Економічне вчення Б'юкенена

  • Вид работы:
    Реферат
  • Предмет:
    Экономика отраслей
  • Язык:
    Русский
    ,
    Формат файла:
    MS Word
    389,40 kb
  • Опубликовано:
    2010-10-28
Вы можете узнать стоимость помощи в написании студенческой работы.
Помощь в написании работы, которую точно примут!

Економічне вчення Б'юкенена

Зміст

Вступ

1 Предмет Віргінської школи – аналіз механізму прийняття політичних рішень

2 Концепція організації політичного ринку

3 Економіка бюрократії

Висновок

Список використаних джерел

Вступ


Центр суспільного вибору перетворився в дійсне організаційне ядро так називаної віргінської школи політичної економії.

До її найбільш відомих представників, крім, природно, неодноразово вищезгаданих Б’юкенена і Талока, також відносяться такі відомі американські економісти, як Д. Мюлер, М. Олсон, Ч. Роулі, Р. Толісон. Усі вони належать до "імперіалістичного" напрямкові сучасної економічної думки, для якого характерне застосування методів економічного аналізу до нетрадиційного для економіста сферам дослідження.

Фактично одним з перших "імперіалістів" став Б’юкенен, що здійснив економічний аналіз політичного життя суспільства.

Б’юкенен писав: "Суспільний вибір – це погляд на політику, що виникає внаслідок поширення застосування інструментів і методів економіста на колективні або неринкові рішення". У зв'язку з цим теорія суспільного вибору має сьогодні й іншу назву – нова політична економія.

1 Предмет Віргінської школи – аналіз механізму прийняття політичних рішень


Щораз, коли мова заходить про теорії суспільного вибору, першою справою пригадується ім'я нобелівського лауреата з економіки (1986) Джеймса Мак-Джила Б’юкенена. Цей економіст був у числі перших авторів, що вибрали абсолютно новий напрямок економічного аналізу - неринкові рішення. Перша його стаття на цю тему "Чиста теорія суспільних фінансів: пропонований підхід" була опублікована ще піввіку назад, у 1949 р. (хоча народження теорії суспільного вибору зв'язують з публікацією роком раніш Д. Блеком двох статей про правління більшості). Лише наприкінці 60-х рр. за цим напрямком закріпиться власна назва - теорія суспільного вибору. З 1949 р. Б’юкененом опублікована безліч робіт, тільки їхній повний перелік займає більш 20 сторінок [3, с. 30].

Б’юкенен народився 2 жовтня 1919 р. у США (м. Мерфісборо, штат Теннессі). Економічне утворення одержав у знаменитому навчальному закладі, що є безумовним лідером по числу нобелівських лауреатів в області економіки, - Чикагському університеті. До проблеми суспільного вибору Б’юкенен звернувся вже після присвоєння йому докторського ступеня по економіці в 1948 р. Як пізніше помітив він сам, "тільки у відпустці після захисту дисертації початківець учений може дозволити собі читати усе, що потрапляється під руку, і мій власний досвід не є виключенням". Якби Б’юкенену не потрапилася під руку книга шведського економіста К. Вікселя "Дослідження з теорії фінансів" (1896), то, можливо, цей розділ лекції був би присвячений не йому.

Іншим відомим економістом, що зробив вплив на Б’юкенена, був його університетський викладач Ф. Найт, один із засновників знаменитої чикагської школи економіки, що завжди відстоювала достоїнства ринку і конкуренції і, що виступала проти експансії держави. Цей дух чикагської школи явно присутній у всіх роботах Б’юкенена.

Долі було бажано, щоб подальше дослідження суспільного вибору зосередилося в американському місті Шарлотсвілі (штат Віргінія). У 1963 р. Б’юкенен і Талок організували там першу конференцію економістів, що вибрали політичні рішення і державні інститути об'єктом свого аналізу. Статті і матеріали конференцій спочатку виходили за назвою "Записки про прийняття неринкових відносин" ("Papers on non-market decision making"). А в 1969 р. Б’юкененом і Талоком був створений Центр вивчення суспільного вибору, що аж до 1982 р. знаходився у Віргінському політехнічному інституті. В даний час це Центр вивчення суспільного вибору при Університеті Дж. Месона (м. Фейрфакс, штат Віргінія) [6, с. 52].

Інша конференція пройшла в Чикаго в 1967 р. На цій конференції було організоване Суспільство суспільного вибору і було прийняте рішення четвертий тім "Записок" опублікувати з новим заголовком - "Суспільний вибір" ("Public choice"), а надалі видавати журнал з такою же назвою. Так з'явився найвідоміший журнал, що у 1993 р. (до його 25-річчю) виписували близько 1000 бібліотек в усім світі. Помітимо, що своєю популярністю журнал багато в чому зобов'язаний регулярним публікаціям статей Б’юкенена. Починаючи з 1990 р. Центр став видавати другий журнал - "Конституційна політична економія" ("Constitutional political economy").

Центр суспільного вибору перетворився в дійсне організаційне ядро так називаної віргінської школи політичної економії. До її найбільш відомих представників, крім, природно, неодноразово вищезгаданих Б’юкенена і Талока, також відносяться такі відомі американські економісти, як Д. Мюлер, М. Олсон, Ч. Роулі, Р. Толісон. Усі вони належать до "імперіалістичного" напрямкові сучасної економічної думки, для якого характерне застосування методів економічного аналізу до нетрадиційного для економіста сферам дослідження. Фактично одним з перших "імперіалістів" став Б’юкенен, що здійснив економічний аналіз політичного життя суспільства. Б’юкенен писав: "Суспільний вибір - це погляд на політику, що виникає внаслідок поширення застосування інструментів і методів економіста на колективні або неринкові рішення". У зв'язку з цим теорія суспільного вибору має сьогодні й іншу назву - нова політична економія [4, с. 84].

Відповідно до представлень Дж. Б’юкенена, ця нова дисципліна будується на двох основних методологічних постулатах. Перший полягає в тому, що індивід дбає лише про свої власні інтереси (тобто є homo oeconomicus); другий - це трактування політичного процесу, за допомогою якого індивіди реалізують свої інтереси як різновиду обміну.

Однак постулатові індивідуалізму приділяється головне місце. "Першим і найбільш важливим припущенням, що забезпечує підстава для будь-якої щирої теорії демократії, є те, що поміщає джерела цінності винятково в самих індивідів". Політичні й інші інститути оцінюються відповідно до того, наскільки добре вони дозволяють індивідам переслідувати власні інтереси. Індивідуалізм, обраний Б’юкененом як передумову аналізу, саме і дозволяє осмислити політичний процес як взаємовигідний обмін. Ідеалом є встановлення таких суспільних інститутів, що, подібно конкурентному ринкові, дозволять пренаступні індивідуальні інтереси одночасно забезпечувати і суспільні інтереси.

Помітимо, що саме ці методологічні основи економічного аналізу політичного процесу й утримувалися в роботі Вікселя. Як писав Б’юкенен, "Віксель заслуговує загального визнання як основоположник сучасної теорії суспільного вибору, оскільки в його дисертації 1896 р. були присутні три найважливіших елементи, на яких базується ця теорія: методологічний індивідуалізм, концепція "людини економічного" (homo oeconomicus) і концепція політики як обміну".

Що є інтересами індивідів у суспільному виборі? Відповідь Б’юкенена на це питання багато в чому збігається з традиційним: суспільні блага і приватні блага з зовнішніми ефектами, постачання яких через ринок приводять до худшого результату, чим їхнього постачання за допомогою того або іншого політичного процесу. Однак Б’юкенен схильний розглядати держава в першу чергу як засіб реалізації суспільної згоди, вироблення правил, що забезпечують соціальна взаємодія з вигодою для кожного, а не як простого постачальника суспільних благ і коректора провалів ринку. У цьому виявляється той факт, що на відміну від багатьох колег по вивченню суспільного вибору він приділяє більше увагу нормативному аналізові держави [5, с. 83].

Другий постулат (підхід до політики як взаємовигідному обмінові) не означає відсутності принципових відмінностей між політичним ринком і ринком приватних благ. На останньому вигоди від обміну з ростом числа учасників розподіляються усі з меншими витратами на торгівлю з приводу пропорцій розподілу цих вигод. Якщо у випадку двосторонньої монополії договірний процес по розділі цих вигод віднімає багато часу і сил, то на зовсім конкурентному ринку індивіди просто приймають ціни ринку як дані. Друга важлива властивість ринку приватних благ полягає в тім, що ринок тим ефективніше, чим вище рівень конкуренції, тобто чим більше число його учасників.

На відміну від ринків приватних благ політичний ринок, де рішення приймаються колективно, стає усе менш ефективним з ростом числа учасників. Так, політичне рішення може бути ефективним, якщо проти нього ніхто не стане заперечувати. Адже угоди на ринку приватних благ завжди є сугубо добровільне діяння, здійснюване неодмінно при "одноголосності" сторін. Це означає, що і політичне рішення, якщо воно претендує на ефективний результат, повинне прийматися одноголосно. Якщо ж число учасників угод на політичному ринку збільшується, то імовірність єдності скорочується практично до нуля, так само як і можливість установлення ефективного стану. До цього ж веде і підвищення мобільності населення, у той час як на ринках приватних благ воно підсилює конкуренцію і наближає них до ефективного стану.

Б’юкенен підкреслює й інші розходження між політичним ринком і ринком приватних благ. На першому люди менше уваги приділяють "якості" вибору. Це зв'язано з тим, що при покупці продукту на приватному ринку людина одержує його напевно, а при голосуванні за кандидата, що обіцяє, допустимо, будівництво моста, міст не гарантований навіть у випадку перемоги цього кандидата на виборах. Ринок приватних благ має значно більш високу здатність до "точного настроювання", - людина може вибирати між численними різновидами одного блага, купувати різні блага в найрізноманітніших варіаціях одночасно. Політичний вибір же здійснюється з малого набору взаємовиключних альтернатив [1, с. 89].

Перераховані переваги ринку приватних благ і недоліки політичного ринку і визначають схильність Б’юкенена віддавати пальму першості приватному ринкові перед державою скрізь, де це можливо. Однак як бути там, де приватний ринок не працює або працює вкрай неефективно і потрібні колективні рішення?

Б’юкенен запропонував своє бачення рішення цієї проблеми, що одержала пізніше назва "конституційної економіки". Для того щоб політичний механізм став по своїй ефективності подобою ринку зробленої конкуренції, всі індивіди повинні бути, по-перше, учасниками того самого контракту, і, по-друге, як уже відзначалося, цей контракт повинний бути укладений ними одноголосно. Цей контракт (суспільний договір) і був визначений як конституція.

Ця ідея одноголосності колективного рішення також була присутня у Вікселя. Оскільки Віксель розумів, що існують витрати досягнення одноголосного рішення, він пропонував приймати рішення кваліфікованою більшістю, що складає 90 % голосів. Однак, як тільки ми відходимо від одноголосності, відразу ж виникають дві проблеми. По-перше, політичне рішення свідомо буде не ефективним, тому що деякі члени співтовариства будуть змушені діяти усупереч своїм інтересам; по-друге, виникає свого роду "нескінченна регресія" (нескінченне повернення в колишній стан) при визначенні правил голосування. За якими правилами встановлювати правила голосування? Хто, як і чому визначає, що, наприклад, 90 % голосів досить для твердження рішення?

У чому, по Б’юкенену, переваги одноголосності? По-перше, відразу ж усувається "нескінченна регресія". По-друге, права кожного окремого індивіда безумовно дотримуються. Якщо згодом індивід не буде погоджуватися з рішеннями співтовариства, прийнятими відповідно до конституції, то він принаймні згодний із правилами, на основі яких приймаються ці рішення. По-третє, на конституційній стадії кожен індивід перебуває в стані невизначеності щодо своєї позиції в майбутньому (тобто спостерігається пряма аналогія з роулсіанською "вуаллю неведення") і в силу цього така конституція не буде виключати перерозподіл доходів, тому що заможний сьогодні індивід не знає, що чекає його (або його дітей) через багато років. І нарешті, по-четверте, справедливість забезпечує згода всіх індивідів випливати її положенням і правилам на пост конституційної стадії. Ця згода підкріплюється і її договірною природою, - кожен індивід, що добровільно уклав конституційний договір, розглядає набір правил, що утримується в ній, як найкращий з можливих. Якщо ж згода в суспільстві щодо конституції валиться, то такому суспільству грозить анархія. Страх перед нею теж вносить свій внесок у рішення індивіда додержуватися конституційних правил [2, с. 99].

Б’юкенен проводить принципове розходження між двома стадіями політичного процесу: виробленням правил і грою за цими правилами, конституційної і пост конституційної стадіями. Відповідно до двох стадій розділяються і ролі держави. "Держава захищаюче" забезпечує гру за конституційними правилами, але не визначає самі ці правила (діє подібно футбольному судді), "держава виробляюче" поставляє суспільству неринкові блага - блага, що приватним ринкам забезпечують погано або не забезпечують зовсім.

Ідеальний суспільний пристрій, по Б’юкенену, будується на принципах контракціонізму. Вони містять у собі наступні.

1. Рівний підхід до всіх індивідів на конституційній стадії, при цьому правило одноголосності служить для захисту індивідуальних прав і тим самим гарантує, що втілювані в конституції правила й інститути також будуть відноситися до індивідів неупереджено, як до рівного.

2. Дії на другій стадії політичного процесу ефективно обмежені правилами, виробленими на першій, конституційній стадії, і це справедливо не тільки для окремих громадян, але і для обраних представників, бюрократії і юристів, що відправляють правосуддя.

3. Принципове розходження між діями, початими в рамках конституційних правил, і змінами самих цих правил. Останні мають місце тільки на конституційній стадії й в ідеалі побудовані на принципі одноголосності.

На думку Б’юкенена, у тім ступені, у який країна відповідає цим трьом критеріям, вона може вважатися конституційною демократією, чиї інститути мають властивими контракціонізму нормативні властивості.

Як же Б’юкенен співвідносить свою ідеальну модель з існуючою реальністю? Він думає, що кожна демократична країна має своє якесь "конституційне статус кво" (будь це формальна конституція, як у США, або неформальна, як у Великобританії). Потім кожен індивід порівнює цей статус кво з тією ідеальною конституцією, що він може собі уявити як продукт одноголосного рішення всіх громадян у випадку, якби голосування відбулося сьогодні. Якщо розривши між реальною конституцією й ідеальної не настільки великий, то індивід знайде, що в його інтересах дотримувати діючої конституції. Згідно Б’юкенену, кожен громадянин повинний запитати себе не просто про те, гарна існуюча чи конституція ні, а про те, чи може краща конституція бути отримана з витратами меншими, чим потенційні вигоди від неї?

Позиція Б’юкенена може бути охарактеризована одночасно і як консервативна (захищаюча існуючий порядок) і як революційна. "Конституційна революція", відповідно до нього, може бути виправдана, якщо існуючі правила настільки віддаляться від тих, котрі могли б бути обрані сьогодні суспільством, що витрати прийняття нової конституції менше, ніж витрати від триваючого проходження застарілим правилам.

У своїх роботах Б’юкенен відзначає необхідність такої "конституційної революції" у США. Зрозуміло, що, виходячи з реальних умов, пропонується не референдум по новій конституції на основі принципу одноголосності, а виправлення до діючої конституції відповідно до існуючого порядку. Серед ряду пропонованих виправлень особлива увага залучає пропозиція конституційного закріплення збалансованого (бездефіцитного) державного бюджету. Б’юкенен виходить з передумови, відповідно до якої політик боре за голоси, пропонуючи виборцям пакети мір "витрати-податки". Допускається, що виборці страждають так називаною фіскальною ілюзією. У результаті політики виграють голосу шляхом обіцянки збільшити витрати і знизити податки, при цьому недостача засобів у бюджеті покривається випуском облігацій або грошовою емісією. Загублене "почуття фіскальної відповідальності" у політиків і пропонується компенсувати відповідним виправленням до конституції. Крім того, пропонується ввести конституційні обмеження і на повноваження влади в області грошової політики.

Б’юкенен - принциповий супротивник політики, що допускає бюджетний дефіцит в ім'я підтримки ділової активності і зайнятості. Він думає, що бюджет держави не повинний нічим відрізнятися від бюджету домогосподарства, тобто завжди залишатися збалансованим. Економічне значення конституційних виправлень Б’юкенена читач повною мірою зможе оцінити тільки після вивчення курсу макроекономіки, що почнеться в наступному випуску "ЕШ" [1, с. 92].

У США пропоновану Б’юкененом конституційне виправлення про бездефіцитний бюджет підтримує республіканська партія. Кілька років назад вона починала кампанію по внесенню її в конституцію країни, але в конгресі їй не вистачило для цього деяких голосів. Однак ідеї бездефіцитного бюджету настільки міцно заволоділи суспільною думкою в США (не без впливу віргінської школи політекономії), що демократична адміністрація Клінтона реалізувала бездефіцитний бюджет на практиці. Більш того, на найближчі 10 років очікується сукупне позитивне сальдо федерального бюджету в 660 млрд дол.

Б’юкенен багато писав про погрозу неконтрольованого росту держави, експропріації їм прав індивідів, погрозі, що у сучасній економічній літературі прийнято називати "погрозою Левіафана". Він показав, що "демократія без оковів" веде до розповзання держави. Держава виробляюче нарощує бюджети. Тут виникає свого роду кумулятивний ефект: більше бюджети - більше працівників державних органів - більше виборців, що голосують за розширення урядових програм. Держава захищаюче, котре, по ідеї, повинне лише забезпечувати індивідуальні права, зафіксовані в конституційному договорі, бере на себе усе більше повноважень, що повинні визначатися винятково на основі договору між індивідами, змінює самі конституційні норми, тобто змінює базову структуру прав без згоди на те громадян. Конституція, по Б’юкенену, повинна ефективно обмежити державу, поставити його у тверді рамки, створити свого роду "клітку для Левіафана" і тим самим гарантувати суверенітет кожного індивіда [6, с. 45].

В одній зі своїх робіт Б’юкенен у лаконічній формі виразив своє кредо так: "По своїх фундаментальних переконаннях я залишаюся індивідуалістом, конституціоналістом, контракціоністом, демократом (усі ці слова, власне кажучи, означають для мене те саме), а професійно я - економіст".

2 Концепція організації політичного ринку


Неупереджений аналіз функціонуючих економічних систем дає усі підстави стверджувати, що існуючі економічні системи за своїми формальними ознаками є змішаними. Немає чистих економічних форм (ні суто ринкових, ні суто бюджетних (неринкових)). У найрозвиненіших країнах світу приблизно 4/5 національного продукту забезпечує ринок, а 1/5 виробляється за допомогою урядового фінансування.

Окрім фінансування, уряд через перерозподільчі процеси здійснює програми соціального страхування та соціального забезпечення.

Але економічна роль уряду далеко не обмежується зазначеними функціями. Він багато робить для збереження довкілля, охорони здоров'я та праці, захисту споживачів від недоброякісних продуктів і т. ін. Не беручи на себе зобов'язання перерахувати, а тим паче ґрунтовно аналізувати всі функції, які має виконувати уряд, звернемо увагу на ті з них, які мають найважливіше значення для здійснення власне макроекономічної політики.

Держава має виконувати такі головні економічні функції:

- законодавче забезпечення функціонування ринкової та бюджетної систем;

- захист конкурентного середовища;

- перерозподіл національного доходу та багатства;

- вплив на перерозподіл ресурсів із метою зміни структури національного виробництва і продукту;

- контроль рівня зайнятості та інфляції;

- стимулювання економічного зростання.

Економічні функції держави реалізуються через її економічну політику.

Економічна політика — це система макроекономічних цілей та засобів і методів їх досягнення.

До цієї теми ми розглядали моделі, які пояснювали макроекономічну ситуацію в країні. У цьому розділі ми проаналізуємо моделі прийняття управлінських рішень.

У найзагальнішому вигляді модель прийняття управлінських рішень можна подати у такому вигляді:

Yt = f(h, ..., Ij),

де У; — цільова функція;

Ij — інструмент (засоби) досягнення цілей.

У конкретнішому вигляді управлінська модель має ще один важливий блок — блок ринкових змінних.

Ринкові змінні — це проміжні процеси і явища між ] цілями та засобами їх реалізації.

Наприклад, впливаючи за допомогою монетарної політики на рівень інфляції, на реалізацію мети вплине не тільки зміна грошової маси (ДМ), а й зміни обсягу виробництва (Дф), інфляційні очікування (ре), швидкість руху грошей (V) і т. ін.

Як правило, інструменти впливають на мету не безпосередньо, а опосередковано, через ринкові змінні. У зв'язку з цим функція прийняття управлінських рішень набуває вигляду:

Yi = f(Ilf ..., Ij, ль .-, nk),

де n.ft — ринкові змінні.

В управлінських моделях мета (ціль) завжди наперед задана величина. Мета — це певний результат, якого уряд прагне досягти внаслідок економічної політики. Прикладом цілей макроекономічної політики можуть бути досягнення певного обсягу національного виробництва, пониження рівня інфляції, забезпечення повної зайнятості, пониження процента дефіциту державного бюджету, темпу економічного зростання тощо [4, с. 66].

Інструментом (засобом) досягнення мети є ті дії, за допомогою яких можна цю мету реалізувати. Найважливішими структурними елементами макроекономічної політики є такі складові:

- бюджетно-податкова (фіскальна);

- грошово-кредитна;

- зовнішньоекономічна;

- соціальна (політика доходів).

Водночас кожна складова макроекономічної політики має свою структуру щодо інструментів (засобів) впливу.

Наприклад, фіскальна політика використовує такі інструменти:

·   податкові ставки;

·   податкові пільги;

·   база оподаткування;

·   режим оподаткування;

·   структура витрат;

·   розподіл податкових надходжень за рівнями бюджетів;

·   балансування бюджетів і т. ін.

·   Інструментами грошово-кредитної політики є:

·   норма обов'язкових банківських резервів;

·   норми міжбанківських кредитів;

·   норма процента за державними облігаціями, терміни їх випуску і погашення;

·   норма облікової процентної ставки тощо.

Інструментами зовнішньоекономічної політики є:

·   зміни у валютному курсі;

·   пільги для працюючих на експорт;

·   митна політика;

·   квотування і т. ін.

Інструментами соціальної політики є:

·   диференціація при оподаткуванні доходів;

·   обов'язкове державне страхування на випадок безробіття;

·   соціальне страхування втрати працездатності;

·   пенсійне страхування;

·   різні види соціальної допомоги і т. ін.

Зрозуміло, що не будь-який інструмент придатний для реалізації будь-якої мети. Наприклад, засоби фіскальної політики застосовують для:

·   стимулювання (обмеження) обсягів виробництва;

·   стимулювання (обмеження) сукупного попиту;

·   подолання диспропорцій в економіці;

·   впливу на рівень зайнятості;

·   перерозподілу доходів і т. ін.

За допомогою грошово-кредитної політики впливають:

·   на зміну сукупного попиту та сукупної пропозиції;

·   схильність до інвестиційної діяльності тощо.

Використання інструментів зовнішньоекономічної політики сприяє розширенню (обмеженню) експортних можливостей держави.

Соціальна політика через властиві їй засоби впливу здійснює перерозподіл доходів, обмежує безробіття, забезпечуючи необхідний рівень споживання у суспільстві.

Економічну політику можна здійснювати за допомогою економічних (як зазначено вище) та адміністративних засобів.

До адміністративних інструментів належать:

·   законодавча та економічна діяльність держави;

·   прогнозування та індикативне планування економічних процесів, обсягів виробництва, цін і т. ін.;

·   прямий державний контроль над монопольними ринками;

·   розробка державних норм та стандартів;

·   ліцензування;

·   квотування;

·   консервування частини природних ресурсів тощо.

Розглядаючи взаємозв'язок економічних та адміністративних засобів впливу на економіку слід зазначити, що практично жоден економічний інструмент не може працювати без адміністрування. І цим визначається значущість адміністративних інструментів. Але вказаного не досить, щоб зрозуміти важливість адміністрування для здійснення економічної політики. Там, де фактор часу є визначальним, дієвіших засобів, ніж адміністративні, немає. Важливим є і те, що адміністративні неефективні рішення можна швидше скасувати і припинити їх дію. Припинення дії економічних засобів вимагає більше часу і включає в себе ефект мультиплікації негативних ефектів. Важливо зазначити також, що для здійснення макроекономічної політики потрібно врахувати мультиплікативні ефекти у найрізноманітніших виявах. Конкретне їх застосування розглянуто в темах "Фіскальна політика", "Грошово-кредитна політика" та "Зовнішньоекономічна політика держави".

3 Економіка бюрократії


Роберт Манделл стверджував, що в реальній діяльності різні інструменти економічної політики знаходяться, як правило, під контролем різних урядових органів. Наприклад, фіскальна політика може знаходитись у компетенції уряду, а грошова — центрального банку.

Р. Манделл довів, що ефективність економічної політики значною мірою визначається тим, наскільки правильно підібрано інструменти для дослідження цілей.

У наведеному прикладі "випуск — інфляція" грошова політика впливає на інфляцію сильніше ніж фіскальна.

У такій ситуації органи, що здійснюють фіскальну політику, повинні регулювати обсяг випуску, а центральний банк, який здійснює грошову політику, повинен відповідати за рівень інфляції. За правилом Р. Манделла, орган, що регулює рівень інфляції, має зменшувати грошову масу (М), якщо рівень інфляції перевищує цільовий показник, і збільшувати, якщо рівень інфляції нижче цільового показника [5, с. 85].

Органи, що відповідають за здійснення фіскальної політики, повинні збільшувати державні витрати (G), якщо обсяг випуску (Q) менший за цільовий показник, і, навпаки, зменшувати G, якщо обсяг випуску перевищує цільовий показник. Такі правила поведінки органів державного управління забезпечать наближення змінних М та G до оптимального рівня.

Якби органи, що здійснюють фіскальну політику, намагались подолати інфляцію, а органи, що здійснюють грошову політику, намагались стабілізувати обсяг випуску, ні обсяг грошової маси, ні державні витрати не досягли б оптимального рівня.

Ми розглянули ситуації, за яких кількість інструментів економічної політики дорівнює кількості цілей. Але в економіці може мати місце і ситуація, за якої засобів реалізації цілей буде менше, ніж зазначених політикою цілей.

До того ж уряд повинен здійснити визначення функції соціальних втрат.

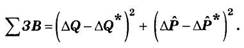
Функція соціальних втрат визначається на макрорівні як функція, що мінімізує втрати. Розглянемо її стосовно нашого прикладу. Нехай втрати суспільства прямо пропорційні квадрату відхилення цільового показника від його оптимального рівня. Це означає, що якщо відхилення зросте вдвічі, то втрати суспільства зростуть в чотири рази. Отже, якщо AQ відхилиться від AQ*, то втрати дорівнюють (AQ - AQ*)2. Якщо ж АР відхиляється від АР*, то втрати дорівнюють (АР - АР*)2. Загальні ж втрати (ЗВ) будуть дорівнювати сумі квадратів відхилень від бажаних значень цільових показників, тобто


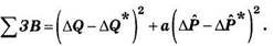
У найзагальнішому вигляді втрати, пов'язані з неможливістю водночас реалізувати дві цілі, мають різну питому вагу. Наприклад:

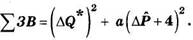
Якщо ао > 1, то досягнення бажаного рівня інфляції є важливішим, ніж досягнення бажаного рівня виробництва. Якщо ао < 1, то важливим є завдання підтримання бажаного обсягу виробництва. Так, приміром, у нашому прикладі, головна мета — знизити рівень інфляції до 0 і забезпечити незмінний обсяг виробництва (AQ = 0). Тоді функція втрат за умови, що по = 1, має вигляд:


Функція втрат є протилежною до функції корисності. Вона теж може бути зображена кривими байдужості (рис. 2).

Рис. 2. Функція соціальних втрат

На рис. 2 показано, що в точці С, де AQ = O, а АР = -4 , втрати суспільства дорівнюють нулю. Точка нульових втрат найбажаніша для суспільства. Точка С є центром для концентричних кіл, що показують різну величину суспільних втрат, пов'язаних з різним радіусом віддалення від цієї точки. Чим більші втрати, тим більшим буде радіус концентричного кола, описаного з найпривабливішої точки С як центра.

Отже, карта кривих байдужості представлена на рис. 2 є множиною концентричних кіл. Центр цих кіл — точка досягнення цілей, визначених економічною політикою. Чим далі віддалене коло від центра, тим більша різниця між фактичними цільовими показниками і їх бажаним значення, тим більші втрати суспільства, пов'язані з цими відхиленнями.

Так, Ro< Ri < R2, а тому загальні суспільні втрати найменші за Ro, а найбільші — за R2. Тому завданням економічної політики є досягнення кривої байдужості, розташованої найближче до точки беззбитковості (С).

Оптимальне політичне рішення зобразимо на рис. 3, ввівши до карти кривих байдужості бюджетне обмеження, яке позначимо прямою ВВ. Ця пряма показує межу багатьох допустимих значень інфляції і випуску.

Із рівняння (9а) випливає обмеження, згідно з яким зміни інфляції та випуску мають знаходитись вище прямої ВВ. Рівновага матиме місце в точці дотику прямої ВВ до кривої байдужості, розташованої найближче до центра (С) рис. 3.

Рис. 3. Рівновага в точці дотику кривої байдужості та прямої обмеження

Як показує рис. 3, в точці Е випуск скорочується (AQ < 0), а інфляція скоротиться менше ніж на 4 %, тобто вона не досягне загальнопланового нульового рівня. Це означає, що в цьому випадку суперечність між двома цілями через неможливість їх одночасної реалізації, з причини недостатності засобів (інструментів), спричиняє певні втрати обсягу випуску заради зменшення рівня інфляції.

Якби політики вирішили повністю реалізувати ціль, пов'язану з подоланням інфляції, то, як зрозуміло із рис. 3, економіка понесла б значно більші втрати обсягу випуску, які досягли б рівня AQ, що значно б збільшило загальні соціальні втрати.

Цей приклад показує важливість компромісів у економічній політиці.

 


Висновок


На основі сказаного можна зробити такі висновки:

по-перше, суспільство може мати досить багато цілей, але вони не мають висуватись водночас як цілі економічної політики;

по-друге, між цілями існує певна субординація, адже є цілі, які суперечать одна одній, або мають один інструмент реалізації і тому не можуть досягти свого оптимуму за одночасної реалізації;

по-третє, чітке розмежування функцій між ринком і державою зменшує кількість цілей державної політики, що, навіть за незмінної кількості інструментів, полегшує їх реалізацію;

по-четверте, при здійсненні економічної політики суперечливо впливають на цілі й самі інструменти.

Наприклад, держава має за мету досягти збільшення обсягу виробництва на AQ. Для цього з урахуванням мультиплікатора держава збільшує державні витрати (AG), завдяки чому зростає сукупний попит (AD), а також обсяг виробництва (Q) і доходу (У). Але разом з тим, збільшуючи державні витрати (G), держава мусить збільшити податки (Г), що зменшить споживчий попит домогосподарств (С) та інвестиційний попит підприємницького сектору (J), а отже, зменшить і сукупний попит (AD), обсяг виробництва (Q) і доходу (Y). Отже, теорія і практика здійснення економічної політики складні, суперечливі і потребують глибоких знань, виваженості та постійної готовності до змін.

Список використаних джерел


1. Базилевич В.Д., Попов В.М., Базилевич К.С., Гражевська Н.І. Економічна теорія: політекономія. — К.: Знання-Прес, 2008. — 719 с.

2. Білик В.О., Саблук П.Т. Економічна теорія. — К.: ННЦ ІАЕ, 2004. — 560 с.

3. Галушка З. ., Комарницький І.Ф., Нікіфоров П.О. Економічна теорія. — Чернівці: Рута, 2007. — 300с.

4. Гальчинський А.С., Єщенко П.С. Економічна теорія. — К.: Вища школа, 2007. — 503c.

5. Мочерний С.В. Економічна теорія. — К.: Видавничий центр "Академія", 2008. — 640 с.

6. Чистякова В.М., Литвинова О.Н., Коломийчук В.С. Економічна теорія: 100 основних питань: експрес-довідник. — Т.: ТДМУ "Укрмедкнига", 2008. — 128c.

Похожие работы на - Економічне вчення Б'юкенена

 

Не нашли материал для своей работы?
Поможем написать уникальную работу
Без плагиата!
Без нейросетей!