Типы и модели рыночного хозяйства. Экономические реформы в России
Тема: "Типы и модели рыночного хозяйства. Экономические реформы в
России"
Содержание
1. Сущность и
основные черты рыночного хозяйства
2. Современные
модели рыночного хозяйства: социальное рыночное хозяйство, смешанная экономика,
корпоративная экономика
3.
Закономерности трансформации на основе рыночных процессов саморегуляции. Кризис
либерально - монополистической системы. Формирование системы социального партнерства
1. Сущность и основные черты
рыночного хозяйства
Эволюция
общественных форм производства и хозяйства привела к возникновению современной
рыночной системы, в основе которой - функционирование социализированного
товарного производства, ориентированного на удовлетворение потребностей
общества в целом и отдельных индивидов.
Рынок – это обязательный компонент
товарного хозяйства. Объективная необходимость рынка вызвана теми же причинами,
которые вызывают необходимость существования товарного производства. Среди этих
причин: развитое общественное разделение труда, экономическая обособленность
рыночных субъектов, обусловленная наличием разных форм собственности, тесная
связь с мировой экономикой путем внешней торговли потребность выхода национальной
экономики в мировое экономическое пространство для ее дальнейшего экономического
роста.
Отсюда ясны и важнейшие исторические
условия возникновения рынка.
1-условие – ОРТ и специализация. В
любом многочисленном сообществе людей никто из участников хозяйства не может
жить за счет полного самообеспечения всеми производственными ресурсами, всеми
экономическими благами. Отдельные группы людей занимаются самыми разнообразными
видами хозяйственной деятельности, т.е. специализируются на производстве тех
или иных Т и У. Это положение объясняется принципом сравнительного
преимущества, т. е. стремлением производить продукцию при относительно меньших
издержках упущенных возможностей.
2-условие – экономическая
обособленность производителей, полностью независимых, автономных в принятии
хозяйственных решений. Эта обособленность исторически возникает на базе частной
собственности и затем распространяется на коллективную собственность. Если в
обществе субъекты хозяйственной деятельности не наделены правами собственности,
то рынок существовать не может.
Эти два условия выражают глубинное
противоречие рыночной экономики, которое проявляется в объективной
необходимости, с одной стороны, всеобщей взаимосвязи производителей из-за ОРТ,
а с другой – всеобщего обособления (ограничения) производителей. Именно
последнее определяет наличие системы товарных рыночных отношений.
3-е условие – разрешение проблемы
трансакционных издержек – издержек в сфере обмена, связанных с передачей прав
собственности. Если эти расходы выше предполагаемого дохода, то рынок таких
товаров не будет создан.
Для эффективного функционирования
рынка необходимо и 4-условие – самостоятельность производителя, свобода
предпринимательства, свободный обмен ресурсов. Чем меньше скован производитель,
тем больше развит рынок. Свободный обмен позволяет сформироваться свободным
ценам, которые укажут ориентиры производителям для наиболее эффективных
направлений их деятельности.
В общем виде можно дать следующее
определение рынка. Рынок – это система экономических отношений,
возникающих на основе устойчивого взаимодействия товарного и денежного обращения.
Рыночное хозяйство – общественная форма организации
экономики, основанная на товарном производстве, обеспечивающая взаимодействие
между производством и потреблением посредством рынка.
Современное рыночное хозяйство
сложилось под воздействием факторов, взаимосвязь которых показана на схеме.
Классическая модель рынка
характеризуется следующими чертами:
·
множеством
независимых товаропроизводителей, самостоятельно решающих, что производить,
кому и как реализовывать;
·
стихийным
установлением цен под влиянием спроса и предложения;
·
множеством
независимых потребителей, самостоятельно решающих, у кого покупать продукцию;
·
эквивалентным
обменом по стоимости;
·
стихийным установлением
цен под влиянием спроса и предложения;
·
стихийным
регулированием воспроизводственных пропорций;
·
свободной
конкуренцией, свободным "переливом капитала".
Субъектно-объектная характеристика
рыночных связей
В современных условиях
рынок из саморегулирующегося трансформировался в регулируемый, что привело к
усложнению субъектно-объектной структуры рыночного хозяйства.
Субъектно-объектная
структура рыночного хозяйства – это система взаимоотношений между субъектами, отражающая
их цели, разнонаправленные, но встречно-согласующиеся экономические интересы,
характер, формы организации и взаимодействия по поводу движения разнообразных
объектов рыночных связей.
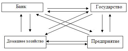
Субъекты рыночного
хозяйства:
1. Домашнее хозяйство –
это экономическая единица в составе одного или нескольких лиц, которая:
·
обеспечивает
производство и воспроизводство человеческого капитала;
·
самостоятельно
принимает решения;
·
является
собственником какого-либо фактора производства;
·
стремится к
максимальному удовлетворению своих потребностей.
2. Предприятие – экономическая
единица, которая:
·
использует
факторы производства для изготовления продукции с целью ее продажи;
·
стремится к
максимизации прибыли;
·
самостоятельно
принимает решения.
3. Банк – финансово-кредитное
учреждение, регулирующее движение денежной массы, необходимой для нормального
функционирования рынка.
4. Государство – правительственные
учреждения, осуществляющие юридическую и политическую власть для обеспечения в
случае необходимости контроля над хозяйствующими субъектами и рынком для
достижения общественных целей.
Связь "производитель-потребитель"
является одной из основных в системе рыночных отношений. Общая модель
взаимодействия субъектов рыночного хозяйства выглядит следующим образом:

Объекты рыночного
хозяйства: товары и услуги, факторы производства, деньги , капитал, ценные бумаги,
государственные льготы и субсидии, социальные выплаты и преференции.
Рынок
имеет как положительные, так и отрицательные стороны.
Преимущества рынка:
1.
Эффективное
распределение ресурсов.
2.
Гибкость, высокая
адаптивность к изменяющимся условиям.
3.
Свобода выбора и
действий производителей и потребителей.
4.
Максимальное использование
достижений НТР.
5.
Способность к
удовлетворению разнообразных потребностей, повышению качества Т и У.
Негативные стороны рынка:
1.
Столкновение
частных интересов (интересы индивидов и общества могут не совпадать).
2.
Не способствуют
сохранению невоспроизводимых ресурсов.
3.
Очень проблематично
(нет стимулов) производить Т и У коллективного пользования.
4.
Безработица и
колебание цен.
5.
Нестабильность
производства (кризисы).
6.
Частный сектор не
обеспечивает НТР.
В настоящее время наблюдается не "чистая" рыночная экономика, а
социальная рыночная экономика. Наиболее принципиальное различие между "чистым"
и социальным рыночным хозяйством определяется изменяющейся ролью государства.
Современное рыночное хозяйство основано на взаимодействии частного и
государственного секторов, рыночного механизма саморегулирования и
государственного регулирования экономики. В зависимости от степени
интенсивности воздействия на экономику и приоритетных задач, решаемых
государством, различают несколько моделей современного рыночного хозяйства.
Сравнительная
таблица моделей рыночного хозяйства
|
Критерий
|
Социальное рыночное
хозяйство
|
Смешанная экономика
|
Корпоративная экономика
|
|
Целевая направленность
государственных программ
|
Защита интересов граждан
|
Создание условий для
развития предпринимательства
|
Защита интересов крупного
бизнеса
|
|
Принципы регулирования
экономики
|
Долгосрочное программирование
|
Использование
преимущественно тактических методов
|
Определение основных
приоритетов
|
|
Доля государственного
сектора в экономике
|
Достигает 30%
|
Около 10%
|
Незначительная
|
|
Наиболее типич.гос-ва
|
Германия
|
США
|
Япония, Швеция
|
Социальное
рыночное хозяйство
Концепция социального рыночного
хозяйства, основоположником которой является Эрхард и Ойкен, значительно
отличается от теории классического либерального хозяйства – концепции рыночной
экономики, где государству отводилась роль "ночного сторожа". Одной
из наиболее важных задач государства, по мнению Эрхарда, является обеспечение
свободной конкуренции. Свободная собственная инициатива и конкуренция должны
сочетаться с активной ролью государства в хоз. жизни. ведущая форма проявления
свободы, по Эрхарду, - свобода потребления, которая логически дополняется
свободой предпринимателя производить и продавать продукты, отвечающие спросу.
Важнейший критерий соц.-рын. хоз-ва, сочетающего рыночные и социальные
принципы, - установление эффективного хозяйственного порядка. при котором на
основе роста производительности труда снижаются цены, повышается з/плата.
Благодаря конкуренции как наиболее эффективному способу достижения и
обеспечения благосостояния, можно достичь социализации прогресса и прибыли.
Другим критерием выступает оптимальное сочетание рыночной экономики и планового
хозяйства. Некоторые немецкие авторы определяют соц.-рын. хоз-во как
современную форму экономич. организации рын. типа с налаженным механизмом гос.
регулирования, соответствующей институциональной структурой и системой
социальной защиты населения.
Смешанная экономика
Указанные трактовки смешанной
экономики не противоречат друг другу в современных условиях, а лишь отображают
несколько линий формообразования современного типа развитой экономики и их
единство. Смешанная экономика представляет собой одновременное сочетание
указанных параметров: сочетание частного и государственного секторов экономики,
рынка и гос. регулирования, капиталистических тенденций и социализации жизни,
экономических и неэкономических начал.
В теории смешанной экономики
обосновывается необходимость оптимального сочетания частной и гос.
собственности. В этом заключается одно из ее отличий от теории социального
рыночного хозяйства, основывающейся на признании приоритета частн.
собственности. Второе существенное отличие данных теорий в том. что если, по
мнению Эрхарда (соц.-рын. хоз-во), для достижения социальной направленности
экономики нужно поднимать производство, а не совершенствовать распределение,
то, по утверждению представителя рассматриваемой теории Хансена, главной
функцией "государства благосостояния" выступает именно
перераспределение произведенного дохода. Другой важной функцией такого
государства является осуществление тех или иных форм национального
планирования.
Условия перехода к рыночному
хозяйству в России
Россия в ходе экономических реформ
переходит от административно-командной системы к современной рыночной
экономике. Время, которое займет этот переход зависит от многих причин. Немаловажную
роль играют исходные условия, так как от них в большей мере зависит успех преобразований.
К ним относятся:
*
длительность
существования командно-административной системы;
*
доля частного
сектора экономики;
*
размер
структурных диспропорций и уровень милитаризации народного хозяйства;
*
уровень
внутреннего и внешнего макроэкономического равновесия (в частности уровень
инфляции, внешнего долга и др.);
*
трудовая этика
населения и преобладающий хозяйственный менталитет;
*
открытость
экономики и общества по отношению к странам с рыночной экономикой и др.
После длительного господства
административно-командной системы исходные позиции для перехода к рыночной
экономике, сложившиеся к концу 80-х гг. в России, в целом были неблагоприятными
по следующим обстоятельствам:
- крайне высокая степень
огосударствления экономики, почти полное отсутствие в то время легального
частного сектора при неуклонно расширявшейся "теневой экономике";
- длительное существование (на
протяжении жизни трех поколений) принципиально нерыночной экономики, что
ослабляло хозяйственную инициативу большинства населения и порождало преувеличенное
представление о социальной роли государства;
- крайне искаженная структура
национальной экономики, где ведущую роль играл военно-промышленный комплекс, а
роль отраслей, ориентированных на потребительский рынок, была принижена;
- неконкурентоспособность
преобладающей части отраслей промышленности и сельского хозяйства.
Особенности варианта становления
общества рыночной экономики у нас связаны не только со спецификой форм
экономических отношений, социальной, территориальной, национальной организацией
общественных связей, но и со значительным разнообразием этих форм,
специфичностью структуры, мотивов и стимулов жизнедеятельности. Таким образом, в
связи со всеми негативными моментами основными условиями перехода к рыночному
хозяйству в России стали:
*
обеспечение
свободы хозяйственной деятельности;
*
становление
многообразия форм собственности на условия, средства и результаты хозяйствования
посредством рационализации процессов разгосударствления и приватизации;
*
развитие
конкуренции производителей как важнейшего фактора стимулирования
предпринимательской активности;
*
формирование
механизма свободного ценообразования;
*
сохранение наряду
с распространением рыночных взаимоотношений значительного нерыночного сектора
экономики;
*
последовательная
интеграция национальной экономики в систему мирохозяйственных связей;
*
обеспечение со
стороны государства социальных гарантий гражданам, предоставление всем равных
возможностей в зарабатывании средств и поддержка нетрудоспособных и социально
уязвимых членов общества.
2. Основные задачи переходной
экономики. Содержание этапов осуществления экономических реформ
Таким образом, Россия при переходе от
административно-командной экономики к рыночной должна была решить много проблем
и основными задачами переходного периода стали:
1) становление активного,
эффективного предпринимательства;
2) проведение приватизации
неэффективных либо низкоэффективных предприятий;
3) формирование рынка товаров и услуг
с рыночным ценообразованием;
4) формирование финансового рынка
ценных бумаг;
5) создание рынка труда.
Решение некоторых задач до сих пор
продолжается.
Рассмотрим содержание и логику
осуществления экономической реформы:
*
Разгосударствление
экономики, приватизация, развитие предпринимательства. Поиск и использование
резервов и возможностей.
*
Формирование
рынка и его инфраструктуры, установление хозяйственных связей рыночного типа и
становление новых мотивационных механизмов развития предпринимательства.
*
Демонополизация
экономики и устранение организационных структур, сложившихся в рамках
административно-командной системы и препятствующих развитию рыночных отношений.
*
Постепенное
ограничение государственного контроля над ценами, переход к свободному
ценообразованию в соответствии со спросом и предложением, без чего невозможно
функционирование рыночного механизма.
*
Осуществление
жесткой денежно-кредитной политики и финансовой, направленных на ограничение
денежной массы в обращении.
*
Создание сильной
системы социальных гарантий и поддержки населения, которая облегчила бы людям
адаптацию к условиям рыночной экономики, защитила социально уязвимые слои от
трудностей переходного периода.
*
Осуществление
структурно-инвестиционной политики, которая, опираясь преимущественно на
экономические методы, обеспечила бы необходимые структурные сдвиги в народном
хозяйстве в направлении его социальной переориентации.
Отметим основные этапы осуществления
реформ.
I. 1987 - 1992 гг. С
социально-экономической точки зрения реформы в России начались с 1987 года,
когда был принят "Закон о государственном предприятии" и затем в 1989
году принята система хозрасчета предприятий (система 4 С: самоокупаемость,
самофинансирование, самостоятельность, самоупревление). Несмотря на эти законы,
государство оставалось главным заказчиком в промышленности, устанавливало цены
и ставки налогообложения. В это же время принимались "Закон об аренде"
(в с/х), "Закон о кооперации", "Закон об индивидуальной трудовой
деятельности, но наемный труд не мог применяться. В результате развитие
криминала.
В результате ни одна из начатых
реформ в экономике с приходом Горбачева к власти не дала положительных
результатов, т.к. реформа цен, кредита, системы снабжения предприятия были отсрочены.
К тому же проведение реформы вызвали сопротивление населения в связи с
ухудшением условий жизни и противодействие на бюрократическом уровне. Таким
образом, систему, которая сложилась в этот период, можно охарактеризовать как
систему неупорядоченной демократии.
II. 1992 - 1994 гг. Именно с этого
времени начинаются реальные экономические реформы. "Шоковая терапия"
Гайдара - радикальное реформирование. Лозунг реформ - "Рынок расставит все
по своим местам". Главные моменты: 1.01.92 - либерализация цен на
большинство товаров от государственного контроля, которая привела к высокой
инфляции, бедности в стране, промышленному спаду. 92 - 94 гг. чековая
приватизация - бесплатная передача государственного имущества всем гражданам
РФ. Но эта реформа привела к социальной напряженности, распылению
собственности, криминализации экономики, разрыву стабильных экономических
отношений, кризисных явлений вовсех сферах.
III. 1994 - 1996 гг. Формирование
рыночной инфрастуктуры; новый этап приватизации - денежный, в ходе которого
пытаются сформировать эффективного собственника; распространяется система
кредитования экономики. 95-96 гг. - стабилизация инфляции, продолжающийся спад
производства.
IV. 1996 - 1998 гг. Снижение ставки
рефинансирования ЦБ, макроэкономическая стабилизация. На первый план выходят
проблемы реформирования на микроуровне, т.е. на уровне предприятий. Но кризис
98 года ознаменовал переход к следующему этапу реформ.
V. 1998 - сейчас. Преодоление
последствий кризиса, макроэкономическая стабилизация. Сейчас проводятся
осмысленные реформы, направленные на структурные изменения и либерализацию.
Принятие инструментов реализации принципа частной собственности на землю,
налоговая реформа (сокращение числа налогов, принятие Налогового кодекса, изменение
структуры налогов и т.д.), судебная реформа (вопросы уголовного кодекса,
изменение статуса судей, совершенствование законодательства), таможенная
реформа (сокращение и снижение уровня импортных тарифов). Требуются изменения в
вопросах защиты прав собственности, реформирования медицинской сферы и здравохранения,
валютного регулирования (снижение ограничений на операции с капиталом и
недвижимостью) и т.д.
3. Закономерности трансформации на
основе рыночных процессов саморегуляции. Кризис либерально - монополистической
системы. Формирование системы социального партнерства
Трансформация одной экономической
системы в другую является способом действия системы превращения исходной
системы в новую. Система отношений превращения, с позиций системной иерархии,
является системой более высокого уровня, в которую входят как элементы исходной
подсистемы, так элементы и новой подсистемы.
Трансформация экономики с системных
позиций рыночной саморегуляции
Рассмотрим взаимосвязь исходной
централизованной системы и новой рыночной. Для этого запишем выражение,
связывающее вектор Х1 факторов производства, институтов, теоретических положений,
мотиваций исходной системы через оператор Т1, трансформации с получаемым в
исходной системе вектором У1, продуктов производства:
Y1 = T1 X1
Получим аналогичную зависимость для
трансформации, происходящей на основе рыночных процессов саморегуляции. Назовем
ее выражением рыночной трансформации.
Y2=Т2 X2.
Для процессов преобразования факторов
производства, институтов, теоретических положений, мотиваций Исходной системы в
соответствующие характеристики новой системы справедливо выражение
Х2 = Тх Х1
где Тх — оператор трансформации
входных характеристик исходной системы во входные характеристики новой системы.
Назовем эту зависимость выражением трансформации исходных характеристик
переходной экономики. Решая совместно последние два выражения, получим
У2 = Т2 Тх Х1,
где произведение операторов Т2 Тх
является оператором трансформации одной системы в другую.
В соответствии с последним выражением
вектор У2 продуктов производства трансформированной экономической системы будет
определяться вектором X1 характеристик исходных факторов производства,
институтов, теоретических положений, мотиваций, а также следующим:
— трансформацией Тх входных характеристик
исходной системы в соответствующие характеристики новой;
— трансформацией Т2 полученных
входных характеристик в продукты производства трансформированной системы.
Конкретизация рассмотренных
характеристик и операторов трансформации возможна на основе анализа информации
. о трансформационных процессах в различных экономических системах. Решение
такого рода задачи позволит, благодаря использованию возможностей трансформации
как системного способа превращения исходной системы в новую, исключить этап
хаотического состояния элементов. Это возможно при условии, что будут
определены объективные характеристики исходных условий, в которых начинаются
преобразования экономической системы, а также разработана трансформационная
программа преобразования исходных условий в те, которые необходимы для
существования рыночных отношений.
Модель рыночной трансформации
В соответствии с описанием экономики,
предложенным в работе С. Фишера, Р. Сахаи, К.А. Вега, элементы выражения
рыночной трансформации экономики будут иметь вид
где y1 — показатель темпа роста ВВП;
y2 — показатель инфляции;
x1 — характеристика режима обменного
курса (фиксированный или гибкий);
x2 — баланс бюджета правительства, влиятельность
правительства;
х3 — индекс либерализации,
характеризующий насколько реформы перехода от директивной экономики к рыночной
завершены;
Коэффициенты а10, а12, ..., а23, а24
равны коэффициентам регрессионной зависимости показателей эффективности
экономики от ее характеристик.
С учетом данных, касающихся условий
проведения институциональных реформ, приведенных в "Отчете о мировом
развитии — 1997", граница существования удовлетворительных рыночных
трансформаций с низкими искажениями политики определяется годовыми
показателями:
y1>0,4%
у2<=50%
Используя как информационную базу
материалы анализа современных переходных экономик, приведенные в работе, может
быть предложена, на основе концепций рыночной саморегуляции, системная модель
трансформации T2 характеристик рыночных отношений в
выходные показатели. Системный же аппарат трансформации Tx исходных характеристик переходной
экономики требует разработки.
Кризис либерально-монополистической
системы. Формирование системы социального партнерства
Кульминацией кризиса можно считать
Вторую мировую войну. В этот период начинается интенсивный поиск форм более
совершенных социально-экономических отношений и механизмов их становления.
После войны наблюдается переход от социальной конфронтации к установке на
социальное партнерство. Идеологическое и политическое противостояние уступает
место общечеловеческим ценностям и нормам социальной дисциплины. Развивается
активное сотрудничество профсоюзов, предпринимателей и правительств.
Сложившиеся отношения партнерства
различных социальных групп, осознание исторического опыта экономического
развития и признание общечеловеческих ценностей явились предпосылками
преобразования экономики и обеспечения ее конкурентоспособности. Как пишет Ю.
Ольсевич: "Запад в целом переживает (после Второй мировой войны) переход
от менталитета конфронтации ("системы сдержек и противовесов") к
менталитету кооперации, причем Западная Европа и Япония продвинулись на этом
пути значительно дальше, чем США". Формируется сознание того, что
владельцы производственного капитала, с одной стороны, и человеческого капитала
с другой, являются равноправными партнерами, совместно реализующими
экономические процессы.
Формированию мышления социального
партнерства в России часто мешают как хозяйственно-экономические ошибки
правительства (часто не учитывающего мировой опыт), так и психологические факторы:
— идеологизированность, политизированность,
недостаточно развитое экономическое мышление населения;
— традиции бескомпромиссных волевых
решений;
— стремление к осуждению и разрушению
ранее сложившихся институтов, но не их эволюционной трансформации.
Социальное партнерство обеспечивается
посредством советов или комитетов по вопросам труда, экономического и
социального развития. Они имеются в Италии, Бельгии, Голландии, Франции,
Англии, Люксембурге, Ирландии, Германии.
Опыт социального партнерства
Рассмотрим положительные результаты
формирования системы социального партнерства в западных странах.
1. Формирование отношений социального
партнерства позволяет охватывать и учитывать интересы всех уровней
социально-экономических отношений (домашних хозяйств, предприятий, регионов
государства).
2. Социальное партнерство
обеспечивает: согласие населения с проводимым правительством курсом;
способствует текущим институциональным преобразованиям, направленным на
приведение в соответствие социально-экономических отношений и изменяющегося
мира; способствует решению проблем занятости, обновления производства, экологии
и т. п.
3. Согласие о необходимости
обеспечения каждому гражданину достойных жизненных стандартов посредством
эффективного использования производственного потенциала нации.
4. Содействие рыночной конкуренции,
противодействие частной либо государственной монополизации рынка.
5. Поддержание социального
партнерства мерами экономического и организационного характера, мерами
культурного и психологического воздействия.
6. Распределение доходов посредством
зарплаты, участия в прибылях и другого с учетом продуктивности работы, участия
в собственности, участия в управлении.
7. Обоснование социального
партнерства концепциями человеческого капитала, рассеивания собственности,
государства всеобщего благосостояния, регулирования рынка, социального рыночного
хозяйства, постиндустриального общества.
Социальное партнерство направлено на
то, "чтобы создать синтез лучших качеств обеих систем: творческого гения,
эффективности и рыночной свободы предпринимательства, которые сделали богатыми
США, Канаду, Великобританию, Гонконг и другие, в основном капиталистические,
нации, с социальным равенством, защищенностью, общинностью и другими
преимуществами, которые ценятся в таких общественно-управляемых экономических
системах, как Китай, СССР, Восточной Европы, Франция, Греция, Югославия и
Египет".