Способы и правила ценообразования. Ценовая эластичность спроса

  • Вид работы:
    Контрольная работа
  • Предмет:
    Экономика отраслей
  • Язык:
    Русский
    ,
    Формат файла:
    MS Word
    46,17 kb
  • Опубликовано:
    2011-03-05
Вы можете узнать стоимость помощи в написании студенческой работы.
Помощь в написании работы, которую точно примут!

Способы и правила ценообразования. Ценовая эластичность спроса

МИНИСТЕРСТВО ОБРАЗОВАНИЯ И НАУКИ РОССИЙСКОЙ ФЕДЕРАЦИИ

ФЕДЕРАЛЬНОЕ АГЕНТСТВО ПО ОБРАЗОВАНИЮ РФ

Государственное образовательное учреждение

Высшего профессионального образования

Кафедра «Финансов и кредита»


Контрольная работа

по дисциплине «Ценообразование»









Воронеж 2010

Содержание

1.   Ценовая эластичность

2.   Проблемы ценообразования на продукцию отраслей ТЭК

3.   Задача №17

Литература

1. Ценовая эластичность

ценовая эластичность спрос ценообразование

Цена, назначенная продавцом, так или иначе, отразится на уровне спроса на товар. Эта взаимосвязь объясняется двумя экономическими принципами (законом спроса и ценовой эластичностью спроса) и сегментацией рынка.

Ценовая эластичность спроса определяет чувствительность покупателей к изменениям в ценах с точки зрения объема товаров, которые они приобретают.

Ценовая эластичность спроса – это число, которое показывает, на сколько процентов изменится спрос при изменении цены на 1%.

Степень ценовой эластичности определяется с помощью коэффициента эластичности:

 - дуговой, где


 - общий.

В зависимости от величины коэффициента эластичности различают:

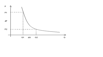
1) Эластичный спрос.

Имеет место в тех случаях, когда ценовая эластичность большее 1: небольшие изменения в ценах приводят к большим изменениям в размерах спроса. При этом общий доход возрастает, когда цены снижаются, и уменьшается, когда цены растут.

График 1


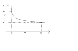
2) Неэластичный спрос.

Имеет место в тех случаях, когда ценовая эластичность меньше 1: ценовые изменения незначительно влияют на объем спроса. Общий доход возрастает, когда цены повышаются, и падает, когда цены снижаются.

График 2


3) Единичная эластичность.

Ценовая эластичность равна 1, когда изменения в ценах компенсируются изменениями в размере спроса, так что общий объем реализации остается постоянным.

График 3


4) Абсолютно эластичный спрос ().

Если при снижении (повышении) цены выручка от приобретаемой продукции уменьшается (увеличивается), то такой спрос называется абсолютно эластичным. График абсолютно эластичного спроса представляет собой прямую, параллельную оси абсцисс, отображающую количество товара.

График 4


5) Абсолютно неэластичный спрос.

Если при любом изменении цены количество товара, на которое предъявляется спрос, остается постоянным, то такой спрос называется абсолютно неэластичным, при этом при снижении (повышении) цены выручка уменьшается (увеличивается) (в данном случае ). График абсолютно неэластичного спроса представляет собой прямую, параллельную оси ординат, отображающую цену товара.


Наличие того или иного типа спроса основывается на двух критериях: доступности замен и важности потребности. Если потребитель считает, что существует множество аналогичных товаров и услуг, из которых можно сделать выбор, и нет срочности в совершении покупки, спрос является эластичным и значительно зависит от изменений в цене. Увеличение цен приведет к покупке заменителя или отложенной покупке. Снижение цен увеличит объем реализации, отвлечет покупателей от конкурентов или заставит их раньше совершить покупку. Высокоэластичной для многих потребителей является цена авиабилета при поездках на отдых.

В тех случаях, когда потребители считают, что предложения фирмы уникальны, или существует острая необходимость в совершении покупки, спрос неэластичен и изменения цены влияют на него незначительно. Ни увеличение, ни понижение цен не окажут существенного воздействия на спрос.

Приверженность к марке также создает неэластичный спрос, поскольку потребители рассматривают свою марку как отличительную и могут не соглашаться с заменой. Наконец чрезвычайные обстоятельства увеличивают неэластичность спроса. Потребитель со спущенной шиной заплатит больше за замену, чем потребитель, у которого есть время для поиска товара.

Необходимо отметить, что эластичность спроса меняется в зависимости от диапазона изменения цен для одного и того же товара или услуги. При очень высоких ценах продажа необходимых товаров падает. При очень низких ценах спрос невозможно стимулировать далее, поскольку рынок насыщается, и потребители начинают рассматривать уровень качества как низкий.

Спрос будет, скорее всего, менее эластичным, если потребители не сразу замечают повышение цен или медленно меняют свои покупательские привычки.

Знание проблем в сфере эластичности спроса позволит производителю принимать рациональные решения при производстве необходимой продукции и установлении оптимальных цен. Если маркетинговая служба предприятия (фирмы), подсчитав эластичность спроса, определила, что коэффициент эластичности больше 1, то можно давать руководству рекомендацию о повышении цены данного товара. Если коэффициент эластичности меньше 1, то цены лучше не повышать, поскольку выручка от реализации будет сокращаться. В данном случае целесообразнее рассматривать предложение о снижении цены, при этом выручка будет расти за счет увеличения спроса на товар. Единичная ценовая эластичность спроса не влияет на сумму общей выручки от реализации товара, и при изменении цены и реакции спроса следует учитывать воздействие других факторов и условий посредством финансово-экономических категорий и механизма формирования стоимости.

2. Проблемы ценообразования на продукцию отраслей ТЭК (топливно-энергетического комплекса)

Разразившимся летом 1999 г. в России энергетический кризис, охвативший практически всю страну, резкое и неоднократное повышение цен на бензин, начиная с мая 2002 г., снова показали, насколько шатко экономическое равновесие и непрочны результаты реформ в России. В очередной раз подтвердилось, что взаимоотношения государства и субъектов Федерации с ограниченным кругом компаний-монополистов, присваивающих ренту при добыче и экспорте полезных ископаемых, решающим образом влияют на бюджетообеспеченность страны и сохранение социальной стабильности в обществе.

Отечественный топливно-энергетический комплекс на ближайшую перспективу останется основной экономики страны, определяющей ее устойчивость. Здесь есть возможность не только вкладывать средства, но и получать прибыль. Вместе с тем появившаяся у предприятий в рыночных условиях хозяйствования свобода в выборе целей и средств их достижения порождает стохастическую внешнюю среду, при этом предприятие подвергается воздействию различных факторов неопределенность, приводящих к нарушению производственного процесса.

Как известно, нефть и газ дают России основную часть валютной выручки. Вот почему спад производства в ТЭК России за годы реформ составил гораздо меньшую величину, чем в целом по реальному сектору экономики.

Между тем расширение производства в ТЭК наталкивается на целый ряд сложных проблем.

1. Затраты на добычу энергоресурсов в России выше, чем в других странах, причем они весьма быстро растут. В нефтяной отрасли положение усугубляет ситуация, сложившаяся с ее основными фондами. Степень износа основных производственных фондов на конец 2000 г. составляла примерно 53%, а по отдельным компаниям достигла 70%. Из эксплуатационного фонда скважин на июнь 2000 г. почти 24% относились к разряду неработающих.

В такой ситуации рост добычи нефти происходит путем увеличения отдачи от действующих скважин на основе использования традиционных технологий. По оценкам специалистов, в ближайшие годы, в связи с ухудшением условий добычи, себестоимость нефти (без амортизационных затрат) может повыситься в среднем на $ 1 за баррель.

2. Разведанные запасы нефти и газа в России неуклонно сокращаются из-за отставания темпов разведки от темпов добычи. Если в ближайшее время существенно не увеличатся масштабы геологоразведочных работ, стране грозит энергетический голод. Но для разведки и освоения новых месторождений нефти и газа на Севере Сибири требуются огромные капитальные вложения (около $ 6-10 млрд.). Эти инвестиции можно осуществить лишь с помощью иностранных компаний, ибо в российский рынок зарубежных инвестиций наталкивается на ряд экономических т политических трудностей.

3. Запасы нефти на разрабатываемых месторождениях в настоящее время извлечены более чем на 50%. По крупным и уникальным месторождениям, таким, как Самотлорское, Федоровское, Мамонтовское, Ромашкинское и др. выработанность составляет от 65 до 90%. Практически все крупные месторождения находятся на завершающей стадии добычи. Более 50% запасов обеспечивают дебит скважин менее 10 т в сутки, тогда как рентабельны для ввода в разработку скважины, дебит нефти на которых превышает 20-30 т в сутки. В России запасов, способных обеспечить такой уровень добычи, не более 20%.

4. В связи с наращиванием геологических запасов углеводородного сырья в основных нефтедобывающих странах (государства ОПЕК, Венесуэла, Иран, Ирак и др.) и снижением обеспеченности запасами в России наша страна не сможет в ближайшие годы поддерживать свои позиции на мировом рынке энергоносителей.

5. Говоря о возможностях расширения экспорта нефти на мировой рынок, следует иметь в виду, что нефть, добытая на отечественных месторождениях, в частности западносибирских, отличается низким качеством из-за повышенного содержания серы, так что цены на нее всегда ниже, чем на арабскую нефть. Исключение составляет сахалинская и эвенкийская нефть. Последняя очень качественная и не требует глубокой переработки. Сахалинской нефти пока еще очень мало. Для увеличения ее добычи надо осваивать морской шельф, а эвенская нефть пока добывается в небольших количествах для местных нужд из-за слабой разведанности и большой удаленности (600 км) месторождений от транссибирской железнодорожной магистрали. Поэтому надежды получить адекватную валютную выручку от увеличения экспортных квот на нефть во многом зависят от возможности увеличения добычи нефти в новых районах и, прежде всего, сахалинского шельфа, что опять-таки связано с необходимостью резкого увеличения инвестиций в разведку новых месторождений и обустройство новых районов.

6. За годы реформ значительно сократились объемы потребления углеводородного сырья внутри страны, что вызвано не только ориентацией ТЭК на экспорт продукции и снижением объемов добычи этого сырья, но и тем, что при застойном состоянии промышленности потребность в энергоресурсах снижается.

Относительно благополучно положение России с запасами угля, но это топливо менее калорийно. К тому же многие шахты выработали свои запасы, технически слабо оснащены и подлежат закрытию. Массового закрытия шахт не произойдет по социальным соображениям, но шаги в этом направлении уже делаются. Однако уголь не сможет спасти страну от энергетического кризиса, ибо в ее топливно-энергетическом балансе он занимает скромное место (около 17%).

В условиях России реализация такой меры привела бы к реальному перекладыванию налогового бремени с населения и реального производственного сектора (путем введения экономически обоснованного необлагаемого минимума заработной платы и исключения из налогообложения промышленных прибылей, реинвестируемых обратно в процесс производства) на потребление энергоресурсов. Соответственно, это дало бы старт многим потенциально перспективным программам энергосбережения, что в значительной мере могло бы избавить страну от необходимости изыскивать дополнительные ресурсы для вложения в развитие энергетики.

Удержание внутренних цен на энергоносители на более низком уровне, чем аналогичные цены в США и Западной Европе, обычно обосновывается более низкой себестоимостью их производства. Однако более низкая себестоимость добычи, например, нефти и газа в сравнении с другими развитыми странами объясняется тем, что, во-первых, в России уровень заработной платы далеко отстает от уровня оплаты труда в этих странах; во-вторых, в издержках производства далеко не полностью отражаются амортизационные отчисления (российским компаниям существенно выгоднее «отмывать» свои доходы через экспорт продукции по заниженным ценам, чем накапливать амортизационные фонды, которые в условиях России не защищены ни от риска обесценивания рубля, ни от возможных притязаний криминала и властей различного уровня); в-третьих, в себестоимость добычи не включаются расходы на геологоразведочные работы и скидка на истощение недр, которые для западных компаний составляют весьма значительные суммы. Российские же предприятия не чувствуют необходимость делать такие отчисления, поскольку за них эти работы ранее провело государство и им результаты этих работ достались даром.

Если же полностью учесть все эти три фактора, то себестоимость производства в отраслях ТЭК в России окажется отнюдь не ниже, чем в любой их развитых стран мира (видимо, даже выше – если учесть особенности сурового климата). Таким образом, вывод один- внутренние цены на энергоносители в России ниже потому, что их производители тем или иным образом субсидируются/дотируются государством. Наши предприятия выступают и как фактор снижения среднемировых цен на энергоносители. В итоге от этого мы теряем больше, чем зарабатываем на увеличении объемов экспорта. Кроме того, сохранение низких, отстающих от мирового уровня, цен на энергоносители стимулирует формирование (и сохранение) отраслей структуры российского производственного потенциала (в ущерб освоению новых высокопроизводительных производств и технологий), и стимулирует экспорт сырых материалов или продуктов первого передела, препятствует внедрению эффективных энергосберегающих технологий в производственной сфере и в ЖКХ, дезориентирует рядовых потребителей, усиливает неравномерность и несправедливость в распределении доходов (от пониженных цен на энергоносители в значительн6о большей степени выигрывают получатели особо крупных доходов, чем малообеспеченные слои населения), поощряют развитие коррупции и ориентацию предпринимательской инициативы на спекулятивную деятельность и на откровенно мошеннические схемы – поскольку игра на разнице внутренних и мировых цен приносит быстрые и высокие прибыли, несравнимые с применением капитала в производственном секторе.

Рынок нефти и нефтепродуктов относится к рынку жесткого типа, т. е. характеризуется достаточно долговременным отсутствием альтернативных продуктов и, следовательно, не слишком большой эластичность спроса от цены. В условиях отсутствия альтернативы определяющую долгосрочную роль в ценообразовании на подобных рынках играют не издержки производства, а комплекс экономических и политических факторов, воздействующих в конечном счете как на краткосрочное, так и на долгосрочное соотношение спроса и предложения нефти. В условиях высокой цены в качестве такого регулирующего уровня выступают издержки наиболее худших условий производства или еще более высокие издержки альтернативных энергоресурсов, что порождает абсолютную и дифференциальную ренту. При низких ценах, в качестве регулирующих выступают издержки лучших условий. Средние и тем более худшие условия добычи нефти делают производство малорентабельным и даже убыточным, что требует либо исключения их из производства, любо компенсации их потерь теми или иными формами дотации.

К числу факторов, воздействующих на уровень цен нефтяных компаний, относятся, прежде всего, структура и динамика производства и издержек. Для отдельных кампаний наряду с этими факторами существуют и другие: особенности географического положения компании, доступность для нее зарубежных рынков, степень обеспеченности собственными запасами и т. д. Конечно, самообеспеченность оказывает существенное воздействие на уровень цен и норму прибыли нефтяных компаний. Однако основная роль этого фактора заключается не столько в достижении владеющими собственной сырой нефтью компаниями более высокого уровня нормы прибыли, сколько в обеспечении большей гарантии устойчивости ее динамики. При такой гарантии сохраняется устойчивое положение на рынке, ради которого компания может согласиться и с меньшей нормой прибыли.

3. Задача № 17

Себестоимость равна 200 руб.; приемлемая рентабельность составляет 20%; ставка акциза – 30%; торговая надбавка – 15%. Каков уровень розничной цены?

I Производство

II Розница

1) Себестоимость (полная) – 200 руб. Это затраты на производство и реализацию товара.

2) Прибыль. Норматив рентабельности, равен 20% (200*20% = 40руб.).

3) Ставка акциза – 30%. (200+40)*30% = 72 руб.

4) НДС - 18%. 18%*(200+40+72) = 56,16 руб.

5) Отпускная цена - сумма всех вышеперечисленных: 200+40+72+56,16 = 368,16 руб.

1) Калькуляционная цена (цена, приобретенная без НДС) – 312 руб.

2) Торговая надбавка (1. Прибыль; 2. Издержки обращения ) – 15%.

(15%*312) = 46,8 руб.

3) НДС – 18%. 18%*(312+46,8) = 64,58 руб.

4) Цена розничная. 312+46,8+64,58 = 423,38 руб.

5) Сумма НДС в бюджет. 64,58-56,16 = 8,42 руб.

2) Цена надбавки начисляется на цену приобретения без НДС.

3) Сумма в бюджет – разница между НДС.

Литература

1.   Цены и ценообразование: учеб. Пособие, Баздилин А.С., Юрайт –Издат, 2006

2.   Ценообразование: учеб. Пособие, Герасименко В. В., ИНФА-М, 2007

3.   Цены и ценообразование: Учебник – 4-е изд., Под ред. Есипова В.С., Питер, 2005

Размещено на

Похожие работы на - Способы и правила ценообразования. Ценовая эластичность спроса

 

Не нашли материал для своей работы?
Поможем написать уникальную работу
Без плагиата!
Без нейросетей!