Способы обработки экономической информации
Содержание
Вопрос
1. Способы
обработки экономической информации в анализе: способы графического и табличного
представления данных анализа, группировка информации
Вопрос 2. Методика и
последовательность проведения экономического анализа фонда оплаты труда
Литература
1. Способы
обработки экономической информации в анализе: способы графического и табличного
представления данных анализа, группировка информации
Представление данных в табличной и графической формах
На всех
этапах анализа финансово-хозяйственной деятельности предприятия участникам этой
работы приходится иметь дело с большими объемами числовых данных. В ходе
подбора и обработки данных аналитик нередко должен оперировать множеством
значений изучаемых факторов и величин. Конечный пользователь аналитических
отчетов, читая их, тоже сталкивается с числовыми данными, обосновывающими выводы
аналитиков или формирующими прогноз будущего развития предприятия.
Во всех
случаях включение в текст большого количества цифр затрудняет его восприятие, а
представление несистематизированных предварительных данных осложняет их
аналитическую обработку. Аналитический отчет, подготовленный лишь в виде
многостраничного повествования, быстро утомляет пользователя (читателя),
поэтому нередко им игнорируется. Чтобы избежать подобных трудностей, используют
специальное представление данных - в виде таблиц и графиков.
Таблица
данных -
это система строк и столбцов, в которых в определенной последовательности и
связи излагаются информативные сведения об анализируемых
социально-экономических явлениях и объектах. Различают подлежащее и сказуемое
аналитической таблицы; первое в таблицах обычно располагается слева, а второе -
справа, хотя могут быть и исключения. В подлежащем указывается характеризуемый
объект, в сказуемом дается его характеристика, обычно в количественной форме -
в виде системы показателей.
По характеру
подлежащего статистические таблицы делятся на простые, групповые и
комбинационные. В подлежащем простой таблицы объект изучения не
подразделяется на группы, а дается простой перечень единиц совокупности.
Единицы упорядочивают по одному-двум признакам (чаще всего - по убыванию или
возрастанию). Сказуемое содержит данные о каждой единице совокупности. Ее цель - дать перечень
информации об изучаемом явлении.
В подлежащем групповой
таблицы объект изучения подразделяется на группы по одному признаку. В
сказуемом указываются число единиц в группах (абсолютное и в процентах к итогу)
и сводные показатели по группам. В подлежащем комбинационной таблицы
совокупность подразделяется на группы не по одному, а по нескольким признакам. Эти таблицы способствуют
установлению связи между изучаемыми явлениями.
По аналитическому
содержанию различают таблицы, отражающие:
-
характеристику
изучаемого объекта по тем или другим признакам: записываются показатели,
характеризующие то или иное экономическое явление, и отражается уровень данного
показателя за отчетный период по одному или нескольким объектам;
-
порядок
расчета аналитических показателей: приводится исходная информация и делаются
все необходимые расчеты для определения исследуемого показателя;
-
динамику
изучаемых показателей: приводится исходная информация за ряд лет в
хронологическом порядке и рассчитываются базисные и цепные темпы роста и
прироста, выраженные в процентах и индексах;
-
выполнение
плана: отражаются плановые и фактические данные за отчетный период по каждому
объекту и исчисляются абсолютные отклонения от плана и процент выполнения
плана;
-
структурные
изменения в составе показателей: приводятся данные о составе изучаемого явления
в базисном и отчетном году и рассчитывается удельный вес каждого элемента или части в общем целом и
отклонения от плана;
-
взаимосвязь
показателей по различным признакам: составляется таблица, в которой
индивидуальные и групповые данные по одному из показателей ранжируют в
возрастающем или убывающем порядке и соответственно этому располагают данные по
другим взаимосвязанным с ним показателям;
-
результаты
расчета влияния факторов на уровень исследуемого показателя: отражается
информация по факторным и результативному показателям и изменение
результативного показателя в целом и за счет каждого фактора в отдельности;
-
результаты
подсчета резервов: приводится фактический и возможный уровень факторных
показателей и резерв увеличения результативного показателя за счет каждого
фактора;
-
свободные
таблицы: обобщают результаты анализа тех или иных сторон деятельности
предприятия.
Заголовки граф таблицы
должны содержать названия показателей и единицы их измерения. Если все
показатели выражены в одних и тех же единицах (например, в рублях), эта единица
может указываться в заголовке всей таблицы, а не в отдельных графах. Итоговая
строка чаще всего завершает таблицу. Если же она приводится в начале, то
во второй строке указывается «в том числе», а все последующие строки содержат
значения, составляющие итоговую строку.
При
заполнении таблицы рекомендуется придерживаться одной и той же степени точности
в пределах каждой графы. При вычислении числовых данных в таблице не нужно
стремиться к излишней точности, точность определяется потребностями практики.
При
заполнении клеток таблицы нужно придерживаться следующих требований:
-
пустых
клеток быть не должно;
-
"-"
означает, что явление отсутствует;
-
"..."
означает, что нет сведений;
-
0,0
означает, что число данной клетки находится за пределами точности, принятой в
таблице;
-
"х"
означает, что клетка не подлежит заполнению.
Если таблица
основана на заимствованных данных, обязательно указывается их источник. Вероятно,
любому экономисту знакома ситуация, когда в ходе чтения некоторого отчета,
содержащего данные в табличной форме, ему приходилось сталкиваться с
показателями, алгоритмы формирования которых либо вовсе неизвестны, либо для их
понимания требовались определенные усилия и трата времени. Такое положение по
крайней мере не способствует восприятию информации. Поэтому любой аналитик,
готовящий отчет для внешних пользователей, должен позаботиться об удобстве
восприятия предлагаемой им информации. В частности, подготовка аналитических
таблиц в отличие от статистических нередко подразумевает включение в них
несложных алгоритмов - например, перемножение или сложение значений показателей
некоторых граф таблицы и приведение результата в отдельной графе, что как раз и
обеспечивает понимание логики формирования и сущности рассчитанного показателя.
В этом случае во избежание громоздкости таблиц и повышения их наглядности
рекомендуется нумеровать графы. Наиболее распространенной является следующая
нумерация: графа с подлежащим таблицы нумеруется заглавной буквой
"А", а графы сказуемого - арабскими цифрами.
Иногда
таблицы дополняются графиками. График представляют собой условные изображения числовых
величин и их соотношений посредством линий, геометрических фигур, рисунков или
графических карт-схем. Они позволяют сразу видеть пределы рассматриваемых
показателей, скорость их изменений, колеблемость.
Они обеспечивают
наглядность и простоту восприятия и усвоения полученной информации. На графике
более выразительнее проявляются тенденции и связи изучаемых показателей.
Основные
формы графиков, используемых в АДХ - диаграммы.
По своей
форме диаграммы бывают столбиковые, полосовые, круговые, квадратные, линейные,
фигурные.
Круговая
диаграмма позволяет ответить на вопрос: какова доля влияния отдельных факторов
на показатель? Ответ на такой вопрос может быть получен только в случае, когда
действия всех факторов однонаправлены, то есть все факторы одновременно или
увеличивают, или уменьшают показатель. Влияние каждого из них изображается в виде
сектора круга. Сумма всех секторов (площадь круга) – совместное влияние
изменения всех факторов на изменение показателя. Доля площади сектора в площади
круга характеризует удельный вес влияния изменения соответствующего фактора на
изменения показателя.
Например,
изменение цен увеличило выручку на 1600 тыс. руб., а изменение физического
объема реализации увеличило выручку на 6400 тыс. руб. Определим процентное
влияние факторов и изобразим его в виде диаграммы.
Общее
изменение выручки 1600 + 6400 = 8000 тыс. руб.
Доля влияния
цен 100Ч1 600:8 000=20%.
Соответствующая
диаграмма представлена на рис.1.
Рисунок 1 -
Пример круговой диаграммы
Однако, в
случае разнонаправленного влияния факторов на динамику показателя решить задачу
способом, указанным выше, нельзя. Не удается определить процентное участие
динамики фактора в динамике показателя. Невозможно построить и круговую
диаграмму.
Наиболее
удачным способом графического изображения влияния динамики факторов на динамику
показателя в общем случае является векторная диаграмма. Она строится на
плоскости ОХ ОY. На оси ОХ откладываются отрезки (произвольной длины) для каждого
фактора и результативного показателя. На оси ОY указывается масштаб изменения и
показателя. Величина измерения результативного показателя под воздействием
изменения конкретного фактора указывается в виде вектора. Длина вектора равна
величине изменения результативного показателя. Направление – вверх, если
изменение положительно, или вниз, если изменение отрицательно.
По
содержанию
различают
следующие диаграммы:
сравнения – показывают соотношения
разных объектов по какому-либо показателю. Для сравнения показателей
используются столбиковые, полосовые, квадратные, круговые и фигурные диаграммы.
структурные
(секторные) - позволяют выразить состав изучаемых показателей, удельный вес
отдельных частей в общей величине показателя. В структурных диаграммах
изображения показателя дается в виде геометрических фигур (квадратов, кругов),
разбитых на секторы. Площадь фигур берется за 100 или 1, а величина сектора
определяется удельным весом части.
динамики - предназначена для
изображения изменения явлений за соответствующие промежутки времени. Для этой
цели могут использоваться столбиковые, полосовые, квадратные, круговые и
фигурные диаграммы. Но чаще всего используются линейные графики. Динамика на
таком графике подается в виде линии, которая характеризует беспрерывность
процесса. Для построения линейных графиков пользуются системой координат.
Линейные
графики
очень широко используются также при изучении связей между показателями (графики
связи), сведений о ходе выполнения плана (графики контроля - имеют две линии:
плановый и фактический уровень показателей за соответствующий период).
Для
отображения географического распределения данных используются картограммы и
картодиаграммы. При оформлении графиков следует помнить об основных
правилах: любой рисунок должен иметь заголовок с указанием изображенных на нем
характеристик и единиц их измерения, а также легенду, в которой поясняются
обозначения, принятые на этом графике.
Графическое
представление данных имеет и ряд недостатков по сравнению с табличным во-первых,
график не может включить так много данных, как таблица, во-вторых, на графике
показаны не точные данные, а приблизительные, в-третьих, построение графиков
вручную - процесс довольно трудоемкий. Следует отметить, однако, что с
использованием компьютерных программ эта задача сильно упрощается.
Метод
группировки информации — это способ разделения изучаемой совокупности объектов на
качественно однородные группы по соответствующим признакам. В АХД они
применяются для:
- раскрытия
содержания средних показателей (стоимости основных производственных фондов, по
видовым группам, себестоимости, продукции по элементам затрат) и влияния
отдельных единиц на эти средние;
- выявления взаимосвязи между изучаемыми показателями:
между объемом реализованной продукции, ее себестоимостью и суммой прибыли.
В зависимости от задач используются:
типологические
группировки — служат для выделения определенных типов явлений или процессов:
группировка рабочих по стажу, профессиям, возрасту, образованию и т.д.
структурные
группировки - служат для изучения структуры определенных явлений по определенным
признакам. С их помощью можно изучать структуру состава рабочих по профессиям,
квалификации, стажу работы, выполнению норм выработки и т.д.; основных производственных
фондов и оборотных средств, себестоимости продукции и т.д.
аналитические
группировки (причинно-следственные) — применяются для определения наличия,
направления и формы связи между показателем, положенным в основу группировки, и
зависимыми от него показателями.
По сложности
построения различают:
простые
группировки - с их помощью изучается взаимосвязь между явлениями,
сгруппированными по какому-либо одному признаку;
комбинированные
группировки — когда изучаемая совокупность подразделяется сначала по одному
признаку, а потом внутри каждой группы — по другому признаку и т.д.
Важнейший
вопрос при проведении такого рода исследования - выбор интервала группировки.
Существуют два основных подхода (метода) к его решению.
Первый
подход предполагает
деление совокупности данных на группы с равными интервалами значений. Этот
метод используется наиболее часто, так как он лишен субъективизма при выборе
границ интервалов. При определении длины интервала i целесообразно
пользоваться формулами Стерджеса
где хmах
- максимальное значение признака в изучаемой совокупности;
xmin
- минимальное значение признака в изучаемой совокупности;
k - число
групп;
N - число
наблюдений.
Совершенно
очевидно, что знаменатель дроби численно равен количеству групп или интервалов,
на которое разбивается исходная совокупность. Таким образом, оптимальное
количество групп, соответствующее некоторому числу наблюдений, согласно формуле
Стерджеса выглядит следующим образом
Прямое
применение формулы Стерджеса означает, что на параметры группировки не
накладывается каких-либо ограничений. Возможен и вариант, когда такие
ограничения вводятся, - например, аналитик уже имеет некоторое представление о
числе групп (в частности, такое ограничение может быть вызвано желанием
обеспечить некоторую качественную однородность выделяемых групп единиц
совокупности). В последнем случае длина интервала группировки находится
делением размаха вариации, т.е. разности между максимальным и минимальным
значениями группировочного признака, на предполагаемое число групп.
Согласно второму
подходу интервалы группировки можно выбрать и неравными (возрастающими или
убывающими). Этот подход обычно применяется при большой вариации и
неравномерности распределения признака по всему интервалу его изменения. При
выборе размера интервала группировки руководствуются здравым смыслом и логикой,
опираясь при этом на распределения прошлых периодов и традиционно сложившиеся
подходы в группировке. При использовании этого подхода интервалы часто выбирают
таким образом, чтобы группы были равнозаполненными.
В общем
случае процесс группировки данных включает несколько этапов:
-
выбор
группировочного признака;
-
упорядочивание
совокупности по этому признаку;
-
определение
(тем или иным способом) количества групп;
-
определение
границ интервалов (обычно производится округление формально полученных данных).
Основное
правило при проведении группировки состоит в следующем: не должно быть пустых
или малозаполненных интервалов. Иными словами, формула Стерджеса дает лишь
ориентировочные значения интервалов группировки; при принятии окончательного
решения, как правило, значения округляются или незначительно меняются.
В анализе
финансово-хозяйственной деятельности используются в основном два вида
группировок: структурные и аналитические.
Структурные
группировки предназначены для изучения структуры и состава совокупности,
происходящих в ней сдвигов относительно выбранного варьирующего признака.
Структурная группировка оформляется, как правило, в виде таблицы, в подлежащем
которой находится группировочный признак, а в сказуемом - показатели,
характеризующие структуру совокупности либо в динамике, либо в пространстве.
Этот вид группировки характеризует структуру совокупности по какому-то одному
признаку. Изменение структуры группировки чаще всего описывается одним из двух
показателей.
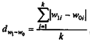
Показатель
среднего абсолютного изменения структуры рассчитывается по формуле

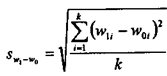
Показатель
среднеквадратического изменения структуры рассчитывается по формуле
Чем более
значительны структурные сдвиги, тем больше значения этих показателей. При
отсутствии структурных сдвигов оба они равны нулю. Квадратичный коэффициент
реагирует на изменение структуры чуть более чутко. При расчете этих показателей
следует помнить о том, что количество групп в группировке и в базовом, и в
отчетном периодах должно быть одинаковым.
Аналитические
группировки предназначены для изучения взаимосвязей между двумя и более
показателями, характеризующими исследуемую совокупность. Один из показателей
при этом рассматривается как результативный, а остальные - как факторные.
При
оформлении результатов группировки в таблице признак-результат размещается в
сказуемом, группировочные признаки, рассматриваемые в качестве факторных,
размещаются в подлежащем таблицы.
Выбрать один
признак в качестве группировочного зачастую бывает достаточно трудно. Анализ по
нескольким признакам довольно трудоемок и обладает принципиальным недостатком -
размыванием совокупности, поскольку даже комбинация двух признаков при попытке
разбить совокупность на три или четыре категории дает шесть или восемь
подгрупп. В некоторых из них оказывается одно-два наблюдения, что недостаточно
для подготовки обоснованных выводов об этих подгруппах.
Избежать
этого недостатка позволяют методы многомерных группировок. Широкое
распространение они получили благодаря использованию вычислительной техники при
расчетах. При анализе деятельности отдельных предприятий методы многомерной
группировки используют нечасто из-за их сложности, более распространены они при
социологических и экономических исследованиях отраслей и регионов. Наиболее
разработанным методом многомерной классификации является кластерный анализ.
2.
Методика и последовательность проведения экономического анализа фонда оплаты
труда
Цель анализа
оплаты труда – выявление недостатков в формировании и использовании средств,
направляемых на эти нужды. Основными направлениями являются:
1. анализ
образования общих затрат на оплату труда и социальных выплат по категориям
работающих;
2. анализ
использования фонда оплаты и социальных выплат по основным направлениям их
расходования.
Информационной
базой для проведения такого анализа служат статистическая и бухгалтерская
документация, штатное расписание, положение по оплате труда и коллективный
договор предприятия, индивидуальные трудовые соглашения, а также положение о
премировании по отдельным направлениям деятельности предприятия, расчетные
ведомости по премированию, оказанию материальной помощи, единовременным
вознаграждениям и др.
Прежде всего,
анализируется образование средств на оплату труда и социальные выплаты.
Проверяется правильность формирования заработной платы в соответствии с тем
методом, который принят на предприятии: укрупненный метод; детальный расчет;
нормативный метод; формирование фонда оплаты «по остатку»; планирование фонда
оплаты и др.
Добавив к
фонду заработной платы планируемые отчисления от прибыли для премирования
работающих, предварительно проанализировав соответствие их образования
утвержденным положениям о премировании за счет прибыли, получим фонд оплаты
труда работников. Выплаты социального характера в виде оплаты питания,
жилья, топлива и социальных льгот должны показываться на лицевом счете
работника справочно для осуществления контроля с целью их правильного
исчисления. Учет затрат на оплату труда, отражается по статье «Затраты на
оплату труда», по которой планируют оплату труда производственных рабочих и
инженерно-технических работников, непосредственно связанных с выработкой
продукции.
Анализ
использования средств на оплату труда проводят в следующей последовательности:
1.Изучить
выполнение плана по труду;
2. Выявить
динамику средств, направляемых на оплату труда;
3.Сравнить
темпы роста производительности труда торговых работников с ростом средней
заработной платы;
4. Проверить
соотношение темпов роста оплаты труда и прибыли;
5. Проверить
правильность использования фонда заработной платы.
6. Рассчитать
уровень расходов на оплату труда, и сопоставить фактический уровень расходов на
заработную плату с плановым уровнем:
Уфот = (ФОТ /
Т) / 100
где УФОТ –
уровень расходов на оплату труда;
ФОТ – расходы
на оплату труда;
Т – объем
деятельности (реализация продукции в промышленности, розничный товарооборот в
торговле, валовой оборот в общественном питании, заготовительный оборот в
заготовительной отрасли и т.п.).
7.
Рассчитывается сумма относительной экономии (перерасхода):
Сумма
экономии (перерасхода) = (((Уфот1 – Уфот0) х Т1) / 100
8.
Устанавливается средняя заработная плата одного работника, исходя из средств на
оплату труда, относимых на издержки обращения, и с учетом премий и других
выплат, производимых за счет прибыли (средний доход работника):
ЗП = ФОТ /
ЧР,
где ЗП –
средняя заработная плата одного работника;
ЧР –
численность работников.
Эти
показатели сравниваются с плановыми, данными за предшествующие периоды,
аналогичными показателями на предприятиях - конкурентах, с показателями по
оплате труда в регионе.
9. При оценке
состава средств, следует сравнить плановую смету средств, направляемых на
оплату труда, с фактической сметой, определив отклонение в удельном весе каждой
статьи. Следует учитывать, что основным элементом фонда заработной платы,
выплачиваемой в денежной форме, является оплата труда за фактически выполненную
работу. Эта статья в условиях стабильной экономики занимает 70-80 % в общих
расходах. Из этой цифры и следует исходить при проведении анализа.
Методика анализа фонда заработной платы
Анализ
использования фонда заработной платы начинают с расчёта абсолютного и
относительного отклонения фактической его величины от плановой. Абсолютное
отклонение
определяется
сравнением фактически использованных средств на оплату труда (ФЗПф)
с плановым фондом заработной платы (ФЗПпл) в целом по предприятию,
производственным подразделением и категориям работников:
.
Однако
абсолютное отклонение рассчитывается без учёта степени выполнения плана по
производству продукции. Учесть этот фактор поможет расчёт относительного
отклонения фонда заработной платы
.
Для этого
переменная часть фонда заработной платы (ФЗПпер) корректируется на
коэффициент выполнения плана по производству продукции (Кпп). К
переменной части фонда заработной платы относят зарплату рабочих по сдельным
расценкам, премии рабочим и управленческому персоналу за производственные
результаты, сумму отпускных, соответствующую доле переменной зарплаты, другие
выплаты, относящиеся к фонду заработной платы и которые изменяются
пропорционально объёму производства продукции.
Постоянная
часть оплаты труда (ФЗПпост) не изменяется при увеличении или спаде
объёма производства – это зарплата рабочих по тарифным ставкам, зарплата
служащих по окладам, все виды доплат, оплата труда работников непромышленных
производств и соответствующая им сумма отпускных. Относительное отклонение
фонда заработной платы:
.
В процессе
последующего анализа определяют факторы, вызвавшие абсолютное и относительное
отклонения по фонду заработной платы. Факторная модель переменной части фонда
зарплаты представлена на рис.1.
Рис.7. Схема
факторной системы переменного фонда зарплаты
Согласно этой
схеме модель будет иметь следующий вид
.
Для расчёта
влияния этих факторов на абсолютное и относительное отклонение по фонду
зарплаты необходимы следующие данные:
1. Фонд
заработной платы:
а) по плану:
;
б) по плану,
пересчитанному на объём производства, при плановой структуре:
;
в) по плану,
пересчитанному на фактический объём производства продукции и фактическую
структуру:
;
д) фактически
при фактической удельной трудоёмкости и плановом уровне оплаты труда:
;
е)
фактически:
.
2. Отклонение
от плана:
абсолютное:
;
относительное:
Расчёт
влияния факторов на изменение переменной части фонда оплаты труда проводят по
формулам:
· влияние
объёма производства продукции:
;
· влияние
изменения структуры произведённой продукции:
;
· влияние
изменения удельной трудоёмкости продукции:
;
· влияние
изменения оплаты труда:
.
В конце
анализа необходимо провести проверку произведённых расчётов:
;
.
Факторная
модель постоянной части фонда оплаты труда представлена на рис.2.
Согласно этой
схеме модель будет иметь следующий вид:
Аналогично
можно представить факторную модель для фонда заработной платы служащих.
Рис. 8.
Детерминированная факторная система фонда заработной платы
рабочих-повременщиков
В процессе
анализа необходимо также установить эффективность использования фонда
заработной платы. Для расширенного воспроизводства получения необходимой
прибыли и рентабельности необходимо, чтобы темпы роста производительности труда
опережали темп роста его оплаты. Если этот принцип не соблюдается, то
происходит перерасход фонда зарплаты, повышение себестоимости продукции и,
соответственно, уменьшение суммы прибыли.
Изменение
среднего заработка работающих за период характеризуется его индексом (JЗП):
;
Изменение
среднегодовой выработки определяется аналогично на основе индекса
производительности труда (Jпт):
.
Темп роста
производительности труда должен опережать темп роста средней заработной платы.
Для этого рассчитывают коэффициент опережения Коп и анализируют его
в динамике:
.
Затем
производят подсчёт суммы экономии (перерасхода) (Э) фонда заработной
платы в связи с изменением соотношений между темпами роста производительности
труда и его оплаты:
.
В условиях
высокой инфляции при анализе индекса роста средней заработной платы необходимо
базисный показатель средней зарплаты (СЗ0) скорректировать на индекс
роста цен на потребительские товары и услуги (Jу)
,
где СЗ1 -
средняя зарплата в отчётном периоде.
В процессе
анализа целесообразно рассчитать и сравнить в динамике или с межзаводскими
данными такие показатели, как производство товарной продукции, сумму валовой
прибыли, сумму отчислений в фонд накопления на рубль зарплаты.
Список
литературы
1.
Экономика
предприятия (фирмы): Учебник / Под. ред. проф. О.И. Волкова. – М.: ИНФРА-М,
2005. – 601 с.
2.
Грузинов
В.П., Грибов В.Д. Экономика предприятия: Учеб. пособие – М.: Финансы и
статистика, 2005. – 208 с.
3.
Сергеев
И.В. Экономика предприятия. Учеб. пособие. – М.: Финансы и статистика, 2005. –
304 с.
4.
Экономика
предприятия / Под ред. Е.Л. Кантора. – СПб.: Питер, 2006. – 352 с.
5.
Экономика
предприятия: Учеб. пособие / Под ред. Г.З. Суша. – М.: Новое знание, 2004. –
384 с.
6.
Экономика
предприятия / В.Я. Хрипач, Г.З. Суша, Г.К. Оноприенко; Под ред. В.Я. Хрипача. –
2-е изд. стереотип. – Мн.: Экономпресс, 2001. – 464 с.
7.
Попова
Р.Г., Самонова И.Н., Добросердова И.И. Финансы предприятия. – СПб.: Питер,
2002. – 224 с.
8.
Баканов
М.И., Мельник М.В., Шеремет А.Д. Теория экономического анализа. – Москва. -20с.
9.
Савицкая
Г.В. Анализ хозяйственной деятельности предприятий. – Минск, 2001. – 494с.
10.
Савицкая
Г.В., Мисуно А.А. Анализ производственно-финансовой деятельности предприятий. –
Минск, 2003.-405с.
11.
Савицкая
Г.В., Мисуно А.А. Резервы повышения эффективности сельскохозяйственного
производства: методика вычисления и подсчета. – Минск, 2002. – 211с.
12.
Смекалов
П.Е Ораевская Г.А Анализ хозяйственной деятельности предприятий: Учеб. Для
вузов. – Москва, 2004. – 351с.
13.
Шеремет
А.Д., Сайфулин Р.С. Методика финансового анализа. – Москва, 2000. -217с