Організація і фінансування інвестицій

  • Вид работы:
    Курсовая работа (т)
  • Предмет:
    Экономика отраслей
  • Язык:
    Русский
    ,
    Формат файла:
    MS Word
    148,20 kb
  • Опубликовано:
    2011-01-21
Вы можете узнать стоимость помощи в написании студенческой работы.
Помощь в написании работы, которую точно примут!

Організація і фінансування інвестицій

Зміст

Вступ

1. Зміст і порядок проведення інвестиційних розрахунків при оцінці об'єкта вкладення засобів

1.1 Методи оцінки реальних інвестицій

1.2 Методи оцінки інвестицій у фінансові активи

2. Аналіз інвестиційних альтернатив

2.1 Визначення початкових параметрів інвестиційних альтернатив

2.2 Розрахунок аналітичних параметрів показників інвестиційних альтернатив

Висновки

Список використаних джерел

Вступ

Необхідність забезпечення стабільного економічного зростання, структурних зрушень у національній економіці висуває на перший план проблему генерування ресурсів та їх спрямування у реальний сектор. За умов низького інвестиційного потенціалу держави, недостатнього рівня розвитку фінансового ринку, обмежених можливостей підприємств самостійно фінансувати інвестиційні проекти роль банківської системи в активізації інвестиційної діяльності посилюється, адже банківський сектор розвивається динамічніше, ніж інші сектори економіки й залишається найбільшим сегментом фінансового ринку країни. Актуальними залишаються проблеми оптимізації кількісної структури банків, забезпечення стабільності і достатності ресурсної бази банків, створення спеціалізованих банківських установ, об’єднань, усунення територіальних диспропорцій на регіональному ринку кредитування реального сектору, які негативно впливають на розвиток банківського сектору, зокрема та структурну перебудову економіки загалом.

Здійснення оцінки прийнятності інвестиційних проектів пов’язане з певними труднощами, зумовленими змінами пріоритетів і концептуальних підходів щодо оцінки ефективності інвестиційних намірів позичальника, пов’язаної з визначенням прогнозних даних щодо ефективності роботи об’єкта в майбутньому. З позиції банку (коли банк кредитує інвестиційний проект, бере участь у його реалізації чи надає консультативні послуги) існує велика відповідальність за вибір інвестиційних проектів та високі вимоги щодо достовірності методів обґрунтування цього вибору та оцінки їх ефективності.

На жаль, проблемам розробки таких методів у нашій країні приділяється недостатня увага, що зумовлено помилковою точкою зору щодо бездоганності методик, які застосовуються у розвинутих країнах, та можливості їх безпроблемного копіювання в умовах України. Необхідно зазначити, що хоча методи оцінок інвестиційних проектів, умови їх застосування та вимоги щодо їх вихідної інформації визначені і відпрацьовані міжнародною практикою країн з розвинутою ринковою економікою, не потрібно розраховувати на їх універсальність і досконалість.

Причини такої оцінки полягають у складності моделювання динамічних фінансово-економічних процесів у сучасних умовах української економіки. Сучасний стан економіки характеризується важко прогнозованими темпами інфляції, змінами цінової структури, нестійкістю податкового законодавства і системи пільг. До того ж існує істотна розбіжність між фінансовою звітністю й оподаткуванням підприємств країн Західної Європи і США та відповідним законодавством України. Під час вибору методів оцінки інвестиційних проектів виникає низка питань: чи існують концептуальні розбіжності в методах добору і оцінки інвестиційних проектів на рівні держави, регіону і фірми; які при цьому можуть бути встановлені критерії ефективності інвестиційного проекту; які роль і місце соціальних факторів і як вони мають враховуватись під час реалізації інвестиційних проектів різного рівня. Вирішення поставлених питань багато в чому визначає вибір тієї чи іншої методології і конкретних методичних підходів до оцінки інвестиційних проектів.

Цілі роботи. Розглянути методи оцінки ефективності інвестицій, умови їх застосування та вимоги щодо їх вхідної інформації; принципи оцінки ефективності інвестицій; визначити підходи вітчизняних та зарубіжних фахівців щодо вибору показників оцінки інвестиційних рішень; охарактеризувати переваги та недоліки показників оцінки прийнятності інвестиційних проектів; розглянути методики визначення ефективності інвестиційних проектів з позиції позичальника та з врахуванням інтересів кредитора.

1. Зміст і порядок проведення інвестиційних розрахунків при оцінці об'єкта вкладення засобів

1.1 Методи оцінки реальних інвестицій


Фінансові ресурси підприємства використовуються для фінансування поточних витрат і інвестицій. Інвестиції - це використання фінансових ресурсів у формі довгострокових вкладень капіталу (капіталовкладень).

Інвестування капіталу і його види

Фінансові ресурси підприємства використовуються для фінансування поточних витрат і інвестицій.

Інвестиції - це використання фінансових ресурсів у формі довгострокових вкладень капіталу (капіталовкладень).

Інвестиції можуть бути ризикованими (венчурними), прямими портфельними.

Венчурний капітал являє собою інвестиції у формі випуску нових акцій, що здійснюються в нових сферах діяльності, пов'язаних із великим ризиком. Ризиковане вкладення капіталу обумовлене необхідністю фінансування підприємств, які швидко розвиваються . Найчастіше це відбувається в галузях нових технологій.

Прямі інвестиції - вкладення в статутний капітал компанії з метою одержання прибутку і права на участь у керуванні цією компанією.

Портфельні інвестиції пов'язані з формуванням портфеля : являють собою придбання цінних паперів і інших активів. Портфель - це сукупність зібраних разом різних інвестиційних інструментів для досягнення інвестиційної цілі вкладника.

Принципами формування інвестиційного портфеля є безпека й прибутковість вкладень, їхнє зростання й ліквідність.

Методом зниження ризику значних утрат є диверсифікованість портфеля, тобто покупка певного числа різних цінних паперів. Мінімізація ризику може бути досягнута за рахунок включення до портфеля цінних паперів широкого кола галузей, не пов'язаних між собою. Це робиться для того, щоб уникнути синхронності циклічних коливань їхньої ділової активності. Оптимальна кількість - 8-20 різних видів цінних паперів. При покупці акцій і облігацій одного акціонерного товариства інвестору варто виходити з принципу фінансового леверіджа, що являє собою співвідношення між облігаціями і привілейованими акціями, з однієї сторони, і звичайними акціями з іншої:

Л = [O + А1]/А2,

Де Л - рівень леверіджа;

О - сума випуску облігацій;

А1 - сума випуску привілейованих акцій,

А2-сума випуску простих акцій.

Фінансовий леверідж у цьому визначенні є показником стійкості акціонерного товариства, що відбивається і на прибутковості портфеля інвестицій. Високий рівень леверіджа - явище небезпечне.

Вирішуючи питання про створення портфеля, інвестор повинен визначити для себе параметри, якими він буде керуватися:

Вибрати оптимальний тип портфеля, який може бути зорієнтований на зростання доходу чи на ріст курсової вартості цінних паперів.

Оцінити відповідно до себе співвідношення ризику й доходу.

Визначити початковий склад портфеля (консервативний чи агресивний).

Вибрати схему подальшого управління портфелем.

Інвестування капіталу вимагає урахування процесу інфляції й дефляції. Остання пов'язана з падінням цін, що теж небезпечно для економіки. В Україні кредитори вже навчилися враховувати в умовах надання кредитів величину інфляції, тобто "очікувати" на неї. Величину інфляції додають до звичайного рівня відсотків за кредит, але при цьому варто враховувати попит позичальників на дану позику.

Прийняття довгострокових рішень

Складання інвестиційного плану і його окупності пов'язано з вкладенням коштів на значний проміжок часу для того, щоб допомогти підприємству досягти успіху.

В останні роки оцінка інвестиційних програм стає дуже відповідальною справою. Фінансові можливості підприємств дуже обмежені, тому виникає певна конкуренція між різними проектами. До того ж варто додати, що технології швидко змінюються й зростає вартість проектів. Скласти кошторис капітальних вкладень і їхньої окупності - це означає визначити потенційно необхідні інвестиції, зробити їхню оцінку і вибрати ті з них, які відповідають певним критеріям.

Оцінка інвестицій - це процедура порівняння результатів і витрат проекту на підставі стандартних фінансових критеріїв.

Кожну оцінку треба починати з чіткого визначення, що саме повинна дати інвестиція. Виявлення проблеми, яка буде вирішена за допомогою даного інвестиційного проекту, і визначення можливих альтернатив інвестиції є вирішальним моментом для правильного аналізу.

Більшість капіталовкладень незалежні один від одного. Це значить, що вибір одного капіталовкладення не заважає вибору іншого. Однак буває, коли інвестиційні проекти конкурують між собою за своїми цілями до такого ступеня, що вибір одного заважає вибору іншого. Звичайно так відбувається, коли розглядаються два можливих шляхи рішення однієї проблеми. Такі інвестиційні проекти називаються взаємовиключними.

Другий тип інвестицій стосується послідовних витрат, що робляться на додаток до першого вкладення. Будь-які вкладення в будинки, спорудження й устаткування звичайно несуть додаткові майбутні витрати на підтримку їх у робочому стані, удосконалення і часткову заміну в наступні роки. Такі майбутні витрати треба розглядати вже на першій стадії прийняття рішень.

Всі економічні розрахунки, які використовуються для обгрунтування капіталовкладення, повинні базуватися на проектах і прогнозах майбутніх доходів і витрат. Невірно вважати, що минулі умови залишаться незмінними і для нового проекту. Це потребує від фінансового менеджера здатності прогнозувати майбутні ймовірні зміни сьогоднішніх умов за всіма показниками аналізу.

Невизначеність майбутніх умов, які впливають на інвестиції, -це ризик невідповідності чеканням і одержання недостатнього прибутку чи навіть збитку. Тільки ретельний аналіз і дослідження допоможуть звузити можливість помилок.

Вартість грошей у часі - концепція, в основі якої лежить твердження, що рівні суми грошей у різний час мають різну вартість.

Основні фактори, які впливають на зміну вартості грошей у часі:інфляція; ризик.


При укладанні фінансового чи кредитного договору сторони (кредитор і позичальник) домовляються про розмір процентної ставки - співвідношення суми процентних грошей, виплачуваних за фіксований проміжок часу, до величини позики. Інтервал, за який розраховується процентна ставка, називається період нарахування.

Відсотки виплачуються кредитору в міру їхнього нарахування чи додаються до суми боргу.

Процес збільшення грошової суми в зв'язку з додатком відсотків до суми боргу називають нарощуванням чи ростом початкової суми.

Процентні ставки можуть застосовуватися до початкової суми протягом усього терміну позики (прості процентні ставки) чи до суми з нарахованими в попередньому періоді відсотками (складні процентні ставки).

а) прості відсотки

FV = PV ( 1 + nR),

де

FV - сума, накопичена до кінця n-го періоду,

PV - початкова сума позики,

R - процентна ставка,

n - кількість періодів часу.


б) складні відсотки

У довгострокових фінансово-кредитних операціях, якщо відсотки не виплачуються відразу після їхнього нарахування, а додаються до суми боргу для нарощування суми позики, як правило, застосовують складні відсотки.

FV = PV (1+R)n,

Де FV - сума, накопичена до кінця n-го періоду;

PV - сума позики;

R- річна процентна ставка;

n - кількість періодів.


Дисконтування доходу застосовується для оцінки майбутніх грошових надходжень із позиції поточного моменту. Інвестор, зробивши вкладення капіталу, керується наступними положеннями:

а) відбувається постійне знецінювання грошей;

б) бажано періодично одержувати доход на капітал не нижче певного мінімуму.

Інвестор повинен оцінити, який доход він одержить у майбутньому і яку максимально можливу суму фінансових ресурсів потрібно вкласти в даний проект, виходячи з прогнозованого рівня прибутковості. Ця оцінка ведеться по формулі сьогоднішньої вартості грошей:

Приклад 1.

Скільки Ви повинні покласти в банк сьогодні, щоб одержати 20 000 грн. через 10 років при 10% річних?

PV = 20000 / (1+0,1)10 = 7720 грн.

в) техніка розрахунку вартості грошей у часі за допомогою таблиць

Для розрахунку процентних факторів сьогоднішньої й майбутньої вартості грошей (дисконтування і компаундінга) існують спеціальні фінансові таблиці, які можна знайти в спеціальній літературі по фінансовому менеджменту.

Процентний фактор сьогоднішньої вартості (дисконтування).

Кд = 1/(1+ r)n

Таблиця 1.

Періоди/R

1%

3%

5%

10%

20%

1

0,099

0,971

0,952

0,909

0,883

10

0,905

0,744

0,614

0,386

0,162

50

0,608

0,228

0,087

0,009

0,0


Приклад 2.

Яку початкову суму Вам необхідно вкласти, щоб одержати через 10 років капітал у 500 000 грн., якщо застосовується складна ставка позикового відсотка 20% річних.

Для цього необхідно використовувати таблицю 1. На перетинанні ряду, що відповідає п = 10, і стовпчика R = 20% знаходимо значення коефіцієнта дисконтування Кд = 0,162.

PV = 500 000 х 0,162 = 81 000 грн.

Таблиця 2 Процентний фактор майбутньої вартості грошей (компаундінга).

Періоди/R

1%

3%

5%

10%

20%

1

1,01

1,03

1,05

1,1

1,2

10

1,1046

1,3439

1,6589

2,5937

6,1917

50

1,6446

4,3839

11,467

117,39

9100,4


Приклад 3.

Щоб визначити величину суми, яка наростає, якщо початковий капітал у 10 000 грн. вкладається на 10 років і нарахування відсотків здійснюється по складній процентній ставці 10% річних, потрібно використовувати табл. 2. На перетинанні ряду, що відповідає п = 10, і стовпчика R= 10% знаходимо значення коефіцієнта нарощування: 2,5937.

FV = 10 000 х 2,5937 = 25937 грн.

Чому фінансовим менеджерам так важливо знати нинішню вартість грошей? Справа в тому, що ця вартість служить для порівняння прибутковості різних проектів і інвестицій за певний період. Таким чином, нинішня вартість - це грошова вартість майбутніх надходжень чи доходів із поправкою на ставку дисконту (капіталізації). Дисконтна ставка - це процентна ставка, застосовувана для майбутніх платежів, щоб врахувати ризик і невизначеність, пов'язаних із фактором часу. Існує просте правило: високий ризик означає високу дисконтну ставку, маленький ризик - низьку. У цілому для оцінки дисконтних ставок застосовують такі принципи:

Із двох майбутніх надходжень більш високу ставку буде мати те, що надійшло пізніше.

Чим нижче ступінь ризику, тим нижче дисконтна ставка.

Якщо процентні ставки на фінансовому ринку ростуть, то ростуть і дисконтні ставки.

Основні фактори, які впливають на величину дисконтної ставки: величина реальної процентної ставки; інфляція; ризик.

Дисконтна ставка (R):

R = Реальна процентна ставка + Темп інфляції + Премія за ризик.

Процентна ставка = Відсоток - вартість капіталу для інвестора.

Реальна процентна ставка - процентна ставка, виражена в збільшенні вартості одиниці інвестицій (з огляду на інфляцію).

Номінальна процентна ставка - ставка доходу на капітал без урахування інфляції, що оцінює віддачу інвестицій як збільшення кількості товарів, які можна придбати.

Реальна процентна ставка = Номінальна процентна ставка - Темп інфляції.

Мал. 1. Схема розрахунку стандартних фінансових крітеріїв.

Якщо в розрахунку використовуються поточні ціни, як дисконтну ставку приймають номінальну процентну ставку.

Якщо в розрахунках використовуються стабільні (базисні) ціни, то як дисконтну ставку приймають реальну процентну ставку.

Удосконалення методів визначення економічної ефективності на сучасному етапі неможна уявити без застосування кількісних методів аналізу економічних процесів і використання відповідного математичного апарату. Кількісна оцінка економічної ефективності інвестицій показується співвідношенням прибутку і вкладеного в справу капіталу (рентабельність) чи капіталу і прибутку (термін приросту капіталу).

Якщо рентабельність інвестицій вища процентної ставки банку, то це свідчить про доцільність виконання інвестиційного проекту. Якщо рентабельність нижча, то краще покласти гроші в банк і очікувати на дивіденди.

Існує два підходи до розрахунку ефективності інвестицій: перший – метод розрахунку народногосподарської економічної ефективності, який застосовувався в плановій директивній економіці. Термін окупності розраховується шляхом поділу капіталовкладень на найбільший річний прибуток. Наприклад, вартість вкладу в активи підприємства 50 млн. грн., і річний прибуток також 50 млн. грн. Тоді термін окупності дорівнює одному року, а рентабельність – 100%. Періоди вкладень капіталу і отримання прибутку не приймались до уваги. Одначе 50 млн. грн. прибутку на третій рік не рівноцінні 50 млн. грн. інвестицій, затрачених в перший рік по причині інфляції та можливості збільшення прибутку при вкладах грошей в банк, а не в активи підприємства. Традиційний розрахунок показників абсолютної та відносної народногосподарської ефективності відбувається в статистиці, не враховується також динаміка припливу та відпливу готівки.

Методологія обгрунтування інвестиційних проектів, що застосовується в ринковій економіці, принципово відрізняється. Вона базується на дисконтуванню потоків грошової готівки. Дисконт – це коефіцієнт збільшення чи зменшення вартості, що залежить від процентної ставки по кредитам.

Економіко-математичне моделювання, яке є потужним засобом наукового пізнання, дозволяє вивчати різні аспекти економічних процесів. При складанні моделей вивчення економічної ефективності доцільним, на мій погляд, є підхід, згідно з яким цей процес інтерпретується як розробка і впровадження різноманітних заходів, програм і проектів, що підвищують ефективність інвестицій. Згідно з цим, удосконалення методів вивчення економічної ефективності інвестицій повинно розглядатися як процес розробки і впровадження програм заходів чи інвестиційних проектів на певному проміжку часу.

В основі складання цих моделей в умовах ринкової економіки лежать показники, що відображають співвідношення витрат і доходів за інтересами учасників.

До системи показників, що характеризують ефективність інвестиційного проекту, слід віднести насамперед такі:

показники комерційної (фінансової) ефективності, що враховують фінансові результати реалізації проекту його безпосередніми учасниками;

показники бюджетної ефективності, які відображають наслідки здійснення проекту для державного, обласного чи місцевого бюджетів;

показники економічної ефективності, що виходять за рамки прямих фінансових інтересів учасників інвестиційного проекту.

Оцінка витрат і доходів здійснюється в межах розрахункового періоду, тривалість якого визначається із врахуванням:

тривалості створення, експлуатації та ліквідації об`єкта;

середньонормативного терміну експлуатації основного технологічного обладнання;

досягнення бажаного прибутку;

вимог інвестора.

При оцінці витрат і доходів можуть використовуватись базисні, світові, прогнозні та розрахункові ціни.

Базисні ціни, як правило, застосовують на стадії досліджень інвестиційних можливостей, прогнозні і розрахункові – на стадії техніко-економічних обгрунтувань (ТЕО) інвестиційних проектів.

Під базисною розуміють ціну, що склалася на певний момент часу t0 і вважається незмінною протягом усього розрахункового періоду.

Прогнозна ціна Ц(t) продукції чи ресурсу на кінець t-го періоду (року) визначається за формулою

Ц(t) = Цб І(t, t0)

де Цб – базисна ціна продукції чи ресурсу;

І(t, t0) – коефіцієнт (індекс) зміни цін продукції чи ресурсів відповідної групи на кінець t-го року відносно до початкового моменту обчислень.

Розрахункові ціни застосовують при обчисленні інтегральних показників ефективності, якщо поточні значення витрат і доходів виражені прогнозними цінами. Це необхідна умова порівняння результатів, одержаних за різних рівнів інфляції. Розрахункові ціни визначаються за допомогою дефлятора, що відповідає індексу загальної інфляції. Остання має досить велике значення при вартісному визначенні доходів і витрат. Її вплив на ефективність інвестиційного проекту можна врахувати шляхом коригування майбутніх надходжень чи коефіцієнта дисконтування за допомогою індексу інфляції. Визначення інфляції здійснюється розрахунком зростання середніх цін у відсотках. Найпростішим методом визначення впливу цього фактора на ефективність інвестиційного проекту є коригування коефіцієнта дисконтування d за допомогою індекса інфляції. Такий коефіцієнт дисконтування, що містить інфляцію, називається номінальною ставкою і визначається формулою

dH = (l+dp) (l+I) – 1,

де dH – номінальний коефіцієнт дисконтування;

dp – реальний коефіцієнт дисконтування;

І – рівень інфляції.

Слід зазначити, що інфляція впливає на показники проекту не лише у вартісному, але й у натуральному виразі, тобто вона спричиняє не лише переоцінку фінансових результатів здійснення проекту, але й зміну самої програми реалізації проекту, передбачених запасів і заборгованостей, необхідних позичкових коштів і навіть обсягу виробництва і продажу.

Отже, перехід в обчисленнях до твердої валюти чи взагалі до натуральних показників не знімає вимог щодо врахування впливу інфляції при визначенні показників оцінки ефективності інвестиційних проектів.

Аналізуючи таку економічну ефективність, слід приділяти увагу показникам, які характеризують процес реалізації проекту, що складається з трьох видів діяльності: інвестиційної, операційної та фінансової. У межах кожного з них відбуваються як надходження Pi(t), так і витрати Bi(t) грошових потоків, різниця між якими внаслідок інвестиційної і оперативної діяльності у кожному періоді реалізації проекту ( на кожному кроці обчислень) являє собою потік реальних грошей f(t), що обчислюється за формулою

f(t) = [ Pl (t) – Bl (t)] + [P2 (t) – B2 (t)],

де Р1(t), В1 (t) – відповідно надходження і витрати грошових коштів у період здійснення інвестиційного проекту як результат інвестиційної діяльності; P2 (t) , B2 (t) – ті ж самі показники як результат оперативної діяльності.


Сальдо реальних грошей r(t) – це різниця між цими процесами від усіх трьох видів діяльності (також на кожному кроці обчислення)

Складання моделей визначення економічної ефективності інвестиційних проектів базується на дисконтуванні надходжень і витрат грошових коштів на певний момент часу. Це пов`язано із визначенням різних показників, до яких належать: чистий зведений доход, внутрішня норма доходності, термін окупності капіталовкладень та рентабельності проекту. Вказані показники є результатом порівняння розподілених у часі доходів з інвестиціями та витратами на виробництво продукції, а тому й визначають комерційну ефективність інвестиційного проекту. Як правило, усі вони в умовах ринкових відносин розраховуються із використанням показника чистого зведеного доходу (NРV). Головним фактором при визначенні NРV є саме грошові потоки, а не прибуток, оскільки лише вони можуть забезпечити реалізацію заходу.

Чистий потік платежів як доходів включає прибуток від виробничої діяльності і амортизаційні відрахування, а як витрат – інвестиції у капітальне будівництво, поновлення основних фондів унаслідок їх спрацювання в процесі виробництва, а також фондів для їх створення і накопичення оборотних коштів.

Якщо розглядається проміжок часу n років і певний інвестиційний проект, то теперішня вартість його потоку платежів (NPV — Net Present Value) дорівнює:

bom33

Для прийняття рішення про вкладення коштів у проект керуються таким правилом: якщо МРV > 0, проект може виконуватися;якщо МРV < 0, від проекту відмовляються. Тут слід зазначити, що замість річного інтервалу у формулах можуть використовуватися і менші часові інтервали ( місяць, квартал, півріччя). Рік початку виробництва продукції tn може співпадати з роком завершення будівництва tc . Випадок, коли tn>tc, означає тимчасову затримку виробництва продукції після завершення будівництва, а коли tn<tc – початок виробництва до завершення будівництва. Якщо обчислення величини NPV інвестиційного проекту дає відповідь на запитання про його ефективність за певної загальної норми дисконту d, то IRR проекту визначається в процесі обчислень і потім прирівнюється до необхідної для інвестора норми доходу на капітал, що вкладається. За ставки позичкового відсотка, що дорівнює внутрішній нормі доходності, інвестовані у проект фінансові кошти забезпечують зрештою той самий сумарний доход, що і їх вкладання у банк на депозитний рахунок. Таким чином, за однакових значень позичкового відсотка і внутрішньої норми доходності ці альтернативні вкладення економічно еквівалентні. Якщо ж реальна ставка позичкового процента менша від величини IRR, то інвестування у нього коштів є невигідним, і навпаки. Отже, внутрішня норма доходності проекту є граничною ставкою позичкового процента, за допомогою якого можна визначити ефективність інвестиційного проекту. Таким чином зрозуміло, що рівень IRR повністю визначається внутрішніми параметрами, які характеризують інвестиційний проект. Жодні інші можливості використання чистого доходу поза межами проекту не розглядаються, оскільки це не має сенсу. У світовій практиці розрахунок внутрішньої норми доходності у більшості випадків застосовується як перший крок на шляху фінансового аналізу інвестиційного проекту. Для подальшої оцінки добирають такі проекти, що мають показник IRR не нижче від певного граничного значення (15 – 20% річних).

Методика визначення внутрішньої норми доходності залежить від конкретних особливостей розподілу доходів, виду інвестицій та їх розміру. У загальному випадку, коли інвестиції і віддача від них задаються у вигляді потоку платежів, IRR визначається розв`язком рівняння по відношенню до невідомої величини d*

 


Термін окупності (payback period) – це один з найпоширеніших показників, що застосовуються для оцінки ефективності інвестицій (особливо попередньої). Поширений він і в нашій країні. Термін окупності визначається як період часу, упродовж якого інвестиції будуть повернені за рахунок доходів, одержаних від реалізації інвестиційного проекту. Точніше, під терміном окупності розуміють тривалий період, протягом якого сума чистих доходів, дисконтованих на момент завершення інвестицій, дорівнює сумі використаних інвестицій. Рівняння можна записати у вигляді. Слід зазначити, що в цьому рівнянні t=0 відповідає моменту завершення будівництва. Величина h визначається послідовним додаванням членів ряду дисконтованих доходів доти, доки не буде одержана сума, що дорівнює обсягу інвестицій чи перевищує його. Очевидно, на величину терміну окупності окрім інтенсивності надходження доходів великий вплив має застосована норма доходів.

Таким чином, існує ще й кінцевий термін окупності інвестицій за умови коли n=(P/KV)>n*, який при порушенні нерівності відсутній. Цей період може перевищувати період ефективного функціонування виробництва, коли доходи від виробничої діяльності позитивні.

 

1.2 Методи оцінки інвестицій у фінансові активи


В умовах глибоких економічних змін, зумовлених реформуванням адміністративно-командної економіки України в ринкову, особливо актуальною є задача ефективного розміщення інвестиційних ресурсів та грамотного управління інвестиційною діяльністю підприємств, оскільки саме інвестиції виступають найважливішим засобом забезпечення умов виходу з економічної кризи та надійним механізмом соціально-економічних перетворень, формують виробничій потенціал на новій науково-технічній основі, що неодмінно призводить до підвищення якісних показників господарської діяльності.

Узагальнення підходів до трактування поняття "інвестиції" дозволяє визначити їх як цілеспрямовані вкладення капіталу у будь-які матеріальні та нематеріальні активи (інструменти) на певний строк з метою одержання доходу або досягнення іншого корисного ефекту.

Найчастіше інвестор для досягнення своїх цілей працює не з окремим активом (окремим проектом, фінансовим інструментом тощо), а з деяким їх набором – інвестиційним портфелем, сенс формування якого полягає в поліпшенні умов інвестування завдяки досягненню нової інвестиційної якості шляхом надання сукупності активів таких інвестиційних характеристик, які є недосяжними з позиції окремо взятого активу і можливі лише при їх комбінації. При визначенні доцільності та виборі напряму інвестування основною задачею є визначення економічної ефективності вкладення коштів в ту чи іншу інвестиційну цінність як елемент портфеля. Звичайно прийняття рішень з інвестування у той чи інший актив, тобто процес вибору і формування інвестиційного портфеля, містить наступні етапи: вибір інвестиційної політики, пошук привабливих об’єктів інвестування, формування інвестиційного портфеля та управління інвестиційним портфелем.

Вибір інвестиційної політики полягає у формуванні мети інвестора, що ґрунтується на прийнятних для нього критеріях доходності, зростання, ризику та ліквідності, визначенні обсягів та термінів розміщення інвестиційних ресурсів і виборі потенційних типів активів для включення в інвестиційний портфель відповідно до обраної стратегії та тактики поведінки інвестора.

Пошук привабливих об’єктів інвестування передбачає визначення в певний термін часу активів з привабливими інвестиційними якостями за допомогою методів технічного та фундаментального аналізу, комплексу економетричних моделей.

Етап формування інвестиційного портфеля містить визначення конкретних активів для вкладання коштів, а також пропорцій розподілу інвестиційного капіталу між цими активами на основі комплексу оптимізаційних моделей, які дозволяють сформувати оптимальний для інвестора портфель, ґрунтуючись на прийнятному для нього співвідношенні доходності і ризику. На першому етапі формування оптимального інвестиційного портфеля, коли інвестиційний капітал розподіляється за різними типами активів, тобто у різні сегменти ринку, доцільним є використання математичної моделі Г.Марковіца, де має місце задача квадратичної оптимізації, а вже при розподілі капіталу серед конкретних активів, які складають обраний сегмент ринку, як правило, використовується однофакторна модель Шарпа, де вирішується задача лінійної оптимізації.

Коли інвестори диверсифікують свої портфелі, вони скорочують ступінь своєї піддатності специфічному ризику фірми, тому ризик, на який варто звертати увагу при інвестуванні, це ринковий ризик. Модель оцінки капітальних (фінансових) активів вимірює піддатність ринковому ризику за допомогою ринкового коефіцієнту бета, який оцінює, скільки ризику додає даний актив до ринкового портфеля. Модель арбітражної оцінки та багатофакторні моделі дозволяють враховувати численні джерела ринкового ризику і оцінювати коефіцієнти бета для інвестиції відносно до кожного фактору впливу, при цьому відмінність між моделями полягає в тому, що модель арбітражної оцінки відмовляється від ідентифікації статистичних факторів, а в багатофакторних моделях вони замінюються спеціальними макроекономічними факторами, в результаті чого вихідна модель володіє економічною основою. Моделі регресії вимірюють ринковий ризик на основі результатів аналізу характеристик фірми, які корелюють з високими доходами в минулому, таких, як, наприклад, мультиплікатор "балансова вартість/ціна".

Через необхідність постійної адаптації до змін зовнішнього середовища дуже важливим етапом є управління інвестиційним портфелем, що являє собою набір дій, направлених на зміну його внутрішньої структури, пов’язаних з тим, що через деякий час цілі інвестування можуть змінитися або може відбутись зміна інвестиційних характеристик компонентів портфеля, в результаті чого поточний портфель вже не буде оптимальним. Управління інвестиційним портфелем вимагає здійснення різноманітних фінансово-економічних розрахунків, пов’язаних з потоками грошових коштів у різні періоди часу.

Оцінка ефективності інвестиційного портфеля здійснюється за допомогою методичного інструментарію інвестиційної оцінки. Один з фундаментальних принципів інвестиційної оцінки полягає в тому, що всі активи, як фінансові, так і реальні, можна систематично оцінювати, використовуючи традиційні моделі оцінки, причому моделі оцінки, розроблені для фінансових активів, підходять також і для реальних активів, оскільки вони володіють кількома спільними характеристиками: їх цінність визначається створюваними ними грошовими потоками, невизначеністю, пов’язаною із ними, та очікуваним ростом цих грошових потоків. Але є й кілька серйозних відмінностей між цими двома класами активів, зокрема відмінності у їх ліквідності, типах інвесторів на кожному із ринків, а також у природі грошових потоків, що генеруються інвестиціями в ці активи, адже реальні інвестиції мають обмежений термін існування та повинні оцінюватись з урахуванням цих обставин. На практиці використовується досить широкий круг моделей оцінки – від елементарних до багатофакторних, але виділяють три основних підходи до оцінки: оцінка дисконтованих грошових потоків, порівняльна оцінка та оцінка умовних вимог.

Підхід до оцінки через дисконтовані грошові потоки служить основою для побудови всіх інших і ґрунтується на правилі приведеної цінності, або вартості, згідно до якого цінність будь-якого активу являє собою приведену вартість всіх очікуваних в майбутньому грошових потоків, що створює даний актив, дисконтованих за ставкою, що відповідає ступеню ризику дисконтуємих грошових потоків. Основна проблема використання цієї моделі полягає у коректності оцінки величини очікуваних грошових потоків, бо необхідно враховувати фактор ризику та невизначеності, пов’язаний з їх надходженням, а також у правильному визначенні ставки дисконтування, щоб уникнути отримання помилково заниженої або завищеної оцінки.

При порівняльній оцінці, використання якої практикується дуже широко, цінність активу визначається на підставі аналізу ціноутворення подібних активів, де ціни на активи, що порівнюються, представляються в стандартизованому вигляді шляхом їх конвертації в мультиплікатори прибутку, балансової вартості або специфічні секторні мультиплікатори. Хоча в цій моделі використовується припущення, що інші підприємства галузі теоретично можна зіставити з оцінюваним підприємством, а ринок в середньому правильно визначає ціни на ці фірми, складність у використанні цього методу полягає в необхідності правильного використання мультиплікаторів та виключення можливості зловживання ними, а також у виявленні подібних між собою підприємств на практиці, наприклад, через відмінності за такими параметрами як потенціал росту, ризик та грошові потоки.

Оцінка умовних вимог припускає використання моделі ціноутворення опціонів для виміру цінності активів, що мають характеристики опціону.

В умовах в трансформаційної економіки України через низьку ефективність застосування математичного апарату в умовах нестабільності жоден з наведених вище підходів не є абсолютно надійним. Тільки їх комбінація та критичний аналіз можуть надати інформацію про доходність та надійність інвестування в той чи інший актив.

Існують різні трактування категорії "фінансові інвестиції". Так, фінансові інвестиції як економічна категорія розглядаються в бухгалтерському і податковому обліку. В бухгалтерському обліку визначення терміну "Фінансові інвестиції" та їх класифікація наведені в П(С)БО 2 "Баланс". Відповідно до п.4 П(С)БО 2, фінансові інвестиції – це активи, які утримуються підприємством з метою збільшення прибутку (відсотків, дивідендів тощо), зростання вартості капіталу або інших вигод для інвестора. До таких активів, зазвичай, відносяться акції, облігації, інші цінні папери (наприклад, депозитні сертифікати, казначейські зобов’язання тощо), корпоративні права [4]. В податковому законодавстві наведене інше визначення фінансових інвестицій, зокрема під фінансовими інвестиціями слід розуміти господарську операцію, яка передбачає придбання корпоративних прав, цінних паперів, деривативів та інших фінансових інструментів [2]. Як бачимо, в бухгалтерському та податковому обліку визначення категорії "фінансові інвестиції" дещо не відповідають один одному за формою, проте за економічним змістом ідентичні.

Вартість фінансових iнвестицiй, більше ніж будь-яких інших активів підприємства, може зазнавати змін. У зв’язку з цим, для забезпечення достовiрностi iнформацiї, наведеної у фiнансовiй звiтностi, необхiдно здiйснювати оцiнку фiнансових iнвестицiй на дату балансу.

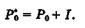
Cтаттею 13 Закону України "Про бухгалтерський облік та фінансову звітність" передбачено, що звітним періодом для складання фінансової звiтностi є календарний рік. Проміжна звiтнiсть складається щокварталу наростаючим підсумком з початку звітного року у складі Балансу підприємства і Звіту про фiнансовi результати. Баланс підприємства складається на кінець останнього дня кварталу (року) [1]. Тому iнвестицiї в загальному випадку переоцінюються чотири рази на рік.

Фiнансовi iнвестицiї на дату балансу оцінюються за наступними методами [6, с. 192]: за справедливою вартістю; за амортизованою собiвартiстю; за методом участі у капiталi. Ці методи оцінювання фінансових інвестицій застосовуються залежно від того, в який об'єкт здійснено фінансову інвестицію. Розрізняють такі об'єкти фінансового інвестування:

1) короткострокові або поточні фінансові інвестиції (портфель цінних паперів банку на продаж, тобто ЦП, а також внески до статутних капіталів підприємств, які придбані та утримуються банком з метою їх подальшого продажу протягом 12 місяців);

2) довгострокові фінансові інвестиції, що утримуються підприємством до їх погашення або понад 12 місяців;

3) фінансові інвестиції в асоційовані та дочірні компанії, які, у свою чергу, можуть бути як поточними, так і довгостроковими [6, с. 193].

Розглянемо кожен з методів оцінювання фінансових інвестицій. Оцінювання фінансових інвестицій за справедливою вартістю, порядок якої встановлено пунктами 8 та 9 П(С)БО 12 "Фінансові інвестиції", полягає в тому, що фінансова інвестиція на дату балансу оцінюється за вартістю, що дорівнює сумі, за якою може бути здійснена реалізація фінансової інвестиції в результаті операції між обізнаними, заінтересованими та незалежними сторонами. Якщо справедливу вартість фінансової інвестиції достовірно визначити неможливо, вона відображається за собівартістю з урахуванням зменшення її корисності.

Оцінювання фінансових інвестицій на дату балансу за амортизованою собівартістю, порядок якої встановлено пунктом 10 П(С)БО 12, полягає в тому, що різниця між собівартістю та вартістю погашення фінансових інвестицій (дисконт або премія при придбанні) амортизується (зменшується) інвестором протягом періоду від дати придбання до дати їх погашення за методом ефективної ставки відсотка. Сума амортизації дисконту або премії нараховується одночасно з нарахуванням процента (прибутку від фінансових інвестицій), що підлягає отриманню, та відображається у складі інших фінансових доходів з одночасним збільшенням балансової вартості фінансової інвестиції [5].

За методом участі в капіталі (в порядку, встановленому пп. 12-14 П(С)БО 12) обліковуються фінансові інвестиції в асоційовані та дочірні компанії. При цьому балансова вартість фінансових інвестицій за методом участі в капіталі на дату балансу підлягає коригуванню згідно з П(С)БО 12 [5].

Під комплексною оцінкою фінансового активу розуміють визначення його основних характеристик: ліквідності, ризиковості, дохідності тощо. При цьому насамперед підлягають визначенню поточна вартість активу та реальна ставка доходу, яку він забезпечує інвестору, або необхідна ставка доходу, яку фінансовий актив має забезпечити інвестору відповідно до його ризиковості та ліквідності.

Оцінювання фінансових активів здійснюється як на первинному, так і на вторинному ринках. На первинному ринку оцінювання полягає у встановленні такої ставки доходу за фінансовим активом, яка б відповідала ступеню його ризиковості, ринковим процентним ставкам, кредитному рейтингу емітента.

На вторинному ринку — це переоцінка фінансового активу, коригування його ринкової ціни так, щоб фінансовий актив певного рівня ризику забезпечував відповідний рівень доходу.

Якщо CF і — грошовий потік за фінансовим активом за і-й період, п — кількість періодів до погашення фінансового активу, N — сума, яку одержить інвестор при погашенні, сумарний грошовий потік за активом можна обчислити за формулою


CFі визначається сумою процентних чи дивідендних виплат за активом за період і. Для розрахунку чи аналізу очікуваних грошових потоків зручно користуватись поняттям часової осі, на якій відображено моменти надходження грошових коштів та відповідні суми.


Для визначення теперішньої вартості очікуваних грошових потоків по фінансовому активу потрібно розрахувати теперішню вартість кожного із грошових потоків PVt (і = 1, ..., п) з урахуванням періоду їх надходження, тобто


Теперішня вартість очікуваних грошових потоків за фінансовим активом відображає його поточну ринкову ціну, що встановлюється на ринку в результаті зрівноваження попиту і пропозиції на нього. Часто цю величину називають внутрішньою або дійсною вартістю активу. Розрахункову вартість визначає інвестор, маючи певні уявлення про необхідну ставку доходу, яку має забезпечити цей актив. Якщо внутрішня вартість, обчислена інвестором, більша від поточної ринкової вартості активу, інвестор вважає цей актив недооціненим ринком і інвестує кошти в купівлю активу. Якщо внутрішня вартість менша від поточної ринкової вартості активу, інвестування коштів у цей актив інвестор вважає недоцільним. Те, наскільки точно буде обчислена внутрішня вартість, залежить від точності визначення очікуваних грошових потоків за конкретним фінансовим активом.

Очікувані грошові потоки за фінансовим активом можуть бути більш або менш визначені як за величиною, так і за терміном надходження. Тому оцінювання очікуваних грошових потоків за активом полягає в обчисленні визначених або оцінюванні невизначених грошових потоків. В останньому випадку оцінюється не тільки величина очікуваного грошового потоку, а і ймовірність його надходження.

До фінансових активів з чітко визначеним майбутнім грошовим потоком належать облігації, для яких чітко визначаються величина і моменти процентних виплат, а також сума та термін погашення. В цьому разі залишається тільки проблема оцінювання ймовірності отримання грошового потоку. Для державних облігацій ця ймовірність дуже висока; якщо це облігації підприємства, можуть виникнути проблеми своєчасної виплати доходу, загроза банкрутства підприємства тощо.

Незважаючи на це очікуваний грошовий потік для облігацій є практично завжди більш визначеною величиною, ніж майбутній дохід від акцій. Дійсно, майбутні дивідендні виплати залежать і від отриманого корпорацією доходу, і від політики, що проводиться менеджментом корпорації, і від ринкової вартості активів корпорації, яка з часом може суттєво змінитись.

Внутрішня вартість будь-якого фінансового активу може бути визначена як теперішня вартість очікуваних грошових потоків за ним, дисконтованих за процентною ставкою, що визначається ступенем ризику цього фінансового активу та поточними ринковими процентними ставками. Якщо фінансовий актив є борговим зобов'язанням, ставка дисконтування визначається на основі існуючих процентних ставок за такими самими зобов'язаннями.

Ставка дисконтування відображає очікувану дохідність фінансового активу. Для боргових інструментів очікуваний дохід є також доходом при погашенні.

Реальна дохідність фінансових активів завжди коригується ринком. Дохідність активів, що перебувають в обігу на вторинному ринку, насамперед визначається ринковими процентними ставками та ситуацією на ринку. При цьому дохідність фінансових активів з плаваючим доходом безпосередньо коригується ставкою доходу, що змінюється відповідно до ринкових процентних ставок.

Дохідність інструментів з фіксованим доходом коригується змінами в їх ринковій вартості. Так, при зростанні процентних ставок на ринку ринкова вартість боргових зобов'язань з фіксованим купоном буде зменшуватись, забезпечуючи інвестору вищий рівень доходу, ніж купонна ставка. При падінні процентних ставок на ринку ціни боргових зобов'язань з фіксованим купоном будуть зростати, забезпечуючи інвесторам рівень доходу, що нижчий від купонного. Однак у будь-якому разі, дохідність фінансового активу що перебуває в обігу на вторинному ринку, відповідає ринковій дохідності інших фінансових активів, що є в обігу в цей момент на ринку і мають такий самий ступінь ризику та термін обігу, як даний фінансовий актив.

Оцінювання облігацій

Ринкова вартість купонної облігації може бути оцінена на основі (13.8) за формулою


де Сі — купонні виплати за і-й період; п — кількість періодів до погашення; N — сума, яку отримає власник облігації при її погашенні (як правило, дорівнює номінальній вартості облігації); k0 — дисконтна ставка, що дорівнює існуючій ставці за подібними зобов'язаннями та відображає дохідність при погашенні цієї облігації.

Формулу (13.9) використовують для оцінювання ринкової вартості облігації у разі, коли останні купонні виплати щойно відбулися, а наступні будуть здійснені в кінці періоду (якщо виплати проводять щороку, наступні виплати мають відбутися через рік).

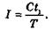
Якщо з моменту останніх купонних виплат минуло ti днів, до наступних виплат залишилося t днів, період становить Т днів (як правило, Т = 365), вартість облігації з фіксованим купоном С з достатнім ступенем точності може бути обчислена за формулою


Або


При цьому ціна, яку повинен сплатити інвестор власнику облігації при її купівлі, має бути більшою від Р0 на величину накопиченого процента I, що утворився за період з останньої виплати процентів до даного моменту, тобто за період t1 = Т - t:


Накопичений процент I розраховують за формулою


Приклад. Облігація з фіксованим купоном 11%, що сплачується раз на рік, буде погашена 01.12.06 р. за номінальною вартістю 1000 гр. од.

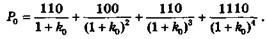
1. Оцінити ринкову вартість облігації після сплати за нею процентів 01.12.02 p., якщо дохідність А0 подібних облігацій, що перебувають в обігу в даний момент на ринку, становить 9%. Наступні купонні виплати за облігаціями будуть здійснені через рік.

2. Яку суму повинен сплатити інвестор власнику облігації при купівлі її 05.05.03 p., якщо останні купонні виплати відбулися 01.12.02 p., ринкова дохідність подібних облігацій, що перебувають в обігу в цей момент на ринку, становить 12% ?

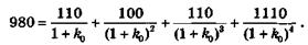
3. Яку дохідність забезпечить облігація інвестору, якщо вона придбана 01.12.02 р. після сплати за нею процентів за ринковою ціною 980 гр. од.?

4. Чи забезпечить ця облігація інвестору дохідність на рівні 11,5%, якщо придбати її за ринковою ціною 990 гр. од. 01.12.02 р. після сплати за нею процентів?

1. Очікувані грошові потоки за цією облігації складаються з чотирикратних купонних виплат у розмірі 110 гр. од. та суми 1000 гр. од., яку отримає власник облігації 01.12.06 р. при її погашенні.


Для оцінювання ринкової вартості облігації потрібно дисконтувати грошові потоки на дату 01.12.02 р. за ставкою k0 = 9%, яка визначає дохідність подібних облігацій, тобто:


При P0 = 9% ринкова вартість облігації становить 1064,79 гр. од.

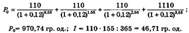
2. Для того щоб визначити ціну продажу облігації на ринку 05.05.03 p., коли з моменту останніх купонних виплат минуло 155 днів, а до наступних виплат залишилося 210 днів, треба розрахувати теперішню вартість очікуваних грошових потоків за облігаціями за формулою (13.11) та обчислити накопичений власником облігації за 155 днів процент /:


Придбати таку облігацію на ринку можна згідно з (13.12) за ціною р0=970,74 + 46,71 = 1017,45 гр. од., що компенсує її попередньому власнику втрати від володіння облігацією протягом 155 днів без можливості отримати наступні купонні виплати.

3. Для визначення очікуваної дохідності облігації при відомій її ринковій вартості слід розв'язати рівняння (13.13) відносно k0, тобто


Рівняння такого типу мають аналітичний розв'язок лише в окремих випадках. Наведене рівняння розв'язується за допомогою фінансового калькулятора або комп'ютера. Розв'язком рівняння є процентна ставка k0 = 0,1165, або &0=11,65% Якщо інвестор придбає облігацію 01.12.02 р. після сплати по ній процентів за ціною 980 гр. од., вона забезпечить йому дохідність на рівні 11,65%, що на 0,65% вище від купонної ставки.

2. Аналіз інвестиційних альтернатив

2.1 Визначення початкових параметрів інвестиційних альтернатив


Таблиця 2.1 Вихідні дані

Вхідні дані

Поточній рік

І-й проект

ІІ -й проект

Вартість лініі, млн. грн.

1,84

2,64

Гранично песимістичний прогноз цін, грн.

5,8

29,2

Помірно песимістичний прогноз цін, грн.

15,8

39,2

Найбільш ймовірна ціна, грн.

25,8

54,2

Помірно оптимістичній прогноз цін, грн.

30,8

69,2

Гранично оптимістичній прогноз цін, грн.

35,8

74,2

Напіфабрикати, сировина, матеріали, млн. грн.

0,36

3,34

Паливо та енергія, млн. грн.

0,66

2,94

Річний фонд оплати праці, млн. грн.

0,98

1,94

Утримання та експлуатація обладнання, млн. грн.

1,16

1,94

Тривалість обігу обротних коштів, роки

0,72

0,19

Готова продукція, млн. грн.

55,80

54,2

Каса і дебетова заборгованість, млн. грн.

-0,64

1,14

Плановий обсяг реалізації, тис.одиниць

342

208

Вартість авансованого капіталу, доли одиниці

24,58

Прогнозний темп інфляції, %

2,42

Процент по депозиту, %

39,58

Позиковий процент, %

67,58


2.2 Розрахунок аналітичних параметрів показників інвестиційних альтернатив


До аналітичних показників, що розраховуються, належать:

a)       загальна накопичена величина дисконтованих доходів;

b)      чиста приведена вартість;

c)      індекс рентабельності інвестицій;

d)      сумарний NPV потоку, що повторюється;

e)       норма рентабельності (внутрішня прибутковість) інвестицій;

f)       термін окупності проекту;

g)      коефіцієнт ефективності проекту.

Загальна накопичена величина дисконтованих доходів (PV) і чиста приведена вартість (NPV) розраховуються по наступних формулах:

 (2.1)

 (2.2)

При обгрунтуванні переваги інвестиційного проекту слід враховувати, що:

якщо NPV ³ 0, то проект слід прийняти;

якщо NPV < 0 проект слід відкинути як незадовільний.

Крім того, при виконанні операції дисконтування з метою визначення NPV коефіцієнт дисконтування слід скоректувати на індекс інфляції. Таке коректування визначається таким чином:

r = r* х Iі, (2.3)

де r – скоректований коефіцієнт дисконтування ("ціна" капіталу);

r* - коефіцієнт дисконтування;

Iі – індекс інфляції;

r - спочатку заданий коефіцієнт дисконтування. Наприклад, якщо передбачається здійснення інвестиції виходячи з 40% річних, а інфляція складає 5% в рік, то в розрахунках використовуватиметься не 10% зростання капіталу, а інший показник, що відрізняється від результатного на величину індексу інфляції, – 1,47 ( 1,4 х 1,05).

Індекс рентабельності інвестицій (PI), по суті, є слідством попереднього і розраховується по формулі:

 (2.4)

Очевидно, що якщо:

PI ³ 1, то проект слід прийняти;

PI < 1, то проект слід відкинути.

На відміну від чистої приведеної вартості (NPV) індекс рентабельності є відносним показником. Завдяки цьому він дуже зручний для випадків з максимальним сумарним значенням NPV.


 (2.9)

1-й проект

NPV = 27,06 + 27,06 / (1 + 1,47) 5 + 27,06/ (1 + 1,47 )10 + 27,06/ (1 + 1,47)15 = 27,06 (1+ 0,1457 = 0,0212 + 0,0031)= 31,66 млн.грн

2-й проект

 NPV = 37,07 + 37,07 / 1,474 + 37,07 / 1,478 +37,07 / 1,4712 + 37,07 / 1,4716  = 37,07х (1 + 0,2142 + 0,0459 + 0,0098 + 0,0021) = 47,15 млн.грн

Таким чином, в розглянутому прикладі переважно вибрати проект II– його сумарний NPV вище.

Під нормою рентабельності інвестицій (IRR) або внутрішньою прибутковістю розуміють значення коефіцієнта дисконтування, при якому NPV проекту рівний нулю:

IRR = r, при якому NPV = f ® = 0.

Сенс розрахунку цього коефіцієнта при аналізі ефективності планованих інвестицій полягає в наступному: IRR показує максимально допустимий відносний рівень витрат, які можуть бути асоційовані з даним проектом. Наприклад, якщо проект повністю фінансується за рахунок позики комерційного банку, то значення IRR показує верхню межу допустимого рівня банківської процентної ставки, перевищення якого робить проект збитковим.

В більшості випадків підприємство фінансує інвестиційну діяльність за рахунок різних джерел. При використанні позикових або привернутих джерел підприємство платить за користування цими фінансовими ресурсами у формі відсотків, дивідендів. Ця плата називається "ціною" капіталу (СС). Підприємство може ухвалювати позитивне інвестиційне рішення, якщо рівень рентабельності проекту (IRR) не нижчий за "ціну" позикового або привернутого капіталу, тобто якщо: IRR > CC, то проект слід прийняти; IRR =< CC, то проект слід відкинути;

Показник IRR розраховується по наступній формулі:

IRR = r1 + [ f(r1) : ( f(r1) – f(r2) ] х ( r2 –r1), (2.5)

де r1 і r2 – значення табульованого коефіцієнта дисконтування. Для ілюстрації процедури розрахунку показника IRR розглянемо перший проект:

Визначимо значення показника IRR для проекту, розрахованого на п’ять років, що вимагають інвестицій у розмірі 7.80 млн. грн. і що має передбачувані величини прибули 12.20 млн. грн, 13.48 млн.грн., 15.03 млн. грн., 16.91 млн. грн., 16.23 млн. грн. відповідно щорічно.

Візьмемо два довільні значення коефіцієнта дисконтування: r2 =10% і r1 = 20%. Всі розрахунки проведемо в таблиці 2.2:

Таблиця 2.2 Розрахунок норми рентабельності проекту I

Рік

Грошовий потік, млн. грн.

Розрахунок 1, r = 10% PV

Розрахунок 2, r=20% PV

0-й

-7.80

-7.80

-7.80

1-й

12.20

11.09

10.17

2-й

13.48

11.14

9.36

3-й

15.03

11.29

8.70

4-й

16.91

11.55

8.16

5-й

16.23

10.08

6.52

Разом


47.36

35.11


У цій таблиці в графові PV представлені дисконтовані значення грошових потоків відповідно по коефіцієнту 10% і 20%. Величина 47.36 отримана таким чином:

-7.80 + 11.09 + 11.14 + 11.29 + 11.55 + 10.08 = 47.36

Аналогічно отримана величина 35.11 млн. у.о.

-7.80 + 10.17 + 9.36 + 8.70 + 8.16 + 6.52 = 35.11

Тоді значення IRR обчислюється таким чином:

IRR = 10% + 47.36 / (47.36 - 35.11) / (20% - 10%) = 48.66%

Якщо проект інвестується за рахунок позикового або привернутого капіталу, то використання цих засобів доцільне лише тоді, коли "ціна" капіталу не вище 48.66%. При виконанні розрахунків в курсовій роботі як довільні значення коефіцієнтів табуляції (r1 і r2) можна використовувати коефіцієнт рентабельності (як r2), що склався, і "ціну" авансованого капіталу (як r1). Аналогічно розрахуємо II проект:

Визначимо значення показника IRR для проекту, розрахованого на чотири роки, що вимагають інвестицій у розмірі 8.40 млн. у.о. і що має передбачувані величини прибули 12.20 млн. у.о, 13.54 млн. у.о., 15.44 млн. у.о., 16.98 млн. у.о. відповідно щорічно. Візьмемо два довільні значення коефіцієнта дисконтування: r2 =10% і r1 = 20%. Всі розрахунки проведемо в таблиці 2.3: У цій таблиці в графові PV представлені дисконтовані значення грошових потоків відповідно по коефіцієнту 10% і 20%. Величина 47.36 отримана таким чином:

-8.40 + 11.09 + 11.19 + 11.60 + 11.60 = 37.08

Аналогічно отримана величина 28.29 млн. у.о.

-8.40 + 10.17 + 9.40 + 8.93 + 8.19 = 28.29

Тоді значення IRR обчислюється таким чином:

IRR = 10% + 37.08 / (37.08 - 28.29) / (20% - 10%) = 52.20%

Якщо проект інвестується за рахунок позикового або привернутого капіталу, то використання цих засобів доцільне лише тоді, коли "ціна" капіталу не вище 52.20%.

Таблиця 2.3 Розрахунок норми рентабельності проекту II

Рік

Грошовий потік, млн. грн.

Розрахунок 1, r = 10% PV

Розрахунок 2, r=20% PV

0-й

-8.40

-8.40

-8.40

1-й

12.20

11.09

10.17

2-й

13.54

11.19

9.40

3-й

15.44

11.60

8.93

4-й

16.98

11.60

8.19

Разом


37.08

28.29


При розрахунку терміну окупності не враховується чинник часу. Алгоритм розрахунку терміну окупності (РР) залежить від рівномірності розподілу прогнозованих доходів від інвестиції. Якщо дохід розподілений по роках рівномірно, то термін окупності розраховується діленням одноразових витрат на величину річного доходу. При отриманні дробового числа воно округляється у бік збільшення до найближчого цілого. Якщо прибуток розподілений нерівномірно, то термін окупності розраховується прямим підрахунком числа років, протягом яких інвестиція буде погашена наростаючим доходом. Загальна формула показника РР має вигляд:

РР =n, при якому Прi > IC. (2.6)

Порядок розрахунку цього показника простий, що і обумовлює широке застосування його на практиці: коефіцієнт ефективності інвестицій (ARR) розраховується діленням середньорічного прибутку PN на середню величину інвестиції і вимірюється у відсотках. Середня величина інвестиції визначається діленням початкової суми капітальних вкладень на два, якщо передбачається, що після закінчення терміну реалізації аналізованого проекту всі капітальні витрати будуть списані; якщо допускається наявність залишкової або ліквідаційної вартості (RV), то її оцінка повинна бути виключена:

 (2.7)

Показник ARR порівнюється з коефіцієнтом рентабельності авансованого капіталу, що розраховується діленням загального чистого прибутку підприємства на загальну суму коштів, авансованих в його діяльність (підсумок середнього балансу-нетто).

Підприємство в даний час має в своєму розпорядженні засоби для розширення бізнесу і диверсифікації вкладень. З цією метою розглядається доцільність прямих інвестицій в іноземній валюті в зарубіжне підприємство. Можливі два варіанти, що відрізняються один від одного вартістю, тривалістю реалізації, а також економічними показниками.

Знос устаткування нараховується по методу прямолінійної амортизації; ліквідаційна вартість устаткування буде достатня для покриття витрат, пов'язаних з демонтажем лінії.

Виручка від реалізації продукції по роках прогнозується залежно від варіанту інвестиційного проекту. Прогноз виручки приведений в початкових даних. Поточні витрати, тобто витрати на експлуатацію лінії, в перший рік приведені в початкових даних. У подальші роки експлуатації лінії передбачається, що поточні витрати щорічно будуть рости на 14%.

Передбачається, що щорічно виручка від реалізації за першим проектом зростатиме в наступних розмірах: 2-й рік - на 10,5% щодо першого року; 3-год - на 11,5% щодо другого року; 4-й рік - на 12,5 % щодо третього року; на 5-й рік прогнозується зниження виручки від реалізації на 4% щодо четвертого року; далі виручка знижуватиметься щорічно на 2% щодо попереднього року.

Виручка від реалізації за другим проектом зростатиме в наступних розмірах: 2-й рік - на 11% щодо першого року; 3-год - на 14% щодо другого року; 4-й рік - на 10 % щодо третього року; на 5-й рік прогнозується зниження виручки від реалізації на 3,0% щодо четвертого року.

Ставка податку на прибуток в кожному з даних проектів складає 25%.

Коефіцієнт рентабельності капіталу, що авансується, по фінансово-господарському положенню підприємства, що склалося, ставка дисконтування – 40%. Темпи інфляції 5%. Значення коефіцієнта рентабельності капіталу, що авансується, слід приймати однаковим для кожного з проектів.

Відповідно до практики ухвалення рішень, що склалася, в області інвестиційної політики, а також виходячи з можливих термінів отримання кредиту банку, керівництво банку не вважає за доцільне брати участь в проектах з терміном окупності більше чотирьох років. Термін експлуатації проектів – відповідно 5 і 4 року.

Таблиця 2.4. Параметри умов реалізації інвестиційних проектів

1-й проект, млн. грн.

2-й проект, млн. грн.

Величина первинних інвестицій

Розмір виручки в 1-й рік

Розмір поточних витрат

Величина первинних інвестицій

Розмір виручки в 1-й рік

Розмір поточних витрат

7.80

12.20

5.6

8.40

12.20

4.1


Розрахунок показників по роках дає можливість визначити такі основні показники, використовувані при ухваленні інвестиційних рішень, як чистий прибуток і чисті грошові надходження (чистий грошовий потік).

Проте розраховані на цьому етапі показники не враховують тимчасових змін, тобто розрахунки виконані без урахування чинника часу. Облік чинника часу — це оцінка прибутку проекту з урахуванням тимчасової вартості грошей. Врахувати тимчасові зміни вартостей дозволяє процедура дисконтування вартості. Дисконтування дозволяє визначити справжній грошовий еквівалент суми, яка буде отримана в майбутньому.

Розрахунок терміну окупності проекту I: сума надходжень від реалізації за роки = 12.20 +13.48+ 15.03 = 40.71 < Первинні інвестиції = 44.62

Означає термін окупності проекту = 4 року

Таблиця 2.5 Розрахунок початкових показників за першим проектом

Показники

Значення по роках (i)

1

2

3

4

5

1. Об'єм реалізації, млн. грн.

12.20

13.48

15.03

16.91

16.23

2. Поточні витрати, млн. грн.

5.60

6.38

7.28

8.30

9.46

3. Знос, млн. грн.

1.56

1.56

1.56

1.56

1.56

4. Оподатковуємий прибуток, млн. грн.

5.04

5.54

6.19

7.05

5.22

5. Оподатковуємий прибуток, млн. грн.

28.83

32.23

40.26

46.13

33.48

6. Податок на прибуток, млн. грн.

7.21

8.06

10.06

11.53

8.37

7. Чистий прибуток, млн. грн.

21.62

24.17

30.19

34.60

25.11

8. Чисті грошові надходження, млн. грн.

30.54

33.25

40.33

44.80

35.13

9. Знаменник дисконтування в долях одиниці

1.40

1.96

2.74

3.84

5.38

10. Дисконтова ні чисті грошові потоки

21.82

16.96

14.70

11.66

6.53


Розрахунок терміну окупності проекту II: сума надходжень від реалізації за роки = 12.20 +13.54+ 15.44 = 41.18 < Первинні інвестиції = 53.09

Означає терміну окупності проекту = 4 року

Таблиця 2.6 Розрахунок початкових показників за другим проектом

Показники

Значення по роках (i)

1

2

3

4

1. Об'єм реалізації, млн. у.о.

12.20

13.54

15.44

16.98

2. Поточні витрати, млн. у.о.

4.10

4.67

5.33

6.07

3. Знос, млн. у.о.

2.10

2.10

2.10

2.10

4. Оподатковуємий прибуток, млн. у.о.

6.00

6.77

8.01

8.81

5. Оподатковуємий прибуток, млн. грн.

37.92

44.80

54.62

62.09

6. Податок на прибуток, млн. грн.

9.48

11.20

13.66

15.52

7. Чистий прибуток, млн. грн.

28.44

33.60

40.97

46.57

8. Чисті грошові надходження, млн. грн.

41.71

41.71

55.29

61.37

9. Знаменник дисконтування в долях одиниці

1.40

1.96

2.74

3.84

10. Дисконтовані чисті грошові потоки

29.79

24.24

20.15

15.98


Таблиця 2.7 Аналітичні показники за проектами

Показник

Значення

1-й проект

2-й проект

Загальна накопичена величина дисконтованих доходів

71.67

90.16

Чиста приведена вартість

27.06

37.07

Індекс рентабельності інвестицій

160.65 %

169.83 %

Сумарний NPV потоку, що повторюється

31.66

47.15

Норма рентабельності (внутрішня прибутковість) інвестицій

18.60%

1.34%

Термін окупності проекту

4

4

Коефіцієнт ефективності проекту

1.49

1.76


По критерію максимуму чистої приведеної вартості найпривабливішим є другий інвестиційний проект, чиста приведена вартість якого складає 37.07 млн. грн.

Висновки


Розглянувши методики визначення ефективності інвестиційних проектів, зазначимо, що основна увага акцентується на оцінці ефективності інвестиційних проектів з позиції позичальника, до кінця не враховуючи інтересів кредитора. Такий однобічний підхід не може повною мірою оцінити проект, який потребує залучення додаткових коштів, зокрема, кредитних. Враховуючи зацікавленість банку в підтвердженні того, що грошові потоки інвестиційного проекту забезпечать повернення кредиту та відсотків за ним, вважаємо за доцільне розглянути ще один показник – коефіцієнт покриття боргу DSCR (debt service coverage ratio). Цей коефіцієнт розраховується як співвідношення грошових потоків за проектом до суми платіжних зобов’язань за проектним кредитом [22]. За різними типами проектів мінімальне значення цього коефіцієнта становить від 1,3 до 2,0. Необхідно зазначити, що оцінка ефективності інвестиційних проектів є ключовим питанням як інвесторів, так і кредиторів. Разом з тим серед науковців-економістів та практиків немає єдиної думки щодо методології такої оцінки. Кожен фахівець використовує власну методику оцінки ефективності інвестиційного проекту. Відмітимо, що таке розмаїття різних методик не спрощує процес оцінювання ефективності інвестиційних проектів.

Застосування прогресивних західних методів оцінки кредитоспроможності українських позичальників є недостатньо адекватно прийнятною системою через те, що суб’єкти підприємницької діяльності працюють в умовах перехідного періоду. Це вимагає від банківських фахівців створення власної методології оцінки інвестиційної кредитоспроможності підприємств, яка уможливлювала б отримання якісного майнового забезпечення (проекту) і проведення якісного аналізу інвестиційної привабливості позичальника. На підставі проведеного аналізу інвестиційних розрахунків можна зробити висновок про більше інвестиційну привабливість другого проекту, чиста приведена вартість якого складає 37.07 млн. грн.

Список використаних джерел


1. Балацький О.Ф., Теліженко О.М., Соколов М.О. Управління інвестиціями: Навч. посібник. – 2-е вид., перероб. і доп. – Суми: ВТД "Університетська книга", 2004.– 232 с.

2. Бланк И.А. Основы инвестиционного менеджмента. Т.1. – К.: Эльга-Н, Ника-Центр, 2001. – 536 с.

3. Воркут Т.А. Проектний аналіз. – Навч. посібник. – К.: Український центр духовної культури, 2000. – 440 с.

4. Гойко А.Ф. Методи оцінки ефективності інвестицій та пріоритетні напрями їх реалізації. – К.: ВІРА-Р, 2002. – 320 с.

5. Зимин И.А. Реальные инвестиции: Учеб. пособие. – М.: Ассоциация авторов и издателей "ТАНДЕМ", Издательство "ЭКМОС", 2000. – 304 с.

6. Игонина Л.Л. Инвестиции:Учеб. пособие / Под ред. д-ра экон. наук, проф. В.А. Слепова. – М.: Экономистъ, 2003. – 478 с.

7. Идрисов А.Б. Планирование и анализ эффективности инвестиций. – М.: Pro-invest consulting, 2005. – 160 с.

8. Катасонов В.Ю., Морозов Д.С., Петров М.В. / Под общ. ред. В.Ю. Катасонова. Проектное финансирование: мировой опыт и перспективы для России. – М.: Анкил, 2001. – 312 с.

9. Кобиляцький Л.С. Управління проектами: Навч. посібник. – К.: МАУП, 2002. – 200 с.

10.   Крутик А.Б., Никольская Е.Г. Инвестиции и экономический рост предпринимательства. – Серия "Учебники для вузов. Специальная литература". – СПб.: Лань, 2000. – 544 с.

11.   Мазур И.И., Шапиро В.Д., Ольдерогге Н.Г. Управление проектами: Учеб. пособие. – 2-е изд. / Под общ. ред. И.И. Мазура. – М.: Омега-Л, 2004. – 664 с.

12.   Методические рекомендации по оценке эффективности инвестиционных проектов: Офиц. изд. – М.: Экономика, 2000.– 421 с.

13.   Пересада А.А. Управління інвестиційним процесом. – К.: Лібра, 2002. – 472 с.

14.   Пересада А.А., Майорова Т.В. Інвестиційне кредитування: Навч. посібник. – К.: КНЕУ, 2002. – 271 с.

15.   Попов В.П., Семенов В. П. Организация и финансирование инвестиций. – СПб.: Питер, 2001. – 224 с.

16.   Савчук В.П., Прилипко С.Н., Величко Е.Г. Анализ и разработка инвестиционных проеков. – К.: Абсолют-В, Эльта, 2003. – 234 с.

17.   Турбина К.Е. Инвестиционный процесс и страхование инвестиций. – М.: Анкил, 2005. – 350 с.

18.   Тян Р.Б., Холод Б.І., Ткаченко В.А. Управління проектами: Підручник. – К.: Центр навчальної літератури, 2003. – 224 с.

19.   Янковский К.П., Мухарь И.Ф. Организация инвестиционной и инновационной деятельности. – СПб.: Питер, 2001. – 448 с.

Похожие работы на - Організація і фінансування інвестицій

 

Не нашли материал для своей работы?
Поможем написать уникальную работу
Без плагиата!
Без нейросетей!