Анализ тарифов на электрическую и тепловую энергию тепловой электростанции
Лабораторная работа
№ 3
Анализ тарифов на
электрическую и тепловую энергию тепловой электростанции
Исходные данные для расчета:
|
№
|
Наименование
|
Перем
|
Ед.изм.
|
Вар
|
|
1
|
Установленная мощность
|
Nу
|
МВт
|
310
|
|
2
|
Nу
|
T
|
Мес
|
3
|
|
3
|
Выработка э./э.
|
Эээ
|
Тыс. Гкал
|
434
|
|
а)по теплофикационному циклу 80%
|
ЭТЦ
|
Тыс. Гкал
|
347,2
|
|
б)по конденсационному циклу 40%
|
ЭКЦ
|
Тыс. Гкал
|
86,8
|
|
в)по вынужденному циклу 40%
|
∆Экц
|
Тыс. Гкал
|
34,72
|
|
4
|
Полезный отпуск т./э., с коллектора в т.ч.
|
Qпол
|
Тыс. Гкал
|
1010
|
|
75% за счет отбора
|
Qотб
|
Тыс. Гкал
|
757,5
|
|
5% от РОУ
|
Qроу
|
Тыс. Гкал
|
50,5
|
|
20% от пиковых котельных
|
QПК
|
Тыс. Гкал
|
202
|
|
5
|
Расход топлива
|
ВХХ
|
т.у.т
|
28,6
|
|
6
|
Удельный расход топлива
|
ВТЦ
|
г/кВт.ч
|
149
|
|
7
|
Удельный расход по конд. циклу
|
В
|
г/кВт.ч
|
425
|
Формирование рыночных отношений в электроэнергетике
неразрывно связано с развитием конкуренции производителей и поставщиков
мощности и энергии на рынок. Организация федерального оптового рынка энергии и
мощности как раз создает условия конкуренции. Но это возможно только при
свободном доступе на ФОРЭМ всех производителей электроэнергии и при этом должны
быть равноправными субъектами ФОРЭМ независимо от форм собственности.
Основой конкурентной способности на ФОРЭМ является уровень
тарифов на электрическую и тепловую энергию, вырабатываемых на тепловых
электростанциях по теплофикационному и конденсационному циклам.
Для расчёта и распределения полного расхода топлива ТЭЦ
между электрической и тепловой энергией представим полный расход топлива ТЭЦ в
виде суммы
где Вээ и Втэ - расход
топлива на производство соответственно
электрической и тепловой энергии. При этом
Вээ = ВХХ +в'ТЦ • ЭТЦ + • ЭКЦ (2)
где Вхх – расход топлива на холостой ход турбин:
в'ТЦ , в'КЦ относительные приросты расхода топлива на производство
электроэнергии по теплофикационному (ТЦ) и конденсационному (КЦ) циклам,
ЭТЦ, ЭКЦ - выработка электроэнергии по теплофикационному и
конденсационному циклам;
Выработку электроэнергии по конденсационному циклу ЭКЦ разделим
на две части:
∆ ЭКЦ - выработка по вынужденному конденсационному режиму
теплофикационными турбинами с конденсаторами;
(ЭКЦ - ∆ ЭКЦ ) - дополнительная выработка по «свободному»
графику загрузки. С учетом этого формула (2) может быть представлена
При разнесении расхода топлива на холостой ход между
производством электроэнергии по теплофикационному и конденсационному циклам
принимаем расход топлива на холостой ход относить на производство
электроэнергии по теплофикационному циклу, поэтому
(4)
По конденсационному циклу
(5)
Расход топлива на производство теплоэнергии определяется как
разность
(6)
При цене топлива ЦТ - для расчета и обоснования тарифов,
издержки на топливо или себестоимость топлива ИТТЭЦ, расходуемого на ТЭЦ
необходимо
распределить между электрической и тепловой энергией (ИТЭЭ
и ИТЭТ), а также электроэнергией, вырабатываемой по теплофикационному и
конденсационному циклам (ИТТЦ и ИТКТ).
При расчёте тарифа для вывода ТЭЦ на ФОРЭМ необходимо
добавить к условно-постоянным издержкам ТЭЦ часть общесистемных расходов АО
"Энерго" в объёме пропорционально сложившихся условно- постоянных издержек
ТЭЦ ИУПТЭЦ составе и условно-постоянных издержек АО "Энерго" ИУПАО
где ИОСТЭЦ и ИОСАО, - общесистемные расходы, относимые на
ТЭЦ и АО Энерго. Сумма ИОСТЭЦ + ИОС- АО распределяется пропорционально доле
стоимости топлива, израсходованного на производство электрической и тепловой
энергией согласно "Инструкции по планированию, учёту и калькулированию
производства, передачи и распределения электрической и тепловой энергии ",
утверждённой, Минэнерго СССР 1970 год.
где ИУП+ОСТЭЦ - издержки, учитываемые в себестоимости и тарифе
при производстве электрической энергии, вырабатываемой по теплофикационному циклу,
а ИУП+ОСТЭ - издержки, учитываемые в себестоимости и тарифе при производстве
теплоэнергии.
Суммарные издержки ИΣТЭЦ формируются в виде
где Итэц – полные издержки ТЭЦ;
ИΣТЭЦ - общесистемные условно-постоянные затраты,
относимые на ТЭЦ;
ИУПТЭЦ - условно-постоянные затраты ТЭЦ.
Издержки на производство электроэнергии по
теплофикационному циклу сложатся в виде:
Издержки на производство электроэнергии по
конденсационному циклу
Общие издержки на производство всей электроэнергии,
вырабатываемой ТЭЦ:
Издержки на производство тепловой энергии находим из
разности общих издержек на производство электроэнергии.
Суммарная прибыль ПΣТЭЦ, для ТЭЦ выводимой на ФОРЭМ,
рассчитывается исходя из планируемого объёма товарной продукции и прибыли
начисляемой на общесистемные издержки. Расчет выполняется по формуле:
Рентабельность рассчитывается из соотношения:
Далее задается числовое значение RТЭ и рассчитывается
прибыль, относимая на тепло энергию:
Прибыль, относимая на электроэнергию равна
На основе изложенного способа распределения затрат и прибыли
формируются:
а) средне отпускной тариф на электроэнергию.
где ЭполТЭЦ - полезный отпуск электроэнергии, выдаваемой
на ФОРЭМ;
б) тариф на электроэнергию, вырабатываемую по
теплофикационному циклу
где RT - рентабельность по отношению к затратам на топливо.
в) тариф на электроэнергию, вырабатываемую по
конденсационному циклу.
г) тариф на 1 кВт установленной мощности ТЭЦ
где in - число месяцев в рассматриваемом периоде д) средне
отпускной тариф на тепловую энергию, отпускаемую с коллектора ТЭЦ в тепловую
сеть
Пример расчёта тарифов для условного ГЭП выводимой на
ФОРЭМ.
Устанавливаемая мощность ТЭЦ - 355 МВт
Период расчёта 6 месяцев
Выработка электроэнергии равна 1000 млн. кВт • ч, в том
числе по теплофикационному циклу -75%, и по конденсационному циклу -25%, в том числе
40% по вынужденному конденсационному режиму.
Полезный отпуск тепловой энергии с коллектора равен 2100
ГКал, в том числе за счёт
отборов 1590 тыс. ГКал,
от РОУ - 90 тыс. ГКал
от пиковых котлов 420 тыс.ГКал.
Втэц составил 570 тыс.тонн условного топлива (т.у.т.)
Вхх=60 т.у.т., при производстве электроэнергии
впх= 160 кг/Ткал - удельный расход у.т. на производство
тепло энергии в пиковых котельных
Примем цену условного топлива равной 350 рублей за тонну. Расход
электроэнергии на собственные нужды составляет 13,5% от выработки (Ксн.= 13,5%)
Коэффициент потерь на трансформаторе - 1,5%;
По АО Энерго - ИУПАО = 400000 тысяч рублей;
Общесистемные- ИОСАО= 47000 тысяч рублей.
Определить:
1. Отпуск с шин и полезный отпуск электроэнергии в сеть
(на ФОРЭМ)
2. Распределение расхода условного топлива между видами
энергии.
3. Стоимость топлива при его расходе 570 тысяч т.у.т.
4. Распределение условно-постоянных затрат ТЭЦ по видам
энергии.
5. Себестоимость электрической и тепловой энергии.
6. Распределение прибыли между электрической и тепловой
энергией.
7. Рассчитать тарифы на электрическую и тепловую энергию.
Решение:
Определяем отпуск с шин и полезный отпуск электрической
энергии в сеть (на ФОРЭМ)
Таблица 1
2. Определяем расход условного топлива между видами
энергии: по теплофикационному циклу с учётом расхода условного топлива на
выработку электроэнергии по вынужденному конденсационному режиму.
По конденсационному циклу за вычетом расходов по
вынужденному режиму
400×150×0,001=212,5
т.у.т.
Всего расход условного топлива на производство
электроэнергии составил:
На производство теплоэнергии израсходовано:
Зная показатели отпуска электроэнергии с шин и полезного отпуска,
определим удельные расходы условного топлива.
Таблица 2
|
Показатели
|
В среднем
|
По ТЦ
|
По КЦ
|
|
Расход условного топлива, тыс.т.
Отпуск электроэнергии, Млн.КВтч с шин.
|
272,5865
|
212,5 648,75+86,5=735,25
|
60 216,25-86,5=129,7
|
|
Полезный
|
850
|
637,5+85=722,5
|
212,5-85=127,5
|
|
Удельный расход условного топлива, г/(КВтч)
|
|
|
|
|
На единицу отпуска с шин
|
315,0
|
289,0
|
462,43
|
|
На единицу полезного отпуска
|
320,59
|
294,12
|
469,69
|
Определяем расход топлива на тепло энергию по источникам
производства:
На производство в пиковых котлах
На производство теплоэнергии, отпускаемой от РОУ при КПД
энергетического котла ηэк= 0,9 и КПД от теплового потока ηmn= 0,98
В результате расходы условного топлива на производство
тепло энергии комбинированным способом получается следующим:
Удельные расходы условного топлива на тепло энергию по
источникам её получения to-ответственно равны:
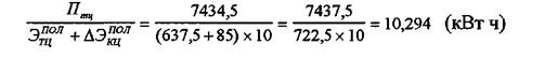
В среднем 141.67 кг/Гкал при Втэ= 297,5 тыс.т; Qпол = 2100
тыс/Гкал
Из отборов 215,72/1590 =135,67 кг/Гкал;
От РОУ 14,58/90- 162,0 кг/Гкал.
1 Рассчитываем стоимость топлива по видам энергии (см.
табл. 3)
Определяем распределение условно- постоянных затрат ТЭЦ по
видам энергии:
Таблица 3
Условно-постоянные общесистемные затраты ТЭЦ составят:
На производство электроэнергии относится и учитывается в
затратах по теплофикационному циклу
На тепло энергию остаётся;
При расчёте удельных показателей условно-постоянные и
общесистемные затраты относятся по электроэнергии на:

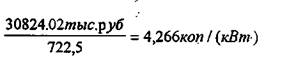
Затраты, относимые на теплоэнергию
=16,025
руб/Гкал
Па основании всех затрат и распределения их по видам
энергии приведём расчёт себестоимости электрической и тепловой энергии.
Таблица 4
Распределение прибыли между электрической и тепловой
энергией при общей рентабельности 0,12 прибыль составляет:
Суммарная прибыль ТЭЦ между электрической и тепловой
энергией при:
RТЭ = RТЭЦ распределяется пропорционально затратам;
В расчёте на единицу полезного отпуска энергии получаем на
1 кВт • ч полезного суммарного полезного отпуска:
На 1 ГКал полезного отпуска тепло энергии
При формировании тарифов на электроэнергию с платой за
мощность и двумя ставками за энергию, вырабатываемую по теплофикационному и
конденсационному циклам распределение прибыли ЭЭ осуществляется следующим
образом.
Прибыль, относимая на энергию, учитывается толь ко в
ставке за энергию, вырабатываемую по теплофикационному циклу, составляет:
или в расчёте на 1кВт • ч. полезного отпуска энергии,
выработанной по теплофикационному циклу.
Прибыль, относимая на мощность, равна
или в расчёте на \кВт, установленной мощностью при
продолжительности периода регулирования т =6 мес.
7. Расчёт тарифов на тепловую и электрическую энергию
может быть выполнен двумя способами:
а) через определение объёмов товарной продукции;
б) непосредственно суммированием удельных показателей
затрат и прибыли. При первом способе получаем:
Средне отпускной тариф на электроэнергию
Расчёт вторым способом приводит к таким же результатам
Разница 0,003 руб/ГГКал (0,004%) погрешность округления
при расчётах.
Подобным образом могут быть рассчитаны все остальные
тарифы на электрическую и тепловую энергию ТЭЦ, выводимой на ФОРЭМ При расчёте
распределение затрат и прибыли между видами энергии выполнено с соблюдением
одинаковых подходов и равенства рентабельности.
Вместе с тем нельзя не учитывать, что в современных
условиях важно обеспечить выживаемость ТЭЦ на рынке электрической и тепловой
энергии. При этом определяющим для ТЭЦ является рынок тепла.
Потеря этого рынка для ТЭЦ приведёт и к потере её
конкурентно способности и на рынке электроэнергии.
Поэтому не обязательно придерживаться равенства
рентабельности:
В приводимой таблице выполнен расчёт средне отпускных
тарифов на тепло энергию и электроэнергию в зависимости от рентабельности,
учитываемой в тарифе на тепло энергию.
Из таблицы следует, что снижение средне отпускного тарифа
на тепло энергию до уровня себестоимости (RТЭ = 0) приводит к увеличению средне
отпускного тарифа на электроэнергию на 11,29%, что заметно ухудшает её конкурентную
способность на рынке электроэнергии.
Снижение тарифа на тепло энергию до уровня себестоимости
свидетельствует о необходимости обоснования условий, при которых целесообразно
сохранять ТЭЦ в работе.
Таблица 5 – Расчёт средне отпускных тарифов в зависимости
от рентабельности тепло энергии.
Таблица 6
|
Среднеотпускной тариф на электроэнергию, ТСРЭЭ, коп/кВтч
|
16,629
|
16,947
|
17,277
|
17,601
|
17,925
|
18,25
|
18,574
|
При
Пээ=126199,02
тыс.руб
ЭполТЭЦ=850
млн.кВтч
|
|
%
|
100
|
101,9
|
103,89
|
105,85
|
107,79
|
109,75
|
111,2
|
|
Оценка конкурентно способности ТЭЦ на оптовом рынке
Передача, ресурса мощности и энергии ТЭЦ на ФОРЭМ в условиях
рынка означает, что ТЭЦ вступает в конкуренцию с ГРЭС РАО "ЕЭС
России". При этом вопрос о конкурентной способности ТЭЦ имеет ряд
особенностей. Рассмотрим основные из них.
Сравним для начала тарифы на электрическую мощность и
энер^по ТЭЦ с установленной мощностью 355 МВт и полезным отпуском
электроэнергии за полгода 850млн.кВтч с утверждёнными тарифами условными ГРЭС-1
и ГРЭС-2.
Сравнение ведётся по показателям товарной продукции от
отпуска мощности ТПМ и энергии ТПЭЭ и их суммы ТПΣ , а также по величине
средне отпускного тарифа ТСР . Результаты этого сравнения приведены ниже.
Из приведённых данных следует, что ТЭЦ отпускает
электроэнергию дешевле, чем ГРЭС-1 и ГРЭС-2.
Если бы рассматривался вопрос о проектах ТЭЦ и ГРЭС -1, то
выполненное сравнение практически предопределило бы выбор в пользу ТЭЦ. Но так
как сравниваются функционирующие электростанции, то трактовка результатов
сравнения оказывается более сложной.
Практически ТЭЦ по стоимости электроэнергии бесспорно
выгоднее ГРЭС-1, хотя встаёт вопрос, а что делать с ГРЭС: проводить комплекс
мероприятий по повышению её экономичности, если это в принципе возможно,
переводить в холодный резерв, консервировать или демонтировать.
При этом задача из чисто экономической превращается в
социально- экономическую, и при ее решении необходимо прорабатывать и
анализировать перспективы развития электропотребления, динамику старения
оборудования ГРЭС-1 и всех элетростанций системы, работающих с ней параллельно.
Положение существенно усложняется, если учесть, что ТЭЦ
принадлежит АО Энерго, а ГРЭСы РАО "ЕЭС России" - организатору ФОРЭМ.
Рассматривая последствия вывода ТЭЦ на ФОРЭМ как с позиций АО
"Энерго", так и с позиций РАО "ЕЭС России", следует
учитывать, что ТЭЦ продаёт на ФОРЭМ установленную мощность 355МВт, а взамен
оплачивает мощность, максимальная величина которой равна рабочей мощности ТЭЦ,
что исключает расходы на собственные нужды и потерь в трансфарматорах, то есть
355(1-0,135)(1-0,015)=302,5МВт.
ТЭЦ подаёт на ФОРЭМ 850 млн кВт • ч, и покупает у ФОРЭМ
столько же . При этом покупка этого количества электроэнергии может
сопровождаться и меньшей, чем 3 02,5 МВт, мощностью, например 250 МВт.
Применительно к этим двум значениям мощности и рассмотрим последствия вывода
ТЭЦ на ФОРЭМ.
Оценка последствий вывода ТЭЦ на ФОРЭМ для АО-Энерго и РАО
"ЕЭС России" с учётом выработки по свободному конденсационному режиму
Таблица 8
Таким образом, последствия вывода ТЭЦ на ФОРЭМ зависят не
только от соотношения тарифных ставок на продажу и покупку мощности и энергии
но и от соотношения объёмов продажи и покупки мощности.
При вар. 1 АО Энерго терпит убытки в размере 6,12 %
стоимости, получаемой от продажи мощности и энергии ТЭЦ на ФОРЭМ. Для РАО
"ЕЭС России" и ФОРЭМ - это дополнительная прибыль.
Положение меняется в пользу АО Энерго, если покупаемая
мощность уменьшается до 250 Мвт. В этом варианте выигрыш АО Энерго составляет
1,66 %.
Рассмотрим теперь ситуацию, при которой вырабатывается и отпускается
на ФОРЭМ энергия только по теплофикационному циклу, с учётом производства по
вынужденному конденсационному режиму, то есть ЭполТЦ+ЭполКЦ
При отказе от выработки электроэнергии на ТЭЦ по
конденсационному циклу уменьшается объём продажи на ФОРЭМ, а объём покупки с
ФОРЭМ остаётся прежним с превышением 127,5 млн. кВт-ч.
(850-722,5)- 127,5х106 кВт-ч.
Ранее эта разница продавалась на ФОРЭМ по тарифу ТЭКЦ
=16,47 коп. кВт. ч., а в рассматриваемом случае возмещается за счёт покупки у
ГРЭС-2 по тарифу
ТЭ= 12,192 коп/кВт-ч.
Для оптового рынка это даёт экономию в сумме:
(16,47-12.192)-127.5 ×106 -5454,45тыс.руб.
При исключении дополнительной выработки ТЭЦ по конденсационному
режиму и отпуске на ФОРЭМ только теплофикационной выработки электроэнергии
важное значение для АО Энерго имеет не столько различие тарифов на продажу и
покупку, сколько разница в выручке от продажи и затратах на покупку.
В рассматриваемом примере эта разница приводит к повышению
затрат и тарифов АО Энерго.