Повышение эффективности управления основным капиталом предприятия ОАО "КБ Сухой"
Содержание
Введение
1. Основной капитал предприятий и особенности управления им
1.1 Сущность основного капитала, его структура и классификация
1.2 Показатели эффективности использования основного
капитала
1.3 Современные подходы к управлению основным капиталом
2. Анализ эффективности управления основным капиталом на
ОАО "КБ "Сухой"
2.1 Краткая характеристика предприятия
2.2 Анализ показателей финансово-хозяйственной деятельности
2.3 Анализ эффективности использования основного капитала
2.4 Анализ системы управления основным капиталом
3. Разработка мероприятий по повышению эффективности
системы управления основным капиталом ОАО "КБ "Сухой"
3.1 Основные направления совершенствования
3.2 Определение экономической эффективности внесенных
предложений
Заключение
Список использованной
литературы
Введение
Основные фонды предприятия – это его зеркало,
отражающее эффективность использования ресурсов в процессе производства. Это
все то, с помощью чего различное сырье преобразуется в конечный продукт.
Следовательно, главной задачей
экономического анализа в данной ситуации считается возможность оценки эффективности
данного хозяйственного процесса. При этом полнота и достоверность результатов
анализа основных фондов зависят от качества и содержания экономической
информации, используемой в анализе. Как правило, возможности экономического
анализа на предприятиях часто ограничены низким уровнем организации
оперативно-технического учета времени и простоев оборудования, их
производительности и степени загрузки отсутствием аналитических, финансовых
результатов по операциям с объектами основных фондов. Очень важным поставщиком
информации могут выступать данные бухгалтерского учета.
Основные фонды требуют пристального
внимания и изучения. Ведь это – важнейший элемент экономического потенциала. В
дипломной работе отражены следующие моменты
– установление обеспеченности предприятия
и его структурных подразделений основными фондами – соответствие величины,
состава и технического уровня фондов, потребности в них;
- изучение состава и динамики основных
фондов;
- знакомство с темпами обновления активной
части основных фондов;
- определение степени использования
основных фондов и факторов, на них повлиявших;
- определение влияния использования
основных фондов на объем продукции и другие экономические показатели работы
предприятия;
- выявление резервов роста фондоотдачи, увеличения
прибыли и т.д. за счет улучшения использования основных фондов.
Основной же целью анализа основных фондов
является определение путей повышения эффективности их использования.
Целью настоящей дипломной работы является
разработка рекомендаций по повышению эффективности управления основным
капиталом на ОАО «КБ «Сухой». Для достижения поставленной цели в работе решены
следующие задачи:
1.
рассмотрены теоретические основы
управления основным капиталом, его сущность и методы оценки эффективности
использования основного капитала;
2.
проведена оценка системы управления
основным капиталом на ОАО «КБ «Сухой»;
3.
разработан комплекс мероприятий по
повышению эффективности использования основного капитала на ОАО «КБ «Сухой».
Таким образом, объектом данного исследования
является ОАО «КБ «Сухой», предметом – система управления основным капиталом на
ОАО «КБ «Сухой».
Поставленные цель и задачи обусловили
структуру и логику исследования, которое состоит из введения, трех глав,
заключения, списка использованной литературы и приложений.
1. Основной
капитал предприятий и особенности управления им
1.1 Сущность основного капитала, его структура и
классификация
Основные фонды – это часть
производственных фондов, которая участвует в процессе производства длительное
время, сохраняя при этом свою натуральную форму, а их стоимость переносится на
продукцию постепенно, по частям, по мере использования. Основные средства – это
выраженные в стоимостной форме основные фонды.
Сущность основных фондов можно
охарактеризовать следующим образом:
• они вещественно воплощены в средствах
труда;
• их стоимость по частям переносится на
продукцию;
• они сохраняют натуральную форму
длительное время по мере износа;
• возмещаются на основе амортизационных
отчислений по истечении срока службы.
Износ основных фондов учитывается по
установленным нормам амортизации, сумма которой включается в себестоимость
продукции. После реализации продукции начисленный износ накапливается в особом
амортизационном фонде, который предназначается для новых капитальных вложений.
Таким образом, основной капитал совершает постоянный кругооборот, переходя из
денежной формы в натуральную, в товарную и снова в денежную. В этом состоит
экономическая сущность основных фондов. Основные фонды пополняются за счет
капитальных вложений.
Основные производственные фонды
промышленности – это огромное количество средств труда, которые несмотря на
свою экономическую однородность отличаются целевым назначением и сроком службы.
Поэтому для учета, оценки и планирования воспроизводства основные фонды делятся
на группы и виды в соответствии со сроком службы и назначением в
производственном процессе, и классифицируются по ряду признаков (рис. 1.1).
Рис. 1.1 – Классификация основных фондов[1]
По принципу натурально-вещественного
состава действующая классификация объединяет основные фонды в определенные
группы. Каждая группа состоит из множества разнообразных средств труда.
• Здания – здания и строения, в которых
происходят процессы основных, вспомогательных и подсобных производств;
административные здания; хозяйственные строения. В стоимость этих объектов
кроме строительной части включается и стоимость систем отопления, водопровода,
электроарматуры, вентиляционных устройств и др. Стоимость зданий в составе
основных промышленно – производственных фондов России занимает 28%.
• Сооружения. В группу сооружений,
составляющую, соответственно, 21% включаются инженерно-строительные объекты,
которые необходимы для осуществления процесса производства: дороги, эстакады,
тоннели, мосты и др.
• Передаточные устройства (6%) –
водопроводная и электрическая сеть; теплосеть, газовые сети, паропроводы, т.е.,
объекты, осуществляющие передачу различных видов энергии от машин-двигателей к
рабочим машинам (нефтепроводы, газопроводы и т.п.).
• Машины и оборудование. Особо многочисленный
и разнообразный состав имеет четвертая группа. Сюда входят силовые машины и
оборудование, включающие все виды энергетических агрегатов и двигателей;
рабочие машины и оборудование, которые непосредственно воздействуют на предмет
труда или его перемещение в процессе создания продукции; измерительные или
регулирующие приборы и устройства и лабораторное оборудование, предназначенные
для измерений, регулирования производственных процессов, проведения испытаний и
исследований; с 1972 года в отдельную подгруппу выделена вычислительная
техника: электронно–вычислительные, управляющие аналоговые машины, а также
машины и устройства, применяемые для управления производством и
технологическими процессами; прочие машины и оборудование, которые не отнесены
к перечисленным подгруппам[2].
Удельный вес группы «машины и
оборудование» составлял в 2006 году 43% в общей стоимости основных фондов
промышленности.
• Транспортные средства (принадлежащий
предприятиям подвижной состав железных дорог, водный и автомобильный транспорт,
а также внутризаводские транспортные средства: автокары, вагонетки, тележки и
др.). Доля транспортных средств возросла до 18%.
• Инструменты и приспособления. В составе
основных фондов учитываются инструменты всех видов сроком службы свыше 1 года.
Инструменты и инвентарь, служащие менее 1 года относятся к оборотным фондам.
• Производственный и хозяйственный
инвентарь и принадлежности, предназначенные для хранения материалов,
инструментов и облегчения выполнения производственных операций – верстаки,
стеллажи, столы, контейнеры, предметы конторского и хозяйственного назначения
(мебель, несгораемые шкафы, множительные аппараты, предметы противопожарного
назначения и др.).
• Рабочий и продуктивный скот. Рабочий
скот (лошади, быки, волы, верблюды и др.) выделен в отдельную группу с 1996
года. В состав основных фондов входит и продуктивный скот – взрослые животные,
дающие продукцию и приплод (коровы, овцематки, свиноматки и др.). Стоимость
молодняка, скота и животных на откорме включается в состав оборотных средств
сельскохозяйственных предприятий.
• Многолетние насаждения. К основным
фондам относятся многолетние насаждения: плодоносящие сады, ягодники,
лесозащитные полосы.
• Внутрихозяйственные дороги.
• Земельные участки, находящиеся в
собственности предприятия.
• Прочие основные фонды[3].
Под влиянием НТП, направлений
экономической и амортизационной политики государства классификация основных
фондов периодически пересматривается. Наиболее общим классификационным делением
основных фондов является их структура по сферам деятельности (по
функциональному назначению).
По функциональному назначению основные
фонды делятся на основные производственные и основные непроизводственные фонды.
К основным производственным относятся фонды (около 80%), которые
непосредственно участвуют в производственном процессе (машины, оборудование,
станки и др.), или создают условия для производственного процесса
(производственные здания, сооружения, трубопроводы и др.). Основные
непроизводственные фонды (более 20%) – это объекты бытового и культурного
назначения, медицинские учреждения, жилые дома, детские и спортивные учреждения
и т.п., которые находятся на балансе предприятия, но в отличие от
производственных фондов они не участвуют в процессе производства и не переносят
своей стоимости на продукт. Стоимость их исчезает в потреблении. Фонд
возмещения не создается. Воспроизводятся они за счет национального дохода.
В современных условиях многие организации
непроизводственной сферы преобразованы в коммерческие предприятия, и отраслевое
деление основных фондов перестало отражать эту пропорцию. В действующем
Общероссийском классификаторе основных фондов предусмотрена иная группировка по
секторам экономики: отрасли, производящие товары (52%) и отрасли, оказывающие
рыночные и нерыночные услуги (48%).
По принадлежности основные фонды
подразделяются на собственные и арендованные.
Основные производственные фонды в
зависимости от степени их воздействия на предмет труда разделяют на активные и
пассивные.
В приведенной классификации не все
элементы основных фондов играют одинаковую роль, одни из них (машины и
оборудование) принимают непосредственное участие в производственном процессе и
поэтому относятся к активной части основных фондов; другие (производственные здания
и сооружения) обеспечивают нормальное функционирование производственного
процесса и представляют собой пассивную часть основных фондов. Чем выше доля
активной части фондов, тем, при прочих равных условиях, больше выпуск
продукции, выше показатель фондоотдачи. Так, повышение доли активной части
основных фондов всего на 1% при соответствующих условиях будет способствовать
росту фондоотдачи на 0,3 – 0,35%, а это позволит увеличить выпуск продукции и
снизить ее себестоимость.
Классификация основных фондов по секторам
и отраслям народного хозяйства позволяет отслеживать и корректировать
направления развития экономики: эффективнее использовать стимулирующие рычаги
развития прогрессивных и приоритетных отраслей. В зависимости от отраслей
народного хозяйства основные фонды делятся на основные производственные фонды
промышленности, сельского хозяйства, лесного хозяйства, строительства,
транспорта, торговли и др. В промышленности России сосредоточено более 34%
стоимости основных фондов, 13% - в сельском хозяйстве, 4% - в строительстве,
13% - на транспорте и в связи, 18% - в жилищном хозяйстве; на здравоохранение,
образование, культуру и искусство приходится всего 6,5% стоимости фондов, а на
науку - 1,3%. Отраслевая структура основных фондов должна быть перестроена: удельный
вес отраслей, непосредственно занятых обслуживанием жизни населения, будет
возрастать[4].
1.2 Показатели эффективности
использования основного капитала
Оценка по первоначальной стоимости
основных фондов (ОФперв) определяется на момент ввода объекта в
эксплуатацию:
ОФперв = Ц + Зд + Зу
+ Зпрч,
где Ц – цена основных фондов с учетом
упаковки;
Зд - затраты на доставку;
Зу - затраты на установку;
Зпрч – прочие затраты.
Восстановительная стоимость характеризует
стоимость воспроизводства основных фондов в современных условиях, то есть с
учетом достигнутого уровня развития производства, достижений НТП и роста
производительности труда, а также роста цен.
Балансовая стоимость основных фондов (ОФбал)
- это стоимость, по которой учитываются основные фонды на предприятии. Она
совпадает либо с первоначальной (ОФперв), либо с восстановительной
стоимостью (ОФвост):
где ОФвост n -
стоимость основных фондов, приобретенных до переоценки;
ОФперв к - стоимость
основных фондов, приобретенных после переоценки.
Оценка по остаточной стоимости (ОФост)
характеризует стоимость, еще не перенесенную на готовую продукцию:
ОФост = ОФбал - И,
где И - стоимость износа.
Под рыночной стоимостью объекта, входящего
в состав основных фондов, понимается наиболее вероятная цена, которая, в
принципе, может иметь место по договоренности продавцов и покупателей в случае
продажи этого объекта на свободном конкурентном рынке. При этом предполагается,
что продавцы и покупатели действуют разумно, не нарушая закона, объекты сделки
не нуждаются в срочной продаже или покупке, а оплата сделок производится в
денежной форме и не сопровождается дополнительными условиями.
Ликвидационная стоимость (ОФликв)
- это стоимость возможной реализации выбывающих основных средств.
Амортизируемая стоимость (ОФам)
- это стоимость основных фондов, которую необходимо перенести на готовую
продукцию:
.
В экономических расчетах используется
понятие среднегодовой стоимости основных фондов (ОФср.г):

,
где ОФн - стоимость основных
фондов на начало года;
ОФк - стоимость основных фондов на конец
года;
ОФi - стоимость основных фондов на начало
i-го месяца.
Экономическое содержание износа – это
потеря стоимости. Выделяют следующие виды износа:
- физический (изменение физических,
механических и других свойств основных фондов под воздействием сил природы,
труда и т.д.);
- моральный износ 1-го рода
(потеря стоимости в результате появления более дешевых аналогичных средств
труда);
- моральный износ 2-го рода
(потеря стоимости, вызванная появлением более производительных средств труда);
- социальный износ (потеря
стоимости в результате того, что новые основные фонды обеспечивают более
высокий уровень удовлетворения социальных требований);
- экологический износ (потеря
стоимости в результате того, что основные фонды перестают удовлетворять новым
повышенным требованиям к охране окружающей среды, рациональному использованию
природных ресурсов и т.п.)[5].
Полный износ – это полное обесценивание
основных фондов, когда дальнейшая их эксплуатация в любых условиях убыточна или
невозможна. Износ может наступить как в случае работы, так и в случае
бездействия основных фондов.
Процесс переноса стоимости основных
средств на готовую продукцию и возмещение этой стоимости в процессе реализации
продукции называется амортизацией. Амортизационные отчисления - это денежное
выражение размера амортизации, которое должно соответствовать степени износа
основных фондов.
Размер амортизационных отчислений зависит
от балансовой стоимости основных фондов и норм амортизационных отчислений.
Норма амортизации - это установленный размер амортизационных отчислений за
определенный период времени по конкретному виду основных фондов, выраженный,
как правило, в процентах к балансовой стоимости. Норма амортизации показывает
процент ежегодного возмещения стоимости основных фондов:
где На - норма амортизации;
Тэ - число лет эксплуатации.
В некоторых случаях амортизационные
отчисления производятся пропорционально объему выполненных работ.
Годовые амортизационные отчисления в
стоимостном выражении (Аг) можно рассчитать по следующей формуле:

,
где (На)i -
дифференцированные нормы амортизации, установленные для каждой группы основных
фондов;
n - количество групп основных фондов.
Остаточная стоимость основных фондов (ОФост)
с учетом амортизационных отчислений может быть рассчитана по следующей формуле:
где Тэ - число лет эксплуатации
основных фондов;
- износ основных фондов в стоимостном выражении.
Фактический износ основных фондов
определить чрезвычайно сложно, поэтому в практике экономических расчетов износ
принимается равным сумме амортизационных отчислений[6]. Для оценки степени износа основных
фондов используется коэффициент износа:
.
Начисление амортизационных отчислений
производится ежемесячно:
На введенные в действие основные фонды
начисление амортизации начинается с первого числа следующего за датой ввода
месяца. На списанные основные фонды начисление амортизации прекращается с
первого числа, следующего за датой списания месяца. Нормы амортизационных
отчислений могут корректироваться в зависимости от конкретных условий
эксплуатации основных фондов. Амортизационные отчисления на полное
восстановление активной части основных фондов производится только в течение
нормативного срока их службы или срока, за который балансовая стоимость этих
фондов полностью переносится на издержки. По другим - видам основных средств в
течение всего фактического срока службы.
Нормы амортизации по жилым зданиям
устанавливаются только для исчисления износа.
Ускоренная амортизация является целевым
методом более быстрого по сравнению с нормативными сроками службы основных
фондов полного перенесения их балансовой стоимости на издержки[7].
Количественные характеристики
воспроизводства основных фондов рассчитываются по следующей принципиальной
формуле:
ОФн + ОФв - ОФл
=ОФк,
где ОФн, ОФк -
стоимость основных фондов на начало и конец года;
ОФв - стоимость введенных
основных фондов;
ОФл - стоимость списанных
основных фондов.
Движение основных фондов можно
характеризовать с помощью следующих коэффициентов:
- коэффициент обновления;
- коэффициент выбытия.
Коэффициент обновления показывает удельный
вес введенных в отчетном периоде основных фондов. Коэффициент выбытия
показывает удельный вес выбывших основных фондов. Эта группа показателей
характеризует только движение основных фондов и ничего не говорит об их
использовании. Эффективность использования основных фондов определяется с
помощью системы показателей, подразделяемых на обобщающие и частные. Первые
характеризуют эффективность использования всей совокупности основных фондов,
вторые - отдельных элементов основных фондов. К первой группе относятся:
1) фондоотдача (Фо), которая
показывает, сколько продукции (в стоимостном выражении) выпущено на 1 рубль
стоимости основных производственных фондов:
где Q - объем выпущенной продукции;
ОФср.г - среднегодовая
стоимость основных производственных фондов;
2) фондоемкость (Фе), которая
показывает, сколько затрачено основных фондов для производства 1 рубля
продукции:
3) фондовооруженность (Фв)
труда показывает стоимость основных фондов, приходящихся на одного работника:
где Ч - среднесписочная численность
работников.
Основными факторами роста фондоотдачи
являются:
• улучшение структуры основных фондов,
т.е. повышение удельного веса их активной части до оптимальной величины,
рациональное соотношение различных видов оборудования;
• повышение производительности
оборудования в результате технического перевооружения, реконструкции
действующих и строительства новых предприятий;
• повышение коэффициента сменности работы
оборудования;
• улучшение использования времени и
мощности;
• ускорение освоения вновь вводимых
мощностей;
• интенсификация производственных
процессов путем внедрения новых технологий, машин и оборудования;
• замена ручного труда машинным[8].
Обратной величиной фондоотдачи является
показатель – фондоемкости (Ф/е) продукции.
Фондоемкость показывает долю стоимости
основных фондов, приходящуюся на каждый рубль выпускаемой продукции. Если фондоотдача должна иметь тенденцию к увеличению, то
фондоемкость – к снижению. Фондоемкость рассчитывается как отношение стоимости
основных производственных фондов к объему выпускаемой продукции по следующей
формуле:
.
Показатель фондоемкости определяет
необходимую величину основных фондов для производства продукции заданного
объема на перспективный период. Если объем товарной продукции на перспективный
период не изменяется, то нет необходимости увеличивать основные фонды – следует
только их совершенствовать, т.е. заменять устаревшее оборудование прогрессивной
техникой. При возрастании же объема товарной продукции целесообразно рассчитать
перспективную потребность в основных фондах.
Последовательность расчета величины
основных производственных фондов на перспективный период следующая: сначала
определяется фондоемкость по текущему году как отношение величины действующих
основных фондов к объему товарной продукции. Умножая полученную фондоемкость на
перспективный объем продукции, получим величину основных фондов, обеспечивающую
выпуск продукции, т.е. рассчитаем стоимость основных фондов на перспективный
период.
Фондоемкость может быть определена на
единицу продукции в натуральном выражении и на рубль ее стоимости. Фондоотдача
же показывает, сколько продукции получено с каждого рубля действующего
основного капитала. Показатели фондоотдачи (капиталоотдачи) применяются в
основном для анализа уровня использования действующих фондов, а показатель
фондоемкости – главным образом, для планирования потребности в основных фондах
и капитальных вложениях при перспективном планировании или разработке новых
проектов.
Наряду с показателем фондоотдачи на
уровень использования основных фондов существенное влияние оказывает показатель
рентабельности (рентабельность всего имущества предприятия (Rи), рентабельность
собственных средств (Rс.с) и рентабельность производственных фондов (Rп.ф)).
Показателем, характеризующим уровень
использования ОПФ, является их рентабельность (Rф).
Показатель рентабельности имеет некоторые
недостатки: рентабельность может повышаться по причинам, не зависящим от
улучшения использования основных производственных фондов, например,
перепроизводства дорогостоящих изделий, завышения цен на новые изделия,
увеличения использования рабочей силы и др.[9]
Частные показатели, как правило,
натуральные, применяющиеся для характеристики использования основных фондов
чаще всего на предприятиях и в их подразделениях.
Все частные показатели использования
основных производственных фондов могут быть объединены в три группы:
• показатели экстенсивного использования
основных производственных фондов, отражающие уровень использования их по
времени;
• показатели интенсивного использования
основных фондов, характеризующие величину съема продукции (выполненной работы)
на единицу времени с определенного вида оборудования, или другими словами,
отражающие уровень их использования по мощности, производительности;
• показатели интегрального использования
основных производственных фондов, учитывающие совокупное влияние всех факторов
– как экстенсивных так и интенсивных.
К первой группе показателей относятся:
• коэффициент экстенсивного использования
оборудования;
• коэффициент сменности работы
оборудования;
• коэффициент загрузки оборудования;
• коэффициент использования планового,
режимного и календарного времени работы оборудования;
• показатель внутрисменных простоев; и др.
Вторая группа – показатели интенсивного использования
основных фондов, отражающие уровень их использования по мощности.
Интенсивная загрузка основных фондов
приводит к снижению себестоимости продукции (за счет сокращения всех постоянных
расходов) и росту производительности труда. Однако показатель интенсивной
нагрузки основных фондов в большей степени, чем показатель экстенсивной
нагрузки, связан с характером производства и технологического процесса.
Показателем интенсивного использования
основных фондов является коэффициент интенсивного использования оборудования.
Коэффициент интенсивного использования
оборудования определяется отношением фактической производительности основного
оборудования к его нормативной производительности, т.е. прогрессивной
технически обоснованной производительности.
К третьей группе показателей использования
основных фондов относится коэффициент интегрального использования оборудования,
который характеризует уровень использования машин и оборудования как по
времени, так и по мощности.
Коэффициент интегрального использования оборудования
определяется как произведение коэффициентов экстенсивного и интенсивного
использования оборудования.
Значение этого показателя всегда ниже
значений двух предыдущих, так как он учитывает одновременно недостатки и
экстенсивного и интенсивного использования оборудования.
В большинстве случаев частные
(натуральные) показатели, к которым относятся показатели экстенсивного и
интенсивного использования оборудования, не могут быть применены, так как они
показывают лишь степень использования отдельных элементов основных фондов,
поэтому для определения использования всей массы основных фондов на
предприятиях и в отраслях народного хозяйства применяются обобщающие
показатели.
Структура основных производственных
фондов, увеличение выпуска продукции, снижение себестоимости и рост накоплений
предприятий зависят от степени их использования.
Важнейшей характеристикой потенциальных
возможностей и степени использования основных производственных фондов является
производственная мощность предприятия.
Под производственной мощностью понимается
максимально возможный годовой (суточный) объем выпуска продукции при заданных
номенклатуре и ассортименте с учетом наилучшего использования всех ресурсов,
имеющихся на предприятии.
Производственные мощности измеряются, как
правило, в тех же единицах, в которых планируется производство данной продукции
в натуральном выражении (в тоннах, штуках, метрах). Так, например,
производственная мощность предприятий пищевой промышленности измеряется в
тоннах сырья, перерабатываемого в готовую продукцию; машиностроительных заводов
– в штуках изготовляемых машин; металлургических предприятий – в тоннах
выплавки металла и производства проката[10].
По продукции, имеющей широкую
ассортиментную шкалу, производственные мощности могут выражаться в
условно-натуральных единицах. Если предприятие выпускает несколько видов
различной продукции, то производственные мощности устанавливаются по каждому
виду отдельно.
Производственная мощность предприятия
определяется по мощности основных производственных цехов, участков или
агрегатов т.е. по мощности ведущих производств. Ведущими считаются цех, участок
или оборудование, выполняющие основные и наиболее массовые операции по изготовлению
продукции, и в которых сосредоточена преобладающая часть оборудования. К
ведущему оборудованию относят также дорогостоящее оборудование, оборудование,
на котором выполняются наиболее трудоемкие и энергоемкие операции, и
оборудование, занимающее значительные производственные площади. Перечень
ведущего оборудования приводится в отраслевых инструкциях по определению
производственной мощности.
При разработке производственной программы
может оказаться, что отдельные производства (вспомогательные или даже основные)
отстают от ведущих. В таких случаях разрабатываются организационно-технические
мероприятия по ликвидации «узких мест», в частности:
• перераспределение работ между
исполнителями;
• увеличение сменности работы;
• внедрение научной организации труда;
• перераспределение оборудования между
цехами;
• углубление специализации и
кооперирования;
• улучшение технической оснащенности
производства;
• модернизация и пополнение парка
оборудования.
Основными элементами (факторами), определяющими величину производственной мощности
предприятия, являются:
• состав оборудования и его количество по
видам;
• технико-экономические показатели
использования машин и оборудования (производительность оборудования);
• фонд времени работы оборудования
(сменность, продолжительность одной смены, прерывное, непрерывное производство
и т.п.);
• производственная площадь предприятия
(основных цехов);
• намечаемые номенклатура и ассортимент,
непосредственно влияющие на трудоемкость продукции при данном составе
оборудования.
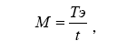
В общем виде производственная мощность
предприятия (цеха) может быть определена по формуле:
где М – производственная мощность, в
принятых единицах измерения;
Тэ – эффективный (максимально возможный)
фонд времени работы ведущего оборудования, ч;
t – трудоемкость обработки изделия на
ведущем оборудовании, ч.
При определении состава оборудования
учитывается все оборудование по видам, установленное на начало года, а также
то, которое должно быть введено в эксплуатацию в плановом году. В расчет
мощности не включается резервное оборудование, а также оборудование,
находящееся во вспомогательных цехах (ремонтных, инструментальных) и в ведении
технических служб предприятия.
Производственная мощность цеха или
участка, оснащенного однотипным оборудованием, может быть определена по
формуле:
Производственная мощность цеха,
оснащенного разнородным оборудованием, определяется так же, как мощность
предприятия, - исходя из производительности парка ведущих групп оборудования,
характеризующих профиль данного подразделения. Возможная производительность
оборудования, закладываемая в расчет производственной мощности, определяется на
основе прогрессивных норм использования каждого вида этого оборудования[11].
Определение фонда времени работы
оборудования имеет специфику для предприятий с прерывным и непрерывным процессами
производства. Для предприятий с непрерывным процессом производства он
рассчитывается исходя из полного календарного времени работы оборудования за
вычетом часов, отводимых в плане на ремонт.
Для предприятий с прерывным процессом
производства годовой фонд времени работы оборудования определяется путем
умножения числа рабочих дней в году на количество часов работы в сутки (в
соответствии с установленным режимом работы данного предприятия), исключая ту
часть рабочего времени, которая отводится в планируемом году на ремонт
оборудования. Следует учесть, что при расчете величины производственной
мощности не принимаются во внимание простои оборудования, вызванные недостатком
рабочей силы, сырья, топлива, электроэнергии или организационными неполадками,
а также потери времени, связанные с ликвидацией брака продукции.
Производственная мощность предприятия не
является постоянной величиной. По мере использования новой техники, внедрения
прогрессивной технологии, материалов, развития специализации и кооперирования,
совершенствования структуры производства и т.п. производственная мощность
изменяется, и подлежит периодическому пересмотру.
Для установления степени соответствия
мощностей различных цехов определяется коэффициент сопряженности ведущего звена
предприятия и остальных производственных звеньев.
Коэффициент сопряженности определяется отношением мощности ведущего цеха к мощности
остальных цехов, в том числе к пропускной способности вспомогательных и
обслуживающих производств. Этот коэффициент позволяет выявить «узкие» места и
разработать меры по их устранению.
Для обоснования производственной программы
производственными мощностями, специализации и кооперирования производства, а
также определения необходимой величины реальных инвестиций для наращивания
производственной мощности на каждом предприятии ежегодно должен разрабатываться
баланс производственной мощности. Баланс производственной мощности включает:
• мощность предприятия на начало
планируемого периода (Мн.г.);
• величину прироста производственной
мощности за счет различных факторов (модернизации, реконструкции, технического
перевооружения и др.) (Мвв.);
• размеры уменьшения производственной
мощности в результате выбытия, передачи и продажи основных производственных
фондов, изменения номенклатуры и ассортимента продукции, изменения режима
работы предприятия и других факторов (Мвыб.);
• величину выходной производственной
мощности, т.е. мощности на конец планируемого периода (Мк.г.);
• среднегодовую производственную мощность
(Мср.г.) предприятия.
Уровень использования производственной
мощности измеряется рядом показателей. Основной из них – коэффициент
фактического (планового) использования среднегодовой производственной мощности
(Ки.м.). Он определяется отношением фактически (по плану) произведенной
продукции за определенный период времени к среднегодовой производственной
мощности за тот же период.
Следующий показатель – коэффициент
загрузки оборудования. Он рассчитывается как отношение фактически
использованного фонда времени (в станко-часах) всего оборудования или его групп
к располагаемому фонду времени по тому же парку оборудования за тот же период.
Этот показатель выявляет излишнее или недостающее оборудование.
Для устойчивой работы предприятия, а также
для улучшения качества и обновления выпускаемой продукции необходимо иметь
оптимальный резерв производственной мощности. Величина этого резерва
определяется спецификой производства и колеблется от 10% до 20%.
1.3 Современные подходы к
управлению основным капиталом
Необходимым условием реализации основной
цели предпринимательства — получение прибыли на авансированный капитал —
является планирование воспроизводства капитала, которое охватывает стадии
инвестирования, производства, реализаций (обмена) и потребления.
Формирование и использование различных
денежных фондов для возмещения затрат капитала, его накопления и потребления
составляет суть механизма финансового управления на предприятии.
Независимо от того, разделяется ли капитал
предприятия на собственный, заемный, основной или оборотный, постоянный или
переменный, он находится в процессе непрерывного движения, принимая лишь
различные формы в зависимости от конкретной стадии кругооборота.
Совокупность кругооборотов различных
частей капитала предприятия за период представляет собой его полный оборот или
воспроизводство (простое или расширенное).
Понятие “внеоборотные активы” и “основной
капитал” тождественны. Основной капитал включает основные средства, а также
незавершенные долгосрочные инвестиции, нематериальные активы и новые
долгосрочные финансовые инвестиции (вложения), как это показано на рис. 3.1.
Основные средства, арендованные с правом
последующего выкупа или в конце аренды по условиям договора, переходящие в
собственность арендатора, учитываются также, как собственные основные средства.
Стоимость основных средств постепенно
погашается в течение срока их полезной эксплуатации путем ежемесячных
амортизационных отчислений, которые включаются в издержки производства или
обращения за соответствующий отчетный период.
В состав основного капитала также
включаются затраты на незавершенные капитальные вложения в основные средства и
на приобретение оборудования. Это — та часть затрат на приобретение и
строительство основных средств, которая еще не превратилась в основные
средства, не может участвовать в процессе хозяйственной деятельности, а поэтому
не должна подвергаться амортизации. В бухгалтерском учете эти затраты
учитываться на счете 08, обособленно от основных средств, участвующих в
хозяйственном процессе, учет которых ведется на счете 01. В основной капитал
эти затраты включаются по той причине, что они уже изъяты из оборотного
капитала (на их величину уменьшена сумма оборотного капитала).
Долгосрочные финансовые инвестиции
представляют собой затраты на долевое участие в уставном капитале в других
предприятиях, на приобретение акций и облигаций на долговременной основе. К
финансовым инвестициям относятся также долгосрочные займы, выданные другим
предприятиям под долговые обязательства; стоимость имущества, переданного в
долгосрочную аренду на праве финансового лизинга (т. е. с правом выкупа или
передачи собственности на имущество по истечении срока аренды).
Затраты на долгосрочные финансовые вложения
погашаются в зависимости от характера и вида.
Основные средства - это средства,
вложенные в совокупность материально-вещественных ценностей, относящихся к
средствам труда. Бизнес как система функционирует и развивается в результате
предшествующих вложений капитала и, прежде всего, в основные средства.
Получение прибыли сегодня это результат правильных решений о пропорциях
вложения капитала в основные и текущие (оборотные) средства, принятых еще до
начала операционной деятельности предприятия. Поэтому эффективное управление
основным капиталом предполагает ясное представление о специфике их
функционирования и воспроизводства.
При оценке эффективности вложений
предприятия в основные средства, анализа их эксплуатации и воспроизводства
необходимо исходить из следующих принципиальных положений:
функциональная полезность основных средств
сохраняется в течение ряда лет, поэтому расходы по их приобретению и
эксплуатации распределены во времени;
момент физической замены (обновления)
основных средств не совпадает с моментом их стоимостного замещения, в
результате чего могут возникнуть потери и убытки, занижающие финансовые
результаты деятельности предприятия;
эффективность использования основных
средств оценивается по-разному в зависимости от их вида, принадлежности,
характера участия в производственном процессе, а также назначения. Поскольку
основные средства обслуживают не только производственную сферу деятельности
предприятия, но и социально-бытовую, эффективность их использования
определяется не только экономическими, но и социальными, экологическими и
другими факторами.
Основные средства и долгосрочные
инвестиции в основные средства оказывают многоплановое и разностороннее влияние
на финансовое состояние и результаты деятельности предприятия. Характер этого
влияния представлен в табл. 1.1.
Финансовые показатели использования
основных средств могут быть объединены в следующие группы:
1. Показатели объема, структуры и динамики
основных средств;
2. Показатели воспроизводства и
оборачиваемости основных средств;
3. Показатели эффективности использования
основных средств;
4. Показатели эффективности затрат на
содержание и эксплуатацию основных средств;
5. Показатели эффективности инвестиций в
основные средства. Системообразующим принципом формирования финансовых показателей
использования основных средств являются конкретные потребности управления и
содержание принимаемых управленческих решений.
Таблица 1.1
Влияние хозяйственных операций с основными
средствами на финансовое состояние и результаты деятельности предприятия
|
Содержание операции
|
Влияние на финансовое состояние и результаты деятельности
предприятия
|
|
1
|
2
|
|
Получено безвозмездно от юридических и физических лиц
|
Поступление основных средств Увеличивается размер
собственного капитала предприятия. С одной стороны, это ведет к росту
устойчивости финансового положения, с другой — к повышению удельного веса
амортизационных отчислений и расходов на ремонт в себестоимости продукции,
что при низкой фондоотдаче безвозмездно полученных основных средств может
привести к уменьшению прибыли и рентабельности. Увеличиваются
внереализационные доходы предприятия на величину первоначальной или
остаточной стоимости. Одновременно на сумму износа увеличиваются
внереализационные расходы (убытки). На сумму расходов по доставке уменьшаются
спецфонды, либо чистая прибыль, либо нераспределенная прибыль прошлых лет. В
целом на сумму поступивших основных средств (за вычетом расходов по доставке)
увеличивается балансовая прибыль.
|
|
Приобретение основных средств за плату
|
Увеличиваются внеоборотные активы предприятия, изменяется
структура капитала предприятия. В целом замедляется оборот всего капитала,
сокращаются размеры наиболее ликвидных активов, ухудшается
платежеспособность. На величину расходов по доставке и монтажу объектов
уменьшается чистая прибыль или фонд накопления. Оборотные средства
увеличиваются на сумму уплаченного НДС (списываются на уменьшение
задолженности бюджету по НДС реализованную продукцию в течение 6 месяцев). По
приобретенным транспортным средствам помимо НДС уплачивается налог на
приобретение транспортных средств. Издержки производства увеличиваются на
сумму налога с владельцев транспортных средств.
|
|
Долгосрочная аренда основных средств
|
Увеличивается сумма внеоборотных активов и сумма
задолженности перед арендодателями. Периодически уменьшается денежная
наличность на сумму арендной платы и процента за аренду. На сумму процента
уменьшается чистая прибыль или фонд накопления.
|
|
Текущая аренда основных средств
|
Увеличивается сумма внеоборотных активов и сумма
задолженности перед арендодателями. Периодически уменьшается денежная
наличность на сумму арендной платы и процента за аренду. На сумму процента
уменьшается чистая прибыль или фонд накопления.
|
|
Текущая аренда основных средств
|
Издержки арендатора увеличиваются на сумму арендной платы,
а также не сумму расходов по капитальному ремонту (если это оговорено
условиями договора аренды).
|
|
Безвозмездная аренда основных средств
|
Выбытие основных средств Чистая прибыль, или фонд
накопления, или нераспределенная прибыль прошлых лет уменьшается на величину
остаточной стоимости переданных основных средств плюс расходы по выбытию,
плюс НДС. Уменьшается сумма основных средств.
|
|
Внесение вклада в уставный капитал дочернего предприятия
|
Вклад по цене соглашения выше остаточной ведет к росту
внереализационных доходов предприятия. В противном случае убытки относят на
уменьшение чистой прибыли или фонда накопления.
|
|
Продажа основных средств
|
Формируется финансовый результат (прибыль или убыток] от
прочей реализации, который увеличивает (уменьшает) балансовую прибыль
предприятия. Уменьшается размер основных средств, повышается ликвидность
баланса, ускоряется оборот всего капитала. Оптимальным вариантом продаж для
налогообложения прибыли является реализация основных средств по рыночной
стоимости. Однако оценка данной операции должна в первую очередь
производиться с точки зрения производственной потребности предприятия в
реализуемых объектах основных средств, возможности их замещения более
производительными.
|
|
Ликвидация основных средств
|
Финансовый результат выявляется по каждому ликвидируемому
объекту. Собственные источники предприятия уменьшаются на сумму
недовнесенного в бюджет НДС и на сумму недоамортизации ликвидируемого
объекта.
|
|
|
|
Полнота и достоверность расчета и анализа
показателей использования основных средств зависит от степени совершенства
бухгалтерского учета, отлаженности систем регистрации операций с объектами
основных средств, полноты заполнения учетных документов, точности отнесения
объектов к учетным классификационным группам, достоверности инвентаризационных
описей, глубины разработки и ведения регистров аналитического учета.
В качестве источников бухгалтерской
информации для анализа основных средств используются счета: 01 “Основные
средства”, 02 “Износ основных средств”, 03 “Долгосрочно арендуемые основные
средства”, 07 “Оборудование к установке”, 08 “Капитальные вложения”,
журналы-ордера № 10, 10/1, 12, 13, 16, данные аналитического учета по
соответствующим счетам, по видам и отдельным инвентарным объектам основных
средств (ведомости и карточки аналитического учета), форма № 1, форма № 2,
форма № 5 годовой и квартальной бухгалтерской отчетности предприятия, паспорт
стройки.
Необходимо отметить, что возможности
анализа эффективности функционирования основных средств на предприятиях
ограничены низким уровнем организации оперативно-технического учета времени
работы и простоев оборудования, их производительности и степени загрузки. На
предприятиях зачастую не проводится сравнительный анализ данных по аналогичным
объектам основных средств других предприятий и хозяйственных единиц.
Практически отсутствует аналитический учет финансовых результатов по операциям
с объектами основных средств. Аналитический учет основных средств на
предприятиях ограничен разделением объектов на классификационные группы, а внутри
групп - по инвентарным объектам и месту нахождения (эксплуатации) объектов у
лиц, ответственных за их сохранность. Аналитический учет капитального
строительства объектов и мощностей ограничен информацией паспорта стройки,
который в большинстве случаев по полной форме не заполняется.
Перечисленные особенности информационного
обеспечения сдерживают возможности применения полноценного факторного
моделирования и анализа основных средств для целей управления. Методику расчета
финансовых показателей использования основных средств и их применения для
управления основным капиталом покажем на примере отдельных аналитических задач.
2 Анализ
эффективности управления основным капиталом на ОАО «КБ «Сухой»
2.1 Краткая характеристика предприятия
Открытое акционерное общество “ОКБ Сухого”
является коммерческой организацией, созданной в соответствии с Законом
Российской Федерации №1531-1 от 03.07.91г. “О приватизации государственных и
муниципальных предприятий в Российской Федерации”, Государственной программой
приватизации государственных и муниципальных предприятий Российской Федерации
на 1992 год, Указом Президента Российской Федерации №721 от 1 июля 1992 года
“Об организационных мерах по преобразованию государственных предприятий,
добровольных объединений государственных предприятий в акционерные общества”, в
целях удовлетворения общественных потребностей, извлечения прибыли и обладает
полной хозяйственной самостоятельностью.
ОАО «Компания Сухой», ранее ГУП «АВПК Сухой» — ведущая российская компания,
занимающаяся разработкой, производством, маркетингом, обучением лётного
персонала, послепродажным обслуживанием, включая поставку запасных частей и
оборудования боевых и гражданских самолетов марки «Су» и «Бе». Полное
наименование — Открытое акционерное общество «Авиационная холдинговая
компания „Сухой“».
100 % акций компании принадлежат
российскому государству.
Генеральный директор — М. А. Погосян.
Компания вошла в состав Объединённой авиастроительной корпорации.
Головной компанией холдинга является ОАО «Компания
„Сухой“», которой принадлежат:
·
50 % + 1 акция ОАО «ОКБ Сухого»
·
74,5 % ОАО «КнААПО им. Ю. А. Гагарина»
(Комсомольск-на-Амуре)
·
74,5 % ОАО «НАПО им. В. П. Чкалова»
(Новосибирск)
·
87,93 % ЗАО «Гражданские самолеты
Сухого»
·
11,63 % ОАО «Корпорация „Иркут“»
(Иркутск)
·
38 % ОАО «ТАНТК им. Г. М. Бериева»
(Таганрог)
Компания является крупнейшим российским авиационным
холдингом. В состав холдинга входят конструкторские бюро и серийные
самолётостроительные заводы, что обеспечивает выполнение полного цикла работ в
авиастроении — от проектирования до производства и послепродажного обслуживания
авиационной продукции. Основными задачами компании являются обеспечение
современной авиационной техникой ВВС России, увеличение доли своей продукции на
внутреннем и внешнем рынках военной и гражданской авиации за счет перспективных
разработок и диверсификации своей продукции.
Продукция холдинга, боевые самолеты марки
«Су», составляют основу фронтовой авиации России и тактической авиации многих
стран мира. Некоторые фигуры высшего пилотажа типа: «Кобра Пугачёва», «Хук», «Кульбит»
были впервые выполнены на самолетах марки «Су».
Компания занимает 3-е место в мире по
объемам производства современных истребителей (по состоянию 2006 год). В
настоящее время компанией реализуются перспективные программы в области как
военного, так и гражданского авиастроения. В области гражданского авиастроения
реализуется программа создания семейства российских региональных самолетов
Sukhoi Superjet (ранее RRJ).
Техника марки «Су» принята на вооружение в
30 странах мира. Боевые самолеты марки «Су» поставлялись в Индию, Китай, Ирак,
Польшу, Чехию, Словакию, Венгрию, Германию, Сирию, Алжир, КНДР, Вьетнам,
Афганистан, Йемен, Египет, Ливию, Иран, Перу, Анголу, Эфиопию. Всего по
экспортным контрактам в зарубежные страны поставлено более 2 тысяч самолетов
«Су». На сегодняшний день приоритетными региональными рынками для самолетов
«Сухого» являются Китай, Индия, страны Юго-Восточной Азии.
Основными перспективными проектами
компании на являются:
·
производство истребителя поколения 4+
Су-35БМ
·
производство фронтового бомбардировщика
Су-34
·
разработка истребителя 5 поколения
·
производство гражданского
ближнемагистрального авиалайнера Sukhoi Superjet
В августе 2006 Государственный департамент США ввёл санкции
против российских государственных компаний «Рособоронэкспорт» и «Сухой». Их
обвиняют в нарушении закона «О нераспространении в отношении Ирана» от 2000
года, которым запрещается сотрудничество с Ираном в сфере распространения
оружия массового поражения. Введёнными санкциями запрещается американским
государственным органам покупать или продавать какие-либо товары, пользоваться
или оказывать услуги этим компаниям. В конце июля 2006 «Рособоронэкспорт»
заключил контракт на модернизацию 30 фронтовых бомбардировщиков Су-24 ВВС
Ирана, которые теоретически могут быть носителями тактического ядерного оружия.
Контракт будет исполнять фирма «Сухой».
2.2 Анализ показателей
финансово-хозяйственной деятельности
Анализ технико-экономических показателей
(ТЭП) работы предприятия в динамике представлен в таблице 2.1.
Таблица 2.1
Анализ технико-экономических показателей
|
Показатели
|
2006 год
|
2007 год
|
Относительная величина,
|
|
Объем производства работ, услуг тыс.руб.
|
278595
|
312821
|
112,3
|
|
Товарная продукция, тыс.руб.
|
-
|
-
|
-
|
|
Объем реализованных работ, услуг, тыс.руб.
|
278595
|
312821
|
112,3
|
|
Среднесписочная численность ППП
в том числе:
численность рабочих
численность служащих
|
862
710
152
|
796
640
156
|
92,3
|
|
Фонд оплаты труда, тыс.руб.
|
70774
|
78213
|
110,5
|
|
Среднемесячная заработная плата 1 работника, тыс.руб.
|
6,842
|
8,188
|
119,7
|
|
Себестоимость товарной продукции, руб.
|
-
|
-
|
|
Себестоимость реализованных работ, услуг, руб.
|
246411
|
308266
|
125,1
|
|
Затраты на 1 руб.товарной продукции, руб.
|
1,13
|
1,01
|
89,8
|
|
Производительность труда, руб.
|
323
|
393
|
121,6
|
|
Среднегодовая стоимость ОПФ, тыс.руб.
|
14433
|
22105
|
153,2
|
|
Среднегодовая стоимость оборотных средств, руб.
|
90569
|
91155
|
100,6
|
|
Прибыль (убыток) от реализации, тыс.руб.
|
32184
|
4555
|
14,2
|
|
Прибыль отчетного периода, тыс.руб.
|
25660
|
-196
|
-0,8
|
|
Прибыль, остающаяся в распоряжении предприятия (после
уплаты налогов), тыс. руб.
|
16319
|
-3334
|
-20,4
|
|
Рентабельность продукции, %
|
6,6
|
-1,1
|
-16,3
|
|
Рентабельность производства, %
|
24,4
|
-0,2
|
-0,7
|
Анализируя таблицу 2.1 можно сделать
вывод, что за 2007 год объем производства работ (оказания услуг) вырос на 12,3%
и составил 312821 тыс.руб. В то же время среднесписочная численность работников
сократилась на 7,7% по сравнению с 2006 годом и составила 796 человек, следует
отметить, что уменьшение количества работников произошло главным образом, за
счет уменьшения рабочих на 70 человек, количество служащих наоборот увеличилось
на 4 человека. Фонд оплаты труда вырос в 2007 году на 10,5%, а среднемесячная
заработная плата одного работника увеличилась на 19,7% соответственно и
составила 8188 руб. в месяц. В 2007 году сократились затраты на 1 руб. товарной
продукции на 0,12 руб. или на 10,2%. Необходимо отметить также рост
производительности трудана 21,6% по сравнению с 2006 годом. Среднегодовая
стоимость ОПФ увеличилась в 2007 году на 2,3%, а оборотных средств – на 0,6%.
Убыток от реализации в 2007 году стал меньше чем в 2006 на 53,2%. В 2007 году
получен убыток в сумме 3334 тыс.руб. Рентабельность продукции и производства
также снизилась по состоянию на 2007 год.
Таблица 2.2
Анализ структуры себестоимости работ
(услуг) ОАО «КБ «Сухой»
|
Элементы затрат
|
2006 год
|
2007 год
|
Отклонение
|
|
Тыс.руб.
|
Уд.вес, %
|
Тыс.руб.
|
Уд.вес.
|
Тыс.руб.
|
Уд.вес
|
|
Материальные затраты
|
128134
|
52%
|
163381
|
53%
|
35247
|
1%
|
|
Затраты на оплату труда
|
44354
|
18%
|
58571
|
19%
|
14217
|
1%
|
|
Отчисления на социальные нужды
|
14785
|
6%
|
18496
|
6%
|
3711
|
0%
|
|
Амортизационные отчисления
|
14785
|
6%
|
18496
|
6%
|
3711
|
0%
|
|
Прочие затраты
|
44354
|
18%
|
49323
|
16%
|
4969
|
-2%
|
Как видно из таблицы 2.2, наибольший
удельный вес в структуре себестоимости услуг занимают материальные затраты 53%
в 2007 году (52% в 2006 году). Наименьший удельный вес занимают отчисления на
социальные нужды и амортизационные отчисления (по 6% в общей структуре
себестоимости и в 2006 и в 2007 году). Следует отметить снижение доли прочих
затрат в 2007 году на 2%, что является положительным, однако в абсолютном
выражении данная статья затрат увеличилась по сравнению с 2006 годом на 4969
тыс.руб.
Таблица 2.3
Оценка достаточности источников
финансирования для формирования материальных оборотных средств
|
Показатели
|
Формула расчета
|
На начало 2007 г.
|
На конец 2007 г.
|
Изменение
|
|
Капитал и резервы (Q)
|
Стр.490
|
115864
|
123292
|
+7428
|
|
Внеоборотные активы (F)
|
Стр.190
|
85473
|
91400
|
+5927
|
|
Долгосрочные пассивы (Кт)
|
Стр.590
|
1230
|
1693
|
+463
|
|
Краткосрочные кредиты и займы (Кt)
|
Стр.610
|
11000
|
30000
|
+19000
|
|
Наличие собственных оборотных средств (СОС)
|
Q – F
|
30391
|
31892
|
+1501
|
|
Наличие собственных и долгосрочных заемных источников
формирования запасов и затрат (КФ)
|
(Q + Кт) – F
|
31621
|
33585
|
+1964
|
|
Общая величина основных источников формирования запасов и
затрат (ВИ)
|
(Q + Кт + Kt) – F
|
42621
|
63585
|
+20964
|
|
Запасы и затраты (33)
|
Стр.210 + стр. 220
|
12208
|
15237
|
+3029
|
|
Излишек (+) или недостаток (-) собственных оборотных
средств (±Фс)
|
СОС – ЗЗ
|
18183
|
16655
|
-1528
|
|
Излишек (+) или недостаток (-) собственных и долгосрочных
заемных источников(±Фт)
|
КФ - ЗЗ
|
19413
|
18348
|
-1065
|
|
Излишек (+) или недостаток (-) общей величины основных
источников формирования запасов и затрат (±Фо)
|
ВИ – ЗЗ
|
30413
|
48348
|
+17935
|
|
Трехкомпонентный показатель типа финансовой ситуации S(Ф) =
[S(±Фс), S(±Фт), S(±Ф0)]
|
S(Ф) =
|
1, если Ф ≥ 0
|
(1;1;1)
|
(1;1;1)
|
|
|
0, если Ф ≤ 0
|
|
|
|
Расчеты, проведенные в данной таблице,
показывают, что на предприятии имеется излишек собственных и долгосрочных
заемных средств, излишек собственных оборотных средств и излишек общей величины
основных источников формирования запасов и затрат.
Таблица 2.4
Сводная таблица показателей по типам
финансовых ситуаций
|
Показатели
|
Тип финансовой ситуации
|
|
Абсолютная независимость
|
Нормальная независимость
|
Неустойчивое состояние
|
Кризисное состояние
|
|
±Фс = СОС – ЗЗ
|
Фс ≥ 0
|
Фс < 0
|
Фс < 0
|
Фс < 0
|
|
±Фт = КФ – ЗЗ
|
Фт ≥ 0
|
Фт ≥ 0
|
Фт < 0
|
Фт < 0
|
|
±Фо = ВИ – ЗЗ
|
Фо ≥ 0
|
Фо ≥ 0
|
Фо ≥ 0
|
Фо < 0
|
Из таблицы видно, что предприятие обладает
абсолютной независимостью. Абсолютная и нормальная устойчивость финансового
состояния характеризуются высоким уровнем рентабельности предприятия и
отсутствием нарушений финансовой дисциплины.
Таблица 2.5
Анализ ликвидности баланса предприятия
|
АКТИВ
|
ПАССИВ
|
Платежный излишек или недостаток (+, -)
|
|
Группа актива
|
Способ расчета
|
На начало 2007 г.
|
На конец 2007 г.
|
Группа пассива
|
Способ расчета
|
На начало 2007 г.
|
На конец 2007 г.
|
На начало 2007 г.
|
На конец 2007 г.
|
|
А1 наиболее ликвидные активы
|
стр.250+ стр.260
|
1687
|
3883
|
П1 наиболее срочные обязательства
|
стр.620
|
30111
|
38134
|
28424
|
34251
|
|
А2 быстро реализуемые активы
|
стр.240
|
12886
|
15381
|
П2 краткосрочные обязательства
|
стр.610+
630+660
|
11000
|
30000
|
-1886
|
14619
|
|
А3 медленнореализуемые активы
|
стр.210+
стр.220+
стр.230+
стр.270
|
64425
|
84047
|
П3 долгосрочные пассивы
|
стр.590+
стр.640+
стр.650
|
7496
|
3285
|
-56929
|
-80762
|
|
А4 труднореализуемые активы
|
стр.190
|
85473
|
91400
|
П4 постоянные пассивы
|
стр.490
|
115864
|
123292
|
30391
|
31892
|
|
БАЛАНС
|
|
164471
|
194711
|
БАЛАНС
|
|
164471
|
194711
|
|
|
Анализируя таблицу, можно сделать следующие
выводы:
На начало года:
А1 < П1 А2 > П2 А3 > П3 А4
< П4
Т.е. на начало года баланс не является
абсолютно ликвидным.
На конец года:
А1 < П1 А2 < П2 А3 > П3 А4
< П4
Следовательно, на конец года баланс
является неликвидным.
Таблица 2.6
Оценка состоятельности предприятия
|
№ пп
|
Показатели
|
Способ расчета
|
Нормальное значение
|
Величина коэффициентов (в долях единицы)
|
|
На начало 2007 г.
|
На конец 2007 г.
|
Отклонение в динамике (+, -)
|
|
1
|
2
|
3
|
4
|
5
|
6
|
7
|
|
1
|
Общий показатель платежеспособности
|
|
L1 ≥ 1
|
0,73
|
0,68
|
-0,05
|
|
2
|
Коэффициент абсолютной ликвидности
|
|
L2 ≥ 0,1:0,7
|
0,04
|
0,06
|
+0,02
|
|
3
|
Коэффициент «критической оценки»
|
|
Допустимое значение: L3 ≥ 0,7:0,8;
оптимальное: L3 = 1
|
0,35
|
0,28
|
-0,07
|
|
4
|
Коэффициент текущей ликвидности
|
|
Необходимое значение: L4 = 2 оптимальное: L3
= 2,5: 3,0
|
1,92
|
1,52
|
-0,40
|
|
5
|
Коэффициент маневренности функционирующего капитала
|
|
Уменьшение показателя в динамике - положительный факт
|
1,70
|
2,39
|
+0,69
|
|
6
|
Доля оборотных средств в активах
|
|
L6 ≥ 0,5
|
0,48
|
0,53
|
+0,05
|
|
7
|
Коэффициент обеспеченности собственными средствами
|
|
L7 ≥ 0,1
|
-0,61
|
-0,49
|
+0,2
|
|
8
|
Коэффициент восстановления платежеспособности
|
|
Не менее 1,0
|
0,62
|
0,66
|
+0,04
|
|
9
|
Коэффициент утраты платежеспособности
|
|
Не менее 1,0
|
0,69
|
0,71
|
+0,02
|
Общий показатель платежеспособности и на
начало и на конец 2007 года не соответствует нормативному значению,
следовательно предприятие является неплатежеспособным.
Коэффициент абсолютной ликвидности
значительно ниже нормативного значения, следовательно предприятие не способно
досрочно погасить кредиторскую задолженность.
Коэффициент «критической оценки» также
ниже норматива, т.е. предприятие не способно погасить текущие обязательства.
Коэффициент текущей ликвидности и на
начало и на конец года не соответствует нормативу, это означает, что
предприятие неплатежеспособно.
Коэффициент маневренности функционирующего
капитала в динамике повышается, что является отрицательным.
Доля оборотных средств в оборотных активах
на конец 2007 года повысился и стал соответствовать нормативу, что является
положительным.
Коэффициент обеспеченности собственными
средствами значительно ниже нормативного значения, это свидетельствует о
недостаточности собственных средств, т.е. предприятие не способно погасить свои
обязательства за счет собственных средств.
Коэффициент восстановления
платежеспособности и коэффициент утраты платежеспособности также и на начало и
на конец 2006 года не соответствуют нормативному значению, это свидетельствует
о неплатежеспособности предприятия.
Таким образом, рассчитанные выше
коэффициенты, позволяют сделать вывод о том, что ОАО «КБ «Сухой» является
неплатежеспособным как на начало, так и на конец 2007 года.
Таблица 2.7
Оценка финансовой устойчивости
|
Показатели
|
Способ расчета
|
Нормальное ограничение
|
Отклонение в динамике (+,-)
|
|
На начало 2007 г.
|
На конец 2007 г.
|
|
Коэффициент капитализации
|
|
|
0,42
|
0,58
|
+0,16
|
|
Коэффициент обеспеченности собственными источниками
финансирования
|
|
|
0,38
|
0,31
|
-0,07
|
|
Коэффициент финансовой независимости
|
|
|
0,70
|
0,63
|
-0,07
|
|
Коэффициент финансирования
|
|
оптимальное
значение =1,5
|
2,38
|
1,73
|
-0,65
|
|
Коэффициент финансовой устойчивости
|
|
|
0,71
|
0,64
|
-0,07
|
По данным таблицы можно сделать вывод, что
коэффициент капитализации соответствует нормативному значению и на начало и на
конец 2007 года, это означает, что предприятие эффективно использует
собственный капитал, хотя на конец года данный коэффициент повысился на 0,16,
следовательно, эффективность использования собственного капитала немного
снизилась.
Коэффициент обеспеченности собственными
оборотными средствами и на начало и на конец года ниже нормативного значения,
при этом на конец года отмечается снижение данного показателя на 0,07,
следовательно, предприятие недостаточно обеспечено собственными оборотными
средствами.
Коэффициент финансовой независимости и на
начало и на конец 2007 года соответствует нормативному значению, т.е.
предприятия является финансово независимым.
Коэффициент финансирования и на начало и
на конец 2007 года соответствуют нормативному значению, однако, несмотря на это
на конец года данный показатель снизился на 0,65 и составил 1,73. Снижение
коэффициента финансирования является негативным фактором и свидетельствует об
увеличении использования заемных средств.
Коэффициент финансовой устойчивости
соответствует нормативному значению, но на конец года он немного снизился, хотя
не стал ниже норматива, следовательно, предприятие является финансово
устойчивым.
Таблица 2.8
Основные показатели деловой активности
|
№ п/п
|
Показатели
|
Способ расчета
|
2007 г.
|
2006 г.
|
Отклонение (+, -)
|
|
1
|
Ресурсоотдача
|
|
48,3
|
45,3
|
+3,0
|
|
2
|
Коэффициент оборачиваемости мобильных средств
|
|
3,03
|
3,53
|
-0,50
|
|
3
|
Коэффициент оборачиваемости собственного капитала, оборотов
|
|
2,54
|
2,40
|
+0,14
|
|
4
|
Срок оборачиваемости материальных средств, дней
|
|
17,5
|
15,8
|
+1,7
|
|
5
|
Срок оборачиваемости денежных средств, дней
|
|
4,5
|
2,2
|
+2,3
|
Ресурсоотдача показывает, что на рубль
средств, вложенных в деятельность предприятия приходилось 45,3 руб. выручки от
реализации продукции в 2006 году, а в 2006 году этот показатель увеличился на 3
руб. и составил 48,3 рубля выручки от реализации на 1 рубль вложенных средств.
Коэффициент оборачиваемости мобильных
средств показывает, что в 2007 году оборачиваемость мобильных средств
предприятия замедлилась.
Коэффициент оборачиваемости собственного
капитала увеличился в 2007 году на 0,14 оборота.
В 2007 году увеличился также срок
оборачиваемости материальных средств на 1,7 дня и составил 17,5 дней, т.е.
оборачиваемость замедлилась, что является отрицательным.
Срок оборачиваемости денежных средств
также увеличился и составил 4,5 дня против 2,2 дней в 2006 году, что является
отрицательным.
Один из важных задач анализа ТЭП является
контроль, за правильным использованием рабочей силы. Организацию охраны труда и
заработной платы на ОАО «КБ «Сухой» осуществляет отдел охраны труда и
заработной платы (ООТ и З).
В состав работников ОАО «КБ «Сухой» входит
промышленно-производственный персонал (ППП), который состоит из рабочих и
служащих (руководителей, специалистов, технических исполнителей).
Оценка динамики и структуры численности ОАО
«КБ «Сухой» представлены в таблице 2.9., на рисунке 2.1.
Численность работающих ОАО «КБ «Сухой» в
2007 году сократилось на 66 человек (на 7,66%) по сравнению с 2006 годом.
Таблица 2.9
Оценка динамики и структуры численности ОАО
«КБ «Сухой»
|
Показатели
|
2005 г.
|
2006 г.
|
2007 г.
|
Изменение в 2007г. к 2006г.
|
|
Чел.
|
Чел.
|
Чел.
|
+/-
|
Темп роста, %
|
|
Численность, всего
|
894
|
862
|
796
|
-66
|
92,34
|
|
Из них:
рабочие
|
729
|
710
|
640
|
-70
|
90,14
|
|
Служащие
|
1
|
7
|
11
|
4
|
157,14
|
|
Руководители
|
78
|
79
|
76
|
-3
|
96,20
|
|
Специалисты
|
86
|
66
|
69
|
3
|
104,54
|
В течение 2007 года в составе предприятия
наблюдались следующие изменения: численность рабочих сократилось на 70 человек
(9,86%), также произошло сокращение рабочих в общей численности ППП на 1,96%
(рисунок 2.1).
Рисунок 2.1 – Структура численности
работающих в ОАО «КБ «Сухой» в 2007 г.
Численность служащих увеличилась на 4 человек
(57,14%) по сравнению с прошлым годом, с одновременным ростом удельного веса
служащих в общей численности на (0,57%).
Доля специалистов увеличилось на 3
человека (4,54%), удельный вес в общей численности увеличился на 1,01%. В
составе управленческого персонала сократилось число руководителей на 3
человека, при этом доля в общей численности увеличилась на 0,38%. Общая
численность управленческого персонала в 2006 году составила 156 человек,
рабочих 640 человек.
Качественный состав трудовых ресурсов по уровню
квалификации представлен в таблице 2.10.
Таблица 2.10
Качественный состав трудовых ресурсов
|
Разряд рабочих
|
Тарифные коэффициенты
|
Численность рабочих на конец года, чел.
|
|
2006 год
|
2007 год
|
|
1
|
1,00
|
252
|
235
|
|
2
|
1,30
|
23
|
21
|
|
3
|
1,69
|
79
|
74
|
|
4
|
1,96
|
153
|
145
|
|
5
|
2,27
|
192
|
164
|
|
6
|
2,63
|
11
|
1
|
|
Итого
|
|
710
|
640
|
|
Ср. тариф. разряд рабочих
|
|
3,1
|
3,0
|
|
Ср.тарифный коэффициент
|
|
1,95
|
1,99
|
Судя по полученным данным, средний
тарифный разряд рабочих незначительно снизился 0,1., при этом средний тарифный
коэффициент рабочих за отчетный год несколько возрос – 1,99.
В таблице 2.11 представлена динамика
заработной платы и производительности труда на предприятии
Таблица 2.11
Динамика заработной платы и
производительности труда ОАО «КБ «Сухой»
|
Показатели
|
2005
год
|
2006
год
|
В% к 2005г.
|
2007
год
|
Измене
ние, руб.
|
Темп роста, %
|
|
Среднегодовая заработная плата 1 работающего, руб.
|
44945,1
|
82104,41
|
182,677
|
98257,54
|
16153,13
|
119,674
|
|
Среднегодовая заработная плата 1 рабочего, руб.
|
55117,86
|
99681,69
|
180,852
|
122207,81
|
22526,12
|
122,598
|
|
Среднегодовая выработка одного работающего, руб.
|
109409,9
|
142029,2
|
129,81
|
372863,1
|
230833,9
|
262,526
|
|
Среднегодовая выработка одного рабочего, руб.
|
134565,1
|
173388,9
|
128,85
|
464020,4
|
290631,5
|
267,618
|
Прирост на 19,64% в 2007 году
среднегодовой заработной платы работникам обусловлен увеличением объема
реализации услуг и сокращением численности. Среднегодовая выработка одного
работающего выросла в 2007 году в 2,62 раз, рабочего в 2,67 раза. Рост
заработной платы объясняется пересмотром (ростом) тарифных ставок и должностных
окладов в сентябре и декабре 2007 года.
В 2007 году отработано рабочими 165950
человеко-дней, что на 2,04 % меньше аналогичного периода прошлого года.
Проведем анализ изменения и структуры
актива и пассива баланса
Таблица 2.12
Анализ динамики и структуры актива и
пассива баланса
|
Статья
|
Тыс.руб.
|
Изменение денежных средств
|
|
на начало 2007
|
на конец 2007
|
+/-
|
% изм абс.вел-ны
|
|
АКТИВ
|
|
|
|
|
|
I. Внеоборотные активы
|
85473
|
91400
|
5927
|
6,9
|
|
Нематериальные активы
|
0
|
0
|
0
|
0,0
|
|
Основные средства
|
74485
|
80722
|
6237
|
8,4
|
|
Доходные вложения в материальные ценности
|
0
|
0
|
0
|
0,0
|
|
Долгострочные финансовые вложения
|
0
|
0
|
0
|
0,0
|
|
Прочие внеоборотные активы
|
0
|
0
|
0
|
0,0
|
|
II. Оборотные активы
|
78998
|
103311
|
24313
|
30,8
|
|
Запасы
|
9204
|
12532
|
3328
|
36,2
|
|
Налог на добавленную стоимость по приобретенным ценностям
|
3004
|
2705
|
-299
|
-10,0
|
|
Дебиторская задолженность (платежи по которой ожидаются
более чем через 12 месяцев после отчетной даты)
|
52006
|
67680
|
15674
|
30,1
|
|
Дебиторская задолженность (платежи по которой ожидаются в
течение 12 месяцев после отчетной даты)
|
12886
|
15381
|
2495
|
19,4
|
|
Краткосрочные финансовые вложения
|
0
|
0
|
0
|
0,0
|
|
Денежные средства
|
1687
|
3883
|
2196
|
130,2
|
|
Прочие оборотные активы
|
211
|
1130
|
919
|
435,5
|
|
Всего активов
|
317954
|
378744
|
60790
|
19,1
|
|
ПАССИВ
|
|
|
|
|
|
III. Капитал и резервы
|
115864
|
123292
|
7428
|
6,4
|
|
Уставный капитал
|
100
|
100
|
0
|
0,0
|
|
Добавочный капитал
|
88725
|
99427
|
10702
|
12,1
|
|
Резервный капитал
|
0
|
0
|
0
|
0,0
|
|
Целевые финансирование и поступления
|
0
|
0
|
0
|
0,0
|
|
Нераспределенная прибыль прошлых лет
|
0
|
0
|
0
|
0,0
|
|
Непокрытый убыток прошлых лет
|
0
|
0
|
0
|
0,0
|
|
IV. Долгосрочные обязательства
|
1230
|
1693
|
463
|
37,6
|
|
Займы и кредиты
|
0
|
0
|
0,0
|
|
Прочие долгосрочные обязательства
|
1230
|
1693
|
463
|
37,6
|
|
V. Краткосрочные обязательства
|
47377
|
69726
|
22349
|
47,2
|
|
Займы и кредиты
|
11000
|
30000
|
19000
|
172,7
|
|
Кредиторская задолженность
|
30111
|
38134
|
8023
|
26,6
|
|
Задолженность участникам (учредителям) по выплате доходов
|
0
|
0
|
0
|
0,0
|
|
Доходы будущих периодов
|
6266
|
1592
|
-4674
|
-74,6
|
|
Резервы предстоящих расходов
|
0
|
0
|
0
|
0,0
|
|
Прочие краткосрочные обязательства
|
0
|
0
|
0
|
0,0
|
|
Всего пассивов
|
164471
|
194711
|
30240
|
18,4
|
Таким образом, из таблицы 2.12 видно, что
за 2007 год сумма баланса увеличилась на 30240 тыс.руб. или на 18,4%. Это
произошло главным образом за счет роста оборотных активов на 24313 тыс.руб. или
на 30,8% в активе баланса и краткосрочных обязательств 22349 тыс.руб. или на
47,2% в пассиве баланса. Наибольший удельный вес в активе баланса на конец 2007
года занимают оборотные активы – 50,1%, увеличившись по сравнению с начало года
на 5,1%. В пассиве баланса наибольший удельный вес на конец 2007 года занимает
капитал и резервы 63,3%, но следует отметить что по сравнению с началом 2007
года он снизился на 7,1%. Это связано с ростом удельного веса краткосрочных
обязательств на конец 2007 года на 7%. Наименьший удельный вес в структуре
пассива принадлежит уставному капиталу – 0,1%. Рост долгосрочных и
краткосрочных обязательств является негативной тенденцией.
2.3 Анализ эффективности
использования основного капитала
Проведем анализ наличия, структуры и
движения основных средств на исследуемом ОАО «КБ «Сухой». Результаты расчета
приведены в табл. 2.13 (стоимость основных фондов взята без учета переоценки).
Данные используемые в таблице 2.13 взяты из приложения к бухгалтерскому балансу
(форма №5).
Таблица 2.13
Наличие, движение и структура основных
средств в 2007 году в ОАО «КБ «Сухой», тыс.руб.
|
Группа основных средств
|
Наличие на начало периода
|
Поступило за отчетный
период
|
Выбыло за отчетный период
|
Наличие на конец периода
|
|
тыс.
руб.
|
доля, %
|
тыс.
руб.
|
доля, %
|
тыс.
руб.
|
доля, %
|
тыс.
руб.
|
доля, %
|
|
Здания и сооружения
|
4313
|
29,9
|
288
|
8,4
|
314
|
42,0
|
9287
|
42,0
|
|
Передаточные устройства, измерительные приборы и
регулирующие устройства
|
359
|
2,5
|
406
|
11,9
|
|
0,0
|
765
|
3,5
|
|
Машины и оборудование
|
7973
|
55,2
|
2212
|
64,7
|
372
|
49,7
|
9813
|
44,4
|
|
Транспортные средства
|
1355
|
9,4
|
347
|
10,1
|
53
|
7,1
|
1649
|
7,5
|
|
Вычислительная техника и оргтехника
|
208
|
1,4
|
58
|
1,7
|
|
0,0
|
266
|
1,2
|
|
Другие основные средства
|
225
|
1,6
|
109
|
3,2
|
9
|
1,2
|
325
|
1,5
|
|
Всего ОПФ
|
14433
|
100,0
|
3420
|
100,0
|
748
|
100,0
|
22105
|
100,0
|
|
в т.ч. актив части
|
9895
|
68,6
|
3023
|
88,4
|
425
|
56,8
|
12493
|
56,5
|
Как видно из табл. 2.13 за 2007 период
произошли существенные изменения в наличии и структуре основных средств. Сумма
их возросла на 7672 тыс.руб. или на 53,2%. Удельный вес активной части средств
сократился на 12,1%, хотя сумма их возросла на 2598 тыс.руб., что следует
оценить отрицательно. Уменьшение удельного веса активной части ОПФ произошло
главным образом за счет увеличения удельного веса зданий и сооружений на 10,1%.
Сумма зданий и сооружений выросла на 4974 тыс.руб. Таким образом, видно что
именно эта часть основных средств вызвала такие существенные изменения в
наличии и структуре исследуемых показателей.
Проведем анализ движения и технического
состояния основных средств, воспользовавшись данными формы №5. Для этого
рассчитаем следующие показатели:
Рисунок 2.2 – Структура основных фондов ОАО
«КБ «Сухой» на конец 2007 года
Рисунок 2.3 – Активная часть основных
фондов
- Коэффициент обновления основных фондов
(Кобн) показатель интенсивности замены старой техники новой, процесса
расширения производства, ввода в действие новых объектов и т. д. Он исчисляется
путем деления стоимости вновь введенных в эксплуатацию основных
производственных фондов за отчетный период на первоначальную стоимость всех
основных производственных фондов предприятии по состоянию на конец отчетного
периода.
;
;
- Срок обновления основных средств
показывает период за который происходит обновление основных средств. Тобн =
Стоимость ОС на начало отчетного периода: стоимость поступивших ОС за отчетный
период
срок обновления основных средств (Тобн):
;
;
- Коэффициент выбытия - отношение числа
выбывшего оборудования к общему количеству одновременно приобретенного
оборудования (Кв).
;
- Коэффициент прироста основных средств
(Кпр) отражает относительное увеличение стоимости основных средств за счет их
обновления, рассчитывается как отношение стоимости прироста основных фондов к
их стоимости на начало периода:
;
- Коэффициент износа основных средств (Ки)
– это отношение остаточной стоимости основных средств к их балансовой
стоимости.
;
;
Приведем указанные выше расчеты в таблице
2.14.
Таблица 2.14
Данные о движении и техническом состоянии
основных средств
|
Показатель
|
Уровень показателя
|
|
2006 год
|
2007 год
|
Измен.
+/-
|
|
Коэффициент обновления
|
0,35
|
0,15
|
-0,2
|
|
Срок обновления, лет
|
5,6
|
4,2
|
-1,4
|
|
Коэффициент выбытия
|
0,25
|
0,22
|
-0,03
|
|
Коэффициент прироста
|
0,73
|
0,53
|
-0,2
|
|
Коэффициент износа
|
0,55
|
0,58
|
+0,03
|
Графически данные изменения отражены на
рис. 2.4.
Рисунок 2.4 – Диаграмма движения и
технического состояния основных средств ОАО «КБ «Сухой»
Сведения табл. 2.14 и рис. 2.4 показывают,
что за 2007 год техническое состояние основных средств на предприятии несколько
ухудшилось за счет менее интенсивного их обновления, коэффициент годности
основного оборудования составил 0,434 в 2006 году, что свидетельствует о необходимости
более ускоренного обновления или замены оборудования.
Следует отметить, что срок обновления ОПФ
в 2007 году составил 4 года, увеличившись по сравнению с 2006 на 2 года, что
является отрицательным.
Техническое состояние основных средств
характеризует их "возрастная" структура, которая в первую очередь
дает возможность выявить устаревшее оборудование, которое требует замены. Для
анализа действующее оборудование группируется по видам, а внутри их - по
продолжительности использования.
Таблица 2.15
Анализ состава и структуры основных
средств основного вида деятельности ОАО «КБ «Сухой» по срокам службы
|
Показатели
|
Общее количество, шт.
|
Продолжительность эксплуатации
|
|
до 10 года
|
от 10 до 20-и лет
|
свыше 20-и лет
|
|
штук
|
%
|
штук
|
%
|
штук
|
%
|
|
Рабочие машины и оборудование
|
45
|
26
|
26,8
|
11
|
34,4
|
8
|
100,0
|
|
Вычислительная техника и оргтехника
|
18
|
18
|
18,6
|
-
|
-
|
-
|
-
|
|
Измерительные приборы и регулирующие устройства
|
16
|
12
|
12,4
|
4
|
12,5
|
-
|
-
|
|
Транспортные средства
|
14
|
4
|
4,1
|
8
|
25,0
|
-
|
-
|
|
Инструмент, производственный и хозяйственный инвентарь
|
46
|
37
|
38,1
|
9
|
28,1
|
-
|
-
|
|
ИТОГО
|
139
|
97
|
100,0
|
32
|
100,0
|
8
|
100,0
|
Результаты анализа возрастного состава
машин и оборудования свидетельствуют о том, что наиболее устаревшее
оборудование – рабочие машины и оборудование. По результатам таблицы можно сделать
вывод, что 69,8 % оборудования предприятия имеет средний возраст до 10-и лет, а
23% от 10 до 20-и лет. Свыше 20-ти лет приходится на рабочие машины и
оборудование – 5,8%. Таким образом, можно сделать вывод, что ОПФ предприятия
достаточно «молодые» и постоянно обновляются.
Для более полного анализа эффективности
использования основных производственных фондов предприятия составим табл. 2.16.
Таблица 2.16
Анализ эффективности использования
основных фондов в 2007 году
|
Показатели
|
На начало года
|
На
конец года
|
Откло-нение
|
|
Объем выпуска продукции (ВП), тыс. руб.
|
278595
|
312821
|
34226
|
|
Прибыль от реализации продукции, тыс. руб.
|
32184
|
4555
|
-27629
|
|
Среднегодовая стоимость, млн. руб.:
основных производственных фондов (ОПФ)
|
14433
|
22105
|
+7672
|
|
Активной части (ОСПа)
|
9895
|
12493
|
+2598
|
|
Машин и оборудования (ОСПм)
|
7973
|
9813
|
+1840
|
|
единицы оборудования (Ц)
|
105,4
|
159,0
|
+53,6
|
Удельный вес активной части фондов (Уда)
|
0,686
|
0,565
|
-0,121
|
|
Удельный вес машин и оборудования (Удм)
|
|
|
|
|
в активной части основных средств
|
0,806
|
0,785
|
-0,021
|
|
в общей сумме основных средств
|
0,552
|
0,444
|
-0,108
|
|
Рентабельность ОСП (RОСП), %
|
19,9
|
19,8
|
-0,1
|
|
Рентабельность продукции (RВП), %
|
6,6
|
-1,1
|
-7,7
|
|
Фондоотдача ОСП (ФО), руб.
|
2,99
|
2,58
|
-0,41
|
|
Фондоотдача активной части (ФОа), руб.
|
4,35
|
4,56
|
+0,21
|
|
Фондоотдача машин и оборудования (ФОм), руб.
|
5,4
|
5,8
|
+0,4
|
|
Среднегодовое количество технологического оборудование (К)
|
137
|
139
|
+2
|
|
Отработано за год оборудованием (Т), тыс. ч.
|
256
|
228
|
-28
|
|
В том числе единицей оборудования:
часов (Тед)
|
1875
|
1643
|
-232
|
|
смен (См)
|
250
|
225
|
-25
|
|
дней (Д)
|
250
|
245
|
-5
|
|
Коэффициент сменности работы оборудования (Ксм)
|
1
|
-0,08
|
|
Средняя продолжительность смены (П), ч
|
7,5
|
7,3
|
-0,2
|
|
Выработка продукции за 1 машино-час (ЧВ), тыс.руб.
|
0,17
|
0,25
|
+0,08
|
|
|
|
|
|
Данные табл. 2.16 показывают, что уровень
рентабельность основных средств снизился на 0,1 процентных пункта.
Таким образом, видно, что изменение
рентабельности ОСП произошло главным образом за счет роста фондоотдачи ОПФ и
роста рентабельности продаж.
Фондоотдача ОПФ сократилась в 2007 году на
0,41 руб. Фондоотдача активной части ОПФ возросла в 2006 году на 0,21 руб. и
составила 4,56 руб.
Среднегодовое количество технологического
оборудования увеличилось за 2007 года на 2 единицы. При этом количество
отработанных машино-часов сократилось на 28 тыс.машино-часов, что в первую
очередь вызвано сокращением количества рабочих дней на 5. Выработка же
продукции за 1 машино-час увеличилась на 0,08 тыс.руб., что является
положительным показателем.
Изменение рентабельности ОСП произошло за
счет:
а) фондоотдачи основных производственных
фондов:
∆RОСП = (2,58 – 2,98) х
6,7 = -2,68%;
б) рентабельности производства работ,
оказания услуг:
∆RОСП = 2,58 х (7,7-6,7)
= +2,58%
По данным таблицы 2.16 рассчитаем способом
абсолютных разниц изменение фондоотдачи основных средств за счет:
- удельного веса активной части основных
средств:
∆ФОуда =
(-0,121) х 0,806 х 5,4 = -0,53 руб.;
- удельного веса действующего оборудования
в активной части основных средств:
∆ФОудм =
+0,565 х (-0,021) х 5,4 = -0,06 руб.;
- фондоотдачи действующего оборудования
∆ФОудм =
+0,565 х 0,785 х 0,4 = +0,18 руб.
Итого: -0,41 руб.
Установим влияние данных факторов на объем
произведенной продукции (оказанных работ/услуг).
Изменение валовой продукции за счет:
- увеличения среднегодовой стоимости
основных средств:
∆ВПОСП = (+7672) х 2,99 =
+22939 тыс.руб.;
- изменения удельного веса активной части
основных средств в общей их сумме:
∆ВПуда = 22105
х (-0,53) = -11778 тыс.руб.
- изменения удельного веса действующего
оборудования в активной части ОПФ:
∆ВПудм = 22105
х (-0,06) = -1326 тыс.руб.
- изменения фондоотдачи действующего
оборудования:
∆ВПФОм = 22105
х 0,18 = +3979 тыс.руб.
Итого: +13938 тыс.руб.
Фондоотдачи активной части фондов (технологического оборудования) непосредственно зависит от
его структуре, времени работы и среднечасовой выработки.
Для анализа фондоотдачи активной части
оборудования используем следующую факторную модель:
ФОа =
Расчет влияния факторов на прирост
фондоотдачи оборудования проведем способом цепной подстановки:
ФОапл =
Определим первый условный показатель
фондоотдачи:
ФОаус =
В результате изменения структуры
оборудования уровень фондоотдачи уменьшился на 1,0 руб. (2,0 – 3,0).
Далее установим, какой была бы фондоотдача
при фактической структуре оборудования и фактическом количестве отработанных
дней, при базисной величине остальных факторов:
ФОаусл2=
Увеличение фондоотдачи на 0,81 руб. (2,81
– 2,0) является результатом сокращения целодневных простоев оборудования.
Рассчитаем третий условный показатель:
ФОаусл3 =
За счет уменьшения коэффициента сменности
работы оборудования его фондоотдача снизилась на 1,0 руб. (1,81 – 2,81).
Рассчитаем четвертый условный показатель:
ФОаусл4 =
В связи с тем что фактическая
продолжительность смены ниже базовой на 0,2 ч, годовая выработка единицы
оборудования уменьшилась на 1032,4 млн. руб., а фондоотдача – на 0,05 руб.(1,76
– 1,81).
При фактической выработке оборудования на
конец года фондоотдача составит:
ФОаф =
что на 0,84 руб. больше, чем на начало
года.
Рассмотрим как эти факторы повлияли на
уровень фондоотдачи ОПФ:
изменение фондоотдачи ОПФ за счет:
структуры оборудования -1,0 х 0,444 =
-0,444;
целодневных простоев +0,81 х 0,444 =
+0,360;
коэффициента сменности -1,0 х 0,444 =
-0,444;
внутрисменных простоев -0,05 х 0,444 =
-0,022;
среднечасовой выработки +0,84 х 0,444 =
+0,373
Итого: -0,4 -0,177
Рассчитаем влияние факторов третьего
порядка на уровень фондоотдачи активной части фондов:
∆ ФОан = (0,37
– 0,17) х 27525 / 12493 = +0,44 руб.
Аналогичным способом определим изменение
объема производства продукции и фондоотдачи за счет внедрения мероприятия НТП
по совершенствованию технологии и организации производства:
∆ ФОантп =
(0,32 – 0,17) х 24829 ∕ 12493 = +0,29руб.
Изменение фондоотдачи за счет социальных
факторов определим сальдовым методом:
∆ ФОасоц =
+0,84 – 0,44 – 0,29= +0,11 руб.
Влияние данных факторов на уровень
фондоотдачи ОПФ рассчитывается путем
умножения прироста фондоотдачи оборудования за счет i-го фактора на фактический
удельный вес активной части фондов. Чтобы узнать, как изменится объем
производства продукции, необходимо изменение фондоотдачи ОПФ за счет каждого
фактора умножить на фактические среднегодовые остатки ОПФ, а изменение
среднегодовой стоимости ОПФ – на плановый уровень фондоотдачи ОПФ. Результаты
расчета приведены в табл. 2.17.
Таблица 2.17
Результаты факторного анализа фондоотдачи.
|
Фактор
|
Изменение фондоотдачи, руб.
|
Изменение производства продукции, млн. руб.
|
|
активной части ОПФ
|
ОПФ
|
|
Первого уровня
1. Среднегодовая стоимость основных производственных фондов
2. Доля активной части фондов
3. Доля оборудования в активной части
4. Отдача оборудования
|
+ 7672 х 5,4 = +41429
- 0,53 х 22105 = -11716
- 0,06 х 22105 = -1326
+0,18 х 22105 = +3979
|
|
Итого
|
- 0,41 х 22105 = -9063
|
Второго уровня
2.1. Структура оборудования
2.2. Целодневные простои
2.3. Коэффициент сменности
2.4. Внутрисменные простои
2.5. Среднечасовая выработка
|
-1,0 х 0,444 = -0,444 х 22105 = -9815
+0,81 х 0,444 = +0,360 х 22105 = +7958
-1,0 х 0,444 = -0,444 х 22105 = -9815
-0,05 х 0,444 = -0,022 х 22105 = -486
+0,84 х 0,444 = +0,373 х 22105 = +8245
|
|
Итого
|
- 0,4 -0,177 х 22105 = -3913
|
|
Третьего уровня
3.5.1. Замена оборудования
3.5.2.Внедрение мероприятий НТП
3.5.3. Социальные факторы
|
+0,44 х 0,444 = +0,1954 х 22105 = +4319
+0,29 х 0,444 = +0,1288 х 22105 = +2847
+0,11 х 0,444 = +0,0488 х 22105 = +1079
|
|
Итого
|
+ 0,84 + 0,373 +10145
|
|
|
|
|
Из таблицы видно, что отрицательное
влияние на уровень фондоотдачи и объема производства продукции оказали снижение
доли активной части фондов, увеличение доли дорогого оборудования, снижение
уровня коэффициента сменности, изменение в структуре оборудования и внутрисменные
простои техники. В ходе последующего анализа изучим причины этих простоев и
найдем резервы их сокращения. За счет уменьшения внутрисменных простоев
оборудования, увеличения коэффициента сменности и улучшения в структуре
оборудования выпуск продукции (оказание работ/услуг) на анализируемом
предприятии может увеличиться на 20116 тыс. руб. (9815+9815+486).
Влияние факторов изменения фондоотдачи на
уровень рентабельности фондов определим умножением абсолютного прироста
фондоотдачи за счет i-го фактора на плановый уровень рентабельности продукции
(табл. 2.18)
Таблица 2.18
Результаты факторного анализа фондорентабельности
|
Факторы
|
Изменение фондоотдачи, руб.
|
Расчет влияния
|
Изменение фондорентабельности, %
|
|
Первого уровня
1. Доля активной части фондов
2. Доля оборудования в активной части
3. Отдача активной части фондов
|
-0,53
-0,06
+0,18
|
-0,53 х 6,7
-0,06 х 6,7
+0,18 х 6,7
|
-3,55
-0,40
+1,21
|
|
Итого
|
-0,41
|
-0,41 х 6,7
|
-2,74
|
Второго уровня
2.1. Структура оборудования
2.2. Целодневные простои
2.3. Коэффициент сменности
2.4. Внутрисменные простои
2.5. Среднечасовая выработка
|
-0,444
+0,360
-0,444
-0,022
+0,373
|
-0,444 х 6,7
+0,360 х 6,7
-0,444 х 6,7
-0,022 х 6,7
+0,373 х 6,7
|
-2,97
+2,41
-2,97
-0,15
+2,49
|
|
Итого
|
-0,177
|
-0,177 х 6,7
|
-1,19
|
|
Третьего уровня
3.5.1. Замена оборудования
3.5.2. Внедрение мероприятий НТП
3.5.3. Социальные факторы
|
+0,1954
+0,1288
+0,0488
|
+0,1954 х 6,7
+0,1288 х 6,7
+0,0488 х 6,7
|
+1,31
+0,86
+0,33
|
|
Итого
|
+0,373
|
+ 0,373 х 6,7
|
+2,50
|
На основании этого расчета можно
установить неиспользованные резервы повышения уровня рентабельности основных
производственных фондов. За счет сокращения внутрисменных простоев оборудования
и повышения коэффициента сменности до оптимального уровня предприятие имело
возможность повысить рентабельность основных фондов на 6,09% (2,97 + 2,97 +
0,15).
2.4 Анализ системы управления
основным капиталом
Одним из важнейших направлений повышения
эффективности использования основных средств является правильный выбор
амортизационной политики.
В ОАО «КБ «Сухой» применяются три метода
начисления амортизации: линейный, суммы лет и уменьшающегося остатка.
Рассмотрим расчёт амортизационных
отчислений по всем данным методам и представим графически показатели
амортизации по годам.
Для примера рассмотрим начисление
амортизации на металлорежущий станок стоимостью 19,6 млн. руб. и полезным
сроком использования 8 лет.
При линейном методе начисленная
амортизация равномерно начисляется в течение каждого года службы станка. Таким
образом, годовая норма амортизационных отчислений будет равна 12,5% (100 / 8),
а годовая сумма амортизационных отчислений составит 2,45 млн. руб. (19,6 млн.
руб. х 12,5%).
Расчёт коэффициентов износа и годности
оборудования представлен в табл. 2.19.
Таблица 2.19
Расчёт коэффициентов износа и годности оборудования
линейным методом
|
Годы
|
Годовая сумма амортизационных отчислений, млн. руб.
|
Остаточная стоимость на начало года, млн. руб.
|
Коэффициент износа
|
Коэффициент годности
|
|
1
|
2,45
|
19,6
|
0
|
1,0
|
|
2
|
2,45
|
17,15
|
0,125
|
0,875
|
|
3
|
2,45
|
14,7
|
0,25
|
0,75
|
|
1
|
2
|
3
|
4
|
5
|
|
4
|
2,45
|
12,25
|
0,375
|
0,625
|
|
5
|
2,45
|
9,8
|
0,5
|
0,5
|
|
6
|
2,45
|
7,35
|
0,625
|
0,375
|
|
7
|
2,45
|
4,9
|
0,75
|
0,25
|
Графически показатели амортизации при
данном методе представлены на рис. 2.5.
Рисунок 2.5 – Показатели амортизации при
линейном методе
При использовании метода суммы лет сначала
рассчитывается сумма чисел лет полезного использования основных средств. В
данном случае сумма чисел лет равна 36 (1 + 2 + 3 + … + 8). При данном способе
годовая норма амортизации соответствующего года равна отношению числа лет, оставшихся
до конца амортизационного периода, к сумме чисел лет. Представим расчёт с
помощью табл. 2.20.
Таблица 2.20
Расчёт коэффициентов износа и годности
оборудования методом суммы лет
|
Годы
|
Расчёт нормы амортизационных отчислений
|
Годовая сумма АО, млн. руб.
|
Остат. стоимость на начало года, млн. руб.
|
Коэффициент износа
|
Коэффициент годности
|
|
1
|
8 / 36 = 22,2 %
|
4,351
|
19,600
|
0
|
1,0
|
|
2
|
7 / 36 = 19,4 %
|
3,802
|
15,249
|
0,222
|
0,778
|
|
3
|
6 / 36 = 16,7 %
|
3,273
|
11,447
|
0,416
|
0,584
|
|
4
|
5 / 36 = 13,9 %
|
2,724
|
8,174
|
0,583
|
0,417
|
|
5
|
4 / 36 = 11,1 %
|
2,176
|
5,45
|
0,722
|
0,278
|
|
6
|
3 / 36 = 8,3 %
|
1,627
|
3,274
|
0,833
|
0,167
|
|
7
|
2 / 36 = 5,6 %
|
1,098
|
1,647
|
0,916
|
0,084
|
|
8
|
1 / 36 = 2,8 %
|
0,549
|
0,549
|
0,972
|
0,028
|
Графически показатели амортизации при
данном методе представлены на рис. 2.6.
При методе уменьшающегося остатка годовая
сумма начисленной амортизации рассчитывается исходя из определяемого на начало
года недоамортизированной стоимости станка и нормы амортизации, исчисленной
исходя из срока полезного использования объекта и коэффициента ускорения.
Коэффициент ускорения примем равным 1,7. При данном коэффициенте ускорения
годовая норма амортизационных отчислений составит 21,25% (100% / 8 х 1,7)
Рисунок 2.6 – Показатели амортизации при
методе суммы лет
Представим расчёт амортизационных
отчислений в табл. 2.21.
Таблица 2.21
Расчёт амортизационных отчислений при
методе уменьшающегося остатка
|
Годы
|
Остаточная стоимость на начало года, млн. руб.
|
Расчёт годовой суммы амортизационных отчислений
|
Годовая сумма амортизационных отчислений, млн. руб.
|
Коэффициент износа
|
Коэффициент годности
|
|
1
|
19,6
|
19,6 х 21,25 / 100
|
4,165
|
0,212
|
1,0
|
|
2
|
15,435
|
15,435 х 21,25 / 100
|
3,280
|
0,379
|
0,812
|
|
3
|
12,155
|
12,155 х 21,25 / 100
|
2,583
|
0,511
|
0,761
|
|
4
|
9,572
|
9,572 х 21,25 / 100
|
2,034
|
0,615
|
0,697
|
|
5
|
7,538
|
7,538 х 21,25 / 100
|
1,602
|
0,697
|
0,615
|
|
6
|
5,936
|
5,936 х 21,25 / 100
|
1,261
|
0,761
|
0,511
|
|
7
|
4,675
|
4,675 х 21,25 / 100
|
0,993
|
0,812
|
|
8
|
3,681
|
-
|
3,681
|
1,0
|
0,212
|
Графически показатели амортизации при
данном методе представлены на рис. 2.7.
Рисунок 2.7 – Показатели амортизации при
методе уменьшающегося остатка
Таким образом, на предприятии используются
различные методы амортизации, каждый из которых имеет сильные и слабые стороны.
В целом, амортизационная политика ОАО «КБ
«Сухой» характеризуется высоким затратами на техническое перевооружение, однако
так как износ активной части основных фондов равен 99,9%, то предприятию
необходимо найти резервы увеличения средств на модернизацию оборудования.
3.
Разработка мероприятий по повышению эффективности системы управления основным
капиталом ОАО «КБ «Сухой»
3.1 Основные направления совершенствования
В заключении проведенного анализа состояния и эффективности
использования основных производственных фондов ОАО «КБ «Сухой» подсчитаем на
основании плана на 2009 г прогнозные резервы увеличения выпуска продукции
(выполнения работ/услуг) и фондоотдачи, такие как: резервы увеличения выпуска
продукции (выполнения работ/услуг) за счет ввода в действие нового
оборудования, за счет сокращения целодневных и внутрисменных простоев,
повышения коэффициента сменности более интенсивного использования оборудования.
Резерв увеличения выпуска продукции (выполнения работ/услуг) за счет ввода в действие нового
оборудования определяют умножением его
дополнительного количества на текущий уровень среднегодовой выработки или на
фактическую величину всех факторов, которые формируют ее величину:
Р↑ВПк = Р↑К*ГВ1 = Р↑К*Д1*Ксм1*П1*ЧВ1
где, Р↑К - дополнительное
количество оборудования, которое планируется ввести в действие; ГВ1 -
текущий уровень среднегодовой выработки; Д1 - отработанное за год единицей
оборудования среднее количество дней; Ксм1 - фактический коэффициент
сменности работы оборудования; П1 - фактическая средняя
продолжительность смены; ЧВ1 - фактическая выработка продукции за 1
машино-час.
На 2009 г. предприятием в целях увеличения
выполнения работ/услуг запланировано ввести в действие 7 единиц нового
оборудования, в том числе установить 4 единицы нового оборудования,
находящегося на складе, и, 3 единицы приобрести за плату.
Рассчитаем резерв увеличения выпуска
продукции за счет ввода в действие нового оборудования в количестве 7 единиц:
Р↑ВПк = 7*250*0,92*7,3*0,25 = 2938,3
тыс. руб.
Сокращение целодневных простоев оборудования приводит к увеличению среднего количества
дней отработанных каждой его единицей за год. Этот прирост необходимо умножить
на возможное (прогнозируемое) количество единиц оборудования и фактическую
среднедневную выработку единицы в текущем периоде:
Р↑ВПд = Кв*Р↑Д*ДВ1 = Кв*Р↑Д*Ксм1*П1*ЧВ1
где, Кв - возможное
(прогнозируемое) количество единиц оборудования; Р↑Д - прирост
среднего количества отработанных дней единицей оборудования за год в результате
сокращения целодневных простоев; ДВ1 - фактическая среднедневная выработка
единицы оборудования в текущем периоде.
На 2009 год запланировано, что на
предприятии будет задействовано в производственном процессе 146 единиц
оборудования (139+7, где 139 - количество установленного и действующего
оборудования в 2006 г., 7 — дополнительное количество оборудования, которое
планируется ввести в действие в предстоящем году).
В 2007 г. целодневные простои единицы
оборудования в среднем за год составили 4 дня. На 2009 г. данный показатель,
предусмотренный планом, составляет три дня, то есть предприятие планирует
сократить целодневные простои оборудования на 1 день и, тем самым, увеличить
выпуск продукции.
Таким образом, резерв увеличения выпуска
продукции за счёт сокращении целодневных простоев равен:
Р↑ВПд – 146*1*0,92*7,3*0,25 = 245,1
тыс. руб.
Резерв увеличения выпуска продукции (выполнения работ/услуг) за счет сокращения внутрисменных
простоев определим умножением планируемого
прироста средней продолжительности смены на фактический уровень среднечасовой
выработки оборудования и на возможное количество отработанных смен всем его
парком - СМ (произведение возможного количества оборудования, возможного
количества отработанных дней единицей оборудования и возможного уровня
коэффициента сменности):
Р↑ВПп = Смв*Р↑П*ЧВ1 =
Кв*Дв*Ксм.в*Р↑П*ЧВ1
где, Смв - возможное количество
отработанных смен всем парком оборудования; Р↑П - прирост средней
продолжительности смены; Ксм.в - возможный коэффициент сменности работы
оборудования.
В 2009 году предприятием предусмотрено
усиление контроля за рациональным использованием оборудования и сокращение его
внутрисменных простоев. В результате возможного прироста средней
продолжительности смены на 0,2 (7,3-7,5 - где, 7,5 - планируемая средняя
продолжительность смены на 2007 г., 7,3 - фактическая средняя продолжительность
смены в 2006 г.), предприятие планирует получить дополнительный выпуск
продукции (выполнить работы/услуги) в сумме:
РТВПп = 146*250*7,5*0,2*0,25 = 13687,5
тыс. руб.
Управление основными фондами является важнейшей задачей современного капиталоёмкого
предприятия. Значительная часть его расходов связана с поддержанием фондов
(техники, оборудования, зданий, сооружений) в эксплуатационном состоянии,
причем эта деятельность осуществляется в рамках жестких требований: с одной
стороны - к срокам, своевременности и качеству технического обслуживания и
ремонта (ТОиР), с другой стороны - к объему материальных, финансовых и кадровых
ресурсов. Функцию управления в этой сфере выполняют соответствующие
специалисты, технический менеджмент компании, область ответственности которых -
эффективность процессов техобслуживания и ремонта. Достижение этой
эффективности является ключевой целью внедрения решения "TRIM -
технический менеджмент".
Программный комплекс TRIM в целом и
разработанное на его основе решение "TRIM - технический менеджмент"
по функциональности соответствуют известной управленческой методологии EAM (EAM
- Enterprise Asset Management, управление основными фондами), и используется
для автоматизации процессов управления при планировании, проведении и
обеспечении ТОиР основного и вспомогательного оборудования, зданий, сооружений
и передаточных устройств на предприятии. Потребителями этого решения являются:
·
предприятия энергетики;
·
нефтегазодобывающие компании;
·
предприятия химии и нефтехимии;
·
горнодобывающая промышленность;
·
предприятия металлургии;
·
крупные транспортные предприятия;
·
оборонный комплекс;
·
сектор эксплуатации инженерных
коммуникаций и ЖКХ.
Решение "TRIM - технический
менеджмент", как основа автоматизированной системы управления основными
фондами, позволяет успешно решать наиболее важные для капиталоемких
предприятий задачи:
·
повышение эффективности использования
производственных фондов
·
снижение стоимости поддержания
производственных фондов в рабочем состоянии
·
сокращение простоев оборудования, за
счет проведения более грамотного ТОиР
·
снижение аварийности, повышение
надежности
·
упорядочение учета основных фондов
·
ведение полной истории оборудования для
последующего анализа
·
повышение эффективности использования
персонала
·
оптимизация цепочки
материально-технических поставок
·
полный учет затрат на техническое
обслуживание и ремонт
·
переход к управлению ориентированному
на производственный процесс.
Решение "TRIM - технический
менеджмент" выполняет функции обеспечения проведения периодического
обслуживания/ремонта, при котором очередные плановые ремонты оборудования
выполняются в заранее установленные сроки после наработки определенного
количества часов или с календарной периодичностью. То есть возможности TRIM в
данном случае позволяют автоматизировать планирование работ по регламенту:
календарное
планирование;
планирование
по наработке.
Рис. 3.1 – Планирование ремонтов
оборудования
Первый метод планирования реализуется на
основе сведений изготовителя о календарной периодичности ТОиР, второй - на
основе назначенной изготовителем нормы наработки с учетом данных счетчиков
наработки. Данные счетчиков могут вводиться в автоматизированную систему как
вручную, так и автоматически. Накапливаемая информация используется в TRIM для
прогноза наработки и соответствующего планирования работ. В последующем, при
вводе фактических значений счетчиков, осуществляется перепланирование.
Имеется возможность уточнять содержание
каждого ремонта в процессе проведения технического осмотра оборудования в
зависимости от состояния его деталей и узлов. Решением поддерживается
проведение любых видов работ системы ППР - технического обслуживания, текущего
(среднего) ремонта, капитального ремонта.
Реализацией данного метода обеспечивается
снижение интенсивности отказов, аварийных остановок и простоев оборудования.
Переход на ТО по фактическому состоянию
отдельных групп оборудования позволяет обеспечить:
снижение
затрат на обслуживание на 75%;
снижение
количества обслуживаний на 50%;
снижение
числа отказов на 70% за первый год работы.
Рис. 3.2 – Техническое обслуживание и
ремонт по фактическому состоянию
При ведении ТО по состоянию используется
соответствующая приборная база для контроля, данные о нормированных
изготовителем параметрах, допустимых, аварийных и критических значениях
параметров, а также методика определения технического состояния и его
прогнозирования.
Для реализации данного метода используются
такие возможности, как автоматическое планирование работ по контролю
параметров, ведение истории параметров, автоматический мониторинг превышения
допустимого уровня. Решение о сроке и режиме дальнейшей эксплуатации
оборудования принимается экспертным путем.
Возможности данного решения базируются на
функциональности программного обеспечения TRIM и позволяют на практике
реализовать следующие прогрессивные методы управления основными фондами
компании:
1.
планово-предупредительный
ремонт/обслуживание (система ППР);
2.
управление запасами и организация
снабжения;
3.
управление регламентами работ и
отчетными данными;
4.
техническое и корпоративное обучение
персонала;
5.
вовлечение эксплуатационного персонала;
6.
техническое обслуживание по
фактическому состоянию;
7.
управление надежностью;
8.
замкнутый цикл управления, непрерывное
улучшение процессов ТОиР.
Эффективность системы управления основными
фондами является и непосредственной и конечной целью ее создания. Достижение
этой цели решающим образом зависит от того подхода, которого придерживается
заказчик и исполнитель проекта. Наш подход при внедрении решения
"TRIM-технический менеджмент" состоит в следующем.
Капиталоемкое предприятие, как объект
управления, представляет собой совокупность бизнес-процессов, каждый из которых
характеризуется количественными или качественными показателями его реального
состояния по отношению к заранее определенным целям. Эффективное управление
основными фондами такого предприятия сводится к непрерывному измерению и расчету
системы взаимосвязанных показателей - ключевых показателей эффективности (Key
Performance Indicators, KPI), анализу соответствия KPI формализованным целям и
принятию соответствующих корректирующих действий по оптимизации контролируемых
бизнес-процессов и параметров и/или функций самой системы управления
предприятием.
В этой связи успешный проект создания
эффективной системы управления основными фондами должен быть направлен на
решение двух взаимосвязанных стратегических задач:
1.
разработка и внедрение системы
показателей эффективности управления основными фондами - KPI, Key Performance
Indicators
2.
внедрение автоматизированной системы,
обеспечивающей сбор и хранение исходных данных, а также расчет и представление
показателей эффективности на основе этих данных
Стоимость лицензии на одного пользователя
TRIM-PMS - 18 290 рублей (с учетом НДС). В указанную стоимость входят также
консультационные услуги по установке, настройке и эксплуатации TRIM-PMS в
течение 6-ти месяцев с момента оплаты. Консультационные услуги не
распространяются на работы по адаптации базы данных.
Обновление версий и консультационные
услуги по истечении 6-ти месяцев с момента оплаты предоставляются на основании
дополнительного сервисного договора, который заключается по желанию заказчика.
Пользователь также может бесплатно
посетить ежемесячный семинар, посвященный принципам работы TRIM, который
проводится для пользователей TRIM в офисе НПП СпецТек.
3.2 Определение экономической
эффективности внесенных предложений
Проведенный анализ на основании плановых
показателей на 2007 год позволил выявить прогнозные резервы повышения
эффективности использования материально-технической базы предприятия, которые
могут быть использованы в будущей финансово-хозяйственной деятельности
предприятия. За счет запланированного на 2007 год ввода в действие нового
оборудования, сокращения внутрисменных и целодневных простоев техники,
повышения коэффициента сменности, более интенсивного использования оборудования
предприятие имеет реальные возможности увеличить выпуск продукции на 16871
тыс.руб.
Таким образом, предприятие должно
использовать все возможности для достижения высоких финансовых показателей в
будущем: обновлять материально-техническую базу, реализовывать ненужные и
неиспользуемые основные средства, модернизировать устаревшее, но пригодное к
эксплуатации оборудование.
Таблица 3.1
Расчет экономического эффекта от внедрения
мероприятий
|
№
|
Показатели
|
Единицы измерения
|
До внедрения
|
После внедрения
|
Изменения
|
|
Абсол.
|
%
|
|
1
|
Количество действующего оборудования
|
Ед.
|
139
|
146
|
+7
|
+5,04
|
|
2
|
Целодневные простои
|
Дн.
|
4
|
3
|
-1
|
-25
|
|
3
|
Выручка от реализации продукции
|
Тыс. руб.
|
312821
|
329692
|
+16871
|
+5,39
|
|
4
|
Прибыль от реализации
|
Тыс. руб.
|
4555
|
21426
|
+16871
|
+370,38
|
|
5
|
Прибыль до налогообложения
|
Тыс. руб.
|
-196
|
16675
|
+16871
|
Не рассчитывается
|
|
6
|
Прибыль в распоряжении предприятия
|
Тыс. руб.
|
-3334
|
12673
|
+16007
|
Не рассчитывается
|
Для определения показателей экономической
эффективности внедрения внесенных предложений произведем расчет необходимых затрат
и ожидаемых доходов, а затем критериев эффективности проектов.
Капитальные затраты на проект практически
полностью определяются стоимостью программного обеспечения и дополнительного
оборудования.
Что касается эксплуатационных затрат, то
они в основном складываются из зарплаты операторов, амортизационных отчислений,
и единого социального налога. Наибольший вес из этих составляющих приходится на
зарплату трех операторов – на начальном этапе внедрения проекта такое
количество операторов новой информационной системы представляется достаточным,
в дальнейшем это количество может варьироваться в зависимости от изменения
масштабов их деятельности, которая рассчитана исходя из средней ставки
заработной платы операторов в России, составляющей порядка 200 долл. в месяц.
Значительное место в структуре затрат занимают амортизационные отчисления,
рассчитанные линейным методом, исходя из стоимости оборудования и нормы
амортизации. В целом эксплуатационные расходы достигнут 1580 тыс. руб. в год.
Структуру эксплуатационных расходов отобразим на рис. 3.3.
При расчете ожидаемых доходов мы будем
учитывать доходы от роста реализации и от экономии расходов. Что касается
доходов от реализации, то рассмотрим такие из них как дополнительные продажи и
предоставление коммерческой информации. В зависимости от рода деятельности
компании количество дополнительных продаж при применении системы может
различаться на порядки.
Для целей нашего расчета предположим, что
дополнительный доход предприятия в результате внедрения автоматизированной
системы управления основными фондами составит примерно 450 тыс. руб. в месяц.
Дополнительный доход в основном обусловливаются улучшением постановки
управленческого учета, снижением аварийных простоев. Кроме того, внедрение
системы позволит контролировать общую ситуацию на предприятии, во всех его
подразделениях. При этих допущениях дополнительный доход предприятия составит
немногим менее 5700 тыс. руб. в год.
Далее обратимся к доходам от экономии
ресурсов. Поскольку речь идет о предприятии, деятельность которого является
фондоемкой, то для эффективной работы ему, естественно, требуется знать
состояние основных фондов, прогнозировать возможные аварийные простои и другие
данные для выработки производственной стратегии. Очевидно, для получения этих
данных предприятие нуждается в проведении экспертных оценок, наиболее
трудоемким этапом которых является сбор информации, после внедрения системы эти
данные будут получаться автоматически в рабочем режиме действия системы. В
расчете экономия на проведении исследования рассчитывается из средней стоимости
исследования. Структуру доходов отобразим на рис. 3.4.
|
Информационное обслуживание
|
|
Рис. 3.3 – Структура эксплуатационных
затрат, %
|
Экономия
на работе экспертов по анализу состояния ОФ
|
|
|
Дополнительное
производство
|
|
|
Экономия
на устранении последствий аварий
|
|
Рис. 3.4 – Структура доходов
Предприятие получает возможность сократить
свои расходы и за счет снижения издержек на устранение последствий аварий. В
целом за счет этих двух ресурсов компания может сэкономить примерно 10 тыс.
руб. Доход может быть увеличен и за счет дополнительного производства на
высвобожденных ресурсах.
Дополнительные доходы, полученные
предприятием в результате внедрения системы управления основными фондами и
расчет дополнительной чистой прибыли приведем в таблице 3.2.
Таблица 3.2
Расчет дополнительно полученной чистой
прибыли, тыс. руб.
|
Наименование показателей
|
Годы
|
Всего
|
|
2009
|
2010
|
2011
|
|
Доходы
|
6697
|
6697
|
6697
|
20091
|
|
Эксплуатационные расходы
|
1576
|
1576
|
1576
|
4728
|
|
Балансовая прибыль
|
5121
|
5121
|
5121
|
15363
|
|
Налогооблагаемая прибыль
|
4121
|
4121
|
4121
|
12363
|
|
Налог на прибыль
|
989
|
989
|
989
|
2967
|
|
Чистая прибыль
|
4132
|
4132
|
4132
|
12396
|
Рассчитав доходы и расходы, можем оценить
прибыль и эффективность такого инвестиционного проекта. Методы оценки
эффективности инвестиций, используемые в российской практике, можно разделить
на две группы: простые (статические) и методы дисконтирования. Рассмотрим
сначала основные показатели статистических методов – срок окупаемости и простая
норма прибыли. Первый показатель определяется из «движения денежных средств»
(или Cash Flow). Производя расчеты, будем считать, что все капиталовложения
компания сделала за счет собственных средств, не используя кредиты и
привлечение дополнительного акционерного каптала. Принимая доходы и расходы в
течение 2 лет постоянными, получим срок окупаемости в 15,1 месяцев, а простую
норму прибыли (доля затрат, возмещаемых из прибыли в течение одного интервала
планирования) в первый год реализации проекта – 54%.
Полученные расчетные оценки уже позволяют
оценить эффективность проекта как достаточно высокую. Однако сами они являются
достаточно грубыми и обладают существенными недостатками, например не учитывают
ценность будущих поступлений, сильно зависят от величины чистой прибыли, а
рассчитанная норма прибыли является средней за весь период. (В нашем случае
последний недостаток не столь актуален, так как прибыль практически неизменна
на протяжении всего проекта.)
Таблица 3.3
Движение денежных средств (Cash Flow),
тыс. руб.
|
Наименование показателей
|
Годы
|
Всего
|
|
2009
|
2010
|
|
Приток средств
|
|
|
|
|
Доходы
|
6697
|
6697
|
13394
|
|
Собственные средства
|
6004
|
0
|
6004
|
|
Отток средств
|
|
|
|
|
Капитальные затраты
|
6004
|
0
|
6004
|
|
Эксплуатационные расходы (без амортизационных отчислений)
|
976
|
976
|
1952
|
|
Налоги
|
989
|
989
|
1978
|
|
Итого
|
|
|
|
|
Сальдо притоков и оттоков
|
4732
|
4732
|
9464
|
|
То же нарастающим итогом
|
4732
|
9464
|
|
Чтобы оценить инвестиционную
привлекательность проекта, произведем его оценку, используя методы
дисконтирования, которые являются классическими при определении экономической
эффективности с учетом стоимости самих денег и, в первую очередь их
"инвестиционной стоимости".
Для учета этого фактора, определим
эффективность проекта на основе чистой текущей стоимости (
). Поскольку срок окупаемости
проекта не превышает 3 года, для определения нормы дисконта используем
среднерыночную ставку валютных депозитов, приняв норму дисконта 9,17 %.
Показатели эффективности проекта по методу чистой текущей стоимости (NPV)
представлены в приведенной ниже таблице, из которой можно также определить срок
окупаемости с учетом дисконтирования, который приближается к 3 годам.
В заключение оценим внутреннюю норму
доходности (IRR), которую иногда называют стоимостью дисконтированных потоков
денежных средств. Она представляет собой ту ставку дисконта, при которой чистая
текущая стоимость проекта равна нулю, то есть когда текущие стоимости суммарных
исходящих и поступающих потоков денежных средств равны. Для нашего проекта IRR
составит 354%.
Таблица 3.4
Эффективность проекта на основе чистой
текущей стоимости (NPV), тыс. руб.
|
Наименование показателей
|
Годы
|
Всего
|
|
2009
|
2010
|
2011
|
|
Приток средств
|
|
|
|
|
|
Доходы
|
6697
|
6697
|
6697
|
20091
|
|
Итого
|
6697
|
6697
|
6697
|
20091
|
|
Отток средств
|
|
|
|
|
|
Общие капиталовложения
|
6004
|
0
|
0
|
60049
|
|
Эксплуатационные расходы без амортизации
|
976
|
976
|
976
|
2928
|
|
Уплаченные налоги из прибыли
|
989
|
989
|
989
|
2967
|
|
Итого
|
7969
|
1965
|
1965
|
11899
|
|
Чистый поток денежных средств
|
-1272
|
4732
|
4732
|
8192
|
|
То же нарастающим итогом
|
-1272
|
3460
|
8192
|
|
|
Коэффициент дисконтирования
|
0,9174
|
0,8417
|
0,7722
|
|
|
Чистый дисконтированный поток денежных средств
|
-1167
|
3983
|
3654
|
6470
|
|
То же нарастающим итогом
|
-1167
|
2816
|
6470
|
|
Таблица 3.5
Расчет экономического эффекта от внедрения
мероприятий
|
№
|
Показатели
|
Единицы измерения
|
До внедрения
|
После внедрения
|
Изменения
|
|
Абсол.
|
%
|
|
1
|
Выручка от реализации продукции
|
Тыс. руб.
|
312821
|
319518
|
+6697
|
+2,14
|
|
4
|
Прибыль от реализации
|
Тыс. руб.
|
4555
|
10276
|
+5721
|
+125,6
|
|
5
|
Прибыль до налогообложения
|
Тыс. руб.
|
-196
|
5525
|
+5721
|
Не рассчитывается
|
|
6
|
Прибыль в распоряжении предприятия
|
Тыс. руб.
|
-3334
|
1398
|
+4732
|
Не рассчитывается
|
На основании обобщенных данных таблиц по
каждому мероприятию рассчитаем сводную таблицу (табл.3.6).
Таблица 3.6
Оценка финансового состояния предприятии
от внедрения предложенных мероприятии
|
№
|
Показатели
|
До внедрения
|
Изменение
|
|
1
|
Прибыль от реализации, тыс. руб.
|
4555
|
27147
|
+22592
|
|
2
|
Прибыль до налогообложения, тыс. руб.
|
-196
|
22396
|
+22592
|
|
3
|
Прибыль в распоряжении предприятия, тыс. руб.
|
-3334
|
17405
|
+20739
|
|
4
|
Объем производства, тыс. руб.
|
312821
|
336367
|
+23546
|
|
5
|
Рентабельность продукции, %
|
-1,1
|
8,07
|
+6,97
|
|
6
|
Рентабельность производства, %
|
-0,2
|
5,17
|
+5,37
|
Таким образом, проведенный расчет показал,
что внедрение внесенных предложений позволить повысить объем производства и
реализации продукции на 23546 тыс. руб., увеличить прибыль предприятия до
налогообложения на 22592 тыс. руб. и прибыль в распоряжении предприятия на
20739 тыс. руб. В результате предприятие в прогнозируемом периоде получит
прибыль, в отличие от убытка в отчетном. В результате рентабельность продукции
составит 8,07%, а рентабельность производства – 5,17%. Данные показатели
значительно лучше показателей отчетного периода, в котором значение показателей
рентабельности было отрицательным.
Таким образом, можно сделать вывод об
эффективности внесенных предложений и необходимости их внедрения в
хозяйственную практику деятельности предприятия.
Заключение
Анализ, проведённый в данной дипломной
работе, позволил сформулировать следующие важнейшие выводы.
Основные средства – это материальные
ценности, которые удовлетворяют единовременно следующим условиям:
а) используются в производстве продукции
при выполнении работ или оказании услуг либо для управленческих нужд
организации;
б) используются в течение длительного
времени, т.е. срока полезного использования, продолжительностью свыше 12
месяцев или обычного операционного цикла, если он превышает 12 месяцев;
в) организацией не предполагается
последующая перепродажа данных активов;
г) способны приносить организации
экономические выгоды (доход) в будущем.
Промышленно-производственные основные
средства по натурально-вещественному составу (по видам) классифицируются по
следующим группам:
Здания - производственные, складские,
административно-хозяйственные (здания цехов, заводоуправления, гаражи и др.).
Сооружения - насосные станции, дымовые
трубы на отдельных фундаментах, бункера, мосты, водонапорные башни,
автомобильные дороги и др.
Передаточные устройства - электрические
сети, трубопроводы, тепловые и газовые сети, трансмиссии.
Машины – оборудование:
а) силовые машины и оборудование
(генераторы, трансформаторы, двигатели, турбины, паровые котлы, ядерные реакторы
и т.д.);
б) рабочие машины и оборудование
(металлорежущие станки, кузнечные и прессовые машины, автоматы для сварочных
работ и т.д.);
в) измерительные, регулирующие приборы и
устройства (амперметры, весы, водомеры и т.д.);
г) вычислительная техника (электронные и
другие вычислительные машины);
д) прочее машины и оборудование
(оборудование телефонных станций, пожарные машины и др.).
Транспортные средства - электровозы,
вагоны, автомобили, морские и речные суда.
Инструменты - электродрели, пневматические
отбойные молотки, электровибраторы и др.
Производственный инвентарь и
принадлежности, т.е. предметы производственного назначения (кроме малоценных и
быстроизнашивающихся предметов).
Хозяйственный инвентарь – конторская
обстановка, шкафы, ящики несгораемые, пишущие машинки, ковры, множительные
аппараты.
Многолетние насаждения озеленительные и
декоративные насаждения на территории предприятия.
Прочие основные средства – библиотечные
фонды, музейные ценности, капитальные затраты в арендованные основные средства
и др.
Амортизация основных средств представляет
собой экономический механизм постепенного перенесения стоимости изношенной
части основных фондов на производимую продукцию в целях возмещения и накопления
денежных средств для последующего их воспроизводства. Таким образом, амортизационные отчисления – это часть
стоимости основных средств, которая в каждый отчетный период списывается как
расходы на протяжении всего срока эксплуатации объекта.
Для обобщающей характеристики
эффективности использования основных фондов служат показатели рентабельности
(как отношение стоимости произведенной или реализованной продукции после вычета
НДС и акцизов к средне годовой стоимости основных производственных фондов),
фондоемкости (обратный показатель фондоотдачи), удельных капитальных вложений
на один рубль прироста продукции. Рассчитывается также относительная экономия
основных фондов
Как видно из проведенного анализа в ОАО
«КБ «Сухой» за 2007 год произошли существенные изменения в наличии и структуре
основных средств. Сумма их возросла на 7672 тыс.руб. или на 53,2%. Удельный вес
активной части средств сократился на 12,1%, хотя сумма их возросла на 2598
тыс.руб., что является отрицательной тенденцией.
Техническое состояние основных средств на
предприятии за 2007 год несколько ухудшилось за счет менее интенсивного их
обновления, коэффициент годности основного оборудования составил 0,434 в 2007
году, что свидетельствует о необходимости более ускоренного обновления или
замены оборудования. Срок обновления ОПФ в 2007 году составил 4 года,
увеличившись по сравнению с 2006 на 2 года, что является отрицательным.
Результаты анализа возрастного состава
машин и оборудования свидетельствуют о том, что наиболее устаревшее
оборудование – рабочие машины и оборудование. По результатам анализ видно, что
69,8 % оборудования предприятия имеет средний возраст до 10-и лет, а 23% от 10
до 20-и лет. Свыше 20-ти лет приходится на рабочие машины и оборудование –
5,8%. Таким образом, можно сделать вывод, что ОПФ предприятия достаточно
«молодые» и постоянно обновляются.
Уровень рентабельность основных средств в
2007 году снизился на 0,1 процентных пункта по сравнению с 2006 годом.
Изменение рентабельности ОСП произошло главным образом за счет роста
фондоотдачи ОПФ и роста рентабельности продаж.
Фондоотдача ОПФ сократилась в 2007 году на
0,41 руб. Фондоотдача активной части ОПФ возросла в 2007 году на 0,21 руб. и
составила 4,56 руб.
Среднегодовое количество технологического
оборудования увеличилось за 2007 год на 2 единицы. При этом количество отработанных
машино-часов сократилось на 28 тыс.машино-часов, что в первую очередь вызвано
сокращением количества рабочих дней на 5. Выработка же продукции за 1
машино-час увеличилась на 0,08 тыс.руб., что является положительным
показателем.
Отрицательное влияние на уровень
фондоотдачи и объема производства продукции оказали снижение доли активной
части фондов, увеличение доли дорогого оборудования, снижение уровня
коэффициента сменности, изменение в структуре оборудования и внутрисменные
простои техники.
Проведенный анализ на основании плановых
показателей на 2009 год позволил выявить прогнозные резервы повышения
эффективности использования материально-технической базы промышленного
предприятия, которые могут быть использованы в будущей финансово-хозяйственной
деятельности предприятия. За счет запланированного на 2009 год ввода в действие
нового оборудования, сокращения внутрисменных и целодневных простоев техники,
повышения коэффициента сменности, более интенсивного использования оборудования
предприятие имеет реальные возможности увеличить выпуск продукции на 16871
тыс.руб., в том числе, за счёт:
- ввода в действие нового оборудования на 2938,3 тыс. руб.
- сокращение целодневных простоев оборудования на 245,1 тыс. руб.
- сокращения внутрисменных простоев 13687,5 тыс.руб.
Таким образом, предприятие должно
использовать все возможности для достижения высоких финансовых показателей в
будущем: обновлять материально-техническую базу, реализовывать ненужные и
неиспользуемые основные средства, модернизировать устаревшее, но пригодное к
эксплуатации оборудование.
Список
использованной литературы
1.
Аипкин С. Основные
средства как вклад в уставный капитал организации // Финансовая газета.
Региональный выпуск, №10 – 2006
2.
Васильев Ю.А.
Реконструкция и модернизация как способы восстановления основных средств //
Актуальные вопросы бухгалтерского учета и налогообложения, №19 – 2005
3.
Веденина Е.Л. Анализ
обновленного ПБУ 6/01 «Учет основных средств» // Новое в бухгалтерском учете и
отчетности, №4 – 2006
4.
Григоренко Д.Ю.
Создаем резерв предстоящих расходов на ремонт основных средств // Российский
налоговый курьер, №21 – 2005
5.
Гульст О. Расчет с
кредитором основными средствами // Учет. Налоги. Право, №46 – 2005
6.
Друри К. Введение в управленческий и
производственный учет -М.: ВЛАДОС, 2005 – 385 с.
7.
Дурново Д.В.
Приобретение основного средства, бывшего в употреблении // Актуальные вопросы
бухгалтерского учета и налогообложения, №1 – 2006
8.
Ермолович Л.Л., Сивчик Л.Г., Толкач
Г.В., Щитникова И.В. Анализ хозяйственной деятельности предприятия: – Минск:
Интерсервисс; Экоперспектива, 2005. – 576 с.
9.
Ефимова О.В. Годовая отчетность для целей
финансового анализа // Бухгалтерский учет.- 2006.- № 2.- С.66-72.
10.
Ефимова О.В. Как анализировать финансовое
положение предприятия. – М.: ВЛАДОС, 2006 – 194 с.
11.
Жарылгасова Б.Т., Суглобов А.Е. Анализ бухгалтерской (финансовой) отчетности. – М.: ЭКОНОМИСТЪ,
2005. – 397 с.
12.
Земсков В.В.
Статистический анализ при аудите основных средств // Аудиторские ведомости, №9
– 2005
13.
Зенков Ю. Переоценка
основных средств – одна, стандартов – два // Учет. Налоги. Право, №3 – 2006
14.
Князева С.В.
Ликвидация основного средства от «А» до «Я» // Учет. Налоги. Право, №26 – 2005
15.
Князева С.В. Основное
средство на запчасти // Учет. Налоги. Право, №42 – 2005
16.
Ковалев В.В. Финансовый анализ:
Управление капиталом. Выбор инвестиций. Анализ отчетности. - М.: Зеркало, 2006
– 529 с.
17.
Кожинов В.Я.
Бухгалтерский учет. Москва. Экзамен 2001
18.
Крейнина М.Н. Анализ финансового
состояния и инвестиционной привлекательности акционерных обществ в
промышленности, строительстве и торговле. - М.: Финансы, 2005. – 289 с.
19.
Крейнина М.Н. Финансовое состояние
предприятия. Методы оценки. - М.: ИКЦ "ДИС", 2007.
20.
Навигаторенко В.Г., Беллендир М.В.
Финансовый анализ: Учебное пособие.-М.: Издательство «ДИС», НГАЭиУ, 2005.-128
с.
21.
Новодворский В.Д., Лисенков А.М.
Инвентарный объект и классификация основных средств в современной практике
хозяйствования // Современный бухучет, №№7 – 8, 2004
22.
Пелих А.С., Баранников М.М. Экономика
машиностроения / Под ред. проф. А.С.Пелиха. Ростов-н/Д: «Феникс», 2004. – С.
392 – 393.
23.
Пелих А.С., Джуха В.М., Боков И.И. и
др. Экономика предприятия. Ростов-н/Д: «Феникс», 2002. – С.136
24.
Полтинина Н.П. Учет
основных средств по частям как способ оптимизации // Главбух, №4 – 2006
25.
Рузавин Г.И., Мартынов В.Т. Курс
рыночной экономики. М.: Банки и биржи, ЮНИТИ, 2006. – 419 с.
26.
Савицкая Г.В. Анализ хозяйственной
деятельности предприятия: 4-е издание. - Минск: ООО «Новое знание», 2006 – 688
с.
27.
Сегедий Л.В. Импорт
основных средств: новые правила учета // Главбух, №4 – 2006
28.
Сергеева К.В.
Безвозмездная передача основных средств // Бюджетный учет, №11 – 2005
29.
Соколов П.А. Об
отнесении к основным средствам объектов внешнего благоустройства // Новое в
бухгалтерском учете и отчетности, №2 – 2006
30.
Солтык Т.Г. Учет
налоговых разниц по основным средствам и нематериальным активам // Налоговый
учет для бухгалтера, №2 – 2006
[1] Навигаторенко
В.Г., Беллендир М.В. Финансовый анализ: Учебное пособие.-М.: Издательство
«ДИС», НГАЭиУ, 2005.-128 с.
[2] Савицкая
Г.В. Анализ хозяйственной деятельности предприятия: 4-е издание. - Минск: ООО
«Новое знание», 2006 – 688 с.
[3] Крейнина
М.Н. Анализ финансового состояния и инвестиционной привлекательности
акционерных обществ в промышленности, строительстве и торговле. - М.: Финансы,
2005. – 289 с.
[4] Рузавин
Г.И., Мартынов В.Т. Курс рыночной экономики. М.: Банки и биржи, ЮНИТИ, 2006. –
419 с.
[5] Ковалев
В.В. Финансовый анализ: Управление капиталом. Выбор инвестиций. Анализ
отчетности. - М.: Зеркало, 2006 – 529 с.
[6] Крейнина
М.Н. Финансовое состояние предприятия. Методы оценки. - М.: ИКЦ
"ДИС", 2007.
[7] Ефимова
О.В. Годовая отчетность для целей финансового анализа //
Бухгалтерский учет.- 2006.- № 2 .- С.66-72.
[8] Ефимова
О.В. Как анализировать финансовое положение предприятия. – М.: ВЛАДОС, 2006 –
194 с.
[9] Жарылгасова
Б.Т., Суглобов А.Е. Анализ бухгалтерской (финансовой) отчетности. – М.: ЭКОНОМИСТЪ,
2005. – 397 с.
[10] Друри
К. Введение в управленческий и производственный учет -М.: ВЛАДОС, 2005 – 385 с.
[11] Ермолович
Л.Л., Сивчик Л.Г., Толкач Г.В., Щитникова И.В. Анализ хозяйственной
деятельности предприятия: – Минск: Интерсервисс; Экоперспектива, 2005. – 576
с.