Асимметрия доходов

  • Вид работы:
    Дипломная (ВКР)
  • Предмет:
    Экономика отраслей
  • Язык:
    Русский
    ,
    Формат файла:
    MS Word
    339,53 kb
  • Опубликовано:
    2010-03-02
Вы можете узнать стоимость помощи в написании студенческой работы.
Помощь в написании работы, которую точно примут!

Асимметрия доходов












ДИПЛОМНАЯ РАБОТА

по курсу «Основы экономики»

по теме: «Асимметрия доходов»

Содержание

Введение

1. Место и роль домашнего хозяйства в современной экономической системе инновационного типа

1.1 Сущностно-функциональная роль домашнего хозяйства в рыночной экономике

1.2 Факторы динамики доходов и расходов домашних хозяйств

2. Социально-экономическое неравенство домашних хозяйств: подходы, измерения

2.1 Элементы теории асимметрии доходов домашних хозяйств

2.2 Отличительные черты асимметрии доходов домашних хозяйств в современной России

2.3 Асимметрия доходов домашних хозяйств: опыт развитых стран

3. Механизмы снижения неравенства и перспективы укрепления позиций российского среднего класса

3.1 Особенности современного российского среднего класса

3.2 Перспективы развития российского среднего класса в условиях экономики инновационного типа

Заключение

Список использованных источников

Введение

Актуальность темы. Хотя экономическое неравенство и дифференциация общества определяются не только неравномерностью распределения доходов, но и неодинаковым имущественным положением и различиями в потреблении, при определении степени такого неравенства, как правило, исходят из дифференциации доходов.

В условиях централизованной экономики и эгалитарного общества, основанных на равномерном распределении доходов населения, проблемы дифференциации и экономического неравенства были незначительными и не вызывали озабоченности специалистов. Положение резко изменилось с началом преобразований и переходом к рыночным отношениям, поскольку высокий уровень дифференциации доходов характерен для стран с переходной экономикой, в особенности на начальном этапе развития, и связан с ограничениями в занятости, инфляцией, сдвигами в структуре производства.

В период реформирования у нас имел место небывалый ранее рост расслоения населения по доходам, в результате которого образовалась пропасть между бедностью и богатством. Однако, в последнее время с началом экономического роста в нашей стране стало увеличиваться число представителей среднего класса.

Перспективы формирования среднего класса в России имеет первостепенное значение в развитии инновационного и технологического роста страны. К среднему классу зрелого индустриального и информационного обществ обычно относят группы самостоятельно занятых, т.е. мелких предпринимателей, коммерсантов, ремесленников. Это традиционный средний класс, с длительной историей, который в ином концептуальном контексте именовался мелкой буржуазией. Но наряду с ним все большее значение приобретает «новый средний класс», который сформировался в к 1960-1970-м годам. В его состав входят группы хорошо оплачиваемых работников наемного труда: менеджеры, лица свободных профессий, научные работники, работники в сфере информатики и массовой информации, работники искусства, врачи, административные, торговые и инженерно-технические работники, учителя, государственные и муниципальные чиновники и т.д. Если традиционный средний класс обладает собственностью на средства производства, то представители нового среднего класса обладают человеческим капиталом. Последний также делает его носителей активными участниками гражданских отношений, относительно независимыми.

Степень разработанности темы. Сущность анализируемых вопросов потребовала конкретного подхода к их решению, включая уже разработанные направления экономической науки. Наиболее полно эта проблема раскрыта в работах таких известных ученых как: Дж. Гэлберт, У. Джевонс, Р. Коуз, М. Фридмен, Ф. Хайек, Л.Абалкин и др. Теоретическую и методологическую базу работы составили фундаментальные труды Е. Бем-Баверка, К. Викселля, Р. Кантильона, Дж. Кейнса, Дж. Кларка, А.Маршалла, Дж. Милля, Д. Рикардо, П. Самуэльсона, Н. Сениора, А. Смита, И. Фишера, М. Вебера и др.

С начала 1990-х годов в России стали регулярно публиковаться работы по проблемам среднего класса. Вышли из печати и первые книги о судьбах среднего класса в советском и постсоветском российском обществе. . Наиболее полно эта проблема раскрыта в работах таких ученых как: Т. Заславская, А.В. Громова, О.В. Шкаратан, И.В. Алешин, О.С. Белокрылова, Е.В. Михалкина, А.Ю. Шевяков, В.А. Чернов, Н. Рабкина, Т. Малеева и др.

Политическая острота дискуссий вокруг проблем существования и масштабов отечественного среднего класса не ослабевает, а лишь модифицируется. В 1999 г. Е.М. Авраамова писала: «Наличие, расширение и мобилизация среднего класса рассматривается сегодня как свидетельство эффективности проводимых в России преобразований, как критерий того, что реформы идут в правильном направлении и приобретают необратимый характер. Наличие и большой удельный вес среднего класса в системе социальной стратификации является одним из существенных признаков общества, определяемого как «развитое», «цивилизованное». В то же время несформированность среднего класса после десяти лет реформ служит аргументом тех, кто настаивает на радикальном изменении политического курса».

Цель и задачи исследования. Актуальность и недостаточная разработанность проблемы сбережений предопределили выбор темы дипломной работы, ее цель и задачи. Цель дипломной работы состоит в том, чтобы на основе теоретико-экономического и историко-генетического анализа асимметрии доходов домашних хозяйств в рыночной экономике выявить потенциал формирования среднего класса в условиях макроэкономической стабилизации.

Сущность исследуемых проблем потребовала решения следующего комплекса задач:

1) Выявить роль финансов домашних хозяйств в экономических отношениях.

2) Проанализировать определение домашнего хозяйства, выявить роль домашнего хозяйства в рыночной экономике.

3) Проанализировать способы измерения дифференциации доходов домашних хозяйств.

4) На основе дифференциации доходов выявить основные общественные группы и их экономические и социальные характеристики.

5) Проанализировать основные характеристики среднего класса.

6) Выявить характеристики российского среднего класса, проанализировать перспективы его дальнейшего формирования.

Объект и предмет исследования. Объектом исследования являются домашние хозяйства как экономические субъекты во всем многообразии их моделей, факторов и ограничений. Предмет исследования − работы является асимметрия доходов домашних хозяйств, система отношений, складывающихся в границах экономического пространства по поводу функционирования финансовых институтов в условиях посткризисного развития.

Теоретико-методологическая основа исследования. В процессе написания дипломной работы были использованы фундаментальные концепции, представленные в классических и современных трудах отечественных и зарубежных ученых в области экономической теории. При проведении анализа и обобщения практического и теоретического материала применялись методы сопоставления, структурно-функционального анализа, единства исторического и логического, статистического исследования, которые обеспечили возможность изучения асимметрии доходов домашних хозяйств.

Нормативно-правовой базой диплома явились Конституция РФ, Указы и подзаконные акты Президента РФ, федеральные законы, регулирующие процесс функционирования доходов и расходов домашних хозяйств.

Эмпирической базой исследования послужили официальные статистические данные федеральной службы по статистике РФ, опубликованные на официальном сайте, а также фактические данные, содержащиеся в монографиях, статьях отечественных и зарубежных экономистов, периодических изданиях.

Структура работы. Дипломная работа состоит из введения, трех глав заключения, списка использованных источников и приложений.

Во введении отмечается актуальность темы исследования, степень разработанности, определяется цель и пути её достижения, выявляется нормативно-правовая и эмпирическая база.

В первой главе «Место и роль домашнего хозяйства в современной экономической системе инновационного типа» на анализируются основные объекты и субъекты рыночной экономики, анализируются определения домашнего хозяйства и осуществляется их классификация, анализируется структура доходов и расходов домашних хозяйств, а также выявляется механизм функционирования домашних хозяйств в условиях макроэкономической стабилизации.

Во второй главе «Социально-экономическое неравенство домашних хозяйств: подходы, измерения» исследуются формы и методы анализа неравенства домашних хозяйств, а также отличительные черты асимметрии доходов домашних хозяйств в российской экономике.

В третьей главе «Механизмы снижения неравенства и перспективы закрепления позиций среднего класса» анализируются способы выявления представителей современного российского среднего класса, перспективы его дальнейшего формирования.

В заключение приводятся выводы методологического, теоретического и практического характера.

Список использованных источников содержит монографическую, статическую литературу, изученную в процессе работы над проблемой.

В приложениях приводится ряд статических данных.

1. Место и роль домашнего хозяйства в современной экономической системе инновационного типа

 

1.1 Сущностно-функциональная роль домашнего хозяйства в рыночной экономике

Рыночная экономика является самой распространенной экономической системой в мире на рубеже ХХ-ХХI вв. и самой эффективной с точки зрения долгосрочного экономического развития.

Рыночная экономика – это такая экономическая система, в которой фундаментальные экономические проблемы – что, как и для кого производить – решаются главным образом через рынок, в центре которого находится конкурентный механизм формирования цен на продукты и факторы производства[1]. Цены формируются в результате взаимодействия спроса на продукцию и предложения продукции. Именно цены на рынке указывают, что производить и какие ресурсы использовать.

Понятие рынка является исходным понятием в теории рыночной экономики. Рынок представляет собой систему отношений между продавцами и покупателями, при помощи которых они вступают в контакт по поводу купли-продажи товаров или ресурсов. Эти контакты между продавцами и покупателями предполагают какие-то соглашения между ними, в соответствии с которыми осуществляется обмен по установленной цене. При обмене происходит добровольное отчуждение своей собственности и присвоение чужой собственности, то есть взаимная передача прав собственности.

На рынке в ходе обмена происходит общественная оценка произведенных благ. Если производитель продал свой товар, то его труд и другие затраты признаются обществом как отвечающие потребностям общества. Именно на рынке производители вступают в контакт между собой, рынок их объединяет, устанавливает связи между ними. В широком смысле слова рынок – это социальный механизм, осуществляющий связь между производителями и потребителями благ и ресурсов.

Современную рыночную (смешанную) экономику можно представить в виде следующей модели (см. рис. 1.1).

#

Рис. 1.1 Основные объекты и субъекты рыночной экономики

Субъектами рынка являются домашние хозяйства, предприятия (фирмы), государство и кредитные учреждения[2].

Домашние хозяйства как субъекты рынка принимают решения, главным образом, о потреблении благ, необходимых для поддержания жизнедеятельности членов семьи. В качестве домашнего хозяйства могут выступать как семья, так и индивид, если он живет отдельно и ведет собственное хозяйство. В конечном итоге все экономические ресурсы принадлежат домашним хозяйствам, но они распределены крайне неравномерно между ними. Абсолютное большинство домашних хозяйств владеют и распоряжаются рабочей силой. В рыночной экономике рабочая сила является главным товаром, создаваемым в рамках домашнего хозяйства и предлагаемым на рынке факторов производства. Получая доходы от продажи своих ресурсов, домашние хозяйства принимают решения о распределении ограниченных доходов для приобретения различных потребительских благ. Главный экономический интерес домашних хозяйств состоит в том, чтобы максимизировать полезность приобретаемых благ. Выбор потребительских благ домашними хозяйствами формирует спрос в рыночной экономике.

Предприятие, или фирма, – это субъект рынка, принимающий решения о производстве благ на продажу с использованием ресурсов, приобретаемых на рынке. Производимые блага – это и материальные блага и услуги, поэтому, когда речь идет о предприятии, то имеют в виду и чисто производственные предприятия, и торговые, и финансовые, и обслуживающие. В длительном историческом процессе возникновения и развития рыночной экономики производство благ отделилось от домашних хозяйств и стало осуществляться на предприятиях. Главный экономический интерес предприятия состоит в том, чтобы максимизировать прибыль. Другими экономическими мотивами деятельности предприятий могут быть максимизация продаж, увеличение доли на рынке, удержание монопольных позиций на рынке, стабильный экономический рост, увеличение рыночной стоимости предприятия. Решения предприятий об объеме и структуре производства формируют предложение на рынке.

Связующим звеном между фирмами и домашними хозяйствами являются кредитные учреждения. Кредитные учреждения удовлетворяют спрос и предложение на рынке капитала. Спрос на капитал на рынке факторов – это спрос фирм на физический капитал, позволяющий фирмам реализовывать свои инвестиционные проекты, а по форме предъявления – это спрос на инвестиционные фонды. Спрос на капитал выражается в виде спроса на финансовые средства для приобретения необходимых производственных фондов.

Предложение капитала возникает в основном со стороны домашних хозяйств, а также предприятий и государства. Домашние хозяйства, владеющие капиталом в форме вложенных денежных средств, предоставляют капитал в пользование бизнесу в форме материальных средств и получают доход в виде процента на вложенные средства.

Государство как субъект рынка, а точнее правительство, принимает решения о перераспределении благ, производимых в частном секторе, и о производстве так называемых общественных благ. К последним относятся блага, потребляемые совместно, например почта, общественная безопасность, образование, общественное здравоохранение. Перераспределение производимых благ государство может осуществлять, например, с целью помощи инвалидам и безработным. Экономические интересы государства отражают интересы общества в целом. Важнейшими из них являются поддержание экономического роста для удовлетворения растущих потребностей общества, повышение эффективности национальной экономики и ее конкурентоспособности на мировом рынке.

В экономике происходит обмен между домашними хозяйствами и предприятиями (фирмами). Домашние хозяйства владеют ресурсами и предоставляют их фирмам посредством рынков ресурсов. Фирмы используют ресурсы, производят продукты и поставляют их на рынки товаров и услуг. В результате взаимодействия между домашними хозяйствами и предприятиями формируется общий объем производства в экономике.

Домашние хозяйства получают доход, поставляя рабочую силу на рынок труда, капитал на рынок капитала, землю и сырье на рынки земли и сырья. Они продают фирмам услуги факторов производства, получают доходы (зарплату, процент, прибыль, ренту) и покупают производимые фирмами товары и услуги. Доходы домашних хозяйств превращаются в их расходы, когда они покупают потребительские товары и услуги на рынках товаров.

Фирмы покупают ресурсы на рынках факторов производства, используют их для производства продукции и затем поставляют эту продукцию на рынки товаров и услуг. Расходы фирм на покупку факторов производства превращаются в доходы домашних хозяйств. Продавая свою готовую продукцию на рынках товаров и услуг, фирмы получают доходы и тем самым возмещают свои расходы на покупку ресурсов.

Управление потоками факторов производства и товаров осуществляется посредством рынков факторов производства и рынков товаров и услуг.

Из модели экономического кругооборота следует, что в экономике в целом:

сумма продаж фирм равна сумме доходов домашних хозяйств;

величина общего объема производства равна общей величине доходов домашних хозяйств;

доходы равны расходам на приобретение товаров и услуг.

Выполнение домохозяйствами функции обеспечения необходимого потребительского спроса – первое и необходимое условие создания предпосылок для запуска рыночного механизма. Сбережения же домохозяйств, при условии их связи с рынком капитала, обеспечивают решение проблемы его накопления, столь необходимого для оживления инвестиционной деятельности в трансформирующейся экономике.

Именно семья и домохозяйство являются основными звеньями цепи создания и накопления человеческого капитала, включая этапы его формирования, производства и реализации. Первоначальной стадией создания человеческого капитала можно считать построение материальной базы семьи за счет формирования и использования семейного бюджета и ведения домашнего хозяйства.

На стадии производства создается физическая основа человеческого капитала (людские ресурсы). Этот капитал развивается и одновременно адаптируется к социально-экономической системе. Включение человека в общественную систему, т.е. функция социализации реализуется посредством получения им при помощи государства образования, воспитания, услуг в области здравоохранения и т.д.

Деятельность домохозяйств на всех стадиях формирования и функционирования человеческого капитала направлена на накопление ресурсов и возмещение затрат, связанных с созданием человеческого капитала и развитием предпринимательского потенциала.

Важная роль в развитии рыночных отношений отводится домохозяйствам и в связи с налаживанием семейного бизнеса. Это, в частности, предполагает: наличие ресурсов, достаточного стартового семейного капитала; определенной квалификации (специальной подготовки, образования, опыта); учет демографических параметров; наличие инфраструктуры и информации; определение рыночной ниши и т.д. От благоприятного сочетания этих факторов зависит успех семейного бизнеса, а, следовательно, и возможности домохозяйств «включиться» в рыночные отношения в качестве конкурентоспособных хозяйственных единиц.

1.2 Факторы динамики доходов и расходов домашних хозяйств

Как и любой субъект рыночной экономики, домашние хозяйства имеют свои доходы и расходы. Неразрывная связь доходов и расходов домашних хозяйств проявляется, прежде всего, в зависимости структуры и объема расходов от структуры и объема доходов. Так, при снижении общего уровня доходов все меньшую их долю можно потратить на накопления и сбережения, поскольку существует определенный физиологический и социальный минимум потребительских товаров и услуг, который любое домашнее хозяйство должно обеспечить.

Доходы служат основным источником удовлетворения потребностей домашних хозяйств в потребительских товарах и услугах, накопления и сбережения и обязательных платежей, т.е. осуществления расходов.

Доходы домашних хозяйств можно разделять по различным критериям. Прежде всего, можно выделить доходы в денежной и натуральной форме. К последним относят продукты, полученные в личном подсобном хозяйстве, садоводствах, огородничествах, а также натуроплату от сельскохозяйственных предприятий, которые потребляются в домашнем хозяйстве. Если домашнее хозяйство часть продуктов производит с целью реализации на рынке, то доходами следует считать денежные средства, вырученные от продажи.

В любой стране с развитыми рыночными отношениями подавляющая часть населения занята в государственном или частнопредпринимательском секторах экономики, и потому денежные доходы, безусловно, доминируют над натуральными.

Денежные доходы домашних хозяйств подразделяют чаще всего по источникам поступлений. Так В.А. Чернов предлагает следующую их классификацию[3]:

заработная плата вместе с различными начислениями и доплатами;

пенсии, пособия, стипендии и другие страховые и социальные выплаты;

доходы от предпринимательской деятельности;

доходы от операций с личным имуществом и денежные накопления в финансово-кредитной сфере.

Необходимо принимать во внимание, что различаются понятия заработанных доходов, т. е. полученных в результате трудовой деятельности работника, и полученных доходов. С одной стороны, не все заработанные доходы поступают в домашние хозяйства. Это относится, например, к взносам на социальное страхование, налоги на прибыль предприятий. С другой стороны, часть доходов, поступающих в домохозяйства, не являются результатом труда. Прежде всего, это − трансфертные платежи, которые включают выплаты по социальному обеспечению и от несчастных случаев, пособия по безработице и нетрудоспособности и некоторые другие виды социальной помощи государства.

В приведенной выше классификации не учтены случайные доходы граждан, например, выигрыши в лотерею, доходы от непредусмотренных дарений, а также доходы, полученные с нарушением закона. Последние в современной России имеют большое распространение. К ним можно отнести суммы, полученные в результате ухода от налогов, доходы от незаконных валютных и других финансовых операций, например от предоставления валютных займов другим гражданам, как правило, под ростовщические проценты, от операций по «строительству финансовых пирамид», от продажи запрещенных товаров (наркотиков, оружия и т. п.). Учет случайных и особенно незаконных доходов является чрезвычайно затруднительным.

Для измерения доходов домашних хозяйств используют понятия совокупных, располагаемых, номинальных и реальных доходов населения.

Под совокупными доходами понимают общую сумму денежных и натуральных доходов по всем источникам их поступления с учетом стоимости бесплатных или льготных услуг за счет социальных фондов. Натуральные доходы можно оценить по средним ценам реализации соответствующих товаров на рынке.

Для населения, однако, более существенное значение имеет показатель располагаемых доходов, или доходов, остающихся в распоряжении домашних хозяйств. Они образуются из совокупных доходов путем вычета налогов и обязательных платежей. В общей сумме располагаемые доходы населения образуют часть валового внутреннего продукта, которая расходуется на потребление и накопление.

Номинальные доходы − доходы домашнего хозяйства за определенный период в денежной форме. При этом можно выделить начисленные номинальные доходы и фактически полученные. Первые отличаются от фактических на величину начисленных в данном периоде, но не выплаченных доходов, а также доходов, полученных в результате погашения задолженности государства и организаций за прошлые периоды. Различие между фактическими и начисленными доходами может быть весьма существенным, как это имело место в России в 90-х годах XX в. в период массовой задержки с выплатой заработной платы. Для работников, естественно, большее значение имеют фактические доходы.

Реальные доходы домашних хозяйств определяются двумя факторами − располагаемыми доходами и ценами на товары и услуги. Они могут быть адекватно выражены количеством потребительских товаров и услуг, которые можно приобрести на фактически полученные номинальные доходы. Реальные доходы зависят от соотношения темпов роста располагаемых доходов и индекса потребительских цен за определенный период. Для домашних хозяйств реальные доходы, наряду с размерами имущества и ранее накопленных сбережений, входят в число наиболее важных показателей, определяющих уровень их благосостояния.

Основное значение для работников государственной сферы и лиц наемного труда в частном секторе экономики играет оплата труда в различных формах. В соответствии с системой национальных счетов к ней относят:

(1) начисленную заработную плату по сдельным расценкам, тарифным ставкам и должностным окладам;

(2) выплаты за работу в особых условиях;

(3) доплаты за сверхурочную работу и работу в ночное время, в выходные и праздничные дни;

(4) премии и единовременные поощрительные выплаты;

(5) плата за выслугу лет;

(6) оплату ежегодных и дополнительных отпусков;

(7) доходы от участия в прибылях (например, дивиденды на акции);

(8) командировочные расходы и подъемные;

(9) стоимость выданной спецодежды, спецобуви и спецпитания и др.

Часть полученных в форме оплаты труда доходов работника необходима ему непосредственно для выполнения служебных обязанностей; другая, являющаяся основной, идет на содержание домашнего хозяйства, включая членов семьи.

Пенсии, пособия и другие социальные и страховые поступления объединены в одну большую группу, поскольку основную их часть выплачивает государство. Их начисление и выплата в существенной степени зависит поэтому от законодательных норм. Наибольшее значение среди страховых и социальных выплат имеют пенсии. По действующему пенсионному законодательству существуют четыре вида трудовых пенсий: по старости, инвалидности, по случаю потери кормильца, за выслугу лет. Пенсии по старости, или по возрасту, являются наиболее распространенными. Они предоставляются с определенного возраста (мужчины − с 60 лет, женщины − с 55 лет) и при наличии установленного трудового стажа (не менее 20 лет).

Среди пособий наиболее распространены различные виды детских пособий, которые подразделяются на:

(1) пособие по беременности и ролам;

(2) единовременное пособие женщинам, вставшим на учет в медицинских учреждениях и ранние сроки беременности;

(3) единовременное пособие при рождении ребенка;

(4) ежемесячное пособие на период отпуска по уходу за ребенком до достижения им возраста полутора лет;

(5) ежемесячное пособие на ребенка.

Важное место в системе социальной зашиты населения также имеют пособия, предоставляемые из бюджета, в частности пособие по безработице.

Еще одну подгруппу доходов домашних хозяйств составляют страховые возмещения или страховые суммы, выплачиваемые при наступлении страховых случаев, как правило, по непредвиденным причинам (стихийные бедствия, аварии, несчастные случаи, болезни, смерть и т. п.). Различают имущественное, личное, медицинское страхование, а также страхование ответственности. Общим для всех случаев страхования является внесение гражданами страховых сумм, которые различаются в зависимости от вида страхования, срока договора, страховых событий и других факторов. Таким образом, получению доходов в данном случае предшествует несение расходов домашними хозяйствами. Более того, страховые случаи являются нежелательным событием для домашних хозяйств, так как получаемые доходы лишь частично компенсируют последствия этих событий.

Согласно одной из точек зрения доходы домашних хозяйств от предпринимательской деятельности включают доходы граждан от коммерческой деятельности, которая осуществляется без образования юридического лица. Однако далее автор отнес к указанной группе доходов также и доходы владельцев частных предприятий, имеющих статус юридического лица[4], что входит в противоречие с первоначальным утверждением. Имеется и более детальная трактовка рассматриваемых доходов, а именно к ним отнесены[5]:

доходы от продажи имущества, принадлежащего гражданам на праве собственности;

доходы от реализации товаров, продукции (работ, услуг), другого имущества, произведенных лицами, зарегистрированными в качестве предпринимателей;

доходы от реализации продукции, товаров, приобретенных на стороне, и др.

Автор работы согласна с точкой зрения Л.И. Полищук, согласно которой к доходам от предпринимательской деятельности домашних хозяйств относятся любые формы доходов, которые возникают как результат осуществления частного бизнеса и достигаются не за счет уменьшения накопленного имущества домашних хозяйств[6]. Эти формы возможны как в рамках организованного ведения бизнеса (зарегистрированные предприятия, в частности индивидуальные частные предприятия, малые предприятия), так и неорганизованного. Среди неорганизованных форм как основные можно выделить частную неорганизованную торговлю, надомное и кустарное производство, оказание частных услуг. Доходы от реализации части продукции, полученной в личных подсобных хозяйствах граждан, также могут, При определенных условиях, рассматриваться как доходы от предпринимательской деятельности. Такими условиями являются: регулярный характер производства этой продукции и ориентация части или всего производства на рыночную реализацию. Эпизодические, случайные продажи и оказания услуг вряд ли правомерно считать формой предпринимательской деятельности, поскольку они, как правило, являются вынужденной мерой для домашних хозяйств и не предполагают организацию соответствующего вида бизнеса.

Доходы от операций с имуществом и денежными средствами возникают в результате вложения денежных средств домашних хозяйств в личное недвижимое и движимое имущество, банковские вклады, ценные бумаги и на покупку иностранной валюты.

В экономической науке существуют различные подходы к классификации расходов домашних хозяйств. Так, с точки зрения периодичности (частоты) осуществления, выделяют три агрегированные группы расходов домашних хозяйств:

(1) краткосрочные расходы;

(2) среднесрочные расходы;

(3) долгосрочные расходы.

К первой группе можно отнести расходы на насущные блага (продукты. некоторые непродовольственные товары, большая часть услуг), вторая группа включает расходы на периодически (сезонно) приобретаемые товары (одежда, обувь и др.), третья группа состоит из расходов, которые осуществляются раз в несколько лет.

Автор данной классификации исходит из реальных доходов домашнего хозяйства, поэтому в ней не учтены обязательные платежи домашних хозяйств[7]. Если классифицировать расходы населения исходя из совокупных доходов, то к первой агрегированной группе следует добавить обязательные выплаты домашних хозяйств − коммунальные и другие ежемесячные платежи населения, ежемесячно выплачиваемые налоги и сборы, а во вторую группу включить налоги, которые физические лица выплачивают не регулярно, а только при совершении отдельных правовых действий (наследовании имущества, приобретении недвижимости и т.д.).

В таблице 1.1 приведена динамика структуры доходов домашних хозяйств РФ в 2000-2007 гг.

Таблица 1.1

Динамика структуры денежных доходов домашних хозяйств в 1998-2007 гг. (%)


1998

1999

2000

2001

2002

2003

2004

2005

2006

2007

Денежные доходы

100

100

100

100

100

100

100

100

100

100

Оплата труда

64,9

66,5

62,8

64,8

65,8

63,9

64,9

63,4

63,2

63,2

Социальные трансферты

13,4

13,1

13,8

15,2

15,2

14,1

12,9

12,8

12,8

12,8

Доходы от собственности

5,5

7,1

6,8

5,7

5,2

7,8

8,3

10,3

10,3

10,3

Доходы от предпринимательской деятельности

14,4

12.4

15,4

12,6

11,9

12,0

11,7

11.6

11.8

11.7

Другие доходы

1.8

0,9

1,2

1,9

1,9

2,2

2,2

1,9

1,9

2,0


Как видим, в исследуемые годы наибольшую долю доходов составляла заработная плата (более 60%), доля доходов от предпринимательской деятельности относительно низка (12-14%). В исследуемые годы вдвое выросла доля доходов от собственности (с 5,5% до 10,3%).

В таблице 1.2 отображена динамика заработной платы в РФ в 1998-2007 гг.

Таблица 1.2

Динамика заработной платы в Российской экономике

Период

Среднемесячная начисленная заработная плата в экономике (руб.)

Среднемесячная начисленная заработная плата в промышленности (руб.)

Минимальная ставка заработной платы на конец периода (руб.)

Отношение среднемесячной заработной платы к минимальной ставке (раз)

Доля минимальной ставки зарплаты в величине прожиточного минимума трудоспособного населения (%)

1998

1051,5

1208,0

83,49

12,6

1999

1522,6

1838,1

83,49

18,2

2000

2223,4

2735,7

132

16,8

10

2001

3240,4

4016,8

300

10,8

18,4

2002

4360,3

5128,6

450

9,7

22,8

2003

5498,5

6439,1

600

9,2

26,0

2004

6831,8

7864,8

600

11.4

23,0

2005

8962

8796

800

11.2

25,0

2006

11106

10225

1100

10.1

25,0

2007

11525

11302

1100

10.5

25,0

2008

12001

11799

1100

11.0

25,0

В зависимости от функционального назначения расходов, осуществляемых домашними хозяйствами, некоторые экономисты делят их на следующие основные группы[8]:

(а) личные потребительские расходы (покупка товаров и оплата услуг);

(б) налоги и другие обязательные платежи;

(в) денежные накопления и сбережения.

Для дальнейшей характеристики расходов домашнего хозяйства мы будем использовать иной вариант их классификации, который по мнению С.С. Бабич в определенной степени позволяет объединить два указанных выше критерия[9]. Этот вариант предполагает разделение расходной части бюджета домашних хозяйств на три основных раздела:

(1) обязательные платежи;

(2) расходы на потребление;

(3) денежные сбережения.

Обязательные платежи домашнего хозяйства сокращают его реальные доходы. Чем больший объем денежных средств расходуется домашним хозяйством по этой статье, тем меньше денежных средств оно может направить на текущее потребление и сбережение. Величина этой статьи в бюджетах отдельных домашних хозяйств значительно изменяется как в абсолютном выражении, так и относительно других расходных статей.

Если в качестве критерия классификации взять функциональную направленность обязательных выплат, то их можно разделить на две основные группы. К первой следует отнести налоги и сборы с физических лиц, ко второй − коммунальные и другие платежи населения.

На потребление расходуется основная часть доходов домашнего хозяйства в РФ. Обобщенные статистические данные позволяют сказать, что они составляют 60-80% совокупного дохода усредненного домашнего хозяйства РФ.

Существуют различные варианты классификации расходов домашних хозяйств на потребление. В одном из вариантов потребительские расходы состоят из четырнадцати групп:

расходы на питание;

приобретение одежды;

расходы на жилище;

домашнее убранство;

постельные принадлежности;

галантерею;

санитарию и гигиену;

посулу;

образование и воспитание;

культуру;

здоровье и отдых;

пассажирский транспорт;

услуги связи;

алкогольные напитки

и табачные изделия.

Такое деление не соответствует взятому нами за основу функционально-временному критерию классификации расходов домашнего бюджета. В соответствии с этим критерием расходы домашнего хозяйства на потребление целесообразно подразделить прежде всего на две статьи: текущие расходы и капитальные расходы.

К текущим расходам домашнего хозяйства следует отнести расходы на приобретение продовольственных товаров, непродовольственных товаров, используемых в течение относительно непродолжительного периода времени (обувь, одежда и т.п.), а также оплату периодически потребляемых населением в течение всей жизни услуг (например, таких, как услуга парикмахерской, прачечной, стоматолога и т. п.).

Капитальные расходы включают в себя затраты на приобретение непродовольственных товаров, используемых в течение достаточно длительных промежутков времени (расходы на мебель, приобретение жилья, транспортных средств и т. д.). К этой же статье следует отнести затраты на услуги, которые участники домашнего хозяйства потребляют достаточно редко, а результат этих услуг, напротив, оказывает на них существенное влияние и определяет их жизнь в течение достаточно длительных промежутков времени (расходы на образование, на медицинские операции, на туристические путевки и т. д.).

Структура потребительских расходов домашних хозяйств представлены в таблице 1.3.

Таблица 1.3

Структура потребительских расходов домашних хозяйств в 1998-2007 гг. (%)


1998

1999

2000

2001

2002

2003

2004

2005

2006

2007

Потребительские расходы

100

100

100

100

100

100

100

100

100

100

Продукты питания

51,3

52,0

47,6

45,9

41,7

37,7

36,0

33,2

31,5

29,7

Общественное питание

2,0

1,7

1,8

2,5

2,4

3,0

2,9

3,1

3,1

Непродовольственные товары

30,2

30,8

34,3

34,4

36,2

37,3

37,2

38,5

39,4

40,3

Алкогольные напитки

2,6

2,5

2,5

2,4

2,2

2,2

2,1

1,9

1,9

1,9

Оплата услуг

13,9

13,0

13,8

14,8

17,5

19,8

21,2

23,5

24,1

25,0


Таким образом, в исследуемые годы четко видна положительная динамика оптимизации расходов домашних хозяйств. Доля расходов на питание снизилась с 51,3% в 1998 году до 29,7% в 2007 году. Возросла доля непродовольственных товаров (с 30,2% в 1998 г. до 40,3% в 2007 г.), Выросла доля предоставляемых услуг (с 13,9% в 1998 г. до 25,0% в 2007 г.).

Денежные фонды домашнего хозяйства возникают в результате сбережения и накопления населением денежных средств. Источником их формирования является располагаемый доход домашнего хозяйства. Целевое назначение этих фондов может быть различным. Можно выделить, как минимум, три мотивационные установки, определяющие процесс сбережения в домашних хозяйствах:

создание страхового резерва для поддержания обычного уровня текущего потребления в случае снижения по тем или иным причинам величины располагаемого дохода;

создание денежного резерва для повышения уровня капитальных расходов, связанных с приобретением дорогостоящих предметов длительного пользования или услуг;

создание денежного фонда для его дальнейшего инвестирования с целью повышения уровня дохода домашнего хозяйства (вложение средств в акции, облигации и т. д.) − индивидуальное накопление.

Бюджет домашнего хозяйства выполняет важную роль в процессе воспроизводства рабочей силы, семьи как исходной ячейки общества.

2. Социально-экономическое неравенство домашних хозяйств: подходы, измерения

 

2.1 Элементы теории асимметрии доходов домашних хозяйств

Все множество домашних хозяйств страны может быть подразделено по ряду классификационных признаков, выбор, которых во многом зависит от характера решаемых задач. Так может быть построена классификация, ориентированная на задачи проведения обследований населения, для общих аналитических целей, для использования в системах национальных счетов и т.д.

В классификации, предназначенной для использования при общих обследованиях домашних хозяйств, важнейшими являются следующие классификационные признаки (признаки выделены на основе анализа ряда существующих отечественных и зарубежных классификаций):

1) территориально-региональная принадлежность – домохозяйства, расположенные в городской или сельской местности, регион страны, характер поселения;

2) демографическая характеристика – семейные домохозяйства, включая нуклеарные, неполные и сложные семьи с детьми и без детей, несемейные домохозяйства; число членов домохозяйства, их половозрастные характеристики;

3) доходная характеристика;

4) имущественная характеристика – наличие земельного участка, тип жилья, число комнат, число кв. метров жилой площади;

5) экономическая характеристика и трудовой потенциал занятость членов домохозяйства, в общественном производстве, выполнение трудовых и экономических функций домохозяйства, число трудоспособных членов домохозяйства, соотношение трудоспособных и нетрудоспособных членов домохозяйства и др.;

6) социальный статус домохозяйства – определяется по главе семьи или по члену домохозяйства, имеющему наивысший доход – основное социальное состояние, уровень образования, должность, профессия, сфера занятости.

Как видим большинство характеристик, по которым классифицируются домохозяйства (имущественные, доходные, экономические, социальные) так или иначе связаны с денежными показателями. Поэтому наиболее значимой классификацией домашних хозяйств, является их дифференциация по доходам. Хотя экономическое неравенство и дифференциация общества определяются не только неравномерностью распределения доходов, но и неодинаковым имущественным положением и различиями в потреблении, при определении степени такого неравенства, как правило, исходят из дифференциации доходов.

Дифференциация оценивается не только по уровню доходов в целом, но также и по размеру домохозяйств и по их социально-демографическим типам, занятости, соотношению числа занятых и иждивенцев, числу детей, половозрастным характеристикам его членов. Но главными дифференцирующими признаками остаются уровень оплаты труда и других первичных доходов и степень иждивенческой нагрузки.

Большинство исследователей считают, что распределение населения по доходам подчиняется логарифмически нормальному(логнормальному) закону распределения: случайная величина х, логарифм которой (t = lnx) подчинен нормальному закону распределения. Логнормальное распределение образуется в результате умножения большого числа независимых не отрицательных случайных величин, дисперсия каждой из которых мала по сравнению с дисперсией результата. Н. Рабкина и Н. Римашевская в работе доказали применимость механизма логарифмически нормального распределения к распределению заработной платы и доходов населения. Ими был последовательно описан путь расчетов от распределения работников по «разрядам сложности труда», подчиняющегося законам нормального распределения, через распределение работников по оплате труда, подчиняющегося закону логнормального распределения, к распределению населения по уровню доходов, также подчиняющемуся закону логнормального распределения с большей равномерностью[10].

Распределение общего объема денежных доходов по различным группам населения выражается через проценты общего объема денежных доходов, которым обладает каждая из 20-(10) процентных групп населения, распределенных по мере возрастания среднедушевых денежных доходов.

Коэффициент фондов (коэффициент дифференциации доходов) характеризует степень социального расслоения и определяется как соотношение между средними уровнями денежных доходов 10% с самыми высокими доходами и 10% населения с самыми низкими доходами.

Kf = S10/S1

S10 – суммарный доход, который приходится на 10% населения с самыми высокими доходами;

S1 – суммарный доход, который приходится на 10% населения с самыми низкими доходами;

Коэффициент Джини (кривая Лоренца) характеризует степень отклонения фактического распределения денежных доходов населения от линии их равномерного распределения. Величина коэффициента может варьировать от 0 до 1, при этом чем выше значение показателя, тем более неравномерно распределены доходы в обществе. Кривая Лоренца представляет собой кумулятивное распределение численности населения и соответствующих этой численности доходов. В результате она показывает соотношение процентов всех доходов и процентов всех их получателей.

Kl = 1– ∑(Fi – Fi-1)(Si-1 + Si)

где (Fi – Fi-1) – доля населения, относящаяся к i-му интервалу;

Si-1, Si – доля суммарного дохода, приходящаяся на начало и конец i-го интервала.

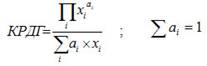
Отдельными исследователями предлагается такой показатель дифференциации доходов, как отношение средней геометрической к средней арифметической доходов (коэффициент равномерности доходов граждан)[11]:

#

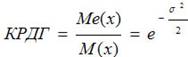
Значения данного показателя варьируются от 0 (в случае абсолютного неравенства доходов) до 1 (в случае абсолютно равного дохода по всему населению). Формула (2) используется для выборочных данных. В случае приближения распределения населения по доходам к логнормальному закону, легко показать, что данный коэффициент будет стремиться к значению:

#

где Me(x) − медиана распределения (в логнормальном распределении равна среднегеометрическому значению);

M(x) − математическое ожидание величины доходов;

# − дисперсия логарифмов доходов.

По мнению И.Е. Грекова предлагаемый коэффициент равномерности доходов граждан (КРДГ) имеет свои преимущества перед известными показателями дифференциации[12]:

1. В отличие от квантильных и фондовых коэффициентов КРДГ учитывает информацию обо всем распределении (как, впрочем, и индекс Джини).

2. По сравнению с индексом Джини шкала предлагаемого коэффициента равномерности не чувствительна к тому, что в расчетах используются квантильные данные. Тогда как, оценивая, например, индекс Джини по децилям, его шкала соответствует интервалу 0 0,9, по квинтилям – интервалу 0 0,8 и т.д. То есть для корректной оценки индекса Джини (особенно его высоких значений) необходимо использовать достаточно подробные исходные данные (например, перцентили).

3. Методика построения предлагаемого коэффициента равномерности доходов граждан (КРДГ) более простая, чем для индекса Джини. Вполне удовлетворительные результаты получаются при использовании децильных данных.

Между вышеописанными коэффициентами существуют следующие соотношения, выведенные эмпирическим путем (таблица 2.1):

Таблица 2.1

Матрица коэффициентов линейной корреляции между различными показателями дифференциации доходов по 100 странам


Индекс Джини

Коэффициент дифференциации (10/10)

Коэффициент равномерности доходов граждан, КРДГ

Индекс Джини

1

0,862

-0,990

Коэффициент дифференциации (10/10)

0,862

1

-0,917

Коэффициент равномерности доходов граждан, КРДГ

-0,990

-0,917

1


Классификация домашних хозяйств по доходным характеристикам происходит по уровню среднедушевых доходов домохозяйства, в результате измерения которого устанавливается их принадлежность к следующим категориям:

1-й уровень бедности – среднедушевой доход ниже или соответствует размеру минимальной заработной платы;

2-й уровень бедности – среднедушевой доход находится в интервале между размером минимальной заработной платы и бюджетом прожиточного минимума;

малообеспеченные – среднедушевой доход в интервале между бюджетом прожиточного минимума и минимальным потребительским бюджетом;

состоятельные – среднедушевой доход в интервале между оценками одного и двух минимальных потребительских бюджетов;

богатые – среднедушевой доход выше удвоенного минимального потребительского бюджета.

На основании распределения показателей строятся соответствующие децильные или квантильные группы.

Исследование доходов домашних хозяйств производится по различным методикам. Как правило, для формирования выборочной совокупности домохозяйств применяется одна из моделей многомерных выборок − двухступенчатая случайная выборка, построенная по территориальному принципу и обеспечивающая получение представительной выборки (в пределах заданной степени точности, объема выборки и финансовых ресурсов) по структурным соотношениям ряда взаимосвязанных и обусловленных программой обследования показателей. Единицей обследования являются домохозяйства и отдельные члены домохозяйств. Динамика валового дохода домохозяйств в группировках по 20%ным группам населения представлена в таблице 2.2.

Таблица 2.2

Динамика валового дохода домохозяйств в группировках по 20%ным группам населения

Группы

1998

1999

2000

2001

2002

2003

2004

2005

2006

1-я группа

170,4

311,15

414,9

586,15

776,65

1069,35

1290,2

1626

1715

2-я группа

282,55

527,45

697,35

969,4

1245,05

1669,2

2054,9

2603

2831

3-я группа

431,7

775,25

1024,05

1408,25

1784,3

2437,9

2927,2

3683

4223

4-я группа

723,45

1172,95

1579,95

2039,5

2590,7

3647,65

4505,1

5448

6102

5-я группа

1190,1

1999,85

2847,75

3253,55

4266,55

5716,35

8313,05

10207

11355


2.2 Отличительные черты асимметрии доходов домашних хозяйств в современной России

Всего в России по данным последних переписей населения насчитывается примерно 50 млн. домашних хозяйств, в том числе 40 млн. семейных и около 10 млн. домашних хозяйств лиц, не имеющих семьи или утративших связь с ней. В условиях централизованной экономики и эгалитарного общества, основанных на равномерном распределении доходов населения, проблемы дифференциации и экономического неравенства были незначительными и не вызывали озабоченности специалистов.

Положение в нашей стране резко изменилось с началом преобразований и переходом к рыночным отношениям. С разрушением советской системы хозяйства ушли в прошлое уравнительные тенденции в распределении, но маятник резко качнулся в противоположную сторону и застрял на максимуме неравенства в доходах. При общем падении реальных доходов более чем вдвое даже по официальным данным треть, а фактически более половины, населения оказались за чертой бедности.

Резко выросли межотраслевые и территориальные разрывы в доходах. Наиболее сильно пострадали работники высокотехнологичных отраслей ВПК, науки, социальной сферы, а также гражданского машиностроения, сельского хозяйства. Сравнительно высокая зарплата сложилась в добывающей промышленности (нефть и газ) и первичной переработке сырья (металлургия, химия), работающих на экспорт, банковской и финансовой сфере, торговле, страховом и другом посредническом бизнесе (см. рис. 2.1).

Рис. 2.1 Дифференциация заработной платы по видам экономической деятельности в РФ

Велика и разница в так называемом среднедушевом доходе в различных регионах. (Самый большой – в Ямало-Ненецком округе – свыше 15 тысяч рублей. Самый низкий в Дагестане – чуть больше 2 тысяч.). В течение, по крайней мере, трех последних лет отношение средней заработной платы и выплат социального характера к прожиточному минимуму трудоспособного населения в Ивановской, Псковской, Рязанской, Тверской, Кировской, Астраханской, Пензенской, Саратовской, Курганской и ряде других областей находится в пределах 160% прожиточного минимума. Это означает, что в указанных регионах работающие родители могут обеспечить себя и одного ребенка на уровне бедности только в том случае, если их заработная плата вместе с выплатами социального характера не ниже средней по региону.

В настоящее время в России насчитывается 27 регионов, где средний доход не достигает прожиточного минимума.[13] В их числе Читинская, Пензенская, Курганская, Ивановская, Псковская, Тверская, Рязанская, Астраханская области.

На этом фоне вызывающе выглядят непомерные и быстро растущие доходы верхушки крупного бизнеса и связанного с ними чиновничества. Отсутствие мощного среднего класса еще больше обостряет поляризацию доходов. Для слоев населения в застойных отраслях и регионах длительно сохраняющиеся низкие доходы перестают выполнять стимулирующую роль, порождают настоящую безысходность.

В последние годы в условиях оживления экономики и выхода из острой фазы кризиса доходы населения выросли. Номинальные денежные доходы населения составили 21138,9 млрд. рублей, что на 22,4% больше по сравнению с 2006 годом. Денежные расходы и сбережения населения в 2007 году (20350,2 млрд. рублей) увеличились по отношению к 2006 году на 22 процента. Превышение доходов над расходами и сбережениями выросло и составило 788,7 млрд. рублей, их доля в денежных доходах населения увеличилась с 3,4% до 3,7%, что свидетельствует об ускорении прироста наличных денег на руках у населения. Номинальный фонд заработной платы в 2007 году вырос на 28,6% против 24% в 2006 году. Но доходы большинства россиян лишь недавно достигли уровня 1990 года.

Остается глубоким, резко отличающимся от развитых стран разрыв в доходах верхних и нижних слоев населения. Доходы (среднедушевые) менее 1500 рублей в месяц в 2007 году получали 1,8% всего населения России (в 2006 году − 3,2%). Доходы от 1500 до 2500 рублей − 5,8% (8,8%), от 2500 до 3500 рублей − 8,5% (11,3%), от 3500 до 4500 рублей − 9,4% (11,4%), от 4500 до 6000 рублей − 13,5% (14,9%), от 6000 до 8000 рублей − 14,9% (14,9%), от 8000 до 12000 рублей − 19,7% (17,4%), свыше 12000 рублей в месяц − 26,4% всего населения (18,1%).

Между тем сама по себе столь высокая дифференциация в уровне доходов − еще не диагноз. Высокое доходное неравенство характерно и для ряда высокоразвитых в экономическом отношении стран, в частности для США, Франции, Великобритании, Италии, Японии. Однако российская дифференциация мало сопоставима с американской и западноевропейской, если принять во внимание, что их отделяет огромный (в шесть и более раз) разрыв в уровне ВВП на душу населения и соответственно в уровне среднедушевых доходов. При этом скорость, с которой произошло доходное расслоение в России, не может не впечатлять: на тот путь, который население США прошло за двадцать лет, Россия потратила всего три года.

Несмотря на то, что интенсивные процессы доходного расслоения наблюдались во всех трансформационных экономиках Восточной Европы, Россия − абсолютный лидер и значительно опережает по этим индикаторам Венгрию, Чехию, Болгарию, Польшу, Словению.

С позиций доходного неравенства российская экономика гораздо ближе к латиноамериканским моделям. По этому критерию Россия уступает только Бразилии, Чили и Мексике, в которых бедные 10%. населения имеют от 0,9%. до 1,4% общего объема доходов, а богатые 10%. − от 42,8 до 47,6%.

Процесс доходной дифференциации в постреформенный период имел различную динамику. Абсолютного пика она достигла в 1994 году, далее после достижения финансовой стабилизации в 1995 году доходные различия имели тенденцию к снижению, однако социально-экономические потрясения в связи с финансово-валютным кризисом 1998 года не прошли даром − в 1999 году степень неравномерности распределения доходов вновь резко возросла и приблизилась к уровню 1999 года.

Реальная среднемесячная заработная плата работника (в ценах 1991 г.) за период 1991-1998 годов снизилась с 548 до193 руб., т.е. почти в 3 раза. При этом отношение средней заработной платы к прожиточному минимуму соответственно упало с 3,16 до 1,7, Т.е. без малого в 2 раза. Такие данные суммированы академиком Д. Львовым. После финансового кризиса 1998 г. вновь снизилась заработная плата. По расчетам Российско-Европейского центра экономической политики, в первом квартале 1999 г. реальная начисленная заработная плата (оцененная с использованием дефлятора потребительских расходов) достигла своего самого низкого уровня за все 1990-е годы: она составила около 50 % уровня 1990 г. и оказалась на 30 % ниже уровня 1997 г.

С 2000 года и по настоящее время тренд вновь приобрел вектор в сторону снижения неравенства. С 1999 г. начался рост заработной платы. В 2000 г. прирост реальной заработной платы составил по отношению к предыдущему году 21,1 %; в 2001 г. − 19,9 %; в 2002 г. − 16,6%; В 2003 г. − 10,4 %; в 2004 г. − 10,8 %. Даже в 2004 г., после пяти лет экономического подъема, реальная заработная плата лишь приблизилась к 89 % от уровня 1990 г., вызывавшего в свое время справедливое возмущение будущих реформаторов. Лишь к концу 2005 г. реальная заработная плата сравнялась с уровнем дореформенного 1990 г.

Малеева Т. отмечает, что в упрощенных терминах доходная структура российского общества состоит из трех крупных групп − бедные (около 30% населения), среднедоходные (20-25%), так называемые «протосредние» группы, положение которых можно описать формулой «уже не бедные, еще не средние» (45-50%), и, наконец, «элита» (3%)[14].

Бедность в бывших соцстранах и, в частности, в России носит относительный, а не абсолютный характер. В России и бывших соцстранах люди, относившиеся к бедным, имеют, как правило, жилье, одежду, работу, радиоприемники, телевизоры и многое другое, в то время как во многих районах Африки или Азии бедность означает зачастую полное отсутствие медицинского обслуживания, доступа к чистой воде, неграмотность.

Доходы большинства российских бедных составляют чуть меньше доллара в день, тогда как у основной части бедняков в Латинской Америке они не превышают 10-15 центов.

Взаимосвязь между экономическим ростом и снижением уровня бедности в России по сравнению с другими постсоциалистическими странами представляется наиболее сложной. Например, в таких странах как Румыния, где доля бедных выше, чем в России, можно установить практически однозначную зависимость увеличения темпов экономического роста от снижения уровня бедности. Это вполне естественная ситуация для стран с неглубоким характером бедности, однако в России такого простого соответствия не существует.

Возникает вопрос: почему отсутствует связь между общей динамикой экономики и уровнем бедности или, если эта связь есть, почему она такая сложная?

Есть, по крайней мере, три характеристики самой структуры российской экономики, которые порождают такую ситуацию.[15]

Во-первых, продолжается процесс повышения концентрации ресурсов, в том числе трудовых: с севера люди переезжают на юг, из малых городов в средние, из средних – в крупные. Это снижает диспропорцию, внесенную в предыдущие десятилетия, когда ресурсы в огромном объеме закачивались, например, в районы Крайнего Севера, где экономическая отдача от них была значительно меньше, чем можно было ожидать. Сейчас можно говорить о беспрецедентной ситуации, когда целые поселения или большая часть их населения, например, в районах Крайнего Севера мигрирует в отсутствие каких-то стихийных бедствий, войн или других катаклизмов.

Это перемещение трудовых ресурсов порождает довольно сложную ситуацию: вместо традиционного перетока населения из сельского хозяйства в промышленность, по сути, целые города «переходят» на другое место, а люди перемещаются из одних отраслей в другие. Причем для городского населения отраслевая принадлежность имеет очень большое значение, в то время как в сельских районах она гораздо более однородная и связана с общим состоянием экономики в соответствующих регионах.

Второй причиной отсутствия прямой взаимосвязи между динамикой экономики в целом и уровнем бедности, является огромная концентрация собственности и, соответственно, благосостояния в российском обществе. Даже не будучи экономистом, легко понять, какие последствия это имеет для взаимосвязи между ВВП и уровнем бедности. Если предположить, что распределение доходов является равномерным, то рост экономики на 5% означает рост доходов всего населения на 5%. Но изменение структуры распределения доходов в обществе приводят к тому, что рост ВВП увеличивает доходы наиболее обеспеченной части населения и уменьшает доходы бедных слоев. Соответственно, если перераспределение доходов происходит быстрее, чем рост экономики, то рост ВВП по определению не может оказывать непосредственного воздействия на уровень бедности. То есть фактически экономика может расти одновременно с ростом числа людей, проживающих за чертой бедности. Часто это объясняется простой схемой: эффективность предприятия повышается, если в процессе его реструктуризации увольняется «трудовой балласт», который и пополняет категорию бедных. Возможно, в последнее время этот процесс в России замедлился, но он, безусловно, имел место в 90-е годы и привел к ослаблению связи между ростом экономики и уровнем бедности.

Третьей причиной отсутствия однозначной взаимосвязи между ВВП и уровнем бедности является структура российских предприятий. В России доля предприятий, созданных после начала реформ значительно ниже, чем в других странах с переходной экономикой. Если в странах Центральной и Восточной Европы порядка 60% занятых работают на предприятиях малого и среднего бизнеса, то в России этот уровень около 25%. В результате огромная часть работающего населения по-прежнему занята на крупных предприятиях, унаследованных от Советского Союза. Многие из них не конкурентоспособны. До последнего времени значительная часть их производственных мощностей просто не использовалась, потом, когда начался рост экономики, они могли увеличить выпуск продукции, принимая на работу большее число людей, т.е. их рост был пропорционален росту экономики. Однако резервы производственных мощностей быстро исчерпываются, и при отсутствии инвестиций динамика этих предприятий значительно ниже, чем предприятий новой экономики. Эти новые предприятия берут на работу сравнительно молодых и энергичных людей. Соответственно, социально уязвимые группы населения остаются «за бортом».

Особенностью распространения бедности в условиях переходного периода является резкое изменение ее структуры. За чертой бедности оказалось не только возросшее число традиционно уязвимых категорий населения (пенсионеры, инвалиды, многодетные и неполные семьи), но и «новые бедные» – безработные, малооплачиваемые работники и их иждивенцы, беженцы, вынужденные переселенцы, лица без определенного места жительства. В последние годы появились и «новейшие бедные», в том числе те, кого затронули массовые задержки выплаты заработной платы, социальных пособий, пенсий; те, кто уже успел потерпеть неудачу в сфере предпринимательства, самозанятости, операций с собственностью и не имеет устойчивого текущего дохода выше установленного минимума; трудоспособные граждане, ставшие неконкурентоспособными в результате изменившихся требований и структуры спроса на рынке труда; пострадавшие в результате более рискованных форм и видов занятости в неофициальном секторе экономики.

Кроме того, возросло число лиц без определенного места жительства, доход которых, как правило, если он имеется, не превышает черты бедности.

Сегодня проблема бедности в России сконцентрирована не в селах, традиционно считающихся наиболее уязвимой в этом смысле зоной, а в малых городах, где уже нет ресурсов села, но еще не сформировались ресурсы крупного города, которые способны выступать компенсаторными механизмами погашения бедности и предоставления возможностей на рынке труда.

Сохранение высокого удельного веса работников, получающих вознаграждение, не достигающее прожиточного минимума, рост безработицы без адекватных социальных гарантий, а также перманентное использование по инициативе администрации вынужденных неоплачиваемых отпусков, являющихся фактически одной из скрытых форм безработицы, привели к тому, что, по меньшей мере, три четверти сегодняшних бедняков в России представляют экономически активное население.

Последствия экономических преобразований, обесценив и основные, и дополнительные источники существования, поставили пенсионеров, не имеющих кроме пенсии иных доходов, в условия на грани и даже за гранью выживания. Для многих из них продолжение работы после выхода на пенсию стало суровой необходимостью и основным средством поддержания своих доходов. Неудивительно, что доля работающих пенсионеров в России гораздо выше, чем, скажем, в США. В период 1992-1997 годов занятость среди российских пенсионеров по старости возросла до 25%, в то время как в Соединенных Штатах работают около 16% мужчин и 9% женщин пенсионного возраста.

Ускоряющееся падение реальной стоимости пенсий, даже средние размеры которых не обеспечивают минимальных стандартов существования, ставит пенсионеров в неравноправное положение относительно лиц допенсионных возрастов, реальные доходы которых сокращаются несколько медленнее и у которых объективно больше возможностей адаптироваться к новой экономической ситуации.

Традиционно высокой остается доля лиц за чертой бедности в семьях с высокой иждивенческой нагрузкой, в неполных семьях. Динамика уровня бедности среди них свидетельствует о том, что способность адаптации семей к новым условиям жизнедеятельности тесно связана с их демографической структурой: числом членов, составом по полу, возрасту. По данным мониторингового обследования уровня жизни семей в краях и областях РФ от 60 до 90% семей за чертой бедности составляли семьи с детьми до 18 лет.

В среднедоходные группы в своей массе включены в относительно эффективные экономические сектора. Это работники, занятые в основном в так называемом вторичном экономическом секторе − в организациях и компаниях, занимающихся внешнеэкономическими операциями, общей коммерческой деятельностью по обеспечению функционирования рынка, в банковской сфере, в области финансов, кредита и страхования. Лидеры по уровню заработной платы в реальном экономическом секторе − отрасли топливно-энергетического комплекса (главным образом, разумеется, нефтедобывающая и газовая промышленность), цветная металлургия, строительство и транспорт. Именно эти сектора ощутили реальные результаты экономического роста и отреагировали, в частности, повышением доходов и оплаты своих работников. Подробная характеристика среднего и «протосреднего» класса будет дана в следующем разделе.

Для трансформационного периода, в котором жило российское общество с середины 1980-х до конца 1990-х годов, наиболее радикальным процессом явилось формирование социальных групп собственников − крупных, средних и мелких, которые получают доход в виде прибыли, ренты, поступлений от денежных операций. Здесь наиболее интересен и важен процесс трансформации прежней правящей элиты в социальную группу доминирующих собственников.

Происхождение крупных российских собственников во многом определило их сознание и поведение. Главная их особенность – в сочетании черт бывших партийно-советских аппаратчиков со свойствами обычных бизнесменов. Сохраняющиеся аппаратные качества позволяют ориентироваться в сложной российской ситуации, что делает их конкурентоспособными. Старые связи, навыки управления помогают решать новые задачи, хотя далеко не всегда наилучшим образом (поскольку они накоплены в других условиях). Есть немало примеров неэффективности номенклатурных бизнесменов, их стремления сохраниться в тени не конкурентного квазирынка. Пожалуй, главное состоит в сопротивлении определенной части номенклатурного капитала становлению малого и среднего, особенно венчурного предпринимательства.

Главным же достижением директората и высшей отраслевой бюрократии стало обеспечение наилучшего для себя варианта приватизации. Они сумели избежать как либерального варианта (массовой свободной распродажи госсобственности на открытых аукционах), так и популистски демократического (равномерный раздел между всеми гражданами). В результате директора добились возможности приобретать крупные пакеты акций своих предприятий по закрытой подписке, а в некоторых случаях − становиться их полными владельцами. Практически весь директорский корпус остался на своих местах, а лидеры министерств и ведомств либо получили крупные посты в исполнительных органах власти, либо возглавили концерны и банки национального масштаба. Одновременно эти люди входят в состав политической верхушки страны и контролируют мощные финансово-промышленные группы.

Другой привилегированной группой общества, помимо крупных собственников, в период ельцинизма стало (точнее − сохранило и укрепили свои позиции) российское чиновничество, прямое продолжение советской номенклатуры.

2.3 Асимметрия доходов домашних хозяйств: опыт развитых стран

Несмотря на множество видов классификации различных групп доходов домашних хозяйств, большинство исследователей выделяют три основных группы этих хозяйств в зависимости от уровня их доходов, которые можно условно назвать бедные, обеспеченные и, наконец «средний класс».

По определению П. Таунсенда, к бедным следует относить тех у кого «не хватает ресурсов для приобретения продуктов питания, участия в социальной деятельности и обеспечении себя жизненными условиями, которые широко признаны в обществе, к которому они принадлежат». В США с 1964 года на официальном уровне для измерения бедности используется метод, предложенный М. Оршански. в соответствии с данным методом черта бедности, или минимальный доход семьи, фиксировалась исходя из стоимости продуктов питания по принятому рациону (так называемый минимальный продовольственный план Департамента сельского хозяйства) для домашних хозяйств данного состава и размера; увеличенный втрое. Это определило значение так называемого общего, или подушного, индекса бедности − отношения числа бедных к общей численности населения. При разновременных и межстрановых сопоставлениях он рассматривается как показатель уровня бедности[16].

С конца 60-х годов уровень дохода, соответствующий черте бедности, ежегодно корректируется в соответствии с индексом потребительских цен. Если в 1969 году такой доход для одинокого гражданина составлял 1,8 тыс. долл. в год, то в 1995 году – 7,8 тыс. долл. Однако сама методика расчета прожиточного минимума, разработанная в 1964 году, используется и поныне. Несмотря на длительное и широкое применение, она не лишена ряда недостатков:

за прошедший со времени ее утверждения на официальном уровне период затраты на продукты питания в общих потребительских расходах жителей США снизились до 13%, что отражает рост реального благосостояния в обществе. Однако доля питания в потребительском наборе при расчете прожиточного минимума осталась неизменной. При пересмотре стоимости официального прожиточного минимума учитывается лишь повышение цен на продукты питания, а доля расходов на них сохраняется на уровне одной трети стоимости минимального потребительского набора, как это было более 30 лет назад;

для определения границы бедности используется прожиточный минимум, в то время как значительная часть, например, государственных трансфертов предоставляется в натуральной форме. Таким образом, государственная помощь в не денежной форме, почти вдвое превышающая по стоимости денежные трансферты, не отражается на величине доходов, учитываемых при определении бедности;

при установлении официальной черты бедности учитываются лишь доходы за текущий год. При таком подходе к числу бедных могут быть отнесены лица, владеющие значительными сбережениями, движимым и недвижимым имуществом, но имеющие скромный текущий доход. Например, среди пожилых женщин одновременно высок уровень личного богатства и процент бедности по текущему доходу.

В виде альтернативы первому определению бедности было предложено понятие так называемого дефицита дохода, т.е. размера дополнительного дохода, необходимого для выведения низкодоходной семьи на уровень прожиточного минимума.

По мнению ряда исследователей, приведенные выше определения бедности не вполне корректны, так как минимальная потребительская корзина может варьировать в зависимости от конкретных культурных, исторических и географических условий. Поэтому ими было предложено понятие относительной бедности семей, имеющих доход, составляющий менее половины среднего дохода семьи в стране.

Интересно, что некоторые исследователи считают расчетную оценку бедности, исходящую только из доходов, недостаточной и предлагают более полный показатель распределения населения по уровню жизни. Если под уровнем жизни понимать соотношение дохода и прожиточного минимума, то с этой точкой зрения трудно не согласиться.

В 80-е годы голландскими учеными Лейденского университета был предложен еще один подход к оценке бедности – субъективный. В его основе – представление о бедности как о невозможности реализовать свой потенциал. На основании опросов выявляется зависимость между представлениями о достаточном минимальном доходе и уровнем действительного дохода. Самооценка бедности может иметь в основе, как реальное состояние, так и возможное ощущение бедности из-за отсутствия возможностей удовлетворить потребность в тех или иных товарах и услугах, которая субъективно считается необходимой.

Для определения порога бедности в рамках относительной концепции в международной и отечественной статистической практике используются следующие методы[17]:

статистический − для характеристики «бедности» как относительной категории;

нормативный (с определением прожиточного минимума по потребительской корзине);

комбинированный (питание определяется по нормативам, а остальное − по его доле в общих расходах);

субъективный (проводятся опросы, какой доход респондент считает низким (высоким) для своей семьи);

ресурсный (исходящий из возможностей экономики обеспечить прожиточный минимум и др.).

Для характеристики обеспечения уровня жизни специалисты международных организаций в конце ХХ в. разработали и одобрили следующие критерии уровня жизни (в долларах США 1993 г. по ППС)[18]:

нищеты − до 1 долл./день или 0,4 тыс. долл./год;

бедности − 2 долл./день, или около 1 тыс. долл./год;

прожиточного уровня − 4 долл./день, или около 1,5 тыс. долл./год.

Доход, соответствующий черте бедности в Соединенных Штатах, составляет около 30% среднедушевого дохода американцев и 20%-25% в развитых европейских странах.

К среднему классу зрелого индустриального и информационного обществ обычно относят группы самостоятельно занятых, т.е. мелких предпринимателей, коммерсантов, ремесленников. Это традиционный средний класс, с длительной историей, который в ином концептуальном контексте именовался мелкой буржуазией. Но наряду с ним все большее значение приобретает «новый средний класс», который сформировался в к 1960-1970-м годам. В его состав входят группы хорошо оплачиваемых работников наемного труда: менеджеры, лица свободных профессий, научные работники, работники в сфере информатики и массовой информации, работники искусства, врачи, административные, торговые и инженерно-технические работники, учителя, государственные и муниципальные чиновники и т.д. Если традиционный средний класс обладает собственностью на средства производства, то представители нового среднего класса обладают человеческим капиталом. Последний также делает его носителей активными участниками гражданских отношений, относительно независимыми.

Различные исследователи выделяют следующие критерии принадлежности к среднему классу:

по уровню дохода;

по уровню образования;

по профессионально-квалификационному статусу;

по критерию самоидентификации.

В развитых странах порядка 70-75% домашних хозяйств принадлежат к среднему классу. Подробнее средний класс и критерии определения принадлежности к нему будут рассмотрены в главе 3.

Разделение на общественные группы, приведенные выше, является достаточно условным. Нам представляется более обоснованным доминирующий у европейских социологов подход, который в ходе последних обсуждений с наибольшей прозрачностью и последовательностью был выражен Д. Голдторпом. Он исходит из идеи, что в первую очередь классовые позиции определяются статусом занятости. При этом выделяются три основные классовые позиции: работников, нанимателей и самозанятых. Затем проводится разделение работников по характеру занятости, по типу заключенных ими контрактов.

Классовая схема выглядит следующим образом. На верхних ступенях размещаются два правящих класса. Первый (высший) правящий состоит из высокого уровня профессионалов, администраторов, менеджеров в крупных корпорациях, крупных собственников. Второй правящий класс включает профессионалов более низких рангов, соответственно и администраторов, и менеджеров небольших компаний, высококвалифицированных технических специалистов. Третий класс образуют работники нефизического труда. Верхняя часть этого класса объединяет наемных работников «в белых воротничках», занятых рутинным нефизическим трудом высокого ранга в государственных офисах, частных компаниях. Низшая складывается из менее ранжированных работников нефизического труда, занятого в торговле и обслуживании. Четвертый класс образует мелкая буржуазия, которая подразделяется на три подкласса. Первый − мелкие собственники, использующие наемных работников. Второй − мелкие собственники, не имеющие наемных работников. Третий − фермеры, мелкие арендаторы, другие самозанятые. Пятый и шестой классы образуют разные слои квалифицированных рабочих. Пятый состоит из низкоранжированных техников, мастеров, бригадиров. Шестой − из квалифицированных рабочих исполнительского физического труда. Наконец, седьмой класс − это совокупность рабочих неквалифицированного физического труда, он состоит из двух подклассов. Первый – рабочие вне сельского хозяйства, добывающей и занятой первичной переработкой продукции промышленности. Второй включает именно только что названные категории.

Выделенные таким образом классы различаются по специфическим для каждого из них ограничениям и возможностям, в число которых входят те, которые оказывают влияние на индивидуальную экономическую безопасность, стабильность и перспективы. Классы представляют собой группы лиц, объединенных общими интересами. Чрезвычайно важна связь классовой дифференциации в обществе с характером социальной мобильности.

Мировая практика говорит о том, что рынок не обеспечивает равенства в доходах даже в странах с высоким их уровнем в расчете на душу населения. Социальная дифференциация доходов весьма различается по странам и зависит от различий в занимаемом субъектами месте в производстве и распределении национального дохода, от уровня образования, специальной подготовки и т.п. В таблице 2.3 приведены коэффициенты дифференциации доходов по некоторым странам.

Таблицы 2.3

Коэффициент равномерности доходов граждан (КРДГ) и другие показатели дифференциации доходов по некоторым странам[19]

Ранг по КРДГ

Страна

Коэффициент равномерности доходов граждан, КРДГ

Коэффициент дифференциации 10/10

Индекс Джини

1

Япония

0,907

4,5

0,249

2

Чехия

0,901

5,2

0,254

3

Швеция

0,896

6,2

0,250

4

Босния и Герцеговина

0,895

5,5

0,262

5

Норвегия

0,894

6,0

0,258

6

Финляндия

0,890

5,7

0,269

7

Словакия

0,889

6,7

0,258

8

Узбекистан

0,888

6,1

0,268

12

Киргизстан

0,875

6,0

0,290

13

Германия

0,874

6,9

0,283

14

Украина

0,873

6,3

0,290

17

Беларусь

0,861

6,9

0,304

18

Австрия

0,860

7,6

0,300

21

Казахстан

0,853

7,1

0,313

23

Литва

0,846

7,8

0,319

28

Латвия

0,838

8,9

0,324

45

Молдова

0,806

10,1

0,362

46

Азербайджан

0,805

9,5

0,365

49

Италия

0,800

11,7

0,360

52

Великобритания

0,796

13,6

0,360

53

Грузия

12,1

0,369

55

Армения

0,787

11,4

0,379

56

Эстония

0,783

15,0

0,372

62

Туркменистан

0,758

12,2

0,408

64

США

0,745

15,7

0,408

76

Китай

0,702

18,4

0,447

77

Россия

0,698

20,0

0,456

78

Филиппины

0,696

16,5

0,461

85

Венесуэла

0,609

60,5

0,491

86

Перу

0,601

53,1

0,498

87

Аргентина

0,593

38,9

0,522

90

Мексика

0,568

43,1

0,546

92

Чили

0,543

39,2

0,571

94

Колумбия

0,521

58,1

0,576

95

Парагвай

0,515

72,7

0,568

97

Бразилия

0,486

93,4

0,591

100

Намибия

0,335

129,0

0,707


Как видно из таблицы, наиболее мягкие показатели дифференциации доходов у Японии. Примечательно, что все страны − бывшие союзные республики, попавшие в выборку, имеют показатели дифференциации доходов более щадящие, чем Россия.

Современные процессы постиндустриальной трансформации оказывают большое влияние на структуру и динамику доходов населения. В развитых странах наблюдается сравнительно быстрый и практически неуклонный рост как объема доходов, так и их величины в расчете на душу населения, что привело в последней трети прошлого – начале нынешнего века к значительному повышению и качественному изменению жизни основной массы населения.

Что касается структуры доходов, то в их составе растет доля доходов от предпринимательства, в том числе от среднего и малого бизнеса, от ценных бумаг, вкладов в различные фонды, социальных трансфертов, а снижается удельный вес заработной платы. При этом трактовка самого понятия заработной платы нуждается в существенной корректировке с учетом глубоких сдвигов в системе социальноэкономических отношений в обществе.

Представляется, что форма заработной платы и лежащая в ее основе система наемного труда во многом утрачивает прежнее «классическое содержание» как отношение между собственниками капитала и неимущими пролетариями. Это связано с деперсонификацией капитала, о чем уже говорилось, а также с тем, что отношения между владельцами акционерного капитала и наемным персоналом опосредуются менеджментом, к которому переходят главные функции в экономическом процессе.

Но самое важное состоит в том, что все большая часть наемных работников – инженеры и технологи, квалифицированные рабочие, исследователи и разработчики, управленцы, специалисты по маркетингу и финансам – выступают уже не в качестве неимущих продавцов рабочей силы, а как носители и владельцы интеллектуального капитала – главного фактора повышения эффективности современного производства. Через повышенные оклады, премии они участвуют в конечных доходах корпораций, не говоря уже о том, что во многих случаях они являются владельцами их акций. Таким образом, заработная плата превращается в форму дохода от договорного сотрудничества по использованию производственных ресурсов, включая интеллектуальный капитал. В связи с этим сглаживаются прежние социальные различия и жесткие границы между социальными группами и слоями, сужается дифференциация, усиливается вертикальная и горизонтальная мобильность. Значительную, или даже основную, часть населения развитых стран сейчас принято относить к среднему классу. Это – скорее собирательное понятие, обнимающее собой не только мелких и средних предпринимателей, но и наемных работников корпораций, государственных и муниципальных структур, лиц свободных профессий с определенным уровнем доходов и вытекающими из них некоторыми чертами образа жизни и быта.

Конечно, и в развитых странах нельзя считать решенными проблемы «равенства неравенства» в доходах, бедности значительных слоев населения, вызывающей роскоши и расточительности богачей. Но при всем этом обобщающие параметры разброса в доходах приобрели некую устойчивость и не очень сильно различаются по развитым странам. Это относится, например, к соотношению среднедушевых доходов в верхних и нижних 10%ных группах населения.

В странах с рыночной экономикой уже в течение длительного времени осуществляется государственное регулирование, направленное на выравнивание материального положения различных доходных групп населения.

Политика выравнивания распределения доходов может быть преимущественно ориентирована на социальную поддержку низкодоходных групп населения либо на ограничение доходов высокодоходных групп. По мнению экономистов, когда такая политика органически сочетает в себе оба эти принципа и направлена на рациональную организацию системы налогообложение − социальные льготы. Регулирование должно начинаться на верхнем уровне и сводиться к достижению разумного баланса между требованиями экономического развития страны и социальными программами, к осуществлению которых должны привлекаться не только государственные, но и коммерческие и общественные организации.

Наиболее важным и универсальным средством преодоления бедности в развитых странах остаются механизмы перераспределения доходов и прежде всего действие системы «налогообложение − социальные льготы». Оптимизация системы налогообложения на основе исследования взаимозависимости «налогообложение − социальные льготы» позволяет нейтрализовать негативные последствия инфляции. Снижение налоговых ставок ведет, с одной стороны, к оживлению экономики, к росту доходов населения, но, с другой, если говорить о кратком периоде времени, − к неизбежному сокращению ресурсного обеспечения социальных программ и росту инфляции. Наоборот, увеличение налогов имеет своим следствием замедление экономического роста, сокращение доходов, но в то же время позволяет выделить дополнительные средства на расширение социальных программ и снизить уровень инфляции.

В Великобритании в функционировании системы «налогообложение − социальные льготы в качестве основного инструмента управления благосостоянием населения используется вторая ее часть. Взгляды английских и других западноевропейских ученых на принципы построения системы «налогообложение − социальные льготы» хорошо отображены в разработанных ими различных экономико-математических моделях.

В последние годы реформы в системе «налогообложение − социальные льготы» проводились в ряде стран. В 1985 г. они прошли в США и Японии. В Великобритании в 1986 г. был принят так называемый Акт социального обеспечения, что вызвало серьезные изменения в положении определенных слоев населения.

Но наиболее высокую перераспределительную функцию выполняют в США социальные трансферты (также, как и в Великобритании). Доля денежных доходов, полученных двумя наименее обеспеченными квинтильными группами после добавления социальных трансфертов, увеличилась на 5,9%, а коэффициент Джини сократился на 17%.

На основании анализа данных текущего обследования доходов за 1997 г. в докладе Бюро цензов делается важный вывод о том, что в США система государственных трансфертов оказывает более эффективное воздействие на сокращение неравенства в распределении доходов, чем налоговая система. Такая же тенденция существует и в других развитых странах.

3. Механизмы снижения неравенства и перспективы укрепления позиций российского среднего класса

 

3.1 Особенности современного российского среднего класса

Современные ученые и экономисты дают различные определения российскому среднему классу. Особое внимание привлекает серьезная попытка провести исследование по среднему классу, предпринятая в начале 1999 г., вскоре после августовского кризиса 1998 г. Это социологическое исследование «Средний класс в России» было выполнено в феврале-марте 1999 г. Российским независимым институтом социальных и национальных проблем и Центром социального прогнозирования. Целью исследования было выяснение меры сохранности среднего класса после финансового кризиса 1998 г., а также выявление ресурсов для его восстановления и поддержания.

Авторы этого исследования в качестве структурных элементов среднего класса априори выделили следующие профессиональные группы:

квалифицированные рабочие;

техническая интеллигенция;

гуманитарная интеллигенция;

работники сферы торговли, услуг, транспорта;

служащие (государственные служащие, юристы и т.п.);

предприниматели малого бизнеса;

фермеры;

кадровые военные (старшие офицеры);

менеджеры (руководители высшего и среднего звена).

Всего в рамках данного исследования было опрошено 1765 человек в 14 территориально-экономических районах Российской Федерации, включая Москву и Санкт-Петербург. Критерием материального положения респондентов как представителей среднего класса в составе перечисленных социально-профессиональных групп населения служил показатель уровня душевого дохода − не ниже 1500 руб. в месяц, т.е. (в то время) примерно 60-70 долл.

Опираясь на эти данные, авторы исследования сформулировали свои выводы о современном российском среднем классе, его социальной структуре, материальном положении, миграционной, профессиональной, статусной мобильности, характере выполняемой работы, структуре досуга, политических установках и т.д. Основные результаты были опубликованы в вышедшей книге[20].

Однако, очевидна сомнительность такого подхода, поскольку этот уровень дохода не соответствует издержкам на воспроизводство представителей среднего класса при самых заниженных требованиях. В то время это была скорее граница бедности. Переход к верхнему среднему классу, по мнению авторов, начинался с 3000 руб. в месяц, т.е. примерно со 120-130 долл. Для большей части респондентов, отнесенных по таким критериям к среднему классу, характерен размер жилплощади около15 кв. м на одного человека, наличие многокомнатной квартиры, а также дачи или пригородного участка.

РНИСиНП в качестве основного критерия выделения среднего класса использовал самооценку индивидом своего социального статуса. Была предложена 10-балльная шкала, где 1 − высшая позиция, а 10 − низшая. К высшему среднему классу были отнесены индивиды, которые при определении своего социального статуса причислили себя к 1-3 позициям, к собственно среднему классу те, кто оценил свой статус на 4-6 баллов, к нижнему среднему классу − респонденты с самооценкой статуса в 7-8 баллов. Далее группа экспертов выделила ряд факторов, которые влияют на самооценку индивида. Это (в порядке убывания) − материальное положение, образ жизни, степень престижности профессии, уважение окружающих, уровень образования и квалификации, связи и знакомства.

Средний класс в России обычно рассматривают также, опираясь на показатели дохода и образования. При этом центр тяжести переносится обычно на доход и сопряженные с доходом имущественные характеристики и параметры стиля жизни. Таким образом, учитывая реальное состояние нашей экономики, где основным формирующим ВВП компонентом выступают сырьевые отрасли, мы получаем весьма специфический средний класс.. Это, по арифметическому большинству, мелкие предприниматели и наемные работники сервисных отраслей, связанные с инфраструктурой сырьевого бизнеса, включая банковские услуги и т.д., обслуживанием нужд топ-менеджмента и среднего менеджмента этих же отраслей, а также государственные и муниципальные чиновники, чьи официальные и неофициальные доходы целиком сопряжены с этими отраслями. Подобные средние слои (или средний класс) характерны для тех стран третьего мира, чей ВВП основан на доминировании сырьевого компонента в производстве. Для общества, основанного на сырьевой экономике, не нужен численно большой средний класс, образующий большинство населения страны.

Однако современный, так называемый новый средний класс − функционально другой. Выделим следующие основные признаки современного российского среднего класса.

Во-первых, вопреки своему названию, это не просто социальная группа, занимающая срединные позиции в профессиональной, статусной или имущественной иерархии. Как правило, в России под средним классом подразумевают верхний срез массовых групп, которые преуспевают по отношению к основной массе населения, но при этом явно недотягивают до узкого слоя элиты. Средний класс − это фронтир массовых слоев населения. По существу речь идет о «высшей средней» группе (upper middle).

Во-вторых, «средний класс» − это не чисто позиционная характеристика, понимаемая как набор мест в сложившейся структуре общества. Это в сильной степени динамическая характеристика. Она указывает ориентиры, по направлению к которым, как предполагается, будут двигаться дееспособные в экономическом и социальном отношении группы в некоем обозримом будущем. При этом речь идет не о социальном прогнозе в чистом виде. Данная динамическая характеристика содержит сильный элемент долженствования. «Средний класс» − это то, чем должна стать основная масса активного населения.

В-третьих, категория «средний класс» очень сильно нагружена в ценностном отношении. Этому классу приписываются чуть ли не все позитивные черты в части его экономических, политических и социальных установок. Средний класс, таким образом, представляет идеализированный образ будущих членов общества, как их хотелось бы видеть с определенных ценностных позиций.

Наконец, в-четвертых, в части описания уровня и стиля жизни людей «средний класс» — это явно заимствованный образ. Принадлежать к среднему классу значит не просто жить хорошо по российским меркам, это означает жить так, как живут на Западе, иметь то, чем обладает полноправный гражданин продвинутой западной страны.

Все эти элементы долженствования, идеализации в описании установок населения и заимствования образов из чужих социальных сред в описании жизненных стандартов определяют средний класс как весьма сложную мифологему, связанную с перенесением на российскую реальность внешних ценностно нагруженных образов своего потенциального будущего, определяемого через подсмотренное чужое настоящее.

По мнению Т. Малеевой, с которым согласна и автор этой работы, средние классы не могут быть описаны одним или даже двумя-тремя интегральными критериальными признаками. Методика Т. Малеевой представляет интерес благодаря двум причинам[21]:

выделение именно российского среднего класса;

идентификация принадлежности к среднему классу на основании не только личностной принадлежности, но и принадлежности к нему экономического домохозяйства.

Для построения интегрального критерия материальной обеспеченности используются следующие показатели:

текущие денежные доходы;

накопленные сбережения;

накопленное движимое имущество;

наличие сельскохозяйственных животных (крупный рогатый скот, свиньи, козы, лошади);

имеющееся в распоряжении домохозяйства накопленное недвижимое имущество;

имеющиеся в распоряжении домохозяйства земельные паи, пастбищные и сенокосные угодья.

В основе такого подхода лежат две причины. Во-первых, материально-имущественное положение домохозяйства в любых экономических условиях определяется не только текущими доходами, но и всем комплексом материальных активов. Во-вторых, российской экономической статистике и социологии хорошо известен факт сокрытия респондентами реальной величины доходов. В этом отношении использование широкого набора материально-имущественных индикаторов снижает вероятность ошибки при занижении текущих доходов домохозяйства.

Материальные параметры рассматриваются исключительно как домохозяйственные характеристики. В отличие от социально-профессиональных и самоидентификационных признаков, которые по своей природе являются индивидуальными, но могут быть распространены и на семейный уровень, доходы, сбережения, имущество и прочие элементы материальной обеспеченности фактически находятся в пользовании всей экономической семьи.

В комплекс материальных характеристик среднего класса включены шесть показателей, и интегральный критерий материальной обеспеченности рассчитывается на основе их концентрации, в дальнейшем будет применяться следующий принцип: для определения граничных стратификационных значений каждого признака все дискуссионные уровни значений отнесены к потенциальным материальным характеристикам среднего класса.

Из контекста предыдущих подразделов понятно, что интегральный критерий материальной обеспеченности строится на основе оценки концентрации признаков среднего класса, поэтому следующим образом:

сначала рассчитываются уровни концентрации материальных характеристик среднего класса;

затем устанавливается стратификационная граница среднего класса по интегральному признаку материальной обеспеченности.

Программа исследования движимого имущества предполагала сбор информации по 26 наименованиям имущества, в состав которых были включены:

наиболее распространенные элементы имущества (телевизор, холодильник, стиральная машина, мебельная стенка, видеомагнитофон и пр.);

«инновационные» элементы имущества (посудомоечная машина, компьютер, мобильный телефон, антенна спутникового телевидения, видеокамера, кондиционер, тренажеры, газонокосилка), появившиеся у российских домохозяйств в основном в последние десять лет;

дорогостоящие транспортные средства.

В качестве базисного принципа классификации выступало количество элементов имущества. Далее была выполнена процедура тестирования четырех уровней обеспеченности (4, 5, 6 и 7 элементов) на предмет наличия:

самых распространенных элементов имущества, к которым относятся те предметы длительного пользования, которые имеются у большей части опрошенных; в их число попали: телевизор (94,8% респондентов заявили о его наличии), холодильник (94,5%), стиральная машина (80,9%);

малораспространенных «инновационных» элементов имущества из следующего списка: посудомоечная машина, микроволновая печь, компьютер, мобильный телефон, видеокамера, спортивные тренажеры, подключение к Интернету;

новых импортных и отечественных автомобилей.

В результате по признаку материальной обеспеченности было получено следующее распределение:

к среднему классу относятся те домохозяйства, которые имеют уровень концентрации материальных характеристик среднего класса 3 и выше;

домохозяйства, имеющие один-два материальных признака среднего класса, отнесены к группе «ниже среднего»;

не имеющие ни одного из выделенных материальных признаков разместились на низшем уровне материальной обеспеченности; эти домохозяйства составляют группу с низшим материальным потенциалом среднего класса.

Согласно данной методологии по признакам достигнутых стандартов уровня жизни к среднему классу отнесены семьи, обладающие тремя и более из шести тестируемых материальных активов (уровень доходов, наличие сбережений, владение движимым и недвижимым имуществом, наличие в собственности земли и сельскохозяйственных животных). Таким условиям соответствует 20,7% семей из сформированной выборки, репрезентативной на общероссийском уровне.

Самой распространенной является модель сочетания материальных характеристик «доходы − сбережения − имущество − жилье». Ее демонстрируют 27,2% домохозяйств среднего класса, или 5,6% опрошенных семей. В основном это городская модель благосостояния среднего класса: в крупных городах она распространяется на 31,5% домохозяйств, отнесенных к среднему классу. Это самая «мощная» модель не только по распространенности, но и по значимости материальных активов. Она объединяет все основные материальные активы среднего класса, поскольку сельскохозяйственные животные и земля − это специфичные характеристики сельского среднего класса. Если бы при идентификации среднего класса мы перешли к уровню интегрального критерия «4 и больше», то эта модель была единственной среди основных: на нее приходилось бы 75% среднего класса. Тот факт, что самая значимая модель оказалась и самой распространенной, принципиально важен, поскольку позволяет предположить наличие некоторого «ядра среднего класса» как со статистической, так и с содержательной точек зрения.

Остальные четыре модели из числа самых распространенных относятся к третьему уровню интегрального признака:

«доходы − имущество − сбережения» − 17,0% семей, отнесенных к среднему классу с точки зрения материального благосостояния;

«доходы − имущество − жилье» − 14,7%;

«сбережения − имущество − жилье» − 9,1%;

«доходы − сбережения − жилье» − 6,1%.

Отсутствие какого-либо четвертого актива, прежде всего, связано с жизненным циклом семьи, сберегательным и потребительским поведением. Более молодые семьи еще не смогли накопить достаточно ресурсов, чтобы купить второе жилье или расширить первое, и находятся на этапе накопления, поскольку в условиях слабой институциональной системы кредитования населения в России аккумулирование сбережений стало главной стратегией домохозяйства для подготовки к выходу на рынок недвижимости. С другой стороны, семьи, недавно купившие жилье или относительно дорогие предметы имущества, расходуют материальный актив «сбережения», но взамен приобретают другой. Модель «сбережения − имущество − жилье», распространившаяся на 1,9% опрошенных семей, скорее всего, объединяет семьи, либо скрывшие свои доходы, либо не получившие их в момент опроса. Аналогичное соображение может оказаться справедливым и для модели «доходы − имущество − жилье» (3% опрошенных). Однако в данном случае также не исключается ситуация недавнего расходования сбережений.

Самая значимая модель «доходы − сбережения − имущество − жилье» распространяется практически на треть домохозяйств (31,5%). Это означает, что в областных центрах средний класс не только самый большой по численности, но и самый мощный по значимости активов, что соответствует представлениям об общих закономерностях формирования среднего класса.

Для районных центров характерна большая размытость структуры материальных ресурсов: пять выделенных выше моделей охватывают 70,5% семей. Однако модель «доходы − сбережения − имущество − жилье» и здесь сохраняет приоритетность (21,3%). При этом на районном уровне не наблюдается появления новых преобладающих моделей. Следовательно, несмотря на то, что по сравнению с областными центрами количественные оценки численности среднего класса в районных городах в два раза ниже, модели формирования материальных активов обнаруживают сходство, чего нельзя сказать о сельской местности.

В российских селах из пяти ранее выделенных базовых моделей только три являются относительно распространенными:

«доходы − имущество − жилье» (7,0%);

«доходы − имущество − сбережения» (9,8%);

«доходы − сбережения − имущество − жилье» (8,4%).

В целом их демонстрируют только 25,2% сельского среднего класса. Однако на селе список типичных моделей расширяется. Здесь, как и следовало ожидать, «работают» комбинации, отражающие специфику сельскохозяйственного уклада:

«имущество − земля − сельскохозяйственные животные» (11,9%);

«сельскохозяйственные животные − имущество − сбережения» (6,3%);

«доходы − сбережения − имущество − сельскохозяйственные животные» (6,3%),

«доходы − имущество − сельскохозяйственные животные» (6,3%).

Обращает на себя внимание то, что расширяется список моделей как 3-го, так и 4-го уровня интегрального критерия материальной обеспеченности. При этом сельские типичные модели в российской деревне имеют большую значимость относительно пяти общих, поскольку на них приходится 30,8% сельского среднего класса. Однако даже расширение списка типичных моделей не позволяет достигнуть уровня их значимости, характерного для городского населения. В целом на «сельские» и «общие» модели формирования материальных активов в сельской местности приходится лишь 56%. В результате выделить преобладающие модели практически невозможно. Следовательно, структура материальных ресурсов на селе размыта, а стратегии их формирования дифференцированы в большей степени, чем в городах. Таким образом, методика построения интегрального критерия материальной обеспеченности позволила не только определить количественные границы среднего класса с точки зрения экономического благосостояния, но и выделить наиболее распространенные модели формирования материальных активов.

При выделении российского среднего класса использовались четыре социально-профессиональные параметра:

наличие/отсутствие высшего образования;

наличие/отсутствие регулярной занятости;

характер труда (физический/нефизический);

наличие/отсутствие управленческих позиций.

Общая идея здесь заключается в том, что в этот класс должны войти высокообразованные и экономически активные члены общества, не занимающие при этом высших должностных позиций. В данном случае это аналогично веберовской концепции класса как группы со сходными рыночными позициями. Последние понимаются здесь как сравнительные позиции на рынке труда, т. е. различные жизненные шансы, обусловленные формами занятости (или незанятости).

При выделении данного типа среднего класса исходным является уровень индивидов, а итоговым − уровень семей. Средний класс», какие бы критерии не выбирались, в сильной степени характеризует семью или домохозяйство, а не отдельного индивида. Именно поэтому семейный уровень является основным для проводимого исследования. Сложность здесь состоит в том, что социально-профессиональные позиции − атрибут индивида.

Существуют три варианта решения проблемы определения статуса семьи[22]:

по мужу (по жене);

по основному кормильцу;

по наивысшему статусу.

К сожалению, все эти решения, несмотря на привлекательную простоту рецептов, не являются удовлетворительными, ибо совершенно не учитывают размера и структуры семьи. Поэтому в исследовании предлагается другой путь − он сложнее с расчетной точки зрения, но более адекватен с содержательных позиций. Сначала определяется, кто из членов семьи относится к представителям среднего класса по пересечению указанных профессионально-квалификационных признаков. Затем определяется, какую долю члены среднего класса занимают среди общего числа взрослых членов семьи.

Проведенное исследование позволило выделить следующие социальные характеристики российского среднего класса[23].

1. Гендерные различия. Мужчины и женщины с равной вероятностью попадают в социально-профессиональный средний класс, гендерные различия в данном случае отсутствуют. При этом в среднем классе чаще основным или единственным кормильцем семьи выступает мужчина. Хотя и здесь гендерные различия невелики.

2. Возраст. Более половины социально-профессионального среднего класса (57%) находится в активном среднем возрасте − от 31 до 50 лет, а наибольшее представительство имеет возрастная когорта от 31 до 40 лет. Средний возраст основных кормильцев в составе социально-профессионального среднего класса ниже, чем в семьях нижнего класса, − 44 года против 50 лет.

3. Размер семьи. Подавляющую массу среднего класса (четыре пятых) составляют семьи среднего размера − от двух до четырех человек. В среднем классе относительно меньше семей, состоящих из одиноких людей.

4. Семейный статус. В среднем классе больше полных семей. Однако это порождено различиями в возрасте. В нижнем классе больше пожилых людей, не имеющих супружеской пары.

5. Демографический состав. В семьях среднего класса относительно больше несовершеннолетних детей (что тоже обусловлено возрастными различиями), меньше пенсионеров и больше взрослых членов семьи в трудоспособном возрасте.

6. Типы поселений. Концентрация среднего класса в областных и столи чных центрах в 2,5-3 раза выше, чем в малых городах и селах. В этих крупных центрах сосредоточено две трети всего среднего класса. Особую роль играют две столицы (Москва и С.-Петербург), где проживает четверть среднего класса (24%) и лишь 8% нижнего класса. По концентрации среднего класса наблюдается более чем двукратный отрыв столиц от прочих российских территорий.

7. Сегменты рынка труда. Больше всего социально-профессиональный средний класс представлен в отраслях непроизводственной сферы. Вместе со сферой государственного управления и сферой услуг они охватывают две трети представителей среднего класса (66%), производственные отрасли добавляют еще четверть (26%).

8. Размер предприятий. Наивысшая доля среднего класса наблюдается среди занятых на микропредприятиях с числом занятых от 1 до 10 человек (42% занятых на этих предприятиях). А на малых предприятиях (до 100 человек) сосредоточено 43% общего числа представителей среднего класса.

9. Формы собственности. На предприятиях государственного сектора сконцентрировано без малого две трети всего среднего класса (64%), а частные и приватизированные структуры обеспечивают оставшуюся треть. Хотя доля среднего класса в числе занятых выше на вновь созданных частных предприятиях (36%).

Самоидентификация − один из базовых стратификационных критериев, на основании которого ряд авторов выделяет средний класс, называемый в этом случае субъективным средним классом. Проведенное исследование также включало рассмотрение среднего класса, выделенного по этому критерию.

Факторами, определяющими общественное положение, в исследовании выступали следующие шесть переменных, каждая из которых может принимать два значения (1 − «да, влияет» и 0 − «не влияет»):

социальное положение членов семьи;

образование;

профессия;

занимаемая должность;

размер дохода семьи;

место проживания.

Исследование показало, что объективные критерии индивидуальной самоидентификации проявляют себя следующим образом:

возраст влияет на самостратовый выбор: молодому поколению свойственны более высокие социальные амбиции, а в «третьем возрасте» происходит статусная деградация;

отсутствие высшего образования существенно снижает шансы подняться выше среднего слоя, а отсутствие среднего специального образования, как правило, не пускает и в средний слой;

уровень материальной обеспеченности является важным критерием самоидентификации; интервал личных заработков от 12 до 15 тыс. руб. − это порог, по достижении которого люди уже не видят себя представителями нижних социальных слоев;

связь между должностной позицией и оценкой общественного положения проявляется в том, что с повышением формального социального статуса (до руководящих должностей различного уровня) число высоко оценивших свое общественное положение увеличивается; однако наличие среди руководящих работников заметной доли тех, кто считает свое положение средним или даже ниже среднего, свидетельствует о несформированности ролевых статусных позиций в современном российском обществе;

наличие постоянной работы и одновременно регулярной дополнительной занятости в большей степени предопределяет попадание на средние и верхние ступени социальной лестницы;

высокая оценка собственного профессионализма предопределяет и высокую социальную самооценку; в верхних стратификационных группах практически нет плохих профессионалов, что косвенно свидетельствует о том, что профессионализм является необходимым условием продвижения по социальной лестнице; этот ресурс оказывается, тем не менее, недостаточным для получения адекватного материального вознаграждения;

успехи и неудачи на пути социально-экономической адаптации во многом предопределили самостратовый выбор, и с повышением уровня адаптированности растет и социальная самооценка.

В результате исследования выявились следующие особенности социально стратифицированных домохозяйств:

во всех регионах, включенных в исследование, доля домохозяйств, отнесенных к среднему слою по уровню самоидентификации, не опускается ниже 30%, но в Москве и С.-Петербурге их представительство превышает 50%;

для семей, отнесенных к низшему слою, характерно большее представительство женщин в составе семей; по мере продвижения вверх по социальной лестнице половой баланс выравнивается, и в домохозяйствах, составляющих средний слой, достигается паритет мужчин и женщин;

домохозяйства, относящиеся к среднему слою, имеют в своем составе заметно большее число членов семей, имеющих высшее образование, минимальное представительство неработающих и максимальное − работодателей и самозанятых, а также руководителей различных уровней;

более интенсивный и эффективный характер занятости членов домохозяйств, отнесенных к среднему классу, определяет и большее разнообразие источников доходов; в домохозяйствах данного типа скорее аккумулируются зарплата, доходы от предпринимательства, доходы от приработков, а по мере понижения социального статуса домохозяйств число данных источников доходов сокращается;

домохозяйства, классифицированные по признаку социальной самоидентификации, заметно различаются по типу сберегательного поведения; основное отличие состоит в том, что домохозяйства, составляющие средний класс по признаку самоидентификации, отдают предпочтение хранению накоплений в виде наличной валюты; в то же время эти домохозяйства в большей степени практикуют диверсификацию видов сбережений;

отличаются домохозяйства среднего класса и по потребительскому поведению, которое характеризуется большим ассортиментом платных услуг и интенсивностью их потребления;

домохозяйства среднего класса постепенно начинают осваивать, и более успешно, чем другие, различные страховые программы, но пока масштаб распространения добровольного страхования еще очень мал, особенно это касается добровольного медицинского страхования; здоровье, таким образом, даже в понимании наиболее «продвинутых» домохозяйств еще не стало ни социально-экономической ценностью, ни объектом эффективного инвестирования;

отношение к инвестициям в образование в целом более позитивное; по-видимому, домохозяйства среднего класса озабочены проблемой статусного воспроизводства и рассматривают высшее образование в качестве инструмента сохранения и поддержания социальной идентичности.

Таким образом, в исследовании последовательно были проанализированы состав и структура трех средних классов, выделенных по каждому из критериальных признаков − социально-профессиональному статусу, материально-имущественному положению и самоидентификации. С точки зрения социально-профессиональных позиций к среднему классу относится 21,9% домохозяйств, по материальному положению − 21,2%, по самоидентификационным оценкам − 39,5% .

Проведенное исследование позволило выделить, прежде всего, так называемое, «ядро» средних классов. Это домохозяйства, которые демонстрируют все базовые признаки среднего класса. Ядро средних классов − бесспорный и наиболее стабильный средний класс.

Вообще говоря, ядро средних классов можно было бы назвать «идеальным средним классом», если бы не следующее обстоятельство. При выделении средних классов в каждом поле в средние классы попадали обладатели не всех используемых показателей, а лишь определенных их комбинаций. Напомним, в частности, что по материально-имущественному критерию «пропуском» для вхождения в средний класс выступало наличие не всех шести индикаторов, а не менее трех. Следовательно, теоретически в ядро могли попасть семьи, не владеющие, например, сбережениями или достаточно представительным имущественным набором или даже относительно высокими текущими доходами. Таким образом, абсолютно «идеализировать» ядро средних классов было бы преждевременно.

Вместе с тем группа домохозяйств, обладающих только двумя характеристиками, также представляет большой интерес. Эти домохозяйства настолько близки к средним классам, что нельзя не принимать их во внимание, особенно если мы хотим не только зафиксировать масштаб сегодняшнего среднего класса, но и попытаться понять, каковы перспективы его расширения, при каких условиях в него могут влиться новые социальные слои и какие именно из этих социальных слоев имеют наилучшие шансы. И действительно, в эту группу входят семьи, взрослые члены семьи которых, например, не имеют высшего образования, что, впрочем, не помешало им состояться экономически (в материальном отношении) и социально (в терминах самоидентификации). Другой пример − относительно обеспеченная, высокообразованная семья, которая, однако, снизила социальный статус, например, по сравнению с дореформенным периодом, и в настоящее время невысоко оценивает свое положение. Наконец, наиболее проблематичным (и, как показывает последующий анализ, распространенным) является случай, когда домохозяйство обладает высокими профессиональными и статусными признаками, однако в современной социально-экономической ситуации его доходы и материальное положение в целом относительно низки. Вместе с ядром они рассматриваются как относительно устойчивая социальная группа, демонстрирующая признаки среднего класса.

В результате совокупность домохозяйств, которые обладают не менее чем двумя признаками среднего класса, рассматриваются как база среднего класса и называется обобщенным средним классом.

В ходе исследования выяснилось, что ядро средних классов − этот наиболее бесспорный и стабильный средний класс − оказалось невелико по своему масштабу: оно составило 6,9% домохозяйств. По городской выборке его размер ощутимо больше − 12,9%. Современный обобщенный средний класс составляет около 20% российских домохозяйств и 30% городских. Совокупный средний класс как образование, в которое входят семьи, имеющие хотя бы один признак средних классов, составил 52%.

3.2 Перспективы развития российского среднего класса в условиях экономики инновационного типа

Итак, к среднему классу в России относятся около 20% домохозяйств. Много это или мало, зависит от угла зрения. В любом случае эти результаты опровергают тезис «в России средних классов нет», как, впрочем, и антитезис «подавляющее большинство россиян − средний класс». 20%-ная доля средних классов, хотя и уступает аналогичным оценкам размеров средних классов в развитых рыночных экономиках (60-70%), все же, на наш взгляд, достаточно весома, чтобы нельзя было не замечать факт существования средних классов в современной России.

С другой стороны, то, что лишь немногим более 50% российских домохозяйств обладают базовыми характеристиками, присущими среднему классу, не дает оснований и для излишнего оптимизма. Ведь по существу полученная конфигурация средних классов означает следующее. Общепринятой или по меньшей мере доминирующей является точка зрения, что причиной резкого сокращения численности среднего класса в России стало драматическое падение доходов и качества жизни населения, которое принесли экономические реформы начала 90-х годов. Подтверждая, что дефицитность данного ресурса действительно существенна, обратим все же внимание, что это отнюдь не единственная причина. Не менее значим тот факт, что социально-профессиональные параметры среднего класса отнюдь не так распространены, как следует из часто повторяемого утверждения, что Россия − страна с высокообразованным населением. Дефицитны оказались и наличие высшего образования, и, по-видимому, его качество, раз оно не дает возможности найти высокооплачиваемую и престижную работу. В частности, весомая группа домохозяйств (21%) с довольно благополучным материальным положением и высокими самоидентификационными характеристиками тем не менее не может войти в обобщенный средний класс по той причине, что профессиональный статус его членов не просто не отвечает уровню, присущему средним классам, но оценивается как низший. И этот сегмент значительно больше, чем «потери», вызванные недостаточностью других критериальных признаков − материального положения (7,1%) и самоидентификации (3,3%).

По-видимому, 50% − это максимальная оценка потенциала среднего класса в обозримой перспективе при условии успешного социально-экономического развития страны. Именно эти социальные группы, относящиеся сегодня к средним классам лишь частично, не утратили шансов на перемещение в ядро средних классов и превращение в полноценный стабильный и уверенный средний класс.

Потенциал для роста среднего класса составляют также домохозяйства, которые Т. Малеева называет «еще не низшие, но уже не средние» или «протокласс»[24]. В отношении низшего слоя в нашей стране бесспорны лишь случаи полного совпадения всех параметров: к низшим слоям относятся семьи, демонстрирующие низшие значения по каждому из анализируемых критериев. Доля таких домохозяйств оказалась равной 10,8% в базовой выборке и несколько ниже 6,4% в городской. Это оценка тех слоев, которые не имеют в своем распоряжении никаких значимых экономических и социальных активов. С точки зрения материального положения они находятся за чертой бедности. Они не обладают высшим образованием, вследствие этого малоконкурентоспособны на рынке труда или обречены на занятость на низкооплачиваемых и не престижных рабочих местах. Наконец, они не испытывают иллюзий по поводу своего социального положения, относя себя к низшим слоям общества.

В упомянутое выше образование входят к семьи, не имеющие ни одного признака среднего класса, но не относящиеся к низшим. Для ясности приведем социальный портрет такой семьи.

На содержательном уровне сюда будут относиться группы, которые соответствуют хотя бы одному из трех следующих признаков:

группа близка к среднему классу по текущим образовательным и/или трудовым позициям при относительно низкой вероятности вхождения в средний класс в будущем;

группа контрастирует со средним классом по текущим позициям, но ее представители могут в принципе быстро войти в состав среднего класса при изменении обстоятельств (например, найти или сменить место работы);

представители группы способны в принципе с достаточно высокой вероятностью войти в состав среднего класса, хотя и не в самом ближайшем будущем (например, получив по окончании вуза диплом о высшем образовании).

Эти группы находятся на нижней границе среднего класса, не входя в его состав, но образуя своего рода периферию.

На операциональном уровне формирование этой группы происходит следующим образом. Поскольку средний класс выделен по наличию высшего образования, регулярной занятости и характеру труда, в нижний средний класс войдут группы, которые недотягивают до среднего класса по одному из этих признаков. Соответственно в состав нижнего среднего класса включаются следующие периферийные группы:

занятые на рынке труда нефизическим трудом, не имеющие высшего образования;

занятые на рынке труда физическим трудом, имеющие высшее образование;

студенты вузов, получающие первое и второе высшее образование;

незанятые с высшим образованием.

Первая подгруппа включает тех, кто имеет полное среднее или среднее специальное образование и занят нефизическим трудом на рынке труда. В нее входят служащие (клерки). Они близки к среднему классу по текущим трудовым позициям (регулярности занятости и характеру труда), но недотягивают по уровню образования. Шансы служащих на вхождение в средний класс по профессионально-квалификационным признакам (по крайней мере в ближайшем будущем) сомнительны. Образовательный барьер нельзя перепрыгнуть в одночасье. Это самая многочисленная категория в составе нижнего среднего класса, которая составляет 18,4% респондентов и по объему даже превышает размер среднего класса на индивидуальном уровне.

Вторая группа нижнего среднего класса включает рабочих с высшим образованием. Эта социальная категория претендует на дистанцирование от основной массы нижних слоев. Текущие позиции высококвалифицированных рабочих по характеру труда не позволяют им занять места в среднем классе. По всем остальным параметрам такие рабочие ему близки. Они имеют регулярную занятость и по уровню квалификации мало отличаются от специалистов. В принципе, благодаря образовательным дипломам, вероятность того, что эти рабочие могут войти (или вернуться) в средний класс, сменив место работы (например, перейдя на инженерную должность), достаточно высока. Причем это может произойти весьма быстро. Данная периферийная группа высококвалифицированных рабочих немногочисленна и составляет всего 1,3%.

Далее следует третья группа − учащиеся высших учебных заведений, которые (пока) не имеют высшего образования. Это особая и достаточно «неудобная» для анализа категория. Сегодня они достаточно резко отличаются от среднего класса отсутствием регулярной занятости на рынке труда и отсутствием образовательного диплома. Причем на получение образования большинству потребуется время (от года до пяти лет). Но в принципе они имеют высокие шансы на получение диплома и могут в случае обретения соответствующей работы в перспективе влиться в состав полноценного среднего класса. В основной массе сегодняшние студенты − это завтрашние профессионалы, или типичный протокласс. Таким образом, они могут отстоять дальше, чем клерки, от среднего класса по текущим трудовым и даже квалификационным позициям, но ближе к нему с точки зрения потенциальной восходящей мобильности. Эта категория в нашем массиве составляет 3,0%.

К ней добавляется немногочисленная подгруппа студентов, уже имеющих вузовский диплом и получающих второе высшее образование. У них несколько иная ситуация: отсутствует регулярная занятость, но достаточная формальная квалификация уже имеется, что открывает им возможность быстрого вхождения в средний класс при условии нахождения соответствующей работы. А после получения второго образования рыночные шансы этой группы значительно улучшатся, повысив вероятность их восходящей мобильности.

Наконец, четвертая группа включает незанятых с высшим образованием. Она имеет сложный характер и состоит из четырех подгрупп, в каждой из которых отобраны респонденты, имеющие высшее образование, но выключенные из сферы регулярной занятости:

неработающие пенсионеры;

домохозяйки (не имеют и не ищут работу);

безработные (не имеют работы и ищут ее);

находящиеся в длительных отпусках (формально имеют рабочее место).

Основную массу здесь составляют неработающие пенсионеры. Теорети чески они могут найти работу, но для большинства из них активная трудовая жизнь − уже пройденный этап. Это бывшие представители социально-профессионального среднего класса, своего рода «посткласс».

За ними следуют домохозяйки. Многие из них еще сохраняют профессиональную квалификацию и способны при желании найти соответствующую работу. Однако, скорее всего большинство этого не сделают (по крайней мере в настоящий период они о работе не помышляют).

В отличие от домохозяек безработные заявляют, что ищут работу. Поскольку речь идет о лицах с высшим образованием, вероятность того, что они ее найдут, достаточно высока. Причем это может произойти и в ближайшем будущем − многое зависит от активности поиска. И потому они близки к тому, что описывается понятием протокласса.

Наконец, находящиеся в длительных отпусках формально имеют постоянную работу, но не работают либо по семейным причинам (например, послеродовой отпуск), либо в результате застоя на предприятии (вынужденный административный отпуск). Поэтому мы исключили их из числа тех, кто имеет регулярную занятость. Впрочем, возвращение этой подгруппы «в строй» весьма вероятно и может произойти достаточно быстро. Это еще одна группа протокласса.

Итак, все указанные подгруппы образуют своего рода резерв среднего класса. Сегодня они ищут, но не могут получить интересующую их работу или пока не ищут никакой работы, но в принципе в состоянии найти рабочие места или вернуться на временно оставленные трудовые позиции. При этом они сразу окажутся в среднем классе по профессионально-квалификационным признакам. Оказавшись вне сферы занятости, эти категории покинули пределы среднего класса как экономически активной общности − временно (находящиеся в отпусках) или навсегда (неработающие пенсионеры), по собственному желанию (домохозяйки) или вынужденно (безработные). Их текущая ситуация довольно резко контрастирует не только с положением представителей среднего класса, но и занятых представителей нижнего среднего класса. Однако потенциал социальной мобильности многих из них относительно велик, и их ситуация может измениться. Причем если получение образовательного диплома − довольно длительный процесс, то найти работу можно весьма быстро.

Вышеописанный социальный слой является самым многочисленным и составляет 37% домохозяйств. Данная часть населения обладает некоторыми социальными и экономическими ресурсами и, следовательно, шансами на перемещение в ядро среднего класса.

Заключение

В ходе проведенного исследования получены следующие выводы теоретического и практического характера.

1. Экономические отношения разнообразны, они существуют на всех стадиях воспроизводственного процесса, на всех уровнях хозяйствования. При этом однородные экономические отношения, постоянно возникающие в какой-либо сфере социально-экономической деятельности, образуют содержание самостоятельной экономической категории. Одной из таких категорий являются финансы домашнего хозяйства, выражающие реально существующие экономические отношения, носящие объективный характер и имеющие специфическое общественное назначение.

2. Под домашним хозяйством понимают группу лиц, совместно принимающих экономические решения. В системе экономических отношений домашние хозяйства имеют исключительно важное значение, поскольку они являются собственниками факторов производства, находящихся в частной собственности. Исследование индивидуальных доходов и расходов должно быть основано не на изучении данных величин отдельных индивидуумов, а на всестороннем объективном анализе имущественного потенциала домашних хозяйств.

3.В любом обществе и при любом экономическом строе существует дифференциация доходов домашних хозяйств. Обычно дифференциацию доходов измеряют квантильными (обобщенное название децильных, квинтильных, квартильных показателей), фондовыми коэффициентами дифференциации и индексом Джини. Помимо этого предлагаются и другие методы ее оценки, например, по коэффициенту равномерности доходов граждан. Дифференциация уровня жизни является одновременно и экономическим и социальным явлением. Проблема усиления неравенства доходов приобрела в российском обществе особую остроту, тем более на фоне наблюдаемого положительного роста экономики, который, казалось бы, должен способствовать уменьшению бедности населения. Многочисленные исследования подтверждают крайне отрицательные последствия высокой дифференциации доходов.

4. На дифференциации доходов, в первую очередь, основано разделение домохозяйств на различные общественные группы. Большинство исследователей в качестве основных общественных групп выделяют бедных, так называемый «средний класс» и социально обеспеченных. При этом наибольший интерес для исследователей представляет средний класс.

5. Средние классы − это социальная совокупность, характеризующаяся цепочкой признаков, к которым относятся:

материальные ресурсные признаки − уровень доходов (расходов, потребления), объем накопленных сбережений, уровень имущественной обеспеченности;

нематериальные ресурсные признаки − уровень образования, профессионально-квалификационная позиция, должностная позиция;

признаки социального самочувствия (самоидентификация) − стратегии успешного экономического поведения, самооценки успешности адаптации к новым экономическим условиям, самооценки комфортности нынешней жизни и пр.

6. На эмпирическом уровне российский средний класс решительно не похож ни на своих собратьев из развитых стран, ни на образы, навязываемые сегодняшнему обществу масс-медиа, которые опираются на будущую модель «общества потребления». Этот класс не слишком богат, но и не беден, располагая значимыми материальными ресурсами. Его представители обладают относительно высоким уровнем образования, позволяющим успешно конкурировать на рынке труда и действовать в других экономических сферах, однако утверждение, что этот ресурс неисчерпаем, было бы слишком оптимистично. Средний класс довольно высоко оценивает свой общественный статус, но вряд ли имеет гарантии стабильности своего положения. Именно поэтому он борется за это положение, демонстрируя более активные социально-экономические стратегии, чем прочие социальные группы. Эти значимые отличия просматриваются во всех его практиках − он более активен на рынке труда, в предпринимательской, финансовой деятельности, инвестирует в свое образование и здоровье и пр. Однако многие функции, традиционно приписываемые среднему классу − гарант социальной стабильности, активный потребитель, успешный предприниматель, разумный инвестор − только-только начинают формироваться.

Эмпирически размер средних классов составляет около 20% российских домохозяйств. Между тем сами средние классы отличаются крайней неоднородностью. Лишь около 7% российских семей − ядро средних классов − демонстрируют достаточно высокую концентрацию материальных и социальных активов, позволяющих говорить об этой социальной группе как об устойчивом и бесспорном среднем классе.

Труднее всего определить социально-экономический статус оставшейся части российского населения (более 70%). Здесь наиболее уместна, пожалуй, формула «не низшие, но и не средние». В терминах мировой методологии их можно назвать «класс ниже среднего» («lower middle»). Среди них примерно половина (33%) обладает некоторым потенциалом средних классов, но его явно недостаточно, чтобы эти группы можно было отнести к полноценным средним классам. Как бы то ни было, эта часть населения обладает некоторыми социальными и экономическими ресурсами и, следовательно, шансами на перемещение в ядро среднего класса. Произойдет это перемещение или нет − в этом и состоит ключевой момент происходящих социальных перемен, этим и будет измеряться успех социально-экономических реформ.

Список использованных источников

1. Айвазян С.А., Колеников С.О. Уровень бедности и дифференциация населения России по расходам. – М.: РПЭИ, 2006.

2. Алиев М. Право человека на материальное обеспечение по старости, по инвалидности или по случаю потери кормильца. // Право – теория и практика. 2005. №1.

3. Аналитическая записка: «Анализ состояния и проблемы формирования доходного потенциала субъектов РФ». // Бюллетень Счетной Палаты РФ. 2007. №1.

4. Бабич С.С., Берендеева А.Б. Философия экономических ценностей. // Проблемы современной экономики. 2005. №21.

5. Бауман З. Индивидуализированное общество. – М., 2000.

6. Бедность в России – тормоз или стимул роста? // Материал семинара Фонда комплексных прикладных исследований 2007 год.

7. Бобков Ф.Д. Современный глобальный капитализм. – М., 2007.

8. Быкова Л.Д. Содержательная модель региональной социальной политики // Вестник Омского университета. 2005. Вып.2.

9. Вебер М. Основные понятия стратификации // Социологические исследования. 1994. № 5.

10.   Вебер М. Избранные произведения. – М, 1996.

11.   Вебер М. О некоторых категориях понимающей социологии// Западно-европейская социология ХIX-начала ХХ веков.– М., 1996.

12.   Вебер М. Политические работы (1895-1919). – М, 1996.

13.   Греков И.Е. Об учете дифференциации доходов населения в показателях уровня жизни.// Евразийский экономический журнал. 2005. №2.

14.   Гидденс Э. Социология. М.: Эдиториал УРСС, 1999.

15.   Гонтмахер Е., Трубин В. Эволюция системы социальной поддержки населения // Общество и экономика. 2000. № 9-10.

16.   Глухарева Л.И. Права человека в современном мире (социально-философские основы и государственно-правовое регулирование). М.: Юристъ. 2003.

17.   Гэлбрейт Дж. Новое индустриальное общество. М., 1969.

18.   Гэлбрэйт Дж. Экономические теории и цели общества. – М.: Прогресс, 1976.

19.   Добренькое В.И., Харчева ВТ., Слепенков И.М. и др. Социальная защита населения Российской Федерации: анализ результатов социологического опроса // Вестник Моск. ун-та. Сер 18. Социология и политология. 2006. № 3, 4.

20.   Жеребин В.М. Уровень жизни населения. – М., 2006.

21.   Ивашковский А.А. и др. Микроэкономика: учебник. М., Мир: 2005.

22.   Карелова Г. Социальная защита: вчера, сегодня, завтра // Человек и труд. 2001. № 6.

23.   Кирута А.Я., Шевяков А.Ю. Эконометрический анализ зависимостей между дифференциацией и уровнем жизни населения в регионах России. // Вопросы статистики.2004. №5.

24.   Козловский А.А. Типы социальной политики – американский вариант. // Социс. 2006. №1.

25.   Ламперт X. Социальная рыночная экономика. Германский путь. – М., 2003.

26.   Лебедева Л.Ф. Проблемы измерения и динамика уровня бедности. // Менеджмент 2007. №3.

27.   Ле Гофф Ж. Генезис средневековой цивилизации// Цивилизация средневекового Запада. М., 2002.

28.   Лескин В., Шевцов А. Становление института социальных стандартов: федеральный, региональный и муниципальный аспекты // Российский экономический журнал. 2001. № 3.

29.   Лепихов М. Социальное государство и правовое регулирование социальной защиты.// Социс. 2005. №3.

30.   Лисоволик Я. Вырваться из ловушки неравенства. // Ведомости. 16.05.2007.

31.   Литвинов В.А. Концентрация и дифференциация денежных доходов по группам населения Российской Федерации.// Экономический журнал ВШЭ. 2006. №2.

32.   Макконнелл М., Брю С. Экономикс. В 2-х т. – М., 1994.

33.   Малеева Т. Динамика доходов населения – выигравшие и проигравшие. // Журнал Фонда Карнеги. 2008. №1.

34.   Малеева Т. Средние классы в России – экономические и социальные стратегии. – М., 2007.

35.   Малеева Т. Средний класс – здесь и сейчас. //www.carnegie.ru

36.   Марченко Г.В., Мачульская О.В. Сущность и цели выравнивания уровней социально-экономического развития регионов России. // Региональная социально-экономическая асимметрия и механизмы ее выравнивания. – М., 2008.

37.   Назаров В.Л. Право для человека: ограничение или стимул? //Правоведение. 2002. № 5.

38.   Полищук Л.И. Российский федерализм и экономическое неравенство// Региональная социально-экономическая асимметрия и механизмы ее выравнивания. – М., 2008.

39.   Права человека в истории человечества и в современном мире / Под ред. Е.А.Лукашевой. М., 2004.

40.   Права человека: история, теория, практика. / Сборник статей. М., 2006.

41.   Рабкина Н., Римашевская Н. Методы дифференциации доходов. – М., 2007.

42.   Роик В. Социальная защита: содержание понятия // Человек и труд. 2000. № 1.

43.   Романов П.В., Гатвинский А.Н. Социальные изменения и социальная политика// Журнал исследований социальной политики. Т.1. № 1. 2003.

44.   Сенчагов В. Национальные интересы России в сфере экономики и механизмы их реализации. // Социальное партнерство. 2005. №1.

45.   Смирнов С.Н. Региональные аспекты социальной политики. − М., 2006.

46.   Средний класс в современном российском обществе. Под общ. ред. М.К. Горшкова, Н.Е. Тихоновой, А.Ю. Чепуренко. М.: РОССПЭН, 1999.

47.   Средний класс в России: количественные и качественные оценки / Е. М. Авраамова и др.: Рук. авт. кол. Т. М. Малева; Бюро экон. анализа. – М.: ТЕИС, 1999.

48.   Суворов А.В. Проблема анализа дифференциации доходов и построения дифференцированного баланса денежных доходов и расходов населения.// Проблемы прогнозирования. 2006. №1.

49.   Тоффлер Э. Метаморфозы власти. – М.: ООО «Издательство АСТ», 2001.

50.   Хахулина Л. Субъективный средний класс: доход, материальная обеспеченность, ценностные ориентации // Экон. и соц. перемены: мониторинг общественного мнения. 1999. №2.

51.   Чернов В.А. Проблемы социального неравенства в современных трансформационных процессах. – М., 2006.

52.   Шевяков А.Ю. Социальное неравенство, бедность и экономический рост. // Общество и экономика. 2005. №3.

53.   Шевяков А.Ю., Кирута А.Я. Измерение экономического неравенства. М.: Лето, 2002.

54.   Шкаратан О.В. Социальная стратификация России и Восточной Европы. – М., 2006.

55.   Яковец Ю.В. Формирование постиндустриальной парадигмы: истоки и перспективы. // Вопросы философии 1997-№1.

56.   Bocage, D., General Economics Theory of Fracois Perroux. Lahman: University Press of America, 1985.

57.   M. WEBER. Die Stadt. - Wirtschaft und Gesellschaft, Kap 8. // Grundriss der Sozia-lökonomik. III. Abt. Tübingen, 1922, S. 513-600. Перевод М.И. Левиной.

58.   www.gks.ru

59.   www.goverment.ru

60.   www.nalog.ru


[1] Ивашковский А.А. и др. Микроэкономика: учебник. М., Мир: 2005. С. 35.

[2] Ивашковский А.А. и др. Микроэкономика: учебник. М., Мир: 2005. С. 49.

[3] Чернов В.А. Проблемы социального неравенства в современных трансфрмационных процессах. – М., 2006. С. 91.

[4] Чернов В.А. Проблемы социального неравенства в современных трансформационных процессах. – М., 2006. С. 59.

[5] Бабич А.Д., Берендеева А.Б. Философия экономических ценностей. // Проблемы современной экономики. 2005. №21. С. 34.

[6] Полищук Л.И. Российский федерализм и экономическое неравенство// Региональная социально-экономическая асимметрия и механизмы ее выравнивания. – М., 2008. С. 43.

[7] Айвазян С.А., Колеников С.О. Уровень бедности и дифференциация населения России по расходам. – М.: РПЭИ, 2006. С. 123.

[8] Аналитическая записка: «Анализ состояния и проблемы формирования доходного потенциала субъектов РФ». // Бюллетень Счетной Палаты РФ. 2007. №1. С. 50.

[9] Бабич С.С., Берендеева А.Б. Философия экономических ценностей. // Проблемы современной экономики. 2005. №21. С. 17.

[10] Рабкина Н., Римашевская Н. Методы дифференциации доходов. – М., 2007. С. 155.

[11] Греков И.Е. Об учете дифференциации доходов населения в показателях уровня жизни.//  Евразийский экономический журнал. 2005. №2. С. 74.

[12] Греков И.Е. Об учете дифференциации доходов населения в показателях уровня жизни.//  Евразийский экономический журнал. 2005. №2. С. 74.

[13] Лебедева Л.Ф. Проблемы измерения и динамика уровня бедности. // Менеджмент 2007. №3. С. 12.

[14] Малеева Т. Динамика доходов населения – выигравшие и проигравшие. // Журнал Фонда Карнеги. 2008. №1. С. 44.

[15] Бедность в России – тормоз или стимул роста? // Материал семинара Фонда комплексных прикладных исследований 2007 год. С. 71.

[16] Чернов В.А. Проблемы социального неравенства в современных трансформационных процессах. – М., 2006. С. 123.

[17] Жеребин В.М., Римашевская Н.М. Проблемы борьбы с бедностью в разработках зарубежных правительственных и международных организаций. // Бедность: взгляд ученых на проблему. – М.: ИСЭПН РАН, 2004. С. 59.

[18] Жеребин В.М., Римашевская Н.М. Проблемы борьбы с бедностью в разработках зарубежных правительственных и международных организаций. // Бедность: взгляд ученых на проблему. – М.: ИСЭПН РАН, 2004. С. 64.

[19] Греков И.Е. Об учете дифференциации доходов населения в показателях уровня жизни.//  Евразийский экономический журнал. 2005. №2. С. 50.

[20] Средний класс в современ­ном российском обществе. Под общ. ред. М.К. Горшкова, Н.Е. Тихо­новой, А.Ю. Чепуренко. М.: РОССПЭН, 1999. С. 67.

[21] Малеева Т. Средние классы в России – экономические и социальные стратегии. – М., 2007. С. 33.

[22] Средний класс в современ­ном российском обществе. Под общ. ред. М.К. Горшкова, Н.Е. Тихоновой, А.Ю. Чепуренко. М.: РОССПЭН, 1999. С. 210.

[23] Малеева Т. Средние классы в России – экономические и социальные стратегии. – М., 2007. С. 56-64.

[24] Малеева Т. Средний класс – здесь и сейчас. //www.carnegie.ru

Похожие работы на - Асимметрия доходов

 

Не нашли материал для своей работы?
Поможем написать уникальную работу
Без плагиата!
Без нейросетей!