2.2
Діагностика ефективності та результативності господарювання ТОВ
«Металоіндустрія Плюс»
2.2.1
Аналіз динаміки складу і структури активів та пасивів балансу
Для
виконання аналітичних досліджень динаміки складу і структури активів та пасивів
балансу підприємства проводять відповідне группування статей балансу та їх
структурний аналіз. Мета структурного аналізу – вивчення структури й динаміки
коштів підприємства та джерел їх формування для ознайомлення із загальною
картиною фінансового стану [71].
Схеми
порівняльного аналізу охоплюють велику кількість показників, які характеризують
статику й динаміку фінансового стану. При проведенні горизонтального аналізу
визначаються абсолютні й відносні зміни величин різних статей балансу за певний
період. При вертикальному аналізі обчислюється питома вага кожної з окремих
груп статей у валюті балансу.
Аналіз
динаміки і структури майна (активів) підприємства дозволяє встановити розмір
абсолютного і відносного приросту або зменшення всього майна підприємства або
його видів. Стабільність фінансового стану підприємства залежить від
правильності та доцільності вкладення фінансових ресурсів у активи, тому для
його оцінки необхідно вивчити передусім склад, структуру майна та джерел його
утворення, а також причини зміни складу майна та джерел його утворення.
В
табл. Г.1 додатку Г наведені результати горизонтального та вертикального
аналізу складу і структури майна підприємства ТОВ „Металоіндустрія Плюс” у 2005
–2008 роках (обробка даних фінансових звітів Додаток А). Як показує аналіз
даних табл.Г.1 додатку Г та графіків рис.В.1 В.4 додатку В, склад та структура
майна ТОВ „Металоіндустрія Плюс” у 2005 –2008 роках характеризується наступними
показниками:
абсолютна
валюта балансу підприємства зросла з рівня 223,9 тис.грн. у 2005 році до рівня 1
942,8 тис.грн. у 2 кварталі 2008 році, але динаміка її росту має тенденцію до
зниження темпів нарощування:
а)
значний ланцюговий приріст +214,0% у 2006 році;
б)
значний позитивний ланцюговий приріст +113,7% у 2007 році;
в) невеликий
ланцюговий приріст +14,8% у 1 кварталі 2008 року;
г)
невеликий ланцюговий приріст +13,53% у 2 кварталі 2008 року;
Важливим
етапом аналізу фінансового стану підприємства є зіставлення темпів приросту
активів з темпами приросту фінансових результатів виторгу або прибутку від
реалізації продукції (див.табл.Г.2 додатку Г).
Так
система стійкого розвитку підприємства (у світовій практиці “золоте правило
економіки підприємства”) оцінюється співвідношенням темпів росту абсолютних
рівнів балансового прибутку (ТРБ), обсягу реалізації продукції (ТN)
та суми активів балансу (ТВ) [14]:
ТРБ>TN>TB>100%
(2.1)
На
аналізованому підприємстві ТОВ „Металоіндустрія Плюс” у 2005 –2008 роках співвідношення
“золотого правила” становлять (табл.Г.2 додатку Г):
а)
2006 рік
1458,0%
> 199,9% > 214,0% > 100% незначно не виконується 1 умова
б)
2007 рік
419,8%
> 372,7% > 113,5% > 100% виконуються всі умови
в)
2008 рік
202,8%
> 30,7% > 29,5% > 100% виконуються всі умова
Тобто,
умови “золотого правила економіки підприємства” на ТОВ „Металоіндустрія Плюс” у
2005 – 2008 роках практично виконуються.
У
табл. Г.3 додатку Г наведений аналіз стану основних засобів в ТОВ
„Металоіндустрія Плюс” у 2005 –2008 роках. Як показує аналіз результатів, наведених
в табл.Г.3 додатку Г, на підприємстві ТОВ «Металоіндустрія Плюс» у 2005 –2008
роках підтримується коефіцієнт придатності основних засобів на рівні 96,0 – 99,0
% за рахунок своєчасного оновлення основних засобів.
2.2.2
Аналіз фінансової стійкості, ліквідності та платоспроможності підприємства
У
першу чергу фінансовий стан підприємства оцінюється його фінансовою стійкістю
та платоспроможністю. Платоспроможність відображає здатність підприємства
платити за своїми боргами та зобов’язаннями за конкретний період часу. Умови
достатності дотримуються тоді, коли підприємство платоспроможне у часі, тобто
має стійку здатність відповідати за своїми боргами у будь-який момент часу [15].
Під фінансовою стійкістю слід розуміти його платоспроможність у часів
дотриманням умови фінансової рівноваги між власними та позиковими коштами.
Фінансова рівновага являє собою таке співвідношення власних і позикових коштів,
коли за рахунок власних коштів повністю погашаються колишні і нові борги.
Фінансова рівновага у часі забезпечується ліквідністю балансу, яка визначається
як ступінь покриття зобов’язань підприємства його активами, строк перетворення
яких на гроші відповідає строкові погашення зобов’язань.
Узагальнюючим
показником фінансової стійкості є надлишок (нестача) джерел засобів для
формування запасів. Як джерела для формування запасів розглядаються: власний
капітал і резерви; довгострокові зобов'язання; короткострокові кредити [22].
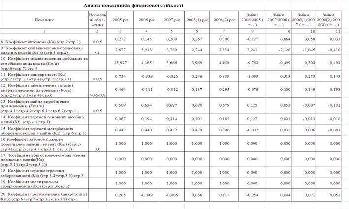
Результати
розрахунків показників платоспроможність та ліквідності підприємства ТОВ
«Металоіндустрія Плюс» наведені в табл. Ж.1 – Ж.4 Додатку Ж та на графіках рис.В.5
В.9 додатку В. Як показує аналіз даних табл. Ж.1 –Ж.4 Додатку Ж, діяльність
підприємства ТОВ “Металоіндустрія Плюс» у 2005 – 2008 роках характеризується
наступним:
- підприємство є низько платоспроможним та неліквідним, маючи
недостатній запас ліквідності та відсутність запасу стійкості по забезпеченню
запасів та оборотного капіталу власними коштами;
- підприємство має недостатній рівень автономії (0,3 замість 0,5) за
рахунок низького рівня власного капіталу та високого рівня використання
позикових коштів комерційних кредитів та авансів.
2.2.3
Показники ділової активності та ефективності господарювання
Результативність
та економічна доцільність функціонування підприємства оцінюється як
абсолютними, так і відносними показниками до яких відносяться показники ділової
активності та рентабельності [13].
Як
показує аналіз даних табл. К.1 – К.6 додатку К, в ТОВ «Металоіндустрія Плюс» у
2005 –2008 роках характерні наступні параметри процесів ділової активності:
фондовіддача
основних фондів знаходиться практично на одному рівні, тобто нарощування
обсягів основних фондів відповідає нарощуванню обсягів виконаних робіт;
забезпечується
стабільність рівня зносу основних фондів на рівні не нижче 0,96 постійним
оновленням та придбанням основних фондів;
ресурсовіддача
активів у чисту виручку від реалізації з рівня 4,64 у 2005 році зросла до рівня
11,0 11,7 у 2008 році, тобто частка активів стала використовуватися з
нарощуванням ефективності.
Аналіз
оборотності агрегатів оборотних активів також показує, що на протязі 20062007
років період обороту агрегатів оборотних активів різко знизився, що свідчить
про зростання темпу ділової активності підприємства. Таким чином,
підтверджується, що частка зростаючих робочих активів стала використовуватися дуже
ефективно.
Аналіз
рентабельності роботи ТОВ «Металоіндустрія Плюс» у 2005 –2008 роках показує, що
рентабельність роботи всіх характерних агрегатів балансу підприємства зростає ,
але це стало дуже помітно у 2007 році. При цьому:
рентабельність
власного капіталу по чистому прибутку знаходиться на рівні 67 125% річних,
тобто значно вище альтернативної депозитної ставки в комерційних банках (14 16%
річних), тобто підприємство для його засновників становиться інвестиційно привабливим.
Одночасно
показник схильності до банкрутства по Альтману (Додаток Д) ідентифікує
незначний рівень ймовірності банкрутства ТОВ “Металоіндустрія Плюс», в
основному за високого рівня ресурсовіддачі активів у обсяги реалізованої
продукції.
Таким
чином, економічна діагностика ефективності та результативності діяльності
підприємства ТОВ “Металоіндустрія Плюс» у 2005 – 2008 роках показала:
- підприємство є низько платоспроможним та неліквідним, маючи недостатній
запас ліквідності та відсутність запасу стійкості по забезпеченню запасів та
оборотного капіталу власними коштами;
- підприємство має недостатній рівень автономії (0,3 замість 0,5) за
рахунок низького рівня власного капіталу та високого рівня використання
позикових коштів комерційних кредитів та авансів;
- підприємство розвивається циклами, маючи тенденцію до підвищення
валюти балансу за рахунок нарощення дебіторсько-кредиторської заборгованості та
прибутку у власному капіталі;
- ресурсовіддача активів та основних засобів підприємства при
зростанні валюти балансів не знижується, що свідчить про ефективність політики
оновлення основних засобів на нових технологічних принципах та суттєвого
підняття частки активних основних фондів нового покоління;
- рентабельність роботи підприємства та доходність пайових часток у 2006
2008 році значно підвищилась, що привело до появи інвестиційного інтересу по
вкладанню коштів інвесторів в підприємство;
- у 2007 році різко зріс рівень ділової активності підприємства, про
що свідчить зменшення періоду оборотності оборотних коштів та дебіторсько-кредиторської
заборгованості до 22 30 днів, що значно перевищує стандарті норми оборотності
(не більше 120 днів на оборот).
Тобто,
підприємство знаходиться в сегменті зростання життєвого циклу розвитку
підприємства і повинно терміново розробити стратегію розвитку підвищення рівнів
ліквідності та платоспроможності підприємства.
РОЗДІЛ 3
Формування стратегії підвищення
ефективності та результативності діяльності ТОВ «МЕТАЛОІНДУСТРІЯ ПЛЮС»
3.1 Підходи до формування стратегії підвищення результативності та
ефективності діяльності підприємства
Рівень економічної і соціальної ефективності виробництва залежить
від багатьох чинників, що її визначають. У зв’язку з цим для практичного
розв’язання завдань управління ефективністю важливого значення набуває
класифікація чинників її зростання.
Класифікація великої різноманітності чинників зростання
ефективності (продуктивності) може здійснюватись за трьома ознаками [12]:
1) видами витрат і ресурсів (джерелами підвищення);
2) напрямами розвитку та удосконалення виробництва;
3) місцем реалізації у системі управління виробництвом.
Групування чинників за першою ознакою робить можливим досить чітке
визначення джерел підвищення ефективності: зростання продуктивності праці
(економія витрат живої праці), зниження фондоємності (капіталоємності) і
матеріалоємності продукції. Покращання використання зазначених джерел
підвищення ефективності виробництва передбачає здійснення комплексу заходів,
які за своїм змістом характеризують основні напрями розвитку та удосконалення виробництва
(друга ознака групування чинників). Визначальними напрямами є, перш за все,
прискорення темпів науково-технічного та організаційного прогресу (створення
нових і удосконалення існуючих технологій, конструкційних матеріалів, засобів
праці і кінцевої продукції; механізація та автоматизація виробничих процесів;
запровадження прогресивних методів і форм організації виробництва і праці;
побудова та регулювання ринкового механізму господарювання).
Найбільш важливою у практичному значенні слід вважати класифікацію
чинників ефективності за місцем реалізації у системі управління виробництвом
(третя ознака групування чинників), особливо відокремлення з них двох категорій
чинників – внутрішньовиробничих і зовнішніх (народногосподарських), а також
поділ сукупності внутрішніх чинників на так звані “тверді” і “м’які” чинники.
Класифікаційні ознаки чинників зростання ефективності виробництва
зображені на рис. 3.1.
Рис. 3.1 Класифікаційні ознаки чинників ефективності виробництва
[11]
Поділ внутрішніх чинників на “тверді” і “м’які” є досить умовним і
незвичним, але широко відомим і таким, що використовується на підприємствах
зарубіжних країн. “Твердими” чинниками є ті, які можна виміряти і які мають
фізичні параметри, а “м’які” – ті, які не можна фізично відчути, проте вони
мають неабияке значення для економічного управління виробництвом (наприклад,
інформація, знання і кваліфікація кадрів, методи та системи організації різних
процесів тощо).
“Тверді” чинники зростання ефективності діяльності [8]:
1. Технологія – технологічні нововведення, особливо сучасні форми
автоматизації та інформаційні технології, що справляють чи не найбільший вплив
на рівень і динаміку ефективності виробництва.
2. Устаткування – зростанню продуктивності діючого устаткування
сприяють належна організація ремонтно-технічного обслуговування, оптимальні
строки експлуатації, забезпечення необхідної пропорційності в пропускній
спроможності технологічно пов’язаних груп, чітке планування завантаження у
часі, підвищення змінності роботи, скорочення внутрішньо змінних витрат
робочого часу тощо.
3. Матеріали та енергія – проблема економії і зменшення споживання
сировини, матеріалів, енергії повинна знаходитись під постійним контролем відповідних
спеціалістів фірми (має позитивно розв’язуватись завдання ресурсозбереження).
4. Вироби – передові підприємства постійно контролюють втілення
своєї технічної переваги у конкретних виробах, що користуються великим попитом
на ринку.
“М’які” чинники зростання ефективності діяльності [8]:
1. Працівники – основне джерело і визначальний чинник зростання
ефективності виробництва. Продуктивність їх праці багато в чому визначається
методами, технікою, особистими вміннями, знаннями, ставленням до праці та здібністю
виконувати ту чи іншу роботу.
2. Організація і системи – система повинна бути динамічною і
гнучкою, періодично неорганізованою відповідно до нових завдань, що постають
перед фірмою при зміні ситуації.
3. Методи роботи – більш досконалі методи роботи в умовах
переважання працеємних процесів стають достатньо перспективними для зростання
продуктивності.
4. Стилі управління – загальна ефективність діяльності фірми
залежить від того, коли, де, як і щодо кого застосовується відповідний стиль
управління.
Під резервами розуміють невикористані можливості зниження поточних
і авансових витрат матеріальних, трудових та фінансових ресурсів при даному
рівні розвитку виробничих сил і виробничих відносин.
Резерви у повному обсязі можна виміряти в плані досягнутого рівня
використання ресурсів і можливого, виходячи з накопиченого виробництвом,
потенціалу фірми.
З позиції фірми розрізняють зовнішні і внутрішні
(внутрішньовиробничі) резерви. Під зовнішніми резервами розуміють загальні
народногосподарські, а також галузеві і регіональні резерви. Їх використання
відображається на рівні економічних показників фірми, але головним джерелом
економії, як правило, є внутрішньовиробничі резерви.
Класифікація внутрішніх резервів підвищення ефективності
діяльності фірми [6]:
1. За факторами та умовами інтенсифікації і підвищення
ефективності господарської діяльності.
1.1. Науково-технічний рівень виробництва продукції:
підвищення прогресивності і якості продукції та техніки, що
застосовується;
рівень механізації й автоматизації виробництва;
технічна та енергетична озброєність праці;
прискорення впровадження нової техніки та заходів науково-технічного
розвитку.
1.2. Структура та організація виробництва і праці:
підвищення рівня концентрації, спеціалізації, кооперування;
зменшення часу виробничого циклу;
забезпечення ритмічності та принципів наукової організації виробництва;
скорочення і повна ліквідація виробничого браку;
забезпечення принципів наукової організації праці;
підвищення кваліфікації робочої сили та її відповідності
технічному рівню виробництва.
1.3. Підвищення рівня управління і методів господарювання:
удосконалення виробничої структури фірми та структури органів
управління;
підвищення рівня планової та обліково-контрольної роботи;
впровадження і розвиток господарського обліку в усіх підрозділах
(виробничих та управлінських);
покращання соціальних умов праці і життя трудового колективу;
удосконалення зовнішньоекономічних зв’язків фірми.
2. За кінцевими підсумками, на які ці резерви впливають.
2.1. Підвищення обсягу продукції, вдосконалення асортименту
виробів.
2.2. Покращання якості.
2.3. Зниження собівартості продукції:
за елементами витрат; за статтями витрат; за центрами
відповідальності.
2.4. Резерви підвищення прибутковості продукції.
2.5. Резерви зміцнення фінансового стану.
2.6. Резерви підвищення рівня рентабельності.
3.Групування резервів.
3.1. За стадіями процесу відтворення:
постачання; виробництво; збут продукції.
3.2. За стадіями створення та експлуатації виробів:
передвиробнича стадія – конструкторсько-технологічна підготовка;
виробнича стадія – освоєння нових виробів і нових технологій;
експлуатаційна стадія – споживання виробів.
4. За строками використання.
4.1. Поточні – реалізуються протягом даного року.
4.2. Перспективні – можна реалізувати в перспективі, наприклад, у
5річному плані розвитку.
5. За способами виявлення.
5.1. Явні – наприклад, ліквідація чергових втрат і перевитрат.
5.2. Приховані – можуть виявлятися шляхом глибокого економічного
аналізу.3.2 Формування стратегії підвищення результативності діяльності ТОВ
«Металоіндустрія Плюс»
В
якості основної стратегії розвитку підприємства найбільш реальним шляхом є використання високих показників рентабельності капіталу підприємства
(ROE =67 – 125 % річних), виявлених на стадії економічної діагностики, для
залучення зовнішнього інвестування в статутний капітал підприємства. Залучення
зовнішнього інвестиційного капіталу в статутний капітал підприємства доцільно
провести за рахунок реорганізації товариства з обмеженою відповідальністю ТОВ
„Металоіндустрія Плюс” в форму закритого акціонерного товариства (ЗАТ) чи
відкритого акціонерного товариства (ВАТ) з емісією акцій на умовах:
засновники ТОВ „Металоіндустрія Плюс” отримують акції на суму
пайових долів в існуючому статутному капіталі 29 тис.грн. та на зароблену суму
нерозподіленого прибутку 518,8 тис.грн. за час діяльності підприємства
(занулення прибутку нового підприємства при реорганізації) на загальну суму 550
тис.грн.;
зовнішні інвестори вносять в новий статутний фонд ЗАТ чи ВАТ розміром
1250 тис.грн. додаткові кошти на суму 700 тис.грн. відповідно розподілу при
підписці на акції;
розрахункова прогнозна рентабельність акцій повинна становити не
менше 40% річних, що в 2,5 рази вище альтернативної депозитної доходності
капіталу, вкладеного в комерційні банки у 2008 році.
Результати комп’ютерного моделювання прогнозів зміни фінансових
показників діяльності ТОВ – ВАТ „Металоіндустрія Плюс” наведені в додатку К та на
графіках рис.3.23.6.
Як показує аналіз результатів прогнозування (рис.3.2 3.6) за
рахунок додаткового росту власного капіталу підприємства на 700 тис.грн. за
рахунок додаткової емісії акцій при реорганізації із форми ТОВ в форму
акціонерного товариства:
1. Коефіцієнт абсолютної ліквідності з рівня 0,043 0,127 у 2007
2008 роках зростає до рівня 0,272, що відповідає нормативно стійкому діапазону
0,2 – 0,35 [71].
2. Коефіцієнт строкової ліквідності з рівня 0,4 – 0,6 у 2007 –
2008 роках зростає до рівня 0,967, що відповідає нормативно стійкому діапазону
0,7 – 0,8 [71].
3. Коефіцієнт загальної ліквідності з рівня 0,99 – 0,167 у 2007 –
2008 роках зростає до рівня 1,874, що відповідає нормативно стійкому діапазону
1,5 – 2,0 [71].
4. Коефіцієнт автономності джерел активів з рівня 0,21 – 0,3 у
2007 – 2008 роках зростає до рівня 0,556, що відповідає нормативно стійкому
діапазону > 0,5[71].
5. Показник фінансової стійкості по покриттю запасів з рівня
“Кризовий стан” (нестача власних та залучених коштів для покриття виробничих
запасів) у 2007 – 2008 роках змінюється до рівня „Абсолютно стійкий фінансовий
стан” ( для покриття виробничих запасів достатньо власного оборотного капіталу)
[71].
6. Прогнозний рівень рентабельності власного капіталу, який зросте
з рівня 582 тис.грн. (2008 рік) до рівня 1 705 тис.грн. (прогноз початку 2009
року), знизиться з рівня 67 125 % у 2007 2008 роках і становитиме 40,6%, що
відповідає умовам залучення коштів інвесторів при додатковій емісії акцій.
Рис.3.2 Динаміка прогнозного зростання валюти балансу та частки
власного капіталу для ТОВ „Металоіндустрія Плюс” при впровадженні у 2009 році
пропозицій дипломного дослідження
Рис.3.3 Динаміка прогнозного зростання рівней ліквідності балансу
до зони нормативної стійкості для ТОВ „Металоіндустрія Плюс” при впровадженні у
2009 році пропозицій дипломного дослідження
Рис.3.4 Динаміка прогнозного зростання рівня автономності (рівня
незалежності джерел в валюти пасивів балансу) до зони нормативної стійкості для
ТОВ „Металоіндустрія Плюс” при впровадженні у 2009 році пропозицій дипломного
дослідження
Рис.3.5 Динаміка прогнозного зростання фінансової стійкості по
покриттю запасів із кризової зони до зони абсолютної стійкості для ТОВ
„Металоіндустрія Плюс” при впровадженні у 2009 році пропозицій дипломного
дослідження
Рис.3.6 Динаміка прогнозного зміни рівня рентабельності власного
капіталу після додаткової емісії акцій для ТОВ „Металоіндустрія Плюс” при
впровадженні у 2009 році пропозицій дипломного дослідження
РОЗДІЛ 4
ОХОРОНА ПРАЦІ
Питання підвищення продуктивності праці, зменшення кількості
помилок у роботі багато в чому залежать від безпечних і нешкідливих умов праці.
Тому важливим завданням студента дипломника є розроблення організаційно-технічних
та санітарно-гігієнічних заходів, здійснення яких виключає можливість
виробничого травматизму, професійних захворювань, отруєнь, вибухів і пожеж,
негативних екологічних наслідків.
4.1 Характеристика приміщення
За об'єкт дослідження було взято приміщення бухгалтерії ТОВ
«Металоіндустрія Плюс», у якому відбувалася робота над дипломним проектом. У
вибраному приміщенні 5 робочих місця. Це приміщення розташоване у цегляній
будівлі на 2 поверсі 2поверхового будинку. Загальна площа приміщення 20,88 м (
довжина 5,80м; ширина 3,60м), висота2,80м. Розрахуємо площу приміщення, що
припадає на одного працюючого, оцінимо ці значення відповідно до СниП 2.09.0487
[54], за якими встановлено, що на кожного працюючого повинно припадати в
управлінських приміщеннях не менше ніж 4 м2 робочої площі. Визначаємо
площу приміщення, яка припадає на 1 працюючого.
20,88 / 5 = 4,16 м2.
Отже, дане приміщення придатне для працювання 5 осіб
управлінського апарату. Висота приміщення повинна бути від підлоги до стелі не
менше 2,50м [54]. Висота об'єкта дослідження складає 2,80м.
Для
повної характеристики приміщення наведемо план приміщення (рис. 4.1). У
приміщенні розташовано 5 комп’ютерів. Напруга джерела живлення комп’ютерів у
приміщенні 220 В. У приміщенні є 1 склопластикове вікно,розміщені 4 письмових
стола, 3 шафи для зберігання документів, 1 шафа для одягу, 2 сейфи.
Рис.4.1
Схема приміщення бухгалтерії ТОВ «Металоіндустрія Плюс»
За
небезпекою ураження електричним струмом приміщення бухгалтерії належить до
приміщень без підвищеної небезпеки ураження електричним струмом [19 ].
4.2 Аналіз стану охорони праці в приміщенні
В аналізі стану охорони праці необхідно зазначити місця, де
можливий вплив на працюючих небезпечних або шкідливих виробничих факторів, їх
джерела.
Головними потенційними небезпеками можуть бути (згідно ГОСТ
12.0.00374 [19]): небезпека ураження електричним струмом при короткому
замиканні проводки; небезпека пожежі у приміщенні, бо в приміщенні знаходиться
безліч паперу.
У даному приміщенні не виникали нещасні випадки за останній рік.
Проведемо аналіз санітарно-гігієнічних умов у досліджуваному приміщенні.
Дослідимо достатність природного освітлення. Складемо розрахункову
схему та зобразимо на ній (рис.4.2, 4.3):
- габаритні розміри приміщення (5,80м*3,60м*2,80м)
- розміри вікон (1,90м* 1,40м*1шт – металопластик на 2 половинки без
фіранки, розташоване прямо під потолок (2 см від потолка));
- розміщення вікон за висотою приміщення (висота від підлоги до
підвіконня 0,90м, Відносно рівня робочої поверхні + 0,10м)
- відстань від вікна до розрахункової точки – 4 м.
-
Рис.4.2 Розрахункова схема розташування вікна (кімната в розрізі)
Рис. 4.3 – Схема розрахунку природного освітлення (аксонометрія)
Нормативне значення коефіцієнта природного освітлення (КПО) для
четвертого світлового поясу, в якому розташована Україна, визначається у
відсотках за формулою [17]:

(4.1)
де
нормоване значення КПО для 3го світлового поясу, яке визначається
за СниП 11479 [55]. Для більшості адміністративно-управлінських приміщень, у
яких виконуються роботи третього розряду (середньої точності) для бокового освітлення
складає 1,5%; [18]
m коефіцієнт світлового клімату (для України m = 0,9);
с коефіцієнт сонячності. Для географічної широти м. Дніпропетровська
розташоване в межах 0,751,0. Візьмемо с = 0,88.
=
1,5*0,9*0,88 = 1,19 (%)
, (4.2)
де Sвікон— площа всіх вікон у приміщенні, м2
;
Sвікон = 1,9 *1,4*1 = 2,66 (м2)
Sпідлоги площа підлоги приміщення, м2 ;
Sпідлоги =20,88 м2
t0 загальний коефіцієнт світлопроникності віконного
прорізу. Для віконних прорізів адміністративно-управлінських будівель, які не
обладнані сонцезахисними пристроями t0 0,5%;
світлова
характеристика вікна, береться із таблиці [44];
Кзатемн_буд=1, коефіцієнт, що враховує затемнення вікон
іншими будинками, якщо будинків немає, то Кзатемн_буд= 1.
Кзапас коефіцієнт запасу, береться у межах Кзапас=1,31,5,
візьмемо Кзапас = 1,4 [44].
r1 коефіцієнт, який враховує відбиття світла від
внутрішніх поверхонь приміщення. Його значення залежить від розмірів приміщення
(довжини і ширини), глибини приміщення (відстані від вікна до протилежної йому
стінки ззовні), висоти від верху вікна до рівня робочої поверхні, відстані
розрахункової точки від вікна, середньозваженого коефіцієнта відбиття світла
від стелі, стін, підлоги, який дорівнює 0,5 (для світлих приміщень з світлими
меблями) [44].
Знайдемо наступні розміри даного приміщення:
глибина приміщення складає 5,80 м
відстань від рівня умовної робочої поверхні до верху вікна 0,1+1,9=2,0
м
відношення глибини приміщення до висоти від рівня умовної
робочої поверхні до верху вікна 5,80/2,0=2,9
відношення відстані розрахункової точки від зовнішньої стіни до
глибини приміщення 4,00/5,80=0,69
відношення довжини приміщення до його глибини 5,80/3,60=1,61
З таблиці методичної вказівки [44] знаходимо r1 =1,90
Знайдемо
. Для цього необхідно мати наступні розміри приміщення:
відношення довжини приміщення до його глибини 5,80/3,60=1,61 м
відношення глибини приміщення до висоти від рівня умовної робочої
поверхні до верху вікна 5,80/2,0=2,9
Знайдемо
. З таблиці методичної вказівки [44], використовуючи метод
екстраполяції, бачимо наступне:
Повертаючись до формули будемо мати наступне
Порівнюючи значення нормативного коефіцієнта природного освітлення
і фактичного можна зробити висновок, що фактичне значення КПО майже в 1,9 рази
не відповідає нормативному значенню (еф<ен), тобто у досліджуваному
приміщенні катастрофічно недостатньо природне освітлення на робочих місцях,
віддалених від вікна. Тому навіть у денну пору у приміщенні горять лампи
штучного освітлення.
Дослідимо достатність штучного освітлення та порівняємо фактичне
значення освітлення, яке створюється наявними у приміщенні джерелами з
нормативним.
Нормативне значення освітлення для адміністративно-управлінських
приміщень при загальному освітленні за СніП 11479 складає при використанні ламп
розжарювання 200 люкс [55].
Ен=200 люкс
Значення фактичного освітлення Еф у приміщенні можна знайти
використовуючи метод коефіцієнта використання світового потоку за формулою
(4.3) [44]:
, (4.3)
де F світловий потік лампи. Лампа потужністю 100 Вт створює
світловий потік у 1450 лм (F = 1450 лм );
S площа приміщення, м2;
Z коефіцієнт нерівномірності освітлення, для ламп розжарювання
складає 1,15;
N кількість світильників, шт (N = 2);
n кількість ламп у світильнику, шт (n = 3);
К коефіцієнт запасу, К = 1,52;
= 0,5, це
коефіцієнт використання світлового потоку.
Для світильників, які традиційно використовуються в
адміністративних будівлях, для традиційних розмірів приміщення і кольорового
оформлення коефіцієнт використання може набувати значень у межах 0,4 0,6.
Порівнюючи нормативне значення освітлення з фактичним, можна
зробити висновок про неефективність штучного освітлення (Еф < Ен) і про
необхідність додаткових заходів щодо поліпшення штучного освітлення у
досліджуваному приміщенні.
Дослідимо
достатність вентиляції у приміщенні. Відповідно до СніП 2.09.0487 об'єм
виробничого приміщення, що припадає на кожного працюючого, повинен складати не
менше 40 м3 [54].
Розрахуємо об'єм приміщення, що припадає на кожного працюючого:
V(1 працівника) = (Sпідлоги
* H) /N= (3,60*5,80*2,80): 5 = 11,70 м3.

Це не відповідає СНіП 2.09.0487 [54]. Тому для нормальної роботи у
приміщенні необхідно забезпечити постійний повітрообмін за допомогою вентиляції
не менше ніж I1 = 30 м3 /год на кожного працюючого.
Ln = I1*n = 30*5 = 150 (м3/час) (4.4)
h = 2,0
h1 = 2,0 – h2 > h1 = 0,053* h2
1,053* h2 = 2,0 > h2 = 1,90 > h1
= 0,10
Фактичний повітрообмін, враховуючи, що від ј до 1/2 робочого часу
по черзі відкриті то половинку вікна, то вхідні двері в коридор, можна
розрахувати за формулою [44]:

, (4.5)
де
= 0,55 коефіцієнт витрати повітря;
F площа відкриваємого вікна або вихідного отвору двері в коридор,
через який буде виходити повітря;
F= 1,4 *1,9*0,5=1,33 м2
Формула, за якою можна розрахувати швидкість виходу повітря через половинку
вікна, або через відкриті двері (вентиляційний канал), м/с.
(4.6)
де g прискорення вільного падіння, g=9,8 м/с2;
Н2 тепловий напір, під дією якого буде здійснюватися
вихід повітря з кватирки або через вентиляційний канал;
) (4.7)
де h2 висота від площини однакових тисків до центра відкриваємої
половинки вікна. Відстань від площини однакових тисків до центрів верхнього і
нижнього прорізів обернено пропорційна квадратам площ цих прорізів;
Теплий період:
=
,
об’ємна вага повітря ззовні приміщення, кгс/см3;
=
,
об’ємна вага повітря зсередини приміщення, кгс/см3;
h2 = 0.665
= 0,665
* ( 1,17 – 1,16 ) = 0,00665
Iфакт_тепл= 1,33*0,55*0,3352*3600 /2= 441,35 (м3/год)
Холодний період:
=
,
об’ємна вага повітря ззовні приміщення, кгс/см3;
=
,
об’ємна вага повітря зсередини приміщення, кгс/см3;
= 0,665
* ( 1,33 – 1,20 ) = 0,0865
Iфакт_хол = 1,33*0,55*1,187*3600/10 = 312,6 (м3/год)
Порівнюючи значення фактичного повітрообміну і необхідного визначимо
(без врахування тепловиділення комп’ютерної техніки):
у холодний період року (половинка вікна відкрита на 10%, двері
закриті) вентиляція занадто ефективна Іфакт_хол > Інорм (312,6>150)
у теплий період року (половинка вікна відкрита на 50% та відкриті
двері) вентиляція також занадто ефективна Іфакт_тепл > Інорм (441,35>150)
Оскільки повітрообмін в приміщенні організований з організацією
штучних протягів, слід запропонувати заходи щодо її поліпшення. Оцінимо
метеорологічні умови на робочих місцях.
Порівняймо фактичні дані нормованих параметрів мікроклімату з
нормованими за ГОСТ 12.1.00588, які відображені в таблиці 4.1 [18].
Таблиця 4.1
Оцінка метеорологічних умов на робочих місцях
|
Параметри мікроклімату
|
Фактичне значення
|
Оптимальне
значення за ГОСТ 12.1.00588
|
Допустиме
значення за ГОСТ 12.1.00588
|
|
Для холодного періоду:
Температура, С
Відносна вологість, %
Швидкість переміщення
повітря, м/с
|
22 24
50
1,18
|
2124
4060
0,1
|
2025
4060
не більше 0,2
|
|
Для теплого періоду:
Температура, С
Відносна вологість, %
Швидкість переміщення
повітря, м/с
|
28 30
50
0,335
|
22 – 25
40 – 60
не більше 0,2
|
21 – 28
не більше 60
0,1 – 03
|
Таблиця 4.2
Підсумкова таблиця санітарно-гігієнічних умов праці
|
№
|
Параметр
|
Значення параметру
|
Нормативні документи
|
|
Факт
|
Норма
|
|
1
|
Освітлення, лк
|
120,77
|
200
|
СНіП ІІ479
|
|
2
|
Значення КЕО, %
|
0,69
|
1,19
|
СНіП ІІ479
|
|
3
|
Загазованість, мг/м3
|
–
|
–
|
ГОСТ 12.1.005.88
|
|
4
|
Запилення, мг/м3
|
–
|
–
|
ГОСТ 12.1.005.88
|
|
5
|
Температура, °С:
взимку
влітку
|
22 24
28 – 30
|
2025
2128
|
ГОСТ 12.1.005.88
ГОСТ 12.1.005.88
|
|
6
|
Відносна вологість, %
|
50
|
4060
|
ГОСТ 12.1.005.88
|
|
7
|
Швидкість руху повітря, м/с
|
0,335 1,18
|
0,10,2
|
ГОСТ 12.1.005.88
|
|
8
|
Шум, дБА
|
50
|
60
|
ГОСТ 12.1.009.83
|
Таким чином, проведений аналіз показує, що в приміщенні
бухгалтерії підприємства не виконуються вимоги інструктивних документів по охороні
праці в частинах:
-
поганої організації
природної вентиляції в приміщенні, яка організується за рахунок відкриття
половинки металопластикового вікна та вхідної двері в приміщення, оскільки в
приміщені немає системи воздуховодів витяжної вентиляції. Це створює протяги та
підвищену захворюваність і психологічні конфлікти між співробітниками, які
сидять біля вікна на проході. При поганій організації природної вентиляції в
приміщенні відсутня штучна вентиляція та охолодження зовнішнього повітря, що
приводить до підвищених температур влітку;
-
недостатнього рівня
природного освітлення в приміщенні та недостатній рівень штучного освітлення
для столів, які розташовані якнайдальше від вікна.
Що стосується пожежної безпеки в даному приміщенні, то необхідно
зазначити, що згідно з ОНТП 2486 [46] воно відноситься до категорії В, оскільки
в ньому знаходяться: дерев'яні меблі, паперова документація, що є потенційними
факторами виникнення пожежі. За Сніп 2.01.02.85 [58] будівля, де знаходиться
дане приміщення відноситься до другого ступеню вогнестійкості. Треба зазначити,
що не розроблено план евакуації з даного приміщення у випадку пожежі.
4.3
Розробка заходів по охороні праці
І. Неефективність штучного освітлення.
Для освітлення даного приміщення використовуються лампи
розжарювання потужністю 100 Вт, кількість можливо використовуваних ламп у
світильнику складає 3 шт., а використовуються лише 2. Для поліпшення штучного
освітлення в даному приміщенні пропонуємо замінити світильники та використовувати
люмінесцентні лампи з світловим потоком 2000лм у кількості, що складає 8( по 4
лампи у 2х світильниках) [44].
Отже, у такому разі штучне освітлення буде ефективним, що доведено
відповідними розрахунками.
2. Неефективність вентиляції (аерації) в теплий та холодний періоди
року.
Для покращення природної вентиляції пропонуємо впровадження
кондиціонерів (спліт систем) з системою як охолодження , так і підігріву
повітря.
Split
(англ.) – роздільний. Спліт-системи складаються з двох частин: внутрішній блок,
що знаходиться в приміщенні, і зовнішній блок, що монтується назовні. Такі
системи сьогодні є лідерами продажів. Переваги:
блоки
з'єднуються шлангами, трубками та електричними дротами, які можна легко
приховати естетичним коробом, або вмонтувати у стіну
монтаж
внутрішнього блока можна здійснювати у будь-якому зручному місці кімнати
найбільш
шумний вузол – компресор, знаходиться у зовнішньому блоці, отож шум від спліт-системи
значно нижчий, ніж від віконного кондиціонеру. Внутрішній блок працює майже
безшумно
великій
вибір внутрішніх блоків (вони можуть монтуватися: на стіну, на підлогу, на
стелю, у вигляді окремої колони, у підвісну стелю, тощо) дозволяє влучно
інтегрувати кондиціонер до дизайну та призначення приміщення
повітря
можна спрямовувати у необхідному напрямку і з необхідною силою
Потужність
по “виробництву холоду “кондиціонером прийнято вимірювати в BTU. Це британська
теплова одиниця, 1 BTU = 0.293 Вт.
Для
визначення необхідної для охолодження приміщення потужності кондиціонера слід
розрахувати сумарне надходження тепла до приміщення, приблизно враховуючи тепло
від сонячних променів, освітлення, людей, оргтехніки, тощо. Обрана модель
кондиціонера повинна давати таку саму, або навіть дещо вищу потужність. У
великому приміщенні можна встановлювати декілька внутрішніх блоків.
В
результаті розрахунків надлишкової тепловіддачі в приміщенні бухгалтерії ТОВ
«Металоіндустрія Плюс» на 2 поверсі 2 поверхового будинку, виконані
калькулятором фірми по продажу кондиціонерів за допомогою Інтернетмережі,
вибраний 1 кондіціонер (Рис.4.6).
Рис.4.6 Вибрані для установки потолочні спліт-системи кондиціонеру
Fuji RC54R Потужність (кВт): 3,9 5,4
На
рис.4.6 показані вибраний тип кондиціонеру для зняття надлишкового тепла у
приміщенні:
-
довжина 5,8 м, ширина 3,6 м
(площа 20,9 м2)
-
висота стель – 2,8 м (об”єм
приміщення – 58,5 м3)
в приміщенні
розташовані 5 комп’ютерних комплекса , 1 ксерокс, 2 мережевих принтера та 2 прилади
забезпечення безперебійного електричного живлення
-
1 вікно приміщення виходить
не на сонячну сторону будинку
-
в кімнаті встановлене штучне
освітлення газорозрядними лампами з мінімальним нагрівом на стелях та 5 настільних
ламп з лампами накалювання на робочих місцях (5 *75 вт)
Процедура
розрахунків надходження тепла в операційний зал управління виглядає таким чином
[18]:
, ккал/год
(4.8)
де Qобор
– виділення тепла від устаткування:
Qобор
= 860*n*P*k1*k2. , ккал/год (4.9)
де n
= 5, середня працююча кількість устаткування
Р=
0,25 квт – середня теплова потужність одиниці обладнання
к1 =
0,8 – коефіцієнт використання установленої потужності
к2 =
0,5 – коефіцієнт одночасної роботи устаткування
860
– коефіцієнт відношення між потужністю обладнання і кількістю виділеного тепла
при переході електричної енергії в теплову (1 квт = 860 ккал/год)
Підставляємо
чисельні значення у формулу (4.2):
Qобор
= 860*5*0,25*0,8*0,5 = 430 ккал /год
Qлюд
– надходження тепла, зумовлене працюючими людьми:
Qлюд
= N*q (4.10)
де N
= 5 чоловік, які одночасно знаходяться в операційному залі банку;
q =
125 ккал/год – середня кількість тепла, що виділяється однією людиною;
Підставляємо
чисельні значення в формулу (4.3):
Qлюд
= 5*125 = 625 ккал/год
Qосвітл
– надходження тепла від приладів освітлення
Qосвітл
= 860* N1 * к4 (4.11)
Де N1
= 0,075*5 = 0,375 квт – сумарна потужність ламп накалювання (кількість ламп
помножених на їх потужність)
к4 =
0,8 – коефіцієнт одночасного використання
Підставляємо
чисельні значення в формулу (4.11):
Qосвітл
= 860*0,375 * 0,8 = 258 ккал/год
Qрад
= 135 ккал/год – надходження тепла через зовнішні огородження конструкцій від
сонячної радіації (значення для західної півкулі 50широти).
Таким
чином, сумарний поток тепловиділення буде становити:
Qнадх
= 430 + 625 + 258 + 135 = 1448 ккал/год (або 1448/860 = 1,7 квт)
Зробимо
розрахунок необхідного повітрообміну за надлишком тепла в приміщенні бухгалтерії
за формулою:
, м3/час (4.12)
де С
= 0,24 ккал/кг*град – питома теплоємність повітря;
ρ
= 1,3 кг/м3 – щільність повітря
tвід
– температура повітря, що видаляється
tприпл
– температура припливного повітря ( на 8 градусів нижче)
Результати
розрахунку по формулі (4.12):
Що
відповідає зробленим вище розрахункам по ефективності повітрообміну в
приміщення за рахунок відкритого вікна.
Таким
чином, для підтримки встановлених параметрів мікроклімату в операційному залі
управління необхідно 1 потолочних спліт-кондиціонера Fuji RC54R Потужність (кВт):
1,9 3,0 з регульованою продуктивністю від 80 до 500 м3/год.
4.Подамо розроблений план евакуації з даного приміщення на випадок
виникнення в ньому пожежі.
Оцінка пожежної безпеки.
Відповідно
до ОНТП 2486 [46] бухгалтерія по вибуховій і пожежній безпеці відноситься до
категорії В (робота з непальними речовинами і матеріалами в холодному стані).
Можлива причина пожежі в приміщенні – порушення правил техніки безпеки,
несправність електроприладів. Існує охоронно-пожежна сигналізація. У випадку
пожежі можна також зв'язатися з пожежною охороною.
ВИСНОВКИ
Економічна
діагностика ефективності та результативності діяльності підприємства ТОВ
“Металоіндустрія Плюс» у 2005 – 2008 роках показала:
- валюта балансу підприємства за 3 роки діяльності зросту практично
в 9 разів, що свідчить про позитивну тенденцію росту підприємства;
- підприємство є низько платоспроможним та слабо-ліквідним, маючи
недостатній запас ліквідності та відсутність запасу стійкості по забезпеченню
запасів та оборотного капіталу власними коштами;
- підприємство має недостатній рівень автономії (0,3 замість 0,5) за
рахунок низького рівня власного капіталу та високого рівня використання
позикових коштів комерційних кредитів та авансів;
- підприємство розвивається циклами, маючи тенденцію до підвищення
валюти балансу за рахунок нарощення дебіторсько-кредиторської заборгованості та
прибутку у власному капіталі;
- ресурсовіддача активів та основних засобів підприємства при
зростанні валюти балансів не знижується, що свідчить про ефективність політики
оновлення основних засобів на нових технологічних принципах та суттєвого
підняття частки активних основних фондів нового покоління;
- високий рівень рентабельності роботи підприємства значно підвищив
доходність пайових часток у 2006 2008 році, що привело до появи інвестиційного
інтересу по вкладанню коштів інвесторів в підприємство;
- у 2007 році різко зріс рівень ділової активності підприємства, про
що свідчить зменшення періоду оборотності оборотних коштів та дебіторсько-кредиторської
заборгованості до 22 30 днів, це значно перевищує стандарті норми оборотності
(не більше 120 днів на оборот).
Тобто,
підприємство знаходиться в сегменті зростання життєвого циклу розвитку
підприємства і повинно терміново розробити стратегію розвитку підвищення рівнів
ліквідності та платоспроможності підприємства.
В
якості основної стратегії розвитку підприємства найбільш реальним шляхом є
використання високих показників рентабельності капіталу підприємства (ROE =67 –
125 % річних), виявлених на стадії економічної діагностики, для залучення
зовнішнього інвестування в статутний капітал підприємства. Залучення
зовнішнього інвестиційного капіталу в статутний капітал підприємства доцільно
провести за рахунок реорганізації товариства з обмеженою відповідальністю ТОВ
„Металоіндустрія Плюс” в форму закритого акціонерного товариства (ЗАТ) чи
відкритого акціонерного товариства (ВАТ) з емісією акцій на умовах:
засновники ТОВ „Металоіндустрія Плюс” отримують акції на суму
пайових долей в існуючому статутному капіталі 29 тис.грн. та на зароблену суму
нерозподіленого прибутку 518,8 тис.грн. за час діяльності підприємства
(занулення прибутку нового підприємства при реорганізації) на загальну суму 550
тис.грн.;
зовнішні інвестори вносять в новий статутний фонд ЗАТ чи ВАТ розміром
1250 тис.грн. додаткові кошти на суму 700 тис.грн. відповідно розподілу при
підписці на акції;
розрахункова прогнозна рентабельність акцій повинна становити не
менше 40% річних, що в 2,5 раза вище альтернативної депозитної доходності
капіталу, вкладеного в комерційні банки у 2008 році.
Як показали результати комп’ютерного моделювання прогнозів зміни
фінансових показників діяльності ТОВ – ВАТ „Металоіндустрія Плюс”, за рахунок
додаткового росту власного капіталу підприємства на 700 тис.грн. при додатковій
емісії акцій та реорганізації із форми товариста з обмеженою відповідальністю в
форму акціонерного товариства:
1. Коефіцієнт абсолютної ліквідності з рівня 0,043 0,127 у 2007
2008 роках зростає до рівня 0,272, що відповідає нормативно стійкому діапазону
0,2 – 0,35.
2. Коефіцієнт строкової ліквідності з рівня 0,4 – 0,6 у 2007 –
2008 роках зростає до рівня 0,967, що відповідає нормативно стійкому діапазону
0,7 – 0,8.
3. Коефіцієнт загальної ліквідності з рівня 0,99 – 0,167 у 2007 –
2008 роках зростає до рівня 1,874, що відповідає нормативно стійкому діапазону
1,5 – 2,0.
4. Коефіцієнт автономності джерел активів з рівня 0,21 – 0,3 у
2007 – 2008 роках зростає до рівня 0,556, що відповідає нормативно стійкому
діапазону > 0,5.
5. Показник фінансової стійкості по покриттю запасів з рівня
“Кризовий стан” (нестача власних та залучених коштів для покриття виробничих
запасів) у 2007 – 2008 роках змінюється до рівня „Абсолютно стійкий фінансовий
стан” ( для покриття виробничих запасів достатньо власного оборотного
капіталу).
6. Прогнозний рівень рентабельності власного капіталу, який зросте
з рівня 582 тис.грн. (2008 рік) до рівня 1 705 тис.грн. (прогноз початку 2009
року), знизиться з рівня 67 125 % у 2007 2008 роках і становитиме 40,6%, що
відповідає
умовам залучення коштів інвесторів при додатковій емісії акцій.
Практична
цінність отриманих результатів кваліфікаційної роботи полягає в наданні
керівництву ТОВ „Металоіндустрія Плюс” об’єктивних даних аналізу поточного
економічного стану підприємства та основних негативних тенденцій в його
діяльності, а також обґрунтування доцільності запропонованих заходів по
подоланню негативних тенденцій та підвищенню рівня результативності та
ефективності діяльності підприємства.
СПИСОК
ВИКОРИСТАНОЇ ЛІТЕРАТУРИ
1. Господарський кодекс
України від 16 січня 2003 року N 436IV(діє з 01.01.2004) // Із змінами і
доповненнями, внесеними Законами України від 9 січня 2007 року N 549V, ОВУ,
2007 р., N 8, ст. 276
2. ЗАКОН УКРАЇНИ «Про господарські товариства» //
від 19 вересня 1991 року N 1576XII (Із змінами і доповненнями, внесеними
Законами України станом на 19 лютого 2004 року N 1519IV)
3. Положення (стандарт)
бухгалтерського обліку 1 "Загальні вимоги до фінансової звітності",
Наказ Мінфіна України № 87 від 31.03.1999 + № 304 від 30.11.2000.
4. Положення (стандарт)
бухгалтерського обліку 2 "Баланс", Наказ Мінфіна України № 87 від
31.03.1999 + № 304 від 30.11.2000.
5. Положення (стандарт)
бухгалтерського обліку 3 " Звіт про фінансові результати «, Наказ Мінфіна
України № 87 від 31.03.1999 + № 304 від 30.11.2000.
6. Андрєєва Г.І. Економічний аналіз: навч.метод. посібник / Г. І. Андрєєва. – К.:
Знання, 2008. – 263 с.
7. Безпека праці:
ергономічні та естетичні основи: навч. посібник / С. О. Апостолюк [та ін.]. –
2ге вид., стер. – К.: Знання, 2007. – 215 с.
8. Бланк И.А.
Управление прибылью / И.А. Бланк. – изд. 3е, перераб. и доп. – К.: НикаЦентр,
2007. – 768 с.
9. Бланк И.А. Финансовая
стратегия предприятия: учебный курс / И. А. Бланк. К.: НикаЦентр, 2006. 518 с.
10.Богатко А.Н. Основы
экономического анализа хозяйствующего субъекта. М.: Финансы и статистика, 2000.
208 с.
11. Бойко В.В.
Економіка підприємств України. – Дніпропетровськ, НГАУ, 2002. – 535 с.
12. Бойчик І.М.
Економіка підприємства: навч. посіб. / І. М. Бойчик. – Вид. 2ге, доповн. і
переробл. – К.: Атіка, 2007. – 528 с.
14. Гетьман
О.О., Шаповал В.М. Економіка підприємства: навчальний посібник для студентів
вищих навчальних закладів. Київ, Центр навчальної літератури, 2006. – 488 с.
15. Гетьман О.О.
Економічна діагностика: навч. посіб. / О.О. Гетьман, В. М. Шаповал; Мво освіти
і науки України, Український державний хімікотехнологічний унт,
Дніпропетровський унт економіки та права. – К.: Центр навчальної літератури,
2007. – 307 с.
16. Герасимова С.В.
Управління інвестиційною діяльністю акціонерних товариств: [монографія] / С. В.
Герасимова. – К.: Знання, 2006. – 407 с.
17. Гигиеническое
нормирование факторов производственной среды и трудового процесса / Под ред.
Измерова Н.Ф., Каспарова А.А. АМН СССР. М.: Медицина, 1986. – 128 с.
18. Гогіташвілі Г.Г. Основи охорони праці: навч. посібник / Г.Г. Гогіташвілі, В. М.
Лапін. – 4те вид., виправл. і доповн. – К.: Знання, 2008. – 302 с.
19.
ГОСТ 12.0.00374. Опасные и вредные производственные факторы. Классификация.
20. Денисенко Г.Ф. Охрана
труда: Учебное пособие для инженерно экономических специальностей вузов. М.:
Высшая школа. 1985. – 205 с.
21.
ДСН 3.3.6.04299. Санітарні норми мікроклімату виробничих приміщень.
22. Економіка підприємства:
Підручник/ Ред. С.Ф. Покропивний. 3тє вид., без змін. К.: КНЕУ, 2006. 528 с.
23. Економіка
підприємства: Навч. посібник/ Ред. А.В. Калина. К.: МАУП, 2006. 351 с
24. Економіка підприємства: навч. посібник / за ред. А. В. Шегди ; Київський нац. унт ім.
Тараса Шевченка. – 2ге вид., стер. – К.: ЗнанняПрес, 2002. – 335 с.
25. Економіка
підприємства: Підручник/ Ред. А.В. Шегда. К.: Знання, 2006. 614 с
26.
Економіка підприємства: опорний конспект лекцій / Н.М. Ушакова, Л.О. Лігоненко,
М.М.Скотнікова – К., КНТЕУ, 2002. – 187 с.
27.
Економіка підприємства: Навч.метод. посібник для самост. вивч. дисц./ І.О. Швиданенко,
С.Ф. Покропивний, С.М. Клименко та ін. К.: КНЕУ, 2000 248 с
28. Економіка
виробничого підприємства: Навчальний посібник / За ред. І. М. Петровича. – К.:
Знання, 2001. – 405 с.
29. Економіка
підприємств: Навчальний посібник / Ред. П.С. Харів. – Тернопіль: Економічна
думка, 2000. – 500 с.
30. Захарчин Г.М. Основи підприємництва: навч. посібник / Г.М. Захарчин. – К.:
Знання, 2008. – 438 с.
31. Ізмайлова К.В.
Фінансовий аналіз: Навч.посібник. К: МАУП,2000. – 152 c.
32. Кармазін В.А. Економічний аналіз: практикум / В.А. Кармазін, О. М. Савицька. –
К.: Знання, 2007. – 255 с.
33. Кобевник В.Ф. Охрана
труда – К.: Выща школа, 1990. – 286 с.
34. Ковалев В.В.
Введение в финансовый менеджмент. М.: «Финансы и статистика», 2001. 276 с.
35. Коробов М.Я.
Фінансово-економічний аналіз діяльності підприємств.Київ:Знання,2002.294 с.
36. Коніщева Н.,
Балашова Р., Гураль В. Аналітичні підходи до оцінки ефективності діяльності
підприємств // Економіст. – 2000. – №12. – с. 4447.
37. Контролінг: навчальний посібник/ Г. О. Швиданенко [та ін.] ; Мво освіти і
науки України, Держ. вищ. навч. заклад "Київський нац. екон. унт ім. В.
Гетьмана". – К.: КНЕУ, 2008. – 257 с.
38. Крайник О.П.,
Клепикова З.В. Фінансовий менеджмент. К. Львів: “Дакор”, “Інтелект”, 2001. 207
c.
39. Крамаренко Г.О.,
Чорна О.Є. Фінансовий менеджмент. Киів: Центр навчальної літератури, 2006. –520
с.
40. Крамаренко
Г.О. Фінансовий аналіз та планування. – Дніпропетровськ: Видавництво ДАУБП,
2001. – 224 с.
41. Куденко
Н.В. Маркетингові стратегії фірми – Київ, КНЕУ, 2002. – 245 с.
42. Лахтіонова Л.А.
Фінансовий аналіз суб'єктів господарювання. Київ: КНЕУ,2001.387 с.
43. Митрофанов Г.В.,
Кравченко Г.О., Барабаш Н.С. Фінансовий аналіз. Київ: Київ.
нац.торг.екон.унт,2002.301 с.
44. МЕТОДИЧНІ ВКАЗІВКИ до
написання розділу "Охорона праці" в дипломних роботах для студентів
економічних спеціальностей усіх форм навчання // Укладач А.Ф. Денисенко. Суми: Видво СумДУ, 2008. – 39 с.
45. Наливайко А.П.
Теорія стратегії підприємства. Сучасний стан та напрямки розвитку: Монографія.
— К.: КНЕУ, 2001. — 227 с.
46. ОНТП 2486 (общесоюзные нормы технологического проектирования).
Определение категорий помещений по взрывной и пожарной опасности.
47. Оценка бизнеса: Учебник
/ Под.ред. А.Г. Грязновой, М.А. Федотовой. М.: Финансы и статистика, 2003. 512
с.
48. Павловська О.В.,
Притуляк Н.М., Невмержицька Н.Ю.Фінансовий аналіз.Київ:КНЕУ,2002.388 с.
49. Подольська В.О.
Фінансовий аналіз: навч. посіб. / В.О. Подольська, О.В. Яріш ; Мво освіти і
науки України, Полтавський унт споживчої кооперації України. – К.: Центр
навчальної літератури, 2007. – 488 с.
50. Попович П.Я.
Економічний аналіз діяльності суб'єктів господарювання. Тернопіль: Економічна
думка,2001.454 с.
51. Примак Т.О.
Економіка підприємства: Навчальний посібник. – К.: Вікар, 2001. – 178 с.
52. Савчук В.П. Финансовый
менеджмент предприятий – К.: Издательский дом «Максимум», 2001. – 600 с.
53. Савицька Г.В.
Економічний аналіз діяльності підприємства. Київ: Знання,2005.662 с.
54. СНиП 2.09.0487.
Административные и бытовые здания // переизданием СНиП
2.09.0487 с изменением № 1, 2, утвержденными соответственно
постановлениями
Госстроя России от 31.03.94 № 1823 и Минстроя России от 24.02.95 № 1821,
введенными в действие с 1 июля 1994 г. и 1 марта 1995 г.
55. СНиП ІІ479. Естественное и искусственное освещение // Утверждены
постановлением Государственного комитета СССР по делам строительства
от
27 июня 1979 г. № 100
56. СНиП
2.04.0591. Отопление, вентиляция и кондиционирование воздуха.
57. СНиП
2.09.0285. Производственные здания промышленных предприятий. Нормы
проектирования.
58. СНиП 2.01.0285.
Противопожарные нормы проектирования зданий и сооружений.
59.
Слав’юк Р.А. Фінанси підприємств: Навч. посібник. – Київ: ЦУЛ, 2002. – 460 с.
60. Таркуцяк А.О.
Фінансовий аналіз та управлінські рішення (на прикладі роботи вищого
навчального закладу).Київ: Вид-во Європ. унту,2001.201 с.
61.
Терещенко О.О. Фінансова санація та банкрутство підприємств: Навч.посібник. –
К.: КНЕУ, 2000. – 412 с.
62. Філімоненков О.С.
Фінанси підприємств: навч. посібник / О.С. Філімоненков. – вид., 2ге переробл.
і доповн. – К.: Кондор, 2007. – 400 с.
63. Філіна Г.І.
Фінансова діяльність суб’єктів господарювання: навч. посібник для студ. вищих
навч. закладів / Г. І. Філіна. – К.: Центр учбової літератури, 2007. – 320 с.
64. Фінанси
підприємств: Підручник / Кол. авт. під кер. проф. А. М. Поддєрьогіна. – К.:
КНЕУ, 2004. 546 с.
65. Фінансовий
менеджмент: Підручник/Кер. кол. авт. і наук. ред проф.А.М.Поддєрьогін. К.:
КНЕУ, 2005. 536 с.
66. Фомин
Я.А. Диагностика кризисного состояния предприятия: Учеб.Пособие для вузов. –
М.: ЮНИТИДАНА, 2003. – 349 с.
67. Цигилик І.І., Кропельницька
С.О.,Мозіль О.І Економічний аналіз господарської діяльності
підприємства.Київ:ЦУЛ,2004.123 с.
68. Шеремет О.О.
Фінансовий аналіз.Київ:Кондор,2005.196 с.
69. Шеремет А.Д. Комплексный анализ хозяйственной деятельности: учебник/ А. Д.
Шеремет. – Изд. доп. и испр. – М.: ИНФРАМ, 2008. – 416 с.
70. Швиданенко Г.О.
Управління капіталом підприємства: навч. Посібник / Г. О. Швиданенко, Н. В.
Шевчук ; Мво освіти і науки України, Держ. вищ. навч. заклад "Київський
нац. екон. унт ім. В. Гетьмана". – К.: КНЕУ, 2007. – 436 с.
71. Швиданенко Г.О.
Бізнесдіагностика підприємства / Г. О. Швиданенко, А. І. Дмитренко, О.І.
Олексюк ; Мво освіти і науки України, Держ. вищ. навч. заклад "Київський
нац. екон. унт ім. В. Гетьмана". – К., 2008. – 340 с.
72. Шиян Д.В.,
Строченко Н.І. Фінансовий аналіз.Київ: А.С.К.,2005.240 с.
73. Шморгун Н.П.
Фінансовий аналіз: навч. посібник для студ. вищих навчальних закладів / Н.М. Шморгун,
І.В. Головко ; Мво освіти і науки України, Київський нац. унт ім. Т. Шевченка.
– К.: Центр навчальної літератури, 2006. – 525 с.
74. Шубіна С.В. Економічний аналіз: практикум / С.В. Шубіна, Ж.І. Торяник. – К.:
Знання, 2007. – 230 с.
75. Экономика предприятия
(фирмы): учебник/ под ред. О.И.
Волкова, О.В. Девяткина. – 3е изд., перераб. и доп. – М.: ИНФРАМ, 2007. – 601
с.
76.
Продовження
табл.А.1
Додаток
Б
Таблиця
Б.1
Звіти
про фінансові результати ТОВ „Металоіндустрія Плюс” за 2005 2008 роки
Додаток
В
Рис.В.1.
Динаміка обсягів валюти і характерних агрегатів активів та пасивів балансу ТОВ
„Металоіндустрія Плюс” у 2005 –2008 роках
Рис.В.2.
Динаміка обсягів доходів, витрат та чистого прибутку ТОВ „Металоіндустрія Плюс”
у 2005 –2008 роках
Рис.В.3.
Динаміка структури характерних агрегатів активів балансу ТОВ „Металоіндустрія
Плюс” у 2005 –2008 роках
Рис.В.4.
Динаміка структури характерних агрегатів пасивів балансу ТОВ „Металоіндустрія
Плюс” у 2005 –2008 роках
Рис.В.5.
Динаміка показників ліквідності балансу ТОВ „Металоіндустрія Плюс” у 2005 –2008
роках
Рис.В.6.
Динаміка показника співвідношення дебіторської та кредиторської заборгованостей
в балансі ТОВ „Металоіндустрія Плюс” у 2005 –2008 роках
Рис.В.7.
Динаміка коефіцієнтів фінансової незалежності (автономії) та забезпечення
оборотних коштів в балансі ТОВ „Металоіндустрія Плюс” у 2005 –2008 роках
Рис.В.8.
Динаміка показників ресурсовіддачі активів та фондовіддачі основних засобів в
ТОВ „Металоіндустрія Плюс” у 2005 –2008 роках
Рис.В.9.
Динаміка показників фінансової стійкості по покриттю запасів усіма видами
ресурсних джерел в ТОВ „Металоіндустрія Плюс” у 2005 –2008 роках
Рис.В.10
Динаміка показників ділової активності (строку оборотності агрегатів активів) в
ТОВ „Металоіндустрія Плюс” у 2005 –2008 роках
Рис.В.11
Динаміка показників рентабельності активів та власного капіталу по чистому
доходу від реалізації в ТОВ „Металоіндустрія Плюс” у 2005 –2008 роках
Рис.В.12
Динаміка показників рентабельності активів та власного капіталу по чистому
прибутку після оподаткування в ТОВ „Металоіндустрія Плюс” у 2005 –2008 роках
Додаток
Г
Таблиця
Г.1
Аналіз
динаміки складу та структури майна підприємства ТОВ «Металоіндустрія Плюс» за
2005 2008 роки
Продовження
табл.Г.1
Таблиця
Г.2
Аналіз
динаміки активів і фінансових результатів підприємства ТОВ «Металоіндустрія
Плюс» за 2005 2008 роки
Таблиця
Г.3
Характеристика
основних засобів підприємства ТОВ «Металоіндустрія Плюс» за 2005 2008 роки
Додаток
Д
Таблиця
Д.1
Динаміка
стійкості ТОВ «Металоіндустрія Плюс» до банкрутства
Додаток
Ж
Таблиця
Ж.1
Аналіз
динаміки показників фінансової стійкості по покриттю запасів підприємства ТОВ
«Металоіндустрія Плюс» за 2005 2008 роки
Таблиця
Ж.2
Аналіз
показників фінансової стійкості та платоспроможності підприємства ТОВ
«Металоіндустрія Плюс»
за
2005 2008 роки
Продовження
табл.Ж.2
Таблиця
Ж.3
Аналіз
динаміки показників ліквідності балансу підприємства ТОВ «Металоіндустрія Плюс»
за 2005 2008 роки
Додаток
К
Таблиця
К.1
Аналіз
динаміки показників рентабельності підприємства ТОВ «Металоіндустрія Плюс» за
2005 2008 роки
Таблиця
К.2
Аналіз
динаміки оборотності оборотних коштів підприємства ТОВ «Металоіндустрія Плюс»
за 2005 2008 роки
Таблиця
К.3
Аналіз
динаміки оборотності джерел коштів підприємства ТОВ «Металоіндустрія Плюс» за
2005 2008 роки
Таблиця
К.4
Аналіз
динаміки прибутку підприємства ТОВ «Металоіндустрія Плюс» за 2005 2008 роки
Додаток
Л
Результати
прогнозування показників балансового звіту реорганізованого ВАТ
„Металоіндустрія Плюс” у 2009 році
Таблиця
Л.1
Продовження
табл.Л.1
Таблиця
Л.2
Результати
прогнозування показників звіту про фінансові результати реорганізованого ВАТ
„Металоіндустрія Плюс” у 2009 році
[1] ГОСТ Р ИСО
90002001. Системы менеджмента качества. Основные положения исловарь.
Госстандарт России. 2001.