Ресурсный потенциал Республики Коми: оценка и эффективность использования

  • Вид работы:
    Курсовая работа (т)
  • Предмет:
    Экономика отраслей
  • Язык:
    Русский
    ,
    Формат файла:
    MS Word
    70,29 kb
  • Опубликовано:
    2011-01-27
Вы можете узнать стоимость помощи в написании студенческой работы.
Помощь в написании работы, которую точно примут!

Ресурсный потенциал Республики Коми: оценка и эффективность использования











Курсовая работа

по дисциплине: "Основы экономической теории"

на тему: "Ресурсный потенциал Республики Коми: оценка и эффективность использования"

План

Введение

1. Ресурсный потенциал территории: сущность и виды

1.1 Виды потенциалов

1.2 Природные ресурсы как фактор производства

2. Оценка природно-ресурсного потенциала Республики Коми

2.1 Структура природно-ресурсного потенциала Республики Коми

2.2 Условия и факторы освоения природных ресурсов региона

2.3 Методические подходы к инвентаризации и оценке природно-ресурсного потенциала в Республике Коми

3. Меры повышения эффективности использования природно-ресурсного потенциала Республики Коми

Заключение

Список использованной литературы

Введение

Общеизвестно, что ресурсный потенциал обуславливает социально - экономическое развитие территории.

Экономическое развитие общества, размещение производительных сил, жизнедеятельность человека в немалой степени испытывают влияние природно-географической среды, представляющей совокупность природных условий и ресурсов.

Условия и факторы освоения природных ресурсов рассматриваются как элементы природной среды, которые непосредственно не вовлекаются в процесс материального производства, однако без них сам процесс производства невозможен. Благоприятные или неблагоприятные условия отражаются как на экономической стороне развития общества и производства, так и на различных сторонах жизни населения. Природные и экономические условия во многом определяют жизнедеятельность населения; характер трудовой деятельности, быт, возможности отдыха.

Цель настоящей курсовой работы состоит в том, чтобы рассмотреть природно-ресурсный потенциал территории, а именно Республики Коми

В задачи моей работы входят:

- рассмотреть понятие о природно-ресурсном потенциале;

- определить структуру природно-ресурсного потенциала Республики Коми;

- выделить основные условия и факторы освоения природных ресурсов;

- наметить пути эффективного использования природно-ресурсного потенциала;

Актуальность работы обусловлена тем, что в условиях перехода экономики на рыночные отношения все большее значение приобретают самостоятельное развитие и самообеспечение городов и районов за счет рационального использования всего комплекса ресурсов территории: природных, производственных, трудовых.

Развитие производительных сил республики тесно связано с разработкой ее богатых сырьевых ресурсов. На внутреннем и внешнем рынках России республику представляет продукция минерально-сырьевого и лесного комплексов. Для жизнеобеспечения населения важное значение имеет рациональное использование земельных, водных, охотничьих, рыбных и других природных ресурсов.

1. Ресурсный потенциал территории: сущность и виды

1.1 Виды потенциалов

Потенциал (от лат . potentia - сила) - источники, возможности, средства, запасы, которые могут быть использованы для решения какой-либо задачи, достижения определенной цели; возможности отдельного лица, общества, государства в определенной области.

 По характеру участия в формировании дохода МО выделяются базовые, институциональные и финансовые ресурсы.

К базовым ресурсам относятся природные, демографические, трудовые и иные материальные ресурсы, в основном определяющие национальное богатство.

Институциональные ресурсы проявляются через определенные организационно-управленческие формы, стимулирующие рост муниципального дохода.

Финансовые – включают средства, полученные от использования базовых и институциональных ресурсов.

Натуральные потенциалы представляют собой группу потенциалов, отражающих природно-ресурсные, человеческие и материально-технические возможности территории: транспортно-географический, минеральный, лесной, земельный, водный, демографический, трудовой и материально-технический (характеризующий основные фонды) потенциалы.

Стоимостные потенциалы характеризуют качество и количество финансовых средств территории и выделены с учетом источников и характера их формирования и распределения. К ним отнесены финансовый, бюджетный, налоговый.

Институциональный потенциал отражает вовлеченность в формирование дохода таких рыночных институтов, как предпринимательство, собственность, инвестиции, конкурентоспособность.

При этом транспортно-географический, водный и демографический потенциалы рассматриваются как фактор ограничения формирования и использования других ресурсов территории, и от них во многом зависит, как будут развиваться остальные потенциалы. Смешанную форму имеет социальный потенциал, раскрывающий, с одной стороны инфраструктурные, а с другой – финансовые возможности отраслей сферы обслуживания населения.

В данной курсовой работе более подробно будет рассмотрен природно-ресурсный потенциал, т.к. он является основой экономики региона.

Природно-ресурсный потенциал – это та часть природных ресурсов Земли и ближайшего космоса, которая может быть реально вовлечена в хозяйственную деятельность при данных технических и социально-экономических возможностях общества с условием сохранения среды жизни человечества. В более узком экономическом понимании – доступная при данных технологиях и социально-экономических отношениях совокупность природных ресурсов.

1.2 Природные ресурсы как фактор производства

 

Факторы производства - используемые в производстве ресурсы, от которых в определяющей степени зависят количество, объем выпускаемой продукции. Развитие производства зависит в первую очередь от количества и качества примененных в производстве факторов. Одним из важнейших факторов являются природные ресурсы. Глава республики В.А. Торлопов на Третьем Северном социально-экологическом конгрессе отметил, что основу уникального природно-ресурсного потенциала Коми составляет богатейшая минерально-сырьевая база. Это Печорский угольный бассейн, который занимает второе место в стране по запасам и содержит всю гамму углей для коксохимии и энергетики. Его общие ресурсы оцениваются в 267 млрд тонн угля. Поскольку спрос на печорский уголь растет, в отрасль пошли инвестиции, уровень его добычи в 2007 году планируется довести до 14,2 миллиона тонн. В последние годы благодаря вводу в разработку новых месторождений и внедрению современных технологий добычи нефти, ускоренными темпами в республике развивается нефтедобывающая отрасль. Республика Коми, как известно, является одним из ведущих лесопромышленных регионов России, где сосредоточено почти 40 процентов лесов Европейского Севера России. Лесопромышленный комплекс занимает второе место в экономике Коми, а доля продукции глубокой переработки древесины по республике превышает 88 процентов. Это один из самых высоких показателей в стране. Сегодня можно уже говорить и о такой принципиально новой для промышленности республики отрасли, как горнорудная. Она находится пока только в стадии становления, однако при этом является "точкой роста", одним из перспективных направлений экономического развития. Он также отметил, что реализация на территории региона крупнейшего в отрасли проекта строительства современного глиноземного комплекса "Коми Алюминий" в районе Ухты позволит добывать до 6,5 миллионов тонн бокситов и 1,4 миллиона тонн глинозема в год. Сильным звеном Республики Коми, как уже было сказано, является мощный природный и производственный потенциал. Однако при этом недостаточное развитие транспортной инфраструктуры для перевозки сырья и продукции приводит к ее значительному удорожанию, снижает конкурентоспособность в других регионах России и за рубежом. Для решения этой проблемы правительство Республики Коми совместно с правительствами Архангельской области и Пермского края добивается принятия положительного решения о строительстве железнодорожной магистрали Архангельск - Сыктывкар - Кудымкар -Пермь, так называемый проект "Белкомур". Реализация этого проекта откроет новые возможности для экономического и социального развития прилегающих районов, а также кратчайшего выхода грузов из Юго-Восточной Азии к центрам мировой торговли с использованием Северного морского пути и существующих железнодорожных линий в страны Скандинавии. Кроме этого, трасса даст выход на главную Транссибирскую железнодорожную магистраль Москва - Владивосток. В перспективе же возможно ее развитие на юг через Уфу и Оренбург - в Казахстан и республики Средней Азии. Российско-Финляндской межправительственной комиссией дорога включена в проект "Коридор Оулу - Архангельск - Коми". Также "Белкомур" заинтересовал инициаторов проекта "Создание северо-восточного транспортного звена" и "Скандинавско-Российского транспортного пути "Восток - Запад". Все это позволит решить ряд важнейших социальных проблем, создать десятки тысяч новых рабочих мест, значительно ускорит темпы социально-экономического развития и роста жизненного уровня населения областей Уральского региона, Пермского края, Республики Коми, Архангельской и Мурманской областей, Республики Карелия, обеспечит увеличение налоговых поступлений в бюджеты всех уровней. Но есть вещи, которые не измеришь ни в рублях, ни в долларах, ни в евро. Как, к примеру, можно оценить легкие человека, если им нет замены? Точно так же следует, по-моему, относиться и к нашим природным ресурсам. Сегодня на долю ресурсного сектора экономики приходится две трети всех платежей, поступающих в бюджетную систему Российской Федерации. И в перспективе эта тенденция, по прогнозам специалистов, будет только усиливаться.

Однако все большее доминирование добывающих и полупродуктовых отраслей может в будущем привести к потере экономической самостоятельности региона в связи с неустойчивой конъюнктурой мирового рынка сырья и меньшей эффективностью сырьевых производств по сравнению с высокотехнологичными производствами конечных видов продукции. Несостоятельность одностороннего курса на добычу, первичную переработку и экспорт сырья по демпинговым ценам, с одной стороны, и на импорт дорогостоящей конечной продукции – с другой, особенно ярко проявилась в регионе в последние годы.

2. Оценка природно-ресурсного потенциала Республики Коми

2.1 Структура природно-ресурсного потенциала Республики Коми

Велика роль структуры природно-ресурсного потенциала. Под ней следует понимать соотношение между различными видами природных ресурсов внутри данной территории.

Природно-ресурсный потенциал любого региона определяется наличием природных ресурсов, их количеством, качеством, сочетанием и потребительской стоимостью. К ним относятся: земля, почва, недра, воды, ресурсы растительного и животного мира, рекреационные природные ресурсы и другие компоненты природной среды. Размещение, условия освоения и характер использования природных ресурсов влияют на содержание и темпы регионального развития.

В условиях становления рыночных отношений большую практическую значимость приобретает экономическая оценка природных ресурсов – определение их ценности в денежном выражении в фиксированных режимах природопользования (производственных, социально-экономических, экономических).

Существующие подходы к оценке природно-ресурсного потенциала не учитывают многие аспекты его использования:

- возможность взаимодействия природных объектов, в частности, взаимоисключение их использования (лесной массив — недропользование, ГЭС — затопление лесных и сельскохозяйственных земель);

- один и тот же природный ресурс может использоваться различным образом;

- в рамках одного направления использования природного ресурса может быть много вариантов, отличающихся интенсивностью использования, технологиями и т.д.

Структура природно-ресурсного потенциала Республики Коми

Потенциал

Составляющие потенциала

Учитываемые ресурсы

Минеральный

Топливно-энергетические ресурсы

Нефть, газ, уголь (каменный, бурый), горючие сланцы, торф.

Металлы

Золото, титан, марганец, хром, бокситы, медь, цинк, свинец.

Неметаллы

Известняк, доломит, кварц, фосфориты.


Строительные материалы

Строительный камень, облицовочный камень, цементное сырье, песчано-гравийные материалы, кирпично-черепичное сырье, керамзитовое сырье, глины, гипс, стекольные пески.

Земельный

Земли сельскохозяйственного

Пашни сенокосы, пастбища

Земли, находящиеся в ведении городских, поселковых и сельских органов власти

Сельхозугодья, личные подсобные хозяйства, индивид. жилищное строительство, садоводство, огородничество и животноводство, лесные площади, застроенные и нарушенные земли

Земли промышленности, транспорта, связи, радиовещания, телевидения

Водный

Поверхностные воды

Резервы водопотребления, гидроэнергетические ресурсы

Подземные воды

Эксплуатационные ресурсы пресных, солоноватых и минеральных вод

Растительный

Лесные (древесные) ресурсы

Древесина хвойных и лиственных пород.

Недревесные ресурсы

Дикорастущие ягоды, грибы, кедровые орехи, лекарственные травы, живица, пихтовая смола, папоротник-орляк.

Фаунистический

Охотопромысловые животные

Пушные и копытные животные, медведи, птицы.

Промысловые рыбы

Осетровые, лососевые, тресковые, печорская семга, сибирский и европейский хариус, стерлядь, нельму, частиковые рыбы (язь, щука, окунь, плотва)

Рекреационный

Оздоровительные объекты

Курорты, санатории, дома отдыха, лечебно-оздоровительные местности

Туристические объекты

Туристические маршруты и базы

Вторичный

Отходы, образующиеся при добыче, обогащении и использовании полезных ископаемых

Хвосты и шламы обогащения руд, отвалы вскрышных пород карьеров и угольных разрезов, зола и шлаки от сжигания углей.

Отходы лесной и деревообрабатывающей промышленности

Порубочные остатки, опилки, стружки

В практике природопользования важно учитывать не только общую обеспеченность определенными видами природных ресурсов, но и обеспеченность конкретными видами, ресурсов. Вот почему важно знать соотношение различных видов природных ресурсов на данной территории, т.е. структуру природно-ресурсного потенциала, при обязательном выделении ведущих ресурсов, играющих особо важную роль среди ресурсов данной территории. Считается, что ведущие ресурсы представляют собой основное звено в системе ресурсов.

Структуры природно-ресурсных потенциалов бывают различных типов для отдельных стран и районов. Например, ведущими ресурсами могут быть агроклиматические, водные (энергетические, ирригационные и др.), земельные, биологические (лесные, пастбищные, фаунистические). Многие страны отличаются сложной структурой природно-ресурсного потенциала и, следовательно, обладают широким набором природных ресурсов.

Минеральный потенциал

Нефть и газ. Республика Коми входит в состав Северо-Европейского центра нефтегазодобычи России. На ее территории расположены Тимано-Печорская нефтегазоносная провинция и Мезенский потенциально нефтегазоносный бассейн. Основные запасы нефти и газа и их добыча сосредоточены в Тимано-Печорской провинции. Начальные суммарные ресурсы углеводородного сырья Республики Коми в пределах Тимано-Печорской провинции составляют 4,17 млрд. т. условного топлива, в том числе нефти 2,18 млрд. т, свободного газа 1,7 трлн. м3.

Изученность Тимано-Печорской провинции в пределах Республики Коми средняя - плотность сейсмических профилей МОГТ достигает 0,8 пог. км на кв. км, плотность глубокого бурения - 1 скважина на 80 кв. км. Разведанность начальных суммарных ресурсов углеводородов составляет 43%.

На территории республики открыто 148 месторождений углеводородного сырья. На 70 разрабатываемых и подготавливаемых к освоению месторождениях сосредоточено до 95% текущих запасов углеводородов.

Уголь. Печорский угольный бассейн - крупная сырьевая база с промышленными запасами угля (категории А+В+С1) в количестве 6.85 млрд. т, в том числе на территории Республики Коми - 6.74 млрд. тонн. Прогнозные ресурсы углей Печорского бассейна по категориям Р123 оцениваются в 175.7 млрд. т, в том числе на территории Республики Коми -77.6 млрд. тонн. В их числе угли: бурые-10.1 млрд. т, каменные - 67.4 млрд. т, антрациты - 24 млн. тонн. Печорский угольный бассейн является вторым в России бассейном по ресурсам, угли которого используются для производства кокса и электроэнергии. Имеются предпосылки для нетрадиционных направлений использования угля. Бассейн располагает возможностями производства энергетических углей высокого качества, в т.ч. открытым способом.

Горючие сланцы. Запасы и ресурсы горючих сланцев Республики Коми сосредоточены в двух сланценосных бассейнах: Тимано-Печорском и Вычегодском. В состав Вычегодского бассейна входят Яренгский и Сысольский сланценосный районы, в которых горючие сланцы приурочены к отложениям волжского яруса верхней юры.

Торф. Ресурсы торфа учтены по 4840 торфяным месторождениям и проявлениям, занимающим площадь более чем 2.8 млн. га, с суммарными запасами и прогнозными ресурсами (40% влажности) - 8.4 млрд. тонн.

Металлические полезные ископаемые. Основное количество месторождений и проявлений металлических ископаемых сосредоточено на западном склоне Полярного, Приполярного и Северного Урала, на Среднем и Южном Тимане.

Черные металлы. Сырьевая база черных металлов представлена рудами титана, марганца, хрома. В Ухтинском промышленном районе находится крупнейшее по запасам Ярегское нефтетитановое месторождение.

Сырьевая база марганцевых руд представлена Парнокским железо-марганцевым месторождением, расположенном на западном склоне Приполярного Урала, проявлениями окисных руд на Среднем Тимане, а также рядом перспективных площадей на Полярном и Приполярном Урале.

Ресурсы хромовых руд локализованы на Полярном Урале, в западной части Войкаро-Сынинского гипербазитового массива, часть которого (~200 км2) находится на территории Республики Коми.

Аллюминиевые руды (бокситы). Основной сырьевой потенциал глиноземного сырья Республики Коми сосредоточен в Тиманской бокситоносной провинции, объединяющей Среднетиманский и Южнотиманский бокситорудные районы.

Среднетиманский бокситорудный район представлен в основном Ворыквинской группой крупных промышленных месторождений бокситов.

Южнотиманский бокситорудный район располагается в радиусе 30-150 км к северо-западу, югу и юго-востоку от г. Ухты и включает месторождения и проявления осадочных бокситов, относящихся к визейскому бокситоносному уровню.

Медь. Месторождения и проявления медистых песчаников стратиформного типа образуют Западно-Уральскую меденосную провинцию. Промышленные запасы меди отсутствуют, но могут быть подготовлены, в частности на перспективных Саурипейском и Косьюнском месторождениях.

Свинец, цинк. Проявления этих металлов выявлены в пределах Уральской металлогенической мегазоны. Известны Кожимское рудопроявление, расположенное на Приполярном Урале и Шантым-Прилукское полиметаллическое рудопроявление в верховьях р. Илыч.

Благородные металлы и алмазы. Ресурсный потенциал золота в Республике Коми, включающий месторождения и проявления рудного и россыпного золота, сосредоточен на Западном склоне Урала, а также на Тимане. Его структура характеризуется преобладанием россыпного золота в балансовых запасах, и, напротив, преобладанием рудного золота в прогнозных ресурсах.

Минеральное строительное сырье представлено многочисленными месторождениями, разведанные запасы которых сосредоточены преимущественно в промышленно-развитых районах. Разрабатываются месторождения известняков, доломитов, кварцитопесчаников, кирпичных глин, цементного, сырья. Наиболее интенсивно эксплуатируются месторождения песка и песчано-гравийных материалов для строительных работ.

Земельный потенциал

Республика Коми расположена на крайнем северо-востоке Европейской части России. Площадь Республики Коми – 416,8 тыс. кв. км. (2,4% площади России). Территория республики имеет наибольшую протяженность с юго-запада на северо-восток –1275 км. Распределение земельного фонда по категориям земель

Категория земель

Площадь

на 01.01.06 г.

на 01.01.07 г.

Изменение

тыс. га

%

тыс. га

%

Земли сельскохозяйственного назначения

1 836,9

4,4

1 855,8

4,5

+18,9

Земли поселений

201,3

0,5

197,3

0,5

-4,0

Земли промышленности, энергетики, транспорта, связи, радиовещания, телевидения, информатики, земли для обеспечения космической деятельности, земли обороны, безопасности и земли иного специального назначения

271,9

271,1

0,7

-0,8

Земли особо охраняемых территорий и объектов1

2 613,1

6,3

2 613,1

6,3

-

Земли лесного фонда2

35 944,0

86,2

35 950,1

86,3

+6,1

Земли водного фонда

142,3

0,3

142,5

0,3

+0,2

Земли запаса

667,9

1,6

647,5

1,6

-20,4

Итого земель

41 677,4

100,0

41 677,4

100,0

-

1 - в категорию включены земли ООПТ (национальный парк "Югыд ва", Печоро-Илычский государственный природный биосферный заповедник) и санатория "Серегово" 2 - расхождения с данными АЛХ по РК объясняются отличием в методиках учета площадей лесного фонда


Распределение земельного фонда Республики Коми по угодьям

Категория земель

Площадь

тыс. га

%

Сельскохозяйственные угодья

418,4

1,0

Леса

30965,8

74,3

Древесно-кустарниковая растительность

135,3

0,3

Под водой

641,2

1,5

Под застройкой

46,3

0,1

Под дорогами

144,7

0,3

Под дорогами

144,7

0,3

Болота

4073,1

9,8

Нарушенные земли

12,5

0,03

Прочие земли

5239,9

12,6

Итого земель

100


Земельные угодья являются основным элементом государственного учета земель и подразделяются на сельскохозяйственные и несельскохозяйственные угодья. К сельскохозяйственным угодьям относятся пашня, залежь, сенокосы, пастбища, многолетние насаждения. Несельскохозяйственные угодья – это земли под поверхностными водными объектами, включая болота, лесные земли и земли под древесно-кустарниковой растительностью, земли застройки, земли под дорогами, нарушенные земли, прочие земли (овраги, пески и т. п.).

На 01.01.2007 г. площадь сельскохозяйственных угодий во всех категориях земель составила 418,4 тыс. га (1 % земельного фонда Республики Коми). На долю несельскохозяйственных угодий приходилось 41258,9 тыс. га (99 %).

Водный потенциал

По количеству рек и их многоводности Республика Коми занимает одно из первых мест в стране. Общая протяженность рек длиной более 10 км составляет 84 тыс. км, их количество - около 3,5 тыс. Гидрографическая сеть республики относится к бассейнам Белого (реки Вычегда, Луза и Мезень), Баренцева (р. Печора), Карского (небольшие притоки рек Кара и Силоваяха) и Каспийского (реки Кобра, Летка, Березовка) морей. В пределах границ Республики Коми бассейны pp. Печоры, Вычегды, Мезени и Лузы составляют соответственно 62,9; 24,4; 8,2 и 2,6% от ее территории; бассейны рек Каспийского моря - 1,2%; Карского моря - 0,7%.

На территории республики берут свое начало и протекают две крупные реки - Печора и Вычегда, являющиеся наряду с их главными притоками основным источником поверхностных водных ресурсов, используемых в хозяйственной деятельности. Суммарный сток этих рек в пределах территории республики за год составляетоколо 205 км3.

Озера в Республике Коми незначительны по площади, рассеяны по всей территории, но в большей степени сосредоточены в долинах рек и на водоразделах в северных районах. На территории республики располагаются более 78 тыс. озер. Преобладают (свыше 98%) небольшие озера с площадью водного зеркала до 50 га. Самые крупные озера в Республике Коми: Ямозеро (48,7 км2), Синдорское (35км2).

Широко распространены болота и заболоченные земли. Средняя заболоченность территории составляет 9,6%. Болота Республики Коми занимают общую площадь 3,2 млн. га (около 7,7% территории). Наиболее крупными болотами в республике являются Усинское (139190 га), Океан (178975 га), Джъернюр (32228 га), Тыбъюнюр (60042 га), Мартюшевское (9285 га). Болота Усинское и Океан относятся к одним из самых крупных торфяников Европы.

Прогнозные эксплуатационные ресурсы подземных вод, пригодные для хозяйственно-питьевого водоснабжения (с минерализацией до 1 г/л), составляют на территории Республики Коми 62,06 млн. м3 /сут. (22,65 км3 /год). Средняя обеспеченность населения республики ресурсами подземных вод на одного человека оценивается в 63 м3 /сут. Для целей хозяйственно-питьевого водоснабжения на территории Республики Коми насчитывается 76 разведанных месторождений (участков) питьевых подземных вод с общими эксплуатационными запасами 1195,5тыс. м3 /сут. Эксплуатируется 29 месторождений (участков) подземных вод с утвержденными запасами 448,1 тыс. м3 /сут. Еще 1 участок с запасами 12,7 тыс. мз/сут. находится в обустройстве.

На территории Республики Коми насчитывается 5 месторождений технических вод с эксплуатационными запасами в количестве 23,9 тыс. м3 /сут., в том числе для промышленного освоения 12,1 м3 /сут.

Разведанные запасы минеральных подземных вод (12 месторождений) на территории республики составляют 3,7 тыс. м3 /сут., в том числе подготовленные для промышленного освоения – 1,956 тыс. м3 /сут.

Растительный потенциал

Растительный мир Республики Коми представлен 1200 видами сосудистых растений, в напочвенном покрове насчитывается более 500 видов мохообразных.

Древесные ресурсы

Одним из основных богатств республики являются леса. Общая площадь лесов составляет 38,696 млн. га, или 93% территории Республики Коми. Разнообразие физико-географических, климатических и почвенных условий обусловило различие в степени лесистости районов республики. Средняя лесистость по республике составляет 78 %.

В лесах Республики Коми произрастает 8 хвойных и 20 видов лиственных пород. Основной лесообразующей породой является ель, на долю которой приходится 55,3% покрытой лесом площади. Наибольший удельный вес еловые насаждения имеют в северо-западной и северо-восточной частях республики. Сосне принадлежит 24% покрытой лесом площади. Лесные массивы сосны встречаются по всей территории, однако наибольшие их площади находятся на боровых террасах крупных рек (Вычегда, Печора). Кедр произрастает в восточной части Республики Коми (Троицко-Печорский, Вуктыльский, Печоро-Илычский лесхозы). Общая площадь эксплуатационных лесов и объем древесины в них достигают более 50% всех промышленных запасов леса Европейского Севера Российской Федерации. В XX веке с началом индустриализации лесозаготовительного и лесоперерабатывающего производств объемы лесозаготовок быстро возрастали. Объем заготовок с 1913 по 1988 гг. возрос почти в 35 раз, к концу 80 гг. достигал 26 млн. м3 в год. Заготовка леса за последние 10 лет снизилась более чем в 5 раз, что отрицательно сказалось на экономике всего региона. На сегодняшний день при ежегодной расчетной лесосеке 26,8 млн. м3 фактически вырубается только 24% от расчетной лесосеки. Лесосечный фонд и расчетная лесосека позволяют значительно увеличить объемы рубки практически во всех лесхозах республики. Наиболее перспективными для освоения лесного фонда являются: МО МР "Прилузский", "Койгородский", "Сысольский", "Сыктывдинский", "Корткеросский", "Усть-Куломский", так как на их территориях хорошо развита лесовозная сеть дорог и проводится сертификация лесов. Кроме того, довольно перспективны МО МР "Троицко-Печорский" и "Удорский", с возможным строительством целлюлозно-картонного и целлюлозно-бумажного комбинатов. Республика Коми - один из передовых регионов России в проведении процесса лесной сертификации по международным стандартам FSC (Лесного попечительского совета). В 1998 году была организована Рабочая группа по лесной сертификации в Республике Коми, а в 1999 году в рамках проекта "Модельный лес "Прилузье" была проведена тест-сертификация Прилузского лесхоза. Сегодня в Коми сертифицировано почти 2,4 млн. га леса. Республика занимает второе место в России по площади сертифицированных лесов и первое место по количеству сертифицированных цепочек поставок продукции. Сегодня предприятия республики имеют 22 сертификата цепи поставок (50% по России), 80% объёма лесопереработки в Коми нуждается в сертифицированном сырье (МБП СЛПК, Сыктывкарский фанерный завод, Жешартский фанкомбинат и др.), при этом спрос на сертифицированное сырье удовлетворен всего лишь на 30%.

Недревесные ресурсы

Ресурсы грибов. В подзоне тайги Республики Коми встречается 90 видов грибов, однако населением практически собирается только 20-30 видов (белый гриб, груздь, подосиновик, масленок, рыжик и др.). В целом по республике биологический запас грибов составляет около 145 тыс. т., промысловый - 82 тыс. т. К самым высокоурожайным видам грибов относятся: подосиновик, волнушка, сыроежка, подберезовик.

Ресурсы ягод. Всего на территории республики произрастает 15 видов съедобных ягодных растений. Населением производится сбор клюквы, брусники, черники, морошки. Высокой урожайностью отличается клюква (биологический запас составляет 125,6 тыс. т, эксплуатационный - 58,8 тыс. т.), черника (биологический запас -112,8 тыс. т.,эксплуатационный-44,6 тыс.т). Лекарственные растения. В регионе обнаружено около 100 видов лекарственных растений, из них 46 видов встречается в количествах, достаточных для организации сбора. Высоки запасы таких лекарственных растений как клюква, брусника, черника, багульник, шиповник, данные виды произрастают повсеместно и в больших количествах.

Сенокосные угодья. Территория таежной зоны Республики Коми богата естественными пойменными лугами. В поймах рек Печора, Вычегда, Мезень и их притоков сосредоточено до 95 % всей площади сенокосных угодий республики. Урожайность заливных пойменных лугов достигает 25-30 ц/га, урожайность естественных лесных лугов низка и составляет от 6 до 15 ц/га сена. Основу растительности лугов составляют виды семейств: злаковые, мятликовые, осоковые и др.

Фаунистический потенциал

Животный мир Республики Коми насчитывает более 4400 видов. Из них более 3 тыс. видов насекомых, 315 видов наземных позвоночных животных (5 видов земноводных, 247 видов птиц и 58 видов млекопитающих). В водоемах республики обитает 47 видов рыб.

Охотничьи ресурсы. В традиционном природопользовании коренного населения Севера использование естественных биологических ресурсов было основой жизнедеятельности. Одно из ведущих мест, вплоть до недавнего времени, занимал промысел диких животных. В наше время промысловая охота уже не имеет былой значимости в жизни населения, охотничье-промысловые ресурсы не играют важной роли в экономике региона. Тем не менее, в последние годы заметно возрос интерес к спортивной любительской охоте. Птицы. К объектам охоты на территории республики отнесены 37 видов птиц: тетеревиных - 5, водоплавающих - 21, куликов - 11. Ведущее место в промысловой и любительской охоте занимают тетеревиные (белая куропатка, рябчик, глухарь, тетерев) и водоплавающие птицы (гуменник, кряква, свиязь, шилохвость, чирки и нырковые утки).Численность боровой дичи достаточно высока - популяция рябчика насчитывает свыше 1 млн. особей, тетерева - свыше 400 тыс., белой куропатки - 1 млн. 200 тыс.

Млекопитающие. Особо ценными в хозяйственном отношении животными являются: лось, дикий северный олень, медведь, бобр, выдра, соболь, белка, куница, лисица, горностай, норка, рысь, росомаха, заяц-беляк, ондатра. Наиболее популярны у населения охотничьи виды: заяц-беляк, белка, лось, куница. Состояние популяций охотничьих животных стабильное, имеет место рост численности боровой дичи, лося, пушных зверей.

Рыбные ресурсы. Из 47 видов рыб, обитающих в водоемах республики, промыслом осваивается 15-17 наиболее ценных и распространенных видов. Из ценных видов рыб можно выделить печорскую семгу, сибирского и европейского хариуса, стерлядь, нельму. Нерест половозрелых особей и нагул молоди семги происходит в верховьях pp. Печора, Вычегда, Мезень и их притоках. Производится промышленная добыча ценных мигрирующих видов: семги, сига-пыжьяна, ряпушки. Рыбаками-любителями производится отлов в основном частиковых рыб (язь, щука, окунь, плотва, налим, лещ). Водные объекты республики в естественных условиях способны воспроизвести большой объем высокоценной рыбной продукции.

2.2 Условия и факторы освоения природных ресурсов региона

В качестве природных условий и факторов можно выделить:

· Природная среда - необходимое условие общественного развития. Природный фактор оказывает существенное влияние на размещение отраслей по территории страны, особенно это заметно в сельском хозяйстве и добывающей промышленности. Воздействие общества на окружающую среду определяется уровнем развития науки и техники. Демографический фактор также значительно влияет на размещение производства. Численность населения, его структура, плотность и миграции обуславливают возможности развития производительных сил и освоение новых территорий.

· Эксплуатация природных богатств на Севере происходит в экстремальных условиях, проявляющихся в суровом климате, низкой заселённости и слабой хозяйственной освоенности зоны, неразвитой транспортной системы. Характерными природными особенностями Севера являются низкие температуры воздуха, продолжительность зимнего периода до 300 дней, распространение вечной мерзлоты. Влияние суровых природных условий определяет трудовых затрат и повышенные расходы на жизнеобеспечение человека. Природные условия затрудняют и удорожают все виды работ на открытом воздухе, требуют специальных машин и технических средств.

· Ряд природных ресурсов имеется не повсеместно, а в ограниченном числе районов (алмазы, никель, медь). Целый ряд природных ресурсов имеется во многих районах, но наиболее эффективно разрабатывать эти ресурсы можно в небольшом числе районов.

· Многие отрасли добывающей промышленности могут развиваться лишь в тех районах, где имеются достаточно крупные запасы соответствующих природных ресурсов, доступных для их хозяйственного использования при современном уровне развития производительных сил, транспорта и т.д

· Когда речь идёт о принципе приближения к источникам сырья, необходимо учитывать, что концентрация промышленности и увеличение размеров предприятий требуют наличия крупных источников сырья и топлива, чтобы обеспечить потребности этих предприятий на весь амортизационный период. При этом добыча сырья и топлива и доставка их потребителям должны быть эффективны (осуществлены с наименьшими издержками).

· Не маловажную роль играет принцип первоочередного освоения и комплексного использования эффективных видов природных ресурсов за счёт освоения новых территорий. Это вызвано усилением неравномерности территориального распределения ресурсов и усложнением горно-геологических и экономико-географических условий их разведки и эксплуатации в некоторых горнодобывающих центрах. Имеющиеся запасы крупных и мелких месторождений полезных ископаемых во многих освоенных районах истощаются, поэтому в хозяйственный оборот всё больше вовлекаются ресурсы Севера.

· Тяжёлые природно-климатические условия, недостаток рабочей силы, относительно низкий уровень развития тяжёлого транспорта серьёзно усложняют и удорожают освоение региона. В значительной мере из-за этого обозначилось разное возрастание в регионе затрат на поиски, разведку, освоение и транспортировку сырья, охрану окружающей среды. К примеру, в 2005г. объем геологоразведочных работ в ценах данного года по Республике Коми в целом составил 3313 млн. руб. что почти в два раза превышает объем 2004г. (1864,6 млн. руб.). По прогнозу объем геологоразведочных работ в 2008г. составит 4260 млн. руб. К экономическим факторам относятся население и трудовые ресурсы, существующий производственный аппарат, инфраструктура, а также агломерационный эффект, отражающий влияние различных экономических факторов при высокой их территориальной концентрации.

· Территориальные различия в инфраструктуре отчетливо проявляются на внутрирайонном уровне, но очень незначительно на межрайонном. Высокая территориальная концентрация ряда экономических факторов размещения и определенная их комбинация создают агломерационный эффект, который и современных условиях играет решающую роль при размещении отраслей обрабатывающей промышленности.

· Не менее важны для возникновения агломерационного эффекта взаимный обмен квалифицированными кадрами, а также большая возможность поступления их из различных учебных заведений, использование научно-технических достижений, культурного наследия.

· В условиях территориальной концентрации различных промышленных предприятий происходит сокращение транспортных затрат на поставку сырья, полуфабрикатов и готовой продукции. Иная ситуация складывается, когда концентрация промышленности осуществляется на базе добычи и использования природных ресурсов. В этом случае возникает технологическая и экономическая необходимость пространственной концентрации различных технологических стадий производства, которая приводит к созданию промышленных комплексов. К таким комплексам можно отнести нефтехимические, электрохимические, черной и цветной металлургии, лесоперерабатывающие и др. Пространство или взаимное расположение в пространстве всех экономических и природных условий играет особую роль в качестве фактора размещения. Пространство преодолевается с помощью транспорта и воздействует на размещение производительных сил через соответствующий уровень транспортных издержек.

2.3 Методические подходы к инвентаризации и оценке природно-ресурсного потенциала Республики Коми

В настоящее время в Российской Федерации происходят процессы перераспределения бюджетных средств в пользу федерального бюджета, передачи полномочий в регионы и на уровень муниципальной власти. Сокращаются источники наполнения местных и региональных бюджетов, а для выполнения переданных полномочий растет доля субвенций из федерального бюджета. В таких условиях перед Правительством Республики Коми стоит задача поиска новых источников бюджетных средств, расширения существующей налогооблагаемой базы.

Формируемая в соответствии с 131-ФЗ "Об общих принципах организации местного самоуправления в Российской Федерации", финансово-экономическая основа местного самоуправления не может получить дальнейшего развития без поиска новых источников пополнения местных бюджетов.

Решить эту проблему, на наш взгляд, можно путем повышения самостоятельности местного самоуправления в вопросах рационального и эффективного использования имеющегося в их распоряжении природного, производственно-экономического и трудового потенциала.

Именно поэтому, а также в целях определения перспективных направлений социально-экономического развития республики в средне- и долгосрочном периоде, Минэкономразвития РК и Минприроды РК предложили провести комплексную оценку природно-ресурсного и производственного потенциала развития каждого муниципального образования республики.

Оценка природно-ресурсного потенциала муниципальных образований имеет своей целью совершенствование управления развитием муниципального образования и предусматривает проведение анализа использования природных, трудовых, материальных и институциональных ресурсов, а также выявление проблем и направлений роста муниципального дохода, формирования эффективной системы муниципального управления.

Необходимость такой работы была поддержана Правительством республики, и в октябре 2002 года было принято распоряжение Правительства РК № 367-р о проведении комплексной оценки природно-ресурсного и производственного потенциала республики."

Одной из составной частью проводимой работы является инвентаризация природно-ресурсного потенциала муниципальных образований. В 2005 году было принято распоряжение Правительства РК № 255-р об утверждении комплексного плана мероприятий по формированию и поддержке информационной системы по инвентаризации природно-ресурсного потенциала Республики Коми на 2005-2006 годы. Проведение этих работ было поручено Государственному учреждению Республики Коми "Территориальный фонд информации по природным ресурсам и охране окружающей среды Республики Коми" (ГУ "ТФИ РК").

Предусмотренная к формированию информационная система по инвентаризации природно-ресурсного потенциала Республики Коми включает в себя информацию о природных ресурсах, их качественных и количественных характеристиках, развитии природопользования, качестве окружающей среды, социальной и производственной инфраструктуре территории, необходимую для принятия управленческих решений, направленных на устойчивое социально-экономическое развитие Республики Коми. Информационная система является составной частью формируемой в республике Автоматизированной геоинформационной кадастровой системы Республики Коми (АГИКС РК).

Методически работа по комплексной оценке муниципальных ресурсов определяется ее структурой, включающей следующие этапы:

§ инвентаризация ресурсов с визуальным сопровождением средствами компьютерной картографии,

§ оценка ресурсного потенциала развития территории, включающая разработку методики оценки, расчет и анализ оценочных показателей, выявление диспропорций и барьеров использования ресурсов;

§ разработка рекомендаций по интенсификации реализации муниципального ресурсного потенциала, предполагающая предварительный этап пилотного проекта, выполняемого с научным сопровождением разработчиков.

Минеральный потенциал

Оценка полезных ископаемых МО проводится в абсолютной и относительной форме. Абсолютная оценка минеральных ресурсов выполняется в натуральных единицах (тоннах, куб. м) и стоимостных показателях. Относительная (балльная) оценка обусловлена с одной стороны необходимостью межмуниципальных сопоставлений, с другой – закрытым регламентом использования данных по запасам и ресурсам нефти, газа, рудных и других полезных ископаемых. Оценка учитывает степень подготовки полезных ископаемых к использованию и уровень эксплуатации.

Стоимостная оценка проводится на методической основе, предложенной И.А. Неженским и И.Г Павловой , использующей процедуры приведения объемов разных категорий, а также и цен соответствующих категорий к цене конечного продукта.

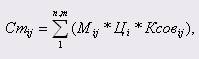
Ключевым показателем оценки является стоимость минерального сырья в недрах, которая определяется по формуле:


Цi – цена i-того полезного ископаемого,

Мij – количество (масса) запасов и (или) прогнозных ресурсов j-той категории i-того полезного ископаемого,

К совij – совокупный коэффициент приведения стоимости конечного продукта к стоимости запасов или прогнозных ресурсов данной (j-той) категории для i-того полезного ископаемого,

n – количество видов минерального сырья, учтенных в недрах данной территории,

m – число учтенных категорий запасов или прогнозных ресурсов для каждого вида сырья.

К сов ij = К1 * К 2,

где К1 – коэффициент приведения количества запасов или ресурсов данной категории к количеству запасов промышленных категорий (А+В+С1).

Данный коэффициент учитывает статистические данные, фиксирующие частичный переход ресурсов или запасов "менее достоверных" категорий в "более достоверные", поскольку не все прогнозные ресурсы и запасы на практике доводятся до промышленных категорий.

К2 – коэффициент приведения цены конечного продукта к цене ресурсов или запасов данной категории в недрах.

Уровень эксплуатации полезного ископаемого характеризуют доля эксплуатируемых ресурсов в общем объеме запасов и ресурсов (Lr) и доля эксплуатируемых промышленных запасов в общем объеме промышленных запасов (Ls):

Lr = Меsi/ Мsi *100

Ls= Мeabc1i/ Мabc1i *100, где

Меsi – суммарные эксплуатируемые запасы i-того полезного ископаемого, приведенные к категории А+В+С1 (приведенные эксплуатируемые запасы).

Меsi = Мeabc1i+Мec2i*К1c2t, где

Мeabc1i – количество промышленных запасов категорий А+В+С1 i-того полезного ископаемого на месторождениях, находящихся в эксплуатации;

Лесной потенциал

В натуральном виде лесной потенциал территории оценивается общим объемом имеющихся на его территории лесных ресурсов, пригодных для эксплуатации. Условный лесной ресурс (ЛПмо) определяется как объем (в млн. куб. м), скорректированный по его возрастным и породным характеристикам, а также по выходу деловой древесины:


ЛРэкс – общий объем доступных для эксплуатации лесных ресурсов, млн. куб. м;

Кхв – коэффициент хвойности – доля хвойных пород древесины в общем объеме спелых и перестойных лесных ресурсов, доступных для эксплуатации;

Кпер – коэффициент перестойности – доля спелых и перестойных лесов в общем объеме доступных для эксплуатации лесных ресурсов;

Кдд – коэффициент выхода деловой древесины – доля деловой древесины в объеме расчетной лесосеки.

Для стоимостной оценки лесного потенциала используется показатель ежегодного потенциального лесного дохода муниципального образования (ЛДмо), определяемый по формуле:

ЛДмо=ЛДуд*РЛ*Кдд , где

 

РЛ – расчетная лесосека МО,

Кдд – коэффициент выхода деловой древесины,

ЛДуд – лесной доход на 1 куб. метр деловой древесины.

При этом:

, где

ЛДi - лесной доход на 1 куб. метр деловой древесины i – того лесоэкономического района в пределах территории муниципального образования.

РЛi– расчетная лесосека i – того лесоэкономического района в пределах территории муниципального образования.

Земельный потенциал

Наиболее значимыми элементами земельного потенциала с точки зрения развития территории являются земли сельскохозяйственного назначения и земли, пригодные для застройки. В рыночных условиях растет роль земель, сельскохозяйственного и несельскохозяйственного назначения, возможных для передачи в аренду.

Оценка земель сельскохозяйственного назначения проводится с учетом их структуры в составе таких основных составляющих, как пашня, сенокосы и пастбища. Качество сельхозугодий может быть учтено с помощью "коэффициента пашни" (Кп), отражающего ее долю в их общей площади (Псху):

Псху к = Псху * Кп , где

Псху к – площадь используемых сельхозугодий с учетом их качества.

Балльная оценка проводится на базе показателя площади сельскохозяйственных угодий с учетом качества. Земельный балл (Дсху мо) отражает долю территории в общей площади сельхозугодий республики:

Дсху мо = Псху к /(ΣПсху к /20)

Использование земель сельскохозяйственного назначения определяется как разница соответствующих показателей (общей площади, пашни, сенокосов, пастбищ) базового и текущего годов. Ее положительная величина показывает объем недоиспользуемых площадей (или резерв земель, пригодных для ведения сельскохозяйственного производства), отрицательная – прирост земель сельскохозяйственного назначения, вовлеченных в оборот за рассматриваемый период.

Оценку земель пригодных для промышленной и жилищной застройки предлагается фиксировать по данным градостроительных паспортов с учетом обязательности отражения данной характеристики территории. Данный показатель может быть представлен и в относительной форме, как доля площадей, пригодных для застройки в общей площади территории.

Водный потенциал

Все без исключения МО республики располагают значительным потенциалом водных ресурсов, достаточным для развития хозяйства, рекреации и обеспечения населения водой. Он определяется величиной годового стока и запасами подземных вод.

Существенную роль в реализации этого потенциала играют крайне неоднородный характер внутригодового и территориального распределения речного стока, наличие продолжительных (до 6-8 месяцев) периодов низкой водности рек, недостаточное использование разведанных запасов подземных вод, а также особенности размещения водопотребителей, особенно крупных промышленных узлов и водоемких производств относительно водных объектов. Немаловажное значение для водоснабжения имеет качество воды в реках, которое в значительной мере определяется количеством поступающих в них загрязненных сточных вод и степенью их нейтрализации путем естественного разбавления.

Водообеспеченность территории МО (Во) оценивается удельным показателем объема воды, приходящегося на душу населения в период зимней межени при минимальных расходах воды в реках 95%-й обеспеченности с учетом использования подземных вод:

Во = Qм.з.95% /Население, где

Qм.з.95% - минимальный зимний 30-ти суточный расход воды 95%-ой обеспеченности;

Население – среднегодовая численность постоянного населения МО в расчетном году.

3. Меры повышения эффективности использования природно-ресурсного потенциала Республики Коми

Цель Стратегии экономического и социального развития Республики Коми на 2006-2010 годы и на период до 2015 года (далее – Стратегия) – выявление источников и резервов экономического роста в Республике Коми, определение механизмов повышения эффективности использования природных, производственных, финансовых и трудовых ресурсов, развития производственной и транспортной инфраструктуры, активизации инвестиционной и инновационной деятельности, развития системы государственного управления в Республике Коми, увеличения налогооблагаемой базы и роста налоговых поступлений в республиканский бюджет Республики Коми, расширения занятости трудоспособного населения и снижения уровня безработицы, увеличения доходов всех групп населения и снижения уровня бедности, иными словами - формирование модели экономики Республики Коми, ориентированной на повышение уровня и качества жизни населения в Республике Коми.

Развитие минерально-сырьевой базы

Основной целью развития минерально-сырьевого комплекса в Республике Коми является сохранение, расширение, комплексное освоение и рациональное использование месторождений полезных ископаемых с соблюдением экологических норм для обеспечения деятельности действующих промышленных предприятий и развития новых производств в республике.

Для достижения указанной цели необходимо решение следующих задач:

содействие развитию минерально-сырьевой базы в республике, предусматривающее:

воспроизводство углеводородного сырья промышленных категорий с коэффициентом восполнения не менее 1,2 как основы сохранения нефтегазодобычи в освоенных районах;

выявление и оценку новых зон нефтегазонакопления в слабоизученных районах, удаленных от центров нефтегазодобычи, с целью подготовки, в первую очередь новых районов нефтедобычи на перспективу, что позволит улучшить инфраструктуру недостаточно освоенных районов и создать условия для развития малого и среднего бизнеса;

проведение региональных работ с целью наращивания и локализации ресурсов углеводородного сырья на перспективных нефтегазоносных территориях:

а) в Тимано-Печорской нефтегазоносной провинции с целью изучения структур внутренней части Предуральского краевого прогиба и Западно-Уральской складчато-надвиговой зоны, неизученных территорий Тимана, а также изучения глубоко погруженных нефтегазоносных комплексов палеозоя;

б) в Мезенской перспективной нефтегазоносной провинции для изучения геологического строения и перспектив нефтегазоносности палеозойских и рифейских отложений;

в) в Кировско-Кажимской перспективной нефтегазоносной области для изучения геологического строения и перспектив нефтегазоносности палеозойских и рифейских отложений;

завершение лицензирования в установленном порядке всей перспективной на нефть и газ территории Тимано-Печорской провинции и начало лицензирования в установленном порядке территории Мезенской перспективной нефтегазоносной провинции;

создание новых и альтернативных сырьевых узлов как в известных горнодобывающих районах, так и в неосвоенных районах, за счет выявления месторождений новых и нетрадиционных типов для формирования перспективной минерально-сырьевой базы, включая решение задачи создания минерально-сырьевого фонда для будущих поколений;

обеспечение устойчивого воспроизводства минерально-сырьевой базы общераспространенных полезных ископаемых и подземных вод для нужд экономики, строительства промышленных предприятий, трубопроводных систем, населенных пунктов республики;

создание информационных баз данных общераспространенных полезных ископаемых;

совершенствование системы предоставления в пользование месторождений общераспространенных полезных ископаемых и подземных вод;

участие в совершенствовании системы контроля за недропользованием;

решение проблем обеспечения населенных пунктов республики подземными водами и создания альтернативных источников питьевого водоснабжения;

обоснование роли минерально-сырьевых ресурсов в экономике Республики Коми, определение масштабов, темпов и приоритетных направлений их использования;

участие в определении приоритетных направлений проведения геологоразведочных работ, включающих:

а) государственное геологическое изучение недр, предусматривающее проведение региональных геологоразведочных работ, выявление новых зон нефте-газонакопления в слабоизученных районах, создание новых и альтернативных сырьевых узлов и оценку ресурсов полезных ископаемых, подготовку запасов пресных подземных вод для хозяйственного и питьевого снабжения населенных пунктов Республики Коми. Решение этих проблем должно осуществляться в тесном взаимодействии федеральных органов исполнительной власти и органов исполнительной власти Республики Коми;

б) геологоразведочные работы за счет средств недропользователей и инвесторов, предусматривающие подготовку запасов полезных ископаемых, обеспечивающих устойчивую динамику развития организаций и поступлений налоговых платежей в консолидированный бюджет Республики Коми, подготовку запасов и ресурсов полезных ископаемых в рамках лицензионных (поисковых) площадей для создания задела и организации новых нефте- газодобывающих и горнодобывающих производств. Доля средств недропользователей в общем объеме финансирования геологоразведочных работ должна составлять не менее 85-90 процентов. Приоритетами развития минерально-сырьевой базы в Республике Коми являются:

увеличение объемов геологоразведочных работ, проводимых в целях воспроизводства минерально-сырьевой базы;

обеспечение экологической безопасности при освоении и использовании месторождений минерально-сырьевых ресурсов.

Реализации поставленных задач будут способствовать:

участие в совершенствовании нормативно-правовой базы по вопросам недропользования и воспроизводства минерально-сырьевой базы;

участие в разработке и реализации в установленном порядке комплексной программы перспективного развития минерально-сырьевой базы в Республике Коми.

Намеченные меры по развитию минерально-сырьевой базы в Республике Коми позволят обеспечить:

прирост запасов углеводородного сырья, превышающих намеченные уровни добычи нефти и газа в 1,2 раза;

подготовку запасов минерально-сырьевых ресурсов для обеспечения работы угледобывающих и горнодобывающих предприятий;

эффективное использование минерально-сырьевой базы с минимизацией негативного воздействия на окружающую среду и сохранением уникальных природных ресурсов для следующих поколений.

Комплексное использование водных ресурсов

Целью комплексного использования водных ресурсов являются удовлетворение потребностей населения и объектов экономики республики в водных ресурсах, создание благоприятной экологической обстановки на водных объектах, обеспечение безопасной эксплуатации сооружений водохозяйственного комплекса, защиты населения и объектов экономики от наводнений и другого вредного воздействия вод.

Для достижения указанной цели необходимо обеспечить содействие в решении следующих задач:

расширение и модернизация сети наблюдательных пунктов за гидрологическим, химическим, биологическим режимами водных объектов с учетом перспектив развития производств;

развитие системы мониторинга, анализа и прогнозирования качественного и количественного состояния водных ресурсов;

установка оборудования, имеющего значительно меньшие удельные расходы свежей воды, внедрение эколого-безопасных технологий и систем оборотного и повторного использования воды;

подготовка месторождений пресных подземных вод к разработке и перевод системы водопотребления на защищенные источники (г. Сыктывкар, г. Печора);

повторное и последовательное использование сточных вод с полным прекращением сброса в водоемы загрязняющих веществ посредством разработки и внедрения технологий по использованию шламов, осадков, повторного восстановления реагентов, внедрение ресурсосберегающих и безотходных технологий во всех сферах хозяйственной деятельности;

строительство берегоукрепительных сооружений на реке Ижме Ижемского района (бассейн реки Печоры) Республики Коми;

реализация проекта "Берегоукрепительные сооружения на реке Локчим в поселке Намск Корткеросского района Республики Коми";

разработка и реализация "Комплексного проекта берегоукрепительных работ на реке Сысоле в районе парка им. С. М. Кирова";

реконструкция существующих и строительство новых очистных сооружений в промышленности, жилищно-коммунальном и сельском хозяйстве;

строительство систем и сооружений для сбора очистки ливневого стока с территорий поселений и предприятий;

применение новейших технологий и разработок по очистке сточных вод без применения хлорреагентов для обеззараживания.

Приоритетным направлением работы будет участие в:

проведении берегозащитных мероприятий, работ по расчистке русел рек и дноуглубительных работ;

строительстве, реконструкции, модернизации очистных сооружений, совершенствование технологии обезвреживания сточных вод.

Механизмами реализации поставленных задач по улучшению состояния водных ресурсов в Республике Коми являются:

участие в совершенствовании федерального законодательства в области водоохранной и водохозяйственной деятельности;

участие в развитии системы государственного управления водным фондом, создании эффективной системы координации деятельности органов государственного управления в области использования и охраны водных объектов, разграничения функций управления использованием и охраной водных объектов, а также разделения сфер ответственности между органами исполнительной власти Российской Федерации и органами исполнительной власти Республики Коми;

проведение работы с федеральными структурами по реализации проектов берегоукрепительных сооружений в рамках федеральных адресных инвестиционных программ;

содействие в формировании экономических механизмов в области охраны водных объектов;

применение схем комплексного использования и охраны природных ресурсов, водохозяйственных программ, на основе научных исследований;

финансирование в установленном порядке проведение геологоразведочных работ по подготовке к разработке месторождений пресных подземных вод.

Реализация поставленных задач в сфере комплексного использования водных ресурсов позволит обеспечить устойчивое развитие водного хозяйства на территории Республики Коми, обеспечить население и экономику республики водными ресурсами соответствующего качества, улучшить экологическое состояние водных объектов, существенно снизить последствия вредного воздействия вод.

Лесопользование и лесоуправление

Целью лесоуправления и лесопользования в республике являются сохранение экологической, экономической и социальной ценности лесов, создание условий для рационального и неистощительного использования лесных ресурсов.

Для достижения указанной цели необходимо решение следующих задач:

участие в создании нормативно-правовой базы, отвечающей современным требованиям лесоуправления и лесопользования;

участие в обеспечении государственного контроля за использованием участков лесного фонда и участков лесов, не входящих в лесной фонд;

создание условий для своевременного и качественного воспроизводства лесов, поддержания состава и структуры лесного фонда, создания оптимальных экологических условий для сохранения жизнеспособности лесных популяций и видов растительного и животного мира;

обеспечение охраны лесов от пожаров, защиты их от вредителей и болезней, поддержание должного уровня санитарного состояния лесов;

содействие в рациональном использовании ресурсного потенциала лесов и развитии системы добровольной лесной сертификации по международным стандартам, создание условий для расширения территорий сертифицированных лесов в Республике Коми;

участие в обеспечении транспортной доступности участков лесного фонда и участков лесов, не входящих в лесной фонд;

содействие в развитии лесоперерабатывающей отрасли, а также производств по переработке недревесных продуктов леса;

развитие иных видов лесопользования (пользование лесом для туристических и спортивных целей, для нужд охотничьего хозяйства и другие).

Приоритетное внимание при достижении цели должно быть уделено вопросам:

сохранения экологического потенциала и биологического разнообразия лесов;

обеспечения доходности лесопользования;

достижения баланса интересов участников лесных отношений в использовании экономического потенциала леса, его экологических и социальных функций.

Механизмами реализации поставленных задач должны стать:

разработка в установленном порядке концепции устойчивого лесоуправления и лесопользования в Республике Коми;

формирование организационных структур для согласования деятельности участников лесных отношений;

организация в Республике Коми самостоятельного лесоустроительного предприятия (или филиала лесоустроительного предприятия), участие в разработке методик экономического, экологического и социального проектирования лесоустройства и лесопользования;

разработка и реализация в установленном порядке программы подготовки, переподготовки кадров в области лесного хозяйства;

участие в разработке новой методики определения расчетной лесосеки, учитывающей все виды и способы рубок с учетом целевой породной структуры лесов;

содействие в проведении зонирования территории лесного фонда по функциональному назначению и уровню транспортной доступности с целью определения режима пользования, пригодности для долгосрочной аренды и приоритетности освоения;

участие в разработке методики рентной оценки доходности лесных ресурсов;

активное взаимодействие органов государственной власти, компаний, общественных организаций региона по развитию добровольной лесной сертификации;

разработка в установленном порядке новой или адаптация существующей перспективной схемы транспортного освоения республики с учетом доступности лесных ресурсов;

содействие в реализации программы инвентаризации и устойчивого управления девственными лесами;

взаимодействие с федеральными органами государственной власти по вопросам совершенствования законодательства о традиционном (некоммерческом) природопользовании коренным населением;

внедрение в установленном порядке механизмов общественного участия, контроля и формирования конструктивного взаимодействия всех участников лесных отношений.

Результатом реализации задач и механизмов должно стать достижение устойчивого лесоуправления и лесопользования, то есть организация экономически доходного, экологически ответственного, социально ориентированного управления лесами и его использования с учетом долгосрочного сохранения разнообразных ценностей и функций лесных экосистем для нынешнего и будущих поколений людей."

Управление земельными ресурсами

Цель управления земельными ресурсами в Республике Коми – закрепление собственности на землю, четкая регламентация земельных отношений на территории Республики Коми, усиление экономических методов распоряжения земельными участками, развитие рынка земли.

Для достижения указанной цели необходимо решение следующих задач:

повышение эффективности управления земельными ресурсами;

завершение процесса разграничения государственной собственности Республики Коми на землю;

завершение процесса переоформления прав постоянного (бессрочного) пользования земельными участками на право собственности или аренды;

переход к установлению арендной платы за пользование земельными участками на основе кадастровой стоимости земельных участков - в 2006-2010 годы, на основе рыночной стоимости земельных участков – до 2015 года;

создание планово-картографической основы для единого учета земельных участков и объектов недвижимого имущества;

развитие кадастрового учета земель, в том числе особо охраняемых участков, и иных объектов недвижимости на базе современных информационно-коммуникацион-ных технологий и создание единого кадастра объектов недвижимости для вовлечения земель в гражданский оборот;

определение границ и площади земель особо охраняемых территорий республиканского значения, земель, покрытых лесной и древесно-кустарниковой растительностью, и земель, ранее находившихся во владении сельскохозяйственных организаций;

совершенствование деятельности в области землеустройства, воспроизводства плодородия земель сельскохозяйственного назначения, наблюдения за состоянием земельного фонда и описания объектов недвижимого имущества;

организационное и информационное объединение систем земельного кадастра и системы кадастра объектов градостроительной деятельности;

создание универсального механизма государственной кадастровой оценки земель и иных объектов недвижимости, инвентаризации земель, установления границ земельных участков юридических и физических лиц, разработки порядка формирования оценочных зон и проведения кадастровой оценки в целях налогообложения;

укрепление системы государственных гарантий прав физических и юридических лиц на землю.

Выполнению поставленных задач будут способствовать:

разработка и совершенствование нормативно-правовой базы Республики Коми, регулирующей земельные отношения, в том числе обеспечивающей процессы государственного контроля, управления, экономической оценки и налогообложения земель и иных объектов недвижимого имущества;

разработка и реализация программы мониторинга земель;

разработка и реализация программы мелиорации земель;

разработка планово-картографических материалов, опорной геодезической и межевой сети, цифровых карт;

внедрение на территории республики информационно-технической инфраструктуры кадастра объектов недвижимости;

проведение землеустроительных и лесоустроительных работ по определению и согласованию границ земельных участков и уточнению их площадей;

развитие саморегулирования и рыночных механизмов в сфере выполнения работ и оказания услуг по описанию объектов недвижимого имущества;

создание системы управления земельными долями, переданными гражданам в результате реорганизации сельхозпредприятий.

Реализация задач по повышению эффективности управления земельными ресурсами Республики Коми позволит:

создать эффективную систему управления земельными ресурсами Республики Коми и условия для развития полноценного рынка земли;

завершить процесс разграничения государственной собственности на землю;

достичь четкой регламентации в области земельных отношений;

увеличить число земельных участков, используемых на условиях аренды, и обеспечить рост доходов консолидированного бюджета Республики Коми за счет арендной платы;

вовлечь в оборот и активно использовать в рыночных отношениях земли особо охраняемых природных территорий и участки лесов, не входящие в лесной фонд;

сформировать информационную основу для налогообложения земельных участков.

Наиболее слабым звеном действующего механизма управления

природопользованием является недостаточная экономическая заинтересованность предприятий в эффективном использовании природных ресурсов и охране окружающей среды. Практика функционирования предприятий показывает, что в настоящее время экономический ущерб от нерационального использования

природных ресурсов непосредственно на конечных показателях их хозяйственной деятельности скязывается незначительно. Это же можно сказать и о поощрении трудовых коллективов тех предприятий, которые имеют достижения в рациональном использовании природных ресурсов и соблюдении экологических нормативов.

В системе мер по стимулированию природоохранной и энергосберегающей деятельности важное значение имеют разработка и целенаправленное использование экономического механизма воздействия на производство, который должен создать условия для повышения непосредственной материальной заинтересованности трудовых коллективов предприятий в обеспечении рационального использования, охраны и воспроизводства природных ресурсов. В основе этого механизма должны положены экономические методы управления, суть которых заключена в управлении интересами и через интересы. При использовании экономических методов управления осуществляется воздействие на коллективы трудящихся, на отдельных работников, а через них на ход производства посредством такого изменения окружающей их экономической ситуации, которая позволяет при помощи материальной заинтересованности сосредоточить усилия работников на достижении поставленных целей по обеспечению рационального природопользования. Экономические методы включают в себя планирование, хозяйственный расчет и экономическое стимулирование. Эти методы воздействуют на ход производства через использование экономических рычагов, как ценообразование, финансирование, кредитование, материальные санкции и поощрения, долговременные экономические нормативы и т. п.

 

Заключение

 

Республика Коми обладает богатым и уникальным природно-ресурсным потенциалом. Главной целью экономического и социального развития региона является повышение уровня и качества жизни населения в Республике Коми на основе устойчивого развития экономики Республики Коми. От уровня использования природно-ресурсного потенциала

зависит социально-экономическое развитие территории.

В ходе курсовой работы определена структура природно-ресурсного потенциала Республики Коми, которая во многом обуславливает развитие добывающих и перерабатывающих отраслей промышленности.

При транспортном освоении Республики Коми и развитии транспортной и энергетической инфраструктуры повышается эффективность добычи и заготовки природного сырья.

Пути эффективного использования обозначены в "Стратегии экономического и социального развития РК на 2006-2010 годы и на период до 2015г.". Наиболее важными из них являются:

·  Расширение геологоразведки, т.е. геологическое обследование местности с целью обнаружения полезных ископаемых

· Интенсификация лесопользования, т.е. повышение интенсивности производства путем более полного использования каждой единицы ресурсного потенциала; достигается за счет роста производительности труда, лучшего использования материалов, повышения отдачи основных фондов.

Наиболее важными отраслями являются недропользование и лесопользование, т.к. именно они являются основным источником наполнения бюджета региона.

В перспективе приоритетное значение для развития экономики республики будут иметь рациональное использование природных ресурсов и охрана окружающей среды. Это связано с тем, что добыча и переработка полезных ископаемых оказали неблагоприятное влияние на окружающую среду: горными работами и отвалами нарушались и отчуждались земли, загрязнялись поверхностные и грунтовые воды, атмосфера и почвы. Основными источниками загрязнения окружающей среды являются предприятия черной и цветной металлургии, а также предприятия горнопромышленного и лесопромышленного комплексов. В целях предотвращения нарастания негативных процессов в окружающей среде необходимы реконструкция устаревших и строительство новых очистных сооружений, ускоренное наращивание оборотного водоснабжения и повторного использования сточных вод. Самостоятельное значение имеют развитие и внедрение экологически безвредных способов энергопроизводства, техники и технологии теплоснабжения, а также разработка и внедрение прогрессивных технологий поисков, добычи и комплексной переработки первичного сырья, более полного использования вторичных ресурсов, промышленных отходов.

Список использованной литературы

 

1.   Социальные перспективы и экологическая безопасность: Третий Северный социально-экологический конгресс. Сыктывкар, 18-20 апреля 2007г. – М.: Наука, 2008

2.   Экономика РК: итоги реализации экономической программы правительства РК на 2001 – 2005 г., Сыктывкар, 2006г.

3.   Природопользование: Словарь-справочник. – М.: Мысль, 1990г.

4.   Стратегия экономического и социального развития РК на 2006-2010 годы и на период до 2015г. Министерство экономического развития. Сыктывкар, 2006г.

5.   О стратегии экономического и социального развития Республики Коми. Правительство Республики Коми. Постановление от 27 марта 2006г. №45. Сыктывкар, 2006г.

6.   А.А. Каракчиев, Ю.С. Новиков, Ф.Ф. Рыбаков Экономика РК: история, современность, контуры будущего. Сыктывкар-Киров 2001 г.

7.   Полшведкин Р.В. Конакова О.И. Инвентаризация природно-ресурсного потенциала Республики Коми // Использование геоинформационных систем в управлении природопользованием и охраной окружающей среды в Республике Коми. Материалы Научно-практической конференции. г. Сыктывкар, 2006 г. с.23-25.

8.   Методические положения по оценке потенциала развития муниципального образования. Российская академия наук, Уральское отделение Коми научный центр, Институт социально-экономических и энергетических проблем Севера. Сыктывкар, 2002г.

9.   http://www.mpr.rkomi.ru сайт Министерства природных ресурсов и охраны окружающей среды Республики Коми

10.   http://www.agiks.ru/ сайт Автоматизированной Геоинформационной Кадастровой Системы Республики Коми

11.   http://www.rkomi.ru/ официальный сайт Республики Коми

Похожие работы на - Ресурсный потенциал Республики Коми: оценка и эффективность использования

 

Не нашли материал для своей работы?
Поможем написать уникальную работу
Без плагиата!
Без нейросетей!