на основному робочому столі, як правило, з лівої сторони. Якщо
користування відеотерміналом і ПЭВМ є періодичним, то устаткування розміщається
на приставному столі, переважно з лівої сторони від основного робочого столу.
Кут між подовжніми осями столів повинний бути 90-140 град.
Робочий стіл,
стілець, крісло користувача ПЭВМ повинні забезпечувати користувачеві вільну
досяжність органів керування і достатній простір і зручність для роботи з
документами і клавіатурою. Розміри столу, що рекомендуються: висота - 725 мм,
ширина - 600 - 1400 мм, глибина - 800-1000 мм.
Робоче сидіння
(стілець, крісло) повинне мати наступні основні елементи: сидіння, спинку і
стаціонарні або знімні підлокітники і бути підйомно-поворотним, регульованим по
висоті, кутові нахилу сидіння і спинки, по відстані спинки від переднього краю
сидіння, по висоті підлокітників. Поверхня сидіння, спинки і підлокітників
повинна бути напівм'якої, з неслизьким, що неелектризується, повітронепроникним
покриттям і забезпечувати можливість чищення від бруду.
Екран
відеотермінала і клавіатура повинні розташовуватися на оптимальній відстані від
очей користувача, але не ближче 600 мм, з урахуванням розміру
алфавітно-цифрових знаків і символів.
Відстань від
екрана до очей працівника повинне складати:
- 600-700 мм -
при розмірі екрана по діагоналі - 35/38 див;
- 700-800 мм -
при розмірі екрана по діагоналі - 43 див;
- 800-900 мм -
при розмірі екрана по діагоналі - 48 див;
- 900-1000 мм -
при розмірі екрана по діагоналі - 53 див.
Розташування
екрана повинне забезпечувати зручність зорового спостереження у вертикальній
площині під кутом (+-) 30 град. від напрямку погляду працівника.
Клавіатуру варто
розміщати на поверхні столу або на спеціальної, регульованої по висоті, робочій
поверхні окремо від столу на відстані 100-300 мм об краї, найближчого до
працівника. Кут нахилу клавіатури повинний бути в межах 5-15 град.
Розміщення
принтера на робочому місці повинне забезпечувати гарну видимість екрана
відеотермінала і зручність ручного керування. Під матричні принтери варто
підкладати вібраційні коврики для гасіння шуму і вібрації.
Робоче місце з
відеотерміналом варто обладнати легко переміщуваним власником для документів.
Власник для документів повинний бути рухливим і установлюватися вертикально або
з нахилом на тім же рівні і відстані від очей користувача, що і відеотермінал.
При необхідності
високої концентрації уваги під час виконання робіт з високим рівнем
напруженості суміжні робочі місця з відеотерміналами і ПЭВМ необхідно
відокремлювати друг від друга перегородками висотою 1,5-2 м.
5.5 Вимоги
безпеки перед, під час та по закінченню роботи
Оглянути робоче
місце, забрати предмети і матеріали, невикористовувані в роботі.
Перевірити
зручність розміщення елементів робочого місця (стіл, стілець, крісло, додаткові
пристосування) і ПЭВМ (відеотермінал, принтер і ін.), достатність рівня
освітленості для виконуваної роботи і при необхідності підготувати робоче місце
відповідно до характеру й особливостями виконуваної роботи.
При наявності
відблисків на екрані монітора змінити його місце розташування або спосіб
висвітлення.
Перед включенням
ПЭВМ в електромережу зовнішнім оглядом переконається:
- у цілісності
всіх пристроїв, кабелів (проводів),
- у відсутності
видимих ушкоджень ізоляції проводів, розеток, качан,
- у відсутності
вологи на елементах усіх пристроїв.
Щодня перед
початком роботи необхідно проводити очищення екрана відеотермінала від пилу й
інших забруднень м'якою серветкою з натуральної тканини.
Після включення
ПЭВМ відрегулювати (при необхідності) яскравість, контрастність, інші
характеристики монітора і зайняти оптимальну робочу позу.
Постійне мерехтіння
екрана монітора не допускається.
У випадку
виявлення несправностей устаткування робочого місця негайно докласти про цьому
безпосередньому керівникові, а у випадку його відсутності іншому керівникові і
вжити заходів по виклику фахівця для усуненню виявлених несправностей.
Приступати до
роботи на несправному устаткуванні забороняється.
При організації праці, зв'язаного з використанням ПЭВМ і ВДТ, для
збереження здоров'я працюючих варто передбачати внутрізмінні регламентовані
перерви для відпочинку. Внутрізмінні режими праці і відпочинку повинні
передбачати додаткові короткі перерви в періоди, що передують появі об'єктивних
і суб'єктивних ознак стомлення і зниження працездатності.
При виконання
протягом дня, що відносяться до різних видів трудової діяльності ( за основну
роботу з ПЭВМ і ВДТ варто вважати таку, котра займає не менш 50% часу робочої
зміни) повинні передбачатися:
- перерви для
відпочинку і прийому їжі (обідні перерви);
- перерви для
відпочинку й особистих потреб (відповідно до трудових норм);
- додаткові
перерви, що вводяться для окремих професій з урахуванням особливостей трудової
діяльності. Час обідньої перерви встановлюється чинним законодавством і
Правилами внутрішнього трудового розпорядку банку.
Внутрішньозмінні
режими праці і відпочинку при роботі з ПЭВМ і ВДТ установлюються з урахуванням
характеру трудової діяльності, напруженості і вазі праці диференційовано для
кожної професії.
Залучення жінок
до робіт у нічний час не допускається за винятком випадків, обумовлених ст. 175
Кодексу законів про працю України.
Жінки з часу
установлення вагітності й у період годівлі дитини грудьми до виконання всіх
робіт, зв'язаних з використанням ПЭВМ не допускаються.
Режим праці і
відпочинку працюючих з ЕОМ визначається в залежності від виконуваної роботи
відповідно до п.5 "Державних санітарних правил і норм роботи з візуальними
дисплейними терміналами електронно-обчислювальних машин (Дсанпін
3.3.2.007-98)".
Установлюються
наступні внутрізмінні режими праці і відпочинку при 8 годинній денній робочій
зміні в залежності від характеру праці:
- для
інженерів-програмістів варто призначати регламентована перерва для відпочинку
тривалістю 15 хв. через щогодини роботи за ВДТ;
- для операторів
ПЭВМ - 15 хв. через кожні 2 години;
- для операторів
комп'ютерного набору - 10 хв. після кожної години роботи за ВДТ.
До якої
професійної групи відноситься працівник банку, робоче місце якого обладнано
ПЭВМ, визначає безпосередній керівник працівника.
В усіх випадках,
коли виробничі обставини не дозволяють застосувати регламентовані перерви для
відпочинку, тривалість безперервної роботи з ВДТ не повинна перевищувати 4
годин.
При 12-годинній
робочій зміні регламентовані перерви встановлюються в перші 8 годин роботи
аналогічно перервам при 8-годинній робочій зміні, а в плині 4-х годин роботи,
що залишилися, незалежно від характеру трудової діяльності, через щогодини
тривалістю 15 хв.
З метою зменшення
негативного впливу монотонності доцільне застосування чергування операцій
з'ясованого тексту і числова даних (зміна змісту роботи), уведення даних і
редагування текстів.
В окремих
випадках - при хронічних скаргах працюючих із ВДТ на зорове стомлення,
незважаючи на дотримання санітарно-гігієнічних вимог до режимів праці і
відпочинку, а також застосування локального захисту очей - допускається
індивідуальний підхід до обмеження часу роботи з ВДТ, зміни характеру праці,
чергування з іншими видами діяльності, не зв'язаних із ВДТ.
За умови високого
рівня напруженості робіт із ВДТ показана психофізіологічне розвантаження в
спеціально обладнаних приміщеннях (у кімнатах психологічного розвантаження) під
час регламентованих перерв або наприкінці робочого дня з використанням
елементів аутогеного тренування, мелодійної музики, що відповідає інтер'єра,
нескладних фізичних вправ зі словесним самонавіянням.
Якщо виробляється
психологічне розвантаження працівників, що виконують роботи з застосуванням
ПЭВМ, вона повинна вироблятися в спеціально обладнаних приміщеннях (кімнатах
психологічного розвантаження) під час регламентованих перерв або наприкінці
робочого дня - відповідно до методики проведення психофізіологічного
розвантаження.
Після закінчення роботи відеотермінал, ПЭВМ, і інше електроустаткування й
електроприлади повинні бути відключені від електричної мережі. Відключення
від електричної мережі виробляється відповідно до вказівок експлуатаційної
документації на ПЭВМ і інше електроустаткування й електроприлади.
ВИСНОВКИ
В
результаті виконання роботи для підвищення ефективності діяльності банку на
основі синергетичного підходу були вирішені слідуючи задачі:
§
зроблено
аналіз існуючих методів дослідження фінансової стійкості банку та методів
теорії синергетики;
§
розроблена
методика вивчення фінансового стану та стійкості банку, яка передбачає розробку
математичних моделей різних типів (лінійна, параболічна, гіперболічна,
напівлогарифмічна) і вибір оптимальних моделей по сукупності критеріїв якості і
надійності;
§
запропонована
методика комп’ютерного моделювання фінансової стійкості, яка передбачає
досягнення оптимального значення коефіцієнта на основі дослідження поведінки
коефіцієнта від почергової зміни його компонентів, а потім від одночасної їх
зміни;
§
проведений
аналіз показників зовнішнього середовища та на основі розрахунку коефіцієнтів
кореляції виявлені існуючи залежності між основними показниками банку та
соціально – економічними показниками України. Виявлено, що банківська система
має тісний зв’язок з такими показниками, як середньомісячна номінальна
заробітна плата населення, обсяг промислової продукції, грошові доходи
населення, виробництво товарів народного споживання та грошові витрати та
заощадження населення;
§
розроблені
двофакторні моделі впливу зовнішнього середовища на фінансову стабільність
банку. Для цього з п’яти обраних показників зовнішнього середовища були обрані
по два на кожний показник банку з найвищим рівнем тісноти зв’язку. В результаті
розрахунків отримали рівняння зв’язку, яке визначає залежність активів банку
(результативної ознаки) від обсягу промислової продукції та середньомісячної
номінальної заробітної плати (факторних) та має вид Х*=-286.66+0.82х1-14.35х2.
Для достовірності розраховані показники точності та адекватності. Аналогічно
розроблена двофакторна модель впливу обсягу промислової продукції та грошових
доходів населення на кошти юридичних осіб в банку - Х*=316,22+0,07х1+0,05х2.
Також моделі впливу обсягу промислової продукції та середньомісячної
номінальної заробітної плати на кошти фізичних осіб в банку - Х*=-3286,57+0,14х1+8,56х2,
на кредити юридичних осіб - Х*=-2670,01+0,17х1+9,00х2 та на кредити фізичних осіб - Х*=-2324,61+0,14х1+2,22х2;
§
виконано
економіко-математичне моделювання коефіцієнтів фінансової стійкості на основі
запропонованої методики. Отримані слідуючи результати: математична модель
динаміки зміни коефіцієнта надійності є лінійна (Х*=0,02*t+7,43), коефіцієнта фінансового
важеля – гіперболічна (Х*=14,83+5,02*(1/t)), коефіцієнта участі власного
капіталу у формуванні активів – лінійна (Х*=0,02*t+7,02), коефіцієнта захищеності
власного капіталу – гіперболічна - (Х*=0,61-0,32*(1/t)), коефіцієнта захищеності дохідних
активів власним капіталом – лінійна (Х*=0,03*t-1,34) та коефіцієнта мультиплікатора
капіталу – гіперболічна - (Х*=29,37+14,30*(1/t));
§
запропоновано
підвищення ефективності діяльності банку на основі представленої методики економіко-математичного
моделювання внутрішніх факторів. Було встановлено, що банк має нормальну
стійкість фінансового стану, яка гарантує його платоспроможність, але є
можливість промоделювати деякі показники, щоб вона набула абсолютної стійкості.
З отриманих результатів показників видно, що проводити моделювання коефіцієнта
надійності та фінансового важеля немає потреби. Моделювання коефіцієнта участі
власного капіталу у формуванні активів для досягнення оптимального значення було
проведене на основі дослідження поведінки коефіцієнта від почергової зміни його
компонентів (капіталу та загальних активів), а потім від одночасної їх зміни та
встановлено, що за досліджуваним коефіцієнтом банк буде мати абсолютну
стійкість у випадку зростання капіталу та зниження загальних активів, тобто
темп росту капіталу буде перевищувати темп росту загальних активів. Аналогічно,
за коефіцієнтом захищеності власного капіталу банк буде мати абсолютну
стійкість у випадку, якщо темп росту капіталізованих активів буде перевищувати
темп росту капіталу, за коефіцієнтом захищеності дохідних активів власним
капіталом – темп росту капіталу буде перевищувати темп росту дохідних та
недохідних активів, за коефіцієнтом мультиплікатора капіталу – у випадку
фіксованого значення капіталу 700 000 000,00 та зміни загальних активів від 861
482 141,49 до 10 323 838 576,79.
§
розроблена
інформаційна система, на основі якої легко виконувати розрахунки при подальшому
використанні запропонованих моделей та значити шляхи підвищення ефективності
фінансової діяльності ПриватБанку.
§
ЛІТЕРАТУРА
1.
Автоматизированные
информационные технологии в экономике: Учебник / Под ред. Г.А.Титаренко. –
М.:ЮНИТИ, 2000. – 400с.
2.
Аналіз банківської діяльності: Підручник / А.М. Герасимович, М.Д.
Алексеєнко, М. Парасій – Вергуненко та ін.; За ред. А.М. Герасимовича. – К.:
КНЕУ, 2003. -599 с.
3.
Арнольд
В.И. Теория катастроф. -3-е изд., доп. – М.: Наука. Гл. ред. физ. – мат. Лит.,
1990. – 128с.
4.
Батковський В.А. Рейтингова оцінка діяльності банків // Фінанси
України. – 2008. - №5. –С 145-150.
5. Береза А.М.
Інформаційні системи і технології в економіці: Навч. – метод. посібник для
самост. вивчення дисц. – К.:КНЕУ, 2002. – 80 с.
6. Васюренко О.В.
Банківські операції: Навчальний посібник. -3-тє вид., стер. – К.: т-во
„Знання”, КОО, 2002. 255с.
7.
Вашків П.Г. та ін. Статистика
підприємства: Навч. посібник / П.Г. Вашків, П. І. Пастер, В. П.. Сторожук, Є.І.
Ткач; за ред. П.Г. Вашківа, В. П. Сторожка. – К.: „Слобожанщина” 1999. -600 с.
8.
Вітлінський В.В. Моделювання економіки: Навч. посібник. – К.:КНЕУ,
2003. - 408с.
9.
Информационные
системы в экономике: Учебник / Под ред. В.В. Дика.
– М.: Финансы и статистика, 1996. – 272 с.
10.
Кірєєв С.О Застосування методологій теорії хаосу до моделювання та
прогнозування фінансових числових рядів // Финансовые риски. – 2005. -№4. – С
96-100.
11.
Климонтович Н.Ю. Без формул о синергетике. –Мн.: Выш. шк., 1986. -223с.
12.
Кобевник
В.Ф. Охрана труда. – К.: Выща шк., 1990. – 286 с., ил.
13.
Коваль С.Л. Формування фінансових ресурсів комерційних банків //
Фінанси України. -2008. -№7. – С 110-115.
14.
Ковбасюк М. Р.Економічний аналіз діяльності комерційних банків:
підприємств/ Навчальний посібник. –К.: видавничий дім „Скарби”, 2005. -336с.
15.
Кононенко
О.
Аналіз фінансової звітності. -2-ге вид., перероб. і доп. –Х.: Фактор, 2003.148
с.
16.
Котюков
В.И. Многофакторные кусочно – линейные модели. –М.: Финансы и статистика, 1984.
– 216 с., ил.
17.
Лешкевич
Т.Г. Философия науки: традиции и новации: Учебное пособие для вузов. М.:
«Издательство ПРИОР», 2005. – 428 с.
18.
Малыхин
В.И Математическое моделирование экономики: Учебно – практическое пособие. –М.:
Изд – во УРАО, 1998. -160 с.
19.
Методичні вказівки до виконання курсових робіт з дисципліни
„Інформаційний менеджмент” для студентів денної та заочної форм навчання зі
спеціальності 7.050102 „Економічна кібернетика”
20.
Постанова
Національного
банку України №368 від 28.08.01 „Про затвердження Інструкції про порядок
регулювання діяльності банків в Україні” // Офіційний вісник України № 40 від
19.10.01р.
21.
Пригожин
И., Стенгерс И. Порядок из хаоса: Новый диалог человека с природой/ Перевод с
англ. Ю.А. Данилова; Общ. ред. и послесл. В.И. Аршинова и др.. –М.: Прогресс,
1986. -431 с.: ил.
22.
Ситник В.Ф. Основи інформаційних систем: Навч.посібник вид. 2-ге
перероб. і доп. / В.Ф.Ситник, Т.А.Писаревська, Н.В. Єрьоміна, О.С.Краєва; За
ред. В.Ф.Ситника. – К.:КНЕУ, 2005. – 420 с.
23.
Стандарт вищого навчального закладу. Кваліфікаційні роботи
випускників. Загальні вимоги до дипломних проектів і дипломних робіт /
Упоряди.: В.О.Салов, О.М.Кузьменко, В.І.Прокопенко. – Дніпропетровськ: НГАУ
України, 2000. – 52 с.
24.
Сугаков В.И. Основи синергетики. –К.: Обереги, 2005. -287с.
25.
Сундук А., Юрін Я. Банківське кредитування як чинник гарантування
інвестиційної безпеки регіонів України //Вісник НБУ. -2008. -№1. – С 24-26.
26.
Теорія статистики: Навчальний посібник/ Вашків П.Г., Пастер П.І.,
Сторожук В.П., Ткач Є.І. – К.: Либідь, 2005. - 320 с.
27.
Хакен
Герман Синергетика /Перевод с англ. В.И. Емельянова; Под ред. и с предисл. Ю.Л.
Климонтовича, С.М. Осовца. –М.: Мир, 1980. -404 с., ил.
28.
Шеремет
А.Д., Сайфулин Р.С. Ненашев Е.В Методика финансового анализа. – 3-е изд.,
перераб. и доп. – М., 2002. 208 с.
Додаток А
„Розрахунок
фінансової стійкості ПриватБанку та графічне представлення показників”
Таблиця А1 -
Розрахунок коефіцієнтів фінансової стійкості ПриватБанку
|
Дата
|
01.01
|
02.01
|
03.01
|
04.01
|
05.01
|
06.01
|
07.01
|
08.01
|
09.01
|
|
Коефіцієнт надійності, %
|
8,41
|
4,62
|
4,50
|
4,52
|
4,94
|
4,53
|
4,25
|
4,57
|
3,90
|
|
Коефіцієнт фінансового важеля
|
11,89
|
21,64
|
22,24
|
22,12
|
20,23
|
22,06
|
23,53
|
21,89
|
25,67
|
|
Коефіцієнт участі власного капіталу у формуванні
активів, %
|
7,76
|
4,42
|
4,30
|
4,32
|
4,71
|
4,34
|
4,08
|
4,37
|
3,75
|
|
Коефіцієнт захищеності власного капіталу
|
0,44
|
0,44
|
0,44
|
0,44
|
0,44
|
0,44
|
0,46
|
0,47
|
0,49
|
|
Коефіцієнт захищеності дохідних активів власним
капіталом
|
-0,26
|
-1,35
|
-1,47
|
-1,55
|
-1,32
|
-1,51
|
-1,39
|
-1,31
|
-1,39
|
|
Коефіцієнт мультиплікатора капіталу
|
25,79
|
45,44
|
47,24
|
47,51
|
43,96
|
48,63
|
51,98
|
36,63
|
43,11
|
|
10.01
|
11.01
|
12.01
|
01.02
|
02.02
|
03.02
|
04.02
|
05.02
|
06.02
|
07.02
|
08.02
|
09.02
|
10.02
|
|
3,56
|
6,93
|
7,91
|
8,17
|
8,63
|
8,63
|
7,63
|
7,91
|
7,62
|
7,86
|
8,09
|
8,10
|
7,14
|
|
28,06
|
14,44
|
12,65
|
12,24
|
11,59
|
11,59
|
13,11
|
12,63
|
13,13
|
12,72
|
12,36
|
12,35
|
14,01
|
|
3,44
|
6,48
|
7,33
|
7,55
|
7,94
|
7,94
|
7,09
|
7,33
|
7,08
|
7,29
|
7,49
|
7,49
|
6,66
|
|
0,50
|
0,51
|
0,55
|
0,58
|
0,58
|
0,58
|
0,61
|
0,63
|
0,65
|
0,66
|
0,66
|
0,66
|
0,67
|
|
-1,63
|
-0,41
|
-0,18
|
-0,23
|
-0,20
|
-0,20
|
-0,22
|
-0,22
|
-0,22
|
-0,19
|
-0,19
|
-0,13
|
-0,15
|
|
48,81
|
26,12
|
23,12
|
26,39
|
25,21
|
25,21
|
28,78
|
28,50
|
29,72
|
30,06
|
29,49
|
29,74
|
33,88
|
|
11.02
|
12.02
|
01.03
|
02.03
|
03.03
|
04.03
|
05.03
|
06.03
|
07.03
|
08.03
|
09.03
|
10.03
|
11.03
|
|
|
7,43
|
7,64
|
9,52
|
9,42
|
8,98
|
8,28
|
8,35
|
8,26
|
7,50
|
7,21
|
6,91
|
6,05
|
6,31
|
|
|
13,45
|
13,09
|
10,51
|
10,61
|
11,14
|
12,08
|
11,97
|
12,11
|
13,33
|
13,87
|
14,46
|
16,53
|
15,84
|
|
|
6,92
|
7,10
|
8,69
|
8,61
|
8,24
|
7,65
|
7,71
|
7,63
|
6,98
|
6,72
|
6,47
|
5,71
|
5,94
|
|
|
0,67
|
0,68
|
0,59
|
0,59
|
0,59
|
0,59
|
0,60
|
0,61
|
0,61
|
0,61
|
0,61
|
0,63
|
0,63
|
|
|
-0,13
|
-0,17
|
-0,10
|
-0,07
|
-0,12
|
-0,09
|
-0,10
|
-0,12
|
-0,11
|
-0,15
|
-0,16
|
-0,24
|
-0,18
|
|
|
32,87
|
23,08
|
24,31
|
24,73
|
26,05
|
28,16
|
28,09
|
28,65
|
31,67
|
33,12
|
22,50
|
25,81
|
25,06
|
|
|
12.03
|
01.04
|
02.04
|
03.04
|
04.04
|
05.04
|
06.04
|
07.04
|
08.04
|
09.04
|
10.04
|
11.04
|
12.04
|
|
|
6,16
|
11,53
|
11,73
|
10,53
|
10,16
|
9,40
|
8,38
|
8,13
|
8,10
|
7,98
|
7,72
|
8,16
|
9,42
|
|
|
16,24
|
8,67
|
8,53
|
9,49
|
9,84
|
10,63
|
11,94
|
12,31
|
12,35
|
12,54
|
12,96
|
12,26
|
10,62
|
|
|
5,80
|
10,34
|
10,50
|
9,53
|
9,22
|
8,60
|
7,73
|
7,52
|
7,49
|
7,39
|
7,16
|
7,54
|
8,61
|
|
|
0,65
|
0,45
|
0,44
|
0,45
|
0,45
|
0,45
|
0,43
|
0,44
|
0,43
|
0,42
|
0,43
|
0,50
|
|
|
-0,18
|
-0,04
|
-0,06
|
-0,10
|
-0,05
|
-0,07
|
-0,06
|
-0,12
|
-0,22
|
-0,22
|
-0,26
|
-0,28
|
-0,17
|
|
|
27,35
|
13,99
|
14,12
|
15,32
|
15,90
|
17,14
|
18,10
|
20,95
|
21,35
|
22,55
|
23,85
|
22,68
|
22,67
|
|
|
|
|
|
|
|
|
|
|
|
|
|
|
|
|
|
|
|
|
|
|
|
|
|
|
|
|
|
|
Рисунок А1 –
Динаміка зміни коефіцієнта надійності
Рисунок А2 –
Динаміка зміна коефіцієнта фінансового важеля
Рисунок А3 –
Динаміка зміни коефіцієнта участі власного капіталу у формуванні активів
Рисунок А4 –
Динаміка зміни коефіцієнта захищеності власного капіталу
Рисунок А5 –
Динаміка зміни коефіцієнта захищеності дохідних активів власним капіталом
Рисунок А6 –
Динаміка зміни коефіцієнта мультиплікатора капіталу
Додаток Б
„Розрахунки
коефіцієнта кореляції між основними показниками ПриватБанку та показниками
соціального і економічного стану України”
Розрахунки
коефіцієнта кореляції між основними показниками ПриватБанку та показниками
соціального і економічного стану України розробляються по одній схемі, тому для
приклада приведемо розрахункову таблицю Б1, де х – грошові доходи населення, у
– кредити фізичних осіб.
Таблиця Б1 –
Розрахунок коефіцієнта кореляції між грошовим доходом населення та кредитами
фізичних осіб
Додаток В
„Розрахунки
двофакторних моделей впливу зовнішнього середовища на показники банку”
Таблиця В1 –
Розробка двофакторної моделі впливу обсягу промислової продукції (х1)
та ЗП (х2) на активи банку
Таблиця В2 -
Розробка двофакторної моделі впливу обсягу промислової продукції (х1)
та грошових доходів населення (х2) на кошти юридичних осіб
Таблиця В3 -
Розробка двофакторної моделі впливу обсягу промислової продукції (х1)
та ЗП (х2) на кошти фіз. осіб
Таблиця В4 -
Розробка двофакторної моделі впливу обсягу промислової продукції (х1)
та ЗП (х2) на кредити юридичних осіб
Таблиця В5 -
Розробка двофакторної моделі впливу обсягу промислової продукції (х1)
та ЗП (х2) на кредити фізичних осіб
Додаток Г
„Вид
інформаційної системи”
Рисунок Г1 –
Заставка інформаційної системи
Рисунок Г2 –
Головне меню інформаційної системи