Формирование бюджета предприятия

  • Вид работы:
    Курсовая работа (т)
  • Предмет:
    Экономика отраслей
  • Язык:
    Русский
    ,
    Формат файла:
    MS Word
    129,85 kb
  • Опубликовано:
    2010-03-11
Вы можете узнать стоимость помощи в написании студенческой работы.
Помощь в написании работы, которую точно примут!

Формирование бюджета предприятия













КУРСОВАЯ РАБОТА

по курсу "Основы экономики"

по теме: "Формирование бюджета предприятия"

Содержание

Введение

1. Общие принципы формирования бюджета предприятия

1.1 Основные составляющие системы бюджетирования предприятия

1.2 Этапы разработки бюджета предприятия

1.3 Процедуры исполнения бюджета предприятия

1.4 Создание центров финансовой ответственности

2. Особенности формирования бюджета предприятия

2.1 Учет рисков при принятии управленческих решений на этапе формирования бюджета

2.2 Распределение ответственности при формировании бюджета

Заключение

Список использованных источников

Введение


Основа управленческого учета - структурированная информация, собираемая и анализируемая в мониторинговом режиме. Хорошо известно, что поиск и анализ данных - одна из прямых обязанностей службы маркетинга. Но очень часто маркетологи ограничиваются сбором только внешней информации - о конкурентной среде, ценах на отраслевом рынке и т.д. Цель управленческого учета - так называемый внутренний маркетинг, подразумевающий кропотливую работу по изучению самого предприятия. С его помощью можно составить полную картину финансово-экономического состояния компании в любой момент времени, выяснить запас ее прочности, определить потенциал и перспективы развития.

Одной из наиболее важных задач в области управленческого учета является задача бюджетирования, или говоря другими словами, задача формирования комплексного финансового плана. Практика показывает, что решение этой задачи вызывает значительные затруднения, а для многих предприятий она стала почти неразрешимой проблемой. Поэтому тема формирования бюджета предприятия актуальна.

Цель данной работы - проанализировать различные аспекты формирования бюджета предприятия в рамках управленческого учета. Задачи работы:

1. Выявить основные этапы формирования бюджета предприятия.

2. Проанализировать роль центров финансовой ответственности при формировании бюджета.

3. Изучить влияние различных видов рисков при разработке бюджета.

4. Проанализировать распределение ответственности в процессе формирования бюджета.

Работа состоит из введения, двух глав и заключения.

1. Общие принципы формирования бюджета предприятия

 

1.1 Основные составляющие системы бюджетирования предприятия


Бюджетирование хозяйственной деятельности предприятия имеет следующие преимущества.

Прежде всего, именно финансовый план дает четкое понимание и возможность анализа различных вариантов достижения поставленных целей, с последующим выбором оптимального по заданным критериям (прибыль, поступления денежных средств, структура баланса и т.д.). Начав планировать, руководители, как правило, начинают более четко представлять свои цели, корректировать бюджеты. Точность планирования при этом повышается.

Если на предприятии есть годовой бюджет, то его необходимо конкретизировать по месяцам, т.е. составить более подробные оперативные планы, обеспечивающие выполнение долгосрочных планов. Если планов нет, то под воздействием текущих проблем руководители будут уделять мало времени планированию будущих операций. В то время как наличие бюджета гарантирует, что руководители будут планировать, принимая во внимание возможные внешние и внутренние изменения (изменение ситуации на рынке, рост себестоимости и проч.). Бюджетирование заставляет руководителей предвидеть проблемы до того, как они возникнут. За счет этого, должны быть сведены к минимуму неподготовленные, финансово необоснованные решения.

Система бюджетов позволяет получать полную информацию о необходимых финансовых и материальных ресурсах, позволяет заранее предсказать периоды с их дефицитом и принять соответствующие меры (сдвиг платежей во времени на более поздние сроки, взятие кредитов, увеличение объема продаж и т.д.). Планирование необходимо, чтобы избежать банкротства.

Планирование необходимо также для обеспечения эффективного использования привлеченных финансовых ресурсов (например, краткосрочных банковских кредитов). Составляя бюджеты, можно рассчитать плановые показатели рентабельности: рентабельность активов, рентабельность собственного капитала и т.д. Кроме того, составление бюджетов позволяет оценивать эффективность деятельности подразделений.

Путем составления бюджетов, согласуется деятельность различных подразделений предприятия. Каждый руководитель четко понимает свой вклад и ответственность при формировании бюджета. На практике возможны ситуации, когда планы подразделений в совокупности не дают реализуемого плана (нестыковки, дефициты). Поэтому целью бюджетирования является также разрешение противоречий между подразделениями на основе, выгодной для предприятия в целом. Качественно составленный бюджет обеспечивает координацию различных направлений деятельности предприятия и согласованность работы всех его подразделений.

Бюджетирование возможно только при четко организованной системе передачи информации между подразделениями предприятия. Каждый сотрудник, отвечающий за определенную строку частного бюджета, должен четко понимать свою роль в формировании бюджета предприятия в целом.

Сравнивая фактические результаты с плановыми данными бюджетов, можно установить, какие расходы значительно отличаются от плановых и требуют тщательного анализа, при этом целесообразно использовать метод управления по отклонениям. Проводится анализ, изучаются причины отклонений, неэффективности. Затем принимаются решения, обеспечивающие исправление ситуации.

Можно выделить основные факторы, которые делают систему бюджетирования каждого предприятия уникальной:

ограничения, влияющие на деятельность компании (объем сбыта, производственные мощности и т.д.);

вид деятельности;

стратегические цели;

информационные потребности менеджмента компании;

размер предприятия и система управления.

Построение бюджетной модели компании должно начинаться с учета наиболее значимых ограничений, определяющих результаты деятельности. К таким ограничениям относят:

существующий на рынке объем платежеспособного спроса на продукцию;

производственные мощности;

наличие квалифицированного персонала;

доступность сырья и материалов.

Для большинства компаний наиболее значимое ограничение - доступный объем платежеспособного спроса, в соответствии с которым формируется бюджет продаж компании. В этом случае все остальные составляющие бюджета зависят от бюджета продаж. Но такая ситуация характерна только для так называемого рынка покупателей, где предложение превышает спрос. Для ненасыщенных рынков действуют другие ограничения, к примеру, производственные мощности компании или доступность сырья и материалов.

Согласно рекомендациям Минэкономики, система финансового планирования является важнейшим элементом обеспечения устойчивости производственной деятельности. Система должна состоять из:

систем бюджетного планирования деятельности структурных подразделений предприятия;

системы сводного (комплексного) бюджетного планирования деятельности предприятия.

Обобщая опыт практической работы и методики консультационных фирм, можно предложить следующую структуру бюджетов предприятия. Основными документами комплексного бюджета предприятия являются:

бюджет движения денежных средств;

бюджет по прибылям/убыткам;

плановый агрегированный баланс.

Эти плановые документы являются обязательными. Исходной информацией для расчета этих бюджетов служат следующие операционные бюджеты предприятия:

бюджет продаж (отгрузка готовой продукции и полуфабрикатов и поступление денежных средств);

бюджет производства;

бюджет производственных запасов;

бюджет прямых затрат на материалы;

бюджет общепроизводственных расходов;

бюджет прямых затрат на оплату труда;

бюджет коммерческих расходов;

бюджет управленческих расходов.

Бюджеты верхнего уровня могут при необходимости детализироваться на частные бюджеты: по подразделениям, цехам, направлениям деятельности. При этом не следует вводить чрезмерную детализацию - данные бюджета должны обеспечивать принятие решений, существенно влияющих на финансово-экономическое состояние предприятия.

Кроме указанных бюджетов, целесообразно подготавливать еще и такие плановые документы, как:

бюджеты движения товарно-материальных ресурсов;

бюджет по движению дебиторской и кредиторской задолженности;

бюджет развития;

инвестиционный бюджет.

 

1.2 Этапы разработки бюджета предприятия


Процесс формирования бюджета предприятия происходит, как правило, следующим образом.

Прежде всего, на основе данных финансово-экономической стратегии предприятия формируются целевые установки на заданный период планирования (например, год, месяц). Эти установки могут доводиться до отдела маркетинга, производственных подразделений, планово-экономической службы и т.д. Руководители служб должны обеспечить выполнение целевых установок.

На следующем этапе разрабатывается бюджет продаж. Если такой бюджет не сформирован, то финансовое планирование (бюджетирование) практически теряет смысл. Детальный бюджет продаж формируется в коммерческой службе предприятия (отделы маркетинга, сбыта), затем подготавливается укрупненный бюджет продаж и передается в планово-экономический отдел (ПЭО). Кроме того, коммерческая служба формирует бюджет коммерческих расходов - реклама, продвижение товара, зарплата торговых агентов и проч.

Здесь же рассчитывается бюджет управленческих расходов: амортизация, зарплата управленческого персонала, проценты по кредитам, налоги и т.д.

На следующем этапе проводят окончательное формирование бюджета по прибылям и убыткам, бюджета движения денежных средств и планового агрегированного баланса.

Для обеспечения успешного функционирования системы бюджетирования, на предприятии должны быть разработаны и утверждены технологии (методики) управления финансами. Технологии должны включать:

описание цели и достигаемого результата,

решаемые в процессе выполнения технологии задачи,

подразделения и должности, в ней участвующие,

последовательность шагов (этапов) выполнения,

входная и выходная информация и формы ее представления,

средства автоматизации.

При помощи технологий формализуется задача подготовки и консолидации бюджетов, повышается эффективность планирования.

Технологии необходимо привязать к конкретным подразделениям, ответственным, срокам. Такая привязка осуществляется за счет регламентов системы управления финансами, которые утверждаются приказами по предприятию и являются обязательными для исполнения. Предусматриваются также необходимые дополнения к должностным инструкциям.

Следует отметить важность автоматизации задач бюджетирования на предприятии. Без автоматизации невозможно оперативно рассчитать несколько альтернативных вариантов плана, выбрать оптимальный. Кроме того, сокращение времени рутинной обработки информации позволит работникам финансовой службы предприятия больше времени уделять таким актуальным задачам, как анализ и разработка ценовой и ассортиментной политики, анализ и планирование затрат, подготовка эффективных решений по управлению оборотным капиталом и проч.

При формировании бюджета предприятия могут возникнуть следующие основные проблемы.

Нечеткие цели и отсутствие технологии планирования приводят к тому, что сотрудники планово-экономических и финансовых служб подготавливают документы, по которым затруднительно принимать оперативные решения по управлению финансами и экономикой предприятия.

Особенно следует подчеркнуть, что на многих предприятиях используется затратный механизм планирования, когда цена на готовую продукцию формируется на основе полной себестоимости и заданного процента рентабельности.

Подготовленная в плановом (финансовом) отделе информация часто не может быть оперативно сопоставлена с фактическими данными, а когда такая возможность появляется, проведение анализа уже становится не актуальным, поскольку корректирующие план решения принимать слишком поздно.

Распространена ситуация, когда ПЭО (планово-экономический отдел) рассчитывает плановые данные на основе фактических данных по производству за аналогичные периоды в прошлом, при этом, как правило, теряется связь с планом продаж, который должен являться основой комплексного финансового плана предприятия.

Следует подчеркнуть, что основным недостатком работы многих ПЭО является отсутствие документов, предоставляющих руководству возможность оценить будущее состояние предприятия (например, через месяц), знать, какими оборотными средствами оно будет располагать, принимать решения по их наиболее эффективному распределению. Необходимыми для этого документами являются: плановый отчет по прибылям и убыткам, плановый агрегированный баланс, план движения денежных средств.

Кроме указанных, существует много других проблем на пути построения бюджета предприятия.

 

1.3 Процедуры исполнения бюджета предприятия


Даже самая тщательная разработка бюджета компании не гарантирует его исполнения. Чтобы бюджет исполнялся, нужно внедрить процедуры, которые обеспечат достижение плановых показателей.

Условно можно выделить следующие основные процедуры исполнения бюджета:

управление договорами;

управление платежами;

управление чрезвычайными событиями и резервами;

авторизация хозяйственных операций, проверка их на соответствие бюджету;

оперативное планирование и учет;

корректировка бюджета.

Управление платежами.

В момент заключения договора менеджеры редко задумываются об исполнении бюджета. Но уже на этой стадии необходимо сопоставлять принимаемые решения с целями компании, отраженными в бюджете. К примеру, ведя переговоры о снижении цены, менеджер не принимает во внимание, что это снижение компании не нужно, а необходимы более выгодные условия поставки и отсрочка платежей. Поэтому в рамках управления договорами необходимо обеспечить жесткую увязку всех заключаемых договоров с утвержденным бюджетом. Для этого следует реализовать следующий комплекс мер.

Все заключаемые договоры на приобретение ресурсов должны соответствовать плану закупок или затрат. Другими словами, объемы закупок, сроки поставки, цена приобретения должны соответствовать аналогичным показателям, установленным в бюджете.

Долгосрочные договоры, заключенные на момент формирования бюджета, а также договоры, которые планируется заключить в течение бюджетного периода, включаются в проект бюджета на стадии его формирования и утверждения.

Решение о заключении договоров, связанных с возникновением затрат, не предусмотренных бюджетом, принимается в соответствии с установленным порядком пересмотра бюджета.

Решения о заключении новых договоров принимаются руководителями подразделений на основании данных оперативного учета и в разрезе статей утвержденного бюджета.

Перед принятием решения о заключении новых договоров необходимо отслеживать освоенный объем бюджета - это позволит контролировать исполнение бюджета. Подписанию договора должно также предшествовать обоснование выбора поставщика, а если договор заключается на значительную сумму, то проведение тендера.

Исполнение договоров и оплата по ним осуществляются после авторизации заявки должностным лицом, располагающим необходимым набором прав.

Договоры, не соответствующие параметрам бюджета и кредитной политике компании, могут быть заключены только по прямому указанию финансового или генерального директора.

Аверчев И. приводит следующий пример.

Описание управления договорами на крупном нефтехимическом предприятии.

Управление договорами в соответствии с принятым бюджетом включает следующие этапы:

формирование бюджета продаж в разрезе договоров;

согласование договоров;

заключение крупных договоров: выбор и обоснование поставщика, проведение тендеров.

Планирование продаж в разрезе договоров и покупателей позволяет отойти от абстрактного планирования объемов реализации и акцентировать внимание менеджеров на параметрах договоров, заложенных в бюджете.

При согласовании договор не только визируется юридической службой и бухгалтерией, но и проходит проверку в финансово-экономической службе на предмет соответствия суммы и условий договора параметрам, указанным в бюджете. В случае несоответствия (превышения установленных лимитов по сумме, объему закупки и т.д.) подразделение, инициирующее заключение договора, проводит следующие мероприятия:

перераспределяет затраты и выплаты между статьями, закрепленными за данным подразделением;

принимает меры по уменьшению суммы договора;

если превышение суммы по договору составило не более 10% от общей величины суммарных затрат подразделения, руководитель обосновывает его возникновение в сопроводительном письме финансовому директору. В таком случае финансирование по данному договору будет продолжено из резервного фонда.

При заключении крупных договоров, особенно инвестиционного характера, общей стоимостью свыше 1 млн. руб. в компании проводятся тендеры. Тендеры организуются структурными подразделениями компании совместно с финансовой службой.

Процесс управления платежами включает три основные части:

процедуру согласования платежей;

определение приоритетов в исполнении платежей;

управление ликвидностью (кассовыми разрывами).

1. Процедура согласования платежей

Запланированные выплаты на предприятии должны производиться на основании заявок, утвержденных казначейством (если такое подразделение создано на предприятии) или финансовым директором. В заявке, представляемой на утверждение, указываются инициатор платежа, назначение, документ-основание, срок осуществления платежа, код статьи затрат в соответствии с кодировкой, принятой в системе бюджетирования, отметка бюджетного контролера о соответствии заявки бюджету выплат на текущий период.

Приведем следующий пример.

Управление платежами на металлургическом предприятии.

Заявки на оплату составляются руководителями подразделений в установленной на предприятии форме, затем передаются на утверждение бюджетному контролеру, который проверяет их на соответствие принятому бюджету. Продолжительность проверки не должна превышать одного дня с момента поступления заявки.

Если бюджет выплат превышен менее чем на 10%, то заявка передается на согласование в финансовый отдел с указанием причин превышения и пояснительными материалами. Если превышение составляет более 10%, то выплата по такой заявке производится после ее утверждения и корректировки бюджета. Подобные заявки принимаются к исполнению только после их визирования финансовым директором. Утвержденные к оплате заявки передаются в бухгалтерию, которая проверяет прилагаемые к ним первичные документы (счет, счет-фактуру и т.д.) и их реквизиты на соответствие требованиям бухгалтерского учета по оформлению первичных документов. Если документы, прилагаемые к заявке на оплату, удовлетворяют требованиям бухгалтерии, то заявки исполняются. В противном случае документы возвращаются в финансовый отдел с указанием причин возврата. На основании согласованных заявок на оплату бухгалтерия ежедневно готовит платежные документы и производит расчеты согласно графику оплаты на день.

2. Определение приоритетов исполнения платежей

Для большинства компаний характерна ситуация, когда общая сумма поступивших на оплату заявок превышает объем денежных средств, которыми располагает компания на текущий момент. Вопрос, по каким счетам платить сейчас, а какие платежи отложить, должен решаться не при возникновении кризисной ситуации, а заранее, на этапе разработки процедур исполнения бюджета. Для этого все выплаты, запланированные в бюджете, нужно поделить на группы по степени их важности. Как правило, выделяют 2-3 группы, но в зависимости от специфики компании их может быть и больше.

К платежам "первого приоритета", или обязательным платежам, как правило, относят:

заработную плату персонала;

налоговые платежи;

погашение кредитных обязательств перед основными поставщиками (электроэнергия, сырье, материалы);

погашение кредитов, полученных в банке;

другие платежи (лизинговые платежи, выплаты по реструктуризированной задолженности, выплаты дивидендов и т.д.).

Обязательные платежи осуществляются полностью в утвержденные для выплаты сроки.

К группе платежей "второго приоритета" в большинстве случаев относят:

премии, вознаграждения по итогам года;

закупки по не основной деятельности и другие платежи.

Выплаты по этим статьям производят после платежей "первого приоритета". Можно также руководствоваться следующим принципом: если выручка поступает в полном объеме, то платежи "второго приоритета" осуществляются полностью, если нет, то объем платежей сокращается пропорционально поступлению выручки и часть платежей переносится на следующий период.

3. Управление ликвидностью.

Управление ликвидностью в рамках бюджета направлено на предотвращение возникновения дефицита денежных средств (кассовых разрывов). Избежать возникновения кассовых разрывов компания может за счет привлечения финансирования со стороны (кредиты, займы), создания резервов или сокращения выплат. Выбор способа покрытия кассовых разрывов зависит от приоритетности платежей и размера дефицита. Если в результате возникновения дефицита не хватит денежных средств на осуществление платежей "первого приоритета", то необходимо привлечь заемные средства или использовать созданный резервный фонд.

Для выплат "второго приоритета" использование того или иного метода управления кассовым разрывом зависит от величины дефицита. Если предполагаемый дефицит незначителен, то принимается решение о сокращении объема менее приоритетных платежей, в противном случае используются средства резервного фонда или заемные средства. В большинстве компаний пороговое значение дефицита составляет около 10% от величины поступлений.

4. Управление чрезвычайными событиями.

При бюджетном управлении к чрезвычайным событиям относятся те, которые влекут за собой возникновение незапланированных расходов и платежей. Если в процедуре управления платежами компании описаны принципы принятия решения в случае перерасхода по запланированным статьям затрат или дефицита средств, то процедура управления чрезвычайными событиями должна содержать алгоритм принятия решений в случае появления статей расходов, которые не были предусмотрены бюджетом. В отношении незапланированных платежей действует тот же порядок прохождения заявок, что и при управлении платежами. Ответственность за авторизацию их исполнения несут топ-менеджеры компании и менеджеры среднего звена.

Рассмотрим в качестве примера управление чрезвычайными событиями на машиностроительном предприятии.

В компании создан резервный фонд генерального директора. Размер фонда определялся как наиболее вероятный объем денежных средств, выплачиваемых покупателями с задержкой, и средняя сумма незапланированных платежей за аналогичные предыдущие периоды.

Если размер незапланированного платежа составлял менее 5% от общей величины платежного бюджета компании и не больше 50 тыс. руб. в абсолютном выражении, то решение о проведении платежа принимал финансовый или технический директор в зависимости от места возникновения платежа. При появлении чрезвычайных расходов, превышающих 5% -ный барьер, решение принималось генеральным директором.

5. Авторизация хозяйственных операций.

Распределение ответственности между менеджерами предприятия - один из наиболее важных принципов, которые должны соблюдаться при создании эффективной системы бюджетирования. Но для того чтобы этот принцип был воплощен на практике, необходимо выполнение следующих условий:

ответственность менеджеров должна быть четко разграничена, к примеру определены размеры расходов, которые могут быть авторизованы тем или иным менеджером;

процесс авторизации хозяйственных операций должен быть формализован и проконтролирован (визирование платежных документов и заявок на осуществление платежа).

Чулихин А. приводит следующий пример:

Процедуры авторизации на машиностроительном предприятии.

В компании значительную роль играл внутренний оборот услуг между подразделениями. При этом основная проблема заключалась в неконтролируемом росте затрат на эти услуги. В экономии затрат на оказываемые услуги не были заинтересованы ни внутренние поставщики, ни получатели этих услуг, бюджет постоянно исполнялся с превышением по данной бюджетной статье.

После введения обязательной оценки эффективности деятельности подразделений на основе определенных групп показателей в качестве одной из процедур была введена процедура авторизации расходов внутри каждого подразделения. Теперь получатель и поставщик внутренних услуг стали заключать договор, в котором определялись объем и цена услуги. Далее получатель услуг авторизовывал (то есть подписывал акт выполненных работ с внутренним поставщиком) и принимал только те затраты, которые были определены договором между подразделениями. При этом каждое подразделение - получатель услуг было вправе выбирать, привлекать ли ему для выполнения каких-либо работ внутренние подразделения компании или сторонние организации исходя из стоимости услуг, качества их выполнения и других факторов. Неконтролируемый рост затрат прекратился, каждое подразделение стало работать эффективнее.

6. Оперативное планирование и учет.

Для управления процессом исполнения бюджета необходимо создание системы краткосрочного (оперативного) планирования на период меньше месяца - декаду, неделю, день. Система оперативного планирования не должна содержать тот же объем информации, что и месячный бюджет компании, иначе процесс планирования будет излишне трудоемким. Состав показателей, которые планируются ежедневно, во многом зависит от специфики компании и существующей системы управления.

Приведем следующий пример.

Система ежедневного планирования в транспортной компании.

Оперативное планирование в компании включает процедуру формирования ежедневных графиков расчетов с покупателями и поставщиками, а также процедуру корректировки бюджета на месяц (в основном корректируется БДДС - бюджет движения денежных средств). Информацию для формирования графиков расчетов финансовый отдел получает от подразделений компании и из действующих заключенных договоров (исходя из условий оплаты контрагентами). Подразделения ежедневно представляют финансовые поручения на оплату, которые проверяются на соответствие условиям заключенных договоров и утвержденному БДДС.

7. Корректировка бюджета.

Поскольку фактические результаты хозяйственной деятельности зачастую отличаются от плановых, необходимо предусмотреть процедуру корректировки бюджета компании. При этом речь идет не только о случаях корректировки бюджета, когда фактические расходы компании превышают аналогичные показатели, установленные в бюджете. Необходимость в корректировке может возникнуть и при появлении дополнительных заказов от покупателей, которые позволят улучшить финансовые показатели компании и эффективнее использовать производственные мощности.

Инициаторами внесения корректировок в бюджеты, как правило, становятся сотрудники подразделений, ответственные за формирование операционных и инвестиционных бюджетов. Ежемесячно следует корректировать БДДС. Как правило, корректировка БДДС происходит при прогнозируемом отклонении первоначально утвержденных показателей более чем на 10% (хотя величина такого критерия для каждой компании может существенно отличаться, при его определении необходимо исходить из принципа существенности отклонений и трудоемкости процедур корректировки).

8. Автоматизация процедур исполнения бюджета.

Перечисленные выше механизмы исполнения бюджета являются неотъемлемой частью системы бюджетирования компании. Поэтому, выбирая информационную систему, в которой будет реализовано бюджетное управление организацией, нужно заранее предусмотреть возможность создания инструментов исполнения бюджета. Большинство программных продуктов, представленных на рынке, в той или иной степени поддерживают эти требования или содержат готовые решения. Тем не менее, при продуманной организации контроля исполнения бюджета автоматизировать и ускорить работу можно и за счет таких программных продуктов, как Excel или Access.

Все процедуры должны быть описаны и утверждены во внутрифирменных регламентах и инструкциях. Чтобы бюджетирование реально работало на предприятии, необходимо комплексное внедрение всех основных процедур исполнения бюджета.

1.4 Создание центров финансовой ответственности


Для повышения эффективности бюджетирования хозяйственной деятельности предприятия необходимо выделить центры финансовой ответственности (ЦФО).

Центром финансовой ответственности (ЦФО) являются подразделения компании, менеджер которых контролирует определенные ресурсы (затраты, прибыль, инвестиции) и несет персональную ответственность за выполнение бюджетных показателей.

Прежде чем вводить на предприятии учет по ЦФО, необходимо оценить риски и эффект от его введения. Организация должна располагать менеджерами, способными организовать учет по ЦФО, и персоналом (экономисты, нормировщики или бухгалтеры), который сможет вести такой учет в рамках ЦФО.

Кроме того, необходимо определиться с методической базой учета (например, могут потребоваться регламенты трансфертного ценообразования и распределения косвенных затрат между ЦФО) и технологическим оснащением ЦФО (уровень компьютеризации, наличие единой сети).

Оценка поможет определить, необходимо ли внедрение учета по ЦФО, какое количество ресурсов для этого потребуется, какова будет степень детализации данных. В любом случае менеджерам полезно иметь четкое представление о структуре затрат и местах их возникновения.

В большинстве случаев распределение ЦФО совпадает со сложившейся организационной структурой на предприятии, однако более целесообразно руководствоваться функциональными признаками и ресурсами, которыми наделено структурное подразделение. К ним могут относиться следующее:

1. Особенности производственных или технологических процессов.

С учетом данного признака ЦФО создается на основе существующего технологического процесса. Это позволяет объединять несколько структурных подразделений в один ЦФО или, наоборот разделять подразделение на несколько ЦФО. Последнее дает возможность более точно распределить затраты, связанные с содержанием и эксплуатацией оборудования, работой вспомогательных рабочих, и как результат получить более точную информацию о себестоимости полуфабриката, производимого для конкретного вида продукции.

2. Возможность получения необходимых данных по структурному подразделению.

В соответствии с этим признаком структурное подразделение должно располагать специалистами и инструментарием для формирования плановых и фактических показателей.

3. Наличие разных уровней иерархии в организации.

В зависимости от сложности организационной структуры имеет смысл рассмотреть комбинированную систему ЦФО, основанную на соподчиненности структурных подразделений компании.

Для того чтобы отнести структурное подразделение к конкретному типу ЦФО, необходимо рассмотреть его функции, определить возможности влияния на финансовый результат, распределение ресурсов и степень обособленности от других подразделений. В бюджетной системе предприятия ЦФО классифицируются следующим образом:

1) бюджетный центр - подразделение, в котором есть возможность составить отдельный бюджет.

При этом в полномочия менеджера ЦФО может входить как контроль ресурсов, так и доходных поступлений;

центр затрат - в функции подразделения входит формирование бюджета затрат и его контроль.

Менеджер подразделения должен добиться определенного результата при ограниченном количестве ресурсов (фонд оплаты труда, нормы расхода сырья);

2) центр прибыли ЦФО - в нем имеется возможность вести обособленный учет доходов и расходов и, следовательно, определять результативность его деятельности на основании величины полученной прибыли.

К указанному виду ЦФО имеет смысл относить вспомогательные подразделения, выделенные на отдельный баланс, такие как столовые, ремонтно-строительные цеха, автотранспортные участки и др.;

центр инвестиций - эффективность его работы оценивается отдачей на инвестированный капитал.

Менеджер такого подразделения, как правило, может влиять на степень капитализации своего подразделения за счет использования собственной прибыли центра инвестиций. Такой тип ЦФО характерен для предприятий, входящих в состав крупных компаний или дочерних обществ.

На практике часто встречаются смешанные типы ЦФО, сочетающие в себе несколько типов, а также производные от перечисленных, например центры доходов, центры продаж, центры контроля и управления.

Учет по ЦФО является мощным средством для воплощения стратегических целей компании (при наличии формализованной стратегии). У менеджмента компании появляется возможность оценивать результаты деятельности не только с позиций максимизации прибыли в текущем периоде или конъюнктуры на рынке, но и сверять каждое действие ЦФО с задачами ее долгосрочного развития. Для этого потребуется разработать систему показателей отчетности ЦФО, верно сформулировать бюджетные задания, проконтролировать их исполнение и провести анализ фактического исполнения бюджета.

Разработка системы показателей на отчетный период производится в соответствии со стратегическими целями компании. При этом в равной мере должны быть учтены стоимостные, качественные и объемные показатели.

Ориентация только на стоимостные показатели дает компании преимущество в краткосрочной перспективе, кроме того, как показывает практика, они не всегда объективно отражают реальное положение дел.

Например, увеличение объема прибыли от реализации может свидетельствовать как об успешной работе служб сбыта, так и о падении продаж низкорентабельной, но стратегически важной с точки зрения присутствия на рынке продукции.

Снижение показателя выработки в стоимостном выражении может свидетельствовать как о неэффективной работе персонала, так и о снижении нормы рентабельности основной деятельности компании.

Определение бюджетных заданий на текущий период производится централизованно для составления бюджетов подразделений и в соответствии с программой стратегического развития.

Бюджетное задание определяет полномочия конкретного подразделения и степень свободы маневра ответственного менеджера ЦФО. Например, в бюджетном задании может содержаться итоговая сумма затрат, а их дальнейшее распределение уже прерогатива ЦФО.

При распределении бюджетных заданий необходимо, учитывая тип ЦФО, обеспечить единство методики их формирования в нижестоящих и вышестоящих подразделениях.

Матричная форма управления позволяет реализовать указанный принцип без существенных корректировок в регламенте, а иерархичная требует единообразия. Например, при формировании бюджетного показателя "производительность труда" нужно отдельно оговаривать измерители, применяемые при ее расчете.

Подразделения при составлении бюджетов используют полученные контрольные показатели для составления собственного бюджета - если данный параметр планируется в бюджете на данном уровне, либо для формирования бюджетных заданий для нижестоящих подразделений - если показатель складывается из бюджетов нижестоящих уровней.

При этом консолидированные бюджетные задания нижестоящих подразделений должны соответствовать бюджетному заданию, полученному от вышестоящего подразделения. При наличии отклонений от установленного бюджетного задания бюджет ЦФО не проходит утверждение в центральном аппарате.

При получении отчетных данных проводится планфактный анализ, дополнением к которому может выступать факторный анализ. Его результаты ложатся в основу управленческих решений. Также определяется уровень выполнимости бюджетного задания и, если требуется, проводится корректировка стратегических параметров развития.

Планфактный анализ по каждому ЦФО в сочетании с факторным анализом дает достаточную картину по вкладу каждого центра в полученный результат.

По существенным отклонениям фактических показателей от плановых, полученных за счет норм, отчет должны представить специалисты-технологи, и если произошел перерасход, то принимается решение о снижении коэффициента премирования. (Коэффициент премирования служит для определения величины премиального фонда и рассчитывается умножением величины коэффициента на базу начисления премии)

Аналогичный порядок применяется при определении причин отклонений за счет цен. Снабженческие подразделения должны представить обоснования отклонений фактических цен поставщиков от запланированных. При определении коэффициента премирования при факторном анализе в учет должны приниматься "вклад в результат" каждого ЦФО.

Перечисленные выше функции, их распределение и ответственность должны быть четко прописаны.

Документом, обеспечивающим указанный процесс, является регламент бюджетного управления. С его помощью обеспечивается распределение бюджетных заданий и формирование бюджетов нижестоящих подразделений и консолидированного бюджета компании.

В регламенте должно содержаться следующее:

данные об участниках бюджетного процесса с указанием их ролей, то есть перечень ЦФО, их функции и возможности использования ресурсов компании,

описание сроков предоставления информации,

анализ этапов бюджетного процесса.

Регламентировав таким образом процедуры бюджетного процесса и перечень ЦФО, менеджер получит четкое понимание работы всех подразделений компании.

2. Особенности формирования бюджета предприятия

 

2.1 Учет рисков при принятии управленческих решений на этапе формирования бюджета


Центральное место в оценке риска на этапе формирования бюджета предприятия занимают анализ и прогнозирование возможных потерь ресурсов. При этом имеются в виду случайные, непредвиденные потери, возникающие вследствие отклонения реальной ситуации от предполагаемого хода событий. Наиболее важное значение при этом в условиях рыночной экономики отводится таким элементам риска, как непредвиденность конъюнктуры рынка, спроса, цен. В то же время российским предприятиям приходится иметь дело с "наложением" факторов рыночного и нерыночного типа (нарушением договорных обязательств, несоблюдением норм и правил хозяйственной деятельности и т.д.).

Таким образом, чтобы оценить вероятность потерь, обусловленных развитием событий по непредвиденному варианту, следует, прежде всего, выявить все возможные факторы риска: как присущие вообще хозяйственной или производственно-коммерческой деятельности, так и специфические. Кроме того, необходимо осуществлять ранжирование факторов рисков по важности или по степени их вклада в общий профиль конкретного производственного предприятия.

Все возможные на практике факторы рисков делятся на две группы. К первой группе относятся "предвидимые", т.е. известные из экономической теории или хозяйственной практики. Вместе с тем могут появиться факторы, выявить которые на априорной стадии анализа факторов рисков предприятия не реально. Эти факторы относятся ко второй группе. Одна из задач состоит в том, чтобы, создав регулярную процедуру выявления факторов рисков, сузить круг факторов второй группы, тем самым ослабить влияние так называемой "неполноты генерации" факторов рисков.

В зависимости от места возникновения факторы рисков делятся на внешние и внутренние (рис.1):


К внешним факторам рисков (или слабым сигналам) относятся факторы, обусловленные причинами, не связанными непосредственно с деятельностью данного предприятия, зависящие от экономического и политического состояния страны. Это вероятность жестких правительственных мер, которые могут вызвать изменения финансово-экономической деятельности предприятия, налоговой политики, развития неконтролируемых инфляционных процессов. Данные слабые сигналы на момент формирования бюджета могут быть еще скрыты, но предприятие все равно обязано оценить их воздействия с помощью экспертных оценок или методов количественного прогнозирования и моделирования.

Внутренними факторами рисков (или сильными сигналами) считаются факторы, появление которых порождается деятельностью самого предприятия, т.е. риски, связанные непосредственно с объектом. Это - невыполнение обязательств поставщиками, несвоевременная оплата продукции потребителями, оформление кредитов дочерними обществами под поручительство предприятия и т.д.

При анализе сильных сигналов необходимо учитывать, что последствия могут быть как положительные, так и отрицательные.

Для осуществления расчетов при формировании бюджета риски целесообразно разделить на две группы:

1. Риск потери доходов.

2. Риск увеличения расходной части бюджета.

Алгоритм оценки рисков при формировании бюджета промышленного предприятия включает:

оценку вероятности выполнения бюджета в целом;

оценку выполнения бюджета с учетом рисков по отдельным видам доходов и статьям расходов;

стоимостную оценку возможных потерь от неполучения запланированных доходов и превышения статей расходов при выполнении бюджета.

Поскольку риск является категорией вероятностной, для его оценки используются следующие методы:

статистические;

экспертные;

построение моделей случайных процессов.

Предприятия наиболее часто используют статистический и экспертный методы. При выборе метода оценки рисков учитываются достоинства и недостатки каждого из них. Так, первый метод оценки требует большого объема статистической информации за длительный период времени. Точность третьего метода зависит от принятых в модели допущений и от количества факторов, которые учитываются моделью. Кроме того, метод построения моделей наиболее трудоемкий.

Расчет рисков в процессе формирования бюджета предприятия осуществляется по приведенным ниже формулам с помощью расчета следующих показателей:

1. Вероятность невыполнения бюджета (Рнб)

Рнб = Рд + Рр, (1)

где Рд - вероятность того, что будет получен доход, меньше запланированного бюджетом;

Рр - вероятность того, что расходы превысят бюджетный уровень.

Вероятность того, что будет получен доход, меньше запланированного бюджетом, (Рд), определяется по формуле:

 (2)

где Рд - вероятность того, что i-й доход будет получен в объеме, не меньше запланированного.

Вероятность того, что расходы превысят бюджетный уровень, (Рр) определяется по формуле:

 (3)

где - вероятность того, что j-я статья расходов не будет перерасходована.

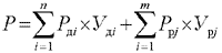
2. Мера риска

Мерой риска (Р) является интегральная степень влияния отдельных составляющих дохода и расходов, выраженная в процентах (в долях), ранжированная соответствующими рисками.

 (4)

где Рдi - вероятность того, что i-й доход будет получен в размере, меньше запланированного бюджетом;

Удi - удельный вес i-го вида доходов в общем объеме доходов предприятия;

Ррj - вероятность того, что j-я статья расходов превысит бюджетный уровень;

Урj - удельный вес j-й статьи расходов в общей сумме расходов предприятия в соответствии с бюджетом.

3. Стоимостная оценка возможных потерь от неполучения запланированных доходов и (или) превышения статей расходов при выполнении бюджета (цена риска - Ц).

Расчет данного показателя ведется в абсолютных величинах (млн. руб). Определение цены риска осуществляется аналогично мере риска:

 (5)

где D i - сумма планируемого i-го дохода;

Rj - сумма расходов по j-й статье.

На основании проведенных расчетов осуществляется формирование бюджета предприятия, учитывающего возможные потери. Предлагаемая форма бюджета предприятия, учитывающая риск неполучения планируемых доходов и (или) превышения запланированного уровня расходов, приведена в таблице 1.

Таблица 1

Расчет рисков

№№ п/п

Наименование статьи бюджета

План без учета риска

Удельный статьи вес в общей сумме доходов или расходов, %

Риск неполучения дохода (или превышения расходов)

Сумма возможных потерь доходов или увеличения расходов, млн. руб.

1

2

3

4

5

6

1

ДОХОДЫ, всего





1.1

Реализация продукции





1.2

Прочая реализация





1.3

Авансы за продукцию (работы, услуги)

Внереализационные операции





1.5

Кредитные средства





1.6

Прочие доходы





2

РАСХОДЫ, всего





2.1

Затраты на производство продукции





2.2

Налоги, всего





2.3

Погашение кредиторской задолженности





2.4

Выплата процентов по кредитам





2.5

Дивиденды





2.6

Капитальные вложения, всего





2.7

Расходы на НИОКР и освоение





2.8

Расходы из фонда потребления





2.9

Расходы на содержание жилищного фонда, объектов социально-культурной сферы и социально-культурные мероприятия





2.10

Расходы на рекламу и маркетинг





2.11

Представительские расходы





2.12

Прочие расходы из прибыли





Итого




Мера риска (Р)

Цена риска (Ц)

Для повышения степени гибкости предприятия к влиянию внешних и внутренних воздействий необходимо на стадии формирования бюджета разрабатывать мероприятия, которые позволят максимально быстро и с наименьшими потерями скомпенсировать негативные для предприятия изменения.

Управление риском - это процесс подготовки и реализации мероприятий, имеющих целью снизить опасность ошибочного решения и уменьшить возможные негативные последствия нежелательного развития событий в ходе реализации принятых решений. В реальных хозяйственных ситуациях могут использоваться различные способы снижения финального уровня риска, воздействующего на те или иные стороны деятельности предприятия. Все многообразие применяемых в хозяйственной практике промышленных предприятий методов управления риском можно разделить на четыре типа (рис.2).

Рисунок 2. Классификация методов управления риском

При разработке указанных мероприятий должно быть задействовано использование резервов внутренней среды предприятия, возможностей его производственного и структурного самосовершенствования.

Поскольку непременным условием эффективности принимаемых управленческих решений является свобода выбора способов экономических действий при их разнообразии, на стадии разработки бюджета на предприятии могут формироваться несколько вариантов бюджета с различными рисками. Выбор и утверждение оптимального варианта осуществляется на основании расчета и анализа рассмотренных выше показателей (табл.2).

Таблица 2

Выбор оптимального варианта бюджета с учетом рисков

Показатель

Варианты бюджета

1

2

….

N


1

2

3

4

5

1.

Остаток средств на конец периода по бюджету





2.

Вероятность невыполнения бюджета





3.

Мера риска





4.

Цена риска





5.

Оценка варианта с точки зрения его оптимальности для предприятия






2.2 Распределение ответственности при формировании бюджета


Руководитель любого предприятия, прежде чем приступить к бюджетированию, должен сначала получить полное представление о том, какие цели ставят перед ним акционеры. На этой основе ему следует разработать стратегический план развития предприятия. Далее важно сформировать такую структуру компании, которая будет способна обеспечить реализацию поставленных задач. С точки зрения управления финансами структура предприятия является базой для формирования центров финансовой ответственности (ЦФО), центров дохода и затрат.

Важно правильно распределить ответственность между ЦФО. Это поможет руководителю увидеть эффективность работы любого из интересующих его подразделений. Например, если фирма реализует несколько товаров, директору необходимо знать, насколько эффективно продается каждый из них. Какие продукты обеспечивают рост продаж, какие имеют слишком высокие коммерческие расходы и т.д. Соответственно должны быть настроены финансовый и аналитический учеты при бюджетировании.

Структура финансового учета при бюджетировании должна отражать дифференциацию показателей по продуктам и рынкам, на которых они реализуются. Например, в IT-индустрии для многих компаний важным моментом финансового учета является канал продажи оборудования. Другими словами, одна и та же техника может быть продана корпоративным клиентам, средним и мелким предприятиям, а также в розницу через дистрибьюторскую сеть. Менеджеры IT-компаний отслеживают присутствие своей фирмы на каждом из этих рынков. Все три рынка предполагают создание своей бизнес-модели продажи оборудования, а также индивидуального подхода к управлению коммерческими процессами. Этот аспект обязательно отражается в регламенте бюджетирования большинства IT-компаний.

Помимо упомянутой продуктовой и рыночной структуры формирования показателей, безусловный интерес представляет их функциональное разделение. Последнее должно быть непосредственно привязано к организационной структуре предприятия. В этом случае центрами финансовой ответственности становятся собственно отделы продаж (возможно, с последующей сегментацией по рынкам), маркетинга, логистики, закупок, персонала и другие внутренние службы. Крупные предприятия имеют разветвленную структуру подобных подразделений. Они, как правило, и становятся центрами затрат при бюджетировании.

В международных холдингах центрами финансовой ответственности становятся предприятия. В процессе консолидации они формируют показатели по компании в целом. Финансовый учет при этом должен делиться по организационно-правовому признаку и в соответствии с международными стандартами финансовой отчетности. Но также он может иметь и географическое деление, не связанное с организационно-правовыми формами предприятий холдинга. Например, сейчас во многих крупных международных компаниях российские филиалы с точки зрения финансового учета объединены в один регион со странами СНГ, либо Восточной Европы, либо даже со странами Ближнего Востока.

Неправильное формирование ЦФО, центров дохода и затрат приводит к потере прозрачности деятельности предприятия в соответствующем секторе. В результате ошибок финансового учета падает эффективность работы компании.

Неправильное формирование центров финансового учета приводит к "слепым" действиям также уже на этапе планирования. Например, если в отделе маркетинга отсутствует деление бюджета по географическому признаку, это приведет к нестыковкам в маркетинговой политике по регионам.

Финансовый директор играет ведущую роль при распределении ответственности и постановке задач перед руководителями ЦФО (например, отделов маркетинга, сервиса, логистики). Его обязанности - организовывать и контролировать процесс бюджетирования, а также составлять регламент бюджетирования.

При формировании бюджета важно учитывать фактор времени. Порядок предоставления отчетов руководителями подразделений нужно согласовать с бизнес-процессами внутри этих подразделений. Сроки сдачи бюджетов также определяет финансовый директор. Он должен обсудить их непосредственно с каждым руководителем структурного подразделения.

Заключение


Для организации системы анализа и планирования денежных потоков на предприятии, адекватной требованиям рыночных условий необходимо создание современной системы управления финансами, основанной на разработке и контроле исполнения иерархической системы бюджетов предприятия. Система бюджетов позволяет установить жесткий текущий и оперативный контроль за поступлением и расходованием средств, создать реальные условия для выработки эффективной финансовой стратегии.

Система бюджетирования для каждого предприятия в своем роде уникальна, поскольку зависит от его специфики.

Как правило, процесс формирования бюджета начинается с составления бюджета продаж. На основании этого бюджета определяется производственная программа предприятия, а также потребность в производственных мощностях, персонале, сырье и материалах, рассчитываются затраты на содержание обслуживающих подразделений. На следующем этапе формируются бюджет себестоимости производимой продукции, бюджет закупок и другие бюджеты, входящие в состав операционного бюджета. На основе данных операционного бюджета создается финансовый бюджет.

Большинство управленческих решений, связанных с финансовой деятельностью предприятия, принимается в условиях риска, что обусловлено рядом факторов - отсутствием полной информации, наличием противоборствующих тенденций, элементами случайности и многим другим. В связи с этим проблема оценки и учета экономического риска приобретает важное значение как составная часть теории и практики управления.

В условиях российской нестабильности проблема риска имеет большое значение при обосновании управленческих решений не только стратегического характера, но и на стадии краткосрочного планирования деятельности предприятия - в процессе бюджетирования.

От того, как распределена ответственность между подразделениями компании, во многом зависит эффективность бюджетирования. Чтобы грамотно урегулировать этот процесс, важно знать его основные принципы и предусмотреть возможные ошибки.

Список использованных источников


1. Аверчев И. Введение в управленческий учет (2004). // Internet resource: #"#">www.finexpert.ru

12.  Чулихин А. Распределение ответственности при бюджетировании. // Консультант. 2005. №17.

13.  Шеремет А.Д. Управленческий учет: Учебное пособие. - М.: ФКБ-ПРЕСС, 2006.

Похожие работы на - Формирование бюджета предприятия

 

Не нашли материал для своей работы?
Поможем написать уникальную работу
Без плагиата!
Без нейросетей!