Аналіз і оцінка інноваційної діяльності підприємства

  • Вид работы:
    Реферат
  • Предмет:
    Экономика отраслей
  • Язык:
    Русский
    ,
    Формат файла:
    MS Word
    85,55 kb
  • Опубликовано:
    2011-02-27
Вы можете узнать стоимость помощи в написании студенческой работы.
Помощь в написании работы, которую точно примут!

Аналіз і оцінка інноваційної діяльності підприємства

Міністерство освіти і науки України

Державний вищий навчальний заклад

«Київський національний економічний університет ім. Гетьмана»

Кафедра обліку в кредитних і бюджетних установах та економічного аналізу





Реферат

з наукової дисципліни

«Економічний аналіз»

на тему:

«Аналіз і оцінка інноваційної діяльності підприємства»

План

Вступ

1. Інноваційна діяльність підприємства

2. Оцінка та аналіз інноваційної діяльності підприємства

Висновки

Список використаних джерел

Вступ

В умовах сучасного розвитку ринкових відносин і посилення конкуренції усе більшого значення для розвитку країни та для успішної фінансово-господарської діяльності підприємств набуває інноваційний розвиток, який передбачає використання технологій та створення принципово нової продукції. Інновації та інноваційна діяльність є необхідною складовою процесу забезпечення успішного, довготривалого та стійкого функціонування підприємства, однією з фундаментальних складових ефективної стратегії та важливим інструментом забезпечення конкурентних переваг.

У наш час, потреба в активізації інноваційної діяльності, що розглядається як передумова економічного зростання, наштовхується на безсистемність процесу впровадження інноваційної продукції, їх комплексного використання, недосконалість, а подекуди і відсутність формалізованого апарату прийняття управлінських рішень і оцінки їх наслідків, невизначеність економічного механізму управління інноваційною діяльністю підприємств.

Розвиток теорії та практики організації, управління, фінансування, оцінки економічної ефективності інноваційних проектів досліджували у своїх працях вітчизняні та зарубіжні вчені: О. Кантаєва, О. Кузьмін, І. Макаренко, С. Покропивний, А. Пригожин, А. Савченко, Б. Санто, Б. Твісс, В. Терехов, П. Уайт Р. Фостер, М. Чумаченко, Й. Шумпетер, А. Яковлєв, та ін. Проте до теперішнього часу в економічній науці відсутнє чітке уявлення про інновації, не сформовано та не систематизовано об’єкти, методичні підходи та методичний інструментарій до вивчення аналізу інновацій як самостійного напряму досліджень. Таким чином, існує необхідність в систематизації вже існуючих напрацювань, подальшому вивченні інструментарію управління інноваційною діяльністю підприємств, і в першу чергу, аналізу ефективності інноваційної діяльності, як підґрунтя прийняття управлінських рішень.

Метою цієї роботи є обґрунтування і поглиблення теоретико-методичних підходів до аналізу інноваційних процесів та розробка практичних рекомендацій щодо формування аналітичного забезпечення як інформаційної системи управління інноваційною діяльністю підприємств; визначення мети аналізу ефективності інноваційної діяльності та послідовності його проведення; вивчення та доповнення переліку показників оцінки ефективності інноваційної діяльності підприємств з урахуванням вимог сьогодення.

1. Інноваційна діяльність підприємства

Інновації у наш час – одне із найскладніших явищ, яке визначає економічне зростання, розвиток і стійкість фінансово-господарської діяльності будь-якого підприємства. За своєю сутністю «інновація» є синонімом нововведення і дефініціюється як творчий процес у вигляді створення нових споживчих вартостей, застосування яких вимагає, щоби користувачі змінили звичайні стереотипи діяльності, навички. У більш широкому розумінні − це прогресивні техніко-технологічні, соціально-економічні зміни, нововведення у фінансовій, науково-дослідницькій та інших сферах, поява нових способів виробництва, видів продукції та послуг, освоєння нових ринків збуту, будь яке вдосконалення, яке забезпечує економію витрат або створює умови для такої економії. Тобто, інноваціями є кінцевий результат інтелектуальної діяльності  (науково-технологічних досліджень, науково-технологічних відкриттів і винаходів та наукових ідей) у вигляді нового об’єкта (системи, технології, обладнання, товарів і послуг) або у вигляді об’єкта, що якісно відрізняється від попереднього аналога.

Інновації поділяють на радикальні, тобто суттєві техніко-технологічні зміни, та інкрементальні − часткове оновлення техніки і технології.

Інновації передбачають не тільки створення нового (новації), а і його одночасну практичну реалізацію. Період від виникнення новації до її перетворення (використання) у нововведення називається життєвим циклом інновації. При цьому під новаціями необхідно розуміти результат наукової, науково-технічної, інтелектуальної діяльності. У зв'язку з цим у світовій практиці вирізняють науково-дослідну та науково-технічну діяльність, спрямовану на одержання та застосування нових знань, а також дослідно-конструкторські розробки. Такою діяльністю займаються академічні інститути, науково-дослідні організації, вищі навчальні заклади, наукові колективи, науково-дослідні підрозділи підприємств, лабораторії.

2. Оцінка та аналіз інноваційної діяльності підприємства

Методологічні основи аналізу інноваційної діяльності полягають в організації інформаційної системи, яка включає необхідний аналітичний інструментарій, методи та прийоми для проведення аналізу й оцінки інноваційних проектів з метою прийняття дієвих управлінських рішень щодо їх реалізації. Необхідність проведення оцінки ефективності інноваційної діяльності визначається багатогранністю і взаємозалежністю діяльності суб’єктів господарювання. Адже на сьогоднішній день методологія такої оцінки практично відсутня. Під оцінкою необхідно розуміти функцію управління, спрямовану на вивчення стану, тенденцій розвитку, об’єктивну оцінку результатів інноваційної діяльності та розробку на цій основі рекомендацій щодо подальшого підвищення рівня її ефективності.

Об’єктивною необхідністю такої оцінки є розробка збалансованої системи загального аналізу ефективності інноваційної діяльності та впливу на найважливіші показники діяльності підприємства, можливість та доцільність використання різних методів аналізу, для вивчення різноманітних аспектів інноваційної діяльності, визначення оптимальних варіантів реалізації нововведень, оперативне корегування параметрів інноваційних проектів та підтримка стратегічних інноваційних рішень.

Ефективний спосіб організації, збору та систематизації обліково-управлінської інформації для аналізу інноваційної діяльності, можливий за умови застосування на підприємстві додаткових регістрів управлінського обліку, таких як: картки та журналу обліку раціоналізаторських пропозицій працівників підприємства; листа опитування і журналу реєстрації результатів експертних оцінок з питань організації, наявності вузьких місць у процесі виробництва й обігу; журналу обліку щоденної кількості заявок на поточний ремонт технологічного устаткування.

Аналіз інновацій можна проводити за різними напрямками, оцінюючи як використання окремих видів економічних ресурсів, так і результати інноваційної діяльності в цілому. Вказані напрямки утворюють систему комплексного економічного аналізу інновацій, включаючи в себе, як мінімум, наступні розділи:

·   аналіз ефективності використання окремих видів ресурсів (трудові, матеріальні, ресурси устаткування та ін.);

·   аналіз витрат на здійснення інноваційної діяльності;

·   аналіз джерел фінансування нововведень;

·   аналіз та оцінка можливих напрямків розвитку, маркетинговий аналіз;

·   загальна оцінка ефективності інноваційних проектів та інноваційних сегментів;

·   аналіз ефективності інноваційної діяльності господарюючого суб’єкта загалом, оцінка перспектив подальшого розвитку.

Інноваційна діяльність господарюючого суб’єкта в цілому оцінюється експертним шляхом на основі інформації, отриманої господарюючим суб’єктом в процесі інноваційної діяльності.

Існує два варіанти збору необхідної інформації

·   вивчення внутрішньої документації;

·   письмове чи усне опитування (анкетування чи інтерв’ю).

Для аналізу оцінки ефективності інноваційної діяльності підприємства у закордонній практиці застосовуються наступні показники: чистий дисконтований дохід; внутрішня норма прибутку або коефіцієнт дисконтування; проста норма прибутку; проста норма прибутку на акціонерний капітал; коефіцієнт фінансової автономності проекту; коефіцієнт поточної ліквідності; строк окупності інвестицій, спрямованих на реалізацію інноваційного проекту.

Вказаний перелік показників лише частково характеризує ефективність інноваційної діяльності та потребує доповнень. Для детальнішої оцінки ефективності інноваційної діяльності до переліку показників варто внести, по-перше, коефіцієнт ефективності капіталовкладень підприємства в інноваційну діяльність (Ке.к. ін.д), оскільки він надасть можливість керівництву підприємства встановити, скільки отримано доходу від інноваційної продукції в розрахунку на одну гривню капіталу, спрямованого на здійснення інноваційної діяльності. Формула визначення даного коефіцієнту має наступний вигляд:


де Двід.ін.д. – доходи від інноваційної діяльності;

Він.д. – капіталовкладення на здійснення інноваційної діяльності.

По-друге, для оцінки ефективності інноваційної діяльності, доцільно використовувати показник частки прибутку від інноваційної діяльності в загальному обсязі прибутку підприємства. Цей показник дозволить зробити висновки щодо розвиненості та масштабів інноваційної діяльності на підприємстві.


По-третє, для більш повного аналізу інноваційної діяльності доцільно також вивчати грошовий потік від інноваційної діяльності як складову грошового потоку підприємства і на його основі розраховувати за наступною формулою коефіцієнт збалансованості грошових потоків,


де ГПвх.ін.д. – вхідний потік грошей від інноваційної діяльності;

ГПвих.ін.д. – вихідний потік грошей від інноваційної діяльності.

По-четверте, необхідним є використання показників результативності стадії проведення НДДКР, стадії впровадження інновацій та діяльності підприємства з погляду тривалості процесу розробки й впровадження інновацій.

Показник результативності стадії проведення НДДКР має наступний вид:


де Рнддкр. − результативність інноваційної діяльності на стадії проведення НДДКР;

Чеф. − число самостійно розроблених новацій, що відповідають вимогам економічної ефективності підприємства;

Чпр.еф. − число придбаних об'єктів інтелектуальної власності, що відповідають вимогам економічної ефективності промислового підприємства;

Чзаг. − загальне число новацій, як результат проведення НДДКР і придбання засобів інтелектуальної власності в зовнішньому середовищі промислового підприємства;

Чреал. − число об'єктів інтелектуальної власності результатів НДДКР реалізованих   у   зовнішньому   середовищі   промислового   підприємства   й    не використовуваних у діяльності промислового підприємства.

Показник результативності стадії впровадження інновацій має визначатися за формулою:


де Чвп.ін. − число впроваджених інновацій, що відповідають вимогам економічної ефективності підприємства;

Чроз.ін. − число розроблених інновацій, що відповідають вимогам економічної ефективності, за той же період часу.

Результативність діяльності підприємства з точки зору тривалості процесу розробки й впровадження інновацій може бути визначена за формулою:


де Тс.н. − суспільно необхідні витрати часу на розробку й використання інновацій;

Тф. − загальна тривалість циклу розробки й освоєння інновації.

Таким чином, у якості інтегрального показника, що характеризує ефективність інноваційної діяльності підприємства, може бути використаний коефіцієнт результативності інноваційної діяльності в цілому:


Відмінністю аналізу інноваційної діяльності від інших розділів економічного аналізу є те, що акцентувати увагу варто на попередньому аналізі та обґрунтуванні ефективних управлінських рішень.

Перспективний аналіз як продовження попереднього дозволяє зробити прогнозний розрахунок щодо показників діяльності підприємства в майбутньому (для цього використовуютьсь методи оцінки інвестицій). Проте аналіз поточної інвестиційної діяльності також має велике значення, оскільки забезпечує контроль за виконанням прийнятих рішень.

Дану модель, “витрати – доходи – ризик”, варто застосовувати для аналізу інноваційної діяльності, з метою забезпечення користувачів інструментарієм. Вона, на відміну від традиційних методів, що базуються на співвідношенні “витрати – доходи”, дозволяє інноваційним менеджерам оцінити ступінь дохідності і ризику та збалансувати їх на кожному етапі розподілу інвестицій в інноваційному проекті. Рівень ризику, вважаємо, слід визначати шляхом застосування коефіцієнтів, кожен з яких коефіцієнт залежить від виду й етапу впровадження інноваційного проекту та розраховується експертом. Залежно від стану проекту і методів управління його ризиками майже однакові проекти щодо дохідності будуть значно відрізнятись за рівнем ризику. Вибір ефективного інноваційного проекту здійснюється за допомогою використання “портфельного підходу”, суть якого полягає у виборі проекту з максимальним рівнем дохідності й мінімальним ризиком.

Особливе значення має розробка та використання методики об’єктивної оцінки інноваційної активності окремих господарських одиниць, з метою визначення їх рейтингової позиції в інноваційній діяльності. Ефективна методика оцінки інноваційної діяльності передусім включає комплексний аналіз інноваційних впроваджень.

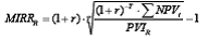
Для оцінки ефективності інноваційної діяльності господарюючого суб’єкта рекомендується використовувати показник модифікованої внутрішньої норми рентабельності (МІRR), який розраховується наступним чином:


де МІRR – модифікована норма рентабельності інноваційної діяльності господарюючого суб’єкта (в розрахунку на період t);

r – ставка дисконтування (в розрахунку на період t);

аT – середній часовий лаг між початком дослідження і початком проектів, виражених в періодах t;

ΣNPVi – сумма чистих поточних вартостей інноваційних проектів, розпочатих у звітний період;

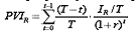
PVIR – поточна вартість витрат на дослідження і розробку за період T, яка розраховується за формулою:

інноваційний аналітичний інформаційний

Розрахована модифікована внутрішня норма рентабельності дозволяє оцінити ефективність інноваційної діяльності на рівні всього господарюючого суб’єкта. Отримане значення даного показника є зручним для сприйняття менеджерами, дозволяє проводити порівняльний аналіз різних періодів за ефективністю і оцінювати її шляхом порівняння MIRRR зі ставкою дисконтування r. Також оцінку ефективності інноваційної діяльності необхідно розглядати сумісно з оцінкою ефективності інноваційних проектів чи сегментів за той же період, який для зіставлення доцільно привести до показника модифікованої внутрішньої норми рентабельності (MIRR).

Показник модифікованої внутрішньої норми рентабельності дозволяє визначити рейтингову позицію конкретного господарюючого суб’єкта в сфері інноваційної діяльності галузі в цілому.

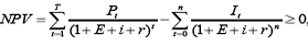
Для визначення ефективності впровадження інноваційного проекту варто застосовувати показник цінності капіталу (чистого дисконтованого доходу – NPV), який розраховується за такою формулою, що враховує рівень інфляції та ризику.


де Р – надходження;

І – виплати;

Е – ставка дисконту;

i –рівень інфляції в країні;

r – рівень ризику.

Розрахунок цінності капіталу застосовується як для оцінки окремих інвестиційних проектів, так і для порівняння окремих інвестиційних альтернатив.

Комплексний аналіз ефективності інноваційної діяльності господарюючого суб’єкта має містити в собі п’ять етапів аналізу, функціонально пов’язаних між собою.

Перший етап (попередній) – аналіз позиції та потенціалу підприємства, оцінка його стратегічного розвитку. Здійснюється аналіз конкурентних позицій, структури інноваційного потенціалу, виявлення ступеня використання внутрішніх інноваційних можливостей підприємства, оцінка рівня інноваційної активності підприємства.

Другий етап (перспективний аналіз) – аналіз можливих варіантів розвитку підприємства та визначення потреби в інноваціях і інвестиціях. Аналіз альтернатив інвестування.

Перший та другий етапи інтегровані в процес формування стратегічної політики підприємства на основі аналізу факторів внутрішнього та зовнішнього середовищ. На даних етапах проводиться аналіз можливих варіантів розвитку підприємства та визначаються його можливості, потреби в інвестиціях, здійснюється пошук можливих альтернатив інвестування. Одночасно із цим дається оцінка ролі власного капіталу у формуванні й розвитку інноваційного потенціалу. Далі аналізується вплив основних техніко-економічних факторів на зміну структури інноваційного потенціалу у звітному періоді порівняно з попереднім та виявляються внутрішньогосподарські резерви росту інноваційного потенціалу підприємства.

Третій етап (оперативний аналіз) – аналіз поточної інноваційної діяльності, аналіз витрат на інноваційну діяльність, аналіз результативності інноваційної діяльності, аналіз надійності підприємства. Розглянемо їх детально.

Аналіз поточної інноваційної діяльності, в процесі якого розраховуються показники ефективності поточної інноваційної діяльності: проста норма прибутку на акціонерний капітал, коефіцієнт поточної ліквідності, коефіцієнт використання витрат підприємства на інноваційну діяльність, коефіцієнт співвідношення придбаних та самостійно розроблених інновацій тощо та проводиться аналіз поточних витрат на НДДКР, придбання нематеріальних активів та основних засобів на основі динаміки зміни величини витрат на інноваційну діяльність і кількості інноваційних проектів, що перебувають у розробці підприємства, у звітному періоді в порівнянні з попереднім. Виявляється вплив основних факторів на зміну цих показників. Потім виявляються внутрішні резерви підвищення інноваційної активності підприємства.

Аналіз результативності інноваційної діяльності. На цьому етапі визначається результативність інноваційної діяльності підприємства за допомогою розрахунку відповідних показників (коефіцієнт збалансованості грошових потоків, показник частки прибутку від інноваційної діяльності в загальному обсязі прибутку підприємства та ін.). Аналізується динаміка показників порівняно із попередніми періодами, проводиться оцінка ефективності реалізованих підприємством інновацій і їх впливу на показники ефективності функціонування підприємства та водночас виявляються можливі резерви поліпшення цих показників.

Аналіз надійності підприємства, а саме фінансових результатів підприємства, деталізований аналіз за його підсистемами (у т. ч. інвестиційно-інноваційної підсистеми) та аналіз загальних вхідних, вихідних грошових потоків. Також здійснюється факторний аналіз впливу ефективності інноваційної діяльності на рівень надійності підприємства, на рівень його платоспроможності, рентабельності, ділової активності, ліквідності балансу тощо.

Четвертий етап – ретроспективний аналіз інноваційної діяльності та оцінки досягнення підприємством стратегічних цілей. Необхідний для формування інформаційної бази та створення передумов для стратегічного управління, містить оцінку кількісних та якісних показників, що відображають ефективність інноваційної діяльності підприємства.

П’ятий етап (заключний етап аналізу) – оцінка впливу інноваційної діяльності на фінансовий стан підприємства, його позиції на ринку. Здійснюється аналіз причин, які стримують інноваційний розвиток, що дозволить у подальшому розробити заходи для розвитку інноваційної діяльності, підводиться підсумок щодо здійснення підприємством інноваційної діяльності порівняно з попереднім періодом.

Висновки

В умовах трансформаційної економіки вирішальною умовою розвитку та стабільності підприємств є ефективність їх інноваційної діяльності. При цьому результативність інноваційної діяльності прямо залежить від того, наскільки точно проведено оцінку ефективності інновацій, наскільки адекватно визначено її методи, сформовано чітку стратегію та пріоритети розвитку інноваційної діяльності. Це дає можливість керівникам підприємств виявити як сильні, так і слабкі сторони цієї діяльності, та дозволяє приймати обґрунтовані раціональні управлінські рішення та ефективно керувати не тільки інноваційною діяльністю, але й забезпечувати успішний, довготривалий, стійкий розвиток підприємства в цілому.

Список використаних джерел

1. Геєць, В. Інноваційно-інвестиційна діяльність в Україні // стратегічні виклики ХХІ століття суспільству та економіці України. – Т.1: Економіка знань – модернізаційний проект України [Текст] / За ред. В.М. Гейця, В.П. Семиноженка, Б.Є. Кваснюка. – К.: Фенікс, 2007. –С. 285-302.

2. Денисюк, К.А. Інноваційна активність національної економіки: вдосконалення методології. Показники промислових підприємств, державна підтримка / К. А. Денисюк // Економіст. – 2005. – № 8. – С. 45-49.

3. Ендовицкий, Д. А. Организация контроля и анализа инновационной деятельности хозяйствующего субъекта [Текст] / Д. Ендовицкий, Н. Коменденко. – М. : Финансы и статистика, 2004. – 272 с.

4. Про інноваційну діяльність : закон України: від 4.07.2002 № 40-IV [Електронний ресурс]. – Режим доступу : http: // www.zakon.rada.gov.ua

5. Кантаєва, О. Удосконалення методики аналізу інноваційної діяльності для прийняття управлінських рішень [Текст] / О. Кантаєва, Є. Галушко // Бухгалтерський облік і аудит. – 2008. − №7. – С. 35-46.

6. Крылов, Э.И. Анализ эффективности и инновационной деятельности предприятия [Текст] / Э.И. Крылов, В.М.Власова, И.В. Журавкова. − М. : Финансы и статистика, 2003. – 602 с.

7. Левченко, Н.М. Аналіз інноваційної діяльності підприємств [Текст] / Н.М. Левченко, Д.К. Носенко // Вісник Хмельницького національного університету. – 2009. - №2, Т.1 – С.138-142.

8. Лысенко, Д.В. Комплексный экономический анализ хозяйственной деятельности [Текст] / Д.В. Лысенко. − М. : Инфра-М, 2007. – 320 с.

9. Яцков, В. Инновационный путь развития в условиях экономических реформ [Текст] / В. Яцков // Проблемы науки. − № 7. − 2002. − С. 240-246.

 

Похожие работы на - Аналіз і оцінка інноваційної діяльності підприємства

 

Не нашли материал для своей работы?
Поможем написать уникальную работу
Без плагиата!
Без нейросетей!