Аналіз та планування основних фондів торгівельного підприємства (на прикладі ТОВ "БАРС")
Міністерство освіти і науки України
Київський НАЦіональний торговельно-економічний
університет
Кафедра економіки підприємництва
КУРСОВА РОБОТА
з дисципліни “Економіка підприємства ”
Тема: “
Аналіз та планування основних фондів торгівельного підприємства (на прикладі
ТОВ “БАРС”)”
ЗМІСТ
ВСТУП
1.
ТЕОРЕТИЧНЕ
ОБГРУНТУВАННЯ УПРАВЛІННЯ РУХОМ ОСНОВНИХ ФОНДІВ ТОРГІВЕЛЬНОГО ПІДПРИЄМСТВА
1.1 Сутність основних фондів
торгівельного підприємства та поняття їх руху
1.2 Основні завдання управління рухом
основних фондів торгівельного підприємства
2.
ДОСЛІДЖЕННЯ
РУХУ ОСНОВНИХ ФОНДІВ ТОРГІВЕЛЬНОГО ПІДПРИЄМСТВА ТОВ “БАРС”
2.1 Аналіз наявності, складу та стану
основних фондів торгівельного підприємства
2.2 Дослідження інтенсивності
відновлення основних фондів торгівельного підприємства
2.3 Оцінка ефективності використання
основних фондів торгівельного підприємства
3.
РОЗРОБКА
ПОЛІТИКИ УПРАВЛІННЯ РУХОМ ОСНОВНИХ ФОНДІВ ТОРГІВЕЛЬНОГО ПІДПРИЄМСТВА
3.1 Оцінка планових передумов
розробки політики управління рухом основних фондів торгівельного підприємства
3.2 Визначення обсягів вибуття та
введення основних фондів торгівельного підприємства
3.3 Обґрунтування вибору форм
задоволення потреби торгівельного підприємства в прирості основних фондів
ВИСНОВКИ І ПРОПОЗИЦІЇ
СПИСОК ЛІТЕРАТУРИ
ДОДАТКИ
ВСТУП
Інтенсифікація потужності торговельного підприємства та
підвищення на цій основі ефективності його діяльності, життєздатності та конкурентоспроможності
на ринку є одним з головних напрямків розвитку підприємства в сучасних
економічних умовах. Необхідною умовою розвитку є підвищення ефективності
використання основних фондів, так як вони є основою виробничого потенціалу
підприємства. Основні фонди – це база, на якій стає можливим функціонування і
дієздатність будь-якого підприємства, зокрема торговельного. Особливо складними
в теперішній час стають питання, пов'язані з управлінням формуванням та
використанням основних фондів.
Підвищення якості управління підприємством пов'язане з
застосуванням сучасних методів оцінки стану основних фондів, аналізу та
планування їх розвитку, з формуванням комплексного підходу до оцінки
взаємовпливу показників фінансово-господарської діяльності підприємства та
показників використання фондів. Пошук шляхів підвищення ефективності використання
основних фондів є одним з найактуальніших питань в політиці управління
підприємством в цілому.
Мета курсової роботи – викласти теоретичне обґрунтування
управління рухом основних фондів, проведення дослідження руху основних фондів
на матеріалах діючого торговельного підприємства.
Задачами курсової роботи, які випливають з її основної
мети, є:
-
розкриття
сутності основних фондів та їх класифікація;
-
визначення
основних завдань управління рухом основних фондів торговельного підприємства;
-
аналіз
руху основних фондів на підприємстві;
-
оцінка
ефективності руху основних фондів;
-
розробка
ефективної політики управління рухом на торговельному підприємстві на основі
оцінки планових передумов діяльності даного підприємства на 2006 рік.
Предметом дослідження виступають основні фонди
торговельного підприємства, що знаходяться в процесі проходження етапів циклу
відтворення.
Об'єктом
дослідження є багатофілійне ТОВ “БАРС”, головний офіс якого знаходиться за
юридичною адресою в м. Бровари Київської області, вул. Каменяра 20/5.
Підприємство почало функціонувати у квітні 1991 року. Загальна кількість
засновників в ТОВ “БАРС” становить 4 юричичні особи.
Основним видом
діяльності даного підприємства є роздрібна та дрібнооптова торгівля
запчастинами для автомобільної та сільськогосподарської техніки. За ознакою
складу асортименту товарів, що пропонується до продажу, ТОВ “БАРС” відноситься
до спеціалізованих торговельних підприємств.
РОЗДІЛ 1
ТЕОРЕТИЧНЕ
ОБҐРУНТУВАННЯ УПРАВЛІННЯ РУХОМ ОСНОВНИХ ФОНДІВ ТОРГІВЕЛЬНОГО ПІДПРИЄМСТВА
1.1
Сутність основних фондів торгівельного підприємства та поняття їх руху
Торгова
діяльність - ініціативна, самостійна діяльність юридичних осіб і громадян по
здійсненню купівлі і продажу споживчих товарів з метою одержання прибутку.
Внутрішня
(зовнішня) торгівля - сфера підприємницької діяльності по реалізації товарної
продукції на внутрішньому ринку країни (зовнішніх ринках інших країн)
суб'єктами господарювання усіх форм власності, що охоплює обертання засобів
виробництва і споживчих товарів та розподіляється на оптову торгівлю,
посередництво в торгівлі, роздрібну торгівлю(тільки в внутрішній торгівлі).
Торговельна
діяльність може здійснюватися [1]:
- громадянами
України, громадянами інших держав, які не обмежені в правоздатності або
дієздатності в законодавчому порядку;
- юридичними
особами всіх форм власності.
Торговельна
діяльність в Україні регулюється Законами України "Про
підприємництво", "Про захист прав споживачів", "Про
підприємства в Україні", "Про споживчу кооперацію", "Про
зовнішньоекономічну діяльність", "Про забезпечення санітарного та
епідемічного благополуччя населення", "Про лікарські засоби",
"Про якість та безпеку харчових продуктів і продовольчої сировини",
іншими актами законодавства, а також порядками і правилами.
Торговельна
діяльність може здійснюватися у сферах роздрібної та оптової торгівлі, а також
у торговельно-виробничій (громадське харчування) сфері, та обмежується тільки
умовами Законів України “Про ліцензування певних видів господарської
діяльності” [6] та “Про патентування деяких видів підприємницької діяльності” [5]
.
Оптова
торгівля -
сфера підприємницької діяльності по придбанню і відповідному перетворенню
товарів для наступної їхньої реалізації підприємствам роздрібної торгівлі,
іншим суб'єктам підприємницької діяльності. Включає як безпосередні комерційні
зв'язки в умовах договорів закупівлі-продажу і постачання між
підприємствами-виробниками і споживачами, так і зв'язку між ними через торгових
посередників [15].
Господарюючі
суб'єкти для заняття торговельною діяльністю можуть мати у сфері оптової
торгівлі [15].:
а) оптові бази
- основні господарські підприємства оптової торгівлі, що здійснюють оптові
закупівлі та поставки (продаж) товарів і надають торговельні послуги підприємствам
і організаціям роздрібної торгівлі, громадського харчування та іншим суб'єктам
підприємницької діяльності;
б) товарні
склади, склади-холодильники - відокремлені або спеціально пристосовані
приміщення для зберігання та переробки товарних запасів;
в) склади-магазини, що мають функціональні площі,
до яких входять торговельні та складські площі закритих та напіввідкритих
приміщень для зберігання і продажу великогабаритних товарів (меблі, будівельні
матеріали тощо).
Роздрібна
торгівля -
сфера підприємницької діяльності з продажу чи товарів послуг на підставі усний
чи письмовий договори закупівлі-продажу безпосередньо кінцевим споживачам для
їх власного некомерційного використання [15].
Господарюючі
суб'єкти для заняття торговельною діяльністю можуть мати у сфері
роздрібної торгівлі - роздрібну торгову мережу - сукупність
стаціонарних, тимчасових і пересувних пунктів роздрібного продажу товарів
(включаючи аптеки), торгових автоматів, торгових місць на ринках, пунктів
продажу поштою і за замовленням, а також пунктів ремонту предметів особистого
користування і домашнього побуту, не зв'язаного з виробництвом цих виробів. По
ступені постійності місцезнаходження розрізняють стаціонарну і пересувну
мережу, а по характері капітальності споруджень - магазини, павільйони, кіоски,
ларьки.
Здійснюючи господарську діяльність торговельне
підприємство формує матеріально-технічну базу, що являє собою сукупність
речових елементів засобів праці, необхідних йому для доведення товарів від
виробників до споживачів і їх зберігання.
Засоби праці, як
фактор виробництва та складова частина виробничих ресурсів підприємства,
вливаючись в процес виробництва, стають частиною виробничих фондів підприємства
в залежності від характеру функціонування в процесі виробництва та участі в
створенні нової вартості, окремі елементи виробничих фондів можуть бути
віднесені до основних та оборотних фондів.
Рис. 1.1. Взаємозв'язок засобів
виробництва та виробничих фондів у
розтині їх елементів.
На відміну від оборотних фондів, що беруть участь тільки
в одному виробничому процесі, основні фонди функціонують тривалий період;
зберігають споживаєму форму, частково використовуються у кожному виробничому
процесі і переносять свою вартість на вартість продукції частково, по мірі
зношування. Цим основні фонди відрізняються від оборотних, які змінюють свою
споживану форму, або повністю її втрачають і повністю використовуються у кожному
виробничому процесі. Вартість оборотних фондів торговельного підприємства в
повній мірі відноситься на витрати обігу.
Основні засоби – це матеріальні активи, які
підприємство утримує з метою використання їх у процесі виробництва або
постачання товарів, надання послуг, здавання в оренду іншим особам або для
здійснення адміністративних і соціально-культурних функцій, очікуваний строк
корисного використання (експлуатації) яких більше одного року (або операційного
циклу, якщо він довший за рік).
Об'єкт
основних засобів - це: закінчений
пристрій з усіма пристосуваннями і приладдям до нього; конструктивно
відокремлений предмет, призначений для виконання певних самостійних функцій;
відокремлений комплекс конструктивно з'єднаних предметів однакового або різного
призначення, що мають для їх обслуговування загальні пристосування, приладдя,
керування та єдиний фундамент, унаслідок чого кожен предмет може виконувати
свої функ-ції, а комплекс - певну роботу тільки в складі комплексу, а не
самостійно; інший актив, що відповідає визначенню основних засобів, або частина
такого активу, що контролюється підприємством.
Якщо
один об'єкт основних засобів складається з частин, які мають різний строк
корисного використання (експлуатації), то кожна з цих частин може визнаватися в
бухгалтерському обліку як окремий об'єкт основних засобів.
Для
цілей бухгалтерського обліку основні засоби класифікуються за такими группами
[14]:
1.
Основні засоби
1.1.
Земельні ділянки.
1.2.
Капітальні витрати на поліпшення земель.
1.3.
Будинки, споруди та передавальні пристрої.
1.4.
Машини та обладнання.
1.5.
Транспортні засоби.
1.6.
Інструменти, прилади, інвентар (меблі).
1.7.
Робоча і продуктивна худоба.
1.8.
Багаторічні насадження.
1.9.
Інші основні засоби.
2.
Інші необоротні матеріальні активи
2.1.
Бібліотечні фонди.
2.2.
Малоцінні необоротні матеріальні активи.
2.3.
Тимчасові (нетитульні) споруди.
2.4.
Природні ресурси.
2.5.
Інвентарна тара.
2.6.
Предмети прокату.
2.7.
Інші необоротні матеріальні активи.
3.
Незавершені капітальні інвестиції
Придбані
(створені) основні засоби зараховуються на баланс підприємства за первісною
вартістю. Одиницею обліку основних засобів є об'єкт основних засобів. Первісна
вартість об'єкта основних засобів складається з таких витрат:
- суми, що сплачують постачальникам активів та підрядникам за
виконання будівельно-монтажних робіт (без непрямих податків);
- реєстраційні збори, державне мито та аналогічні платежі, що
здійснюються в зв'язку з придбанням (отриманням) прав на об'єкт основних
засобів;
- суми ввізного мита;
- суми непрямих податків у зв'язку з придбанням (створенням)
основних засобів (якщо вони не відшкодовуються підприємству);
- витрати зі страхування ризиків доставки основних засобів;
- витрати на транспортування, установку, монтаж, налагодження
основних засобів;
- інші витрати, безпосередньо пов'язані з доведенням основних
засобів до стану, у якому вони придатні для використання із запланованою метою.
Витрати
на сплату відсотків за користування кредитом не включаються до первісної
вартості основних засобів, придбаних (створених) повністю або частково за
рахунок позикового капіталу.
Первісною
вартістю основних засобів, що внесені до статутного капіталу підприємства,
визнається погоджена засновниками (учасниками) підприємства їх справедлива
вартість з урахуванням витрат, передбачених пунктом 8 Положення (стандарту) 7 [12].
Первісна вартість об'єктів, переведених до основних засобів з оборотних
активів, товарів, готової продукції тощо дорівнює її собівартості, яка
визначається згідно з положеннями (стандартами) бухгалтерського обліку 9
"Запаси" [10] та 16 "Витрати" [11].
Рух основних коштів підприємства включає наступні процеси:
А) Придбання основних засобів та введення їх в експлуатацію
Б) Поліпшення основних засобів в ході експлуатації:
-
модернізація;
-
модифікація;
-
добудова;
-
дообладнання;
-
реконструкція;
В) Знос та амортизація основних засобів – часткове
використання фізичних та моральних ресурсів основних засобів при їх участі в
процесі експлуатації, що приводить до:
-
фізичного зношення основних фондів;
-
морального зношення(застаріння) основних фондів;
-
накоплення амортизаційного фонду (відрахувань з доходу
підприємства) для відновлення ресурсів основних фондів при іх поліпшенні чи
оновленному придбанні;
Г) Тимчасова передача основних засобів в оренду
Д) Продаж основних фондів
Е) Ліквідація основних засобів
Підприємство може переоцінювати об'єкт основних засобів,
якщо залишкова вартість цього об'єкта суттєво відрізняється від його
справедливої вартості на дату балансу. У разі переоцінки об'єкта основних засобів
на ту саму дату здійснюється переоцінка всіх об'єктів групи основних засобів,
до якої належить цей об'єкт [12].
Основні фонди, як
економічна категорія, характеризуються такими ознаками: вони, неодноразово
вступаючи у виробничий процес зберігають свою натуральну форму і лише частково
споживаються в кожному циклі виробництва. Як сукупність засобів праці основні
фонди є вирішальним фактором виробництва, а їхній натурально-речовинний склад
визначає характер матеріально-технічної бази підприємства. Поступове
перенесення вартості основних фондів торговельного підприємства на товари, які
реалізуються ним, пов'язане із зносом основних фондів в процесі тривалого
функціонування. Знос буває фізичним і моральним.
Під фізичним зношенням
основних фондів розуміють втрату ними першопочаткових техніко-економічних
якостей (споживчої вартості) під впливом процесів праці, природних сил та інших
факторів. В залежності від причин виникнення розрізняють дві форми фізичного
зносу:
І. Внаслідок
використання основних фондів у торговельному процесі;
ІІ. В результаті
їх бездіяльності та впливу сил природи.
Фізичний знос
першого ряду умовно можна розділити на дві частини:
1)
знос,
який періодично усувається шляхом проведення відповідних ремонтів – усувний;
2)
неусувний
знос (знос, що не підлягає усуненню) поступово накопичується та обумовлює за
витоком часу повне фізичне зношення основних фондів, внаслідок чого вони
повинні бути повністю замінені.
Окрім фізичного
основні фонди зазнають ще й морального зносу.
Моральний знос (техніко-економічне старіння основних
фондів) – це зменшення їх вартості під впливом науково-технічного прогресу по
мірі здешевлення відтворення окремих засобів праці та впровадження у
виробництві нової, більш досконалої та більш продуктивної техніки. Моральний
знос також може бути повним та частковим [19]. Частковий моральний знос може
бути усунений шляхом проведення модернізації основних фондів, під якою
розуміють внесення певних конструктивних змін в об'єкти основних фондів з метою
покращання їх технікоекономічних характеристик. Настання повного морального
зносу обумовлює потребу в заміні об'єктів основних фондів підприємства.
Основні фонди
торговельного підприємства класифікуються [19]:
І. За характером
участі в торговельно-виробничому процесі:
1.
Виробничі
основні фонди – фонди, що безпосередньо беруть участь у торговельно-виробничому
процесі.
2.
Невиробничі
основні фонди – не пов'язані із здійсненням виробничого процесу (житлові
будинки, спортивні споруди, об'єкти охорони здоров'я).
ІІ. За належністю до власника майна:
1.
Власні
основні фонди – належать підприємству на правах власності і містяться в його
балансі.
2.
Орендовані
та безкоштовно передані основні фонди – фонди, що у строковому або
безстроковому порядку передані торговельному підприємству в оренду або
абсолютно безкоштовно.
ІІІ. За ланками
торговельного виробничого процесу:
1.
Основні
фонди роздрібної торгівлі.
2.
Основні
фонди оптової торгівлі.
ІV. За роллю в
здійсненні торговельно-виробничого процесу:
1.
Активна
частина основних фондів.
2.
Пасивна
частина основних фондів.
До активної
частини відносять ті елементи основних фондів, які безпосередньо впливають на
предмети праці і в значній мірі визначають рівень продуктивності праці (машини,
устаткування, транспортні засоби і виробничий інвентар).
До пасивної
частини відносяться будівлі, споруди, господарський інвентар, ті елементи, які
створюють умови для здійснення торговельно-виробничих процесів.
Співвідношення
між активною і пасивною частинами основних фондів відображає рівень
прогресивності основних фондів. Але в торгівлі рівень прогресивності
визначається специфічно, так як в торгівлі активну частину основних фондів
можна віднести до пасивної, тому що вона не збільшує рівень механізації праці і
не підвищує її продуктивність і навпаки, пасивну частину (торговельні площі)
можна розглядати як умовно-активну частину основних фондів, тому що вона
забезпечує інтенсифікацію продажу товарів, сприяє зростанню продуктивності
праці робітників торгівлі. Отже, оптимальний рівень прогресивності праці для
підприємств торгівлі в економічній теорії ще не визначений.
Основні фонди
класифікуються також за видами:
Рис. 1.2. Видова
структура основних фондів [19].
Співвідношення
окремих видів основних фондів називають видовою структурою основних фондів.
Структура основних фондів торговельного підприємства визначається тим, що в ній
переважає частка виробничих фондів над невиробничими. У виробничих основних
фондах найбільшу питому вагу має їх пасивна частина.
Проміжок часу,
протягом якого відбувається процес формування, використання та відновлення
споживчої вартості основних фондів, характеризується поняттям “цикл відтворення
основних фондів”. Основні стадії (етапи) циклу відтворення основних фондів
наведено на рис. 1.3
Якщо цикл
відтворення основних фондів більш тривалий, ніж обіг основних фондів, то
підприємство отримує додатковий дохід за рахунок накопиченої амортизації.
|
І. Створення
основних фондів
|
|
ІІ. Підготовка до
експлуатації
|
|
|
|
|
|
|
|
|
|
|
|
|
|
|
   1. Планування та
розподіл капітальних вкладень
|
|
2. Проектування
|
|
3. Здійснення
капітальних вкладень
|
|
4. Введення до
експлуатації
|
|
5. Освоєння
основних фондів
|
|

|
|
|
|
|
|
|
|
|
|
 
|
|
7. Формування
джерел відновлення основних фондів (амортизація вартості)
|
|
|
|
|
|
|
|
|
|
|
|
|
   12. Виведення основних
фондів з експлуатації
|
|
11. Повна втрата
споживчої вартості
|
|
9. Протиріччя
втрати (відновлення) споживчої вартості
|
|
8. Часткова втрата
споживчої вартості
|
|
6. Використання за
цільовим призначенням
|
|

|
|
|
|
|
|
|
|
|
|

|
|
|
|
|
10. Капітальний
ремонт, модернізація
|
|
|
|
|
|
|
|
|
|
|
|
|
|
|
|
І\/. Завершення
експлуатації основних фондів
|
|
ІІІ. Експлуатація
основних фондів
|
Рис. 1.3. Стадії
та етапи циклу відтворення основних фондів торговельного підприємства [ 25 ]
Якщо ж в разі
неефективного використання цикл відтворення коротший за обіг фондів, то
підприємство не має фінансових джерел для відновлення основних фондів (в зв'язку
з незавершенням амортизаційного періоду) і несе збитки через списання
залишкової вартості основних фондів на фінансові результати діяльності.
Процес
проходження основними фондами вказаних етапів циклу відтворення являє собою рух
основних фондів, управлінню яким на торговельному підприємстві присвячена дана
робота.
Рух основних
фондів буде мати особливості у випадку простого та розширеного відтворення:
-
Просте
відтворення, при якому досягається збереження споживчої вартості основних
фондів.
-
Розширене
відтворення, при здійсненні якого споживча вартість та кількість основних
фондів підприємства зростає.
Просте
відтворення відбувається шляхом проведення капітального ремонту та заміни
застарілих об'єктів основних фондів, розширене – шляхом проведення нового
будівництва, реконструкції та технічного переозброєння, модернізації основних
фондів. Вибір форми відтворення здійснюється в процесі управління інвестиційною
діяльністю торговельного підприємства.
Визначення сутності основних фондів торговельного підприємства
та поняття їх руху є теоретичною базою, яка дозволяє поставити основні задачі
управління рухом основних фондів торговельного підприємства.
Під терміном "амортизація" основних фондів і
нематеріальних активів слід розуміти поступове віднесення витрат на їх
придбання, виготовлення або поліпшення, на зменшення скоригованого прибутку
платника податку у межах норм амортизаційних відрахувань, установлених цією
статтею.
Амортизації
підлягають витрати на:
придбання
основних фондів та нематеріальних активів для власного виробничого
використання, включаючи витрати на придбання племінної худоби та придбання,
закладення і вирощування багаторічних насаджень до початку плодоношення;
самостійне
виготовлення основних фондів для власних виробничих потреб, включаючи
витрати на виплату заробітної плати працівникам, які були зайняті на
виготовленні таких основних фондів;
проведення
всіх видів ремонту, реконструкції, модернізації та інших видів поліпшення
основних фондів;
Під терміном "основні фонди" слід розуміти матеріальні
цінності, що призначаються платником податку для використання у господарській
діяльності платника податку протягом періоду, який перевищує 365 календарних
днів з дати введення в експлуатацію таких матеріальних цінностей, та вартість
яких перевищує 1000 гривень і поступово зменшується у зв'язку з фізичним
або моральним зносом.
Витрати
на придбання будьяких матеріальних цінностей, вартість яких не перевищує 1000
гривень, що призначені для використання у господарській діяльності платника
податку, включаються до складу валових витрат платника податку в загальному
порядку.
Об'єктом
амортизації є вартість основних засобів (окрім вартості землі і незавершених
капітальних інвестицій).
Нарахування амортизації здійснюється протягом строку
корисного використання (експлуатації) об'єкта, який встановлюється
підприємством при визнанні цього об'єкта активом (при зарахуванні на баланс), і
призупиняється на період його реконструкції, модернізації, добудови,
дообладнання та консервації.
Амортизація
основних засобів (крім інших необоротних матеріальних активів) нараховується із
застосуванням таких методів:
1)
прямолінійного, за яким річна сума амортизації визначається діленням вартості,
яка амортизується, на строк корисного використання об'єкта основних засобів;
2)
зменшення залишкової вартості, за яким річна сума амортизації визначається як
добуток залишкової вартості об'єкта на початок звітного року або первісної
вартості на дату початку нарахування амортизації та річної норми амортизації.
Річна норма амортизації (у відсотках) обчислюється як різниця між одиницею та
результатом кореня ступеня кількості років корисного використання об'єкта з
результату від ділення ліквідаційної вартості об'єкта на його первісну
вартість;
3)
прискореного зменшення залишкової вартості, за яким річна сума амортизації
визначається як добуток залишкової вартості об'єкта на початок звітного року
або первісної вартості на дату початку нарахування амортизації та річної норми
амортизації, яка обчислюється, виходячи із строку корисного використання
об'єкта, і подвоюється;
4)
кумулятивного, за яким річна сума амортизації визначається як добуток вартості,
яка амортизується, та кумулятивного коефіцієнта. Кумулятивний коефіцієнт
розраховується діленням кількості років, що залишаються до кінця строку
корисного використання об'єкта основних засобів, на суму числа років його
корисного використання;
5)
виробничого, за яким місячна сума амортизації визначається як добуток
фактичного місячного обсягу продукції (робіт, послуг) та виробничої ставки амортизації.
Виробнича ставка амортизації обчислюється діленням вартості, яка амортизується,
на загальний обсяг продукції (робіт, послуг), який підприємство очікує виробити
(виконати) з використанням об'єкта основних засобів.
Підприємство
може застосовувати норми і методи нарахування амортизації основних засобів,
передбачені податковим законодавством.
Суму нарахованої амортизації всі підприємства відображають
збільшенням суми витрат підприємства і зносу основних засобів.
Об'єкт основних засобів вилучається з активів (списується з
балансу) у разі його вибуття внаслідок продажу, безоплатної передачі або
невідповідності критеріям визнання активом.
1.2 Основні завдання управління рухом основних фондів
торгівельного підприємства
При розробці політики управління рухом основних фондів
необхідно формувати відтворювальні процеси на підприємстві так, щоб досягти при
цьому економічного ефекту.
Розвиток основних
фондів повинен плануватися з орієнтацією на вирішення основних завдань, що
постають перед підприємством у процесі його функціонування. Основними такими
завданнями є підвищення рівня обслуговування покупців, скорочення витрат
їхнього часу на придбання товарів, забезпечення зростання товарообороту
підприємства, а також рівня рентабельності його діяльності, покращення умов
зберігання товарів та забезпечення раціонального товароруху, збільшення
прибутковості власного капіталу підприємства.
В першу чергу для
розробки політики управління рухом основних фондів необхідно забезпечити
організацію обліку і створення інформаційної бази для прийняття рішень щодо
управління фондами. Інформація повинна містити точні дані, щодо величини та
вартості основних фондів, їх динаміки та структури, їх впливу на рівень витрат
обігу. необхідна інформація для аналізу міститься у:
-
балансі
підприємства (форма №1);
-
звіті про
фінансові результати та їх використання (форма №2);
-
звіті про
фінансово-майновий стан підприємства (форма №3);
-
спеціальних
книга, інвентарних списках;
-
звіті про
затрати на виробництво продукції, робіт та послуг (форма №5);
-
звіті про
наявність холодильного, торгового, механічного, підйомно-транспортного і іншого
обладнання (форма №2торг).
На основі
інформаційної бази проводиться глибокий аналіз основних фондів, розраховуються
показники їх відтворення і ефективності використання. Це дуже важливий момент,
адже на основі зробленого аналізу формується система стратегічних цілей
підприємства.
В залежності від
стадії життєвого циклу підприємства і особливостей економічного середовища, в
якому воно функціонує, стратегічними цілями можуть бути такі [25]:
-
створення
умов для розвитку товарообороту, підвищення виробничого потенціалу
підприємства;
-
підвищення
доходності;
-
підвищення
рівня інфляційної захищеності майна;
-
підвищення
ступеня матеріалізації капіталу;
-
підвищення
рівня торгового обслуговування;
-
заміна
зношених основних фондів і т.д.
Управління рухом
основних фондів являє собою частину загальної економічної стратегії
підприємства і переслідує основну мету: забезпечити відтворення основних фондів
та їх ефективне використання на підприємстві.
Основними
завданнями управління рухом основних фондів є [24]:
1.
Аналіз
стану та ефективності використання основних фондів на торговельному
підприємстві.
2.
Визначення
розміру потреби в прирості основних засобів.
3.
Обґрунтування
ремонтної політики підприємства.
4.
Вибір
форми задоволення потреби в прирості основних фондів.
5.
Раціоналізація
експлуатації основних фондів підприємства.
Аналіз стану та
ефективності використання проводиться в цілях вивчення динаміки загального їх
обсягу і стану, ступені їх придатності, інтенсивності оновлення та ефективності
використання і поділяється на етапи:
І етап – аналіз
обсягів та динаміки основних фондів.
На цьому етапі
аналізу визначається загальний обсяг основних фондів торговельного підприємства
у вартісному вимірі та вивчається динаміка обсягу основних фондів порівняно з
попередніми періодами.
ІІ етап – аналіз
стану та складу основних фондів.
Цей етап аналізу
характеризується питомою вагою різних груп основних фондів в загальному обсязі
основних фондів, що дозволяє оцінити співвідношення різних видів основних
фондів, надати характеристику змінам в їх складі.
ІІІ етап – аналіз
ступеню зносу основних фондів.
В процесі оцінки
ступеню зносу використовуються такі загальні показники [23]:
1.
Коефіцієнт
зносу
основних фондів, який визначається як відношення суми зносу основних фондів до
первинної або відтворювальної вартості. Цей коефіцієнт характеризує ступінь
зносу основних фондів та відшкодування витрат на формування основних фондів.
2.
Коефіцієнт
придатності
характеризує можливість подальшого використання, ступінь невідшкодування витрат
на формування основних фондів і обчислюється по формулі:
де ОФ зал.
– залишкова вартість основних фондів;
ОФ перв.
– первинна вартість основних фондів.
ІV етап – аналіз
інтенсивності відновлення основних фондів.
В процесі
проведення даного аналізу ми використовуємо такі показники [23]:
3. Коефіцієнт
оновлення основних фондів:
де Ф введ.
– вартість введених основних фондів за період;
ОФ кін.
– вартість основних фондів на кінець аналітичного періоду.
Цей коефіцієнт показує питому вагу введених
основних фондів в їх загальному наявному обсязі.
4. Коефіцієнт
вибуття основних фондів:
де Ф виб.
– вартість основних фондів, що вибули з експлуатації протягом аналітичного
періоду;
ОФ поч.
– вартість основних фондів на початок аналітичного періоду.
Коефіцієнт
вибуття характеризує питому вагу вибуття основних фондів в їх загальному
обсязі.
5. Швидкість
оновлення характеризує середній період повного оновлення усіх основних
фондів підприємства і дорівнює відношенню одиниці до коефіцієнту оновлення
основних фондів.
6. Коефіцієнт
приросту основних фондів:
де Ф введ.
– вартість знову введених основних фондів;
Ф виб.
– вартість основних фондів, які вибули;
ОФ поч.
– вартість основних фондів на початок періоду.
V етап – аналіз ефективності використання основних фондів.
Аналіз
ефективності використання основних фондів необхідно робити на базі цілої
системи показників, щоб можливо було судити про важливість основних фондів в
економіці підприємства, оцінити стан основних фондів та їх вплив на торговельновиробничі
процеси підприємства. Цими показниками є [19]:
1.
Фондовіддача – характеризує обсяг
товарообороту на одиницю основних фондів
де ТО –
товарооборот підприємства за даний період;
2.
Індекс
фондовіддачі:
де ТО1,
ТО2 – товарооборот підприємства відповідно в базовому та звітному
періодах;
ОФ1,
ОФ2 – середня вартість основних фондів в базовому та звітному
періодах
3.
Доходовіддача
дорівнює:
де Д – доходи від усіх
видів діяльності;
Доходовіддача показує обсяг доходу, який отримує підприємство на одиницю
наявних основних фондів, як тих, що є в користуванні, так і переданих в оренду.
4.
Фондоємкість
товарообороту
характеризує середню суму основних фондів, що використовується для реалізації
одиниці Товарообороту підприємства
де ФВ –
фондовіддача
5.
Фондоємкість
доходів дає
змогу оцінити скільки основних фондів (у вартісній оцінці) необхідно
використати для одержання однієї грошової одиниці доходів.
(1.9)
де ФВ –
фондовіддача
6.
Прибутковість
основних фондів:
ПОФ=КП/ОФ *100% (1.10)
де КП – комерційний
прибуток;
В якості
узагальнюючого показника використання основних фондів у торгівлі застосовують
інтегральний показник ефективно діючих основних фондів:
де Ін
– інтегральний показник ефективності основних фондів;
ІФ –
індекс зміни фондовіддачі;
Ікс –
коефіцієнт ефективного використання основних фондів (рентабельність основних
фондів), що обчислюється як відношення прибутку до середньої вартості основних
фондів підприємства.
Крім розглянутих
вище загальних показників для оцінки ефективності використання окремих видів та
груп основних фондів торговельного підприємства використовуються спеціальні
показники:
1.
Товаровіддача
торговельної площі дорівнює відношенню обсягу товарообороту до обсягу торговельної площі.
2.
Доходовіддача
торговельної площі:
де: VД – обсяг
доходу;
VSторг. – обсяг
торговельної площі
Існують також
показники, що дають змогу окремо оцінити використання обладнання:
1.
Коефіцієнт
ефективного використання (Кев) обладнання дорівнює співвідношенню
кількості годин роботи обладнання в день до нормативної тривалості роботи
обладнання.
2.
Коефіцієнт
інтенсивного використання (Ків) обладнання дорівнює відношенню
фактичної продуктивності роботи обладнання до нормативної продуктивності роботи
обладнання.
3.
Коефіцієнт
інтегрального використання обладнання:
Коли проведемо
обчислювання всіх показників аналізу стану, руху та ефективності використання
основних фондів торговельного підприємства ми зможемо визначити основні
недоліки діючої на підприємстві стратегії формування та використання основних
фондів. Але ми ще повинні враховувати інші задачі управління основними фондами.
Друга задача –
визначення розміру потреби в прирості основних засобів.
Потреба в
прирості основних засобів в плановому періоді розраховується за формулою:
(1.14)
де ПОЗ
– загальна потреба в основних засобах відповідно до розробленого плану
товарообороту;
НОФ –
наявність основних фондів на початок планового періоду;
ВК , ВМ
– очікування вибуття основних засобів в плановому періоді в зв'язку з їх
фізичним та моральним зносом.
Загальна потреба
в основних засобах на плановий період буде визначатися:
(1.15)
де ТОпл.
– плановий обсяг товарообороту;
ФЄТО –
фондомісткість товарообороту, що фактично склалася;
РПОТ –
невикористаний резерв потужності (продуктивності) основних фондів, %
Третя задача – обґрунтування
ремонтної політики підприємства.
Ефективність
ремонтної політики підприємства – це збереження споживчої вартості основних
фондів та подовження можливого терміну їх корисної експлуатації. Щоб вибрати
більш правильну ремонтну політику на підприємстві, необхідно знати підходи до
проведення ремонтів основних засобів, види ремонтів.
Для проведення
ремонтів основних фондів підприємство може використовувати різні підходи [12]:
а) запобіжна
ремонтна політика, що передбачає проведення планово-попереджувальних ремонтів;
б) аварійна
ремонтна політика, при якій ремонтні роботи проводяться лише під час виходу
основних фондів з експлуатації (аварійний ремонт);
в) комбінований
ремонт.
Більшість
підприємств вибирають запобіжну ремонтну політику, тому що вона забезпечує
ритмічність роботи підприємства та стабільність його виробничих можливостей
завдяки планомірному утримуванню основних фондів у задовільному стані. Для
запобіжної ремонтної політики характерні більш низькі витрати на профілактичні
ремонтні заходи порівняно з аварійними роботами.
Залежно від мети
та завдань виділяють поточний та капітальний ремонти основних фондів.
Поточний
ремонт
зберігає засоби праці у стані, придатному для подальшого продуктивного
використання шляхом проведення регулярних ремонтно-профілактичних операцій,
спрямованих на усунення дрібних неполадок та попередження прогресуючого
фізичного спрацювання.
Капітальний
ремонт
основних фондів відшкодовує фізичне спрацювання конструктивних елементів
засобів праці та максимального відновлення їх первісних техніко-експлуатаційних
параметрів. Він проводиться один чи два рази на рік і потребує значних
одночасних витрат.
При проведенні
капітального ремонту витрати підприємства складаються із:
-
Витрат на
капітальний ремонт (Вкр);
-
Підвищення
експлуатаційних витрат на капітально відремонтовані основні фонди порівняно з
аналогічними новими (DЕВ).
Під час придбання
нових основних фондів до складу витрат та збитків підприємства включають:
-
Витрати
на придбання нових основних фондів (Внф);
-
Збитки
від недоамортизованих діючих основних фондів.
Витрати на
придбання основних фондів включають до розрахунку з поправкою на відмінності у
продуктивності і тривалості ремонтного циклу нових та старих основних фондів
шляхом застосування коригуючих коефіцієнтів:
a коефіцієнт, що характеризує
співвідношення продуктивності діючих та нових основних фондів;
b коефіцієнт, що відображає
співвідношення тривалості ремонтного циклу.
В загальному
вигляді умова ефективності витрат на капітальний ремонт основних фондів
описується нерівністю:
Ступінь
ефективності витрат на капітальний ремонт визначається шляхом розрахунку
коефіцієнту ефективності витрат (Екв):
Якщо Екв
більше нуля, капітальний ремонт основних фондів є економічно виправданим.
Четверта задача –
вибір форми задоволення потреби в прирості основних фондів.
Потреба в
прирості основних засобів підприємства може бути задоволена різними шляхами:
1)
Придбання
необхідних основних засобів у власність (нових або таких, що біли у
використанні);
2)
Будівництво
основних фондів;
3)
Оренди
(лізингу) необхідного обладнання та площі.
Кожен з цих
способів задовольняє потреби підприємства в поповненні його основних фондів,
але розмір витрат підприємства на кожен з них різний. Великий вплив на обсяг
витрат має і структура їх фінансування: за рахунок власних або залучених фінансових
ресурсів.
Операції спрямовані на задоволення потреби в прирості
основних фондів підприємства мають різноманітний та багатоплановий вплив на
фінансовий стан і результати його діяльності. Характер даного впливу
представлений в табл. 1.1.
Таблиця 1.1
Вплив операцій щодо
задоволення потреб в прирості основних фондів на фінансовий стан і результати
діяльності підприємства
|
Зміст операції
|
Вплив на фінансовий
стан і результати діяльності
|
|
|
Надходження основних фондів
|
|
Отримано
безкоштовно від юридичних та фізичних осіб
|
Збільшується розмір
власного капіталу, зростає фінансова стійкість підприємства, але підвищується
частка амортизаційних відрахувань та видатків на ремонт. При низькій
фондовіддачі отриманих основних фондів може зменшитися прибуток та
рентабельність.
|
|
Придбання основних
фондів за плату
|
Збільшуються
позаобігові активи, змінюється структура капіталу підприємства. В цілому
вповільнюється оборот всього капіталу, скорочуються розміри найбільш
ліквідних активів, погіршується платоспроможність. На величину видатків по
доставці та монтажу об'єктів зменшується чистий прибуток. Обігові кошти
збільшуються на суму сплаченого ПДВ
|
|
Довгострокова
оренда основних фондів
|
Збільшується сума
позаобігових активів і сума заборгованості перед орендодавцями. Періодично зменшується
грошова готівка на суму орендної плати і процента за оренду. На суму процента
зменшується чистий прибуток або фонд накопичення.
|
|
Поточна оренда
основних фондів
|
Збільшується сума
позаобігових активів і сума заборгованості перед орендодавцями. Періодично
зменшується грошова готівка на суму орендної плати і процента за оренду. На
суму процента зменшується чистий прибуток або фонд накопичення. Витрати
орендатора збільшуються на суму орендної плати, а також на суму витрат по
капітальному ремонту.
|
Вибуття основних
фондів
|
|
Безкоштовна оренда
основних фондів
|
Чистий прибуток,
або фонд накопичення, або нерозподілений прибуток минулих років зменшується
на величину залишкової вартості переданих основних фондів плюс витрати по
вибуттю плюс ПДВ. Зменшується сума основних фондів.
|
|
Внесення вкладу в статутний капітал дочірнього підприємства
|
Вклад по ціні угоди вище залишкової вартості призводить до росту
позареалізаційних доходів підприємства. Якщо навпаки – збитки відносять на
зменшення чистого прибутку або фонду накопичення.
|
|
Продаж основних
фондів
|
Формується
фінансовий результат (прибуток або збиток) від іншої реалізації, який
збільшує (зменшує) комерційний прибуток підприємства. Зменшується розмір
основних фондів, збільшується ліквідність балансу, прискорюється оборот
усього капіталу. Оптимальним варіантом є реалізація основних фондів по
ринковій вартості. Однак необхідно оцінити виробничу потребу підприємства в
об'єктах основних фондів, що реалізуються та можливості їх заміщення більш продуктивними.
|
|
Ліквідація основних
фондів
|
Фінансовий
результат виявляється по кожному об'єкту, що ліквідується. Власні джерела
підприємства зменшуються на суму недовнесеного в бюджет ПДВ і на суму
недоамортизації ліквідуємого об'єкта.
|
При виборі між
придбанням та орендою основних фондів необхідно мати на увазі, що ефективність
інвестицій в основні фонди залежить від багатьох факторів, серед яких
найважливішими є віддача вкладень, період окупності інвестицій, інфляція,
рентабельність інвестицій за весь період та окремі періоди, стабільність
надходжень коштів від вкладень, наявність інших, більш ефективних напрямків
вкладення капіталу (фінансові активи, валютні операції та інші).
П'ята задача –
раціоналізація експлуатації основних фондів підприємства.
Підвищення
ефективності використання основних фондів підприємства на стадії їх
експлуатації досягається за рахунок заходів:
1)
Здійснення
раціонального розміщення основних фондів, підвищення коефіцієнту змінності
(тривалості корисного використання) роботи обладнання;
2)
Покращення
контролю за дотриманням правил експлуатації та технічне обслуговування
обладнання;
3)
Удосконалення
добору та підготовки кадрів, що здійснюють експлуатацію та технічне
обслуговування обладнання;
4)
Впровадження
систем матеріального стимулювання робітників за безаварійну обладнання,
подовження ремонтного циклу та періоду експлуатації.
Таким чином,
основними задачами управління рухом основних фондів є підвищення рівня
обслуговування покупців, скорочення витрат їхнього часу на придбання товарів,
забезпечення зростання товарообороту підприємства, а також рівня рентабельності
його діяльності, покращення умов зберігання товарів та забезпечення
раціонального товароруху, збільшення прибутковості власного капіталу
підприємства.
РОЗДІЛ 2
ДОСЛІДЖЕННЯ РУХУ ОСНОВНИХ ФОНДІВ ТОРГІВЕЛЬНОГО
ПІДПРИЄМСТВА ТОВ “БАРС”
2.1 Аналіз наявності, складу та стану основних фондів
торгівельного підприємства
Обов’язковий склад основних
засобів торгівельного підприємства повинен задовольняти вимогам “Порядку
провадження торговельної діяльності та правила торговельного обслуговування
населення” [15], специфічний склад основних засобів залежить від видів
торгівельної діяльності та видів реалізуємої продукції.
Торгівельне
підприємство «БАРС» було засновано 15 квітня 1991 року і працює на ринку
запасних частин України більш 15 років, займається досить специфічним
торгівельним бізнесом, основним напрямком діяльності якого є реалізація
запасних частин для вантажних і легкових автомобілів, а також с/г техніки через
мережу власних філій і представників.
Відмінною рисою підприємства в
порівнянні з іншими подібними бізнесами є максимальна широта асортименту
пропонованої продукції. Підприємством позначається у своїй пропозиції порядку
40 000 позицій запасних частин.
За наявними
оцінками, ТОВ «БАРС» є одним із самих великих серед усіх підприємств працюючих,
на ринку запасних частин в Україні. Навіть у 2002 році філії підприємства
продовжували виділятися на ринку своїми високими стандартами організації
процесу роботи з клієнтами і рівнем сервісу, що були впроваджені ще в середині
90х років.
Підприємство
співробітничає з більш ніж з 800 постачальниками, а число споживачів складає
більш 100 тисяч.
Усі споживачі товарів і послуг
підприємства «БАРС» умовно розділені на наступні групи (рис.2.1):
1. Сільськогосподарські підприємства;
2. Промислові підприємства;
3. Автотранспортні і ремонтно-технічні
підприємства;
4. Бюджетні організації;
5. Фірми і приватні підприємства;
6. Приватні особи.
Перші чотири групи складають 70,5%
від числа всіх споживачів і дають 70,2% від обсягу реалізації, що, загалом, дозволяє
у визначених межах вважати дану класифікацію сегментацією по виробничо-технічних
ознаках і здійснювати усвідомлені маркетингові зусилля, аналізувати ринкову
ситуацію.
Якісний склад споживачів
обумовлений характером товарного асортименту ТОВ «БАРС» і протягом останнього
років залишається практично незмінним. Це порозумівається двома причинами:
1. Стабільністю якісного складу товарного асортименту;
2. Відсутністю, яких або зусиль, що починаються,
для освоєння нових сегментів ринку.
Рис. 2.1. Частка
різних груп споживачів у загальній кількості споживачів торгівельного бізнесу
ТОВ “БАРС”
Найбільший обсяг реалізації дають
споживачі з першої групи (сільськогосподарські підприємства) – 40,4% від обсягу
реалізації (при долі в загальній кількості споживачів 33,2%). Далі йдуть
промислові підприємства 21,5% обсягу реалізації при 29,1% від кількості
споживачів (рис.2.2).
Рис. 2.2. Частка
різних груп в обсязі реалізації й у загальній кількості споживачів ТОВ “БАРС”
Самий поверхневий аналіз показує,
що в підприємства є значні перспективи освоєння ринку запасних частин до
автомобільної техніки.
Головну
стратегічну мету підприємства на найближчі 3 роки можна сформулювати так:
до 2009 року
збільшення до 60% частки торгівельних операцій на ринку запасних частин
України;
зміцнення
стабільних лідируючих позицій на ринку України по обсягу продажів, охопленню і
рівневі обслуговування клієнтів ринку запасних частин для вантажних і легкових
автомобілів, с/г техніки і с/г устаткування.
Для досягнення
поставлених цілей керівництвом підприємства було прийняте рішення про
реструктуризацію підприємства, зокрема організація бізнесу оптової торгівлі й
інтеграції його в існуючу збутову мережу. Передбачається відкриття оптових
відділів, що дозволять максимально задовольняти потреби клієнтів шляхом
постачання необхідних товарів у великих обсягах і максимально короткі терміни.
Це також дозволить надавати своїм покупцям не тільки товари, але і широкий
спектр супутніх послуг: доставку продукції, передпродажну підготовку,
організацію заходів щодо стимулювання продажів.
Перспективи
розвитку ринку запасних частин в Україні на 20062009 року наступні:
1.
Загальні
тенденції:
Зростання
місткості ринку (за рахунок росту автопарку);
Збереження
випереджальних темпів росту продажів запчастин для автомобілів іноземного
виробництва в порівнянні з ростом продажів запчастин для автомобілів
вітчизняного виробництва;
Незначне
збільшення продажів запчастин для сільгосптехніки;
Збільшення
основними операторами займаних часток ринку.
2.
Тенденції
розвитку споживачів:
Структура
споживачів у цілому залишиться незмінної;
Середній обсяг
споживання на один суб'єкта буде рости по всіх групах споживачів;
3.
Тенденції
розвитку конкурентного середовища:
Активізується
процес розширення філіальних мереж;
Розширення
товарного асортименту основних операторів;
Активізується
дрібнооптова торгівля.
Основні напрямки
розвитку ТОВ «БАРС» на 2006 2009 роки:
1.
В області
розвитку бізнесу:
Організація
бізнесу оптової торгівлі
2.
В області
товарної політики:
Підвищення
наповнюваності асортименту;
Оптимізація
товарних залишків на складах філій відповідно до рівня попиту.
3.
В області
цінової політики:
Розробка
ефективного механізму ціноутворення;
Розробка
ефективної системи знижок і інших спеціальних цінових умов для різних цільових
сегментів.
4.
В області
просування:
Підвищення
лояльності клієнтів;
Проведення
сегментації споживачів ринку запасних частин і вироблення ефективних пропозицій
для кожного цільового сегмента;
Проведення
комплексної рекламної компанії, спрямованої на підвищення информированности
клієнтів про продукцію, пропонованої підприємством, а також на підвищення
іміджу компанії в споживача.
5.
В області
регіональної політики:
Зміна основного
напрямку з розширення мережі філій на її оптимізацію;
Детальний аналіз
ефективності кожної філії і визначення основних напрямків його розвитку;
Упровадження
більш ефективних схем торгівлі;
Проведення
товарної і цінової політики з урахуванням регіональних особливостей;
Аналіз переваг
конкурентів у регіонах і вироблення індивідуальної політики для кожної філії.
Товарна стратегія
Для реалізації
стратегічних планів, зв'язаних із продажем товару оптовими партіями
пропонується високоліквідний асортимент товарів вітчизняного виробництва і
країн ближнього зарубіжжя (група КАМАЗ, ГАЗ, ЯМЗ, ЗМЗ), а також імпортної
продукції, асортимент якої включає такі товари, як мастильні матеріали NESTE,
фільтри HENGST, ремені OPTIBELT, амортизатори і сайлентблоки SACHS (BOGE),
водяні насоси BUGATTI, манжети CORTECO, прокладки двигунів GLASER, присадки
RESTORE, акумулятори, свічі запалювання, щітки склоочисника, розпилювачі BOSCH,
приводи стартерів MONARK, лампи OSRAM, підшипники, ШРУСы, натяжні ролики
RUVILLE.
На сьогоднішній
день підприємство «БАРС» представляє на ринку України як продукцію вітчизняних
виробників, так і асортимент запасних частин виробників країн ближнього і
далекого зарубіжжя.
Пропонований
асортимент включає:
Автозапчасти для
легкових автомобілів;
Автозапчасти для
вантажних автомобілів;
Запчастини для
сільгосптехніки;
Супутні товари.
Структура
товарного портфеля компанії представлена на рис. 2.3.
Рис 2.3. Структура
товарного портфеля підприємства ТОВ «БАРС»
Як бачимо,
найбільшу частку в загальному обсязі продажів займають продажу запчастин для
вантажних автомобілів і сільгосптехніки. Це викликано тим, що протягом
тривалого періоду керівництво підприємства приділяло основну увагу саме цим
групам товару, і на даний момент підприємство має стійкі налагоджені зв'язки,
як з постачальниками даного виду продукції, так і з підприємствами-споживачами.
Але, з огляду на
динамікові розвитку ринку легкових автомобілів, у 2000 році керівництвом
компанії було прийняте рішення розширити асортиментний ряд пропонованої
продукції асортиментом запасних частин до легкових автомобілів вітчизняного й
іноземного виробництва. На сьогоднішній день продажу даної групи товарів
складають 15% у загальному обсязі продажів компанії при стійкій тенденції до
збільшення.
Цінова політика
Система
ціноутворення в оптовій торгівлі повинна сприяти планомірному захопленню частки
ринку, забезпечуючи встановлену норму прибутковості бізнесу. Середня
торговельна націнка компанії складає 33%.
При бажанні,
клієнти можуть одержувати продукцію на умовах самовивозу, у цьому випадку для
них передбачена знижка в розмірі 1% від суми закупівлі. Оплата продукції
клієнтами здійснюється на умовах відстрочки платежу на 7 днів з моменту
постачання. При закупівлях на умові передоплати надається знижка в розмірі 2%
від вартості замовлення.
Виробничий план
Планові показники
продажів на 2006 рік складають 78,25 млн. грн. Рівень резервного запасу
продукції на складі складає 20% від місячного обсягу продажів.
Оптовий і
роздрібний бізнес філій «БАРС» користується єдиними складськими і службовими
приміщеннями.
Доставка
продукції на склад філій здійснюється автомобільним транспортом. Загальна сума
витрат на транспортні і вантажно-розвантажувальні роботи складає
1 518 600 грн. у рік.
Відділ постачань
забезпечує безперервне постачання філій товарними запасами від виробників або,
у випадку неможливості, з інших джерел.
Чистий обсяг
продажів підприємства «БАРС» у 2005 р. склав 48 млн. грн. При цьому чистий
прибуток за 2005 рік склала 6,62 млн. грн. Порівняння основних фінансових
показників діяльності компанії за 2005 рік із планованими показниками на 2006
рік представлено в табл. 2.1.
Таблиця 2.1
Порівняння
основних фінансових показників підприємства ТОВ «БАРС»
|
Показник
|
Один.вим.
|
2005 рік
|
План на 2006 рік
|
|
Чистий обсяг
продажів
|
грн.
|
48 256 452,76
|
65 208 333,33
|
|
Сумарні прямі
витрати
|
грн.
|
29 356 458,24
|
43 689 583,33
|
|
Сумарні постійні
витрати
|
грн.
|
8 956 784,58
|
9 276 091,00
|
|
Інші витрати
|
грн.
|
485 654,35
|
344 560,75
|
|
Оподатковуваний
прибуток
|
грн.
|
9 457 555,59
|
11 898 098,25
|
|
Податок на прибуток
|
грн.
|
2 837 266,68
|
3 569 429,47
|
|
Чистий прибуток
|
грн.
|
6 620 288,91
|
8 328 668,47
|
Як бачимо з табл.
2.1, організація оптового бізнесу дозволить збільшити на 1,7 млн. грн. чистий
прибуток компанії за рахунок значного приросту валового обсягу продажів.
Доходи,
одержувані від продажів продукції, визначаються співвідношенням відпускних цін
на продукцію з цінами закупівлі. Розрахунок надходжень від продажів продукції
представлений у Додатку A. Доходи формуються за рахунок реалізації продукції і, отже, є поточними.
До складу
поточних витрат включаються витрати на доставку, збут, просування продукції, а
також заробітна плата співробітників відділу оптової торгівлі.
Плановий звіт про
прибутки і збитки представлений у табл. 2.1. Чистий прибуток за 2006 рік складе
8,3 млн. грн.
Для забезпечення
описаного торгівельного бізнесу ТОВ “БАРС” його основні фонди структурно
розподіляються на наступні групи (таблиці на рис. 2.4 – 2.6).
В розрахунках таблиць рис. 2.42.6 основні фонди
підлягають розподілу за такими групами [3]:
група
1
-
будівлі,
споруди, їх структурні компоненти та передавальні пристрої, в тому числі жилі
будинки та їх частини (квартири і місця загального користування), вартість
капітального поліпшення землі;
група
2
-
автомобільний
транспорт та вузли (запасні частини) до нього; меблі; побутові електронні,
оптичні, електромеханічні прилади та інструменти, інше конторське (офісне)
обладнання, устаткування та приладдя до них;
група
3
-
будьякі
інші основні фонди, не включені до груп 1, 2 і 4;
група
4
-
електронно-обчислювальні
машини, інші машини для автоматичного оброблення інформації, пов'язані з ними
засоби зчитування або друку інформації, інші інформаційні системи, комп'ютерні
програми, телефони (у тому числі стільникові), мікрофони і рації, вартість яких
перевищує вартість малоцінних товарів (предметів).
Сума
амортизаційних відрахувань звітного періоду визначається як сума амортизаційних
відрахувань, нарахованих для кожного із календарних кварталів, що входять до
такого звітного періоду (далі розрахункові квартали).
Сума
амортизаційних відрахувань кварталу, щодо якого проводяться розрахунки
(розрахунковий квартал), визначаються шляхом застосування норм амортизації до
балансової вартості груп основних фондів на початок такого розрахункового
кварталу.
Балансова
вартість групи основних фондів (окремого об'єкта основних фондів групи 1) на
початок розрахункового кварталу визначається за формулою:
Б(а)
= Б(а1) + П(а1) В(а1) А(а1), (2.1)
де:
Б(а)
балансова вартість групи (окремого об'єкта основних фондів групи
1)
на початок розрахункового кварталу;
Б(а1)
балансова вартість групи (окремого об'єкта основних фондів
групи
1) на початок кварталу, що передував розрахунковому;
П(а1)
сума витрат, понесених на придбання основних фондів,
здійснення
капітального ремонту, реконструкцій, модернізацій та інших поліпшень основних
фондів, що підлягають амортизації, протягом кварталу, що передував
розрахунковому;
В(а1)
сума виведених з експлуатації основних фондів (окремого об'єкта основних фондів
групи 1) протягом кварталу, що передував розрахунковому;
А(а1)
сума амортизаційних відрахувань, нарахованих у кварталі, що передував
розрахунковому.
Облік
балансової вартості основних фондів, які підпадають під визначення групи 1,
ведеться по кожній окремій будівлі, споруді або їх структурному компоненту та в
цілому по групі 1 як сума балансових вартостей окремих об'єктів такої групи.
Облік
балансової вартості основних фондів, які підпадають під визначення груп 2, 3 і
4, ведеться за сукупною балансовою вартістю відповідної групи основних фондів
незалежно від часу введення в експлуатацію таких основних фондів.
Амортизація
окремого об'єкта основних фондів групи 1 провадиться до досягнення балансовою
вартістю такого об'єкта ста неоподатковуваних мінімумів доходів громадян.
Залишкова вартість такого об'єкта відноситься до складу валових витрат за
результатами відповідного податкового періоду, а вартість такого об'єкта
прирівнюється до нуля.
Амортизація
основних фондів груп 2, 3 і 4 провадиться до досягнення балансовою вартістю
групи нульового значення.
Норми
амортизації встановлюються у відсотках до балансової вартості кожної з груп
основних фондів на початок звітного (податкового) періоду в такому розмірі (в
розрахунку на податковий квартал):
група
1 2 відсотки;
група
2 10 відсотків;
група
3 6 відсотків;
група
4 15 відсотків.
Рис.2.4. Склад та рух
основних фондів підприємства ТОВ “БАРС” у 2003 році

Рис.2.5. Склад та рух
основних фондів підприємства ТОВ “БАРС” у 2004 році

Рис.2.6. Склад та рух
основних фондів підприємства ТОВ “БАРС” у 2005 році
Дані про місце
основних фондів ТОВ “БАРС” в складі активів
підприємства наведені в табл. 2.2:
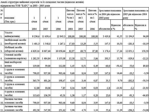
Таблиця 2.2

Аналіз місця основних фондів в складі
активів ТОВ “БАРС
Як
видно з табл. 2.2., вартість активів ТОВ “БАРС” за останні роки збільшилась на
14 614,8 тис. грн. а вартість необоротних активів зменшилась на 134,3 тис.
грн., в тому числі за рахунок зменшення основних фондів на 127,3 тис. грн.
Питома
вага основних фондів в неооборотних активах зменшилась від 91,5 % до 91,16%, а
в загальній вартості активів від 15,58% до 5,06%.
Зменшення
питомої ваги основних фондів в активах свідчить про більш високі темпи
залучення оборотних фондів і вимагає подальшого аналізу так як наслідком цього
факту може бути підвищення ліквідності підприємства (основні фонди мають
найменшу серед усіх активів ліквідність).
Іншим
наслідком зменшення питомої ваги основних фондів в обсязі активі підприємства
може стати зростання їх рентабельності.


Рис.2.7. Динаміка структури
основних фондів ТОВ “БАРС” у 2003 – 2005 роках
При
аналізі наявності, складу та стану основних фондів торговельного підприємства
першочергове значення має визначення питомої ваги в загальному обсязі основних
фондів:
основних
виробничих фондів – показує ступінь орієнтації основних фондів на господарську
діяльність підприємства;
основних
невиробничих фондів – показує ступінь розвитку соціальної інфраструктури
підприємства;
активної
частини основних фондів – показує ступінь технічного оснащення господарської
діяльності підприємства;
пасивної
частини – показує ступінь забезпечення матеріальних умов для діяльності
підприємства;
власних
основних фондів – ступінь господарської незалежності підприємства;
орендованих
основних засобів – ступінь залежності підприємства від орендодавців;
фондів, що
фактично використовуються в господарчій діяльності – ступінь освоєння
можливостей матеріального потенціалу підприємства;
фондів, що
передані в оренду – ступінь відволікання основних фондів для обслуговування
виробничих потреб інших суб'єктів господарювання;
фондів, що не
використовуються (тимчасово або постійно) – показує ступінь безгосподарності
підприємства в використанні основних фондів.
Розрахунок цих
показників для ТОВ “БАРС” за 2003 – 2005 р.р. наведений у табл. 2.3.
Таблиця 2.3
Аналіз стану та
складу основних фондів ТОВ “БАРС”
|
№ п.п.
|
Група основних фондів
|
Питома вага в загальному обсязі ОФ, тис.грн
|
Середньорічний темп приросту,%
|
|
2003 р.
|
2004 р.
|
2005 р.
|
|
1.
|
Основні виробничі фонди
|
1 282,35
|
1 484,84
|
1 155,08
|
3,21
|
|
2.
|
Основні невиробничі
фонди
|
119,00
|
59,00
|
112,00
|
19,7
|
|
3.
|
Активна частина ОФ
|
492,30
|
547,90
|
251,62
|
21,39
|
|
4.
|
Пасивна частина ОФ
|
790,05
|
937,00
|
903,46
|
7,51
|
|
5.
|
Власні ОФ
|
1 282,35
|
1 484,84
|
1 155,08
|
3,21
|
|
6.
|
Орендовані ОФ
|
0,0
|
0,0
|
0,0
|
|
|
7.
|
Фонди, що фактично
використовуються в господарчій діяльності
|
1 282,35
|
1 484,84
|
1 155,08
|
3,21
|
|
8.
|
Фонди, що передані
в оренду.
|
0,0
|
0,0
|
0,0
|
|
|
9.
|
Фонди, що не
використовуються (тимчасово, або постійно)
|
0,0
|
0,0
|
0,0
|
|
|
10.
|
Разом необоротних
фондів
|
1 401,3
|
1 548,8
|
1 267,1
|
3,83
|
Структура
основних фондів торговельних підприємств характеризується переважанням частки
виробничих фондів над невиробничими. Як показано в табл.2.2 та на графіках
рис.2.7, найбільшу питому вагу в структурі виробничих фондів займає перша група
– будівлі, споруди, їх структурні компоненти та передавальні пристрої. Протягом
останніх років їх частка зросла від 61,6 % до 78,22 %, при чому з стійкою
зростаючою тенденцією.
2.2 Дослідження інтенсивності відновлення основних фондів
торгівельного підприємства
Для аналізу
ступеню зносу основних фондів використовуються такі загальні показники:
1. Коефіцієнт зносу
основних фондів, який визначається як відношення суми зносу основних фондів до
первинної або відтворювальної вартості. Цей коефіцієнт характеризує ступінь
зносу основних фондів та відшкодування витрат на формування основних фондів.
2. Коефіцієнт
придатності характеризує можливість подальшого використання, ступінь
невідшкодування витрат на формування основних фондів
При аналізі
інтенсивності відновлення основних фондів використовуються такі показники:
1.
Коефіцієнт
оновлення основних фондів показує питому вагу введених основних фондів в їх загальному наявному
обсязі.
2.
Коефіцієнт
вибуття основних фондів характеризує
питому вагу вибуття основних фондів в їх загальному обсязі.
Результати
розрахунків для ТОВ „БАРС” наведені в табл.2.4 – 2.6 для 2003 – 2005 років.
За результатами
розрахунків ступінь придатності основних фондів на кінець 2005 року становить:
по І групі ОФ –
56,42% 61,98%;
по ІІ групі ОФ –
17,31% 26,83%;
по ІІІ групі ОФ –
43,87% ;
по ІV групі ОФ – 9,95% 25,06%;
Стан ОФ
характеризується як „нові” при коефіцієнті придатності вище 75%, тобто у
підприємства ТОВ „БАРС” ОФ по групам ІІ та ІV мають стадію „сильне зношення” та
„критичне зношення” і потребують інтенсивного відновлення в першу чергу.
Таблиця 2.4
Характеристика
руху основних засобів в ТОВ “БАРС” у 2003 році

Таблиця 2.5

Характеристика руху
основних засобів в ТОВ “БАРС” у 2004 році
Таблиця 2.6

Характеристика руху
основних засобів в ТОВ “БАРС” у 2005 році
Темпи оновлення,
списання та амортизації ОФ в ТОВ „БАРС” у 2003 2005 роках характеризуються
наступними показниками:
а) Коефіцієнти
оновлення :
2003 рік = 0,106
2004 рік = 0,192
2005 рік = 0,017
б) Коефіцієнти
вибуття (списання та продаж) та амортизації :
2003 рік = 0,040
/ 0,146
2004 рік = 0,009
/ 0,112
2005 рік = 0,045
/ 0,0929
Таким чином,
темпи оновлення ОФ в ТОВ „БАРС” є нижчими, ніж темпи вибуття ОФ.
2.3 Оцінка ефективності використання основних фондів
торгівельного підприємства
Формування відтворювальних процесів на підприємстві
повинне базуватися на умові досягнення економічного ефекту.
Оцінка
ефективності використання основних фондів є важливим завданням у здійсненні
управління основними фондами підприємства. Створена в економічній науці та
практиці система показників оцінки рівня та ефективності використання основних
фондів дозволяє отримати кількісні значення оцінок як в цілому по підприємству,
так і за окремими групами основних фондів.
Розглянемо
основні показники діяльності підприємства та їх динаміку за останні 3 роки,
табл. 2.7
Таблиця 2.7
Аналіз показників ефективності
використання основних фондів в ТОВ “БАРС”
|
Показники
|
Періоди
|
Абсолютне
відхилення, тис.грн.
|
Темп
росту, %
|
|
2003
|
2004
|
2005
|
0403
|
0504
|
04/03
|
05/04
|
|
Товарообіг в
фактичних цінах, тис. грн.
|
14 694,0
|
27 868,10
|
50 669,27
|
13 174,01
|
22 801,17
|
189,66
|
181,82
|
|
Комерційний дохід,
тис.грн.
|
5 480,99
|
10 394,99
|
18 899,99
|
4 914,00
|
8 505,00
|
189,66
|
181,82
|
|
Чистий прибуток,
тис.грн.
|
1 919,885
|
3 641,162
|
6 620,294
|
1 721,28
|
2 979,13
|
189,66
|
181,82
|
|
Середньорічна
вартість ОФ, тис.грн
|
1 135,185
|
2 526,920
|
2 744,370
|
1 391,74
|
217,45
|
222,60
|
108,61
|
|
Фондовіддача,
тис.грн./тис.грн.
|
12,944
|
11,028
|
18,463
|
1,92
|
7,43
|
85,20
|
167,41
|
|
Дохідність ОФ, %
|
482,829
|
411,370
|
688,682
|
71,46
|
277,31
|
85,20
|
167,41
|
|
Рентабельність ОФ,
%
|
169,125
|
241,232
|
25,03
|
97,14
|
85,20
|
167,41
|
|
Фондомісткість,
тис.грн./тис.грн.
|
0,077
|
0,091
|
0,054
|
0,01
|
0,04
|
117,37
|
59,73
|
|
Чисельність персоналу, чол
|
342
|
378
|
406
|
36,00
|
28,00
|
110,53
|
107,41
|
|
Фондоозброєність праці
тис.грн./чол.
|
3,32
|
6,68
|
6,76
|
3,37
|
0,07
|
201,40
|
101,12
|
|
Продуктивність праці, тис.грн./чол.
|
42,97
|
73,73
|
124,80
|
30,76
|
51,08
|
171,59
|
169,28
|
Як показують розрахунки, наведені в табл.2.7, у 2004 році
темп росту фондоозброєності 201,4% перевищив темп росту продуктивності праці
(171,6%), але у наступному 2005 році проведене оновлення ОФ 2004 року привело
до значного перевищення темпу росту продуктивності праці 169,3% над темпом
росту фондоозброєності, який за рахунок додаткового росту чисельності
працівників практично залишився на тому ж рівні (101,1%).
Аналогічна картина склалася з показником фондовіддачі ОФ,
який у 2004 році знизився з рівня 12,94 тис.грн./тис.грн. (2003) до 11,03
тис.грн./тис.грн., а у 2005 році зріс до рівня 18,46 тис.грн./тис.грн.
Зростання товарообігу та обсягу ОФ характеризується:
зростанням товарообігу на 89,7% у 2004 році відносно 2003
року та зростанням на 81,8% у 2005 році відносно рівня 2004 року;
випереджаючим зростанням обсягу ОФ на 122,6% у 2004 році
відносно рівня 2003 року та запізнючим зростанням обсягу ОФ на 8,6% у 2005 році
відносно рівня 2004 року.
Проведена оцінка ефективності використання основних
фондів торговельного підприємства є одним з найважливіших етапів аналізу
управління основними фондами на підприємстві. Вона є інформаційною базою для
прийняття рішень щодо розробки політики управління рухом основних фондів, а
саме оцінки передумов розробки політики, планування потреби в основних фондах
та визначені джерел задоволення цієї потреби.
РОЗДІЛ 3
РОЗРОБКА ПОЛІТИКИ УПРАВЛІННЯ РУХОМ ОСНОВНИХ
ФОНДІВ ТОРГІВЕЛЬНОГО ПІДПРИЄМСТВА
3.1 Оцінка планових передумов розробки політики управління
рухом основних фондів торгівельного підприємства
Необхідною складовою частиною оцінки планових передумов
політики управління рухом основних фондів є плановий їх баланс. Плановий баланс
– це система показників, яка відображає наявність основних фондів на початок і
кінець періоду, що планується, їх надходження за джерелами, формування і
вибуття в цьому ж періоді за напрямками і причинами.
При розробці балансу враховуються заходи з мобілізації
резервів підвищення ефективності діючих основних фондів і координація потреб в
нових фондах; обґрунтовується обсяг і структура планового вибуття основних
фондів. Рішення цих задач зводиться до максимізації ефективності формування і
використання основних фондів, їх прибутковості. Розроблений план-прогноз
повинен забезпечувати досягнення стратегічних цілей розвитку основних фондів.
Він являється основою одного з напрямків інвестиційної діяльності підприємств
[18].
Прийняття плану-прогнозу розвитку основних фондів
передбачає необхідність формування амортизаційної політики, яка в певній мірі
регулює майбутні відтворювальні процеси підприємства.
Як показали результати аналізу (розділ 2) діяльності
підприємству ТОВ “БАРС” необхідно збільшувати показник прогресивності основних
фондів, тобто збільшувати їх активну частину. Для розширення діяльності і
збільшення товарообороту підприємству, враховуючи великий рівень зношення
основних фондів 2 та 4 груп, необхідно придбати такі нові основні фонди, як
насамперед транспортні засоби, обладнання, електронно-обчислювальні машини з
метою полегшення торгового і управлінського процесів. Адже ці види основних
фондів значно застарілі і майже повністю амортизовані. Витрати на їх утримання
та ремонт перевищують вигоду, отриману від їх використання. Таке становище
спостерігається у більшості підприємств, що займаються таким видом діяльності.
Нажаль, коштів не вистачає для того, щоб придбати більш новітні та прогресивні
фонди. І це значно зменшує можливості підприємства збільшувати рентабельність і
загальну результативність своєї діяльності. Тому при розробці політики
управління рухом основних фондів треба не лише обґрунтовувати потребу
підприємства в основних фондах, а й реально оцінювати джерела фінансових
ресурсів, за рахунок яких можна задовольнити таку потребу.
В 2006 році підприємство ТОВ “БАРС” планує збільшити
обсяги діяльності за рахунок розширення асортиментної структури товарів, що
реалізуються, та збільшення обсягів дрібнооптового товарообороту.
В плановому періоді (2006 рік) обсяг товарообороту
планується збільшити на 35,1% (з рівня 48 256,452 тис. грн. до
65 208,333 тис. грн. – табл.2.1) за рахунок збільшення торговельних площ
складів-магазинів філій 1 – 5 на 265 квадратних метрів кожний (типовий оптовий
ангар – магазин) та розширення асортименту продукції, що реалізується.
Збільшення площі відбудеться за рахунок будування додаткового приміщення.
Асортимент продукції буде розширено за рахунок збільшення кола постачальників,
на основі вивчення попиту споживачів та цін і асортименту продукції підприємств-конкурентів,
активізації рекламної діяльності.
Важливою частиною планування показників діяльності
підприємства на 2005 рік є розрахунок планової вартості основних фондів
підприємства (табл.3.1).
Таблиця 3.1
Розрахунок планової вартості та руху основних фондів
підприємства
ТОВ “БАРС” на 2006 рік, тис. грн.
В результаті запланованого руху основних фондів у 2006
році:
1. Обсяг введених ОФ становитиме 950,9 тис.грн.
2. Обсяг вибуття 0
3. Коефіцієнт оновлення ОФ становитиме 0,260, тобто 26%
4. Коефіцієнт вибуття 0
5. Сума амортизації ОФ за рік становитиме 7,67%
6. Рівень придатності ОФ на кінець 2006 року становитиме
49,9%
7. Залишкова вартість основних фондів на кінець 2006 року
становитиме
1 825,409 грн.
Показники попереднього (2005 року) становили:
1. Обсяг введених ОФ 45,9 тис.грн.
2. Обсяг вибуття ОФ – 124,1 тис.грн.
3. Коефіцієнт оновлення ОФ становив 0,017, тобто 1,7%
4. Коефіцієнт вибуття ОФ становив 0,045, тобто 4,5%
5. Сума амортизації ОФ за рік становила 9,3%
6. Рівень придатності ОФ на кінець 2005 року становив
42,7%
7. Залишкова вартість основних фондів на кінець 2005 року
становив
1 155,1 грн.
Отже, в плановому періоді (2006) середньорічна вартість
основних фондів підприємства збільшиться на 670,3 тис. грн. (на 58,02% відносно
рівня 2005 року) за рахунок збільшення пасивної частини основних виробничих
фондів на 279,6 тис. грн. (41,7%) та активної частини на 390,6 тис.
грн.(58,3%), тобто політика оновлення основних фондів передбачає підвищення
частки активних ОФ, які є найбільш зношені.
Враховуючи планові показники доходності і прибутковості
підприємства ТОВ „БАРС” у 2006 році (табл.2.1) та прогнозний оновлювальний рух
основних фондів на 2006 рік (табл.3.1), розрахуємо прогноз основних показників
ефективності використання основних фондів на торговельному підприємстві на 2006
рік.
Таблиця 3.2
Планові показники ефективності використання основних
фондів ТОВ “БАРС” у 2006 році відносно 2005 року
|
Показники
|
2005 р.
|
2006 р.
|
Абсолютне відхилення, +
|
Темп приросту, %
|
|
Товарообіг в фактичних цінах,
тис. грн.
|
50 669,27
|
68 468,75
|
17 799,47
|
135,13
|
|
Комерційний дохід, тис.грн.
|
18 899,99
|
25 514,99
|
6 615,00
|
135,00
|
|
Чистий прибуток, тис.грн.
|
6 620,29
|
8 328,70
|
1 708,41
|
125,81
|
|
Середньорічна вартість ОФ,
тис.грн
|
1 319,96
|
1 490,20
|
170,24
|
112,90
|
|
Активна частина основних фондів,
тис.грн.
|
251,62
|
642,30
|
390,68
|
255,27
|
|
Прогресивність ОФ,%
|
19,06
|
43,10
|
24,04
|
226,10
|
|
Фондовіддача, тис.грн./тис.грн.
|
38,39
|
45,95
|
7,56
|
119,69
|
|
Дохідність ОФ, %
|
1 431,858
|
1 712,186
|
280,33
|
119,58
|
|
Рентабельність ОФ, %
|
501,552
|
558,898
|
57,35
|
111,43
|
|
Фондомісткість,
тис.грн./тис.грн.
|
0,026
|
0,022
|
0,00
|
83,55
|
|
Чисельність персоналу, чол
|
406
|
445
|
39,00
|
109,61
|
|
Фондоозброєність
праці тис.грн./чол.
|
3,25
|
3,35
|
0,10
|
103,00
|
|
Продуктивність праці,
тис.грн.чол.
|
124,80
|
153,86
|
29,06
|
123,29
|
Отже, в плановому
періоді ефективність використання основних фондів підприємства дещо
поліпшиться. В результаті більш швидкого збільшення обсягу товарообороту
підприємства (+35,1%) ніж середньорічної вартості основних фондів (+12,9%) фондовіддача
основних фондів збільшиться на 19,7%, а фондоємкість – зменшиться на 16,5 %.
При рості фондоозброєності на 3,0%, продуктивність праці збільшиться на 23,3%
за рахунок більшої продуктивності нових основних фондів.
3.2 Визначення обсягів вибуття та введення основних фондів
торгівельного підприємства
Формування
активів торговельного підприємства пов'язано з трьома основними етапами його
розвитку [ 4 ]:
1.
Створенням
нового підприємства;
2.
Реконструкцією
та модернізацією діючого підприємства;
3.
Створенням
нових структурних одиниць (магазинів, філій тощо) діючого підприємства.
Другий та третій
етапи формування активів являють собою форми інвестиційної діяльності
підприємства. Основою визначення потреби в
основних фондах є запланований обсяг приросту активів, торговельного підприємства в розрізі
основних їх видів, що забезпечує приріст обсягу
його господарської діяльності. Об'єктом реального інвестування є приріст основних коштів, що звичайно планується,
і нематеріальних активів. Обсяг цього
приросту уточнюється з урахуванням динаміки і обсягу
раніше незакінченого капітального будівництва (незавершених капітальних
вкладень).
Визначення
потреби підприємства в окремих видах активів торговельного підприємства
здійснюється в процесі розробки бізнес плану його проекту.
Потреба в основних
фондах розраховується диференційовано, в розрізі таких їх видів:
-
будівлі, приміщення
та споруди;
-
машини та
обладнання;
-
інші види
основних фондів.
В основу
розрахунку мають бути покладені наступні показники [ 9 ]:
-
плановий
обсяг і склад реалізації товарів;
-
технології
товароруху і методи продажу товарів, що використовуються на підприємстві;
-
експлуатаційна
продуктивність окремих видів машин, механізмів та обладнання;
-
ринкова
вартість окремих видів основних засобів;
-
вартість
установки машин, механізмів та обладнання.
Принципова
формула розрахунку потреби в окремих видах обладнання має такий вигляд:
Поб = Рп * Во
/ ПРе + У ( 3.1 )
де Поб потреба в
обладнанні (в вартісному вимірюванні);
Рп плановий обсяг
реалізації товарів;
ПРе експлуатаційна
продуктивність даного виду обладнання (що виражена у вартісному обсязі
товарів);
Во ринкова
вартість одиниці даного виду обладнання;
У вартість
установки даного виду обладнання.
Орендовані види
основних засобів із розрахункової потреби виключаються.
Як вже
зазначалося вище, розвиток (відтворення) основних фондів торговельного
підприємства здійснюється на простій або розширеній основі.
Просте
відтворення основних фондів передбачає їх поновлення в межах накопичено суми
амортизаційних відрахувань – вартість їх в процесі відтворення не збільшується.
Розширене
відтворення основних фондів являє собою введення в дію нових їх видів не тільки
за рахунок амортизаційних відрахувань, але і за рахунок інших фінансових ресурсів
– вартість їх в процесі такого відтворення зростає.
Загальна потреба в
процесі відтворення основних фондів періоді що планується в процесі розширеного
їх відтворення визначається за формулою:
DПоф
= ЗПоф – Ноф + Вф + Вм ( 3.2 )
де DПоф загальна потреба в
прирості основних фондів в плановому періоді;
ЗПоф загальна потреба в основних фондах у відповідності з
плановим розвитком товарообороту в плановому періоді (визначається шляхом множення
планової суми реалізації на показник фондоємкості);
Ноф – наявність
основних фондів на початок планового періоду;
Вф – вибуття
основних фондів в зв'язку з їх фізичним зношенням;
Вм – вибуття
основних фондів в зв'язку з їх моральним зношенням;
Розрахуємо
потребу в основних фондах для ТОВ “Барс” на 2005 рік. Для визначення потреби
скористуємося даними про план товарообороту на 2005 р. та фондомісткістю. Суму
товарообороту розподілимо між окремими групами основних фондів пропорційно їх
вартості. Дані розрахунку наведені в табл.3.1
Як
видно з табл.3.1, в зв'язку із збільшенням товарообороту в плановому періоді
(2006 р.), для забезпечення ефективної діяльності підприємства, ТОВ “БАРС”
потребує введення основних фондів на загальну суму 950,9 тис. грн. В тому
числі:
-
ОФ І
групи – 370,0 тис. грн.
-
ОФ ІІ
групи 350,0 тис. грн.
-
ОФ ІІІ
групи – 0 тис. грн.
-
ОФ ІV групи – 230,9 тис. грн.
Нараховані за
2006 фонди амортизації на відновлення основних фондів складуть суму в 280,57
тис.грн., інші кошти підприємство повинно інвестувати з інших джерел.
Таким чином
визначення обсягів вибуття та введення основних фондів торговельного
підприємства є одним з найважливіших етапів в розробці політики управління
рухом основних фондів торговельного підприємства – надлишок основних фондів
зв'язує частину оборотних засобів підприємства, що впливає на ефективність
діяльності, недостатня кількість – не дозволяє підприємству належним чином
виконувати всі свої функції.
3.3 Обґрунтування вибору форм задоволення потреби торгівельного
підприємства в прирості основних фондів
Визначення форм
задоволення потреби у прирості основних фондів:
Потреба у
прирості основних фондів може бути задоволена торговим підприємством двома
шляхами [ 14 ]:
а) придбання
нових видів основних засобів у власність підприємства (сюди ж відноситься і
будівництво власних будівель і споруд);
б) оренди
(лізингу). Приріст власних основних фондів буде визначати лише їх придбання у
власність торговельного підприємства. Він визначається за формулою:
DПВоф
= D Поф – Ооф ( 3.3 )
де DПВоф – необхідний приріст
власних основних фондів в плановому періоді;
DПоф – загальна потреба в
прирості основних фондів в плановому періоді;
Ооф – потреба в
прирості основних фондів, що задовольняється шляхом їх оренди (лізингу).
Придбання
основних фондів у власність підприємства є реальними інвестиціями цього
підприємства, які можуть здійснювати у різних формах. Форми реального інвестування визначаються в розрізі основних видів
інвестиційних операцій. На підприємствах торгівлі реальні інвестиції здійснюються звичайно в таких основних формах [ 4 ]:
1) придбання цілісних
майнових комплексів. Воно являє собою інвестиційну операцію великих торгових
підприємств, що забезпечує товарну або регіональну диверсифікацію їх
діяльності. У випадках із здійснюваним процесом приватизації, а також банкрутством окремих торгових підприємств придбання
цілісних майнових комплексів отримує
все більший розвиток;
б) нове будівництво. Воно являє собою інвестиційну операцію, пов'язану з
будівництвом нового об'єкта із закінченим технологічним циклом по
спеціально розробленому або типовому проекту на територіях, що спеціально
вводяться. До нового будівництва торгове
підприємство прибігає при кардинальному збільшенні обсягів своєї діяльності в майбутньому періоді, її товарній або
регіональній диверсифікації (створенні філіали, дочірніх підприємств і т.п.);
в) реконструкція. Вона являє собою інвестиційну операцію,
пов'язану з істотним перетворенням торговотехнологічних процесів на основі
сучасних науковотехнічних досягнень. Вона здійснюється
відповідно до комплексного плану реконструкції торговельного підприємства з метою збільшення його пропускної
спроможності, підвищення рівня торгового
обслуговування покупців, впровадження ресурсозберігаючих
технологій і т.п. В процесі реконструкції може здійснюватися розширення окремих торгових
і неторгових будівель і приміщень
(якщо нове технологічне обладнання не може бути розміщене в діючих
приміщеннях); будівництво нових будівель і споруд
того ж призначення на зміну що ліквідуються
на території діючого торговельного підприємства, подальша
експлуатація яких по технологічних або економічних причинах визнана недоцільною;
г) модернізація. Вона являє собою інвестиційну операцію, пов'язану
з вдосконаленням і приведенням активної частини
основних виробничих фондів в стан,
відповідний сучасному рівню здійснення торговотехнологічних процесів, шляхом
конструктивних змін всього парку контрольнокасових апаратів, холодильного або
ваговимірювального обладнання, а також
інших видів машин, механізмів і обладнання,
що використовуються торговим
підприємством;
д) придбання окремих видів
матеріальних або нематеріальних активів. Воно являє собою інвестиційну
операцію, пов'язану з оновленням (в зв'язку з фізичним зносом) або збільшенням
(в зв'язку із зростанням об'єму діяльності) окремих видів матеріальних активів;
придбанням нової програмної продукції,
торгових знаків, патентів, "ноухау"
і інших нематеріальних активів, що забезпечує зростання
ефективності торгової діяльності в майбутньому періоді.
Всі форми реальних інвестицій (крім останньої) розглядаються як реальні інвестиційні проекти (остання форма
об'єднується по сукупності окремих вкладень в різні інвестиційні програми
оновлення або розширення матеріальних або нематеріальних активів).
На рис.3.1 3.3 на
основі планових розрахунків (табл.3.1) наведена деталізація необхідних коштів
для придбання основних фондів у 2006 році. При цьому основні фонди І групи
можна спланувати взяти в оренду, інші основні фонди потрібно купувати.
Нараховані за
2006 фонди амортизації на відновлення основних фондів складуть суму в 280,57
тис. грн., інші кошти підприємство повинно інвестувати з інших джерел. Оскільки
плановий чистий прибуток 8,3 млн. грн., можливість інвестування коштів у
розмірі 700 тис. грн. з чистого прибутку у підприємства ТОВ „БАРС” є.
Рис.3.1. Планова
необхідність в ОФ І групи на 2006 рік в ТОВ „БАРС” (можлива оренда будівель та споруд)
Рис.3.2. Планова
необхідність в ОФ ІІ групи на 2006 рік в ТОВ „БАРС” (інвестиції в придбання)
Рис.3.3. Планова
необхідність в ОФ ІV групи на
2006 рік в ТОВ „БАРС”(інвестиції в придбання)
ВИСНОВКИ І ПРОПОЗИЦІЇ
Рух
основних фондів на торговельному підприємстві являє собою проходження основними
фондами всіх етапів циклу відтворення – проміжку часу, протягом якого
відбувається процес формування, використання та відновлення споживчої вартості
основних фондів.
Основними
завданнями управління рухом основних фондів є:
1.
Аналіз стану та
ефективності використання основних фондів на торговельному підприємстві.
2.
Визначення розміру потреби
в прирості основних засобів.
3.
Обгрунтування ремонтної
політики підприємства.
4.
Вибір форми задоволення
потреби в прирості основних фондів.
5.
Раціоналізація
експлуатації основних фондів підприємства.
Зібравши
і обробивши реальні дані бухгалтерського і управлінського обліку, матеріалів
статистичної звітності щодо руху основних фондів об'єкту дослідження ТОВ
“БАРС”, в курсовій роботі проведено аналіз наявності, складу та стану основних
фондів. Виявлено:
1.
Вартість активів ТОВ “БАРС” за останні роки збільшилась на 14614,8 тис. грн. а
вартість необоротних активів зменшилась на 134,3 тис. грн., в тому числі за
рахунок зменшення основних фондів на 127,3 тис. грн.
Питома
вага основних фондів в неооборотних активах зменшилась від 91,5 % до 91,16%, а
в загальній вартості активів від 15,58% до 5,06%.
Зменшення
питомої ваги основних фондів в активах свідчить про більш високі темпи
залучення оборотних фондів і вимагає подальшого аналізу так як наслідком цього
факту може бути підвищення ліквідності підприємства (основні фонди мають
найменшу серед усіх активів ліквідність). Іншим наслідком зменшення питомої
ваги основних фондів в обсязі активі підприємства може стати зростання їх
рентабельності.
2. Найбільшу
питому вагу в структурі виробничих фондів займає перша група – будівлі,
споруди, їх структурні компоненти та передавальні пристрої. Протягом останніх
років їх частка зросла від 61,6 % до 78,22 %, при чому з стійкою зростаючою
тенденцією.
3. За
результатами розрахунків ступінь придатності основних фондів на кінець 2005
року становить:
по І групі ОФ –
56,42% 61,98%;
по ІІ групі ОФ –
17,31% 26,83%;
по ІІІ групі ОФ
– 43,87% ;
по ІV групі ОФ – 9,95% 25,06%;
Стан
ОФ характеризується як „нові” при коефіцієнті придатності вище 75%, тобто у
підприємства ТОВ „БАРС” ОФ по групам ІІ та ІV мають
стадію „сильне зношення” та „критичне зношення” і потребують інтенсивного
відновлення в першу чергу.
4. Темпи оновлення,
списання та амортизації ОФ в ТОВ „БАРС” у 2003 2005 роках характеризуються
наступними показниками:
а) Коефіцієнти
оновлення :
2003 рік = 0,106
2004 рік = 0,192
2005 рік = 0,017
б) Коефіцієнти
вибуття (списання та продаж) та амортизації :
2003 рік = 0,040
/ 0,146
2004 рік = 0,009
/ 0,112
2005 рік = 0,045
/ 0,0929
Таким чином,
темпи оновлення ОФ в ТОВ „БАРС” є нижчими, ніж темпи вибуття ОФ.
5. У 2004 році темп росту фондоозброєності 201,4%
перевищив темп росту продуктивності праці (171,6%), але у наступному 2005 році
проведене оновлення ОФ 2004 року привело до значного перевищення темпу росту
продуктивності праці 169,3% над темпом росту фондоозброєності, який за рахунок
додаткового росту чисельності працівників практично залишився на тому ж рівні
(101,1%).
Аналогічна картина склалася з показником фондовіддачі ОФ,
який у 2004 році знизився з рівня 12,94 тис.грн./тис.грн. (2003) до 11,03
тис.грн./тис.грн., а у 2005 році зріс до рівня 18,46 тис.грн./тис.грн.
6. Зростання товарообігу та обсягу ОФ характеризується :
зростанням товарообігу на 89,7% у 2004 році відносно
2003 року та зростанням на 81,8% у 2005 році відносно рівня 2004 року;
випереджаючим зростанням обсягу ОФ на 122,6% у 2004 році
відносно рівня 2003 року та запізнючим зростанням обсягу ОФ на 8,6% у 2005 році
відносно рівня 2004 року.
7. Як показали результати аналізу
(розділ 2) діяльності підприємству ТОВ “БАРС” необхідно збільшувати показник
прогресивності основних фондів, тобто збільшувати їх активну частину. Для
розширення діяльності і збільшення товарообороту підприємству, враховуючи
великий рівень зношення основних фондів 2 та 4 груп, необхідно придбати такі
нові основні фонди, як насамперед транспортні засоби, обладнання,
електроннообчислювальні машини з метою полегшення торгового і управлінського
процесів. Адже ці види основних фондів значно застарілі і майже повністю
амортизовані.
8. В 2006 році підприємство ТОВ “БАРС” планує збільшити
обсяги діяльності за рахунок розширення асортиментної структури товарів, що
реалізуються, та збільшення обсягів дрібнооптового товарообороту.
В плановому
періоді (2006 рік) обсяг товарообороту планується збільшити на 35,1% (з рівня
48 256,452 тис.грн. до 65 208,333 тис.грн. – табл.2.1) за
рахунок збільшення торговельних площ складів-магазинів філій 1 – 5 на 265
квадратних метрів кожний (типовий оптовий ангар – магазин) та розширення
асортименту продукції, що реалізується.
В результаті запланованого руху основних фондів у 2006
році:
1. Обсяг введених ОФ становитиме 950,9 тис.грн.
2. Обсяг вибуття 0
2. Коефіцієнт оновлення ОФ становитиме 0,260, тобто 26%
4. Коефіцієнт вибуття 0
3. Сума амортизації ОФ за рік становитиме 7,67%
4. Рівень придатності ОФ на кінець 2006 року становитиме
49,9%
5. Залишкова вартість основних фондів на кінець 2006
року становитиме
1 825,409 грн.
Показники попереднього (2005 року) становили:
1. Обсяг введених ОФ 45,9 тис.грн.
2. Обсяг вибуття ОФ – 124,1 тис.грн.
3. Коефіцієнт оновлення ОФ становив 0,017,
тобто 1,7%
4. Коефіцієнт вибуття ОФ становив 0,045, тобто 4,5%
3. Сума амортизації ОФ за рік становила 9,3%
4. Рівень придатності ОФ на кінець 2005 року становив
42,7%
5. Залишкова вартість основних фондів на кінець 2005
року становив
1 155,1 грн.
Отже, в плановому періоді (2006) середньорічна вартість
основних фондів підприємства збільшиться на 670,3 тис. грн. (на 58,02% відносно
рівня 2005 року) за рахунок збільшення пасивної частини основних виробничих
фондів на 279,6 тис. грн. (41,7%) та активної частини на 390,6 тис.
грн.(58,3%), тобто політика оновлення основних фондів передбачає підвищення
частки активних ОФ, які є найбільш зношені.
9. В плановому
періоді ефективність використання основних фондів підприємства дещо
поліпшиться. В результаті більш швидкого збільшення обсягу товарообороту
підприємства (+35,1%) ніж середньорічної вартості основних фондів (+12,9%)
фондовіддача основних фондів збільшиться на 19,7%, а фондоємкість – зменшиться
на 16,5 %. При рості фондоозброєності на 3,0%, продуктивність праці збільшиться
на 23,3% за рахунок більшої продуктивності нових основних фондів.
10. В зв'язку із збільшенням товарообороту
в плановому періоді (2006 р.), для забезпечення ефективної діяльності
підприємства, ТОВ “БАРС” потребує введення основних фондів на загальну суму
950,9 тис. грн. В тому числі:
-
ОФ І
групи – 370,0 тис. грн.
-
ОФ ІІ
групи 350,0 тис. грн.
-
ОФ ІІІ
групи – 0 тис. грн.
-
ОФ ІV групи – 230,9 тис. грн.
Нараховані за
2006 фонди амортизації на відновлення основних фондів складуть суму в 280,57
тис.грн., інші кошти підприємство повинно інвестувати з інших джерел. Оскільки
плановий чистий прибуток 8,3 млн.грн., можливість інвестування коштів у розмірі
700 тис.грн. з чистого прибутку у підприємства ТОВ „БАРС” є.
СПИСОК
ЛІТЕРАТУРИ
1. Господарський кодекс України //
від 16 січня 2003 року N 436IV(діє з 01.01.2004)
2. ЗАКОН УКРАЇНИ “Про бухгалтерський облік та
фінансову звітність в Україні” N 996XIV від 16 липня 1999 року // Із
змінами і доповненнями, внесеними Законами України станом від 22 червня 2000
року N 1829III
3. ЗАКОН УКРАЇНИ “ Про оподаткування прибутку
підприємств” (Законом України від 22 травня 1997 року N 283/97ВР цей Закон викладено у новій
редакції) // Із змінами і доповненнями, внесеними Законами України станом від
від 20 грудня 2005 року N 3235IV
4. ЗАКОН УКРАЇНИ «Про господарські
товариства» // від 19 вересня 1991 року N 1576XII (Із змінами і
доповненнями, внесеними Законами України станом на 19 лютого 2004 року N
1519IV)
5. Закон України “ Про патентування
деяких видів підприємницької діяльності”// від 23.03.1996 N 98/96ВР (станом
змін на 9 липня 2003 року N 1068IV)
6. Закон України “ Про ліцензування
певних видів господарської діяльності” // від 1 червня 2000 року N
1775III (станом змін на 20.02. 2003 року N 546IV)
7. Положення (стандарт)
бухгалтерського обліку 1 "Загальні вимоги до фінансової звітності",
Наказ Мінфіна України № 87 від 31.03.1999 + № 304 від 30.11.2000.
8. Положення (стандарт)
бухгалтерського обліку 2 "Баланс", Наказ Мінфіна України № 87 від
31.03.1999 + № 304 від 30.11.2000.
9. Положення (стандарт) бухгалтерського
обліку 3 " Звіт про фінансові результати «, Наказ Мінфіна України № 87 від
31.03.1999 + № 304 від 30.11.2000.
10. Положення (стандарт)
бухгалтерського обліку 9 "Запаси"//Наказ Міністерства фінансів
України від 20 жовтня 1999 року N 246 (із змінами, внесеними згідно з наказом Міністерства
фінансів України від 30.11.2000 р. N 304)
11. Положення (стандарт)
бухгалтерського обліку 8 "Нематеріальні активи" // Наказ Міністерства
фінансів України від 18 жовтня 1999 року N 242(Із змінами і доповненнями,
внесеними наказом Міністерства фінансів України від 30 листопада 2000 року N
304)
12. Положення (стандарту) бухгалтерського обліку 7
"Основні засоби" // Наказ Міністерства фінансів України від 27 квітня
2000 року N 92 (Із змінами і
доповненнями, внесеними наказами Міністерства фінансів України станом від 16 березня
2005 року N 235)
13. Про затвердження Положення (стандарту)
бухгалтерського обліку 28 "Зменшення корисності активів" // Наказ
Міністерства фінансів України від 24 грудня 2004 року N 817
14. Про затвердження
Методичних рекомендацій з бухгалтерського обліку основних засобів // МІНІСТЕРСТВО
ФІНАНСІВ УКРАЇНИ НАКАЗ від 30 вересня 2003 року N 561
15. Про затвердження
Порядку провадження торговельної діяльності та правил торговельного
обслуговування населення // КАБІНЕТ МІНІСТРІВ УКРАЇНИ ПОСТАНОВА від 15
червня 2006 р. N 833
16. Про затвердження Інструкції щодо заповнення форм державних статистичних
спостережень стосовно торгової мережі та мережі ресторанного господарства // Наказ Державного комітету статистики
України від 24 жовтня 2005 року N 327
17. Васильков В.Г. Організація
виробництва : Навч.посібник. – К. : КНЕУ, 2003 – 524 с.
18. Грещак М.Г., Гребешкова
О.М.,Коцюба О.С. Внутрішній економічний механізм підприємства : Навч.посібник.
– К.: КНЕУ,2001 – 228 с.
19. Економіка підприємства. Підручник
в 2х томах / Під ред. С.Ф.Покропивного К.: КНЕУ, 2000 – 528 с.
20. Ізмайлова К.В. Фінансовий аналіз:
Навч.посібник. К.: МАУП,2000
21. Курочкин А.С. Организация
производства: Учебн.пособие. –К.: МАУП, 2001 –216 с.
22. Организация производства на
предприятии : Учебник / под ред. Туровца О.Г. и Сербиновского Б.Ю. – Ростов на Дону:
издательский центр МАРТ, 2002
23. Статистика підприємництва : навч.
посібник / під редакцією Вашківа П.Г. – К.: „Слобожанщина”, 1999
24.
Управління виробничою інфраструктурою / За ред. М.А.Бєлова – К.: КНЕУ, 1997 –
208 с.
25. Фінанси підприємств. Підручник
/За ред. А.М. Поддєрьогіна – К.:КНЕУ,2000
Додаток
Показники діяльності
ТОВ „БАРС” за 2003 – 2005 роки




Похожие работы на - Аналіз та планування основних фондів торгівельного підприємства (на прикладі ТОВ "БАРС")
|