Спрос на труд

  • Вид работы:
    Курсовая работа (т)
  • Предмет:
    Экономика отраслей
  • Язык:
    Русский
    ,
    Формат файла:
    MS Word
    383,83 kb
  • Опубликовано:
    2011-03-07
Вы можете узнать стоимость помощи в написании студенческой работы.
Помощь в написании работы, которую точно примут!

Спрос на труд

1. Простая модель спроса на труд


Спрос на труд определяется как количество труда, которое работодатели желают использовать в данный период времени за определенную ставку заработной платы.

Спрос на труд как на фактор производства является производным спросом: труд требуется для использования в производстве товаров и услуг, и решение об объеме используемого труда является обратной стороной решения об объеме производства блага.

Простая модель спроса на труд основана на следующих предпосылках.

1. Целевой функцией фирмы является максимизация прибыли.

2. Поведение фирмы описывается производственной функцией двухфакторного типа, факторы – труд и капитал.

3. Фирма действует на конкурентном рынке благ и на конкурентном рынке труда.

4. Издержки фирмы на труд состоят только из заработной платы работников.

В краткосрочном периоде фирма располагает фиксированным объемом капитала как фактора производства и принимает решение об объеме использования только одного фактора – труда. Производственную функцию можно представить как функцию только одного фактора производства – труда:

Q = f (L, K) или Q =f(L).

Прибыль фирмы равна: p = R – С, где R = Qp = f(L) p,

C = wL.

Из условия максимизации прибыли следует:

¶p/¶L = ¶Q/¶Lp – ¶С/¶L = MPL p – MCL = pMRL – w = 0.

MRPL = w – предельный денежный продукт труда равен предельным издержкам на труд (заработной плате).

Или MPL = w/p, т.е. максимум прибыли достигается, когда предельный продукт труда в натуральной форме равен реальной заработной плате. Если предельный продукт труда превышает реальную заработную плату (MPL>w/p), то работодателю выгодно продолжить наем работников до тех пор, пока они не сравняются. Если предельный продукт труда меньше реальной заработной платы (MPL<w/p), то работодателю выгодно уволить часть работников, т.е. сократить количество используемого труда до уровня, при котором предельный продукт будет равен предельным издержкам труда.

Рис. 2.1. Предельный продукт труда и кривая спроса на труд фирмы

Таким образом, объем нанимаемого труда в зависимости от заработной платы определяется через предельный продукт труда, а кривая спроса на труд в краткосрочном периоде равна кривой предельного продукта труда. На рис. 2.1. показана кривая предельного денежного продукта труда MRPL, которая получается умножением предельного физического продукта труда MPL при каждом данном объеме труда на постоянную цену продукта р (при условии конкурентного рынка благ). Кривая MRPL фактически является кривой спроса на труд, но кривая спроса на труд будет соответствовать только нисходящему сегменту кривой предельного продукта, что следует из условия второго порядка при максимизации прибыли (или, что то же самое, из условия убывающей предельной производительности факторов производства).

MPL р = w, или ¶Q/¶Lp = w,

отсюда

2Q/¶ L2p = w/¶L

2Q/¶L2 < О, что следует из условия второго порядка, цены положительны (р > 0), тогда ¶w/¶L < 0. Из этого следует, что функция спроса на труд – убывающая. В долгосрочном периоде и труд, и капитал – переменные производственные факторы (табл. 2.1). Решение об объеме используемых факторов исходит из относительных цен на факторы производства и используемой технологии.

Таблица 2.1. Переменные и постоянные факторы в различных по времени периодах производства

Период

Переменные факторы

Постоянные факторы

Краткосрочный

Труд

Капитал

Технология

Долгосрочный

Труд

Капитал

Технология

Очень долгосрочный

Труд

Капитал

Технология


Производственную функцию можно представить как:

Q = f (L, K).

Функцию издержек можно определить как:

С = wL + rK.

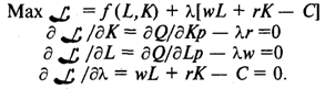
Решение об объеме спроса на труд, максимизирующем прибыль работодателя, может быть получено с помощью максимизации функции Лагранжа для задачи максимизации выпуска при заданных издержках:


Отсюда следует, что максимизирующее прибыль решение об объеме спроса на труд будет подчиняться условию:

 или  или

Таким образом, в долгосрочном периоде объем спроса на труд определяется условием равенства отношения предельного продукта труда к предельным издержкам труда и отношения предельного продукта капитала к предельным издержкам капитала.

На рис. 2.2 показаны линии изоквант производственных функций Q1, Q2, Q3, Q4, каждая из которых показывает все возможные комбинации К и L, необходимые для производства определенного количества продукта.

Изокванты выпуклы, так как труд и капитал могут замещать друг друга в процессе производства. Диагональные прямые, касательные к изоквантам, – изокосты – показывают фиксированную для каждого случая сумму С, которая может быть потрачена на приобретение факторов производства.

Рис. 2.2. Выбор оптимального соотношения труда и капитала при изменении объема выпуска

Предположим, что стоимость услуг капитала составляет r за единицу, а ставка заработной платы w. Если фирма использует все имеющиеся у нее ресурсы на приобретение капитала, она может купить C1/r единиц капитала. Если СI полностью потрачено на труд, можно купить C1/w человеко-часов. Величина наклона линии бюджетных ограничений составляет C1/r, деленное на C1 /w, или w/r. Так как изокосты отрицательно наклонены, то угол наклона равен – w/r.

Точка касания А показывает положение, минимизирующее издержки производителей в долгосрочном периоде. В этой точке они производят объем продукции Q1 используя наименее дорогую комбинацию факторов. В точке А касание изокосты и изокванты означает, что углы их наклона равны, или

MPL / MPK = w/r = MRTS,

где MRTS – предельная норма технического замещения, которая показывает, насколько сложно технически заменить один фактор производства другим.

Основной закон переменных пропорций для выбора двух факторов производства гласит: факторы будут использоваться так, что относительные объемы производства, добавляемые дополнительной единицей каждого фактора, пропорциональны их относительным стоимостям.

При неизменных ценах на факторы производства увеличение общей суммы издержек графически выразится в параллельных сдвигах вверх и вправо линий изокост. Каждая из этих изокост будет касательной только к одной изокванте. Точки касания изоквант и изокост показывают максимальный выпуск продукции при данном уровне затрат или минимальные издержки, необходимые для данного выпуска продукции. Линия, соединяющая все точки касания изокост и изоквант, показывает, как количество используемых факторов производства будет изменяться с изменением уровня выпуска фирмы. Эта кривая называется «путь развития фирмы» и представлена линией 0Х на рис. 2.2. Таким образом, путь развития фирмы показывает, как меняется спрос на труд в долгосрочном периоде при изменении объема выпуска продукта.

2. Эффект масштаба и эффект замещения в спросе на труд


Эффектом масштаба называется изменение в объеме нанимаемого труда в ответ на изменение объема выпуска продукции, вызванное изменением цен на факторы производства и соответственно изменением величины издержек производства.

Эффектом замещения называется изменение в объеме нанимаемого труда в ответ на изменение соотношения объемов используемых факторов производства, вызванное изменением цен на факторы производства.

При изменении заработной платы эффект масштаба и эффект замещения по отношению к спросу на труд действуют однонаправленно, при изменении цены на капитал – разнонаправленно.

На рис. 2.3 показано первоначальное равновесие в точке А, когда предельный денежный продукт труда и капитала соответствует ценам факторов w и r. Если цена труда снижается до w1, то в краткосрочном периоде фирма максимизирует прибыль, расширяя занятость при постоянном объеме капитала и перемещаясь вдоль линии К0К0, например, в точку В, где занятость равна L’, а новая более низкая заработная плата соответствует предельному денежному продукту труда.

В долгосрочном периоде ОХ представляет путь развития фирмы в соответствии с ценами факторов w1 и r. Если фирма минимизирует издержки, то она будет перемешаться в результате снижения цены труда вдоль изокванты Q1 до точки Y, где соответствующий путь развития и изокванта пересекаются. Движение вдоль изокванты Q1 между точками А и Y возникает потому, что данный уровень продукции может быть теперь произведен при минимальных издержках, если использовать большую долю более дешевого фактора - труда. Это движение отражает эффект замещения, так как представляет замещение капитала трудом, которое происходит в результате снижения цены труда относительно капитала, если фирма должна поддерживать первоначальный объем выпуска продукции. Поскольку изокванты выпуклы по своей природе, эффект замещения от снижения заработной платы должен всегда выражаться в увеличении найма работников. Как показано на рис. 2.3, эффект замещения от снижения заработной платы от w до w1 выражается в увеличении занятости от L до Ly.

Движение вдоль пути развития ОХ между Y и С определяется эффектом масштаба от изменения заработной платы. Он показывает, как увеличивается занятость на фирме, если цены на факторы остаются неизменными на новом уровне, а равновесный объем продукции возрастает в результате снижения заработной платы. Эффект масштаба от снижения заработной платы с w до w1 выражается в увеличении занятости с Ly до L’.

Точки Е и F на рис. 2.3 находятся на кривой долгосрочного спроса на труд фирмы, более эластичной, чем кривая краткосрочного спроса. В краткосрочном периоде эффект снижения заработной платы с w до w1 заключается в увеличении занятости с L до L’. В долгосрочном периоде фирма может увеличить использование капитала до нового оптимального уровня К’’ и занятость возрастет на величину (L’’ – L’).


На рис. 2.4 показано действие эффекта масштаба и эффекта замещения при увеличении заработной платы. Однонаправленное действие этих эффектов приведет к сокращению спроса на труд. При первоначальной заработной плате w0 и выпуске продукта Q0 использовалось K0 капитала и L0 труда, что определялось точкой касания E0 изокванты Q0 и изокосты с наклоном – w0 / r0. При увеличении заработной платы до w1 наклон изокосты составит – w1/ r0. Для того же самого объема выпуска соотношение используемых факторов будет определяться точкой касания новой изокосты и прежней изокванты ES. В результате изменения относительных цен факторов, т.е. в результате эффекта замещения, спрос на труд сократится до LS, размер эффекта замещения составит (L0 - LS).

Рис. 2.4. Эффект масштаба и эффект замещения при росте заработной платы

Помимо этого повышение заработной платы вызовет повышение издержек и сокращение выпуска продукта до Q1. В итоге объем используемых факторов будет определяться точкой E1, точкой касания изокванты Q1 и изокосты с наклоном – w1/r0. Эффект масштаба в этом случае выразится в сокращении спроса на труд с LS до L1. Совокупное действие эффекта масштаба и эффекта замещения выразится в сокращении спроса с L0 до L1.

Замещение одного фактора производства другим в результате изменения относительных цен факторов производства определяется эластичностью замещения s:


3. Спрос на труд отрасли и рынка


В случае, если фирмы конкурируют на одном рынке труда и на разных рынках благ, общий спрос на труд равен сумме спроса на труд отдельных фирм, DM = S Dj На рис 2.5 это показано суммированием по горизонтали кривых спроса D1 и D2 отдельных фирм.


В случае, если фирмы конкурируют на одном рынке труда и на одном рынке благ, т.е. образуют отрасль, то спрос такой отрасли на труд не равен сумме спроса на труд ее отдельных фирм. Фирма так мала по отношению к рынку, что изменения в ее выпуске не оказывают влияние на цену продукта, но в масштабах отрасли увеличение выпуска продукции приведет к снижению ее цены. Тогда (рис. 2.6) при снижении заработной платы от W1 к W2 каждая отдельная фирма увеличит объем используемого труда от L1 до L’2 и увеличит выпуск продукции, для отрасли в целом это приведет к увеличению общего выпуска и снижению цены на продукт, соответственно кривая предельного денежного продукта фирмы сдвинется влево от MRP1 к MRP2, и спрос отдельной фирмы на труд составит L2, а спрос отрасли на труд DM будет равен SL2. Кривая спроса на труд отрасли будет расположена круче, чем кривая спроса на труд фирмы. Разница в наклоне кривых будет зависеть от эластичности спроса по цене на продукт отрасли h.

 

4. Эластичность спроса на труд и законы производного спроса

Прямая эластичность спроса на труд по заработной плате определяется как относительное (процентное) изменение занятости определенного вида труда Li вызванное единичным относительным (однопроцентным) изменением заработной платы этого вида труда Wi:

e Di =% D Li /% D Wi или e Di = (¶ Li/ Li) / (¶Wi / Wi) = (¶Li /¶Wi) / (Wi / Li).

Поскольку спрос на труд – убывающая функция по заработной плате, то e Di <0.

Если |e Di| >1, то кривая спроса на труд эластична (на данном участке кривой), если |e Di| <1, то кривая спроса на труд неэластична (на данном участке кривой). Если e Di = – ∞, то спрос на труд совершенно эластичен, если e Di = 0, то спрос на труд совершенно неэластичен.

Изменение эластичности спроса на труд определяют четыре закона производного спроса Маршалла–Хикса. Они утверждают, что при прочих равных условиях прямая эластичность спроса на определенный вид труда по заработной плате тем выше, чем:

1) выше эластичность спроса по цене на производимый фирмой продукт;

2) легче заменить данный вид труда другими факторами производства;

3) выше эластичность предложения других факторов производства;

4) большую долю издержки на данный вид труда составляют в общих издержках производства.

Первый закон – эластичность спроса по цене на производимый фирмой продукт. Этот закон связан с характером спроса на труд как производного спроса и, следовательно с тем, что при прочих равных условиях количество применяемого труда зависит от объема продукта, на который предъявляется спрос на рынке продукта. Этот закон в большей степени относится к эффекту масштаба, чем к эффекту замещения. Сокращение заработной платы снижает издержки и цены и вызывает увеличение спроса на продукт. Чем более эластичен спрос на продукт при прочих равных условиях, тем больше будет дополнительный продукт, потребленный рынком при каждом данном снижении цены продукта. В этих обстоятельствах существует больший эффект масштаба и, следовательно, более существенный рост спроса на труд. Эластичность спроса на труд для фирмы будет выше, чем для отрасли в целом, и выше в долгосрочном периоде, чем в краткосрочном.

Второй закон – замещение труда другими факторами производства. Возможности замещения суммируются в наклонах изоквант, измеренных предельной нормой замещения факторов. Можно ожидать, что эластичность спроса на труд будет выше в долгосрочном периоде, чем в краткосрочном, потому что технические возможности замещения факторов более благоприятны именно в долгосрочном периоде. Долгосрочный период определяется как период, в течение которого может изменяться капитал. Это является предпосылкой для замещения труда капиталом. Однако существует экстремальный случай, когда есть только одна технически обусловленная возможность сочетания труда и капитала, когда предельная норма замещения факторов (соответственно и эластичность замещения) равна нулю. Такой случай называется производственной функцией с фиксированными коэффициентами, и в этой ситуации возможностей для замещения нет.

Третий закон – эластичность предложения других факторов производства. Если два фактора являются заменителями, то повышение ставки заработной платы порождает замещение труда капиталом при прочих равных условиях. Предположим, что эффект масштаба, снижающий объемы производства, незначителен, и эффект замещения снижает спрос на труд. Если предложение капитала в отрасли высокоэластично, то наблюдается эффект замещения. Если, наоборот, предложение капитала неэластично, тот же эффект замещения выражается в том, что изменения в наклоне изокосты будут не такими резкими.

Аналогичные аргументы применимы, когда производство расширяется. Любое замещение капитала трудом, вызванное снижением заработной платы, столкнется с противодействующим эффектом, обусловленным расширением производства.

Четвертый закон – доля издержек на труд в общих издержках производства. Этот закон не абсолютен, он требует одного уточнения, касающегося эластичности замещения факторов производства. В приведенной формулировке этот закон выполняется, если эластичность замещения факторов производства (s) меньше эластичности спроса на продукт (h), s<h. Если же эластичность замещения факторов производства (s) больше эластичности спроса на продукт (h), s>h, то ситуация обратная: чем выше доля издержек на труд в совокупных издержках, тем ниже эластичность спроса на труд. Другими словами, если замещение факторов для производителя может быть произведено легче, чем замещение продукта для потребителя, то большая доля в первоначальном сочетании факторов производства будет преимуществом для труда. В этом случае спрос на продукт и, следовательно, спрос на труд не сократятся намного при повышении цены продукта, а замещение факторов в производстве будет более сложным и дорогостоящим, если необходимо заменить большое количество труда.

Эффекты замещения и масштаба определяют эластичность спроса на труд в долгосрочном периоде:

eD = SKs + SLh,

где SK и SL – доли совокупной стоимости продукта, соответствующие вкладу капитала и труда;

s – эластичность замещения факторов;

h – эластичность спроса на продукт.

Для производственной функции с фиксированными объемами используемых факторов производства (т.е. когда эластичность замещения капитала трудом нулевая, s =0) удобно показать первый и четвертый законы алгебраически.

Для такой функции L = aY и К = bY.

Цена на производимое благо будет определяться в соответствии с фиксированными пропорциями использования факторов издержками на капитал и на труд: p = aw + br.

При росте заработной платы изменение цен будет равно:

¶p/¶w = a, отсюда ¶p/p= (aw)/p*¶w/w.

Если (aw)/p = VL – доля издержек на труд в общих издержках, то

¶р/p = VL*¶w/w.

Если h – эластичность спроса по цене на производимое благо и

h = (¶Y/Y) / (¶р/р), отсюда следует, что

¶Y/Y= h*(¶p/p)= h*VL*¶w/w.

Так как L = aY, то ¶/L = ¶Y/Y и

h*VL*¶w/w = ¶L/L,

(¶L/L) / (¶w/w) = h*VL,

(¶L/L) / (¶w/w) = eD – эластичность спроса на труд по заработной плате.

eD = h*VL, т.е. для производственной функции с фиксированными объемами используемых факторов производства, эластичность спроса на труд по заработной плате равна произведению доли издержек на труд в общих издержках и эластичности спроса по цене на производимое благо.

5. Спрос на труд и распределение бремени налога на заработную плату

труд товар эластичность масштаб

Эластичность спроса на труд важна при анализе проблемы распределения бремени налогов на заработную плату между работником и работодателем. Во многих странах отчисления в социальные фонды (пенсионный, медицинский, страхования по безработице и т.д.) производятся работодателем. Они рассчитываются как процент от выплаченной работникам заработной платы и принимают форму своеобразных целевых налогов на заработную плату. Тот факт, что такие налоги выплачиваются работодателем, создает впечатление, что все налоговое бремя ложится на него, а не на работника. На самом деле это бремя распределяется между работником и работодателем.

На рис. 2.7а кривые DL и SL изображают соответственно первоначальный спрос на труд и предложение труда до введения налога, W0 – равновесная заработная плата. После введения налога равного X, издержки работодателя возрастут, что вызовет сдвиг кривой спроса на труд влево до DL1 (кривая спроса сдвинется по вертикали вниз на величину налога А). Новая равновесная заработная плата будет W1, при этом занятость снизится с L0 до L1. Таким образом, для работников бремя налога на заработную плату будет состоять в снижении заработной платы на величину (W0 – W1). Эта величина меньше, чем величина налога, отрезок KG меньше отрезка NG. Налоговое бремя работодателя составит величину, равную разнице между величиной налога и величиной снижения заработной платы. На рис. 2.7а этому соответствует отрезок NK (или равный ему отрезок GZ). При данных кривых спроса и предложения налоговое бремя работников будет больше налогового бремени работодателя, отрезок NK меньше отрезка KG.

На рис. 2.7б изображена аналогичная ситуация, эластичность предложения труда SL, первоначальная заработная плата W0 и размер налога X такие же, как и на рис. 2.7а, но кривая спроса на труд D’L менее эластична. Введение налога также сдвинет кривую спроса влево до D’L1, новая равновесная заработная плата будет W’1, снижение заработной платы и соответственно налоговое бремя работников будут равны отрезку МР, а налоговое бремя работодателя – отрезку RM. Как видно из графиков, во втором случае налоговое бремя работников меньше, чем в первом, и меньше налогового бремени работодателя, отрезок МР меньше отрезка RM. Таким образом, чем ниже эластичность спроса на труд при данных характеристиках предложения труда, тем в большей степени бремя налога на заработную плату ляжет на работодателя по сравнению с работником.

Распределение налогового бремени на заработную плату между работниками и работотодателем зависит не только от эластичности спроса на труд, но и от характеристик предложения труда. На рис. 2.7 распределение налогового бремени показано при высокой положительной эластичности предложения труда. На рис. 2.8а показано распределение налогового бремени при совершенно неэластичном предложении труда SL1 (кривая спроса на труд DL, первоначальная заработная плата W0 и размер налога X такие же, как и на рис. 2.8а). При введении налога на заработную плату занятость не изменится, а заработная плата снизится до W’1. Величина налогового бремени работников равна величине, на которую снизится заработная плата, и одновременно величине налога X (отрезок АВ), а налоговое бремя работодателя равно нулю.


Таким образом, при снижении эластичности предложения труда налоговое бремя все в большей степени ложится на работников, а в случае совершенно неэластичного предложения труда налоговая нагрузка полностью приходится на работников.


На рис. 2.8б изображена ситуация, когда равновесие на рынке труда достигается на отрезке обратного изгиба кривой предложения труда с отрицательной эластичностью S’1L. В этом случае введение налога и сдвиг кривой спроса на труд до DL1 приведут не к снижению, а к увеличению занятости с L10 до L11 при снижении заработной платы до W11. Величина, на которую уменьшится заработная плата, будет большей, чем величина налога, отрезок CF больше отрезка СЕ.

6. Постоянные издержки и спрос на труд

Издержки на труд имеют сложную структуру и не состоят только из издержек на заработную плату (как предполагается в простой модели спроса на труд). Они включают также издержки на наем и отбор работников, издержки на обучение работников и издержки на предоставление дополнительных благ и льгот работникам (например, корпоративное медицинское и пенсионное страхование) и т.д. Эти виды издержек на труд не связаны с отработанным временем, а зависят от количества нанятых работников, поэтому в отличие от заработной платы, которую можно определить как переменные издержки на труд, они называются постоянными или квазипостоянными издержками на труд.

Выделяют два вида квазипостоянных издержек на труд. Первый вид – это издержки, связанные с движением рабочей силы и состоящие из издержек на наем и увольнение. Эти затраты зависят от числа вновь нанятых работников, уволившихся и уволенных, они разовые и их можно назвать единовременными постоянными издержками. Второй вид – текущие постоянные издержки. К ним относятся все выплаты, которые производятся на протяжении всего периода использования рабочей силы, и которые не связаны с отработанным рабочим временем. Например: издержки расчетов заработной платы; постоянное жалованье, не зависящее от отработанного времени; выплаты в социальные, медицинские, пенсионные фонды, также не зависящие от отработанного времени; затраты на дополнительное неденежное вознаграждение.

Объем труда как фактора производства L зависит от продолжительности рабочего времени Н (количество рабочих часов в день или в неделю или количество рабочих дней в году) и от количества нанятых работников N:

L = HN.

В краткосрочном периоде, при постоянном объеме используемого капитала, производственная функция фирмы может быть представлена как функция от двух производственных факторов: количества работников и продолжительности рабочего времени:

Q = f (N, H).

Таким образом, для работодателя существует необходимость оптимального выбора сочетаний используемого количества работников и продолжительности рабочего времени. Принятие работодателем решения в этой ситуации ничем не будет отличаться от ситуации, когда необходимо оптимизировать объем двух факторов производства в зависимости от их стоимости. Общее условие в этом случае – равенство отношения предельных издержек к предельному продукту одного фактора производства и отношения предельных издержек и предельного продукта другого фактора производства.

Для выбора, оптимизирующего количество работников и количество времени работы, это условие может быть представлено формулой:

MCN/ MPN = MCH / MPC или

MCN / MCH = MPN / MPH,

где MCN – предельные издержки увеличения количества работников;

MCH – предельные издержки увеличения времени работы;

MPN – предельный продукт при увеличении количества работников;

MPH – предельный продукт при увеличении времени работы.

В более общем виде модифицированная модель спроса на труд с учетом квазипостоянных издержек выглядит следующим образом. Предположим, что фирма планирует нанять работника на время, равное n, обозначим MRPt, его предельный денежный продукт за период времени t, где t = 0, 1,…, n. Текущую стоимость суммарного предельного денежного продукта за время n обозначим PVMRP. Тогда:

PVMRP=MRP0 + MRP1 / (1+r) + MRP2 / (1+r)2 + … + MRPn (1+r)n

или

PVMRP =

где r – ставка дисконтирования.


PVMC=(W0+ F0) + (W1+ F1) / (1+r) + (W2+ WF2) / (1+r)2 +… +

+ (Wn+ Fn) / (1+r)n + H + S / (1+r)n

или PVMC =


Для предельного работника PVMRP = PVMC. Из этого следует, что при существовании квазипостоянных издержек на труд текущая стоимость предельного денежного продукта труда превышает предельную стоимость потока заработной платы на дисконтированную величину Z,

где  сумма денег, необходимая для погашения инвестиций работодателя в работника.

Таким образом, из модифицированной модели спроса на труд с учетом ненулевых квазипостоянных издержек на труд следует, что даже при совершенной конкуренции на рынке труда в каждый период времени предельный денежный продукт труда превышает заработную плату.

На рис. 2.9 представлен спрос на труд с учетом квазипостоянных издержек. Кривая PVMRP отражает спрос на труд, исходя из предположения об убывающем предельном денежном продукте труда при увеличении количества работников. Если квазипостоянные издержки и заработная плата одинаковы

Рис. 2.9. Определение равновесного уровня занятости с учетом квазипостоянных издержек на труд

Для каждого потенциально нанятого работника, то кривая PVMC отражает текущую стоимость предельных издержек на труд, или совершенно эластичное

Рис. 2.10. Определение равновесного уровня занятости с учетом возрастающих квазипостоянных издержек на труд

Точка А – точка пересечения кривых PVMRP и PVMC, определяет оптимальный уровень занятости N* при равенстве текущей стоимости предельного денежного продукта труда и текущей стоимости предельных издержек на труд, включающих квазипостоянные и переменные издержки (PVMRP=PVMC). Квазипостоянные издержки могут быть не равны для каждого работника. Можно предположить, что, чем большее количество работников нанимается, тем больше ресурсов на одного работника требуется потратить на наем и отбор. Тогда предельные квазипостоянные издержки – возрастающая функция от количества работников. Кривая текущей стоимости предельных совокупных издержек на труд PVMC при увеличении количества работников будет все больше отклоняться от кривой текущей стоимости переменных издержек на труд (заработной платы) PVW. Рисунок 2.10 показывает, что в этом случае количество нанятых работников N*, определяемое по-прежнему равенством текущей стоимости предельных издержек и текущей стоимости предельного денежного продукта труда (PVMRP = PVMC), будет меньше, чем в случае равных для каждого работника квазипостоянных издержек на труд.

7. Спрос на различные виды труда


Простая модель спроса на труд предполагает существование двух факторов – капитала и труда. Однако труд нельзя рассматривать как однородный – работники различаются по профессиям, квалификации, полу, возрасту. Расширение модели спроса на труд предполагает наличие, по крайней мере, труда двух видов – квалифицированного и неквалифицированного.

Когда несколько видов труда являются факторами производства, нельзя говорить об одной эластичности спроса на труд в долгосрочном периоде. Работодатели по-разному реагируют на процентное изменение заработной платы различных групп работников. Спрос на труд работников, обладающих меньшим человеческим капиталом, более эластичен.

Спрос на один вид труда может изменяться под воздействием изменения цен на другой вид труда (или капитала). Эластичность спроса на j-й фактор с учетом цены фактора k есть процентное изменение спроса на j-й фактор, вызванное относительным изменением (однопроцентным) цены фактора k. Если оба фактора являются видами труда, то перекрестная эластичность спроса по заработной плате будет выражена формулами:

eDjk =% D Lj /% D Wk или eDjk = (¶Lj / Lj) / (¶Wk / Wk) и

eDkj =% D Lk /% D Wj или eDkj = (¶Lk / Lk) / (¶Wj / Wj).

Если перекрестная эластичность положительна, eDkj > 0 (с увеличением цены одного фактора увеличивается спрос на другой), то два фактора называются полными заменителями. Если перекрестная эластичность отрицательна, eDkj < О (увеличение цены одного фактора сокращает спрос на другой), эти факторы называются полными дополнителями.

Являются ли факторы j и k полными заменителями или полными дополнителями, зависит от соотношения абсолютных значений эффекта замещения и эффекта масштаба. Если цена фактора j повышается, то возникает эффект замещения, при котором спрос на фактор k возрастает. Одновременно может возникнуть эффект масштаба, который приведет к сокращению производства, а следовательно, и уменьшению спроса на фактор k.

Два вида ресурсов (например, два вида труда) могут также быть дополнителями или заменителями в производстве.

Если большее использование одного из них приводит к меньшему использованию другого при производстве данного объема продукта, то такие факторы производства являются заменителями в производстве. Заменители в производстве могут быть полными заменителями, если эффект замещения превышает эффект масштаба (рис. 2.11б), или полными дополнителями, если эффект масштаба превышает эффект замещения (рис. 2.11а).

Два вида ресурсов являются дополнителями в производстве, если при производстве продукта они используются в прямой пропорции по отношению друг к другу. В этом случае эффект замещения отсутствует, а есть только эффект масштаба, поэтому дополнители в производстве всегда являются полными дополнителями.


На рис. 2.12 показано решение работодателя о найме квалифицированного и неквалифицированного труда при изменении цены капитала. Первоначально оно определяется точкой А – точкой касания линии бюджетных ограничений CD и изокванты Q’1, соответствующей производству Q1 при первоначальной цене капитала.

Предположим, что в долгосрочном периоде цены на капитал возрастут. Тогда фирма будет применять меньше капитала, а для сохранения производства на уровне Q1 увеличит применение труда. При более высоких издержках на капитал изокванта Q’1 сдвигается вправо вверх (Q’’1). При неизменных ценах на квалифицированный и неквалифицированный труд фирма минимизирует издержки, производя Q1 в точке В. При этом наклон изокванты скорее всего изменится, как это показано на рис. 2.12, так как если цена капитала возрастает, фирма сократит спрос на квалифицированный труд и капитал и компенсирует это сокращение увеличением применения неквалифицированного труда. Капитал и квалифицированный труд выступают, как правило, дополнителями в производстве, они используются вместе, и когда меняется цена одного из этих факторов, фирма меняет спрос на оба в одном и том же направлении.


8. Спрос на труд и занятость на условиях неполного рабочего времени


На занятость на условиях неполного рабочего времени влияет не только предложение труда, но и спрос на труд. Труд работников, занятых на условиях полного рабочего времени, и труд работников, занятых на условиях неполного рабочего времени, можно рассматривать как два различных вида труда, используемых фирмой для производства благ. При прочих равных условиях неполная занятость будет возрастать относительно полной, если почасовые издержки на труд работников, занятых неполное время, меньше, чем на труд работников, занятых полное время, или, если квазипостоянные издержки на труд работников, занятых неполное рабочее время, меньше, чем у занятых полное время. Причины меньших издержек на труд при занятости на условиях неполного рабочего времени могут быть следующие: как правило, почасовая оплата и дополнительные выплаты у таких работников ниже, чем у занятых полное время, кроме того, работники, занятые неполное время, обычно не включаются в программы дополнительного социального страхования и не имеют право на выходное пособие.

На рис. 2.13 линия издержек на труд, изокоста (L0CL0p), показывает количество часов работы, обеспечиваемое при данном уровне расходов различными комбинациями неполной и полной занятости. Если труд на условиях неполного времени относительно дешевле, то кривая будет иметь более пологий наклон. Выбор конкретной комбинации работников, занятых полное и неполное время, зависит от относительных издержек на их труд и от их относительной производительности. Первоначальная относительная производительность работников, занятых полное и неполное время, отражена изоквантой Q0. Производительность работников, занятых полное и неполное время, может различаться по целому ряду причин. Во-первых, производительность занятых полное рабочее время может быть ниже из-за усталости, во-вторых, из-за того, что на некоторых работах требуется кратковременная концентрация внимания и энергии, в-третьих, когда спрос на продукт труда неустойчив, как это бывает в сфере индивидуальных услуг. С другой стороны, занятые неполное рабочее время менее производительны на тех работах, где требуется длительное наблюдение за производственным процессом для принятия решений по работе.

Полное рабочее время

Равновесие устанавливается, когда линия издержек на труд является касательной к наивысшей доступной изокванте, на рис 2.13 для первоначальной ситуации это показано точкой А. В этой точке отношение предельных издержек на труд занятых полное и неполное рабочее время равно отношению предельных продуктов их труда.

Рис. 2.13. Спрос на труд и выбор между занятостью на условиях полного и неполного рабочего времени

Если издержки на труд занятых полное рабочее время повышаются относительно издержек на труд занятых неполное время, то изокоста меняет свой наклон, образуя новую линию (L1cL0p). Тогда происходит перемещение из точки старого равновесия А в точку нового равновесия В, которая достигается при пересечении новой изокосты с изоквантой Q1, расположенной на более низком уровне. Относительное удешевление труда на условиях неполного рабочего времени ведет к сокращению спроса на труд на условиях полного рабочего времени от F0 до F1, в то время как спрос на труд на условиях неполного рабочего времени увеличивается от P0 до P1. Эффект замещения выражается в вытеснении полного труда и замене его неполным. Этому частично противостоит эффект масштаба, который сокращает спрос на оба вида труда. В результате относительная доля неполной занятости в случае, представленном на рис. 2.13, увеличивается. Для общего случая соотношение спроса на труд и, соответственно, занятости на условиях полного и неполного рабочего времени будет зависеть от соотношения эффектов замещения и масштаба.

9. Спрос на труд в неприбыльных отраслях

Простая модель спроса на труд включала предпосылку о том, что целевая функция фирмы – это максимизация прибыли. Для предприятий и организаций государственного сектора и некоммерческих организаций эта предпосылка не выполняется. Применима ли модель спроса на труд для этих организаций?

Предоставление государственных услуг требует издержек, объем этих услуг будет зависеть от бюджетных ограничений и затрат на единицу предоставляемой услуги. Решения, принимаемые представительным органом или органами государственного управления, образуют основу для спроса на государственных служащих. Принимающий решение сопоставляет объем предоставляемых услуг с затратами на финансирование этого количества услуг, которые возлагаются на налогоплательщиков, образуя бюджетные ограничения. При этом учитывается стоимость товаров и услуг, предоставляемых как частным, так и государственным сектором, и общий объем услуг, предлагаемых обществу.

Избиратели заинтересованы как в объеме получаемых ими общественных услуг, так и в количестве средств, остающихся им после оплаты этих услуг через налоги или платы за пользование. Таким образом, рост стоимости государственных услуг ведет к сокращению спроса на количество услуг (при прочих равных условиях) точно так же, как повышение цены на какой-то товар заставляет потребителя меньше покупать этот товар. Следовательно, увеличение заработной платы государственных служащих должно заставлять государственных работодателей сокращать спрос на них. То есть при прочих равных условиях спрос DO на государственных служащих LPS – это убывающая функция ставки их заработной платы W (рис. 2.14), несмотря на отсутствие допущения о максимизации прибыли.

Положение кривой спроса зависит от целого ряда факторов. Рост общих ресурсов, имеющихся в распоряжении общества и измеряемых, например, в виде либо душевого семейного дохода, либо трансфертов на каждую душу населения, сдвигает спрос на государственных служащих вправо к D1. Аналогичным образом факторы, увеличивающие потребность сообщества в получении общественных услуг, например рост численности населения школьного возраста, также сдвигают спрос вправо.


Поскольку спрос на услуги общественного сектора менее эластичен по цене, чем спрос на товары и услуги частного сектора, то кривая спроса на труд в общественном секторе, как правило, будет менее эластична, чем кривая спроса на труд в частном секторе.

10. Спрос на труд фирм с различной целевой функцией

Существует широкий круг альтернативных максимизации прибыли целевых функций фирмы. Рассмотрим две из них: максимизация полезности менеджера и максимизация доходов работников при самоуправлении.

Модель максимизации полезности менеджера. Менеджеры могут преследовать свои цели, отличные от максимизации прибыли фирмы и заключающиеся в максимизации своей полезности. В модели предполагается, что полезность менеджеров зависит от отчетных прибылей pr (компетентности менеджера), расходов на персонал, находящийся непосредственно в подчинении менеджера, S (власти менеджера).

Так как полезность менеджера зависит от прибыли, то он будет обеспечивать эффективное поведение фирмы в производстве.

Рисунок 2.15 показывает, что для каждого уровня расходов на персонал существует соответствующая максимальная кривая отчетной прибыли p*, которой может достичь фирма. Кривые безразличия менеджеров представлены uu0, uu1., показывающими выбор между отчетными прибылями и персоналом. Равновесное положение при максимизации полезности находится в точке касания кривой прибыли pr* и кривой безразличия uu*. Более высокие уровни полезности, такие, как uu1, недостижимы, а более низкие уровни, uu0, неоптимальны. При максимизации полезности избирается уровень персонала Su*, который связан с точкой, где предельная полезность отчетной прибыли равна предельной полезности дополнительного персонала.

При максимизации прибыли владелец-менеджер извлекает полезность только из отчетной прибыли, а не из персонала. В этом случае кривые безразличия расположены горизонтально и представлены up0, up1, up2, …, на рис. 2.15. Точка максимума полезности для владельца-менеджера в этом случае находится в Sp*, где up* является касательной к pr*. Из рисунка ясно, что при максимизации полезности будет, как правило, нанято больше персонала, чем при максимизации прибыли.

Следовательно, если профессионального менеджера заставляют максимизировать прибыли в точке е, он окажется на уровне полезности uu0< uu*. Аналогично, поскольку владелец-менеджер не извлекает полезности из найма персонала сверх необходимого для максимизации прибыли, он окажется на уровне полезности up0 в точке f если будет вынужден нанять Su*>Sp*.


Модель фирмы, управляемой работниками (или фирмы с самоуправлением). Так как работники являются одновременно собственниками фирмы, то в модели предполагается, что в краткосрочном периоде целевая функция фирмы – максимизация дохода на одного работника. Предположим также, что рабочая сила однородна, а доход или оплата труда одного работника W состоит из двух частей: заработной платы w и некоторой доли прибыли p/L:

W = w + p/L.

В краткосрочном периоде, когда фирма имеет один переменный фактор (труд) и один постоянный фактор (капитал), производственная функция может быть представлена в виде:

Y = f (L).

Тогда в модели необходимо определить уровень производства и занятости, позволяющие максимизировать доход работников,

- w - i / L,

где i – подлежащий выплате процент.

 = 0.

Отсюда получаем основное условие максимизации доходов работников:


Решение показано на рис. 2.16. Равновесие достигается при максимальном вертикальном расстоянии между кривой среднего дохода на одного работника R0 и кривой средних издержек на работника C0 при величине труда LW*, когда наклон R0 равен наклону C0.


Что произойдет с равновесным решением, если меняется ставка процента или цена на единицу продукта?

Изменение ставки процента отразится на издержках. Объем выпуска и занятости меняются в одном направлении с i (т.е. если i возрастает, то же происходит и с Y и L). На рис. 2.16 это показано сдвигом с равновесного уровня LW*, где вертикальное расстояние аа между кривыми дохода на одного работника R0 и средних издержек на одного работника C0 максимально, к новому равновесию LW1 и максимальному вертикальному расстоянию bb между R0 и C1. В условии максмизации доходов работников более высокому i соответствует увеличение L, сокращающее dY/dL быстрее, чем Y/L и увеличивающее разрыв (Y/L – dY/dL).

Изменение цены продукта отразится на доходе. Объем выпуска и величина труда меняются в противоположном направлении с ценой продукта р при одном переменном факторе (т.е. если р увеличивается, и Y и L сокращаются). На рис. 2.16 видно, что при повышении цены увеличивается наклон R при каждом уровне L (на ниспадающем участке кривой). Это вызывает движение от LW* к LW2, к новому максимальному разрыву ее между кривыми дохода R1 и издержек C0. Из условия максимизации дохода работников ясно, что увеличение р сокращает разрыв между средним и предельным продуктом труда, это происходит за счет сокращения фактора труда и возрастании dY/dL быстрее чем Y/L. Таким образом, в ситуации с одним переменным фактором кривая предложения продукта имеет обратный изгиб, который при определенных обстоятельствах может быть связан с неустойчивым рыночным равновесием. Опасность неустойчивости меньше в ситуации, где больше одного переменного фактора, поскольку вероятность неустойчивости зависит от доли труда в совокупных издержках.

Условие максимизации доходов работников может быть представлено как:


Т.е. средний (чистый) денежный продукт труда ARPL равен стоимости предельного натурального продукта.


Библиографический список

1.   Жизнин С.З., Крупнов В.И. Как стать бизнесменом. – Минск: Предприниматель, 2010. – 64 с.

3.   Калачева Л.Л. Условия труда. – Новосибирск: Наука, 2009. – 386 с.

4.   Калачева Л.Л. Условия труда: Методологические вопросы комплексного исследования. Новосибирск: Наука., 2008. – 286 с.

5.   Квалификационный справочник должностей руководителей, специалистов и служащих. Нормативно-производств. издание // Госкомтруда СССР, ВЦСПС. – М.: Экономика, 2010. – 272 с.

 


Не нашли материал для своей работы?
Поможем написать уникальную работу
Без плагиата!
Без нейросетей!