Основные принципы и формы реализации социальной политики, ее влияние на экономику государства

  • Вид работы:
    Курсовая работа (т)
  • Предмет:
    Экономика отраслей
  • Язык:
    Русский
    ,
    Формат файла:
    MS Word
    400,12 kb
  • Опубликовано:
    2010-09-20
Вы можете узнать стоимость помощи в написании студенческой работы.
Помощь в написании работы, которую точно примут!

Основные принципы и формы реализации социальной политики, ее влияние на экономику государства

РЕФЕРАТ

Объем работы ___ с., в том числе 1 табл., 1 рис., 13 наим. лит., 2 формулы.

Ключевые слова: социальная политика, общественное благосостояние, уровень жизни, социальная защищенность, социальные нужды.

В курсовой работе исследуется понятие, структура, принципы и пути совершенствования социальной политики государства.

Раскрыта роль, положительное и отрицательное влияние социальной политики на национальную экономику страны.

Было проведено исследование понятия социальной политики, определены основные ее показатели, функции, принципы и изучена структура, выявлены факторы, влияющие на нее в Республике Беларусь, а также проведён их анализ.

СОДЕРЖАНИЕ

ВВЕДЕНИЕ

1 СОЦИАЛЬНАЯ ПОЛИТИКА, ЕЕ ЦЕЛИ, ПРИНЦИПЫ, ФУНКЦИИ

2 ОСНОВНЫЕ НАПРАВЛЕНИЯ РЕАЛИЗАЦИИ СОЦИАЛЬНОЙ ПОЛИТИКИ

3 НАПРАВЛЕНИЯ СОВЕРШЕНСТВОВАНИЯ СОЦИАЛЬНОЙ ПОЛИТИКИ БЕЛАРУСИ

ЗАКЛЮЧЕНИЕ

СПИСОК ИСПОЛЬЗОВАННЫХ ИСТОЧНИКОВ

ВВЕДЕНИЕ

Социальная политика является одной из наиболее важных составляющих деятельности общества и находится в сфере его насущных интересов. Проблемы, связанные с повышением уровня и совершенствованием качества жизни, обеспечением и поддержанием экономической стабильности, реализацией принципов социальной справедливости, являются первоочередными для современной национальной экономики. Совершенствование в этом направлении системы социально-экономических отношений, повышение качества человеческого потенциала открывает новые перспективы для экономического развития и является важнейшим фактором экономического роста.

Вместе с тем улучшение социального обеспечения, совершенствование системы здравоохранения и образования, уменьшение социального неравенства требуют стабильных темпов экономического роста, повышения эффективности экономики как материально-финансовой основы преобразований в социальной сфере.

Поэтому актуальной представляется цель данной курсовой работы – анализ особенностей, основных принципов и форм реализации социальной политики государства (на примере Республики Беларусь), а также выявление направлений и методов ее совершенствования.

Для достижения поставленной цели необходимо решить ряд задач:

- определить сущность понятия социальной политики страны;

- рассмотреть принципы, формы и механизмы ее реализации;

- проанализировать особенности развития и совершенствования социальной политики в Республике Беларусь.

Автор работы подтверждает, что приведенный в ней цифровой материал правильно и объективно отражает состояние исследуемого вопроса, а все использованные в работе цитаты сопровождаются ссылками на литературные источники.

1 СОЦИАЛЬНАЯ ПОЛИТИКА, ЕЕ ЦЕЛИ, ПРИНЦИПЫ И ФУНКЦИИ

Социальная политика — это система мер, направленных на достижение социальных целей и результатов, связанных с повышением общественного благосостояния, улучшением качества жизни населения и обеспечением социально-политической стабильности, социального партнерства в обществе.

Объектом социальной политики могут быть как отдельные граждане, так и их группы, объединенные конкретными связями и отношениями.

Субъекты социальной политики — те, кто активно взаимодействует в социальной сфере, определяет цели, задачи, приоритеты и нормативно-правовую базу социальной политики и осуществляют действия по ее реализации. К ним относятся государственные ведомства и учреждения, органы местного самоуправления, различные негосударственные объединения, коммерческие структуры, профессиональные работники, а также отдельные граждане, действующие в рамках гражданской инициативы [1, c. 325].

В любом обществе большинство людей способны самостоятельно обеспечить себе приемлемые условия для жизни. Цель социальной политики в этом случае состоит в создании благоприятной обстановки для их трудовой и предпринимательской деятельности. Отсюда вытекает важнейшая функция социальной политики — стимулирующая, которая заключается в содействии процессу формирования рациональной структуры доходов и совершенствованию отношений занятости. Это предполагает стимулирование всех видов экономической деятельности в рамках правового поля, формирование высокой мотивации работников к высокоэффективному труду, учет доли каждого работающего в созданном продукте.

Однако существуют и социально уязвимые слои населения. К ним относятся граждане, в силу объективных причин не имеющие возможности удовлетворять свои потребности путем приложения собственных усилий. Социальная политика в этом случае должна обеспечить помощь и поддержку таким категориям лиц. Это достигается на основе реализации стабилизирующей функции социальной политики, предполагающей перераспределение доходов, развитие системы социальной защиты и социальных гарантий как для населения в целом, так и каждой из его социальных групп. Упор при этом делается на выплату пенсий и пособий нетрудоспособным, малообеспеченным, безработным, на обеспечение определенного уровня образования и медицинского обслуживания для всех слоев населения.

Взаимодействие указанных функций предполагает необходимость постоянного поддержания их баланса. Ослабление стимулирующей функции ведет к снижению ресурсного обеспечения социальной политики, уменьшению возможностей для финансирования социальных программ. Нарушение стабилизирующей функции обусловливает неоправданное нарастание социальных дифференциации и напряженности в обществе.

Социальная политика осуществляется на разных уровнях:

- микроуровень — социальная политика фирмы (корпорации) в отношении ее работников;

- макроуровень — региональная и государственная социальная политика в отношении регионов;

- интеруровень — межгосударственная социальная политика, связанная с решением глобальных экономических проблем, ликвидацией бедности и отсталости некоторых стран.

С точки зрения субъектов социальной политики выделяют государственный, региональный и муниципальный ее уровни.

Государственная социальная политика характеризуется едиными законодательным пространством, социальной инфраструктурой, единым кадровым и информационным обеспечением для всего населения. На этом уровне определяются цели, задачи, приоритеты социального развития и способы их достижения по отношению ко всему обществу: утверждаются нормативно-правовые акты, регулирующие общие принципы социальной политики в стране, устанавливаются минимальные социальные гарантии в области оплаты труда, пенсионного обеспечения, стипендий, медицинского обслуживания, образования и культуры, разрабатываются целевые социальные программы.

Региональная социальная политика учитывает особенности этнического, культурного и исторического характера региона потребности его жителей. На этом уровне здесь разрабатываются и реализуются региональные законы, различные социальные программы. Вместе с тем данный уровень социальной политики не всегда может учитывать запросы и нужды отдельных людей, для этого нужны специальные меры и технологии, которые присущи муниципальной социальной политике. Деятельность ее субъектов направлена на решение конкретных проблем населения. Именно на данном уровне легче оценить реальные потребности и возможности человека, проверить степень эффективности оказываемых социальных услуг. Муниципальный уровень реализации социальной политики находится ближе к потребителю, а, следовательно, более экономичен, хотя его субъекты редко участвуют в разработке региональных и общегосударственных социальных программ.

Одной из важнейших характеристик эффективности социальной политики является величина доходов населения, поэтому представляется необходимым рассмотреть это явление более подробно. Произведенный в экономике совокупный доход общества распределяется в соответствии с вкладом в его выработку всех факторов производства: труда, земли, капитала и предпринимательской способности. Такое распределение называется первичным (функциональным). Результатом его выступают факторные, или первичные, доходы, основными формами которых являются: заработная плата, предпринимательская прибыль, процент и рента. Их размеры зависят от конкурентных условий.

Предельная производительность не является единственным критерием распределения в экономике, поскольку оставляет «за бортом» тех индивидов, которые не владеют ни одним из факторов производства, в силу чего не могут получать факторных доходов (в частности, инвалиды, престарелые, несовершеннолетние). Их доходы (социальные трансферты, которые выступают в форме пенсий, пособий, стипендий, разнообразных выплат) не обусловлены участием в общественном производстве и являются результатом перераспределения, или вторичного (персонального) распределения функциональных доходов. Размеры вторичных доходов существенным образом зависят от проводимой государством социальной политики.

Источниками доходов может также быть прибыль от личного подсобного хозяйства, участия в теневой или криминальной деятельности, наследство, выигрыши в лотерею и др. Отсюда вытекает, что личный (персональный) доход может быть значительно больше факторного, поскольку включает в себя, как правило, несколько источников.

Итак, доходы населения — это все средства в натуральной и денежной форме, получаемые домохозяйствами. Они могут иметь натуральную или денежную форму. Натуральные доходы — это все поступления продуктов земледелия, скотоводства, услуг и другой продукции в натуральной форме.

Денежные доходы населения — это сумма денежных средств, получаемых домохозяйствами за определенный промежуток времени и предназначенных для приобретения благ и услуг в целях личного потребления. В целом денежная форма доходов распространена больше, чем натуральная, однако у малообеспеченных слоев населения доля натуральных доходов выше, чем у богатых.

Для оценки уровня доходов применяют понятия номинального, располагаемого и реального доходов.

Номинальный доход — это вся сумма денежного дохода, не зависящая от налогообложения и уровня цен.

Располагаемый доход — это номинальный доход за вычетом налогов и других обязательных платежей, т.е. средства, непосредственно используемые населением на потребление и сбережения.

Реальный доход — это количество товаров и услуг, которые можно приобрести на сумму располагаемого дохода. Величина реального дохода зависит от его номинального уровня, налогов на доходы и цен на потребительские товары. Реальные доходы населения определяются только в динамике за конкретный период времени с использованием индекса потребительских цен, который рассчитывается за каждый месяц и за год в целом:

РД = (НД - НП)*1/I (1)

где РД — реальные доходы, р.; НД — номинальные доходы, р.; НПналоги и обязательные платежи, р.; I — индекс потребительских цен.

Иногда реальные доходы населения определяют через показатель покупательной способности денег, характеризующий изменение объема товаров или услуг, которые можно приобрести на одну и ту же сумму в разные периоды времени. Исчисление реальных доходов по такой методике предполагает, что качество товаров и соотношение цен внутри той или иной их группы не изменяется, отсутствует дефицит товаров и государственное регулирование цен. Если эти условия соблюдены, покупательная способность денежной единицы определяется физическим объемом товаров, которые можно купить на сумму среднедушевого дохода. Полученный результат достаточно точно характеризует изменения реальных денежных доходов населения за исследуемый период.

В зависимости от циклов жизнедеятельности человека доходы подразделяются на получаемые: 1) до участия в трудовой деятельности (до лостижения трудоспособного возраста); 2) от участия в трудовой, предпринимательской, общественной деятельности; 3) временно неработающими (безработными, беженцами и т.д.); 4) после завершения трудовой деятельности (пенсионерами) [4, c. 255].

С юридической точки зрения, доходы бывают законными (легальными) и незаконными (нелегальными). Ко вторым относятся доходы от незарегистрированной в установленном порядке деятельности; укрываемые от налогообложения или имеющие криминальное происхождение и т.п.

В странах с развитой рыночной экономикой источником информации о доходах населения являются выборочные обследования домохозяйств; данные деклараций физических лиц о их доходах, подаваемых в налоговые органы; показатели оплаты труда и расходов на конечное потребление домохозяйств в Системе Национальных счетов (СНС). В Республике Беларусь изучается доходы с опорой на Баланс денежных доходов и расходов населения и выборочные обследования около 6 тыс. домохозяйств.

Процесс реформирования белорусской экономики охарактеризуют существенные колебания реальных доходов населения в разные годы. В первой половине 90-х гг. XX в. они неуклонно снижались, и в 1995 г. их уровень составил только 62 % от показателей 1990 г. Начиная с 1996 г. падение доходов было приостановлено, а затем начался их рост. Эта тенденция особенно ярко проявляется начиная с 2000 г. Рост реального ВВП, затухание инфляционных процессов, форсирование темпов роста заработной платы с целью достижения ее уровня в 100 дол. США обусловили повышение реальных денежных доходов населения, которые, согласно Балансу доходов и расходов, устойчиво превышают уровень 1990 г.

Денежные доходы распределяются между людьми неравномерно что характерно для всех стран мира. Данное явление известно как закон Парето, согласно которому, между уровнем доходов и числом их получателей существует обратная зависимость: 80 % созданного ВВП присваивается 20 % населения, а оставшиеся 20 % распределяются между 80 % населения, причем соотношение 80/20 достаточно устойчиво и наблюдается во всех странах, независимо от политических и экономических реалий.

Как было сказано выше, на величину доходов оказывает влияние множество разнообразных факторов, зачастую имеющих разнонаправленный характер воздействия. Среди них выделяют социально-политические, определяющие силу действия и направленность других факторов формирования доходов; демографические, рассматривающие зависимость доходов от пола, возраста, физической выносливости и интеллектуальных способностей; профессиональные, исследующие уровень образования, квалификацию и стаж работы; статусные, детерминирующие размеры доходов в зависимости от места человека в обществе и должностной иерархии; социально-экономические, к которым, в частности, относят род и вид деятельности, варианты занятости, вид производства, форму собственности на средства производства, условия труда.

В странах, на чьих территориях имеют место различные климатические условия, существенное значение приобретают географические факторы, поскольку стоимость жизненно необходимых товаров и услуг существенно варьируется в зависимости от региона, и соответственно предполагает различные уровни доходов.

Для Беларуси можно выделить и экологический фактор, связанный с последствиями аварии на ЧАЭС и необходимостью дополнительных средств существования для жителей пострадавших районов.

Говоря о дифференциации доходов, следует учитывать и такие важные аспекты, как врожденные способности людей, которые могут различаться в довольно значительной степени. Не обделенные в этом плане природой индивиды, обладая более высокой производительностью, получают и более высокие доходы. Кроме того, некоторые из них обладают уникальными способностями, что дает им возможность извлекать «интеллектуальную ренту». Не последнее значение при этом имеет и работоспособность человека, его стремление добиться значительных результатов в своей деятельности.

Известно, что величина доходов зависит от различий во владении собственностью, однако последняя может достаться индивидам по наследство, вследствие чего неравенство доходов воспроизводится, способствуя данной категории лиц в получении лучшего образования и более высокооплачиваемой работы. При рассмотрении неравенства в получении доходов нельзя также исключить и благоприятное стечение обстоятельств.

Амплитуда неравенства становится очевидной при более глубоком рассмотрении распределения доходов между домохозяйствами. Для этого применяют прием ранжирования: семьи распределяют в порядке возрастания доходов, а затем делят на группы. При этом различают: а) квинтильные группы, в которых домохозяйства делятся на пять подгрупп, каждая из которых включает 20 % всех семей. Первая квинтильная группа — составляет 20 % семей с наименьшим, а пятая — 20 % с небольшим уровнем доходов; б) децильные группы, которые формируются аналогичным образом и делят домохозяйства на 10 одинаковых подгрупп (по 10 %).

Степень социального расслоения определяется посредством расчета ряда коэффициентов.

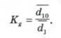
Коэффициент дифференциации доходов, или коэффициент фондов, (Кд) — это соотношение между средними доходами 10 % наиболее богатого населения (d10) и 10 % наименее обеспеченного (d1):

 (2)

Чем выше коэффициент фондов, тем больше неравенство в доходах, выше степень дифференциации населения.

В Республике Беларусь коэффициент фондов составляет 6,9, тогда как в странах—соседях — России, Украине, Литве и Польше — соответственно 20,3; 6,9; 7,9 и 7,8.

Различают также децильный, квинтильный и квартальный коэффициенты, которые определяются отношением минимальных доходов соответственно 10, 20, и 25 % самого богатого населения к максимальным доходам 10, 20, и 25 % самого бедного.

Более наглядно оценить степень неравномерности распределения доходов между гражданами (семьями) можно, в построив кривую распределения доходов, названной по имени американского экономиста М. Лоренца. На графике по оси абсцисс откладывают кумулятивную долю семей, располагающих определенным уровнем дохода, а по оси ординат — кумулятивную долю совокупного дохода, начиная с наименьшей, приходящей на наименее обеспеченную часть семей (см. рис. 1).

Рисунок 1 – Кривая Лоренца

Если бы доходы у всех людей были одинаковы, т.е. 1 % населения располагал 1 % доходов, 15 % населения — 15 % доходов, то кривая Лоренца совпала бы с пунктирной прямой абсолютного равенства ОЕ, имеющей угол наклона к оси абсцисс 45° и превратилась в прямую.

Чем больше кривая Лоренца отклоняется от линии абсолютного равенства, тем неравномернее распределяются доходы в обществе. Так, штрихпунктирная кривая характеризует большую неравномерность распределения дохода, чем сплошная кривая распределения. Отношение площади сегмента между биссектрисой ОЕ и кривой Лоренца к площади треугольника ОАЕ называется коэффициентом Джини, который назван по имени итальянского экономиста и статистика К. Джини. Если коэффициент равен 0, кривая Лоренца совпадает с прямой ОЕ и доходы в обществе распределяюся абсолютно равномерно. При значении коэффициента 1 кривая Лоренца будет представлена катетами треугольника ОАЕ, что свидетельствует об абсолютном неравенстве в распределении доходов. Практически коэффициент Джини никогда не достигает ни нуля, ни единицы, однако считается, что его значение, большее 0,4 (40), отражает высокую степень расслоения общества [4, c. 327].

В современном мире наименьшая дифференциация доходов в мире наблюдается в Норвегии, где 10 % самых обеспеченных лишь в 5,3 раза богаче самых бедных, а коэффициент Джини составляет 0,258. На другом «полюсе» находится Бразилия, в которой соотношение доходов последней и первой децильных групп составляет 65,8, коэффициент Джини — 0,607. Для Республики Беларусь данные показатели составляют соответственно 6,9 и 0,304.

С проблемой неравномерного распределения доходов связана проблема бедности. Согласно концепции ООН, она квалифицируется как состояние длительного вынужденного отсутствия необходимых ресурсов для обеспечения удовлетворительного образа жизни. Сегодня в это понятие включается не только недостаток денег, но и ограничение возможностей человека, которое вызвано отсутствием высокооплачиваемой работы, комфортабельного жилья, доступа к качественному образованию и здравоохранению.

Бедность может иметь различные формы. В зависимости от основания для сравнения выделяют абсолютную и относительную бедность. Критерием первой служит минимальный набор жизненных средств, в соответствии с которым к бедным относят тех, кто испытывает недостаток элементарных средств к существованию. При определении относительной бедности показатели благосостояния соотносятся не с минимальными потребностями, а со средним уровнем материальной обеспеченности, преобладающим в той или иной стране.

Объективная бедность — состояние, оцененное по принятым в данной стране критериям дохода и степени доступности материальных и духовных благ или на основании рекомендаций экспертов. Уровень и масштабы субъективной бедности определяются на основе самооценки: человек является бедным, если считает себя таковым.

Основным инструментом определения численности бедных в стране является черта, или граница бедности — минимально допустимый критический уровень жизни, который правительства стран должны гарантировать своим гражданам. Граница бедности позволяет разделить население на бедных и небедных. Данный показатель зависит не только от уровня минимально необходимых потребностей людей, но и от экономических возможностей государства: состояния экономики, среднего уровня жизни населения и его менталитета. То, что является бедностью в одной стране, не является ею в другой. Вследствие этого черта бедности в мире неодинакова: в развитых государствах она выше, чем в развивающихся.

В Беларуси в качестве границы бедности выступает бюджет прожиточного минимума, который наряду с минимальным потребительским бюджетом используется также для количественной оценки бедности.

Прожиточный минимум — это минимальный набор материальных благ и услуг, необходимых для обеспечения жизнедеятельности человека и сохранения его здоровья. Он ориентирован на низший (физиологический) уровень потребления, что находит отражение в ограниченном количестве товаров и услуг в каждой товарной группе.

Бюджет прожиточного минимума — стоимостная величина прожиточного минимума плюс обязательные платежи и взносы. Он рассчитывается в среднем на душу населения и по основным социально-демографическим группам. Минимальный потребительский бюджет представляет собой расходы на приобретение набора потребительских товаров и услуг для удовлетворения основных физиологических и социально-культурных потребностей человека. Он рассчитывается для конкретных потребительских единиц, в качестве которых приняты различные социально-демографические группы населения. Минимальным потребительским бюджетом в среднем на душу населения считается среднедушевой минимальный потребительский бюджет семьи из четырех человек, состоящей из двоих взрослых и двоих детей.

Основой натурально-вещественной структуры минимальных потребительских бюджетов является система потребительских корзин. Потребительская корзина — это научно обоснованный сбалансированный набор товаров и услуг, удовлетворяющих конкретные функциональные потребности человека в определенные отрезки времени исходя из конкретных условий, сложившихся в стране. В данное понятие включены блага и услуги, представляющие все потребительские комплексы, необходимые для нормальной жизнедеятельности человека. Минимальный потребительский бюджет пересматривается по мере необходимости с учетом роста потребительских цен, но не реже одного раза в квартал, при этом используются средние цены последнего месяца каждого квартала.

Дифференциация населения на основании бюджета прожиточного минимума и минимального потребительского бюджета позволяет выделить группы с разным уровнем материальной обеспеченности:

- бедные семьи, душевой доход которых меньше бюджета прожиточного минимума ему или равен;

- малообеспеченные семьи, душевой доход которых больше прожиточного минимума, но меньше минимального потребительского бюджета;

- обеспеченные семьи, душевой доход которых находится в интервале между минимальным и рациональным потребительскими бюджетами;

- богатые семьи, в которых душевой доход выше рационального потребительского бюджета.

Крайним проявлением бедности является нищета. Семьи (индивида, домохозяйства) признаются нищими, если их продовольственное потребление не обеспечивает 80 % минимального пищевого рациона, определенного Всемирной организацией здравоохранения, или затраты на питание превышают 80 % их совокупных доходов.

Для предотвращения такой ситуации социальная политика любой страны должна базироваться на ряде принципов — основных исходных положений, на которых строится деятельность государства в социальной области. Важнейшим из которых является принцип социальной справедливости.

Дифференциация населения по заслугам, является важнейшим условием прогрессивного формирования общества, стимулом для развития личности, ее потребностей и приоритетов. Она обусловливает повышение экономической эффективности, что, однако, уменьшает шансы тех, кто по независящим от них причинам не может осуществлять активную деятельность. Кроме того, крайняя степень дифференциации и неравенства может привести к деградации производительных сил, нестабильности и социальным конфликтам. Данный принцип социальной политики, таким образом, содержит оба типа справедливости и означает, с одной стороны, степень обоснованного равенства, а с другой — сохраняющееся неравенство. По этой причине государство при проведении социальной политики должно стремиться обеспечить всем гражданам равенство стартовых условий существования и удовлетворения важнейших духовных потребностей. Вместе с тем наиболее активные, способные и работоспособные члены общества должны иметь возможность получать за свой труд больший объем благ и услуг.

Принцип индивидуальной социальной ответственности означает, что каждый дееспособный член общества обязан прилагать максимум усилий для того, чтобы самостоятельно обеспечить удовлетворение своих потребностей. Государство должно оказывать помощь своим гражданам только в крайнем случае, если они не в состоянии обеспечить себя сами.

Соблюдение принципа солидарности предполагает, что общество должно решать возникающие проблемы как единая система, внутри которой через механизм налогов и трансфертов осуществляется перераспределение финансовых ресурсов от более сильных и обеспеченных к тем, кто в силу объективных обстоятельств не имеет возможности за счет трудовой деятельности извлекать доходы, достаточные для обеспечения основных потребностей.

Реализация принципа социальной компенсации обеспечивает правовую и социальную защищенность граждан, которая выражается в получении ими льгот и социального обслуживания.

Соблюдение принципа социальных гарантий предполагает предоставление гражданам гарантированного минимума социальных услуг (обучение, воспитание, духовное и физическое развитие), потребление которых обеспечивает подготовку личности к самостоятельной жизни.

Осуществление социальной политики основано на реализации принципа всеобщности, предполагающего, что социальными мероприятиями должны быть охвачены все члены общества, с учетом дифференцированного к ним подхода.

Принципы социальной политики могут реализоваться на практике только при наличии ресурсного обеспечения. Эту проблему можно рассматривать с двух сторон: во-первых, должны быть созданы условия для развития общественного производства, в процессе которого создаются ресурсы, обеспечивающие осуществление социальной политики. Вместе с тем, ресурсная база зависит от уровня развития производительных сил и, в первую очередь, его главной производительной силы — человека. Следовательно, во-вторых, необходимо проводить комплекс мер, обеспечивающих развитие работников через систему образования, здравоохранения, повышение квалификации при обеспечении социальной стабильности общества [1, c. 254].

Выделяют два основных типа социальной политики — бисмарковский (по имени ее родоначальника Бисмарка) и бевериджский.

Первый в большей степени реализует распределительный тип социальной справедливости, так как в нем делается упор на жесткую связь социальных выплат с длительностью и результативностью профессиональной деятельности. Работники в течение трудовой жизни уплачивают страховые взносы, размер которых определяется при заключении коллективных договоров нанимателей и наемных работников. Страховые фонды управляются на паритетных началах и не субсидируются из бюджета. Малообеспеченные семьи получают помощь по муниципальной линии.

Бевериджский тип социальной политики основан на принципе национальной солидарности. Он предполагает, что любой человек, независимо от степени его участия в общественном производстве, имеет право на минимальную защиту от социальных рисков (болезнь, старость, травма и т.п.), а средства социальной защиты формируются в значительной степени из государственного бюджета. В странах, выбравших такой тип социальной политики, отсутствует резкая дифференциация населения по уровню жизни. Здесь реализован уравнительный принцип социальной справедливости или обоснованное равенство. Следует отметить, что в современных условиях происходит сближение двух типов социальной политики в направлении развития основополагающих характеристик социального государства.

Таким образом, социальная политика — это система мер, направленных на достижение социальных целей и результатов, связанных с повышением общественного благосостояния, улучшением качества жизни населения и обеспечением социально-политической стабильности, социального партнерства в обществе. Основными функциями социальной политики являются стимулирующая, стабилизирующая и др. Социальная политика любого государства должна руководствоваться следующими принципами: принципом индивидуальной социальной ответственности, солидарности, социальной компенсации, социальных гарантий, ресурсного обеспечения.

2 ОСНОВНЫЕ НАПРАВЛЕНИЯ РЕАЛИЗАЦИИ СОЦИАЛЬНОЙ ПОЛИТИКИ

Социальная политика, проводимая различными странами, многообразна. В ее рамках можно выделить ряд основных направлений: политика доходов населения; политика в сфере труда и трудовых отношений; социальная поддержка и защита нетрудоспособных и малообеспеченных семей и граждан; развитие отраслей социальной сферы и их инфраструктуры, социальная защита отдельных групп населения; экологическая, демографическая и миграционная политика. К ним относят также социальное страхование; социальную защиту работников, политику в области заработной платы; социальные меры на рынке труда; жилищную политику. Все вышеперечисленные направления связаны между собой, что вызывает необходимость проведения сбалансированной социальной политики [10, c. 263].

Социальное страхование – наиболее важная часть политики государства в социальной сфере. В процессе производства работники могут потерять (по ряду объективных причин, например, из-за травмы) возможность продолжать работу. При этом они лишаются источника дохода. Для решения возникшей в этом случае проблемы существует две возможности. Первая - выплата определенной суммы за причиненный ущерб. Однако единовременное пособие не дает ему возможности существовать длительное время. Следовательно, предпочтительнее второй путь – социальное страхование.

Необходимо правильно понимать смысл, значение социального страхования - как основного механизма социальной защиты работников в условиях рыночной экономики. Именно на этой основе социальное страхование может стать реальной базой достижения социальной стабильности и согласия. Все это свидетельствует о необходимости восстановления страхового характера данного вида социальной защиты. В зависимости от соблюдения принципов страхования и обеспечения им адекватных источников финансирования можно выделить 3 модели организации социального страхования:

1. В первой модели страховые начала не развиты. Размер выдаваемых социальных пособий и выплачиваемых пенсий зависит от ряда второстепенных внешних факторов, от служебного положения. Недостаток денежных средств покрывается учредителями. Подобная система способна обеспечить лишь невысокие уровни защиты и может существовать только в условиях бездефицитного государственного бюджета. Рыночным условиям хозяйствования, как правило, свойственен дефицит государственного бюджета, а значит, велика вероятность того, что государство не сможет выполнить своих обязательств.

2. Отличительная черта второй модели - страхуемые и страхователи делают взносы, однако расчеты с ними не учитывают степени вероятности наступления того или иного страхового события, т.е. социального риска. Страхование фактически осуществляется в пользу третьих лиц, и накопление финансовых средств никак не связано с ростом обязательств.

3. Третья модель строится, исходя из страхования социальных рисков. Величина накопленных средств в каждый конкретный момент времени соответствует взятым страхователями обязательствам. Выплаты не могут превышать установленного соотношения между выдаваемыми пособиями и поступлениями. Эта модель социального страхования обычно предусматривает способы покрытия дефицита средств путем образования запасных фондов, перестрахования рисков и т.д. Такая форма организации социального страхования достаточно гибка: не возникает технических трудностей, как при объединении нескольких видов страхования, так и при их разделении, при выходе из фондов страхования группы участников или при привлечении новых [4, c. 365].

Система социального страхования строится на определенных принципах. Во-первых, оно имеет законодательную основу. Во-вторых, оно обязательно для лиц, работающих в условиях риска (впрочем, страхование может осуществляться и на добровольной основе). В-третьих, система социального страхования предусматривает участие государства в финансировании соответствующих выплат. Делятся это либо в форме снижения выплачиваемых самими работниками сумм, либо за счет повышения предлагаемых государством пособий. В-четвертых, система социального страхования ориентируется на помощь, прежде всего слабым в экономическом отношении членам общества.

Практика определила несколько форм социального страхования. Во многих цивилизованных странах применяются следующие: страхование от несчастного случая, болезни, в связи с родами и уходом за ребенком, по инвалидности, в случае потери работы, пенсионное страхование.

Важнейшим направлением политики пенсионного страхования является осуществление концепции “динамической пенсии”: приведение пенсий в соответствии с уровнем заработной платы работающего населения. Тем самым удастся воспрепятствовать обесценению (вследствие инфляции) средств, которые были накоплены работником, путем регулярных отчислений.

В обязанности государства входит обеспечение функционально-способной системы институтов страхования на случай болезни. Например, обеспечение в случае заболевания почти для 90% граждан ФРГ гарантируется путем установленной законом системы страхования на случай болезни. Около 10% граждан застрахованы частным образом. Заболевший во время болезни дохода не теряет. Работодателей закон обязывает продолжать выплату заработной платы в течение шести последующих недель.

Возможные несчастные случаи на производстве и профессиональные заболевания охватываются системой страхования от несчастных случаев. Здесь речь идет о различного рода переплетениях, распределении и правах застрахованных. Большие затраты на финансирование последствий несчастных случаев на производстве являются важной причиной интенсификации государственной политики защиты работников. Необходимо, чтобы финансирование осуществлялось на 100% за счет взносов предприятий или работодателей, т.к. в соответствии с принципом причинности вопрос о начислении издержек (затрат), связанных с последствиями несчастных случаев, будет отнесен к предприятиям.

Социальная защита работников, как важнейшее направление социальной политики государства, крайне важна, т.к. большинство населения во всех странах составляют работающие, единственным (или основным) доходом которых является заработная плата, а это означает, что они экономически уязвимы и им не на что опереться, кроме государственной власти. Кроме того, в любом государстве имеется значительное количество нетрудоспособных лиц и лиц с пониженной трудоспособностью, требующих особого внимания государства. Ко всему этому можно добавить, что политика государства в области социальной защиты занятых базируется на неравенстве сторон на рынке труда. Наемный работник является слабой по сравнению с работодателем стороной, поскольку не обладает собственностью на средства производства и вынужден продавать свою рабочую силу. Действия государства в этой сфере должны быть нацелены на финансовую поддержку работников в случае нанесения ущерба здоровью последних или в иных случаях. Для этого государство разрабатывает определенные правовые нормы, обеспечивающие создание системы договоров, которые заключают между собой работники и предприниматели. Государство, проводя такие меры, исходит из того, что в социальных взаимоотношениях между работниками и работодателями речь должна идти не просто о купле - продаже товаров, а о социальном статусе личности.

Международная практика и отечественный опыт свидетельствуют о том, что к важнейшим принципам социальной защиты работников следует отнести:

- социальная ответственность общества и государства за бережное отношение к личности, к защите достоинства человека, его права на свободный труд, свободу выбора профессии, места работы и обучения, охрану труда, обеспечение приемлемых условий труда, защиту здоровья и жизни, компенсацию утраты трудоспособности, что соответствует положениям Всеобщей декларации прав человека, социальных пактов и других документов ООН, МОТ и других признанных международных норм;

- социальная справедливость в области трудовых отношений - равные права на условия и охрану труда, сохранения здоровья, работоспособности и трудоспособности граждан, высокий уровень компенсации утраты трудоспособности, обеспечение медицинского, социальной и профессиональной реабилитации;

- всеобщий и обязательный характер защитных работников от социальных и профессиональных рисков, обеспечение права на социальную защиту как главного ориентира социально - экономического развития общества;

- минимально возможный уровень социальных и профессиональных рисков, доступность и открытость соответствующей информации;

- государственные гарантии связанные с социальной защитой при одновременной самостоятельности и самоуправляемости негосударственных систем и программ защиты;

- заинтересованность всех основных субъектов защиты (государство, предприниматели, товарищества социального страхования и широкий круг профессиональных организаций трудящихся) в формировании и совершенствовании тех или иных систем и форм защиты;

- солидарность всех субъектов социальной защиты на основе “социальных договоров”, касающихся распределения финансового бремени по компенсации и минимизации социальных и профессиональных рисков;

-экономическую и социальную свободу работников в области труда - выбор профессии с приемлемыми уровнями социальных и профессиональных рисков, возможность получения профессионального образования, места работы, свободы ассоциаций;

- личную ответственность работников за сохранение своего здоровья, работоспособности и трудоспособности, правильный выбор профессии, места работы;

- многоуровневость и разноадресность способов социальной защиты - от государственных гарантий для всех трудящихся до узконаправленных мер для отдельных их категорий и профессиональных групп;

-многосубъектность социальной защиты - субъектами социальной защиты должны выступать: государство (в лице ведомств и министерств), работодатели, товарищества по страхованию, региональные органы управления;

- многоаспектность и разнонаправленность мер социальной защиты - предметом внимания должны стать условия и оплата труда работников, профессиональная подготовка, медицинское обслуживание, компенсация утраты работоспособности и реабилитационные услуги [4, c. 334].

Социальная политика в области заработной платы должна реализовываться дифференцированно. Регулирующие вмешательство осуществляется в основном в тех случаях, когда степень профессиональной подготовки работника невысока, и позиции его в противостоянии с работодателем относительно слабы. Это главным образом касается тех видов трудовых процессов, которые требуют неквалифицированного труда. В отношении таких категорий населения фиксируется минимальный уровень заработной платы, ниже которого выплачивать ее, не разрешается. С помощью законов государство определяет также ритм оплаты труда (допустим, каждые 14 дней или ежемесячно).

В некоторых случаях политика заработной платы предусматривает введение предельного уровня последней и сохранение его в течение определенного отрезка времени. Возможно также использование ограничений на темпы роста оплаты труда. Данные меры применяются для предотвращения инфляции и устранения трудностей в области платежного баланса.

Основные направления социальной политики на рынке труда связаны прежде всего с возможностями государства влиять на спрос на рабочую силу. Кроме того, воздействие на этот рынок идет с помощью корректировки правовых норм, касающихся использования в стране иностранной рабочей силы. Регулирование может осуществляться и сокращением доступа некоторых групп работников на рынок труда (например, с помощью сокращения пенсионного возраста). Кроме того, государство может влиять на рынок труда, информируя о его состоянии заинтересованные органы. Весьма серьезное воздействие на этот рынок оно оказывает и тем, что берет на себя организацию и финансирование системы переобучения работников в связи со структурными сдвигами в экономике.

Инструментарий социальной политики в области рынка труда включает в себя наряду с произведением компенсационных выплат при безработице и в период поиска работы предоставление консультаций по профориентации, трудоустройству и профессиональному обучению, облегчающих вступление в трудовую жизнь или смену профессии. Финансовые средства из фонда страхования по безработице должны использоваться эффективно, например, в целях финансирования мероприятий по профессиональному обучению, реабилитации, облегчающей возвращение к трудовой деятельности, а также в качестве вспомогательных средств для создания и изменения структуры рабочих мест.

Наряду с этим целью современной политики обеспечения занятости является также решение проблем особых групп работающего населения (пожилых людей, инвалидов, женщин, молодежи, иностранцев).

Демографическая политика — это целенаправленная деятельность государственных органов и иных социальных институтов в сфере регулирования воспроизводства населения, призванная сохранить или изменить тенденции динамики его численности и структуры. Иными словами, это политика, воздействующая на процессы рождаемости, брачности, разводимости, смертности, на возрастную структуру населения. В широком смысле демографическую политику иногда отождествляют с политикой в области народонаселения, а в узком, более принятом, рассматривают как одну из ее составляющих. Она тесно связана с социальной и экономической политикой, но тем не менее имеет свои особенности. В качестве объекта такой политики могут выступать страны, отдельные их районы, а также отдельные группы населения.

Направления социальной политики страны в демографической сфере основываются на комплексе различных мер: экономических, административно-правовых, воспитательных и пропагандистских. К числу экономических мер, направленных на стимулирование рождаемости, относятся оплачиваемые отпуска и различные пособия при рождении детей, пособия на детей в зависимости от их количества, возраста и состава семьи — по прогрессивной шкале, различные ссуды, кредиты, налоговые и жилищные льготы и т. д.; на снижение рождаемости направлены меры, создающие преимущества для малодетных семей. Административно-правовые меры включают законодательные акты, регулирующие возраст вступления в брак, разводимость, отношение к абортам и применению контрацептивов, имущественное положение матери и детей в случае распада семьи, режим труда работающих женщин и др. Воспитательные и пропагандистские меры направлены на формирование общественного мнения, норм и стандартов демографического поведения, определение отношения к религиозным и другим традициям и обычаям воспроизводства населения и политике планирования семьи (внутрисемейное регулирование деторождения), к половому воспитанию и образованию молодежи и др.

К актуальным направлениям социальной политики в современных западных странах относится также политика обеспечения необходимых жилищных условий. Легко и быстро решаемые жилищные проблемы усиливают территориальную подвижность рабочей силы, что в условиях существенных структурных сдвигов приобретает особую значимость, ибо повышает эффективность производства.

В традиционном варианте это направление социальной политики проводится путем выделения из бюджета средств для оказания помощи работникам, арендующим жилье. Однако есть и альтернативные варианты: государство в состоянии поощрять самостоятельное жилищное строительство. При этом используются различные возможности. Например, территориальные органы власти сами создают относительно дешевые комплексы жилья и сдают их в наем семьям с низкими доходами. Еще один путь социальной поддержки в этой области предполагает использование жилья, построенного частными строительными кооперативами. Роль государства в этом случае сводится к тому, что оно бесплатно предоставляет строительным организациям землю, осуществляет их льготное кредитование или применяет к ним более мягкое налогообложение. В рамках данного варианта государство обычно контролирует величину оплаты жилья, устанавливая предельную сумму доходов владельцев за сдаваемое в наем жилье. В отдельных случаях приходится поступать еще более решительно: изымать из частной собственности землю и использовать ее для государственного жилищного строительства.

Таким образом, социальная политика государства состоит из множества направлений: политика доходов населения; политика в сфере труда и трудовых отношений; социальная поддержка и защита нетрудоспособных и малообеспеченных семей и граждан; развитие отраслей социальной сферы и их инфраструктуры, социальная защита отдельных групп населения; экологическая, демографическая и миграционная политика. К ним относят также социальное страхование; социальную защиту работников, политику в области заработной платы; социальные меры на рынке труда; жилищную политику. Все направления социальной политики взаимосвязаны, поэтому необходимо проводить сбалансированную социальную политику.

3 НАПРАВЛЕНИЯ СОВЕРШЕНСТВОВАНИЯ СОЦИАЛЬНОЙ ПОЛИТИКИ БЕЛАРУСИ

Переход Республики Беларусь к социально-ориентированной модели рыночной экономики сопровождался значительным спадом производства и потребления. Институциональная затратность перехода проявилась, прежде всего, в социальной сфере: уровень жизни населения и его социальная защищенность резко снизились. При разработке экономической стратегии реформирования в 90-е годы социальная политика не называлась среди основных целей реформ. Состояние и динамика социальной сферы относились к числу ограничений, фактически учитывался лишь один аспект - возможность острых социальных кризисов. Роль социальной сферы была осознана после финансового кризиса 1998 г. Беларусь избежала социальных потрясений благодаря эволюционному подходу к экономическим реформам. Однако результатом явилось сокращение сбережений и, которые в 2001 году составили 48% от 1990 года, что стало сдерживающим фактором экономического роста [6, c. 257].

Управлять процессом развития институциональной структуры социальной сферы можно либо через копирование формальной структуры успешной экономики (импорт институтов) либо через построение собственной структуры институтов, ориентируясь на контуры существующей неформальной структуры. В первом случае спрос на институты не закрепляется. Так попытка ввести институт социального страхования в Беларуси в 90-е годы натолкнулась на ограничения экономического характера. Если принять точку зрения многих западных специалистов, что источником институциональных изменений служат меняющиеся относительные цены или предпочтения, то можно сделать вывод об отсутствии таких сигналов. Доходы большей части населения отвечали только минимальному уровню выживания. Функция сбережения отсутствовала.

К концу девяностых годов прошлого века возникла институциональная ловушка. Устойчивые ожидания населения в отношении институциональных гарантий и защищенности столкнулись с неспособностью государства выполнить свои обязательства. Институты, функционировавшие достаточно эффективно в рамках плановой экономики, превратились в систему неэффективных норм. В 2000 г. в Республике Беларусь 35,7% семей обладали доходом ниже прожиточного минимума на одного члена семьи. Наряду с унаследованными социальными институтами потребовалось введение новых (пособия для безработных, новых «бедных»). Это привело к росту социальной доли ВВП. В 1999 г. валовые расходы на социальные программы и субсидии с учетом перекрестного субсидирования превысили треть ВВП республики что потребовало высоких налогов и социальных выплат и стало сдерживающим фактором экономического роста.

Поэтому спрос на новые социальные институты появился прежде всего у главного экономического субъекта – государства. На недостаточную развитость институтов особенно негосударственных было обращено внимание участников республиканского совещания по вопросам развития социальной сферы в 2003 году. Государство выступает главным игроком на рынке институтов социальной сферы - инициируя как отмену старых институтов, так и введения новых - платного образования, пенсионного страхования, пособий по безработице и др. Ограничениями для введения новых институтов являются невысокие доходы значительной части населения и неконкурентоспособность на рынке труда. Государство, доминируя на рынке, определяет уровень оплаты труда - фонд личного потребления. Одновременно за ним сохраняется функция централизованного распределения фондов потребления, унаследованных от старой хозяйственной системы. Не выполнение социальных обязательств государства привело к снижению реальных доходов населения. При этом отказ от ранее существовавших форм распределения не компенсировался соответствующим ростом заработной платы.

Коренная перестройка институтов общественного потребления происходит с учетом финансовых интересов главного нанимателя -государства. Социальная сфера находиться сегодня под влиянием снижения роли институтов общественного сектора экономики в воспроизводстве человеческого капитала и развитием рыночных институтов социальной сферы. Однако проблема не только и не столько в отказе государства от своих обязательств, сколько в том, что предлагается взамен.

На первом этапе преобразований социальные реформы были направлены на минимизацию социальных последствий экономического кризиса. Это привело к росту социальной доли в ВВП. По оценкам экономистов, социальная составляющая ВВП достигла к началу 2000 году 40%. Следствием чего явились высокие налоги и выплаты в социальные фонды. Была осознана необходимость в развитии негосударственных социальных институтов. Однако унаследованные от плановой экономики традиции патернализма, с одной стороны, и низкий уровень жизни населения, с другой, оказались препятствием для введения рыночных норм в социальную сферу. Назревшие решения в сфере социальной политики принимаются со значительной временной задержкой.

Первой попыткой внести определенность в ранее выданные обязательства государства и декларируемые нормы и одновременно сохранить минимальный уровень государственного социального обеспечения были государственные минимальные социальные стандарты (ГМСС). Закон о ГМСС был принят в 1999 г. Но только в 2003 г. были разработаны и утверждены постановлением Совета Министров меры по внедрению в республике 44 государственных социальных стандартов. Цель стандартов – удовлетворить важнейшие потребности человека в материальных благах и услугах и таким образом соблюсти конституционные гарантии. Большинство норм и нормативов, которые входят в систему стандартов, являются обязательствами государства перед различными группами населения и должны обеспечиваться за счет его финансовых ресурсов. Это дало возможность сохранить равные минимальные гарантии социальной защищенности для населения. В перспективе государственное социальное обеспечение должно сохраниться на уровне минимального стандарта, ориентированного на малообеспеченную часть населения.

Активное реформирование социальной политики началось после 2000 г., когда стало очевидным, что затратная патерналистская модель социальной политики не отвечает потребностям страны. Республика Беларусь стоит перед дилеммой: направить ресурсы на цели экономического роста или социальное обеспечение.

Основными направлениями реформирования и совершенствования социальной политики стали: поиск путей ограничения расходов государственного бюджета на социальные нужды и ужесточение финансовой дисциплины использования средств; активное привлечение средств нанимателей к социальной защите и страхованию; расширение круга платных услуг для населения в здравоохранении, образовании, санаторно-курортном обслуживании [6, c. 263].

Таким образом, происходит перераспределение социальных расходов между основными экономическими субъектами. На сокращение расходов государства были направлены изменения в трудовом законодательстве. В 2007 году при незначительном росте длительности минимального отпуска оплата дополнительных отпусков перенесена на плечи нанимателей. В этом же году принят законопроект о ликвидации льгот. В Беларуси существовало более 200 видов льгот, правом их получения пользовались более 30 категорий граждан, 25% льгот получали наиболее обеспеченные граждане. В декабре прошлого года, несмотря на негативное общественное восприятие законопроекта, он вступил в силу. Опросы, проведенные до его введения, показали устойчивую отрицательную динамику отношения к закону (если в сентябре 65,4 % участников опроса считали, что экономить нужно не на льготах, то в декабре - 74,2 % придерживались этого мнения). Сегодня 75,9 % опрошенных не одобряют отмену льгот для большинства категорий населения. Однако в открытых социальных протестах приняло участие незначительное число граждан.

Однако реформа была только продекларирована. Дополнительным пенсионным страхованием сегодня занимаются лишь отдельные страховые компании в рамках страхования жизни. Не планируется и предусматривавшееся ранее повышение пенсионного возраста. Проблемами действующей пенсионной системы остаются: сложное финансовое положение ФСЗН, низкий уровень пенсий, уравнительные тенденции. Так у лиц с низким доходом коэффициент замещения заработка в пенсии составляет 60-80%, а у лиц с высокими заработками 15-20%. Это снижает мотивацию к зарабатыванию более высоких пенсий.

Рост затрат населения, вложений граждан в воспроизводство человеческого капитала находит проявление в неуклонном росте платных услуг. Наибольшими темпами они растут в образовании, здравоохранении и санаторно-курортном обслуживании. В нашей стране в 2003/04 учебном году впервые число студентов, обучающихся за собственный счет, превысило число обучающихся за бюджетные средства. Эта тенденция сохраняется при абсолютном сокращении (с 2004/05 учебного года) бюджетных мест. В общей структуре услуг услуги сферы образования составляют 7,9 %. Медицина остается и сегодня государственной, бесплатной и вертикально интегрированной. На нее затрачивается 4-4,2 % ВВП. Сфера платных услуг в здравоохранении развивается медленно. В общей структуре услуг медицинские услуги занимали в 2007 году 2,5 %, санаторно-оздоровительные - 3,3 %. Институт медицинского страхования не развивается в силу недостатка средств у населения. Свидетельством нехватки средств у государства является принятое в мае этого года постановление Совета министров, разрешающее гражданам самостоятельно закупать расходные материалы для сложных операций. И хотя страховая платная медицина могла бы эффективно дополнить общедоступные медицинские услуги, переход к ней не планируется в ближайшее время.

Заработная плата в условиях экономической трансформации перестала выполнять воспроизводственную, стимулирующую и регулирующую функции, стала играть роль социального вспомоществования и значительно оторвалась от сферы непосредственно трудовых отношений. В контексте же социальной политики заработная плата должна стимулировать опору на собственные силы и способствовать сокращению бедности. Ни одну из этих функций она в республике полностью не выполняет.

Таблица 1 показывает снижение доли заработной платы и трансфертов в денежных доходах населения и незначительность доходов от собственности, что иллюстрирует замороженный процесс приватизации собственности в республике. Минимальная заработная плата не выполняет роли социальных гарантий. К 2001 году соотношение МЗП и средней заработной платы по сравнению с 2001 годом, уменьшилось с 2,6% до 6%. Одновременно отношение минимальной заработной платы к минимальному потребительскому бюджету снизилось почти в 10 раз (с 56% в 1990 году до 8,9 % в 2002 году). Таким образом, важной социальной проблемой стала бедность.

Таблица 1 – Структура денежных доходов

населения РБ (в процентах к итогу)



Программой социально-экономического развития Республики Беларусь на 2006 - 2010 годы планируется снижение доли населения с доходом ниже БПМ до 10%. Еще одной проблемой являются различия в уровне оплаты между производственной сферой и непроизводственной, отраслями, регионами. Социальная политика в республике направлена на снижение дифференциации в оплате. Так если в 2001 году коэффициент межотраслевой дифференциации составил - 5,1, то к 2008 году он сократился в 1,9 раза и стал равен - 3,5. Приняты решения, направленные на повышение заработной платы отраслей бюджетной сферы. Установлена ставка первого разряда для оплаты работников организаций, финансируемых из бюджета. Введены корректирующие коэффициенты, позволяющие обеспечить приоритетный рост заработной платы низкооплачиваемых категорий работников. Таким образом, в социальной политике сохраняется тенденция на уравнительность, что характеризует ее инерционность.

К концу 2010 года предусмотрено сократить долю населения, располагающего доходами ниже бюджета прожиточного минимума, в два раза. Уровень малообеспеченности населения снизился с 11,1 процента в 2006 году до 7,7 процента в 2007 году. Важно отметить, что такое снижение произошло во всех регионах страны, а не только в крупных городах. Оно происходило при относительно низком уровне дифференциации доходов граждан: в 2007 году соотношение денежных доходов высшей и нижней квинтильных групп домашних хозяйств составило 6 раз.

Одним из ключевых аспектов обеспечения эффективного социального развития является расширение занятости. Эта одна из первостепенных задач государственной социально-экономической политики Беларуси. Уровень безработицы в Беларуси является одним из самых низких в Европе, он составляет в настоящее время менее 1 процента. Государство предоставляет дополнительные гарантии в области занятости особо нуждающимся и особо уязвимым категориям граждан, в том числе родителям многодетных и неполных семей; лицам до 21 года, которые впервые находятся в поисках работы; инвалидам; гражданам, освобожденным из мест лишения свободы и др. Дополнительные гарантии включают в себя такие меры, как бронирование рабочих мест для определенных категорий граждан, осуществление программ профессионального обучения.

В Беларуси на протяжении почти десяти лет наблюдается тенденция снижения женской и молодежной безработицы.

Государственная социальная поддержка населения является важнейшей составляющей социально экономической политики Беларуси. С 2007 года в стране активно задействуется принцип адресности при осуществлении государственной поддержки. Эта мера, закрепленная на законодательном уровне, позволяет применять четкий, прозрачный, дебюрократизированный механизм предоставления государственной адресной социальной помощи тем, кто в ней действительно нуждается.

Одним из приоритетных элементов социальной поддержки государства является пенсионное обеспечение. С учетом демографической структуры населения, обусловленной его старением, получателями пенсий являются 26 процентов населения. Расходы на выплату пенсий составляют 11 процентов ВВП страны. С начала 2008 года рост размера пенсий составил более 6 процентов. За период с 2003 по 2008 год доля пенсионеров с пенсией ниже бюджета прожиточного минимума снизилась с 29, 9 процентов до 6 процентов от общей численности пенсионеров.

Для обеспечения дополнительной защиты права граждан на пенсионные выплаты Беларусь активно развивает соответствующую международную договорную базу: специальные соглашения о гарантиях пенсионного обеспечения при переселении граждан Беларуси действуют практически со всеми соседними странами и государствами СНГ.

В рамках деятельности по социальной поддержке одиноких пожилых людей и инвалидов важное место занимает развитие сети стационарных учреждений социального обслуживания. В Беларуси действуют 70 домов-интернатов для престарелых и инвалидов, в том числе 9 домов для детей-инвалидов с особенностями психофизического развития, а также Республиканский интернат ветеранов Второй мировой войны и труда, в которых проживает более 16 тысяч человек.

Образование и грамотность – важнейшая основа прогрессивного социально-экономического развития Республики Беларусь. В Беларуси ежегодные расходы на нужды образования составляют 6 процентов от уровня ВВП и превышают аналогичные показатели ряда высокоразвитых стран. В Беларуси гарантировано бесплатное среднее образование, сохранено бесплатное высшее образование, которое доступно любому человеку на конкурсной основе. При этом особое внимание уделяется обеспечению равенства образовательных возможностей городской и сельской молодежи.

Таким образом, активное реформирование социальной политики Республики Беларусь началось после 2000 г., когда стало очевидным, что затратная патерналистская модель социальной политики не отвечает потребностям страны. Основными направлениями реформирования и совершенствования социальной политики на современном этапе стали: поиск путей ограничения расходов государственного бюджета на социальные нужды и ужесточение финансовой дисциплины использования средств; активное привлечение средств нанимателей к социальной защите и страхованию; расширение круга платных услуг для населения в здравоохранении, образовании, санаторно-курортном обслуживании, обеспечение дополнительной защиты граждан в пенсионной сфере, расширение занятости, обеспечение социальной безопасности наиболее незащищенных слоев населения (детей, инвалидов) и др.

ЗАКЛЮЧЕНИЕ

На основании проведенной работы можно сделать следующие выводы.

1) Социальная политика представляет собой систему мер, направленных на достижение социальных целей и результатов, связанных с повышением общественного благосостояния, улучшением качества жизни населения и обеспечением социально-политической стабильности, социального партнерства в обществе. Основными функциями социальной политики являются стимулирующая, стабилизирующая и др. Социальная политика любого государства должна руководствоваться следующими принципами: принципом индивидуальной социальной ответственности, солидарности, социальной компенсации, социальных гарантий, ресурсного обеспечения.

2) Социальная политика государства состоит из множества направлений: политика доходов населения; политика в сфере труда и трудовых отношений; социальная поддержка и защита нетрудоспособных и малообеспеченных семей и граждан; развитие отраслей социальной сферы и их инфраструктуры, социальная защита отдельных групп населения; экологическая, демографическая и миграционная политика. К ним относят также социальное страхование; социальную защиту работников, политику в области заработной платы; социальные меры на рынке труда; жилищную политику. Все направления социальной политики взаимосвязаны, поэтому необходимо проводить сбалансированную социальную политику.

3) Активное реформирование социальной политики Республики Беларусь началось после 2000 г., когда стало очевидным, что затратная патерналистская модель социальной политики не отвечает потребностям страны. Основными направлениями реформирования и совершенствования социальной политики на современном этапе стали: поиск путей ограничения расходов государственного бюджета на социальные нужды и ужесточение финансовой дисциплины использования средств; активное привлечение средств нанимателей к социальной защите и страхованию; расширение круга платных услуг для населения в здравоохранении, образовании, санаторно-курортном обслуживании, обеспечение дополнительной защиты граждан в пенсионной сфере, расширение занятости, обеспечение социальной безопасности наиболее незащищенных слоев населения (детей, инвалидов) и др.

СПИСОК ИСПОЛЬЗОВАННЫХ ИСТОЧНИКОВ

1. Агапова, Т.А. Макроэкономика для преподавателей: Учеб.-метод. пособие . - М.: Дело и сервис, 2003. – 560 с.

2. Агапова, Т.А. Макроэкономика. - Москва: Дело и сервис, 2004. - 447 с.

3. Базылев, Н.И. Макроэкономика: учебное пособие для экономических специальностей. - Москва: Инфра-М, 2004. – 188с.

4. Бондарь, А.В. Макроэкономика: учебное пособие. – Минск: БГЭУ, 2007. – 415 с.

5. Войтов, А.Г. Экономика: Учеб. фундам. теории экономики: Общ. курс. - М.: Дашков и К, 2004. – 598 с.

6. Ивашковский, С.Н. Макроэкономика. - Москва: Дело, 2002. – 473 с.

7. Иохин, В.Я. Экономическая теория: Учебник: Для вузов по специальности "Финансы и кредит". - М.: Юристъ, 2004. - 861 с.

8. Кажуро, Н.Я. Макроэкономическая нестабильность: экономические циклы, инфляция, безработица. - Минск: ФУАинформ, 2004. - 207 с.

9. Кравцова, Г.И. Деньги, кредит, банки: учебник для высших учебных заведений. – Минск, 2003. - 576 с.

10. Курс экономической теории. Общие основы экономической теории, микроэкономика, макроэкономика, переходная экономика: Учеб. пособ. / Под. ред. д.э.н., проф. А.В. Сидоровича; МГУ им. М.В. Ломоносова. – 2-е изд., перераб. и доп. – М., 2001.

11. Макконнелл, К.Р. Экономикс: Принципы, проблемы и политика: В 2 т.: Пер. с англ. Т.2 / К.Р. Макконнелл, С.Л. Брю. - М.: Туран, 1996. - 400 с.

12.   Мэнкью, Н.Г. Принципы экономикс: Пер. с англ. - СПб. и др.: Питер: Питер принт, 2003. - 623 с.

13.   Самуэльсон, П., Нордхаус, У. Экономика. 15-е изд. М., 1997. – 595 с.

Похожие работы на - Основные принципы и формы реализации социальной политики, ее влияние на экономику государства

 

Не нашли материал для своей работы?
Поможем написать уникальную работу
Без плагиата!
Без нейросетей!