Динамика показателей объема продукции и производства. Методы анализа производительности труда

  • Вид работы:
    Контрольная работа
  • Предмет:
    Экономика отраслей
  • Язык:
    Русский
    ,
    Формат файла:
    MS Word
    99,80 kb
  • Опубликовано:
    2010-11-05
Вы можете узнать стоимость помощи в написании студенческой работы.
Помощь в написании работы, которую точно примут!

Динамика показателей объема продукции и производства. Методы анализа производительности труда

Задание 1. Анализ влияния структурных сдвигов на динамику показателей объема продукции и объема производства


Порядок выполнения работы:

Рассчитать индексы постоянного состава, переменного состава и структурных сдвигов (согласно варианту).

Используя графические методы (столбиковые, полосовые, секторные диаграммы) изобразить структуру объема производства (продукции) в стоимостном выражении за сравниваемые периоды.

Сделать выводы по работе.

Таблица 1.1 - Данные об объеме выпуска и цене в базисном и отчетном периодах

Продукция

Базисный период

Отчетный период

Выработано, шт

Цена за 1 шт., руб

Выработано, шт

Цена за 1 шт., руб

А

3000

50

4000

45

Б

4500

12

4500

11

В

8000

30

7000

28

Г

900

65

950

67


1) Рассчитаем индекс цены переменного состава по формуле:

 (1.1)

Индекс переменного состава характеризует:

Изменение объема продукции в натуральном выражении, q.

Изменение цены на продукцию, p (что делает продукцию более или менее выгодной при выполнении плана).

Под влиянием изменения индивидуальных цен и структурных сдвигов в производстве данных изделий средняя цена уменьшилась на 2,95%.

2) Индекс себестоимости фиксированного состава:

 (1.2)

Индекс постоянного (фиксированного) состава характеризует изменение объема товарооборота продукции за счет изменения цен.

 или 93,04%

т.е. под влиянием изменения индивидуальных цен средняя цена снизилась на 6,96%.

Этот, казалось бы, противоречивый результат получился из-за структурных сдвигов.

3) Индекс структуры:

Это значит, что вследствие изменения структуры произведенной продукции цена увеличилась на 4,3%.

4) На рисунках 1.1 и 1.2 отражено изменение количества и цены выработанной продукции в базисном и отчетном периодах.

Рисунок 1.1 - Изменение количества выработанной продукции

Рисунок 1.2 - Изменение цены выработанной продукции

Задание 2. Корреляционно-регрессионный анализ производительности труда


Порядок выполнения работы:

Построить вспомогательную таблицу значений у, х1, х2, у2, х12, х22, ух1, ух2; х1х2.

Рассчитать парные коэффициенты корреляции ryx1, ryx2, rх1x2

Рассчитать коэффициент множественной корреляции R.

Определить коэффициент множественной детерминации R2.

Рассчитать параметры a0; a1; a2 для построения уравнения регрессии.

Построить уравнение регрессии yx =a0 + a1 x1 + a2x2

Сделать выводы по работе.

Таблица 2.1 - Данные о среднем проценте выполнения плана, возрасте и стаже работы по профессии работниц

Табельный

номер работницы

Средний процент

выполнения нормы выработки yx

Возраст, лет

x1

Стаж работы

по профессии, лет

x2

1

103,4

24

10

2

100,3

24

10

3

106,1

28

13

4

108,7

35

15

5

106,6

27

3

6

105,4

27

3

7

105,4

20

3

8

104,5

34

16

Всего

840,4

219

73

1) Построим вспомогательную таблицу значений у, х1, х2, у2, х12, х22, ух1, ух2,x1x2

Таблица 2.2 - Данные для расчета коэффициентов регрессии

yx

x1

x2

yx2

х12

x22

x1x2

yx1

yx2

уx1x2

103,4

24

10

10691,56

576

100

240

2481,6

1034,0

24816

100,3

24

10

10060,09

576

100

240

2407,2

1003,0

24072

106,1

28

13

11257,21

784

169

364

2970,8

1379,3

38620,4

108,7

35

15

11815,69

1225

225

525

3804,5

1630,5

57067,5

106,6

27

3

11363,56

729

9

81

2878,2

319,8

8634,6

105,4

27

3

11109,16

729

9

81

2845,8

316,2

8537,4

105,4

20

3

11109,16

400

9

60

2108,0

316,2

6324

104,5

34

16

10920,25

1156

256

544

3553,0

1672,0

56848

840,4

219

73

88326,68

6175

877

2135

23049,1

7671,0

224919,9


2) Рассчитаем парные коэффициенты корреляции ryx1, ryx2, rх1x2 по формуле:

 (2.1)

где п - количество данных, п = 8.

Значение этого коэффициента изменяется от -1 до +1. отрицательное значение коэффициента корреляции свидетельствует о том, что связь обратная, положительное - связь прямая.

Связь является тем более тесной и близкой к функциональной, чем ближе значение коэффициента к 1.

rх1 =  =  =  = 0,4926

r х2 = =  =  = 0,0248

r x1x2 =  =  = 0,1894

Вывод: полученные коэффициенты находятся в пределах (-1; +1). Это значит, что между производительностью труда у и возрастом работниц х1 (0,4926) наблюдается слабая связь (прямая (>0), линейная); между производительностью труда у и стажем работы по профессии работниц x2 (0,0248) связь очень слабая - практически отсутствует (прямая (>0), линейная). Связь обоих этих факторов между собой незначительна (0,1894), ее можно охарактеризовать - прямая, линейная. Согласно произведенным расчетам на производительность труда наибольшее влияние оказывает возраст работниц.

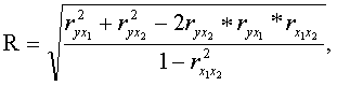
3) Рассчитаем коэффициент множественной корреляции по формуле:

 (2.2)

где r - линейные (парные) коэффициенты корреляции.

Значение этого коэффициента может изменяться от 0 до 1.

R = =  = 0,4975

Видим, что связь между исследуемыми величинами тесная.

4) Рассчитаем коэффициент множественной детерминации R2, который показывает, какая доля вариации изучаемого показателя обуславливается линейным влиянием учтенных факторов. Значения коэффициента находятся в переделах от 0 до 1. Чем ближе R2 к 1, тем большим является влияние отобранных факторов на результирующий признак.

R2 = 0,2475

Вывод: рассчитанный коэффициент множественной детерминации показывает, что влияние на производительность труда у возраста работниц х1 и стажа их работы по профессии x2 незначительно.

5) Рассчитаем параметры a0; a1; a2 для построения уравнения регрессии.

Зависимость среднего процента выполнения нормы выработки от возраста и стажа работы по профессии можно выразить формулой:

 

yx =a0 + a1 x1 + a2x2 (2.3)

где yx - расчетные значения результирующего признака - средний процент нормы выработки;

x1 и x2 - факторные признаки:

х1 - возраст, лет; х2 - стаж работы по профессии, лет;

a0; a1; a2 - параметры уравнения.

Для нахождения параметров уравнения a0; a1; a2 строится система нормальных уравнений:

 

na0 + a1 Σ x1 + a2 Σ x2 = Σy

a0 Σ x1 + a1 Σ x12 + a2 Σ x1x2 = Σyx1 (2.4)

a0 Σ x2 + a1 Σ x1x2 + a2 Σ x22 = Σyx2

Из таблицы 2.1 Σ x1 = 219, Σ x2 = 73, Σy = 840,4

Расчеты представим в таблице 2.2

Таблица 2.2

х12

x1x2

yx1

x22

yx2

576

240

2481,6

100

1034,0

576

240

2407,2

100

1003,0

784

364

2970,8

169

1379,3

1225

525

3804,5

225

1630,5

729

81

2878,2

9

319,8

729

81

2845,8

9

316,2

400

60

2108,0

9

316,2

1156

544

3553,0

256

1672,0

Σ x12=6175

Σ x1x2= 2135

Σyx1 = 23049,1

Σ x22= 877

Σyx2= 7671,0


Система уравнений принимает вид:

0 + 219 а1 + 73 а2 = 840,4

219 а0 + 6175 а1 + 2135 а2 = 23049,1

73 а0 + 2135 а1 + 877 а2 = 7671,0

Чтобы вычислить значения a0; a1; a2 выполняем арифметические действия:

Сократим каждое уравнение на коэффициент при а0;

а0 + 27,3750 а1 + 9,1250 а2 = 105,0500

а0 + 28, 1963 а1 + 9,7488 а2 = 105, 2073

а0 + 29,2465 а1 + 12,0136 а2 = 105,0835

Произведем вычитания

(2 уравнение - 1 уравнение) и

(3 уравнение - 2 уравнение).

В результате получим систему двух нормальных уравнений с неизвестными а1 и а2.

 

0,8213 а1 + 0,6238 а2 = 0,1573

1,0502 а1 + 2,2648 а2 = - 0,1238

При решении новой системы получим:

a2 = 1,8693

a1 = - 1,2282

a0 = 121,6146

Уравнение примет вид:

У = 121,615 - 1,228 x1 + 1,869 x2

Коэффициенты регрессии дают ответ о том, как изменяется производительность труда при изменении возраста работниц на 1 год (a1= - 1,228) и стажа их работы также на 1 год (a2= 1,869).

При этом следует учитывать, что влияние данных факторов (возраста и стажа работы по профессии) на производительность труда невелико. Это говорит о том, что данная работа не является сложной.

Задание 3. Выявление тренда в динамических рядах

Порядок выполнения работы:

Рассчитать средние уровни ряда

Рассчитать общую среднюю.

Рассчитать индексы сезонности.

Построить на графике кривую сезонных колебаний.

Сделать выводы.

Таблица 3.1 - Данные об объеме выпуска продукции за три года

Месяцы

Годы

1

2

3

Январь

7,4

7,8

8,3

Февраль

7,9

8,3

8,6

Март

8,7

9,2

9,7

Апрель

8,2

8,6

9,1

Май

7,9

8,3

8,8

8,2

8,7

9,1

Июль

8,3

8,8

9,3

Август

8,8

9,3

9,9

Сентябрь

8,7

8,9

9,3

Октябрь

8,8

8,2

9,9

Ноябрь

8,3

8,8

9,8

Декабрь

9,0

9,5

9,3


1) Рассчитаем средние уровни ряда. Вычислим и средние уровни за год и средние уровни за месяц. Средние уровни вычисляем путем сложения всех показателей и деления суммы на количество этих показателей. Например, средняя за январь

(7,4 + 7,8 + 8,3) / 3 » 7,8333

Общая формула выглядит так

Sr=Σxi/n (3.1)

Здесь n - это количество показателей.

Аналогично рассчитываем и другие средние. Результаты расчетов средних значений в таблицу 3.2

Таблица 3.2 - Расчет средних значений выпуска продукции

Месяцы

Годы

Среднее за месяц

1

2

3

Январь

7,4

7,8

8,3

7,8333

Февраль

7,9

8,3

8,6

8,2667

Март

8,7

9,2

9,7

9, 2000

Апрель

8,2

8,6

9,1

8,6333

Май

7,9

8,3

8,8

8,3333

Июнь

8,2

8,7

9,1

8,6667

Июль

8,3

8,8

9,3

8,8000

Август

8,8

9,3

9,9

9,3333

Сентябрь

8,7

8,9

9,3

8,9667

Октябрь

8,8

8,2

9,9

8,9667

Ноябрь

8,3

8,8

9,8

8,9667

Декабрь

9

9,5

9,3

9,2667

Сумма за год

101,2

106,4

114,1

107,2333

Среднее за год

8,4333

8,8667

9,5083

8,9361


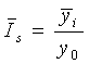
2) Рассчитаем общую среднюю. Ее можно рассчитать также по формуле (3.1). Можно суммировать средние по годам и результат делить на три. Можно суммировать средние по месяцам и результат делить на 12. Можно суммировать все 36 данных и результат делить на 36. В любом случае получим ответ, указанный в таблице: y0= 8,9361.

3) Рассчитаем индексы сезонности по формуле (3.2)

 (3.2)

Например, индекс сезонности для января равен: 47,833/48,769≈0,981

Аналогичным образом рассчитаем все индексы сезонности, результаты оформим в виде таблицы 3.3

Таблица 3.3 - Значения индексов сезонности

Месяцы

Годы

Среднее за месяц

Индекс сезонности

1

2

3

Январь

7,4

7,8

8,3

7,8333

0,8766

Февраль

7,9

8,3

8,6

8,2667

0,9251

Март

8,7

9,2

9,7

9, 2000

1,0295

Апрель

8,2

8,6

9,1

8,6333

0,9661

Май

7,9

8,3

8,8

8,3333

0,9325

Июнь

8,2

8,7

9,1

8,6667

0,9698

Июль

8,3

8,8

9,3

8,8000

0,9848

Август

8,8

9,3

9,9

9,3333

1,0445

Сентябрь

8,7

8,9

9,3

8,9667

1,0034

Октябрь

8,8

8,2

9,9

8,9667

1,0034

Ноябрь

8,3

8,8

9,8

8,9667

1,0034

Декабрь

9

9,5

9,3

9,2667

1,0370

Среднее за год

8,4333

8,8667

9,5083

8,9361

--


4) Построим на графике кривую сезонных колебаний. График выполним в программе Microsoft Excel и скопируем его в программу Microsoft Word. График в виде гистограммы это будет выглядеть так:

Рисунок 3.1 - Гистограмма средних индексов сезонности

Можно также построить график в виде плавной линии:

Рисунок 3.2 - График колебаний средних индексов сезонности

5) Выводы:

В данном случае неплохо просматриваются сезонные колебания коэффициентов. Наблюдаются два максимума в марте и августе, а также два ярко выраженных минимума в мае и, особенно, в январе.

Список использованных источников


1. Елисеева И.И., Юзбашев М.М. Общая теория статистики: Учебник. - М.:

2. Финансы и статистика, 1995.

3. Ефимова М.Р., Петрова Е.В., Румянцев В. H. Общая теория статистики: Учебник. - М.: ИHФРА-М, 1996.

4. Ряузов H. H. Общая теория статистики. М., 1990.

5. Адамов В.Е. Экономика и статистика фирм, М., 1996.

6. Статистика коммерческой деятельности: Учебник для вузов/Под ред. И.К. Белявского и О.Э. Башиной. - М.: Финстатинформ, 1996.

7. Э. Кейн. Экономическая статистика и эконометрия.

8. Экономико-математические методы и прикладные модели: Учеб. Пособие для вузов/В.В. Федосеев, А.Н. Гармаш, Д.М. Дайитбегов и др.; Под ред.В. В. Федосеева. - М.: ЮНИТИ, 1999. - 391 с.

9. Громыко Г.Л. Общая теория статистики: Практикум. - М.: ИНФРА-М, 1999. - 139с.

Похожие работы на - Динамика показателей объема продукции и производства. Методы анализа производительности труда

 

Не нашли материал для своей работы?
Поможем написать уникальную работу
Без плагиата!
Без нейросетей!