Методи вивчення трудових процесів працюючих і нормування праці
Міністерство
освіти і науки України
Харківський
Національний Економічний Університет
Кафедра:
управління персоналом
Курсова
робота
По курсу:
«Нормування праці»
На
тему
«Методи
вивчення трудових процесів працюючих і нормування праці»
Заочного факультету
м. Маріуполь
спеціальність: 7.050109
3 курси
Ісаєв К.
Зач. книжка №
Перевірив: Білоконенко В.І.
ПЛАН
Вступ
Розділ 1.Аналітична частина
1.1 Сутність нормування праці .
1.2 Система норм і нормативів праці
1.3 Методи нормування праці .
Розділ2.Проектна частина
2.1 Цілі та завдання вивчення трудових
процесів;
2.2 Методи вивчення витрат робочого часу;
2.3 Роль хронометражу для вивчення прийомів
та методів праці та розробки нормативів часу;
2.4 Сутність хронометражу та умови його
використання;
2.5 Фотографія робочого дня, порядок проведення
й опрацювання даних, використання результатів фотографії робочого дня для розробки
заходів щодо поглиблення використання робочого часу.
Розділ 3. Економічна ефективність
Висновок
Література
Вступ
Доцільність і
ефективність будь-якої суспільної праці та суспільного виробництва
забезпечується насамперед його раціональною організацією.
Раціональна
організація праці перш за все вимагає чітко визначених витрат усіх видів
ресурсів, що витрачаються у виробництві: живої праці, сировини, енергії,
фінансів тощо. Першим кроком на шляху оптимізації витрачання виробничих
ресурсів є нормування праці. Отже, мова йде про те, що існує об’єктивна
необхідність визначення конкретної кількості живої праці для забезпечення
високої ефективності виробництва.
У всіх напрямах
виробничої діяльності існує необхідність визначення витрат ресурсів: нормативи
використання сировини, палива, матеріалів, інструментів, обігових коштів. Але
найважливішим питанням є встановлення міри праці, необхідної для виконання певного
обсягу робіт. Це можна пояснити особливістю «людського фактора» на відміну від
інших.
Жива праця, праця
робітників, які використовують інші види ресурсів, має бути визначена особливо
точно й обґрунтовано. Оскільки будь-який процес праці відбувається в часі, то
універсальною мірою кількості живої праці є робочий час.
Однак треба мати
на увазі, що не всякий робочий час віддзеркалює суспільно необхідні затрати на
виконання конкретної роботи. Якщо на виробництві відсутня належна організація
праці, не застосовуються прогресивні технологічні процеси, передові технології,
якщо самі робітники не працюють на високому професійному рівні, то досягти
суспільно необхідних затрат праці неможливо, а отже, і сподіватися на
досягнення успіху в ринковій економіці марно.
Таким чином,
сутність нормування праці полягає в установленні необхідних затрат живої праці
на виконання певної роботи за нормальної організації та інтенсивності праці.
Щоб зрозуміти
значення нормування праці, слід розглянути цілу низку питань.
Норма праці є
тією первинною ланкою організації праці та виробництва, від якої починаються і на
якій ґрунтуються всі планово економічні розрахунки на підприємстві. Інакше кажучи, норма праці — це
найважливіша економічна і планово-розрахункова категорія.
Розділ 1. Аналітична
частина
1.1.
Сутність
нормування праці
Першим корком на
шляху до оптимізації витрачання ресурсів є нормування, тобто наукове обґрунтоване
визначення кількості ресурсів, об’єктивно необхідних для ефективного
підприємництва.
Нормування праці
– це вид діяльності з управління виробництвом, пов'язаний з визначенням
необхідних затрат праці і її результатів, контролем за мірою праці.
Нормування праці
– складова організації праці і виробництва. Воно є важливою ланкою
технологічної й організаційної підготовки виробництва, оперативного управління
ним, невід’ємною частиною менеджменту і соціально – трудових відносин.
Норми праці є
основою системи планування роботи підприємства та його підрозділів, організації
оплати праці персоналу, обліку затрат на продукцію, управління соціально –
трудовими відносинами тощо.
Норми праці на
підприємстві можуть використовуватися для визначення трудомісткості окремих видів
продукції і відповідних затрат праці для виконання виробничої програми. Отже,
нормування праці є засобом визначення як міри праці для виконання тієї чи іншої
конкретної роботи, так і міри винагороди за працю залежно від її кількості та
якості.
Мета нормування
праці в нових умовах господарювання полягає в тому, щоб на основі зростання
технічної озброєності та удосконалення організації виробництва і праці,
поліпшення її умов скоротити затрати на випуск продукції, підвищити
продуктивність, що, у свою чергу, сприятиме розширенню виробництва і зростанню
реальних доходів працівників.
1.2 Система норм і нормативів праці
Важливість норм
для стимулювання ефективної виробничої діяльності випливає з необхідності
встановлення обсягів ресурсів, необхідних для досягнення заданих виробничих
результатів. Обґрунтованість обсягів і складу ресурсів, які має працівник і/або
виробничий колектив, є обов’язковою умовою дієвості системи стимулювання. Бо
всі ці системи базуються на співставленні фактичних витрат ресурсів з
нормативними.
Сьогодні
підприємствами використовується система норм праці, що відображує різні сторони
трудової діяльності. Найбільш поширено застосовуються норми часу, виробітку,
обслуговування, чисельності, керованості, нормовані завдання.
Норма часу визначає необхідні витрати часу
одного працівника (бригади, ланки) на виконання одиниці роботи (продукції) ,
вимірюється в людино-хвилинах (людино-годинах).
Норма виробітку визначає кількість одиниць продукції,
які повинні бути виготовлені робітником (бригадою, ланкою) за конкретний
відрізок часу (годину, зміну), визначається в натуральних вимірниках продукції
за одиницю часу і виражає необхідний результат діяльності працівників.
Норма
обслуговування визначає необхідну кількість
одиниць обладнання, робочих місць, виробничої площі та інших виробничих
об’єктів, закріплених за працівником (бригадою, ланкою).
Норма чисельності визначає чисельність працівників, що
необхідна для виконання конкретного обсягу роботи (робіт) або для обслуговування
одного чи декількох агрегатів.
Норма керованості (числа підлеглих працівників)
визначає чисельність працівників, яка має бути підпорядкована одному керівнику.
Нормоване
завдання визначає необхідний
асортимент або обсяг робіт, які можуть бути виконані одним працівником
(бригадою, ланкою) за даний відрізок часу (зміну, добу, місяць). Як і норма
виробітку відображує необхідний результат діяльності працівників і може
встановлюватися не тільки в натуральних одиницях виміру, але й в нормо-годинах,
нормо-гривнях. В зв’язку з цим, норма виробітку може розглядатися як окремий
випадок нормованого завдання.
Всі перераховані
норми встановлюються з необхідних витрат часу на здійснення елементів
виробничого процесу. Та робота з встановлення норм не зводиться тільки до нормування
часу.
Загалом
нормування праці
– це вид
діяльності з управління підприємством, спрямований на встановлення необхідних
витрат і результатів праці, а також необхідних співвідношень між чисельністю
працівників різних груп та кількістю одиниць обладнання.
Перераховані вище
норми праці (норми часу, виробітку, обслуговування, чисельності, керованості,
нормоване завдання) повсюдно використовуються в практичній діяльності. Але вони
не є вичерпними щодо характеристик трудового процесу, об’єктивно необхідних для
цього процесу. В аналізі таких характеристик найперше виходять з оцінки
трудового процесу за його продуктивністю. (за співвідношенням між витратами та
результатами праці).
Об’єктивно
існують дві форми витрат праці:
1.Витрати
робочого часу;
2.Витрати робочої
сили (фізичної і нервової енергії).
Відповідно з цим
можна виділити норми витрат робочого часу та норми витрат робочої сили.
Норма витрат
робочого часу встановлює час на виконання
одиниці чи конкретного обсягу роботи одним або декількома працівниками. В
залежності від конкретних умов норми витрат робочого часу можуть визначати
тривалість роботи, час на її виконання одним або декількома працівниками,
чисельність працівників. У відповідності до цього до норм витрат робочого часу
відносяться норми тривалості і трудомісткості робіт (операцій) і норми
чисельності. Норми тривалості і трудомісткості робіт є формами виразу норм
часу.
Норма тривалості визначає час, за який може бути
виконана одиниця роботи на одиниці обладнання або на одному робочому місці. Цей
час включає тривалість технологічного впливу на предмет праці і розмір
об’єктивно необхідних перерв, що доводяться в середньому на одиницю роботи.
Норма тривалості вимірюється в одиницях часу: хвилинах, годинах.
На підставі
розглянутих класифікацій норм і нормативів між ними є наступні відмінності:
Таблиця 1.1 Відмінності норм від нормативів
|
Норми
|
Нормативи
|
|
Строго визначені значення факторів
за розміром в умовах конкретного виробничого процесу
|
Встановлені для множини факторів
|
|
Встановлюються для конкретної
роботи
|
Багаторазово використовуються для
встановлення різних норм на роботи одного типу
|
|
Переглядаються щоразу при зміні
умов, для яких вони були встановлені
|
Діють тривалий час, поки
зберігається якраз та а не інша залежність
|
1.3 Методи нормування праці
В нормуванні
праці застосовують аналітичні та сумарні методи.
Аналітичні методи
передбачають встановлення норм на підставі аналізу конкретного трудового
процесу; проектування раціональних режимів роботи обладнання і способів праці
працівників; визначення норм за елементами трудового процесу з врахуванням
специфіки конкретних робочих місць та виробничих підрозділів.
Сумарні методи -
встановлення норм без аналізу конкретного трудового процесу, а на основі
досвіду нормувальника (досвідний метод) або на основі статистичних даних про
виконання аналогічних робіт (статистичний метод). Сумарні норми не можуть
вважатися достатніми для визначення ефективного використання виробничих
ресурсів і повинні замінюватися нормами, встановленими аналітичними методами.
В нормуванні
праці застосовують аналітичні та сумарні методи. Аналітичні методи передбачають
встановлення норм на підставі аналізу конкретного трудового процесу;
проектування раціональних режимів роботи обладнання і способів праці працівників;
визначення норм за елементами трудового процесу з врахуванням специфіки
конкретних робочих місць та виробничих підрозділів. За методикою одержання
вихідних даних аналітичні методи поділяються на аналітично-розрахункові та
аналітично-дослідні. Якщо затрати часу на кожен елемент операції в цілому
визначаються на основі нормативних матеріалів(науково обґрунтованих
міжгалузевих, галузевих чи місцевих нормативів), такий метод називається
аналітично-розрахунковим.
Сумарні методи -
встановлення норм без аналізу конкретного трудового процесу, а на основі
досвіду нормувальника або на основі статистичних даних про виконання
аналогічних робіт. Сумарні норми не можуть вважатися достатніми для визначення
ефективного використання виробничих ресурсів і повинні замінюватися нормами,
встановленими аналітичними методами.
На практиці
найпоширеніший аналітично-розрахунковий метод, оскільки його застосування менш
трудомістке, дає можливість розраховувати норми ще до початку трудового процесу
і сприяє рівнонапруженості норм.
Розділ 2.Проектна
частина
2.1 Цілі та
завдання вивчення трудових процесів
Більшість задач,
пов'язаних з проектуванням організації праці та її нормування, вирішується
виходячи з інформації, одержуваної в результаті досліджень трудових процесів.
Дослідження
трудового процесу припускає аналіз всіх його характеристик , впливаючих на
витрати праці і ефективність використовування виробничих ресурсів. Вивчаються
конструктивно-технологічні параметри устаткування, його відповідність
продукції, що виготовляється, і ергономічним вимогам;
професіонально-кваліфікаційні, психофізіологічні і соціальні характеристики
працівників; умови праці, вживана технологія, організація робочого місця, його
обслуговування. Виходячи з цілей дослідження використовування вибираються
методи отримання та обробки інформації.
При організації
праці найбільше значення мають дві визначення фактичних витрат часу на
виконання елементів операцій (трудових рухів, дій, прийомів і т.д.); 2)
встановлення структури витрат часу на протязі робочої зміни або її частини.
Визначення тривалості виконання елементів операцій необхідне
для розробки нормативів часу, вибору найраціональніших методів праці,
встановлення складових норм часу, аналізу якості норм і нормативів. Дані про
структуру витрат робочого часу використовуються при розробці нормативів часу
обслуговування робочого місця і підготовчо-завершального часу, оцінці
ефективності використовування робочого часу, аналізі існуючої організації праці
і виробництва.
Дослідження трудових процесів повинне проводитися з
урахуванням того, що час, що витрачається на виконання елементу операції або
певного виду робіт, залежить від безлічі організаційно-технічних і
психофізіологічних чинників, які звичайно не піддаються повному контролю.
Зокрема, вимірювання тривалості одного і того ж елементу операції в одних і тих
же умовах дає ряд величин, в більшості випадків не співпадаючих один з одним,
тобто результати даного вимірювання складатимуть варіаційний ряд. Тому для
отримання достовірних висновків про тривалість елементів операцій і структуру
витрат робочого часу повинні використовуватися такі методи організації і
обробки спостережень, які дозволяють враховувати характер вірогідності
досліджуваних процесів. Для отримання необхідної інформації з мінімальними витратами
вельми важливе обґрунтування кількості спостережень.
Методи дослідження трудових процесів можуть класифікуватися
по: меті дослідження, кількості спостережуваних об'єктів, способу проведення
спостереження, формі фіксації його даних і т.д.
Відповідно до мети дослідження виділяють наступні методи:
хронометраж, фотографія робочого часу, фотохронометраж.
2.2 Методи
вивчення витрат робочого часу
Аналіз затрат
робочого часу базується на матеріалах конкретних досліджень (спостережень), які
дають змогу одержати об’єктивну інформацію про використання робочого часу.
Систематичне ретельне вивчення затрат робочого часу на виробництві сприяє
розв'язанню цілого ряду завдань, що стоять перед нормуванням праці: одержанню
вірогідних відомостей про фактичні затрати робочого часу; нагромадженню
первинної інформації для подальшої розробки нормативів і норм; вивченню досвіду
передових робітників; виявленню причин невиконання встановлених норм;
визначенню можливостей усунення втрат робочого часу тощо. Регулярні
спостереження робочого часу дисциплінують людей, допомагають їм вдосконалювати
організацію праці, застосовувати раціональні прийоми й методи праці,
збагачувати її змістовність, що, зрештою, сприяє зростанню продуктивності
праці.
Широка
розмаїтість трудових процесів, нестандартність цілей, що постають перед
дослідником (спостерігачем) робочого часу вимагають глибоких знань методичних
основ вивчення й аналізу затрат праці на виробництві. На велику увагу
дослідника заслуговує правильний вибір об'єкта спостереження, методів дослідження,
способів реєстрації затрат часу, форм їхнього запису та точності одержуваної
інформації. Недостатні знання методичних основ аналізу затрат робочого часу,
брак практичного досвіду нерідко призводять до помилкових результатів,
бездоказових висновків і оцінок ефективності використання живої праці в часі.
Значна частина спірних питань щодо об'єктивності встановлення норм часу
(виробітку), необхідності їх перегляду у той чи інший бік могла бути знятою або
взагалі не виникла б, якби фахівці служби нормування праці мали оперативну і
точну інформацію про фактичне використання змінного робочого часу, причини
надмірних перерв у роботі, кваліфікацію виконавців, умови їх праці.
У теорії й
практиці нормування поширені два основних методи вивчення затрат робочого часу
(рис.2.1) : безпосередніх вимірів та моментних спостережень.
Метод
безпосередніх вимірів полягає в тому, що спостерігач послідовно фіксує тим чи
іншим способом тривалість різних елементів затрат робочого часу. Перевагою
цього методу є вірогідність і точність реєстрації часу. Є й недоліки: велика
трудомісткість підготовки самого спостереження та обробки його матеріалів,
неможливість охоплення значної кількості робочих місць одночасно.
Метод моментних
спостережень ґрунтується на використанні теорії ймовірності та таблиць
випадкових чисел, коли спостерігач через нерівні проміжки часу (моменти) фіксує
те, що відбувається на робочих місцях в обраній зоні спостереження. За цього
методу знач-но зростає кількість спостережуваних об'єктів (працівників, верстатів,
машин), поліпшується оперативність одержання потрібної інформації,
забезпечується достатня точність результатів спостереження.
Підготовка до
спостереження складається з обрання об'єкта дослідження та ознайомлення з ним,
планування маршруту обходу спостерігачем зони спостереження, визначення
кількості моментоспостережень, попереднього заповнення спеціального бланку.
Необхідна
кількість моментоспостережень визначається за формулами (таблицями, складеними
на підставі цих формул), виведеними із застосуванням математичної статистики.
Рис. 2.1.
Класифікаційна схема методів вивчення затрат робочого часу
Для стабільного
трудового процесу, притаманного велико-серійному та масовому типу виробництва,
кількість необхідних моментоспостережень визначається за табл. 3.1. або за
формулою:
де К — питома
вага затрат робочого часу на безпосереднє виконання виробничого завдання
(коефіцієнт завантаження робітників);
Р — задана або
припустима величина відносної похибки результатів спостереження (може
коливатися у межах 3—10%).
Для нестабільного
трудового процесу число моментоспостережень визначається за табл. 3.2 або за
формулою:
.
Таблиця 2.1
Кількість моментоспостережень для умов стабільного трудового процесу
|
Величина похибки Р
|
Кількість моментоспостережень М
залежно від коефіцієнта завантаження робітників К
|
|
0,1
|
0,2
|
0,3
|
0,4
|
0,5
|
0,6
|
0,7
|
0,8
|
0,9
|
|
3
4
5
6
8
10
|
20000
11250
7200
5000
2700
1800
|
8890
5000
3200
2220
1250
800
|
5180
2920
1870
1300
730
490
|
3330
1870
1200
830
470
300
|
2200
1250
800
550
310
200
|
1480
830
530
370
210
135
|
670
540
340
240
130
85
|
60
310
200
140
80
50
|
250
140
90
60
35
20
|
Таблиця .2.2 Кількість моментоспостережень для
умов нестабільного трудового процесу
|
Величина похибки Р
|
Кількість моментоспостережень М
залежно від коефіцієнта завантаження робітників К
|
|
0,1
|
0,2
|
0,3
|
0,4
|
0,5
|
0,6
|
0,7
|
0,8
|
0,9
|
|
3
4
5
6
8
10
|
30000
16850
10800
7500
4280
2700
|
13320
7500
4800
3330
1880
1200
|
7780
4380
2800
1940
1100
700
|
5000
2810
1800
1250
700
450
|
3300
1800
1200
830
470
300
|
2200
1150
800
560
310
200
|
1000
810
510
360
180
130
|
840
470
300
210
75
|
380
210
140
90
50
35
|
Що стосується
етапів проведення спостережень, то їх налічується чотири: підготовка до
спостереження, безпосереднє спостереження, обробка матеріалів та аналіз результатів
спостереження. Доцільно також уважно ознайомитися зі змістом
структурно-логічної блок-схеми 2.1, що наведена нижче. Тут треба особливу увагу
звернути на:
— мету спостереження;
— причини, що зумовлюють
вибір того чи іншого об’єкта дослідження;
— точне визначення
кількості об’єктів спостереження;
— визначення часу
проведення спостережень;
— ознайомлення з особливостями
організації праці на конкретному робочому місці (дільниці);
— роз’яснення мети
та завдань спостережень;
— заповнення лицьового
боку листа спостережень (фотокартки, хронокарти);
— точне визначення
кількості об’єктів спостереження;
— визначення часу
проведення спостережень;
— ознайомлення з особливостями
організації праці на конкретному робочому місці;
— роз’яснення завдань
та мети спостережень, що відбуваються;
— заповнення лицьового
боку листа спостережень (фотокартки, хронокарти).
Цілком природно постає
запитання: чому так важливо зосередитись на першому етапі проведення спостережень?
Структурно – логічна
блок-схема 2.1
Основні способи вивчення
затрат робочого часу та етапи їх проведення
|
Етап
|
Фотографія робочого часу
|
Хронометраж
|
|
Фотографія методом безпосередніх вимірів
|
Фотографія методом моментних спостережень
|
|
Підготовка
|
1. Вибір мети й об’єкта 2. Заповнення
лицьового боку фатокартки 3. Інструктаж
|
1. Вибір мети й об’єкта
2. Заповнення лицьового боку фотокартки 3. Інструктаж 4. Визначення обсягу спостережень
|
1. Вибір мети, об’єкта, часу спостережень
(30 — 60 хв після початку зміни, 1,5 — 2 год до закінчення)2. Заповнення лицьового
боку хронокартки 3. Розчленування операції (фіксажні крапки) 4. Кількість спостережень
5. Інструктаж
|
|
Спостереження
|
Спостереження: цифри, індекси, графіки
|
Форма запису
|
Запис часу з точністю до 0,5 с Дефектні
заміри
|
|
Обробка
|
1. Зведення однойменних затрат робочого
часу (фактичний баланс робочого часу) у хвилинах, відсотках 2. Визначення показників,
що характеризують фактичний баланс робочого часу (К1, К2, К3, К4)
|
1. Зведення однойменних затрат робочого
часу в моментоспостереженнях, відсотках 2. Визначення показників, що характеризують
фактичний баланс робочого часу (К1, К2, К3, К4)
|
1. Визначення тривалості замірів
2. Стійкість хронорядів (факт)
. Розрахунок середньої тривалості елементів
операції та всієї операції загалом
|
|
Аналіз
|
1. Побудова нормативного балансу
2. Можливе зростання продуктивності
праці (ущільнення робочого часу) 3. Розробка заходів щодо ліквідації втрат робочого
часу 4. Розрахунок економічного ефекту
|
1. Побудова нормативного балансу
2. Можливе зростання продуктивності
праці (ущільнення робочого часу)
3. Розробка заходів щодо ліквідації
втрат робочого часу
4. Розрахунок економічного ефекту
|
1. Аналіз затрат робочого часу за елементами
операції 2. Стійкість хронорядів (факт-норматив) 3. Режим роботи 4. Проектування
раціонального трудового процесу 5. Розрахунок норми оперативного часу
|
Відповідь проста:
тому що треба отримати дійсні фактичні затрати робочого часу без їхнього приховування,
саме такі, які мають місце в обумовлених організаційно-технічних умовах виробництва
і праці. Дуже важливо правильно вибрати об’єкт спостереження, який має відповідати
меті дослідження. Одна річ вивчати як використовують робочий час висококваліфіковані
робітники і зовсім інша — спостерігати затрати робочого часу тих робітників, які
не виконують установлені норми.
Приклад 1 Засоби оснащення
робочих місць механічного цеху приведені в таблиці 2.1. Вони розміщені не відповідно
до теоретичних положень по раціональній організації планувальних рішень. Внаслідок
чого верстатник вимушений зробити ряд нераціональних переміщень при виконанні трудових
процесів і підготовці до них виготовлення продукції.
Таблиця 2.1 Початкові дані про втрати робочого часу при нераціональних планувальних
рішеннях
|
Засоби оснащення
робочого місця
|
Одноразові втрати
робочого часу (мін)
|
Кількість переміщень
в зміну
|
|
1. Допоміжне устаткування
|
6
|
7
|
|
2. Організаційне
оснащення - інструментальна тумбочка - підставка під деталі - стелаж
|
0,4
0,6
0,9
|
11
10
8
|
|
3. Технологічне
оснащення
|
0,6
|
37
|
|
- набір інструментів
|
|
|
|
4. Чисельність персоналу
в цеху, чіл.
|
123
|
|
5. Кількість робочих
днів в році
|
265
|
|
6. Рік. об'єм виробництва,
тис. шт.
|
120
|
|
7. Трудомісткість
однієї шт., нормо-ч.
|
2,21
|
Примітка: Кількість робочих днів у році у році приведено з урахуванням роботи
цеху по суботніх днях. Робітники працюють у дві зміни.
Отже, виявимо витрати робочого часу в рік для робітників всього цеху:
Додаткова кількість виробленої продукції складе:
Зростання продуктивності відповідно до одержаних даних складе:
2.3 Роль хронометражу
для вивчення прийомів та методів праці та розробки нормативів часу
Хронометраж використовується
для аналізу методів праці і визначення тривалості елементів операцій, що повторюються.
В основному хронометраж
використовується для визначення елементів оперативного часу. Фотографія робочого
місця служить для встановлення структури витрат робочого часу по його різновидам
(оперативний, підготовчо-підсумковий, обслуговування) на протязі робочої зміни або
її частин. Якщо об’єктом досліджень при хронометражі є, як правило, тільки елементи
оперативного часу, то ФРЧ фіксує всі різновиди витрат робочого часу і всі різновиди
перерв. Фотохронометраж використовується одночасно як для встановлення тривалості
елементів трудового процесу так і для структури витрат робочого часу. По кількості
об’єктів ,що спостерігаються відрізняють: індивідуальні спостереження групові спостереження
маршрутні спостереження .
Індивідуальне спостереження
- спостереження за 1 об’єктом (верстатом, робітником...).
Групове спостереження
- спостереження за декількома об’єктами: -бригадні спостереження; -спостереження
за багатоверстатниками.
Маршрутні - це спостереження
за об’єктом, що переміщується, або за декількома об’єктами, які розташовані далеко
один від одного , і спостерігач повинен сам переміщуватись по маршруту, щоб проводити
дослідження. 1 Хронометраж виконується у складі наступних етапів:
1. Вибір об’єктів
для спостережень.
2. Розподіл операцій
на елементи.
3. Встановлення фіксажних
меж.
4. Визначення кількості
спостережень.
5. Проведення вимірів
тривалості елементів операції. 6. Обробка результатів спостережень.
7. Аналіз результатів
спостережень та визначення нормативного часу виконання операції.
1 етап: Вибір об’єктів
визначається в залежності від мети проведення спостережень.
Якщо мета - визначення
нормативів значень норм штучного чи штучно калькуляційного часу або уточнення цих
значень ,то об’єктами досліджень будуть робітники або бригади, продуктивність праці
яких (коефіцієнт виконання норм) знаходиться в межах між значеннями: середньої продуктивності
праці по цеху чи дільниці та найвищими досягненнями передових робітників.
Якщо мета - вивчення
передового досвіду, то спостереження -бригади, які володіють передовими прийомами
виконання трудових процесів.
Якщо мета хронометражу
- нормативний час, то об’єкти типові виконавці робіт ,і щоб вони працювали у необхідному
темпі роботи. Також хронометраж проводиться з метою виявлення причин невиконання
окремих норм.
2 етап: Розподіл операцій
на елементи. При підготовці до хронометражу операцію, яка досліджується розділяють
на елементи: які комплекси прийомів прийоми дії комплекс трудових рухів Ступінь
розподілу на елементи при хронометражі залежить від організаційного типу виробництва.
Чим вищий організаційний тип виробництва (масовий), тим на дрібніші елементи розподіляється
операція. 3 етап: Встановлення фіксажних меж. Після розділення операції на елементи
встановлюють межі кожного елемента – фіксажні межі.
Фіксажні межі – це
різновизначенні по звуковому та зоровому сприйняттю моменти початку та закінчення
елементів операції. Визначають початкову та кінцеву фіксажні межі. Якщо хронометраж
проводиться по поточному часу, то для 1-го елементу встановлюється початкова і кінцева
фіксажна межі, а для наступних – тільки кінцеві.
Приклад 1. Необхідно
визначити, яку кількість хронометражних замірів треба здійснити, якщо нормативний
коефіцієнт хроноряду становить 1,8, процент можливої похибки — 5%.
Розв’язання: Скористаємось
формулою
2.4 Сутність хронометражу
та умови його використання
Під хронометражем розуміється
спостереження і вимір затрат робочого часу на здійснення окремих повторюваних елементів
операції або її в цілому. Безпосереднім його об'єктом є оперативний або підготовчо-заключний
час на машинно-ручних роботах. В результаті можна зробити розрахунок середньої тривалості
тієї або іншої операції по формулі:
Знання середньої тривалості
операції і її окремих елементів допомагає удосконалювати їх зміст і структуру, раціоналізувати
затрати часу на них і встановлювати оптимальні норми.
Хронометраж може використатися
з метою:
встановлення фактичної
тривалості основних і допоміжних елементів виробничої операції;
виявлення причин невиконання
норм часу (виробітку), встановлених розрахунковим шляхом;
виявлення і вивчення
передових прийомів і методів праці для їх наступного поширення;
одержання вихідних
даних для розробки нормативів з праці;
встановлення нових
або уточнених діючих норм затрат праці.
Залежно від числа
працівників, робота яких вивчається хронометражним способом, розрізняють індивідуальний
і груповий хронометраж.
Індивідуальний хронометраж
дозволяє вивчати трудові процеси (операції) найґрунтовніше, з максимальною деталізацією.
Перевагою групового
хронометражу є те, що він дозволяє поряд із вивченням структури і трудомісткості
операції визначити реальну міру участі у колективному результаті кожного з членів
бригади або ланки з метою раціональнішого поділу функцій та обов'язків.
2.5 Фотографія робочого
дня, порядок проведення й опрацювання даних, використання результатів фотографії
робочого дня для розробки заходів щодо поглиблення використання робочого часу
Різноманітність трудових
процесів дуже широка. Значною є й кількість різновидів фотографії робочого часу,
кожен з яких має свої відмітні особливості.
Правильний вибір нормувальником
(економістом) того чи того виду фотографії для конкретних умов виробництва уможливлює
добре знання методики й техніки спостережень, певний виробничий досвід.
1. Індивідуальна фотографія
звичайно проводиться методом безпосередніх вимірів під час виконання робітником
виробничого завдання на індивідуальному робочому місці. Найчастіше об'єктом спостереження
є робітники, які не виконують змінні завдання (тобто виконують менш як на 100%).
Мета: виявити причини, що заважають робітникові протягом зміни. Об'єктом спостереження
також можуть бути й передові робітники. В цьому разі мета дослідження полягає у
вивченні передового досвіду з тим, щоб ефективніше використати робочий час. Спостереження
може вестися протягом цілої робочої зміни або окремої її частини.
На підготовчому етапі
той, хто проводитиме спостереження, після вибору об'єкта спостереження має ознайомитися
з технологічним процесом, організацією робочого місця, порядком його обслуговування,
взаємозв'язками робочого місця з оточенням тощо.
Якщо фотографія робиться
з метою виявлення витрат робочого часу, то її виконують за існуючої організації
праці з усіма її недоліками. Коли матеріали фотографії потрібні для розробки нормативів
і норм часу, то на підготовчому етапі необхідно створити таку організацію праці,
на яку будуть орієнтовані ці нормативи і норми.
До початку спостереження
на фотокарту заносяться всі потрібні вихідні відомості: назва цеху, дільниці, технологічного
процесу, прізвище та ініціали робітника, його професія і кваліфікаційний розряд,
дата спостереження.
З моменту початку
спостереження (це може бути початок робочої зміни) спостерігач, користуючись приладом
реєстрації часу (хронометром, годинником), занотовує на фотокарті послідовно всі
фактичні затрати часу на спостережуваному робочому місці незалежно від їхньої доцільності,
одночасно фіксуючи поточний час у відповідній графі. Рекомендована точність запису
поточного часу — ±0,5 хв із заокругленням до однієї цілої хвилини. У графі "Перекривний
час" позначається порядковий номер того елемента операції, який перекриває
даний елемент, а також тривалість перекривного часу. У табл.4.1 у рядку 7 поточний
час, взятий у дужки, означає, що йдеться саме про перекрив ний елемент. Запис у
графі 6 показує, що елемент 7 тривалістю 8 хв був перекритий елементом 6. Перекривний
час не враховується у загальному балансі часу, тому у графі 7 робиться прочерк.
По закінченні спостереження
починають обробку одержаної інформації. На фотокарті проставляють індекси всіх зафіксованих
затрат часу, визначають тривалість кожного елемента.
На фотокарті поточний
час у кожному рядку означає закінчення попереднього елемента затрат часу і початок
даного. Різниця між значенням поточного часу даного і попереднього рядків становить
тривалість часу даного елемента операції чи роботи. Сума тривалості всіх елементів
повинна дорівнювати загальній тривалості всього спостереження від початку до кінця.
Обідня перерва не є робочим часом, тому її тривалість не враховується при фотографії
робочого часу.
Аналіз матеріалів
фотографії починається із складання зведення одно іменних затрат, фактичного і нормативного
балансів робочого часу у хвилинах і процентах (табл.2.3.).
Як видно з таблиці
2.3, протягом спостереження було зроблено всього 35 записів про виконання робітником
певних дій чи про перерви у його роботі з різних причин. Нормативний баланс складено
на підставі нормативних затрат часу Тпз, Тоб та Твоп, що відповідають конкретним
умовам спостережуваного трудового процесу.
Час непродуктивної
роботи Трн, перерв, зумовлених недоліками у виробництві Тпнт та порушень трудової
дисципліни Тптд до нормативного балансу не включається як такий, що не є необхідним
за добре організованої праці. Натомість час на відпочинок та особисті потреби Твоп
має зрости до нормативного рівня, тобто на 23 хв. Нормативний оперативний час Топ
збільшиться за рахунок скорочення втрат на 73 хв. (4 + 8 + 12 + 43 + 29 - 23).
Таблиця 2.3 Баланс
робочого часу за даними індивідуальної фотографії
|
Елементи затрат часу
|
Індекс
|
Кількість вимірів
|
Фактичний Баланс
|
Нормативний баланс
|
Відхилення (+; -)
|
|
хв
|
%
|
хв
|
%
|
|
Підготовчо-завершальний час
Оперативний час
Час обслуговування
Час непродуктивної роботи
Час перерв, зумовлених
недоліками у виробництві
Час перерв, пов'язаних з порушенням
трудової дис-ципліни
Час на відпочинок та особисті потреби
Змінний робочий час
|
Тпз
Топ
Тоб
Трн
Тпнт
Тптд
Твоп
Тзм
|
6
12
4
2
3
4
4
35
|
24
334
23
12
43
29
15
480
|
5.0
69,7
4,8
2,5
8,9
6,0
3,1
100
|
20
407
15
-
-
-
38
480
|
4,2
84,8
3,1
-
-
-
7,9
100
|
-4
+73
-8
-12
-43
-29
+23
-
|
Процедура аналізу
використання робочого часу передбачає розрахунки, принаймні, трьох відносних показників
(коефіцієнтів): ефективного використання змінного робочого часу К1; неприхованих
(явних) втрат робочого часу К2; прихованих втрат робочого часу К3.
Коефіцієнт ефективного
використання робочого часу
К1= (Тпзн
+ Топф + Тобн + Твопн) : Тзм = (20 + 334 + 15+
+ 38) : 480 = =407 : 480 = 0,848
Тобто змінний робочий
час за призначенням використаний на 84,8%. Отже, втрачений робочий час за зміну
становив 15,2% змінного фонду робочого часу.
Коефіцієнт неприхованих
(явних) втрат робочого часу
К2 =[(Трнф
+ Тпнтф + Тптдф) - (Твопн - Твопф)]
: Тзм =[(12+ + 43 + 29) - (38 - -15)]: 480= (84 - 23) : 480 = 61 : 480 = 0,127
Це означає, що явні
втрати робочого часу становлять 12,7% загальної тривалості робочої зміни.
Коефіцієнт прихованих
втрат робочого часу
К3 = [(Тпзф
– Тпзн) + (Тобф – Тобн) ] : Тзм = (4 + 8) : 480
= 12 : 480 = 0,025
Тобто приховані втрати
робочого часу незначні, вони становлять лише 2,5% тривалості робочої зміни.
Сума трьох коефіцієнтів
(К1 + К2 + К3) має дорівнювати одиниці. Перевіряємо:
0,848 + 0,127 + 0,025
= 1,000
Можливе ущільнення
робочого часу внаслідок усунення усіх видів втрат (К4) можна розрахувати за такою
формулою:

де показники К2
та К3 виражаються у процентах
Яким же чином при
втратах 15,2% змінного фонду часу можна ущільнити робочий день на 17,9%? Робітник,
втративши 73 хв, витратив на виконання змінного завдання 407 хв. (480 — 73). За
цей час він виконав 814 деталеоперацій (по 0,5 хв. на одну деталь). Збільшення часу
оперативної роботи на 73 хв. за рахунок усунення втрат дозволить додатково обробити
146 деталей ( 73,0/0,5 = 146), що саме і дорівнює зростанню виробітку на 17,9% (73/407*100=
17,9),або: (814+146/814*100-100=17,9).
Важливо підкреслити,
що зростання виробітку станеться без підвищення інтенсивності праці, оскільки час
виконання кожної додаткової деталеоперації залишається тим самим (0,5 хв. ).
Таким чином, фотографія
робочого часу дозволяє виявляти наявні втрати, нічим не загрожуючи робітникові.
Навпаки, він зацікавлений у тому, щоб за кращої організації праці більше зробити
корисної роботи, отже мати відповідно більший змінний заробіток, оскільки розцінка
за кожну одиницю роботи не зменшується.
На завершальному етапі
аналізу робочого часу методом індивідуальної (та й всіх інших видів) фотографії
складають план заходів щодо поліпшення організації праці, усунення причин втрат
робочого часу з метою більш продуктивного його використання.
2. Групова фотографія
проводиться тоді, коли є потреба проаналізувати використання робочого часу групою
робітників, розташованих недалеко один від одного
3. Бригадна фотографія
застосовується тоді, коли виникає необхідність аналізу затрат часу бригадою, яка
обслуговує колективне робоче місце (потокову лінію, складальний конвеєр, монтажний
стенд тощо), тобто виконує спільне виробниче завдання.
Запис спостереження
найзручніше вести індексно-графічним методом. Після проведення бригадної фотографії
робочого часу складається єдиний фактичний баланс на всю бригаду. Коефіцієнт завантаженості
роботою обчислюється для кожного члена бригади окремо. Ретельний аналіз структури
затрат часу бригадою в цілому та кожним її членом дасть цінну інформацію для подальшого
удосконалення організації колективної праці.
4. Самофотографія
— різновид Індивідуальної фотографії, розрахований на те, що працівник сам вестиме
спостереження за своєю роботою і фіксуватиме втрати робочого часу з різних причин,
у першу чергу ті, що трапляються не з його вини .
Цей досить ефективний
метод спостереження за трудовим процесом і виявлення резервів економії робочого
часу, пов'язаних із якістю обслуговування, зародився ще в 1946 р. як своєрідне мікросоціологічне
обстеження. Але досить швидко він був забутий через те, що адміністрація підприємств
не була заінтересована у виявленні та використанні прихованих внутрішніх резервів.
Беручи до уваги ефективність
самофотографії як методу контролю знизу за якістю організації праці і виробництва,
її доцільно проводити не менш як 2—3 рази на рік на кожному робочому місці. Наслідками
кожного туру самофотографії мають бути узагальнення зібраної інформації, докладне
обговорення, розробка і реалізація дійових заходів щодо усунення причин втрат або
непродуктивного використання робочого часу.
5. Фотографія робочого
дня багатоверстатника багато в чому схожа з груповою. Відрізняється тим, що одноіменні
затрати часу зводяться у двох варіантах: відносно до робітника і до обслуговуваних
ним верстатів, машин, апаратів. Матеріали фотографії використовуються для обґрунтування
норми обслуговування багатоверстатника, визначення тривалості перерв у його роботі
і в роботі устаткування.
6. Фотографія виробничого
процесу застосовується за умов безперервного апаратурного виробництва. Спостереження
одночасно ведеться за діями оператора (апаратчика), параметрами технологічного процесу
та випуском готової продукції. Вперше цей вид фотографії з'явився у 1934 р. під
назвою метода двосторонньої фотографії.
Основне завдання його
полягає у встановленні чіткої взаємодії людей і устаткування, розробці детальних
професійних інструкцій та карт організації праці.
Такий вид спостереження
потребує значної спеціальної підготовки спостерігача, який повинен добре знати,
якою мірою існуюча організація праці відповідає проектній. Опрацювання даних спостереження
ведеться окремо відносно до робітника і устаткування.
7. Маршрутна фотографія
застосовується тоді, коли виникає потреба проаналізувати завантаженість робітників,
які не мають постійних робочих місць, а виконують свої обов'язки на пересувних робочих
місцях (водії, машиністи кранів, трактористи тощо) чи працюють на досить розлогих
зонах обслуговування (черговий персонал слюсарів, електриків, наладчики устаткування,
прибиральники, підсобні робітники і т.п.).
Такий вид фотографії
звичайно виконується двома спостерігачами. Один перебуває на початку, а другий —
наприкінці маршруту або зони. Можливий і такий варіант, коли спостереження веде
одна людина, пересуваючись разом з рухливим робочим місцем. Якщо спостерігач один,
він може, залишаючись на одному місці, фіксувати роботу кількох транспортних одиниць,
реєструючи їх появу в одних і тих самих пунктах, що дістали назву фіксажних точок.
Цей вид фотографії ще не набув широкого визнання через недостатню увагу до допоміжного
виробництва.
8. Цільова фотографія
— різновид групової фотографії. Застосовується з метою розв'язання вузького, конкретно-цільового
завдання щодо оцінки якості використання робочого часу протягом певної частини робочої
зміни або виконання працівниками конкретної виробничої функції. Наприклад, необхідно
дослідити, як використовується (за якими напрямами) робочий час у першу або останню
годину зміни, які величини втрат часу при одержанні інструментів, заготовок, креслень
тощо.
Проводиться цільова
фотографія здебільшого раптово, без попередження відповідних служб і людей з метою
одержання вірогідної інформації. Це дійовий засіб зміцнення трудової та виконавської
дисципліни, поліпшення організації праці.
Описані вище види
фотографії робочого часу звичайно здійснюються методом безпосередніх вимірів, фіксацією
поточного часу з обмеженою кількістю спостережуваних об'єктів.
Якщо виникає потреба
аналізу завантаження устаткування або масової фотографії з метою одержання оперативної
вірогідної інформації із залученням до участі у цьому процесі мінімальної кількості
спостерігачів, то найбільше виправдовує себе метод моментних спостережень.
9. Фотографія часу
використання устаткування проводиться 2—3 рази на рік з метою визначити степінь
завантаження устаткування в часі. Проходячи за маршрутом, спостерігач фіксує лише
дві події: "працює" або «не працює». В його завдання також входить дотримуватись
методики спостереження.
Використання методу
моментних спостережень дозволяє незначними силами кваліфікованих фахівців спостерігати
практично за всім верстатним парком підприємства одночасно.
10. Масова фотографія
робочого часу застосовується при одночасному обстеженні великої сукупності працівників
методом моментних спостережень. Поширена на великих підприємствах, де достатньо
підготовлених фахівців.
Приклад 2. За даними
фотографії робочого часу «приховані» втрати становлять 16%, «неприховані» — 8%.
На скільки відсотків можна ущільнити робочий день, якщо ліквідувати втрати відповідно
на 30% і 50%?
Розв’язання:
1. Розраховуємо нові
значення К2 та К3 відповідно: 16% × 0,7 =
= 11,2% залишиться
та 8% × 0,5 = 4,0% залишиться.
Скористаємося формулою
Слід зауважити, що
аналогічні розрахунки за умови повної ліквідації втрат робочого часу дадуть змогу
ущільнити робочий день на 31,5% (100 (16 + 8) : (100 – (16 + 8))).
Розділ
3.Економічна ефективність
При аналізі використовування
робочого часу необхідно порівнювати динаміку годинний, денний і річний виробіток
робітників. Якщо індекс денного вироблення менше індексу вартовий, то це є показником
збільшення внутрішньо змінних втрат робочого часу, а перевищення індексу річного
вироблення над індексом денної свідчить про зростання числа явочних днів в році
і на оборот. Порівняння динаміки показників годинної, денної і річної виработки
робітників дозволяє зробити висновок про зміни у використовуванні робочого часу
за звітний період. Але цим методом можна одержати тільки відносні показники поліпшення
або погіршення використовування робочого часу в порівнянні з базисним періодом.
Для виявлення ж резервів зростання продуктивності праці за рахунок кращого використовування
фонду робочого часу необхідне знать абсолютні розміри
втрат робочого часу. Розмір внутрішньо змінних втрат робочого часу слід визначати
шляхом проведення фотографій робочого дня, а також на основі вивчення облікових
матеріалів про простої, доплатні листки, виписиваємих за додаткову роботу при відступі
від нормальних умов технологічного процесу, при переробці
бракованої продукції і т.п. Продуктивність праці росте прямо пропорціональна збільшенню
фонду робочого часу в середньому на одного робітника. Якщо втрати робочого часу
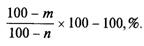
складали в базисному періоді n%, а в плановому намічено їх скоротити до т %,то продуктивність праці робітника підвищиться на:
Витрати робочого часу
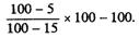
на якійсь ділянці виробництва складають 15%, і є можливість
скоротити їх при здійсненні відповідних заходів до 5%, тоді це підвищить продуктивність
труда на 11,8%:
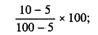
Намічено
скоротити внутрішньо змінні втрати з 10 до 5% робочого
часу, економія в цьому випадку буде дорівнюватиме 5.26:
Якщо даний
захід розширюється на 500 робітників, то економія чисельності складає 26 чіл. (500
х 5,26 : 100).
У ряді
випадків ефективність заходів може бути незначної.
Тоді економію робочого часу слід обчислювати в людино-годинах. Для визначення економії
в чисельності робітників треба підсумовувати економію
в годиннику по низці заходів, а потім вже переводити в середнеоблікову чисельність
робітників по формулі:
де ФРВ — річний фонд робочого часу одного робітника, ч;
Tсн —
зниження трудомісткості в нормо-годиннику;
До — коефіцієнт
виконання норм виработки.
Висновок
Таким
чином нормування праці — це основа її організації на підприємстві, це вид діяльності
з управління підприємством, спрямований на встановлення оптимальних співвідношень
між витратами та результатами праці, а також між чисельністю працівників різних
груп та кількістю одиниць обладнання.
Основними
об'єктами нормування праці є робочий час, обсяг роботи, зона обслуговування, витрати
енергії працівників.
Раціональне
використання робочого часу на підприємстві починається із встановлення найдоцільніших
режимів праці і відпочинку. Розрізняють змінний, добовий, тижневий і місячний режими.
Для виявлення резервів раціональнішого використання фонду робочого часу працівників
проводиться класифікація видів витрат робочого часу за такими напрямками: а) час
роботи і час перерв у роботі; б) нормований і ненормований робочий час. Коефіцієнт
використання робочого часу показує рівень організації праці на підприємстві і розраховується
діленням фактичної тривалості робочого дня на нормальну.
Нормативні
матеріали (нормативи) — це комплекс довідкової інформації, необхідної для визначення
норм затрат праці для конкретних трудових процесів аналітично-розрахунковим методом.
Вони класифікуються за такими видами: нормативи режимів роботи устаткування; нормативи
часу; нормативи обслуговування; нормативи чисельності та нормативи підлеглості.
Конкретні норми праці для певного трудового процесу визначаються безпосередньо на
підприємстві на основі одного або кількох трудових нормативів. За призначенням розрізняють
норми часу, виробітку, обслуговування, чисельності, підлеглості, співвідношення
кількості працівників, нормовані завдання.
У
практиці нормування праці користуються досвідно-статистичними і аналітичними методами.
За методикою одержання вихідних даних аналітичні методи поділяються на аналітично-розрахункові
і аналітично-дослідні. На практиці найпоширеніший аналітично-розрахунковий метод,
оскільки його застосування менш трудомістке, дає можливість розрахувати норми ще
до початку трудового процесу і сприяє рівнонапруженості норм.
У
ринкових умовах науково обґрунтоване нормування праці стає одним із найдієвіших
засобів забезпечення конкурентоспроможності підприємства, оскільки сприяє скороченню
затрат пращ, економії коштів на оплату праці, а отже — зниженню собівартості продукції
і підвищенню ефективності господарювання
Література
1. Абрамов В.М. и др. Нормирование труда:
Учебник. /К.: ИСИО, 1995. -204 с. Генкин
Б.М. Нормирование труда: Учебник. - Г.: Экономика, 1985. -212 с.
2.
Задачник по научной
организации и нормированию труда в машиностроении. /Под ред. И.М. Разумова, С.В.
Смирнова. - М: Машиностроение, 1984. - 224 с.
3.
Научная организация
и нормирование в машиностроение: Учебник. /Под ред. С.М. Семенова и Н.А. Сероштана.
- Г.: Машиностроение, 1991.-212 с.
4.
Нормирование труда.
Учебно-методическое пособие для самостоятельной работы. - К.: КНЕУ, 2000. - 104
с.
5.
Организация и нормирование
труда. Учебн. пособие для вузов. -М.: Финстатинформ, 1999. - 302 с.
6.
Справочник нормировщика.
/Под ред. докт. экон. наук, проф. А В Ахумова. - Л.: Машиностроение, 1986. - 456
с.
7.
Конспект лекцій з
курсу "Нормування праці" для студентів спеціальності 6.050100
- "Управління персоналом і економіка праці " усіх форм навчання / Укл.
Білоконенко В.І. – Харків: Вид. ХДЕУ,2004. - 144 с. (Укр. мов.)
8.Грішнова О.А.Економіка праці та соціально трудові
відносини .:Підручник.
К.:Знання,2006р-553с.
9.Богиня Д.П.Грішнова О.Р.«Основи економіки
праці»,Навч.посіб.-2-ге вид.,стер.—К.:знання –Пррес,2001-313с.