Особенности и эффективность монополистической конкуренции

  • Вид работы:
    Контрольная работа
  • Предмет:
    Экономика отраслей
  • Язык:
    Русский
    ,
    Формат файла:
    MS Word
    70,29 kb
  • Опубликовано:
    2010-02-23
Вы можете узнать стоимость помощи в написании студенческой работы.
Помощь в написании работы, которую точно примут!

Особенности и эффективность монополистической конкуренции

Содержание

Введение

1. Особенности и эффективность монополистической конкуренции

2. Основные черты олигополии. Индекс Герфиндаля - Хиршмана. Типы олигополистического взаимодействия фирм

3. Способы координации деятельности фирм без соглашения. Лидерство в ценах. Картель

4. Формальные модели теории олигополии

Заключение

Упражнения

Список литературы

Введение


В настоящее время Россия переживает период структурной перестройки всех сфер общественной жизни. Естественным элементом этого процесса является переход от плановой, административно-командной экономической системы к рыночной. Закономерным результатом этого стало появление множества разнообразных типов рыночных структур. Тип рынка зависит от вида продукции, количества фирм, наличия или отсутствия ограничений на вход в отрасль и выход из нее, доступности информации о ценах, нововведениях и т.д., что определяет актуальность изучения рыночных структур.

Под структурой рынка понимается его характеристика с точки зрения воздействия как рынка на положение и поведение отдельных товаропроизводителей, так и отдельных предприятий на состояние рынка.

Можно сказать, что структура рынка определяет степень его конкурентности. В настоящее время по данному критерию выделяют следующие типы рынков: чистой или совершенной конкуренции, чистой монополии, монополистической конкуренции и олигополии. За исключением чистой конкуренции, все другие структуры характеризуют рынок несовершенной конкуренции.

Взаимодействие между спросом и предложением (продавцами и покупателями, производителями и потребителями) происходит на рынке. Очевидно, что решения продавцов (покупателей) о цене и объеме производства (закупки) товара будут существенно различаться для различных типов рыночных структур.

Предметом исследования являются несовершенные рыночные структуры – монополистическая конкуренция и олигополия.

Цель настоящей работы состоит в освещении основных теоретических и практических вопросов по рынку монополистической конкуренции и олигополии.

Данная цель достигается посредством решения ряда конкретных задач:

-  раскрытие особенностей монополистической конкуренции как рыночной структуры;

-  рассмотрение особенностей олигополии как рыночной структуры;

-  изучение олигополистического взаимодействия.

При написании работы использованы материалы отечественных и зарубежных авторов.

1. Особенности и эффективность монополистической конкуренции

 

Следует заметить, что совершенная конкуренция и монополия – это противоположные крайние модели рыночных структур. Однако могут существовать и промежуточные модели, которые не являются полностью конкурентными, не контролируются единственным продавцом и которые встречаются гораздо чаще – монополистическая конкуренция и олигополия.

Как подразумевает само название, монополистической конкуренции свойственны черты как монополии, так и совершенной конкуренции. Как и в условиях монополии, каждая фирма производит продукцию, которую покупатели полагают отличной от продукции всех других продавцов. Однако, в данных условиях имеет место и конкуренция, поскольку множество других продавцов предлагают близкие, хотя и не полностью взаимозаменяемые товары.

По существу, монополистическая конкуренция - это совершенная конкуренция плюс дифференциация продукции, дающая каждому монополистическому конкуренту некоторую власть над рынком, так как каждый конкурент, может слегка повышать цену, не теряя при этом своих традиционных покупателей. Но все же его монопольная власть уменьшается пропорционально количеству конкурентов, предлагающих подобные товары и услуги.

В условиях монополистической конкуренции, как и в условиях совершенной конкуренции, не существует барьеров вхождения в рынок новых фирм. Открыть новый ресторан, аптеку, автозаправочную станцию или магазин в большинстве крупных городов не составляет труда. Но отсутствие барьеров вхождения порождает отсутствие гарантии на получение значительной прибыли на протяжении долгосрочного периода.

Возможность дифференциации продукции ставит новые и трудные проблемы эффективности, продавцы должны четко решать, какие из продуктов производить и какие технологии использовать при их производстве, как проводить рекламу для повышения спроса на свой товар.

Дифференциация продукта в условиях монополистической конкуренции приводит к тому, что вместо единого рынка конкретного товара складывается сеть частично обособленных, но взаимосвязанных рынков, где существует широкое разнообразие цен, издержек, объемов выпуска продукции той или иной товарной группы. Отсюда следует, что на рынке монополистической конкуренции вступают в соперничество не столько через цены, сколько через всемерную дифференциацию продукта и услуг. Эта черта, называемая неценовой конкуренцией, является главной для данной структуры рынка.

Итак, монополистическая конкуренция характеризуется тем, что каждая фирма в условиях дифференциации продукции обладает некоторой монопольной властью над своим товаром: она может повышать или же понижать цену на него вне зависимости от действий конкурентов. Однако эта власть ограничивается как наличием достаточно большего количества производителей аналогичных товаров, так и значительной свободой входа в отрасль других фирм. Например, «фанаты» кроссовок фирмы «Рибок» готовы заплатить за ее продукцию большую, чем за товары других фирм цену, однако если разница в ценах окажется слишком значительной, покупатель всегда найдет на рынке аналоги менее известных фирм по более низкой цене. То же относится к продукции косметической промышленности, производству одежды, обуви и т.д.[8].

Из всего вышесказанного можно заключить, что для модели рынка монополистическая конкуренция характерны:

-   относительно большое число фирм-участников, но значительно меньшее, чем в условиях чистой конкуренции;

-   существенная дифференциация продукта;

-   ограниченный контроль над ценой;

-   легкий вход и выход из отрасли;

-   наличие неценовой конкуренции.

Основным видом конкуренции для рынка монополистической конкуренции является неценовая.

Под неценовой конкуренцией понимают использование экономических и внеэкономических методов борьбы на рынке за увеличение и поддержание желательной величины спроса. Среди этих методов и приемов следует выделить: улучшение качества изделий, рекламу, маркетинг, лоббизм и т.п., тогда как ценовая конкуренция – это способы борьбы конкурентов посредством снижения и повышения цен [3].

Учитывая то, что монополистический конкурент действует на рынке и как монополист – способен влиять на цену, производимого им товара, - и то, что кроме него на рынке, в его отрасли, присутствуют и другие производители неценовая конкуренция становится основным способом борьбы и защиты своей доли рынка.

Неценовая конкуренция в современных условиях чаще базируется на дифференциации продукции. Так же особое внимание в неценовой конкуренции отводится рекламе [4].

Выпускаемый каждой фирмой, участвующей в монополистической конкуренции, товар чем-то отличается от изделий других компаний. Дифференциация товара приводит к тому, что единый рынок распадается на отдельные, сравнительно самостоятельные части – сегменты рынка.

Дифференциация продукта возникает из-за существования между ними различий в качестве, сервисе, рекламе.

1) Качество.

Качество не является одномерной характеристикой, т.е. не сводится только к тому, плохой это товар или хороший. Даже простые потребительские свойства самых простых продуктов удивительно разнообразны. Так, зубная паста должна [5]:

-  очищать зубы (это естественно – она же зубная паста);

-  дезинфицировать полость рта;

-  укреплять эмаль зубов;

-  укреплять десны;

-  быть приятной на вкус.

-  и т.п.

И все эти свойства лишь в порядке исключения могут быть гармонично объединены в одном товаре. Во многих случаях выигрыш в одном свойстве продукта ведет к проигрышу в другом. Поэтому выбор приоритетов в основных потребительских качествах продукта открывает возможности для широкого разнообразия продуктов, и все они становятся, по своему, уникальны и находят своего потребителя – занимают свою нишу на рынке.

Основой дифференциации продуктов могут служить даже мнимые качественные различия между ними. Давно известен, в частности, тот факт, что значительный процент курильщиков на тестовых испытаниях оказывается неспособным отличить «свою» марку от других, хотя в обычной жизни преданно покупают только ее.

Обратим на это обстоятельство особое внимание: с точки зрения рыночного поведения потребителя не имеет значения, действительно ли отличаются товары. Главное – чтобы ему так казалось.

2) Условия и услуги.

Различия в сервисе объединяют вторую (после качества) крупную группу факторов дифференциации продукции. Дело в том, что для широкой группы продуктов, в особенности для технически сложных потребительских товаров и многих товаров производственного назначения свойственен долговременный характер взаимодействия продавца и покупателя. Дорогая машина должна исправно работать не только в момент покупки, но и на протяжении всего срока службы.

Полный цикл сервиса включает в себя предпродажное обслуживание; сервис в момент покупки и послепродажное обслуживание. Каждая из этих операций может выполняться в разном объеме (или вообще не выполняться). В результате один и тот же продукт, как бы разлагается на целый спектр разновидностей, резко отличающихся по своим сервисным характеристикам и поэтому превращающихся вроде бы в совершенно разные товары.

3). Реклама.

Третья крупная группа факторов дифференциации продукта связана с рекламой. Например, по данным «Финансовой газеты», более 10 отечественных фирм тратят только на рекламу в прессе более 1 млн. рублей. Это такие фирмы как «Партия», «Вист», «Самос» и другие [3].

Во-первых, реклама, подобно фотореактивам, проявляет скрытые в товаре отличия от аналогичных. Редкий потребитель, например, выберет сам правильно сорт пасты из многих сотен присутствующих на рынке.

Во-вторых, как продолжение первого, реклама носит просто информационную функцию. Она является способом предоставления информации о наличии того или иного товара на рынке, его стоимости и качестве.

В-третьих, она способствует формированию новых потребностей. Вспомним популярный на нашем телеэкране ролик: многие ли ощущали потребность иметь «салон-шампунь и кондиционер в одном флаконе», а не, скажем, в двух, пока удобство этого не объяснила реклама («я просто мою волосы и иду»)?

В-четвертых, реклама создает дифференциацию продукта там, где действительной разницы между ними нет. Как уже отмечалось, на рынке сигарет многие качественные отличия носят мнимый характер. Так вот за мнимыми отличиями качества очень часто скрываются вполне реальные отличия в рекламной подаче товара, хотя потребитель об этом может и не подозревать.

Подводя итог рассмотрения возможностей по дифференциации продукции можно отметить следующие основные принципы:

-  товары разного качества – это разные товары;

-  товары, которые кажутся потребителю разными – это разные товары;

-  товары, продаваемые в различных условиях – это разные товары;

-  по-разному рекламируемые товары – это разные товары.

Дифференциация продукции обеспечивает фирмам известные монополистические преимущества. Но у ситуации есть и еще одна интересная сторона. Теперь можно уточнить одно свойство, определяющее монополистически конкурентный рынок: выход на такой рынок не блокирован никакими барьерами, за исключением препятствий связанных с дифференциацией продукции.

Иными словами, дифференциация продукта не только создает для фирмы преимущества, но помогает защитить их от конкурентов: не так-то легко точно повторить тонкий вкус изысканного ликера или хотя бы найти равноценный ответ на удачную рекламную компанию.

Хочется отметить, что все расходы фирм, связанные с неценовой конкуренцией, включаются в издержки производства и соответственно в цену и, следовательно, оплачиваются конечным потребителем-покупателем.

Примером использования дифференциации продукта в практической деятельности компаний может служить патиентная, или нишевая, стратегия конкурентной борьбы. Она является одной из наиболее эффективных линий рыночного поведения мелких и средних фирм, позволяющей им добиваться успеха не только в условиях монополистической конкуренции, но и в куда более сложной для них обстановке господства олигополии или монополии.

«Сегментируй рынок. Сужай производственную программу. Добивайся и сохраняй максимальную долю на минимальном рынке... Подразделяй рынок по отдельным товарам, потребителям, ценам, качеству, маркам, способам сбыта, географии, сервису и т. д. - обязательно сделай что-нибудь, чтобы сегментировать его! Будь крупной рыбой в мелком пруду. Помни, даже маленький может доминировать», - в таких энергичных выражениях американский экономист Р. Л. Кан объясняет владельцам средних и мелких фирм рецепт рыночного успеха [16].

Ориентация на узкий сегмент рынка дает компаниям-патиентам следующее. В первую очередь, конечно, возможность уклониться от прямой конкуренции с ведущими корпорациями. Борьба с гигантами в производстве массовой продукции заведомо обречена на провал: крупное производство эффективно именно в выпуске товаров большими сериями. Зато в учете специальных запросов потребителя преимущества на стороне той фирмы, которая посвятила всю свою деятельность их изучению и удовлетворению. И здесь роли меняются.

Трудно представить себе, скажем, огромный металлообрабатывающий концерн, который бы всерьез занимался поиском наилучшего варианта режущих цепей для электропил. Ясно, что в общем обороте концерна на эти цепи придутся ничтожные доли процента. Соразмерным доле будет и усердие гиганта. Между тем средняя фирма «Омарк» (США) только режущими цепями и занимается, являясь всемирно признанным лидером в этой области.

Чем уже сегмент рынка и чем специфичнее условия деятельности на нем (т. е. чем резче дифференциация продукта), тем увереннее чувствует себя патиент перед лицом любых конкурентов. Почтовая связь почти во всех странах - государственная монополия. Но это не мешает процветать небольшим частным почтовым фирмам, специализирующимся на особо быстрой или особо надежной доставке корреспонденции. Преимущества государственного гиганта - густая сеть почтовых отделений, мощные сортировочные центры, тысячи почтальонов - создали бы огромные трудности любой фирме, которая осмелилась бы вторгнуться на рынок массовых почтовых отправлений. Но они ничуть не страшны компаниям, чей бизнес состоит в индивидуальной доставке каждого письма в отдельности.

Средние специализированные компании не раз наказывали самых мощных соперников за попытку состязаться с ними в их коронной сфере деятельности.

И все же прямые схватки специализированных фирм и крупнейших компаний скорее исключения, чем правило. Рынок товаров, производимых патиентом, слишком узок, чтобы привлекать гиганта. А масштабы производства последнего слишком велики, чтобы небольшая специализированная фирма рискнула соревноваться с ним в изготовлении массовых продуктов. Конкуренция приобретает потенциальную форму, напоминает вооруженное перемирие: вспышка активной борьбы происходит лишь в случае вторжения одной из сторон в чужую область.

Высокая доля на изолированном от других компаний сегменте рынка обеспечивает патиентам большие прибыли. Проведенные в 80-е гг. в США обследования показали, что уже 7 %-ная доля на рынке позволяет средней фирме рассчитывать на 10 %-ный уровень прибыли по отношению к обороту, что значительно выше обычного размера. А рекордная доля на рынке (36 % и выше) приносила уже прибыль в размерах 30 %.

При всех преимуществах, создаваемых узкой специализацией, патиентная стратегия порождает и свои проблемы. Можно выделить четыре наиболее типичные трудности, с которыми приходится сталкиваться компаниям:

1. Прежде всего, найти (или создать) собственную узкую нишу весьма непросто. Специализация патиента, очевидно, должна обладать определенными «защитными свойствами», т. е. препятствовать проникновению на его сегмент рынка конкурентов. В роли такого ограничителя может выступать уникальный технологический опыт, особая сбытовая сеть, исторический престиж марки и т. д. Но все это надо суметь приобрести! Те же сложности проникновения на данный рынок, которые в дальнейшем будут оберегать патиента от соперников, на этапе создания ниши работают против него.

2. Вторая трудность состоит в том, что, адаптируясь к условиям деятельности на специализированном рынке, патиент становится заложником той рыночной ниши, которую занял или сам создал. До тех пор пока она существует, он обладает массой преимуществ. Стоит ей исчезнуть, и для патиента это окончится катастрофой. Слишком много средств вложено в узкую область. Изменение производственного профиля почти невозможно.

Так, побочным результатом «электронной революции» явилось создание кварцевых часов - изобретения, погубившего массу лучших часовых фирм. Патиенты разорялись не потому, что выпускали плохую продукцию, напротив, обычно она была превосходной. И не потому, что отстали от технического прогресса в своей области. При изготовлении хороших механических часов, например, используются лучшие из созданных человечеством прецизионных станков. А потому, что в изменившихся условиях их специальные познания (секреты механики, повышающие точность хода) обесценились, ничего же другого они делать не умеют.

3. Третья трудность - это опасность утраты самостоятельности. Патиентная компания привлекает к себе опасное внимание крупных корпораций потому, что часто только захват обеспечивает доступ к ее патентам, ноу-хау, сбытовой сети. Попытка прямого вторжения на рынок, контролируемый патиентом, может закончится для гиганта неудачей. Победить специализированную фирму в ее области трудно, захватить целиком - часто много легче.

4. Четвертая трудность обусловлена границами роста. Спрос на продукцию патиента ограничен по объему. Приближение к этому пределу ставит фирму перед трудным выбором. Можно сохранить свою собственную программу, но тогда придется отказаться от дальнейшего роста. Можно освоить новые товары или выйти с прежними на новые (зарубежные) рынки. Однако это связано с большим риском: за пределами своей ниши компания не имеет привычных преимуществ.

2. Основные черты олигополии. Индекс Герфиндаля - Хиршмана.

Типы олигополистического взаимодействия фирм


Олигополия - это рыночная форма, в которой на рынке доминирует небольшое количество продавцов (олигополистов). Так как на рынке находится небольшое количество участников, каждый олигополист должен принимать во внимание действия других участников. Решение каждой фирмы влияет на ситуацию на рынке, и одновременно зависит от решений других фирм. Принимая решение, фирма-олигополист всегда учитывает возможную реакцию других участников рынка. По этой причине на олигополистическом рынке весьма велика возможность сговора. Доля каждого участника олигополистического рынка более 10%.

Олигополистические рынки обладают следующими признаками:

а) малое число фирм и большое число покупателей. Это означает, что объем рыночного предложения находится в руках нескольких крупных фирм, которые реализуют продукт многим мелким покупателям;

б) дифференцированная или стандартизированная продукция. В теории удобнее рассматривать однородную олигополию, однако если отрасль производит дифференцированную продукцию и имеется множество субститутов, то это множество субститутов можно анализировать как однородный агрегированный продукт;

в) наличие существенных препятствий входа на рынок, т. е. высокие барьеры входа на рынок;

г) фирмы в отрасли сознают свою взаимозависимость, поэтому контроль за ценами ограничен.

Только фирмы, обладающие большими долями в общем объеме продаж, могут влиять на цену товара. Меру преобладания на рынке одной или нескольких больших фирм определяют коэффициент концентрации (процентное отношение продаж четырех крупнейших фирм к общему отраслевому объему выпуска продукции) и индекс Херфиндаля-Хиршмана, который рассчитывается суммированием результатов, полученных посредством возведения в квадрат процентных долей рынка фирм, реализующих продукцию на данном рынке:

H = S12 + S22 + S32 + .. + SN2

где S1 - доля рынка у фирмы, обеспечивающей наибольший объем поставок; S2 - доля рынка следующего по величине поставщика и т. д.

Величина Н варьирует в пределах от 0 (полная деконцентрация) и до 10000 (абсолютная монополия – 100% рынка).

Для оценки концентрации используются следующие критериальные значения:

1) Нормальная концентрация: Н< 1000 – неконцентрированный рынок.

2) Средняя степень концентрации: 1000<H<2000 – умеренно концентрированный рынок.

3) Высокая степень концентрации: Н> 2000 – слабая конкурентная среда.

Организационно-экономические формы концентрации следующие:

1) Картель – форма объединения, гласное или негласное соглашение, группы близких по профилю предприятий об объемах продажи, ценах и рынках сбыта;

2) Синдикат – форма объединения предприятий, выпускающих однородную продукцию, организует коллективный сбыт через единую торговую сеть;

3) Трест – форма объединения, в которой участники теряют свою производственную и финансовую самостоятельность.

4) Консорциум – временное объединение предприятий на основе общего соглашения для осуществления какого-либо проекта;

5) Конгломерат – объединение разнопрофильных фирм. Обычно сохраняется высокая степень самостоятельности и децентрализация управления;

6) Холдинг – головная компания, контролирующая деятельность других компаний, может не заниматься производственной деятельностью;

7) Концерн – объединение предприятий, связанное общностью интересов.

В подавляющем большинстве стран мира процессы объединения предприятий контролируются антитрестовым законодательством.

 

3. Способы координации деятельности фирм без соглашения.

Лидерство в ценах. Картель


Рассмотрим способы координации олигополии:

1) Модель олигополии, основанной на сговоре. На олигополистическом рынке каждая фирма имеет выбор между кооперированным (кооперативным) и некооперированным (некооперативным) поведением. В первом случае фирмы не связаны в своем поведении никакими явными или тайными соглашениями друг с другом. Именно такая стратегия порождает ценовые войны. К кооперированному поведению фирмы приходят, если намерены уменьшить взаимную конкуренцию. Если в условиях олигополии фирмы активно и тесно сотрудничают между собой, это значит, что они вступают в сговор. Это понятие используется в тех случаях, когда две или более фирмы сообща установили фиксированные цены или объемы выпуска и поделили рынок или же решили совместно вести дело.

Сговор является родовым понятием в отношении картеля, треста.

Картель - это группа фирм, действующих совместно и согласующих решения по поводу объемов выпуска продукции и цен так, как если бы они были единой монополией.

В США картели запрещены законом. Тем не менее фирмы часто поддаются искушению вступить в тайный сговор, что дает возможность оградить себя от конкуренции, не прибегая при этом к открытому соглашению. Выгоды от сговора, если он был успешным, могут быть громадными.

Наиболее известный международный картель - это картель Организации стран-экспортеров нефти ОПЕК, сформировавшийся в I960 г. В 1973 г. он впервые использовал свою силу, чтобы наложить эмбарго на поставки нефти. Тогда цена барреля сырой нефти утроилась. В течение 70-х гг. ОПЕК успешно контролировал экспорт сырой нефти. Но к середине 80-х гг. образовался избыток нефти и цена резко упала до менее чем $10 за баррель вместо $30 в 1979 г.

2) Модель ценового лидерства. На олигополистических рынках одна фирма действует как ценовой лидер, который устанавливает цену, чтобы максимизировать свою прибыль, в то время как другие фирмы следуют за лидером. Соперничающие фирмы назначают ту же цену, которая установлена лидером.

Лидирующая фирма исходит из того, что другие фирмы на олигополистическом рынке не будут реагировать таким образом, что изменят цену, которую она установила. Модель лидерства в ценах называется частичной монополией, поскольку лидер устанавливает монопольную цену, которая основана на его предельном доходе и предельных издержках. Другие фирмы принимают эту цену как данную, они следуют за ценами лидера, полагая, что более крупные фирмы обладают большей информацией о рыночном спросе.

Ценовое лидерство имеет характер скрытого сговора, ибо открытые соглашения о ценах запрещены антимонопольным законодательством. Ценовое лидерство обладает преимуществом перед картелем, поскольку оно сохраняет свободу фирм относительно их производственной и сбытовой деятельности, тогда как в картелях они регулируются квотами и/или размежеванием рынка.

Различают два основных типа ценового лидерства:

а) лидерство фирмы с существенно более низкими издержками, нежели у конкурентного окружения;

б) лидерство фирмы, занимающей доминирующее положение на рынке, но несущественно отличающейся от последователей по уровню издержек.

Выделяют модель рынка доминирующей фирмы с конкурентным окружением и закрытым входом и со свободным входом.

 

4. Формальные модели теории олигополии


Для моделирования поведения фирм-участников рынка в теории олигополии применяются методы теории игр. Наиболее известными моделями олигополии являются:

-   модель Штакельберга;

-   модель Курно.

1. Модель Штакельберга - теоретико-игровая модель олигополистического рынка при наличии информационной асимметрии.

В этой модели поведение фирм описывается динамической игрой с полной совершенной информацией, что отличает её от модели Курно, в которой поведение фирм моделируется с помощью статической игры с полной информацией. Главной особенностью игры является наличие лидирующей фирмы, которая первой устанавливает объём выпуска товаров, а остальные фирмы ориентируются в своих расчетах на нее.

Основные предпосылки модели следующие:

1) Отрасль производит однородный товар: отличия продукции разных фирм пренебрежимо малы, а значит, покупатель при выборе, у какой фирмы покупать, ориентируется только на цену.

2) В отрасли действует небольшое число фирм.

3) Фирмы устанавливают количество производимой продукции, а цена на неё определяется исходя из спроса.

4) Существует так называемая фирма-лидер, на объём производства которой ориентируются остальные фирмы.

Моделирование дуополии является частным случаем.

Пусть существует отрасль с двумя фирмами, одна из которых «фирма-лидер», другая – «фирма-последователь». Пусть цена на продукцию является линейной функцией общего объема предложения Q:

P(Q) = a − bQ.

Предположим также, что издержки фирм на единицу продукции постоянны и равны с1 и с2 соответственно. Тогда прибыль первой фирмы будет определяться формулой

Π1 = P(Q1 + Q2) * Q1 − c1Q1,

а прибыль второй соответственно

Π2 = P(Q1 + Q2) * Q2 − c2Q2.

В соответствии с моделью Штакельберга, первая фирма - фирма-лидер - на первом шаге назначает свой выпуск Q1. После этого вторая фирма - фирма-последователь - анализируя действия фирмы-лидера, определяет свой выпуск Q2. Целью обеих фирм является максимизация своих платёжных функций.

Равновесие Нэша в этой игре определяется методом обратной индукции. Рассмотрим предпоследний этап игры - ход второй фирмы. На этом этапе фирма 2 знает объем оптимального выпуска продукции первой фирмой Q1*. Тогда задача определения оптимального выпуска Q2* сводится к решению задачи нахождения точки максимума платёжной функции второй фирмы. Максимизируя функцию Π2 по переменной Q2, считая Q1 заданным, находим, что оптимальный выпуск второй фирмы

Q_2^*=\frac{(a-bQ_1^*-c)}{2b}.

Это наилучший ответ фирмы-последователя на выбор фирмой-лидером выпуска Q1*. Фирма-лидер может максимизировать свою платёжную функцию, учитывая вид функции Q2*. Точка максимума функции Π2 по переменной Q1 при подстановке Q2* будет

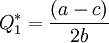
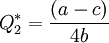
Q_1^*=\frac{(a-c)}{2b}.

Подставляя это в выражение для Q2*, получим

Q_2^*=\frac{(a-c)}{4b}.

Таким образом, в равновесии фирма-лидер производит в два раза большее количество продукции, нежели фирма-последователь.

2. Олигополия Курно - экономическая модель рыночной конкуренции.

-   На рынке действует фиксированное число N > 1 фирм, выпускающих экономическое благо одного наименования;

-   вход на рынок новых фирм и выход из него отсутствуют;

-   фирмы обладают рыночной властью. Фирмы конкурируют, одновременно выбирая объемы выпуска;

-   фирмы максимизируют свою прибыль и действуют без кооперации. Последнее замечание просто повторяет предыдущий пункт.

Общее количество фирм на рынке N предполагается известным всем участникам. Каждая фирма, принимая свое решение, считает выпуск остальных фирм заданным параметром (константой). Функции издержек фирм ci(qi) могут быть различны и также предполагаются известными всем участникам.

Функция спроса представляет собой убывающую функцию от цены блага. Цена блага задана как цена равновесия отраслевого рынка (величина отраслевого предложения равна величине спроса на данное экономическое благо при одной и той же цене).

Рассмотрим модель с двумя фирмами (дуополию). Для определения равновесной цены вычислим наилучшие ответы каждой из фирм.

Прибыль i-й фирмы имеет вид:

Πi = P(q1 + q2).qi − Ci(qi).

Ее наилучшим ответом является объем выпуска qi, максимизирующий прибыль Πi при заданном объеме выпуска другой фирмы q_j, i \ne \ j. Производная Πi по переменной qi имеет вид:

\frac{\partial \Pi_i }{\partial q_i} = \frac{\partial P(q_1+q_2) }{\partial q_i}.qi + P(q1+q2) - \frac{\partial C_i (q_i)}{\partial q_i}

Приравнивая ее к нулю, получим:

\frac{\partial \Pi_i }{\partial q_i} = \frac{\partial P(q_1+q_2) }{\partial q_i}.qi + P(q1+q2) - \frac{\partial C_i (q_i)}{\partial q_i}=0

Значения qi, удовлетворяющие данному условию, являются наилучшими ответами фирмы i. Равновесие в данной модели достигается, если q1 является наилучшим ответом на q2, а q2 - наилучшим ответом на q1.

 


Заключение

 
Несовершенная конкуренция - конкуренция в условиях, когда отдельные производители имеют возможность контролировать цены на продукцию, которую они производят.
При несовершенной конкуренции затруднено вступление в рынок и выход из рынка, ограничен доступ к информации.

Являясь промежуточным типом таких рыночных структур, таких как совершенная (чистая) конкуренция и чистая монополия, монополистическая конкуренция впитала в себя черты их обеих. Эти черты отражаются как в определении условий ее существования, так и в особенностях поведения. Но все же, являясь самостоятельной структурой монополистическая конкуренция приобрела и свои собственные свойства:

1. Товар каждой фирмы, торгующей на рынке (дифференцированный товар), является несовершенным заменителем товара, реализуемого другими фирмами.

Дифференциация продуктов возникает из-за различия в потребительских свойствах, качестве, сервисе, рекламе. Часто потребитель платит не только за качество, но и за торговую марку.

2. На рынке существует относительно большое число продавцов, каждый из которых удовлетворяет небольшую, но и не слишком маленькую долю рыночного спроса на общий тип товара, реализуемого фирмой и ее соперниками. Доля должна быть более 1%. В типичном случае – от 1% до 10% продаж на рынке в течение года. Ни одна из фирм не имеет решающих преимуществ перед другими.

3. Продавцы на рынке не считаются с реакцией своих соперников, когда выбирают, какую установить цену или сколько производить. Это следствие того, что количество продавцов большое и решение одного из них мало влияет на положение других.

4. На рынке есть условия для свободного входа и выхода. Свободно могут прийти новые фирмы, однако уже существующие фирмы имеют преимущество и вновь приходящие будут испытывать трудности, так как завоевать репутацию новой торговой марке или новым услугам нелегко.

Олигополия - тип отраслевого рынка, на котором несколько фирм продают стандартизованный или дифференцированный товар, причем доля каждого из них в общих продажах настолько велика, что изменение в количестве предлагаемой продукции одной из фирм ведет к изменению цены. Доступ на олигополистический рынок для других фирм затруднен. Контроль над ценами на таком рынке ограничен взаимозависимостью фирм (за исключением случая сговора). Обычно на олигополистическом рынке действует сильная неценовая конкуренция.
Различают олигополию с дифференцированным и стандартным товаром.
Олигополистическая взаимозависимость - ситуация на рынке, при которой продавцы в своих действиях зависят не только от реакции потребителей, но и от действий своих соперников на рынке.
При олигополистической взаимозависимости изменение цены (или другого параметра) одной фирмой сказывается на объеме продаж и прибыли другой фирмы. Причем любая фирма, производящая такое изменение, может ожидать непредсказуемую реакцию со стороны другой фирмы или других фирм.
Олигополия доминирующей фирмы - тип отраслевого рынка, на котором господствует крупная фирма, цены которой являются базовыми для всех остальных продавцов, действующих на рынке. На таком рынке имеются барьеры входа и выхода.
Олигополия, основанная на сговоре - форма организации рынка, при которой олигополистические фирмы, производящие идентичную или гомогенную продукцию, принимают совместные решения об установлении цены и объема продаж. В результате такого сговора каждая фирма становится практически естественной монополией.
Сговор - ситуация, когда фирмы действуют согласованно с целью установить цену и объем производимого каждой из них продукта или определить географический регион, в котором каждая фирма может продавать свою продукцию. Различают открытый и тайный сговоры.
Ценовое лидерство - вариант олигополии доминирующей фирмы; неофициальный метод установления цены, согласно которому одна фирма (ценовой лидер) объявляет изменение цены, а другие (следующие за лидером) фирмы вскоре объявляют (примерно) идентичные изменения цены. При этом ценовой лидер фактически выполняет сигнальную роль, что исключает необходимость тайного сговора.

 

Упражнения


1. На рынке действуют 6 фирм, имеющих доли: 10%, 20%,20%, 25%, 15%, 10%. Как изменится индекс концентраций, если вторая и шестая фирмы сольются?

Решение:

Первоначально индекс концентраций равен Н = 10*10+20*20+20*20+25*25+15*15+10*10 = 1850.

После концентрации индекс концентраций равен Н = 10*10 + 30*30 + 20*20+25*25+15*15 = 2250.

Таким образом, при слиянии 2 и 6 фирм индекс концентрации возрастет.

2. На олигополистическом рынке оперируют две фирмы, выпускающие однородный товар.

Цена, $

Объем спроса, шт.

Объем выпуска, шт.

Общие издержки, $

10

5

5

45

9

б

6

47

8

7

7

50

7

8

8

55

6

9

9

65


Обе фирмы обладают равными долями рынка и устанавливают одинаковые цены на товар.

1) какая цена будет установлена на рынке, если предположить, что каждая фирма, определяя цену на свой товар, уверена, что ее конкурент выберет такую же цену?

2) если сохраняется данное предположение, то какой объем выпуска выберет каждая фирма?

3) есть ли у каждой из этих двух фирм стимул назначать цену на свой товар ниже цены конкурента? Если да, то каков он?

Решение:

1) На рынке будет установлена цена, когда предельный доход равен предельным издержкам:

Цена, $

Объем спроса, шт.

Объем выпуска, шт.

Общие издержки, $

Валовой доход, $

Прибыль, $

Предельный доход, $

Предельные издержки, $

10

5

5

45

50

5


9

6

6

47

54

7

2

2

8

7

7

50

56

6

0

3

7

8

8

55

56

1

-2

5

6

9

9

65

54

-11


10


В данном случае это цена 9 долл.

2) Каждая фирма выберет объем производства – 6 шт. при цене 9 долл.

3) Стимула назначать цену на свой товар ниже цены конкурента у фирм нет.

3. Известна функция спроса на продукцию монополистического конкурента: Qa = 30 - 5Ра + 2Рб и функция его общих издержек: ТСа = 24 + 3Qа. После установления отраслевого равновесия фирма А стала выпускать 8 ед. продукции. Определить Ра и Рб.

Решение:

Определим ситуацию, когда предельный доход равен предельным издержкам.

Предельные издержки МСа = ТСа’ =3.

Найдем совокупный доход:

TRa = Pa * Qa = (30 + 2Рб - Qa ) / 5 * Qa = 6Qa + 0,4Рб * Qa – 0,2Q2a

МRa=6 + 0,4Рб – 0,4Qa

МRa= МСа : 6 + 0,4Рб – 0,4Qa = 3

Qa = 8 ед., отсюда Рб= 0,5 ден. ед.

Подставим Qa = 8 ед., Рб= 0,5 ден. ед. в функцию спроса и получим Ра:

8 = 30 – 5Ра + 1, Ра = 4,6 ден. ед.

4. На рынке дуополии отраслевой спрос представлен функцией: Р = 50 - 0.25Q; известны функции общих затрат обоих производителей продукции:

ТСа = 10 + 0,15Q2а, ТСв = 25+10Qв.

Определить цену равновесия и объем предложения каждого из дуополистов, если они ведут себя:

1) в соответствии с предпосылками модели дуополии Курно;

2) в соответствии с предпосылками модели дуополии Штакельберта;

3) как участники картеля.

Решение:

Найдем предельные издержки: МСа = 0,3Qа, МСв = 10.

Совокупный доход = 50Q-0,25Q2

Предельный доход = 50 – 0,5Q

1) дуополия Курно:

50 – 0,5Qа = 10

Qа = 80 ед., Ра = 10 ден. ед.

2) дуополия Штакельберга:

50 – 0,5Qа = 0,3Qа

Qа = 62,5 ед.

Ра = 18,75 ден. ед.

Qв = 62,5 ед. / 2 = 31,25 ед.

Рв = 34,38 ден. ед.

3) фирмы-участники картеля:

Предельный доход = Совокупные предельные издержки фирм А и В

50 – 0,5Q = 0,3Q + 10

Q = 50 ед., Ра = Рв = 50 – 0,25 * 50 = 37,5 ден. ед.

Qа = Qв =25 ед.

 


Список литературы


1. Букасьян Г.М. Экономическая теория: Учебное пособие. - М.: Инфра-М, 2001. - 368 с.

3. Журавлева Г.П. Экономика. - М.: Экономистъ, 2006. - 574 с.

4. Лифанчиков А. Разумный протекционизм и здоровая конкуренция // Экономика и жизнь, 2006. - № 7. - С.23-26.

5. Макконнелл К.Р., Брю С.Л. Экономикс. - М.: Инфра-М, 2005. - 940 с.

6. Микроэкономика. Теория и российская практика: Учебник для студентов вузов / Под ред. А.Г. Грязновой и А.Ю. Юданова. - М.: КноРус, 2007. - 618 с.

7. Микульский К.И. Социально-экономические модели в современном мире и путь России. Книга 2: социально-экономические модели (из мирового опыта). - М.: Экономика, 2003. - 911 с.

8. Михайлушкин А.И., Шимко П.Д. Экономика: Учебник для технических вузов. - М.: Высшая школа, 2006. - 488 с.

9. Носова С.С. Экономическая теория. - М.: учебник для вузов, 2007. - 800 с.

10. Портер М. Э. Конкуренция. - М.: Вильямс, 2002. - 496 с.

11. Сажина М.А., Чибриков Г.Г. Экономическая теория: Учебник для вузов. - М.: Инфра-М, 2002. - 446 с.

12. Современная экономика / Под ред. Мамедова О.Ю. - М.: ТД ФЕНИКС, 2001. - 544 с.

13. Экономическая теория / Под редакцией Камаева В.Д. - М.: Владос, 2007. - 591 с.

14. Экономическая теория / Под ред. А.И. Добрынина, Л.С. Тарасевича. -СПб: Питер, 2008. - 544 с.

15. Юданов А.Ю. Теория крупного предприятия и перспективы развития российской экономики // Мировая экономика и международные отношения, 2007. - №1. - с.45-52.

16. 50 лекций по микроэкономике // infoteka.economicus.ru


Не нашли материал для своей работы?
Поможем написать уникальную работу
Без плагиата!
Без нейросетей!