Отдельные методологические аспекты анализа использования фонда заработной платы

  • Вид работы:
    Курсовая работа (т)
  • Предмет:
    Экономика отраслей
  • Язык:
    Русский
    ,
    Формат файла:
    MS Word
    692,27 kb
  • Опубликовано:
    2010-04-19
Вы можете узнать стоимость помощи в написании студенческой работы.
Помощь в написании работы, которую точно примут!

Отдельные методологические аспекты анализа использования фонда заработной платы

СОДЕРЖАНИЕ

ВВЕДЕНИЕ

1. ТЕОРЕТИЧЕСКИЕ АСПЕКТЫ АНАЛИЗА ИСПОЛЬЗОВАНИЯ ФОНДА ЗАРАБОТНОЙ ПЛАТЫ

1.1 Понятие, назначение и методология анализа хозяйственной деятельности предприятия

1.2 Анализ использования фонда заработной платы

2. АНАЛИЗ ИСПОЛЬЗОВАНИЯ ФОНДА ЗАРАБОТНОЙ ПЛАТЫ НА ПРЕДПРИЯТИИ ООО «ЖИГУЛЕВСКИЙ ВОДОЧНЫЙ ЗАВОД»

2.1 Краткая технико-экономическая характеристика предприятия

2.2 Анализ структуры и использования фонда заработной платы на предприятии ООО «Жигулевский водочный завод»

2.3 Анализ показателей производительности труда и использования рабочего времени

2.4 Анализ средней заработной платы и ее изменений в соотношении с ростом производительности труда

ЗАКЛЮЧЕНИЕ

СПИСОК ЛИТЕРАТУРЫ

ПРИЛОЖЕНИЯ

ВВЕДЕНИЕ

Анализ финансово-хозяйственной деятельности предприятия является важной частью, а, по сути, основой принятия решений на микроэкономическом уровне, то есть на уровне субъектов хозяйствования. С помощью аналитических процедур выявляются наиболее значимые характеристики и стороны деятельности предприятия и делаются прогнозы его будущего состояния, после чего на основе этих прогнозов строятся планы производственной и рыночной активности и разрабатываются процедуры контроля за их исполнением.

В литературных источниках встречаются различные подходы к определению того, что является предметом анализа финансово-хозяйственной деятельности. Самый простой (и наиболее разработанный еще в эпоху социалистического хозяйствования) подход подразумевает, что предметом анализа является использование предприятием своих материальных и трудовых ресурсов с точки зрения выполнения «спущенных сверху» производственных планов [25]. Более широкий подход относит к сфере анализа финансово-хозяйственной деятельности все хозяйственные процессы, включая производственное планирование на самом предприятии и оценку результативности использования всех ресурсов, в том числе финансовых [27].

Содержанием анализа финансово-хозяйственной деятельности является глубокое и всестороннее изучение экономической информации о функционировании анализируемого субъекта хозяйствования с целью принятия оптимальных управленческих решений по обеспечению выполнения производственных программ предприятия, оценки уровня их выполнения, выявления слабых мест и внутрихозяйственных резервов.

Финансово-хозяйственную деятельность предприятия можно представить как непрерывный процесс привлечения разного рода ресурсов, объединения их в процессе производства для получения некоторого финансового результата. Исходя из этого, можно выделить три укрупненные сферы применения анализа: ресурсы, производственный процесс, финансовые результаты

Анализ должен представлять собой комплексное исследование действия внешних и внутренних, рыночных и производственных факторов на количество и качество производимой предприятием продукции, финансовые показатели работы предприятия и указывать возможные перспективы развития дальнейшей производственной деятельности предприятия в определенной области хозяйствования [13].

При анализе финансово-хозяйственной деятельности предприятия изучается динамика и структура финансовых результатов его деятельности, выявляются факторы, которые повлияли на формирование величины чистой прибыли (убытка) предприятия.

По результатам анализа делается вывод о прибыльности или убыточности деятельности предприятия, о тенденциях изменения финансовых результатов деятельности предприятия по сравнению с предыдущими периодами, основных факторов, которые повлияли на формирование конечных результатов хозяйственной деятельности предприятия.

В процессе анализа финансово-хозяйственной деятельности предприятия осуществляется анализ деловой активности, что позволяет проанализировать эффективность основной деятельности предприятия, которая характеризуется скоростью оборота финансовых ресурсов предприятия.

Кроме анализа деловой активности осуществляется анализ рентабельности предприятия, что позволяет определить эффективность вложения средств в предприятие и рациональность его использования.

В условиях конкуренции и стремления предприятий к максимизации прибыли анализ финансово-хозяйственной деятельности является неотъемлемой функцией управления. Этот аспект управления фирмой становится наиболее значимым в настоящее время, так как практика функционирования рынка показывает, что без анализа финансово-хозяйственной деятельности предприятие не может эффективно функционировать.

Современное предприятие представляет собой не только имущественный, но и экономический комплекс, состоящий из определенного набора систем, обеспечивающих его нормальное функционирование и развитие. В качестве наиболее распространенных систем можно назвать систему управления, систему контроля, систему учета, систему снабжения, систему производства, систему продаж, систему оплаты труда. Количество и состав этих систем зависят от видов деятельности, которыми занимается предприятие, размеров бизнеса и прочих присущих данному предприятию особенностей. Неизменными для каждого предприятия остаются только базисные системы, одной из которых является система оплаты труда.

Система оплаты труда, как и любая из систем современного предприятия, должна быть экономически обоснованной. В противном случае она теряет свою эффективность и не способствует развитию бизнеса, а подчас и наносит ему значительный урон.

Оплата труда, будучи обусловленной характером общественного производства, предопределяет правовой механизм распределения продукта труда между работником и работодателем. Это распределение характеризуется следующими моментами. Во-первых, часть продукта распределяется в соответствии с величиной труда, отданного работником в процессе производства. Это обеспечивает заинтересованность трудящихся в наиболее полном, интенсивном и производительном использовании своего рабочего времени. Во-вторых, труд более высокой квалификации оплачивается выше по сравнению с неквалифицированным при одинаковых затратах рабочего времени, что заинтересовывает трудящихся в повышении квалификации, общеобразовательного уровня и профессионального мастерства.

Оплата труда лиц, работающих по трудовому договору, осуществляется в виде заработной платы. Трудовой кодекс РФ в статье 129 закрепляет легальное определение заработной платы. Заработная плата (оплата труда работника) - вознаграждение за труд в зависимости от квалификации работника, сложности, количества, качества и условий выполняемой работы.

В связи с этим вопросы анализа представляются достаточно актуальными, что и определило выбор темы курсовой работы «Отдельные методологические аспекты анализ использования фонда заработной платы».

Целью написания данной курсовой работы является освещение процедуры анализа использования фонда заработной платы на предприятии ООО «Жигулевский водочный завод».

Исходя из поставленной цели определились задачи курсовой работы, которые состоят в следующем:

-   рассмотреть экономические аспекты оплаты труда в рыночных условиях;

-   проанализировать основные показатели формирования и использования фонда оплаты труда на предприятии.

Объектом курсовой работы является предприятие ООО «ЖВЗ», которое расположено на территории города Жигулевска. ООО «ЖВЗ», являясь юридическим лицом, имеет самостоятельный баланс и действует в соответствии со своим уставом. Предприятие, используя средства производства и другое имущество, осуществляет хозяйственную деятельность по производству и реализации продукции, работ, услуг в соответствии с договорами, с потребителями на условиях полного коммерческого расчета.

В ходе написания курсовой работы использовалась новейшая литература в области экономики предприятия, анализа финансово-хозяйственной деятельности, бухгалтерского учета, нормативно-правовые акты, регулирующие бухгалтерский и гражданско-правовые аспекты деятельности предприятия.[25; с.45-50;]

1. ТЕОРЕТИЧЕСКИЕ АСПЕКТЫ АНАЛИЗА ИСПОЛЬЗОВАНИЯ ФОНДА ЗАРАБОТНОЙ ПЛАТЫ

1.1 Понятие, назначение и методология анализа хозяйственной деятельности предприятия

Экономический анализ как наука представляет собой систему специальных знаний, базирующихся на законах развития и функционирования систем и направленных на познание методологии оценки, диагностики и прогнозирования финансово-хозяйственной деятельности предприятия.

Каждая наука имеет свой предмет. Под предметом экономического анализа понимаются хозяйственные процессы предприятий, их социально-экономическая эффективность и конечные финансовые результаты деятельности, складывающиеся под воздействием объективных и субъективных факторов, находящие отражение через систему экономической информации.

Предмет экономического анализа определяет стоящие перед ним задачи:

- повышение научно-экономической обоснованности бизнес-планов, бизнес-процессов и нормативов в процессе их разработки;

- объективное и всестороннее исследование выполнения бизнес-планов, бизнес-процессов и соблюдения нормативов;

- определение эффективности использования трудовых и материальных ресурсов;

- контроль за осуществлением требований коммерческого расчета;

- выявление и измерение внутренних резервов на всех стадиях производственного процесса;

- проверка оптимальности управленческих решений.

Характерными особенностями метода экономического анализа являются:

- определение системы показателей, всесторонне характеризующих хозяйственную деятельность организаций;

- установление соподчиненности показателей с выделением совокупных результативных факторов и факторов (основных и второстепенных), на них влияющих;

- выявление формы взаимосвязи между факторами;

- выбор приемов и способов для изучения взаимосвязи;

- количественное измерение влияния факторов на совокупный показатель.

Совокупность приемов и способов, которые применяются при изучении хозяйственных процессов, составляет методику экономического анализа.

Методика экономического анализа базируется на пересечении трех областей знаний: экономики, статистики и математики.

К экономическим методам анализа относят сравнение, группировку, балансовый и графический методы.

Статистические методы включают в себя использование средних и относительных величин, индексный метод, корреляционный и регрессивный анализ и др.

Математические методы можно разделить на три группы: экономические (матричные методы, теория производственных функций, теория межотраслевого баланса); методы экономической кибернетики и оптимального программирования (линейное, нелинейное, динамическое программирование); методы исследования операций и принятия решений (теория графов, теория игр, теория массового обслуживания).

Сравнение – сопоставление изучаемых данных и фактов хозяйственной жизни. Различают горизонтальный сравнительный анализ, который применяется для определения абсолютных и относительных отклонений фактического уровня исследуемых показателей от базового; вертикальный сравнительный анализ, используемый для изучения структуры экономических явлений; трендовый анализ, применяемый при изучении относительных темпов роста и прироста показателей за ряд лет к уровню базисного года, т.е. при исследовании рядов динамики.

Обязательным условием сравнительного анализа является сопоставимость сравниваемых показателей, предполагающая:

- единство объемных, стоимостных, качественных, структурных показателей;

- единство периодов времени, за которые производится сравнение;
сопоставимость условий производства;

- сопоставимость методики исчисления показателей.

Средние величины – исчисляются на основе массовых данных о качественно однородных явлениях. Они помогают определять общие закономерности и тенденции в развитии экономических процессов.

Группировки – используются для исследования зависимости в сложных явлениях, характеристика которых отражается однородными показателями и разными значениями (характеристика парка оборудования по срокам ввода в эксплуатацию, по месту эксплуатации, по коэффициенту сменности и т.д.)

Балансовый метод состоит в сравнении, соизмерении двух комплексов показателей, стремящихся к определенному равновесию. Он позволяет выявить в результате новый аналитический (балансирующий) показатель.

Все явления и процессы хозяйственной деятельности предприятий находятся во взаимосвязи и взаимообусловленности. Одни из них непосредственно связаны между собой, другие косвенно. Отсюда важным методологическим вопросом в экономическом анализе является изучение и измерение влияния факторов на величину исследуемых экономических показателей.

Под экономическим факторным анализом понимается постепенный переход от исходной факторной системы к конечной факторной системе, раскрытие полного набора прямых, количественно измеримых факторов, оказывающих влияние на изменение результативного показателя.

По характеру взаимосвязи между показателями различают методы детерминированного и стохастического факторного анализа.

Детерминированный факторный анализ представляет собой методику исследования влияния факторов, связь которых с результативным показателем носит функциональный характер.

Основные свойства детерминированного подхода к анализу:

- построение детерминированной модели путем логического анализа;

- наличие полной (жесткой) связи между показателями;

- невозможность разделения результатов влияния одновременно действующих факторов, которые не поддаются объединению в одной модели;

- изучение взаимосвязей в краткосрочном периоде[28].

1.2 Анализ использования фонда заработной платы

Анализ использования фонда заработной платы начинают с расчёта абсолютного и относительного отклонения фактической его величины от плановой.

Абсолютное отклонение (∆ФЗП) определяется сравнением фактически использованных средств на оплату труда (ФЗПф) с базисным фондом заработной платы (ФЗПпл) в целом по предприятию, производственным подразделением и категориям работников:

∆ФЗП = ФЗП1 – ФЗП0 (1)

Однако абсолютное отклонение рассчитывается без учёта степени выполнения плана по производству продукции. Учесть этот фактор поможет расчёт относительного отклонения фонда заработной платы (∆ФЗПот).

Для этого переменная часть фонда заработной платы (ФЗПпер) корректируется на коэффициент выполнения плана по производству продукции (Кпп). К переменной части фонда заработной платы относят зарплату рабочих по сдельным расценкам, премии рабочим и управленческому персоналу за производственные результаты, сумму отпускных, соответствующую доле переменной зарплаты, другие выплаты, относящиеся к фонду заработной платы и которые изменяются пропорционально объёму производства продукции.

Постоянная часть оплаты труда (ФЗПпост) не изменяется при увеличении или спаде объёма производства – это зарплата рабочих по тарифным ставкам, зарплата служащих по окладам, все виды доплат, оплата труда работников непромышленных производств и соответствующая им сумма отпускных. Относительное отклонение фонда заработной платы:

∆ФЗПот = ФЗП1 - (ФЗП0 - Iвп) (2)

где Iвп - индекс выпуска продукции

В процессе последующего анализа определяют факторы, вызвавшие абсолютное и относительное отклонения по фонду заработной платы.

Факторная модель переменной части фонда зарплаты представлена на рис. 1

Рис. 1 Схема факторной системы переменного фонда зарплаты

Согласно этой схеме модель будет иметь следующий вид.

 (3)

Для расчёта влияния этих факторов на абсолютное и относительное отклонение по фонду зарплаты необходимы следующие данные:

1. Фонд заработной платы:

- по плану:

 (4)

- по плану, пересчитанному на объём производства, при плановой структуре:

 (5)

- по плану, пересчитанному на фактический объём производства продукции и фактическую структуру:

 (6)

фактически при фактической удельной трудоёмкости и плановом уровне оплаты труда:

 (7)

- фактически:

 (8)

2. Отклонение от плана:

- абсолютное:

 (9)

- относительное:

 (10)

Расчёт влияния факторов на изменение переменной части фонда оплаты труда проводят по формулам:

- влияние объёма производства продукции:

 (11)

влияние изменения структуры произведённой продукции:

 (12)

- влияние изменения удельной трудоёмкости продукции:

 (13)

влияние изменения оплаты труда:

 (14)

В конце анализа необходимо провести проверку произведённых расчётов:


Факторная модель постоянной части фонда оплаты труда представлена на рис.2

Согласно этой схеме модель будет иметь следующий вид:

 (15)

Аналогично можно представить факторную модель для фонда заработной платы служащих.

В процессе анализа необходимо также установить эффективность использования фонда заработной платы.

Для расширенного воспроизводства получения необходимой прибыли и рентабельности необходимо, чтобы темпы роста производительности труда опережали темп роста его оплаты. Если этот принцип не соблюдается, то происходит перерасход фонда зарплаты, повышение себестоимости продукции и, соответственно, уменьшение суммы прибыли.

Рис. 2 Детерминированная факторная система фонда заработной платы рабочих-повременщиков

Изменение среднего заработка работающих за период характеризуется его индексом (JЗП):

 (16)

Изменение среднегодовой выработки определяется аналогично на основе индекса производительности труда (Jпт):

 (17)

Темп роста производительности труда должен опережать темп роста средней заработной платы. Для этого рассчитывают коэффициент опережения Коп и анализируют его в динамике:

 (18)

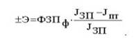
Затем производят подсчёт суммы экономии (перерасхода) (Э) фонда заработной платы в связи с изменением соотношений между темпами роста производительности труда и его оплаты:

 (19)

В условиях высокой инфляции при анализе индекса роста средней заработной платы необходимо базисный показатель средней зарплаты (СЗ0) скорректировать на индекс роста цен на потребительские товары и услуги (Jу)


где СЗ1 - средняя зарплата в отчётном периоде.

В процессе анализа целесообразно рассчитать и сравнить в динамике или с межзаводскими данными такие показатели, как производство товарной продукции, сумму валовой прибыли, сумму отчислений в фонд накопления на рубль зарплаты.

Организации могут устанавливать такие системы оплаты труда своих работников:

1) повременная (тарифная) (оплачивается то время, которое работник фактически отработал):

- простая;

- повременно-премиальная;

2) сдельная (оплачивается то количество продукции, которое работник изготовил):

- простая;

- сдельно-премиальная;

- сдельно-прогрессивная;

- косвенно-сдельная;

- аккордная;

3) бестарифная (труд оплачивается исходя из трудового вклада конкретного работника в деятельность организации);

4) система плавающих окладов (труд оплачивается исходя из суммы денежных средств, которую организация может направить на выплату заработной платы);

5) система выплат на комиссионной основе (размер оплаты труда устанавливается в процентах от выручки, полученной организацией).

Системы оплаты труда коммерческая организация устанавливает самостоятельно.

Установленные системы оплаты труда фиксируются в коллективном договоре, Положении об оплате труда или трудовых договорах с конкретными работниками.

Разным категориям работников могут быть установлены различные системы оплаты труда.

Например, общехозяйственному персоналу труд может оплачиваться повременно, а рабочим основного производства - сдельно.

Положение об оплате труда утверждается приказом руководителя организации и согласовывается с соответствующим профсоюзом.

При повременной системе оплаты труда работникам оплачивается то время, которое они фактически отработали.

При этом труд работников может оплачиваться:

- по часовым тарифным ставкам;

- по дневным тарифным ставкам;

- исходя из установленного оклада.

Размеры часовых (дневных) тарифных ставок и окладов для различных работников организации устанавливаются в Положении об оплате труда и указываются в штатном расписании.

Общий порядок исчисления среднего заработка установлен в ст.139 Трудового кодекса РФ.

Так, Трудовой кодекс определяет, что при любом режиме работы расчет среднего заработка работника производится исходя из фактически начисленной ему заработной платы и фактически отработанного им времени за 12 месяцев, предшествующих моменту выплаты.

На предприятии ООО «ЖВЗ» установлена простая повременная система заработной платы работников, и определяется умножением часовой или дневной тарифной ставки на количество отработанного за соответствующий период времени.

Работник основного производства ООО «ЖВЗ» отработал 120 ч. Его часовая тарифная ставка составляет 100 руб. В марте работнику будет начислена заработная плата в сумме 100 руб. x 120 ч = 12 000 руб.

Оклад работника ООО «ЖВЗ» отдела маркетинга - 20 000 руб. В марте работник отработал 16 рабочих дней, в то время как по графику (по производственному календарю) в марте был 21 рабочий день. Сумма начисленной заработной платы работнику за март рассчитывается следующим образом:

- среднедневной заработок работника в марте составит: 20 000 руб. / 21 дн. = 952 руб. 38 коп.;

- сумма заработной платы за март: 952 руб. 38 коп. x 16 дн. = 15 238 руб. 08 коп.

Повременно-премиальная система оплаты труда на предприятии ООО «ЖВЗ» применяется к работникам вспомогательных производств, тогда к сумме заработной платы, исчисленной по простой повременной системе, прибавляют сумму премии, рассчитанную в соответствии с установленным в организации порядком премирования работников (коллективный договор, положение о премировании, трудовой договор с конкретным работником). Чаще всего величина премии определяется в процентах к тарифной ставке (окладу).

За высокие показатели в труде работникам отдела автохозяйства в размере 20% от оклада. Согласно штатному расписанию оклад специалиста отдела автохозяйства составляет 20 000 руб. В марте специалист был награжден премией, сумма которой составила 4000 руб. (20 000 руб. x 20%). Следовательно, сумма начисленной заработной платы за март специалисту - 24 000 руб.

При расчете учитываются все предусмотренные системой оплаты труда виды выплат, применяемые в организации, независимо от источников этих выплат [24, с.89-97; 35, с.101-112;].

Рационализация структуры фонда заработной платы позволяет не только исключить необоснованные финансовыми ресурсами выплаты, но и получить экономию по фонду заработной платы, за счет увеличения норм выработки и зон обслуживания. В процессе анализа использования средств на оплату труда, осуществляется систематический контроль над использованием фонда заработной платы (оплаты труда), выявляются возможности экономии средств за счет роста производительности труда и снижения трудоемкости продукции.



2. АНАЛИЗ ИСПОЛЬЗОВАНИЯ ФОНДА ЗАРАБОТНОЙ ПЛАТЫ НА ПРЕДПРИЯТИИ ООО «ЖИГУЛЕВСКИЙ ВОДОЧНЫЙ ЗАВОД»

2.1 Краткая технико-экономическая характеристика предприятия

«Жигулевский водочный завод» - крупнейшая в Самарской области водочная компания. Успех компании строится на поддержании многовековых традиций водки, один из самых современных и технически оснащенных в отрасли, "ЖВЗ" уверенно держит марку передового водочного предприятия 21 века.

Компания нацелена на собственное развитие путем удовлетворения запросов потребителей, гарантируя высокое качество и уникальность выпускаемого продукта. Компания производит водочную продукцию на любой вкус, представляя свою продукцию в большинстве сегментов водочного рынка.

Основной стратегией компании является разработка и продвижение на рынок водки, соответствующих международным стандартам качества.

Позиция компании заключается в обеспечении высокого уровня заработной платы для своих работников. Компания придерживается принципов социальной корпоративной ответственности и реализует комплекс мероприятий в интересах самых различных социальных групп. Компания осуществляет открытую политику корпоративных отношений, направляя значительные средства на различные социально значимые мероприятия.

Политика компании в области управления персоналом заключается в обеспечении профессионального и карьерного роста сотрудников, при замещении вакансий используется внутренний ресурс, а также привлекаются высококвалифицированные специалисты из внешнего кадрового резерва.

Общество создано с целью осуществления предпринимательской деятельности и получения прибыли.

Основными видами деятельности Общества являются:

- производство, хранение и поставки произведенного этилового спирта, в том числе денатурата;

- производство, хранение и поставки произведенной алкогольной и спиртосодержащей пищевой

- продукции;

- закупка, хранение и экспорт этилового спирта и алкогольной продукции;

- хранение этилового спирта, алкогольной и спиртосодержащей пищевой продукции;

- закупка, хранение и поставки алкогольной и спиртосодержащей пищевой продукции;

- экспорт алкогольной продукции;

- импорт, хранение и поставки этилового спирта, алкогольной и спиртосодержащей пищевой

- продукции;

- производство, хранение и поставки спиртосодержащей не пищевой продукции, а также другие

- виды производственной деятельности, при осуществлении которых в качестве сырья или

- вспомогательного материала используется этиловый спирт;

- розничная продажа алкогольной продукции;

- производство, переработка и реализация сельскохозяйственной продукции.

Общество имеет гражданские права и несет обязанности, необходимые для осуществления любых видов деятельности, не запрещенных федеральными законами.

Отдельными видами деятельности, перечень которых определяется федеральными законами, Общество может заниматься только на основании специального разрешения (лицензии).

Если условиями предоставления специального разрешения (лицензии) на занятие определенным

- видом деятельности предусмотрено требование о занятии такой деятельностью как

- исключительной, то Общество в течение срока действия специального разрешения (лицензии) не

- вправе осуществлять иные виды деятельности, за исключением видов деятельности,

- предусмотренных специальным разрешением (лицензией) и им сопутствующих.

Общество вправе в установленном порядке открывать банковские счета на территории Российской Федерации и за ее пределами.

В 2008 году предприятие, как и многие другие предприятия отрасли несколько ухудшило свои производственные показатели по сравнению с 2007 годом.

На сегодняшний день завод - это мощное современное предприятие, оснащенное по последнему слову техники, на котором постоянно ведется работа в области технического перевооружения и новых разработок. Предприятие характеризуется динамичным ростом технологических и производственных возможностей, повышением компетентности всего персонала, созданием необходимых условий труда для работающих, постоянным повышением качества и безопасности продукции. Предприятие одним из первых среди российских производителей ликеро-водочной продукции внедрило и сертифицировало систему управления качеством на соответствие требованиям МС ИСО 9001:2000 и систему управления качеством и обеспечения безопасности пищевой продукции, основанную на принципах ХАССП.

Объём продаж алкогольной продукции на внутреннем рынке:

Наименование продукции (работ, услуг)

Схема продаж продукции (работ, услуг)

2008г.

I кв.

II кв.

III кв.

IV кв.

Реализация ликероводочной продукции, % от общего объёма продаж (тыс. дал)

Торговые организации (прямые продажи), %

98,8

99,0

99,1

98,4

Собственная торговая сеть, %

1,2

1,0

0,9

1,6

Реализация ликероводочной продукции, % от общей выручки (тыс. руб.)

Торговые организации (прямые продажи), %

98,3

98,6

98,8

97,6

Собственная торговая сеть, %

1,7

1,4

1,2

2,4


Сведения о поставщиках, на долю которых приходится 10 и более процентов всех поставок товарно-материальных ценностей (данные за III квартал 2009 г.):


БУТЫЛКА

%

Поставщик

ООО «Кристалл Ресурс»

42,14

ЗАО «Раритет»

13,08


СПИРТ


Поставщик

ОАО «Спиртовый комбинат»

92,09


ЭТИКЕТОЧНАЯ ПРОДУКЦИЯ


Поставщик

ООО «Кристалл Ресурс»

90,31

ОАО «Европак»

48,86


КОЛПАЧОК


Поставщик

ООО «Кристалл Ресурс»

59,98

ЗАО «Пласткэп»

35,95


ГОФРОКАРТОН


Поставщик

ООО «Кристалл Ресурс»

75,91

ОАО «Европак»

14,53


Основные направления деятельности предприятия в 2009 году – увеличение объёмов производства продукции в соответствии с потребностями рынка, повышение качества производимой продукции; разработка и внедрение новых ликероводочных изделий.

На деятельность предприятия оказывают существенное влияние следующие факторы:

- наличие в каждом регионе собственных ликероводочных производств, выпускающих менее дорогостоящую продукцию;

- выход на отечественный рынок зарубежных производителей;

- рост цен на энергоносители, сырьевые материалы, повышение транспортных тарифов;

- сезонные колебания рынка;

- возможное увеличение таможенных пошлин, налоговых ставок;

- износ основных фондов и потребности в модернизации производства и продукции.

Современное состояние рынка ставит перед ООО «ЖВЗ» первостепенные задачи:

- удержание своих позиций на рынке;

- увеличение доли рынка;

- продвижение своей продукции;

- создание и вывод на рынок новых видов продукции;

- разработка параллельных сопутствующих продуктов под маркой предприятия, так как товары, объединенные одной известной торговой маркой, находят положительный отклик у потребителя;

- создание сети фирменной розничной торговли;

- экспорт продукции за пределы страны;

- разработка и реализация совместных с ФГУП «Росспиртпром», дистрибьюторами эмитента, розничной торговой сетью и др. программ по созданию, производству и реализации новой продукции;

- разработка нового дизайна бутылки и этикетки, отвечающих требованиям современного рынка алкогольной продукции.

Таблица 1

Технико-экономические показатели ООО «ЖВЗ» за 2006-2008 гг.

Наименование

Факт 2006 г.

Факт 2007 г.

Факт 2008 г.

Отклонения, %

2007г. к 2006г.

2008г. к 2006г.

1

2

4

Выручка от продажи продукции, тыс. руб.

95902,00

97735,00

99075,00

101,91

103,31

Себестоимость проданной продукции, тыс. руб.

66708,00

60396,00

65893,00

90,54

98,78

Среднесписочная численность работающих, чел.

319

460

516

116,46

130,63

Фонд оплаты труда работающих, тыс. руб.

25325,00

20380,00

26611,00

80,47

105,08

Среднегодовая стоимость ОПФ, тыс. руб.

18567,00

24814,00

57916,00

133,65

311,93

Прибыль (убыток) до налогообложения, тыс. руб.

11136,00

14654,00

7237,00

131,59

64,99

Чистая прибыль (убыток), тыс. руб.

8735,00

11335,00

5500,00

129,77

62,97

Среднегодовая выработка рабочего

242,79

212,47

192,01

87,51

79,08

Затраты на 1 рубль товарной продукции

0,70

0,62

0,67

88,84

Среднемесячная заработная плата рабочего

5,34

3,69

4,30

69,10

80,44

Затраты заработной платы на 1 рубль товарной продукции

0,26

0,21

0,27

78,96

101,71

Фондоотдача, руб./руб.

5,17

3,94

1,71

76,25

33,12

Фондоёмкость, руб./руб.

0,19

0,25

0,58

131,14

301,94

Фондовооружённость труда

47,01

53,94

112,24

114,76

238,78

Рентабельность общая, %

0,17

0,24

0,11

145,34

65,79

Рентабельность расчётная, %

0,13

0,19

0,08

143,33

63,74


Анализируя данную таблицу видно, что за период с 2006 по 2008 года, выручка от продажи продукции увеличилась динамика роста составила 103%. Себестоимость проданной продукции уменьшилась, темп снижения составил 99%. Снизилась среднегодовая выработка работающего и составила 79% по отношению к 2006 году. Вместе с тем уменьшились затраты на 1 рубль товарной продукции - темп снижения составил 96% по отношению к 2006 году. Среднемесячная заработная плата работающих сократилась, и составила 80% относительно 2006 года. Уменьшилась фондоотдача, и составила всего 33% в 2008 году относительно 2006 года, на это повлияло увеличение среднегодовой стоимости ОПФ. Так, как ООО «ЖВЗ» приобрел в 2008 году оборудование стоимостью 31815 тыс.руб., в том числе автоматизированную линию фасовки. Рентабельность производственной деятельности уменьшилась и составила всего 66% в 2008 году относительно 2006 года. На это повлияло уменьшение суммы прибыли, оставшейся в распоряжении предприятия. Так прибыль до налогообложения составила всего 65% относительно 2006 года, что полностью согласуется с показателями снижения рентабельности предприятия. В целом деятельность предприятия можно охарактеризовать как удовлетворительную.

2.2 Анализ структуры и использования фонда заработной платы на предприятии ООО «Жигулевский водочный завод»

Анализ использования трудовых ресурсов на предприятии, уровня производительности труда необходимо рассматривать в тесной связи с оплатой труда. С ростом производительности труда создаются реальные предпосылки для повышения уровня его оплаты. При этом средства на оплату труда нужно использовать таким образом, чтобы темпы роста производительности труда обгоняли темпы роста его оплаты. Только при таких условиях создаются возможности для наращивания темпов расширенного воспроизводства. В связи с этим анализ использования средств на оплату труда на каждом предприятии имеет большое значение. В процессе его следует осуществлять систематический контроль за использованием фонда заработной платы (оплаты труда), выявлять возможности экономии средств за счет роста производительности труда и снижения трудоемкости продукции. Анализ структуры фонда заработной платы работающих предприятия представлен в таблице 2.

Таблица 2

Структура фонда заработной платы работающих предприятия ООО «Жигулевский водочный завод»

Показатели

2006 г Тыс.руб.

2006 г %

2007 г Тыс.руб.

2007г

%

2008 г

Тыс.руб.

2008г

%

Абсл.откл.

2007

/2006

2008

/2006

1

2

3

4

5

6

7

8

9

1. Фонд оплаты труда всего персонала тыс. руб.

25325

100

20380

100

26611

100



в том числе:









1.1 ППП - всего, из них:

24078

95,1

19210

94,3

24452

91,9

-2,37

-3,19

Рабочих

18058,5

71,3

15368

75,4

19561,6

73,5

-1,90

+2,20

служащих

6019,5

23,8

3842

18,9

4890,4

18,4

-0,47

-5,39

1.2.Непромышленный персонал

1247

4,9

1170

5,7

2159

8,1

2,37

3,19


Анализируя полученные данные можно заключить, что за анализируемый период с 2006 по 2008 гг. произошли некоторые изменения в структуре фонда заработной. За анализируемый период, наблюдается сокращение фонда заработной платы промышленно-производственного персонала в общей структуре фонда оплаты труда предприятия. Так, в 2006 году сокращение составило -2,37%, за весь анализируемый период фонд оплаты труда ППП сократился на -3,19%. В структуре ППП на конец анализируемого периода изменилось соотношение фонда заработной платы рабочих и служащих. Наблюдается увеличение фонда заработной платы рабочих в структуре ППП на +2,2%, и снижение фонда заработной платы служащих на -5,4% в структуре ППП. Вместе с тем, наблюдается увеличение фонда оплаты труда в общей структуре непромышленного персонала на +3,19%. По данным таблицы 2 построим график, характеризующий структуру фонда заработной платы работающих предприятия и их среднегодовую заработную плату за анализируемый период (Приложение 3). [26; с.89-102;] Расчет использование фонда заработной платы представлен в аналитической таблице 3.

 

Таблица 3

Использование фонда заработной платы на предприятии в целом и по категориям работающих


2006 г

2007 г

2008 г

Темп роста, %

2007 г. к 2006 г.

2008 г. к 2006 г.

1

2

3

4

6

7

1. Фонд оплаты труда всего персонала тыс. руб.

25325

20380

26611

80

131

1.1 ППП - всего, из них:

24078

19210

24452

79,78

127,29

рабочих

18058,5

15368

19561,6

85,10

127,29

служащих

6019,5

3842

4890,4

63,83

127,29

1.2.Непромышленный персонал

1247

1170

2159

93,83

184,53

2.Среднесписочная численность всего персонала, человек

319

460

486

144,20

105,65

2.1.ППП - всего,из них:

311

451

474

145,02

105,10

рабочие

239

364

401

152,30

110,16

служащие

72

87

73

120,83

83,91

2.2 Непромышленный персонал

8

9

12

112,50

133,33

3. Среднегодовая заработная плата всего персонала, тыс. руб.

79,39

44,30

54,76

55,81

123,59

3.1 ППП - всего, из них:

77,42

42,59

51,48

55,02

120,86

рабочих

73,11

57,13

66,09

78,14

115,68

служащих

94,05

21,11

27,32

22,44

129,42

3.2 Непромышленный персонал

155,88

130,00

196,3

83,40

150,98


Расчет показателей использования фонда заработной платы начинают с определения экономии или перерасхода фонда заработной платы по категориям персонала и по всему промышленно – производственному персоналу (ППП) (определяются абсолютные отклонения):

Анализируя данные таблицы 3, можно сделать вывод, что фонд заработной платы по предприятию увеличился за рассматриваемый период. Но, в 2007 году наблюдается темп снижения ФЗП, который составил 80% относительно 2006 года, и в 2008 году относительно базового 2006 года наблюдается увеличение - темп роста составил 131%. В общем за период с 2006 по 2008 год, ФЗП увеличился, темп прироста составил (131%-100%) +31%.

В том, числе: ФЗП промышленно-производственного персонала в 2008 году относительно базового 2006 года увеличился, тем роста составил 127%.

ФЗП непромышленного персонала в 2008 году относительно 2006 года так же увеличился темп роста составил 185%.

Среднесписочная численность всего персонала увеличивалась в течении всего анализируемого периода. Так в 2007 году темп роста среднесписочной численности всего персонала составил 144%, и в 2008 году относительно базового 2006 года –темп роста составил -106%.

При этом, темп роста среднесписочной численности непромышленного персонала составил на конец анализируемого периода 133%, а темп роста промышленно производственного персонала на этот же период составил 105%. В том числе наблюдается незначительное снижение среднесписочной численности служащих в составе промышленно-производственного персонала на конец анализируемого периода, темп снижения 84%.

Среднегодовая заработная плата за анализируемый период имела тенденцию к сокращению в 2007 году, темп снижения составил 56%, относительно базового 2006 года. Но, в 2008 году тем роста составил 124% относительно 2006 года. За весь анализируемый период с 2006 по 2008 год темп прироста составил (124%-100%) +24%. Причем, темп роста среднегодовой зарплаты рабочих в 2008 году составил 116% относительно 2006 года. Темп роста среднегодовой заработной платы служащих в 2008 году составил 124% относительно 2006 года.

Среднегодовая заработная плата непромышленного персонала за весь анализируемый период имела тенденцию к сокращению в 2008 году, темп снижения составил 83% относительно базового 2006 года. И в 2008 году темп роста составил 151%.

Таким образом, прирост среднегодовой заработной платы за весь анализируемый период непромышленного персонала составил (151%-100%) +51%.

Более детальный расчет вышеприведенных расчетов позволит выявить влияние изменения численности работающих и их среднегодовой заработной платы на перерасход фонда заработной платы фактически в отчетном периоде по сравнению с прошлым годом.

Для этого распределим абсолютное отклонение фонда заработной платы по факторам, то есть по отклонениям численности работников и уровня их среднегодовой заработной платы.

Таблица 4

Влияние факторов изменения численности и среднегодовой заработной платы персонала предприятия на перерасход фонда заработной платы в 2007 году

Показатели

Абс. пер-ход ФЗП, тыс. руб.

Влияние численности

Влияние среднегодовой заработной платы

Отклонение численности, чел. Чфакт - Ч прош.год

Среднегодовая заработная платапрошлого года, тыс. руб. СЗП прош.год

Сумма влияния факторов, тыс. руб., Гр.3*гр.4

Отклонение среднегодовой ЗП, тыс. руб.,СЗПфакт - СЗП прош.год

Фактическая

численность, чел., Чфакт

Сумма влияния факторов, тыс. руб.,Гр.6*гр.7

1

2

3

4

5

6

7

8

1.ППП - всего,

из них

-4868,00

+140

77,42

10838,9

-34,83

451

-15706,97

Рабочих

-2690,50

+125

75,56

9444,82

-33,34

364

-12135,32

Служащих

-2177,50

+15

83,60

1254,06

-39,44

87

-3431,56

2.Непромышлен. персонал

-77,00

+1

155,88

155,875

-25,88

9

-232,875

Итого (стр.1+стр.2)

-4945,00

141,0

 -

10994,8

460

-15939,85


Расчеты, приведенные в таблице 4, показывают, что по сравнению с 2006 годом экономия фонда заработной платы произошла за счет влияния двух факторов: - снижения среднегодовой заработной платы работающих предприятия в размере -15939,8 тыс. руб., за счет увеличения численности работающих, полученного перерасхода на +10994,8 тыс. руб.

Расчеты, приведенные в таблице 5, показывают, что по сравнению с 2007 годом весь перерасход фонда заработной платы в 2008 году допущен за счет увеличения среднегодовой заработной платы работающих предприятия в размере +4861,33 тыс. руб., за счет увеличения численности работающих получен так же перерасход анализируемого показателя в сумме +1369,67 тыс. руб.

Таблица 5

Влияние факторов изменения численности и среднегодовой заработной платы персонала предприятия на перерасход фонда заработной платы в 2008 году

Показатели

Абсолютный перерас-ход ФЗП, тыс.руб.

Влияние численности

Влияние среднегодовой заработной платы

Отклонение численности, чел. Чфакт - Ч прош.год

Среднегодовая заработная плата прошлого года, тыс. руб.

СЗП прош.год

Сумма влияния факторов, тыс. руб., Гр.3*гр.4

Отклонение среднегодовой заработной платы, тыс. руб., СЗПфакт - СЗП прош.год

Фактическая численность, чел., Чфакт

Сумма влияния факторов, тыс. руб., Гр.6*гр.7

1

2

3

4

5

6

7

8

1.ППП - всего,

из них

+5242,0

+23

42,59

979,67

+8,99

474

4262,33

Рабочих

+4193,6

+37

42,22

1562,13

+6,56

401

2631,47

Служащих

+1048,4

-14

44,16

-618,25

+22,83

73

1666,65

2.Непромышлен. персонал

+989,00

+3

130,00

390,00

+49,92

12

599,00

Итого (стр.1+стр.2)

+6231,0

+1369,6

486

+4861,33


Таблица 6

Влияние факторов изменения численности и среднегодовой заработной платы на перерасход фонда заработной платы за период с 2006 по 2008 год.

Показатели

Абсолютный перерас-ход ФЗП, тыс.руб.

Влияние численности

Влияние среднегодовой заработной платы

Отклонение численности, чел. Чфакт - Ч прош.год

Среднегодовая заработная плата прошлого года, тыс. руб. СЗП прош.год

Сумма влияния факторов, тыс. руб., Гр.3*гр.4

Отклонение среднегодовой заработной платы, тыс. руб.,

СЗПфакт - СЗП прош.год

Фактическая численность, чел., Чфакт

Сумма влияния факторов, тыс. руб., Гр.6*гр.7

1

2

3

4

5

6

7

8

1.ППП - всего,

из них

374,00

+163

77,42

12619,6

-25,83

474

-12245

Рабочих

1503,10

+162

75,56

12240,4

-26,78

401

-10737

Служащих

-1129,10

+1

83,60

83,60

-16,61

73

-1212,7

2.Непромышлен. персонал

912,00

+4

155,88

623,50

+24,04

12

+288,50

Итого (стр.1+стр.2)

+1286

167,0


+13243


486

-11957


Таким образом, в 2008 году по сравнению с 2006 годом перерасход фонда заработной платы в сумме +1286 тыс.руб., произошел за счет влияния двух факторов: - снижения среднегодовой заработной платы работающих предприятия в размере -11957 тыс. руб., за счет полученного перерасхода, от увеличения численности работающих, на +13243 тыс. руб. [33;]

2.3 Анализ показателей производительности труда и использования рабочего времени

Полноту использования трудовых ресурсов можно оценить по количеству отработанных дней и часов одним работником за анализируемый период времени, а также по степени использования фонда рабочего времени.

Повышение производительности труда находится в прямой зависимости от использования рабочего времени. Максимальное сокращение потерь рабочего времени является самым доступным путем роста среднегодовой выработки, не требующим капитальных затрат. Величина среднегодовой выработки продукции одним рабочим зависит от их удельного веса в общей численности промышленно-производственного персонала, а также от количества отработанных ими дней и продолжительности рабочего дня[29, с.118-121;].

Таблица 7

Анализ производительности труда и использования рабочего времени на предприятии

Показатели

2006

2007

2008

Отклонения

2007 к 2006

2008 к 2006

1

2

3

4

5

6

1. Товарная продукция, тыс.руб

95902

97735

99075

101,9

103,3

2. Среднесписочная численность рабочих, чел.

395

460

486

116,5

123,0

3. Количество отработанных всеми рабочими чел. – дней

144175

138920

146772

96,4

101,8

4. Количество отработанных всеми рабочими чел. – часов

1182235

1118306

1159498,8

94,6

98,1

5. Среднее количество отработанных одним рабочим дней

1225,32

884,1

812

72,2

66,3

6. Среднее количество отработанных одним рабочим часов

8144,29

6984,36

6495,97

85,8

79,8

7. Средняя прод-сть рабочего дня, часов

6,65

7,9

8

118,8

120,3

8. Среднегодовая выработка одного рабочего, тыс. рублей

242,8

212,5

192,0

87,5

79,1

9. Среднедневная выработка одного рабочего, тыс. рублей

0,1981

0,2403

0,2365

121,3

119,4

10. Среднечасовая выработка одного рабочего, тыс. рублей

0,0298

0,0304

0,0296

102,0

99,3


Из таблицы 7 наглядно видно, что в 2008 году и в 2007 году относительно 2006 года происходило увеличение среднесписочной численности рабочих. Темпы роста составили в 2007 году 116%, и в 2008 году 123%, относительно 2006 года. Вместе с тем, количество отработанных всеми рабочими дней сократилось в 2007 году относительно 2006 года. Темп снижения в 2007 году составил 96%, а в 2008 году наблюдается незначительное увеличение относительно 2006 года, темп роста составил 102%. И количество отработанных человеко-часов практически не изменилось относительно 2006 года, наблюдается незначительное снижение –менее 1% за весь анализируемый период. Эти показатели характеризуют экстенсивные факторы –увеличение среднесписочного количества работающих и сокращение количества отработанных дней одним рабочим.

Анализируя интенсивные факторы, можно заключить, что среднегодовая выработка одного рабочего сокращалась во все последующие годы за 2006 г. Так, темп снижения в 2007 году составил 87% и в 2008 году 79%. При этом увеличилась среднедневная выработка одного рабочего. Темп роста составил 121% в 2007 году и 119% в 2008 году относительно 2006 года. На это повлияло уменьшение среднего количества отработанных одним рабочим дней. Так темп снижения в 2007 году составил 72%, а за весь анализируемый период темп снижения составил 66%.

Проведем факторный анализ среднегодовой, среднедневной и среднечасовой выработки. Проанализируем влияние экстенсивных и интенсивных факторов, приведенных в аналитической таблице 8 на объем производства товарной продукции на предприятии ООО «Жигулевский водочный завод» за период с 2006 по 2008 гг.. При этом для анализа необходимо использовать более точные значения расчетных показателей таблицы 7. В 2008 году, по сравнению с базовым 2006 годом, из-за снижения среднегодовой выработки на -38,931849 тыс. руб. недополучено товарной продукции на сумму -18920,88 тыс. руб., но при этом из-за увеличения численности рабочих на 91 человек, получено дополнительно товарной продукции на сумму +22093,881 тыс. руб., в сумме увеличение объема товарной продукции составило +3173 тыс. руб

 

Таблица 8

Влияние факторов численности рабочих, производительности труда, использования рабочего времени на отклонение фактического уровня товарной продукции от базового года

Показатели

Фактически за прошлый год

Фактически за отчетный период

Отклонение

Расчет

Абсолютное значение факторов

тыс. руб.

1

2

3

4

5

6

Среднесписочная численность рабочих, чел.

395

486

91

22093,878

+3173

Среднегодовая выработка1 рабочего, руб.

242,79

203,86

-38,931849

-18920,88

Колич-во отработанных всеми рабочими чел.-дней

484003

418990

-65013

-12881,9

+3210,140

Среднедневная выработка 1 рабочего, руб.

0,20

0,24

0,0383180

16054,897

Количество отработанных всеми рабочими человеко-часов

3216996

3351920

134924

4020,7352

+3350,351

Среднечасовая выработка 1 рабочего, руб.

0,0298

0,0296

-0,0002

-670,384

Средняя продолжительность рабочего дня, часов

6,65

8

1,35

16855,968

-6851,691

Среднее количество отработанных1 рабочим, дней

1225,32

812

-413,32

4,4035259

Среднее количество отработанных 1 рабочим, часов

8144,29

6495,97

-1648,32

-23712,07



За счет увеличения продолжительности рабочего дня на + 1,35 часа, дополнительно выпущено товарной продукции на сумму +16855,968 тыс. руб., Не смотря на снижение количества отработанных дней за год одним рабочим на -413,32 дней объем производства товарной продукции не уменьшился, абсолютный прирост составил 4,413 тыс. руб. Вместе с тем среднее количество отработанных 1 рабочим часов, снизилось и это повлияло на снижение выпуска дополнительной продукции на -1648,32 тыс.руб. в сумме влияние данных факторов обусловило сокращение дополнительного выпуска товарной продукции на -6851,691

В данном случае факторный анализ показывает, что снижение количества отработанных одним рабочим человеко-дней и человеко-часов отрицательно повлияло на производство товарной продукции и привело к снижению ее объема. Снижение объема производства товарной продукции из-за сокращения интенсивного фактора среднегодовой выработки является отрицательным фактором, следовательно, предприятию в условиях рыночной экономики следует выбирать интенсивный путь развития, то есть предпочтительнее был бы рост объема производства товарной продукции за счет роста производительности труда, а не за счет роста численности и количества отработанного времени[28, с.118-121;].

2.4 Анализ средней заработной платы и ее изменений в соотношении с ростом производительности труда

Таблица 9

Товарная продукция, численность и фонд заработной платы промышленно–производственного персонала (ППП)

Показатели

2006 г.

2008 г.

Отклонения

Абсолютная сумма, тыс. руб.,гр.3-гр.2

%,

1

2

3

4

5

1. Товарная продукция, тыс. руб.

95902,0

99075,0

+3173,0

+3,3

2. Численность ППП, человек

395,0

486,0

+91,0

+23,0

3. Фонд заработной платы ППП, тыс. руб.

25325,0

26611,0

+1286,0

+5,1


На основании расчетов, проведенных в таблице 9, рассчитаем индекс роста производительности труда: Фактически по сравнению 2006 годом:


Этот индекс показывает снижение или повышение производительности труда

Индекс роста среднегодовой заработной платы:

Фактически по сравнению с 2005 годом:

Iсзп =

Этот индекс показывает рост или снижение среднегодовой заработной платы.

Отношения показателей зарплатоемкости выражаются соответствующими индексами:

Индекс среднегодовой заработной платы определяем по формуле:

, (4)

где ЗЗП – затраты заработной платы на 1 рубль товарной продукции, рублей;

ЗЗПфакт – фактические затраты заработной платы на 1 рубль товарной продукции, рублей

ЗЗПпрош.год – затраты заработной платы прошлого года на 1 рубль товарной продукции, рублей.

Таблица 10

Соотношение показателей производительности труда и заработной платы

Наименование показателя

Значение

1

2

Индекс роста производительности труда

84%

Индекс роста среднегодовой заработной платы

85%

Индекс роста затрат по заработной плате на производство одного рубля товарной продукции

101,7%


Индекс роста производительности труда показывает снижение производительности труда на (100%-84%) -16%. Индекс роста среднегодовой заработной платы, указывает на снижение среднегодовой заработной платы на -15%. Рост средней заработной платы экономически целесообразен лишь при условии, что производительность труда растет быстрее, чем средняя заработная плата. Затраты заработной платы на выпуск 1 рубля товарной продукции по сравнению с прошлым годом несколько увеличились, темп роста составил 101,7%. Повышение уровня зарплатоемкости означает снижение прибыли в той же пропорции, в какой повышается зарплатоемкость. Соотношение темпов роста производительности труда и затрат заработной платы на выпуск 1 рубля товарной продукции покажем на рисунке (Приложение 4). На графике наглядно видно, что производительность труда растет медленнее, чем заработная плата.

По формуле (1), рассчитаем, соотношение между ростом производительности труда и средней заработной платой работающих фактически по сравнению с 2006 годом:

, или

Из расчета видно, что рост производительности труда отстает от роста средней заработной платы на -2%. На основании данных, приведенных в таблице 10, можем сделать выводы о снижении производительности труда, снижении среднегодовой заработной платы, а поскольку снижение производительности труда опережает снижение среднегодовой заработной платы, как следствие, повышение зарплатоемкости. Об этом нам говорят рассчитанные индексы. Такое положение неблагоприятно для финансового состояния предприятия[34, с.98;].

Рассчитаем влияние увеличения затрат заработной платы на 1 рубль товарной продукции на абсолютный перерасход (+) фонда заработной платы:

Фактический перерасход по сравнению с 2006 годом:

, (5)

где ЗЗП2007 – фактические затраты заработной платы на 1 рубль товарной продукции в 2007 году, руб.

ТП2006 – товарная продукция 2006 года, тыс. руб.

 +448,1 тыс. руб.

Рассчитаем влияние снижения объема производства товарной продукции на абсолютную экономию (-) фонда заработной платы:

Фактически по сравнению с прошлым годом:

ФЗП2, (6)

где ТП2008 – фактически товарная продукция, рублей

ЗЗП2007 – затраты заработной платы 2007 года на 1 рубль товарной продукции, рублей

ФЗП2 +837,9 тыс. руб.

Расчет влияния факторов сведем в таблицу 11.

Рассчитаем удельный вес каждого фактора, повлиявшего на перерасход фонда заработной платы:

Влияние увеличения затрат заработной платы

Влияние увеличения объема товарной продукции:

 

Таблица 11

Влияние факторов изменения товарной продукции и изменения затрат заработной платы на один рубль товарной продукции на перерасход фонда заработной платы

Показатели

Абсолютная сумма, тыс. руб.

1

2

1.Влияние изменения объема товарной продукции, тыс. руб.

2.Влияние изменения затрат заработной платы на 1 рубль товарной продукции, тыс. руб.

3. Перерасход фонда заработной платы, тыс. руб.

+448,1

+837,9

+1286


Таким образом, весь перерасход фонда заработной платы получен за счет увеличения объема товарной продукции и за счет увеличения затрат заработной платы на выпуск 1 рубля товарной продукции.

На основе проведенных расчетов можно сделать обобщающий вывод. За анализируемый период увеличился объем товарной продукции на +3173 тыс. руб., при этом увеличилась численность работающих на +91 человека, произошло увеличение фонда заработной платы на +1286 тыс. руб., однако по этим данным нельзя сделать однозначного вывода об улучшении или ухудшении финансового положения предприятия. Необходим анализ средней заработной платы и ее изменений в соотношении с ростом производительности труда, который был проведен в данной работе. Анализ показал, что на предприятии ООО «ЖВЗ» наблюдается отставание роста производительности труда над ростом средней заработной платы, которое составляет –1%. Это является фактором повышения себестоимости производства продукции, снижением его рентабельности и отрицательно отражается на финансовом положении предприятия[39;].

ЗАКЛЮЧЕНИЕ

Заработная плата представляет собой сложное экономическое явление, отражающее взаимодействие многих социально-экономических процессов. Она занимает центральное место не только в структуре совокупных доходов работников, но и остается основным и часто единственным источником дохода для большинства людей, работающих по найму, а в ряде случаев и для целых семей. По данным Росстата, доля дохода в РФ в виде оплаты труда наемных работников в 2006 году составляла 62,8%, а в 2007 году - 64,9 % в структуре общего располагаемого дохода сектора домашних хозяйств. За период в 5 лет этот показатель варьировался в указанном диапазоне, что отражает его определенную стабильность и подтверждает значимость заработной платы как ключевого источника дохода для работников по найму. Это обстоятельство свидетельствует о том, что заработная плата играет важную роль в экономике, развитие которой в значительной степени зависит от деятельности экономически активного населения, прежде всего, работников наемного труда. Заработная плата является одним из наиболее мощных стимулов повышения результативности труда и производства в целом.

Уровень заинтересованности работника в высокопроизводительном труде на основе обеспечения зависимости размеров его дохода от фактического трудового вклада, доли его участия в собственности, а также от конечных результатов работы предприятия может способствовать выходу из затянувшегося кризиса экономики нашей страны, вывести ее на новый путь экономического развития, основанный на росте производительности труда. Для этого необходимо осуществить реформирование системы заработной платы, поскольку современный этап развития России характеризуется рядом серьезных проблем в сфере труда, среди которых: низкий уровень производительности труда, обесценение такого фактора производства, какрабочая сила, высокий уровень неравенства доходов. Вместе с тем имеет место игнорирование проблем производительности труда, что усугубляет становление и развитие рыночных отношений, прежде всего, в области формирования заработной платы.

Рост производительности труда имеет своим следствием повышение уровня потребления страны или сокращение доли расходов, необходимых для поддержания уровня жизни работников по найму. Именно повышение производительности труда позволяет снизить себестоимость производимых товаров и услуг, и предполагает понижение уровня цен на потребляемые людьми материальные и нематериальные блага, способствуя, тем самым, повышению реальной заработной платы, что является актуальным и практически значимым для экономики нашей страны.

Представляется важным исследование широкого спектра вопросов, связанных с анализом заработной платы и определение ее основных тенденций? Использования фонда заработной платы в условиях изменения производительности труда для обеспечения наиболее полного удовлетворения потребностей работников по найму, а также для экономического развития российской экономики.

Целью написания данной курсовой работы является анализ использования фонда заработной платы на предприятии ООО «ЖВЗ.

Объектом курсовой работы является предприятие ООО «ЖВЗ», которое расположено на территории города Жигулевска. ООО «ЖВЗ» является производственным предприятием, выпускающим вино-водочную продукцию.

Как сдельная, так и премиальная оплата труда может осуществляться индивидуально и коллективно, когда в процессе работы необходимы совмещение профессий и взаимосвязь исполнителей.

В аналитической части рассмотрены ряд показателей характеризующих использование фонда заработной платы на предприятии ООО «ЖВЗ»,

Фонд заработной платы по предприятию увеличился за рассматриваемый период. В 2008 году относительно базового 2006 года темп роста составил 131%. Среднесписочная численность всего персонала увеличивалась в течении всего анализируемого периода. В 2008 году относительно базового 2006 года – темп роста составил 106%.

Среднегодовая заработная плата за анализируемый период имела тенденцию к сокращению, но за весь анализируемый период с 2006 по 2008 год темп прироста составил +24%.

В 2008 году по сравнению с 2006 годом перерасход фонда заработной платы в сумме +1286 тыс.руб., произошел за счет суммарного влияния двух факторов: - снижения среднегодовой заработной платы работающих предприятия в размере -11957 тыс. руб., за счет полученного перерасхода, от увеличения численности работающих, на +13243 тыс. руб.

В 2008 году, по сравнению с базовым 2006 годом, из-за снижения среднегодовой выработки на -38,931849 тыс. руб., но при этом из-за увеличения численности рабочих на +91 человек, получено дополнительно товарной продукции на сумму +22093,881 тыс. руб., в сумме увеличение объема товарной продукции составило +3173 тыс. руб.

Снижение объема производства товарной продукции из-за сокращения интенсивного фактора среднегодовой выработки является отрицательным фактором, следовательно, предприятию в условиях рыночной экономики следует выбирать интенсивный путь развития, то есть предпочтительнее был бы рост объема производства товарной продукции за счет роста производительности труда, а не за счет роста численности и количества отработанного времени.

Индекс роста производительности труда показывает снижение производительности труда на (100%-84%) -16%. Индекс роста среднегодовой заработной платы, указывает на снижение среднегодовой заработной платы на -15%. Рост средней заработной платы экономически целесообразен лишь при условии, что производительность труда растет быстрее, чем средняя заработная плата. Затраты заработной платы на выпуск 1 рубля товарной продукции по сравнению с прошлым годом несколько увеличились, темп роста составил 101,7%. Повышение уровня зарплатоемкости означает снижение прибыли в той же пропорции, в какой повышается зарплатоемкость.

Анализ показал, что на анализируемом предприятии наблюдается отставание роста производительности труда над ростом средней заработной платы, которое составляет –1%. Это является фактором повышения себестоимости производства продукции, снижением его рентабельности и отрицательно отражается на финансовом положении предприятия.

СПИСОК ЛИТЕРАТУРЫ

1.   Гражданский кодекс РФ. Части 1 и 2.

2.   Налоговый кодекс РФ. Части 1 и 2

3.   Анализ и диагностика финансово-хозяйственной деятельности предприятий Серия: Высшее образование, Изд.: Инфра-М, 2008 г.

4.   Анализ и диагностика финансово-хозяйственной деятельности предприятий Серия: Высшее образование, Изд.: Инфра-М, 2008 г.

5.   Архипов В.М. Проектирование производственного потенциала объединений. Л.: Изд-во ЛГУ, 2004.

6.   Беленький П.Е., Гиттик Ю.П., Ладина Т.В. Управление техническим и организационным развитием предприятия. - Изд-во: Техника, 2004.

7.   Бочаров В.Б. Финансовый анализ., Изд.: Питер Пресс 2008 г.

8.   Бычкова А.С. Конкурентоспособность предприятия: Изд-во: Уфа, 2006.

9.   В.В. Ковалев, О.Н. Волкова. Анализ хозяйственной деятельности предприятия. Учебник. Изд. Проспект, 2006 г.

10. В.П. Грузинов, В.Д. Грибов. Экономика предприятия: Учебное пособие. 2 – е. издание, перераб. и доп. – М: ЮНИТИ, 2005 г.

11. В.С. Найденов. Планирование интенсивного развития общественного производства. Учебник для Вузов – М: «Финансы и статистика», 2003

12. Василик С. Оценка эффективности деятельности предприятия. Изд-во: Бизнесинформ. - 2007.

13. Вигдорчик М., Нещадин А., Липсиц И. Пути повышения конкурентоспособности предприятий Изд-во: Экономист. - 2005.

14. Воложанин В.В. Совершенствование методов экономической оценки производственной деятельности предприятий в системе отраслевого развития: 4 – е. изд., перераб. и доп., Изд-во: М.: ЮНИТИ-ДАНА, 2007.

15. Г.В. Савицкая. Анализ хозяйственной деятельности предприятия: Учебное пособие для студентов высших учеб. Заведений – 6 – е. изд., перераб. и доп. – М: Мн. ИП «Экоперспектива», 2007 г.

16. Галицкая С.В. Финансовый менеджмент. Финансовый анализ. Финансы предприятий., 2-е изд., доп. и перераб. Изд-во: – М.: Финансы и статистика, 2006.

17. Гуккаев В.Б. Финансовые вложения. Бухгалтерский учет и налогообложение., Изд.: Налоговый вестник, 2007 г.

18. Ендовицкий Д.А., Бочарова И.В. Анализ и оценка кредитоспособности заемщика Изд.: КноРус, 2008 г.

19. Ендовицкий Д.А., Бочарова И.В. Анализ и оценка кредитоспособности заемщика Изд.: КноРус, 2008 г.

20. Захарьин В.Р. Формирование и изменение уставного капитала организации., Изд.: Налоговый вестник, 2007 г.

21. К.И. Владимирова. Прогнозирование и планирование в условиях рынка. 3 – е. изд., перераб. и доп. Изд-во: М., ИНФРА – М, 2007 г.

22. Комплексная оценка эффективности мероприятий, направленных на ускорение научно-технического прогресса - Изд-во: Информэлектро, 2005 г.

23. Круглов М.И. Стратегическое управление компанией. - М.: Русская деловая литература, 2008.

24. Лиференко Г.Н. Финансовый анализ предприятия: Теоретические основы финансового анализа; Анализ финансовых результатов предприятия; Анализ структуры стоимости предприятия; Анализ динамики и структуры источников формирования имущества; Оценка финансового состояния., Изд.: Экзамен, 2006 г.

25. Лытнева Н.А., Парушина Н.В. Оценка и инвентаризация имущества, обязательств и капитала., Изд.: Бухгалтерский учет, 2007 г.

26. Любушин Н.П. Комплексный экономический анализ хозяйственной деятельности: Учеб. пособие. - 4-е изд., перераб. и доп. - М.: ЮНИТИ-ДАНА, 2005. - 448 с.

27. Макальская А.К. Внутренний аудит. М.: Дело и сервис, 2004.

28. Неудачин В.В. Реализация стратегии компании. Финансовый анализ и моделирование., 4 – е. изд., перераб. и доп.: Изд. «Экономист» 2005 г.

29. Савицкая Г. В. Анализ хозяйственной деятельности предприятий АПК Изд.: Новое знание, 2007 г.

30. Соснаускене О.И., Драгункина Н.В. Финансовый анализ организации по данным бухгалтеской (финансовой) отчетности: Бухгалтерская (финансовая) отчетность как основной источник оценки и анализа финансового состояния организации; Общая схема комплексного анализа деятельности организации., Изд.: «Диалектика» 2008 г.

31. Хиггинз Роберт. Финансовый анализ: инструменты для принятия бизнес-решений, 8-е издание., Изд.: «Диалектика « 2007 г.

33. Экономика предприятия. Конспект лекций. Изд. ПРИОР. М., 2007 г.

Похожие работы на - Отдельные методологические аспекты анализа использования фонда заработной платы

 

Не нашли материал для своей работы?
Поможем написать уникальную работу
Без плагиата!
Без нейросетей!