ۥ єднання);
В – кінцевий результат
його функціонування.
Таким чином,
вивчення ролі кожного з елементів виробничого потенціалу в процесах утворення
кінцевого результату функціонування підприємства – важливий елемент стратегії
управління внутрішньовиробничими можливостями.
1.3 Склад,
структура та показники ефективного використання основних виробничих фондів
Основним змістом
виробничого процесу – є виготовлення готової продукції. На підприємствах це
досягається за рахунок поєднання і взаємодії двох головних факторів – засобів
виробництва і трудових ресурсів. У ході виробничого процесу робітники
підприємства за допомогою засобів виробництва впливають на предмети праці і
перетворюють їх у різні види готової продукції.
Основні виробничі фонди
–
це та частина виробничих фондів підприємства, яка бере участь у процесі
виробництва впродовж тривалого часу, зберігаючи при цьому свою натуральну форму,
а їхня вартість переноситься на виготовлений продукт поступово, по частинах, у
міру їх використання.
Основні виробничі фонди
підприємств здійснюють господарський кругообіг, який складається з таких
стадій: зношення основних фондів, амортизація, накопичення коштів для повного
відновлення основних фондів, їх заміна шляхом здійснення капітальних вкладень.
Поряд з виробничими
існують також невиробничі основні фонди. До них відносяться фонди
невиробничої сфери підприємства – житлові будинки, дитячі і спортивні заклади,
інші об'єкти культурно-побутового обслуговування трудящих, які знаходяться на
балансі підприємства. Вони, на відміну від виробничих фондів прямо не беруть
участь в процесі виробництва і не переносять свої вартості на кінцевий продукт,
тому що ними він не виробляється, їх вартість зникає у сфері споживання.
Співвідношення різних
груп основних фондів у їх загальній вартості являє собою виробничу структуру
основних фондів. Серед них виділяють активну і пасивну частини. До першої
відносяться устаткування й машини, що характеризує виробничі можливості
підприємства, до другої – будівлі, споруди, трубопроводи тощо. Чим більша
питома вага активної частини основних виробничих фондів, тим прогресивнішою є
їх структура, тим більше випуск продукції. Збільшення питомої ваги активної
частини виробничих фондів зумовлюється розгортанням НТР, постійним
впровадженням досягнень науки у виробництво.
Найважливішими факторами,
що впливають на структуру основних виробничих фондів, є: характер продукції,
рівень автоматизації і механізації виробництва, рівень спеціалізації і
кооперування, природно-кліматичні умови розміщення підприємства.
Облік і планування
основних фондів здійснюється в натуральній і вартісній формах. При оцінці
основних фондів у натуральній формі визначається кількість одиниць обладнання,
його потужність, площа, яку воно займає, та інші кількісні показники. Ці дані
використовуються для визначення виробничої потужності, розробці балансів
обладнання, планування виробничої програми. Для цього на підприємствах ведеться
інвентаризація і паспортизація обладнання, облік його вибуття і прибуття.
Грошова або вартісна
форма оцінки основних фондів необхідна для планування розширеного відтворення
основних фондів, визначення розмірів амортизації, калькулювання собівартості
продукції, обсягу приватизації. Основними видами вартісної оцінки основних
фондів, пов'язаними з тривалістю їх участі в виробничому процесі, зношуванням і
змінами умов відтворення, є такі:
•
за початковою балансовою вартістю;
•
за відтворювальною вартістю;
•
за залишковою вартістю;
•
за ліквідаційною вартістю.
Початкова балансова
вартість основних фондів – це їх вартість на момент встановлення (включає ціну
обладнання, транспортні витрати на його доставку і витрати на установку і
монтаж). Відтворювальна вартість – це витрати на виробництво основних фондів у
сучасних умовах. Як правило, вона визначається під час переоцінки основних
фондів. Залишкова вартість визначається як різниця між початковою (або
відтворювальною) вартістю основних фондів і сумою їх зношення.
Розподіляють два основних
види зношування (поступової втрати вартості) основних фондів:
•
фізичне;
•
моральне (нормальне старіння).
Фізичне зношення – це поступова
втрата основними фондами своїх технічних властивостей і характеристик (тобто
первісної споживацької вартості), яка здійснюється не тільки в процесі їх
функціонування, але й при бездіяльності. Зміст поняття «моральне зношення» як
економічної категорії полягає в зменшенні вартості основних фондів у результаті
появи нових видів машин, обладнання, устаткування, які відрізняються більшою
продуктивністю і нижчою ціною.
Кошти на відшкодування
основних фондів накопичуються підприємствами у вигляді амортизаційних
відшкодувань.
Амортизація – це процес
поступового перенесення вартості основних фондів, у міру їх зношення, на
продукцію, що виготовляється, визначення зношування у вартісній формі і
накопичення фінансових ресурсів з метою майбутнього відшкодування основних
фондів.
Норма амортизації
визначається як відношення річної суми амортизаційних відшкодувань до
початкової вартості основних фондів. Обчислена в відсотках норма амортизації
показує, яку частку своєї балансової вартості щорічно переносять засоби праці
на новостворену продукцію.
Оцінити рівень
використання основних виробничих фондів на підприємстві можливо за допомогою
відповідних показників, які найчастіше об'єднують у три такі групи:
•
показники екстенсивного використання основних виробничих фондів
(відображають використання фондів протягом часу);
•
показники інтенсивного використання основних виробничих фондів
(відображають рівень використання фондів по потужності або продуктивності);
•
узагальнюючі інтегральні показники використання основних фондів
(враховують сукупний вплив усіх факторів – екстенсивних й інтенсивних).
Перша група – показники
екстенсивного використання виробничих основних фондів:
а) Коефіцієнт
екстенсивного використання обладнання
,
(1.18),
де
– фактичний час роботи обладнання, год.;
-
нормативний
час роботи обладнання (визначається відповідно до режиму роботи підприємства, з
урахуванням часу, необхідного для планово-попереджувального ремонту).
б) Коефіцієнт
змінності роботи обладнання (Кзм):
,
(1.19),
де
– загальна кількість верстато-змін,
відпрацьованих обладнанням даного виду впродовж робочого дня;
–
кількість верстатів, які працюють в найбільшу зміну.
Розрахунок даного
коефіцієнта дає змогу визначити, скільки змін в середньому щорічно працює кожна
одиниця встановленого обладнання.
Підвищення коефіцієнта змінності
роботи обладнання дозволяє значно збільшити випуск продукції, не вимагаючи
додаткового фізичного нарощування його кількості і додаткових витрат фінансових
ресурсів.
Друга група – показники
інтенсивного використання основних виробничих фондів.
До даної групи
відноситься один показник – коефіцієнт інтенсивного використання обладнання (Ків).
Він відображає рівень використання активної частини основних виробничих
фондів по потужності або продуктивності:
(1.20),
де
– продуктивність обладнання в
одиницю часу;
Пн – продуктивність
обладнання нормативна (за паспортними даними).
Третя група –
узагальнюючі інтегральні показники використання основних фондів:
а) Коефіцієнт
інтегрального використання обладнання(
)
(1.21),
де
– коефіцієнт екстенсивного використання
обладнання;
–
коефіцієнт інтенсивного використання обладнання.
Практичне значення
використання даного показника полягає в змісті його складових, котрі дозволяють
одночасно оцінити ефективність використання обладнання з точки зору як часу (Кскст),
так і продуктивності (Ків).
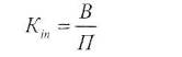
б) Фондовіддача (
). Даний показник є основним для
узагальнюючої оцінки ефективності використання основних виробничих фондів.
Економічний зміст фондовіддачі міститься в тому, що він побудований на принципі
співвиміру виробленої продукції (у вартісному значенні) із сукупною вартісною
оцінкою використаних для її виробництва основних фондів:
(1.22),
де Q – обсяг продукції
(товарної, валової, чистої) підприємства за рік, грн.;
Sср – середньорічна
вартість основних фондів, грн.
Зазначимо, що даний
показник показує, скільки продукції (у вартісному визначенні) віддає нам одна
гривня (1000 грн., 10000 грн.), вкладена в основні фонди.
Фондовіддача є одним із
найважливіших показників, що характеризує ефективність виробничої діяльності
підприємства. Підвищення фондовіддачі – це головне стратегічне завдання
будь-якого підприємства.
в) Фондомісткість продукції
(Фм). Цей показник визначає частку вартості основних фондів,
які припадають на кожну гривню виробленої продукції. Фондомісткість продукції є
показником, оберненим фондовіддачі, який розраховується за формулою:
(1.23),
де
– середньорічна вартість
основних фондів, грн.;
Q – обсяг продукції
підприємства за рік, грн.
г) Показник
фондоозброєності (Фо) працюючих також визначає ефективність
роботи підприємства. Від рівня озброєності робітників засобами праці залежать
рівні фондовіддачі і фондомісткості. Фондоозброєність визначається за формулою:
(1.24),
де N – кількість
працюючих, осіб.
Зазначимо, що
взаємозалежність між показниками фондовіддачі, фондоозброєністю і
продуктивністю праці описується формулою:
(1.25),
де Фвід –
фондовіддача;
Пп – продуктивність
праці.
Підвищення показника
фондоозброєності свідчить про рівень технічної озброєності підприємства,
визначає продуктивність праці і показує можливості для подальшого нарощування
виробничого потенціалу підприємства.
До оборотних засобів
промислового підприємства відноситься частина виробничих фондів, яка повністю
споживається в кожному виробничому циклі і повністю переносить свою вартість на
продукт праці.
Оборотні кошти
підприємств являють собою сукупність коштів, авансованих на створення оборотних
виробничих фондів і фондів обігу. Основне їхнє призначення полягає в
забезпеченні безперервності і ритмічності процесу виробництва і реалізації
продукції.
Оборотні виробничі фонди
складаються
з предметів праці (сировина, основні матеріали і напівфабрикати, допоміжні
матеріали, паливо, тара і запасні частини), засобів праці (малоцінні предмети й
інструменти) незавершеного виробництва і витрат майбутніх періодів. Оборотні
виробничі фонди мають найбільшу питому вагу в складі всіх оборотних коштів промисловості
(понад 70%).
Засоби підприємств,
вкладені в запаси готової продукції, товари, відвантажені, але неоплачені, а
також засоби в розрахунках і грошові кошти в касі і на рахунках у банку
складають фонди обігу.
Оборотні виробничі фонди
вступають у виробництво в натуральній формі. У процесі виготовлення продукції
вони цілком споживаються і переносять свою вартість на вартість створюваного
продукту. По закінченні виробничого циклу і виготовленні готової продукції
вартість спожитих оборотних фондів відшкодовується у виручці від реалізації
продукції підприємства. Це створює можливість систематичного повторення процесу
виробництва, що здійснюється шляхом безперервного кругообігу засобів
підприємства.
Оборотні фонди
складаються з трьох частин:
•
виробничі запаси;
•
незавершене виробництво і напівфабрикати власного виготовлення;
•
витрати майбутніх періодів.
Виробничі запаси – це предмети
праці, які ще не залучені у виробничий процес і знаходяться на складах
підприємства у вигляді запасів.
Незавершене виробництво і
напівфабрикати власного виготовлення – це продукція, яка ще не
пройшла всіх стадій обробки.
Витрати майбутніх
періодів – це не речові елементи оборотних фондів, що включають витрати на
підготовку та освоєння нової продукції, що мають місце в даний період, але
будуть погашені в майбутньому.
Співвідношення між
окремими елементами оборотних фондів в процентах або їх складовими частинами
називається структурою оборотних фондів.
З іншого боку можна
визначити оборотні засоби як сукупність оборотних фондів, що використовуються
для фінансування поточної господарської діяльності підприємства і виражені у
грошовій формі.
Незважаючи на те що у
процесі відтворення оборотні засоби належать сфері безпосереднього виробництва
й обігу, за джерелами фінансування вони діляться на власні і позичені.
Власні необхідні для
задоволення потреб підприємства у виробничих запасах, напівфабрикатах власного
використання, в залишках готової продукції, незавершеному будівництві, а також
у засобах для витрат майбутніх періодів.
Позичені – це кредити
банку для задоволення тимчасових потреб, а також засоби, що тимчасово
знаходяться в обороті підприємств до завершення розрахунків із державним
бюджетом, постачальниками сировини, комплектуючих виробів та іншими
кредиторами. Власні оборотні засоби поповнюються здебільшого за рахунок
прибутку. Власні оборотні кошти покликані забезпечувати утворення постійних
мінімальних виробничих запасів (сировини, матеріалів, палива і т. д.),
заділів незавершеного виробництва, вкладень у витрати майбутніх періодів і
залишків готової продукції, необхідних для нормальної і безперебійної роботи
підприємства. Загальна сума цих мінімальних запасів складає норматив власних
оборотних коштів, що визначається або уточнюється щорічно при розробці фінансового
плану.
Власні оборотні кошти
беруть участь у кругообігу засобів тільки того підприємства, за яким вони
закріплені, у той час як позикові засоби можуть брати участь у кругообігу
засобів багатьох підприємств залежно від їхніх потреб.
Власні оборотні кошти
постійно закріплені за підприємствами в їхньому статутному фонді і підприємства
мають право самостійно їх розміщувати, планувати і використовувати.
Оборотні засоби діляться
на нормовані і ненормовані. Нормовані складаються із запасів
товарно-матеріальних цінностей, зокрема незавершеного будівництва, готової
продукції тощо. Ненормовані складаються з відвантаженої продукції, засобів у
розрахунках і грошових коштів.
Нормовані оборотні кошти
–
це грошові кошти, необхідні для створення мінімального запасу
товарно-матеріальних цінностей і забезпечення безперебійності процесу виробництва
і реалізації продукції. Вони складаються з виробничих запасів (сировина,
матеріали, паливо, тара, малоцінні предмети, запасні частини для ремонту),
незавершеного виробництва, витрат майбутніх періодів і готової продукції.
Нормовані оборотні кошти складають основну частину оборотних коштів підприємства.
Елементи оборотних
коштів, які покликані обслуговувати реалізацію продукції, не нормуються. До ненормованих
оборотних коштів відносяться:
·
засоби в товарах, відвантажених покупцем;
·
грошові кошти на рахунках у банку й у касі підприємства;
·
дебіторська заборгованість;
·
засоби в розрахунках, не зв'язані безпосередньо з виробничою діяльністю,
тобто в розрахунках з банками й у перерахунках по спеціальних фондах, резервах
і цільовому фінансуванню з бюджету.
Оборотність може
виражатися тривалістю одного обороту і числом оборотів засобів за звітний
період. Ефективність зроблених витрат можна обчислити за допомогою показника
завантаження оборотних коштів і рентабельності.
Одним з основних
показників оборотності виступає тривалість одного обороту оборотних
коштів (Т), розрахована в днях за формулою:
(1.26),
Оборотність у днях
дозволяє установити, протягом якого часу оборотні засоби проходять усі стадії
кругообігу на даному підприємстві. Чим вище оборотність у днях, тим ощадливіше
використовуються фінансові ресурси. Однак при високій оборотності зростає ризик
неплатежів і збоїв у постачаннях сировини, матеріалів, що комплектують вироби і
т. п.
Оборотність виміряється
також числом оборотів, здійснюваних оборотними коштами за визначений проміжок
часу. Цей показник називається коефіцієнтом оборотності (
) і розраховується, як правило, за рік.
Визначається він за формулою:
(1.27).
Зіставлення коефіцієнтів
оборотності в динаміку по роках дозволяє виявити тенденції зміни ефективності
використання оборотних засобів. Якщо число оборотів, здійсненими оборотними
засобами, збільшується або залишається стабільним, то підприємство працює
ритмічно і раціонально використовує грошові ресурси. Зниження числа оборотів,
здійснених у розглянутому періоді, свідчить про падіння темпів розвитку
підприємства, його неблагополучний фінансовий стан.
Показник участі оборотних
коштів у кожній гривні обороту є зворотним стосовно коефіцієнта оборотності і називається
коефіцієнтом завантаження (
). Він розраховується
за формулою:
(1.28).
Чим нижче показник
завантаження оборотних засобів, тим ефективніше вони використовуються.
Проблема вимірювання
величини виробничого потенціалу досить важлива як у теоретичному, так і
практичному плані. Знання виробничих потенціалів підприємств дозволяє визначити
сумарний потенціал галузі й народного господарства, створює основу для
забезпечення спряженості суміжних підприємств і виробництв. Значення виробничих
потенціалів підприємств необхідні для виявлення витрат виробничих ресурсів
(величин його елементів), що вимагаються для оптимізації народногосподарських
або галузевих темпів і пропорцій розвитку, визначення напрямів інвестиційної
політики. Величина виробничого потенціалу являє собою характеристику
матеріальних умов відновлення продукції й підвищення її якості й може бути
основою для прогнозування обсягів промислового виробництва.
Виробничий потенціал як
показник ресурсного потенціалу відіграє велику інформативну роль. За допомогою
такого роду комплексних показників усуваються протиріччя, що виникають при
оцінювання рівноприскореного або різноспрямованого руху складових його елементів.
Співвіднесення величини потенціалу з кінцевими результатами функціонування дає
комплексне знання про ступінь використання виробничих ресурсів і резерви
підвищення ефективності виробництва. При наявності зазначених даних з'являється
можливість більш об'єктивно визначати напрямки оптимізації структури потенціалу
й шляхи його подальшого нарощування.
При оцінюванні розміру
виробничого потенціалу підприємства насамперед необхідно відповісти на такі
питання: чи є виробничий потенціал простою сумою ресурсів; яким чином окремі
ресурси включаються в сукупний ресурс? Здається, що на перше питання дає досить
ясну відповідь сама концепція ресурсного підходу до визначення виробничого
потенціалу. На нашу думку, ресурсний підхід не тільки стверджує, що потенціал
являє собою сукупність виробничих ресурсів цільового призначення, а й робить
очевидною методику оцінки його величини як суму фізичних значень складових
елементів.
Використання натуральних
показників досить ускладнене при оцінюванні таких складних елементів
виробничого потенціалу, як трудові ресурси, технологія, інформація. Нарешті,
елементи потенціалу значно відрізняються між собою не тільки за змістом, а й за
формою. У зв'язку з цим різноманітні й натуральні одиниці, що характеризують
їх. Агрегування ж різних якісних характеристик стає можливим лише в тому
випадку, якщо вдається знайти який-небудь загальний принцип оцінки,
вимірювання, що дозволяє одночасно виразити всілякі якості.
В.М. Архіпов фізичний
обсяг виробничих ресурсів рекомендує оцінювати в чисельності
промислово-виробничого персоналу за формулою
(1.29),
Наявність навіть тільки двох,
але діаметрально протилежних точок зору наводить на питання про правомірність
та об'єктивність використання того або іншого ресурсу як еквівалента для
вимірювання виробничого потенціалу. Очевидно, відповісти на нього тим, що вся
діяльність людини завжди була спрямована на заміну живої праці машинною,
означало б показати проблему спрощено, але не вирішити її.
Досить уразлива в
розглянутих методичних підходах зіставлення ресурсів і спроба оцінити склад і
якість кожного з них за допомогою одного кількісного показника.
Оскільки елементи
виробничого потенціалу підприємства завжди «працюють» разом, то в принципі
можливе як їхнє спільне вимірювання, так і відособлене. Спільна оцінка
елементів відразу ж дозволяє визначити величину потенціалу. Однак цей метод не
дає уявлення про розміри окремих його елементів і тим самим позбавляє
можливостей підвищити ефективність формування й використання виробничого
потенціалу за рахунок маневрування його структурою. Відособлене вимірювання
елементів потенціалу позбавлене цих недоліків. Але в цьому випадку неминуча
певна похибка в оцінці значень елементів, зумовлена наявністю взаємозв'язків
між ними. Вона може також збільшуватися внаслідок складностей з віднесенням тих
або інших компонентів до тієї або іншої складової потенціалу, спричинених
недоліками економічної термінології й регламентації оперативно-планової роботи
на підприємствах.
Найбільш уніфікованим і
універсальним вимірником елементів виробничого потенціалу, практика це
підтверджує, є їхня ціна або вартість. Порівнянність показників потенціалу в
грошовій оцінці в часі й просторі дозволяє виявити динаміку й структуру
виробничих потенціалів підприємств і територіальних утворень, розходження й
тенденції їхньої диференціації за цим показником, а також за ефективністю
використання виробничого потенціалу. У цьому випадку сума вартостей елементів
буде характеризувати величину всього виробничого потенціалу підприємства. Таким
чином, визначення величини потенціалу пов'язане насамперед з оцінюванням
вартості його елементів.
Методика визначення
вартості першого елемента виробничого потенціалу промислового підприємства – основних
виробничих фондів – розроблена детально, тому є необхідність зупинитися тільки
на деяких характерних моментах. Очевидно, як елемент виробничого потенціалу підприємства
варто приймати середньорічну вартість тільки його основних
промислово-виробничих фондів, оскільки непромислові основні фонди не пов'язані
з процесом виробництва і взагалі можуть не належати до підприємства.
Вартість основних фондів
постійно змінюється під впливом природних процесів, виробничих умов та
інновацій. її досить надійне фіксування можливе тільки на обмежений період – квартал,
рік. Але й протягом кожного з цих відрізків часу основні фонди втрачають певну
частину вартості. У зв'язку з цим іноді трапляються, пропозиції враховувати як
виробничі ресурси тільки амортизовану частину вартості основних фондів. Нам
здається, що в цьому випадку механізм участі останніх у процесі виробництва
підмінюється механізмом перенесення на продукт зношеної вартості засобів
виробництва. Тому у вартості першого елемента виробничого потенціалу повинна
враховуватися повна вартість основних фондів.
Однак цим вартість
розглянутої складової потенціалу не вичерпується. Як відомо, для підтримки
основних фондів у працездатному стані проводяться поточні й капітальні ремонти,
здійснюється їхня модернізація. У першому й другому випадках техніко-економічні
показники фондів лише певною мірою відновлюються. Тому, незважаючи на фактичне
збільшення витрат на основні фонди, вартість елемента потенціалу «основні
фонди» в дійсності не підвищується, оскільки споживча вартість самих основних
фондів не зростає вище від первісної. Модернізація машин та устаткування
супроводжується підвищенням їхніх техніко-економічних характеристик вище від
базового рівня, і, отже, зростає їх споживча вартість. Таким чином, витрати на
модернізацію збільшують вартість цього елемента виробничого потенціалу підприємства.
З урахуванням
викладеного, вартість першого елемента потенціалу – «основні виробничі фонди»
становитиме:
(1.30),
При розрахунку за
формулою (1.30) виходить завищена оцінка вартості елемента потенціалу «основні
фонди», тому що в ній ураховується первісна вартість основних виробничих
фондів. У процесі експлуатації реальна вартість останніх знижується через
фізичне зношування.
В умовах
науково-технічної революції знання є головними засобами підтримки продуктивної
сили живої праці, є субстанцією продуктивності праці й визначають її
можливості. З урахуванням цих витрат вартість елемента потенціалу
«промислово-виробничий персонал» буде являти собою суму:
(1.31)
Визначення вартості
енергетичних ресурсів у загальному не викликає складностей. Головне, на що в
цьому випадку варто звернути увагу, – це облік тільки первинних енергоносіїв,
тобто тих, які надходять збоку й на придбання яких витрачаються кошти.
Четвертим елементом
виробничого потенціалу є технологія. Технологія належить до числа виробничих
ресурсів довгострокового користування: вона бере участь у декількох виробничих
циклах і тому переносить свою вартість вроздріб; її вартість змінюється залежно
від залучення у виробниче споживання нових технологічних процесів або виводу з
них застарілих. Тому вартість технології виробництва повинна визначатися так
само, як і основних фондів:
(1.32)
Як видно, визначення
вартості розглянутого елемента виробничого потенціалу потребує обліку даних з
використання технології. Тим часом статистика промисловості відображає тільки
затрати, пов'язані з освоєнням нових технологічних процесів. Не визначається
балансова вартість використовуваних технологій, не реєструється вибуття з
виробничого обігу застарілих процесів. У зв'язку з цим дослідники
використовують непрямі методи визначення вартості технологій, які, природно, не
дають повною мірою оцінити роль технологічних процесів у розвитку підприємств і
підвищенні їхньої ефективності, у структурі інвестицій. Ю.М. Канигін з цією
метою вивів технологічну функцію
(1.33)
При визначенні вартості
технологій варто мати на увазі, що їхнє впровадження поєднане з виконанням
різноманітних робіт, отже, зумовлює різні види витрат. У загальному випадку
вартість впровадження у виробництво нового технологічного процесу може містити
в собі вартість науково-дослідної роботи (властиво технології), вартість
спеціального устаткування, площ, пристосувань та оснащення, затрати на навчання
виробничого персоналу новим методам впливу на предмет праці, затрати на
освоєння нової технології (підвищена затрата матеріально-енергетичних ресурсів
і заробітної плати). Деякі з названих статей затрат можуть бути враховані при
оцінювання вартості інших елементів виробничого потенціалу. Тому вартість
технологій як елемента потенціалу буде складатися із затрат на НДР, вартості
спеціальних пристосувань та оснащення, що не ввійшли до складу основних
виробничих фондів, а також затрат матеріальних ресурсів, пов'язаних з їхнім
освоєнням.
Останній елемент
виробничого потенціалу підприємства – інформація являє собою специфічну форму
існування наукових знань. Як усякий продукт праці, вони мають вартість і
споживчу вартість. Тому інформація також має вартість. У рамках виробничого
потенціалу, крім власне інформаційних ресурсів і знань виробничого персоналу,
що належать до трудових ресурсів, інформація містить у собі також різноманітні
компоненти, що представляють зміст заходів у галузі вдосконалення організації
виробництва, праці й управління. У загальному випадку до них можна віднести
розроблення й впровадження раціональних форм поділу й кооперації праці;
поліпшення організації підбору й розміщення кадрів; удосконалення організації й
обслуговування робочих місць; раціоналізацію трудового процесу, впровадження
передових прийомів і методів праці; удосконалення нормування праці й поліпшення
її умов; зміцнення дисципліни праці; заходи щодо підвищення коефіцієнта
змінності роботи встаткування; застосування прогресивних видів матеріальних
ресурсів; розвиток творчої активності працюючих, раціоналізаторської й
винахідницької діяльності. Тому при визначенні вартості елемента «інформація»
головну увагу варто звертати на виявлення матеріальних і фінансових затрат,
пов'язаних з реалізацією розглянутих вище й інших подібних заходів, а також із
придбанням інформаційних ресурсів.
Маючи
вартість кожного елемента виробничого потенціалу підприємства, загальну його
величину можна розрахувати в такий спосіб:
(1.34),
Можлива й спрощена, але,
відповідно, і більш наближена оцінка загальної величини потенціалу
підприємства. Попередньою умовою цієї процедури є визначення періоду обліку
затрат на підготовку, перепідготовку кадрів і підвищення їхньої кваліфікації;
на вдосконалення технології й організації виробництва, праці й управління; на
придбання інформаційних ресурсів. Вони, як правило, визначаються в річному розрізі,
але беруть участь у виробничому процесі й за межами цього періоду. Тому ці
витрати повинні підсумуватися наростаючим підсумком.
За оцінками, для
технології деяких галузей машинобудування період відновлення наближається до 7
років, а період організації виробництва становить менше ніж 10 років. Тому є
досить підстав для того, щоб обліковий період обмежити 5‑ма роками. З
урахуванням цього допущення величину виробничого потенціалу промислового
підприємства можна буде визначити як:
1.6
Трудові ресурси підприємства та оцінка їх ефективного використання
Під трудовими ресурсами,
зазвичай, розуміють працездатне населення в працездатному віці, зайняте в
різних сферах суспільно-корисної праці і на навчанні з відривом від виробництва.
Слід підкреслити, що категорія «трудові ресурси», як це видно з визначення,
передбачає не тільки працівників, безпосередньо залучених у виробництво, а й
тих, хто ще не є працівником, але зараз набуває професії і згодом поповнить
лави робочої сили. Крім того, в економічній літературі часто категорія «трудові
ресурси» використовується для територіальної характеристики ресурсів праці.
Через ці та інші обставини вказана категорія не зовсім точно характеризує
робочу силу окремого підприємства.
У сучасних умовах
господарювання все більшого поширення набуває категорія «персонал».
Персонал – це сукупність
працівників різних професійно-кваліфікаційних груп, які зайняті на підприємстві
і входять до його облікового складу. До останнього належать всі працівники,
прийняті на роботу, пов'язану як з основною, так і з неосновною діяльністю.
Кількісна характеристика
трудових ресурсів підприємства в першу чергу вимірюється такими показниками, як
облікова, явочна і середньоспискова чисельність працівників.
Важливу групу показників,
що характеризують наявність робочої сили, складають показники її руху.
Чисельність та склад робочої сили підприємства час від часу змінюється, ці
зміни відображають коефіцієнти необхідного та надлишкового обороту, коефіцієнти
прийому та вибуття кадрів.
Надзвичайно важливо на
кожному підприємстві аналізувати рівень використання робочої сили. Для цього
використовуються показники забезпечення робочою силою, показники використання
фонду робочого часу, рівня виконання норм виробітку, сезонності використання
робочої сили.
Показник забезпеченості
підприємства робочою силою визначається шляхом зіставлення наявних ресурсів
праці з потребою в них виробництва. Цей розрахунок проводиться в розрізі
професійно-кваліфікаційних груп. Розраховується, зазвичай, у відсотковому
виразі.
Для характеристики рівня
використання робочою часу застосовують такі показники:
1. Рівень використання
річного фонду робочого часу характеризується такими коефіцієнтами:
а) коефіцієнт
використання номінального фонду робочого часу, який розраховується як
співвідношення фактично відпрацьованого часу за рік до номінального фонду
робочого часу;
б) коефіцієнт
використання можливого фонду робочого часу – відношення фактично
відпрацьованого часу до його можливого фонду.
2. Рівень використання
робочого дня характеризує коефіцієнт, який визначається як відношення середньої
фактичної тривалості робочого дня до встановленої законом.
Середня тривалість
робочого дня визначається шляхом ділення загальної кількості відпрацьованого
часу в годинах на кількість працівників, що брали участь у роботі. Цей показник
обчислюють за день або за певний період часу – тиждень, місяць, рік.
Характеристика рівня
використання робочої сили буде неповною без визначення ступеня виконання
змінних норм виробітку. Остання розраховується шляхом зіставлення даних про
фактично виконаний обсяг робіт та затрати праці за нормативами.
Структура персоналу
підприємства визначається складом і кількісним співвідношенням окремих
категорії! і груп працівників підприємства.
Ефективність використання
трудових ресурсів підприємства характеризує продуктивність праці, яка
визначається кількістю продукції, виробленої за одиницю часу, або витратами
праці на одиницю виробленої продукції.
Основними показниками
продуктивності праці на рівні підприємства є показники виробітку (В) і
трудомісткості (Тр) продукції, які розраховуються за формулами:
(1.36),
(1.37),
де Q – кількість
виробленої продукції в натуральних одиницях або в умовно натуральних одиницях;
Чсп – середньооблікова
чисельність працюючих, осіб;
t – час на
виробництво всієї продукції, нормо-годин.
Найбільш поширеним і
універсальним показником продуктивності праці є виробіток, який визначається
кількістю виробленої продукції в натуральних або умовно-натуральних одиницях у
розрахунку на одну відпрацьовану людино-годину (годинний виробіток), один
відпрацьований людино-день (денний виробіток), на одного середньоспискового
працівника за рік, квартал або місяць (річний, квартальний або місячний
виробіток).
Трудомісткість продукції
являє собою витрати робочого часу на виробництво одиниці продукції і послуг.
При значній номенклатурі продукції трудомісткість визначається по
виробах-представниках, до яких належать вироби, що складають найбільшу питому
вагу в сумарному випуску продукції.
Розмір заробітної плати
залежить від складності й умов виконуваної роботи, професійно-ділових якостей
працівника, результатів його праці й господарської діяльності підприємства й
максимальним розміром не обмежується.
У відповідності до статті
№1 Закону про оплату праці заробітна плата – це винагорода, обчислена, як
правило, у грошовому вираженні, що, відповідно до трудового договору власник
або уповноважений ним орган, виплачує працівникові за виконану роботу.
Згідно ст. 2 Закону
про оплату праці основна заробітна плата – це винагорода за виконану роботу
відповідно до встановлених норм праці (норми часу, виробітку, обслуговування,
посадові обов'язки). Вона встановлюється у вигляді тарифних ставок (окладів) і
відрядних розцінок для робітників і посадових окладів для службовців.
Додаткова заробітна плата
– це
винагорода за працю понад установлені норми, за трудові успіхи й винахідництво
і за особливі умови праці. Вона включає доплати, надбавки, гарантійні й
компенсаційні виплати, передбачені чинним законодавством; премії, пов'язані з
виконанням виробничих завдань і функцій (частина друга ст. 2 Закону про
оплату праці).
Відповідно до Інструкції №323
до складу додаткової зарплати також включаються:
·
оплата відпусток;
·
оплата невідпрацьованого часу у випадках, передбачених законодавством.
Під іншими
заохочувальними виплатами (частина третя ст. 2 Закону про оплату праці)
розуміються виплати у формі винагород за підсумками роботи за рік, премії по
спеціальних системах і положеннях, компенсаційні й інші грошові й матеріальні
виплати, які не передбачені актами чинного законодавства або проводяться понад
установленими зазначеними актами норми.
Джерелом коштів оплати
праці є кошти підприємства, отримані від господарської діяльності, а в
бюджетних установах – бюджетні асигнування й (або) частина їхніх доходів від
господарської діяльності.
Основною на території
України є грошова форма оплати праці. Виплата заробітної плати може провадитися
грошовими знаками, що мають законний обіг на території України. Колективним
договором як виключення може бути передбачена часткова виплата заробітної плати
натурою.
Підприємство
самостійно (колективним договором) установлює форми й системи оплати праці,
норми праці, розцінки, тарифні сітки, ставки, схеми посадових окладів, умови
призначення й розмір надбавок, доплат, премій, винагород й інших заохочень. Але
при цьому воно повинно враховувати норми й гарантії, передбачені чинним
законодавством, генеральними й галузевими (регіональними) угодами.
1.7 Основні тенденції
розвитку харчової промисловості України
Харчова промисловість
завжди була важливою складовою матеріального виробництва. До 1991 року
кондитерська промисловість України займала одне з ведучих місць у структурі
виробництва кондитерських виробів колишнього Союзу. Так, 1990 року підприємства
України виготовили 1111,5 тисяч тон солодощів, у тому числі на підприємствах
Держхарчопрому – 901,9 тисяч тон.
Починаючи з 1991 року,
виробництво продукції поступово знижувалося й в 1999 році склало лише 170,7
тисяч тон.
Скорочення обсягу
виробництва зумовлене застосуванням економічної ситуації в країні й, внаслідок
цього, зниженням купівельної спроможності громадян, погіршенням постачання
сировини й допоміжних матеріалів, зростанням залежності галузі від критичного
імпорту, недосконалою ціновою й податковою політикою, високими процентними
ставками за кредити, кризою неплатежів, бартеризацією торговельних відносин,
руйнуванням системи ринкової торгівлі й т. д.
Що стосується
асортиментів продукції, її якості й оформлення, навіть примхливий покупець може
бути задоволений. Крім відновлення випуску традиційних виробів, кондитерські
фабрики й інші харчові підприємства почали освоювати нові. Багато кондитерських
фабрик почали випуск продукції в новому пакуванні «Флоупак».
Але просування нової
продукції на ринок здійснюється дуже складно. Вітчизняні підприємства обмежені
в коштах, які можна направити на рекламу, до того ж якість цієї реклами значно
уступає західної. Ця проблема особливо гостра для невеликих підприємств, які не
мають відомої торговельної марки, такий як, наприклад, «Світоч».
Входження в ринок
українських виробників ускладнюється також відсутністю високоякісного сучасного
устаткування. Дотепер на більших кондитерських фабриках готову продукцію
розфасовують й укладають у тару вручну. На підприємствах діють майже повністю
відпрацьовані технологічні лінії, на заміну яких не вистачає коштів.
Більше 50% вітчизняного
устаткування фізично й морально застаріло. Провадити конкурентоспроможну
продукцію на такому устаткуванні практично неможливо. Деякі кондитерські
підприємства намагаються вирішити цю проблему, купуючи устаткування за
кордоном.
Крім цього, практично всі
пакувальні матеріали також необхідно купувати за кордоном, оскільки вітчизняна
поліграфічна база не має можливості провадити пакувальну продукцію високої
якості.
За останні роки значно
знизився експорт кондитерських виробів. Найбільшим імпортером українських
кондитерських виробів була й залишається Росія. Але з кожним роком українським
солодощам все складніше витримувати конкуренцію на російському ринку.
Харчова промисловість
була, є і буде в перспективі важливою складовою матеріального виробництва. Від
технічного стану, забезпечення сировинними, енергетичними та іншими ресурсами,
а отже, від сталої роботи її підприємств визначальною мірою залежить
продовольча безпека держави. Ось чому проблеми відтворення і раціонального
використання потенціалу харчової промисловості в умовах поглиблення ринкових
відносин стали надзвичайно актуальними не тільки в теоретичному плані, а й у
практичному.
Перехід до ринкових умов
господарювання виявився досить складним для підприємств харчової промисловості.
Недооцінка її структурно-формуючої ролі для розвитку економіки в цілому
призвела до значного зниження обсягів виробництва. Хоча за останні роки,
починаючи з 2007 року, відбувається збільшення виробництва окремих видів
продукції продовольчих товарів у натуральному вираженні. Однак, оскільки це
зростання відбувається на фоні істотного скорочення обсягів виробництва саме
тих продуктів, які відіграють найважливішу роль у раціоні харчування (м'яса і
м'ясопродуктів, ковбасних виробів, продукції незбираного молока, хліба і
хлібобулочних виробів, кондитерських виробів, макаронних виробів та ін.), це
призвело до підвищення цін на ці товари.
Тому однією із головних
соціально-економічних задач розвитку харчової промисловості держави є
стабілізація та забезпечення росту обсягів продукції, що буде сприяти
підвищенню рівня задоволення потреб населення в продуктах харчування за рахунок
вітчизняних джерел та збільшення їх експорту в інші держави.
Невиконання харчовою
промисловістю повною мірою своєї функції щодо забезпечення науково
обґрунтованих потреб населення в продуктах харчування пов'язане як із значним
скороченням протягом тривалого часу обсягів переробки сільськогосподарської
сировини, падінням купівельної спроможності населення, так і з
техніко-технологічною та організаційно-економічною відсталістю галузі більшість
підприємств харчової промисловості потребують докорінного оновлення матеріально-технічної
бази, оскільки умови конкурентної боротьби вимагають впровадження сучасного
високопродуктивного устаткування і новітніх технологій, широкого залучення
наукового потенціалу.
Істотним фактором, який
лімітує виробничі можливості харчової промисловості, є стан основних виробничих
фондів – рівень їх спрацювання сягає 45–50%. Продуктивність праці в галузі є у
4–5 разів нижчою, ніж у розвинутих країнах, рівень механізації праці становить
близько 50–60%. Половину технологічного устаткування, встановленого в
переробній сфері, потрібно замінити і близько чверті – модернізувати. Світовим
стандартам відповідає лише 1/6 активної частини основних виробничих фондів.
Зазначені дисбаланси, обмежена і технологічно недосконала структура виробничої
бази, готової продукції, що збільшує розрив між наявністю ресурсів і споживчим
попитом на вітчизняні продовольчі товари. Розв'язувати інвестиційну проблему
потрібно шляхом залучення всього кола джерел інвестування. Капітальні вкладення
мають направлятись, насамперед, на модернізацію і техніко-технологічне
переоснащення підприємств, прискорений розвиток і підвищення ефективності функціонування
пріоритетних базових галузей і виробництв.
Перспективний розвиток
галузі має обов'язково передбачити подальше поліпшення розміщення її
продуктивних сил, посилення комплексного розвитку і спеціалізації господарств
економічних районів і областей України, основними напрямами якого повинні стати:
·
поглиблення спеціалізації окремих економічних районів і областей
на розвитку тих галузей і виробництв харчової промисловості, які мають необхідні
умови для створення ефективної сировинної бази;
·
доведення рівня розвитку ряду галузей харчової промисловості в економічних
районах і областях до масштабів, які б забезпечували потреби регіонів у
відповідних харчових продуктах;
·
оптимізація розмірів підприємств за їх типами в економічних районах
і областях відповідно до вимог ринкової економіки, новітніх досягнень науки,
техніки, технології виробництва і прогресивного світового досвіду.
Державна інвестиційна
політика повинна орієнтуватись на задоволення таких потреб харчової
промисловості, як випуск спеціальних видів транспорту для перевезення харчових
продуктів, створення розвинутого виробництва таропакувальних матеріалів для
харчових продуктів, розвиток інфраструктури для довгострокового зберігання
продовольчих товарів, організацію виробництва харчових замінників цукру для
діабетиків та ін.
Важливою умовою створення
в Україні розвинутої харчової промисловості повинно стати формування науково обґрунтованої
цінової, податкової і фінансово-кредитної політики.
Щодо хлібопекарської
промисловості, то вона існує у всіх містах України. Дніпропетровська область,
де територіально розміщено підприємство, що аналізується, є однією з провідних
областей в Україні з виробництва хлібобулочних виробів. Сьогодні в країні нараховується
більше 10 тис. хлібозаводів (у т.ч. 1,5 тисячі великих) і пекарень,
здатних виробляти щодоби близько 70 тис. т. хліба в асортименті (більше 700
найменувань), чи; 500 кг хліба на людину. Потужності їх складають приблизно 25
млн. т. продукції на рік. Виробництво хлібобулочних виробів зосереджено,
насамперед, на хлібозаводах (більше 90% обсягу). В останні роки скрізь
прискореними темпами створювалися малі пекарні, асортимент їхньої продукції в основному
доповнює асортимент, що випускається хлібозаводами. Створення малих пекарень на
території держави трохи послаблює проблему забезпечення свіжим хлібом глибинних
районів країни. Кондитерська промисловість України, до якої також відноситься ВАТ
«Жовтоводський хлібозавод», займає одне з провідних місць в структурі виробництва
кондитерських виробів.
Що стосується
асортименту продукції, її якості й оформлення, то крім відновлення традиційних
виробів, кондитерські фабрики й інші харчові підприємства почали освоювати
нові, але просування нової продукції на ринок здійснюється дуже складно.
Вітчизняні підприємства обмежені в засобах, які можна направляти на рекламу, до
того ж якість цієї реклами значно поступається західній. Ця проблема особливо
гостро постала для невеликих підприємств, що не мають відомої торгової марки.
Входження на ринок українських виробників ускладнюється також відсутністю
високоякісного устаткування. Деякі кондитерські підприємства намагаються
вирішити цю проблему, купуючи устаткування за кордоном.
1.8 Загальна
характеристика підприємства ВАТ «Жовтоводський хлібозавод» як структурної ланки
харчової промисловості
Підприємство було створено
в березні 1988 р. як підрозділ Східного комбінату (СхідК). У вересні 1995 р.
хлібозавод був виведений зі складу СхідК і на його базі організовано самостійне
підприємство державної форми власності «Жовтоводський хлібозавод».
Відкрите
Акціонерне Товариство «Жовтоводський хлібозавод» засновано відповідно до
рішення регіонального Фонду державного майна України в Дніпропетровській
області від 6 серпня 1996 року шляхом перетворення державного підприємства «Жовтоводський
хлібозавод» у Відкрите Акціонерне Товариство згідно Декрету КМУ України «Про
особливості приватизації майна в агропромисловому комплексі» №51–93 від
17.05.93 р. Акціонування відбулося за пільговою підпискою. Більше 60%
акцій викупили працівники Товариства і сільських господарств. В даний час підприємство
є цілком акціонованим. Контрольний пакет акцій належить Торгівельному будинку
«Укрзернопром».
Юридична адреса
підприємства: 52204
вул. Залізнична,
2,
м. Жовті Води,
Дніпропетровська
обл.,
Україна
ВАТ «Жовтоводський
хлібозавод» є юридичною особою з дня його реєстрації і здійснює свою діяльність
згідно діючого законодавства України і Статуту Товариства.
Майно
підприємства складається з основних і оборотних засобів, а також цінностей,
вартість яких відображена в балансі Товариства.
Товариство має самостійний
баланс, розрахунковий і інші рахунки в банках, фірмову марку і товарний знак,
печатку зі своїм найменуванням і кодом.
У Статуті
Товариства зазначено, що метою його діяльності є насичення внутрішнього
українського ринку високоякісною продукцією, товарами і послугами, а також
одержання прибутку від здійснення фінансово-господарської діяльності в
інтересах Учасників і забезпечення високого рівня життя і роботи акціонерів
Товариства.
Основними видами
діяльності, якими займається ВАТ «Жовтоводський хлібозавод» на сьогоднішній
день згідно Статуту є:
– роздрібна
і комісійна торгівля, організація власної торгової мережі;
– послуги в
області суспільного харчування;
– транспортно-експедиційне
обслуговування юридичних і фізичних осіб;
– інші види
діяльності, не заборонені законодавством.
Основним продуктом
виробництва хлібозаводу є хлібобулочні вироби, крім того, виробляються
макаронні та кондитерські вироби. Якість сировини і готової продукції, що
виробляється у ВАТ «Жовтоводський хлібозавод» відповідає вимогам діючої
нормативно-технічної документації.
Організаційна структура
являє собою фіксовані взаємозв’язки, що існують між підрозділами підприємства
та працівниками.
На Жовтоводському
хлібозаводі лінійно-функціональна система управління, при якій лінійне
підпорядкування всіх питань, пов'язаних з управлінням даним об'єктом,
поєднується з функціональним управлінням. Лінійно-функціональна система
забезпечує ефективне поєднання лінійного управління з консультаційним
обслуговуванням з боку функціональних служб без порушення прав і обов'язків
лінійних керівників.
В даній структурі
директору в розробці конкретних питань і в підготовці відповідних рішень,
програм, планів допомагає спеціальний апарат правління, що складається з
функціональних підрозділів. Останні проводять свої рішення або через директора,
або особисто до виконавця. Кожний працівник може одержати при цьому обов'язкові
для нього вказівки від інших службових осіб однакового з ним або вищого рангу.
Ці вказівки стосуються тільки техніки, технології чи організації праці, але ні
в якому разі не можуть стосуватися всієї діяльності працівника, а також його
адміністративної (чисто управлінської) діяльності. Іноді при лінійно-штабній системі
часто виникають проблеми взаємовідносин лінійних керівників і спеціалістів,
зокрема безвідповідальності під час прийняття та виконання управлінських
рішень. Ці недоліки усуваються за умов чіткого розмежування обов'язків, прав і
відповідності керівних працівників, а також правильного налагодження
неформальних комунікацій.
Загальне
керівництво ВАТ здійснює Рада правління, що обирається Загальними зборами
акціонерів (куди входять 600 акціонерів), у кількості 7 чоловік. Рада правління
обирається на рік і підзвітна у своїй діяльності вищому органу (Загальним
зборам акціонерів) і Наглядацькій раді Товариства. Рада правління організує виконання
їхніх рішень.
Поточне керівництво
діяльністю ВАТ «Жовтоводський хлібозавод» здійснює Голова правління. Він має
право без доручення здійснювати дії від імені Товариства й уповноважений
виконувати рішення вищого органа Товариства і Наглядацької ради, представляти
Товариство в його відносинах з іншими фізичними чи юридичними особами, вести
переговори і підписувати угоди від імені Товариства, організовувати ведення
протоколів.
Опис будь-якої технології
виробництва не можливий без визначення сировинної бази підприємства. Так на
сьогоднішній день підприємство повністю забезпечує себе борошном, яке і
являється основною сировиною. Борошно виробляється з зерна, зібраного з орендованих
ВАТ площ або з зерна, придбаного у сільгосппідприємств.
Зупинимося на
технологічному плані виробництва хлібобулочних виробів, а зокрема на прикладі
хліба «Колос» (формовий).
Рецептура даного виробу
має такий вигляд:
§
борошно пшеничне вищого ґатунку
§
борошно пшеничне першого ґатунку
§
сіль
§
дріжджі
§
вода
Початкові дані та
характеристика обладнання для виготовлення обраного виду хліба розглянуті в
таблиці 1.1.
Табл. 1.1. Обладнання та
початкові дані для виготовлення хліба
|
Обладнання та
початкові дані
|
Позначення
|
Формула
Розрахунку
|
Розрахунок
|
|
Номер агрегату
|
|
|
Лінія №1
|
|
Вид виробу
|
|
|
Хліб «Колос»
|
|
Ґатунок борошна
|
|
|
Суміш пш. в.с. и 1 с.
|
|
Маса однієї штуки
|
Кг
|
|
0,62
|
|
Плановий вихід
|
%
|
|
135,8
|
|
Спосіб випікання
|
|
|
Формовий
|
|
Марка печі
|
|
|
ФТЛ‑2
|
|
Кількість виробів в
печі
|
шт.
|
А*Н
|
24*16=384
384*0,62=238,08
|
|
Тривалість випікання
|
Хв.
|
|
40–45
|
|
Продуктивність печі за
годину, т/год
шт./год
за добу, т/доб.
шт./доб.
|
Р
Ш
|
А*Н*60/(1000*вип.)
Р*100/мас. в
Р * 24
Ш *24
|
24*16*0,62*60/(1000
*40)=0,357
0,357*1000/0,62=576
0,357*24=8,57
576*24=13824
|
|
Спосіб виготовлення
тіста
|
|
|
На рідкій солоній опарі
|
|
Виготовлення РСО
|
|
|
Порціонним способом в
заварювальній машині ХЗМ – 300
|
|
Виготовлення тіста
|
|
|
Неперервним способом в
тістозмішувальній машині І8 – ХТА
|
Розглянувши технологічний
план виготовлення хлібу, звернимо увагу на технологічний процес виготовлення ще
одного виду виробів ВАТ «Жовтоводський хлібозавод», як кондитерські вироби.
Опис технології виробництва викладемо послідовно і для усіх загалом
кондитерських виробів.
1. Підготовка сировини
Підготовка сировини до
виробництва відбувається відповідно до вимог розділу 1 «Збірника
технологічних інструкцій що до виробництва мучних кондитерських виробів».
2. Підготовка тіста.
Загрузка сировини в
змішувальну машину відбувається в певній послідовності:
§
емульсія, в складі якої жир, цукор, молоко та інші допоміжні
компоненти.
§
суміш борошна і крохмалю.
Замішування тіста триває
в залежності від температури, властивостей борошна, інтенсивності роботи
змішувальної машини та інших факторів. Готове тісто повинне бути добре
вимішеним, слабкозв’язаним, пластичним і мати температуру 19–25С.
Ці умови пояснюються тим,
що під час формування отримані обрізки встигають прийняти температуру
приміщення і в суміші з тістом будуть відрізнятися один від одного структурою,
що позначиться на якості виробу.
Температура тіста,
кількість годин замішування, вологість тіста, кількість води за рецептом можуть
змінюватися в залежності від якості борошна і конструктивних властивостей
обладнання.
Виробничу рецептуру і
технологічні режими виготовлення тіста для кондитерських виробів розглянемо на
прикладі печива «Квіткове», що подані в таблиці 1.2.
Табл. 1.2. Виробнича
рецептура і технологічні режими виготовлення тіста для кондитерських виробів на
прикладі печива «Квіткове»
|
Найменування сировини і
параметри технологічного процесу
|
Витрати сировини і
показники параметрів технологічного процесу
|
|
Борошно пшеничне вищого
ґатунку, кг
|
645,50
|
|
Цукрова пудра
|
249,81
|
|
Маргарин
|
148,12
|
|
Меланж
|
57,27
|
|
Сироп
|
36,15
|
|
Жженка
|
6,65
|
|
Сода
|
4,24
|
|
Аммоній
|
1,46
|
|
Вода, л.
|
74,5
|
|
Температура тіста в
кінці замішування, С.
|
20–22
|
|
Тривалість замішування
тіста, хв.
|
10–15
|
|
Вологість тіста, % не
більше
|
20–23
|
3. Формування виробів
Готове тісто формують на
машині типу ФПЛ видавлюючи через шаблони різної форми.
4. Випікання і охолодження
печива і пряників
Тривалість і температура
випікання різних видів кондитерських виробів зображені в таблиці 1.3.
Табл. 1.3. Тривалість і
температура випікання різних видів кондитерських виробів
|
Назва виробу
|
Температура випікання,
С
|
Тривалість випікання,
хв.
|
|
Цукрове печиво
|
220–240
|
10–12
|
|
Здобне печиво
|
200–250
|
10–15
|
|
Пряники
|
200–240
|
7–12
|
Після випікання печиво і
пряники охолоджують на листі до 65–70С. Печиво готове, що ж до пряників, то
вони поливаються цукровим сиропом до утворення глянцевої скоринки. Потім
пряники вивантажують на добу і підсушують, що триває 80–100 хв.
Упаковування,
маркірування, розфасування та зберігання печива і пряників виконуються
відповідно до вимог Держстандарту 15810–96 і 24901–89.
Печиво і пряники
зберігаються в чистих з вентиляцією приміщеннях при температурі 18+-5С і
відносній вологості повітря не більше як 75%.
Гарантійний термін
зберігання з дня виготовлення для
·
пряника «Симферопольський» – 20 діб
·
печиво «Цукрове» – 3 місяці
·
печиво «Квіткове» – 30 діб.
Види енергоресурсів, що
використовуються в виробництві складають такий перелік: автономне опалення,
холодне, гаряче водопостачання, каналізація централізована подача холодної
води, каналізація, автономне гаряче водопостачання, електроенергії, пар,
нафтопродукти (бензин, дизельне паливо), газ.
Аналіз поведінки
продукції
Аналіз рівня
обслуговування проводився на підприємстві за допомогою самих покупців, тобто
проводилося опитування. Метод опитування має ряд переваг перед статистичним,
тому що статистичні дані по ряду цікавлячих нас показників узагалі відсутні.
Оцінка торговельної ситуації, одержувана за допомогою опитування, значно
повніше, ніж традиційні статистичні дослідження. Особливий інтерес надають
опитування осіб, що тільки що відвідали магазин, тому що в даному випадку
одержуємо досить точні відповіді на ряд питань. Це обумовлюється тим, що в
момент відвідування і виходу з магазина в покупця складається визначене
відношення до тому, як його обслужили. Мається можливість не тільки визначити
якість обслуговування, але і більш точно установити причини мотивованої реакції
покупця на рівень і якість обслуговування.
У 2004 р. проводився
опитування покупців з метою оцінки якості торговельного обслуговування. Було
опитано 200 чоловік. Паралельно з усним опитуванням покупців про якість
обслуговування було проведене анкетне опитування, що дозволяє виявити не тільки
загальне враження від обслуговування, але й оцінку його складових.
При письмовому анкетному
опитуванні запитальник заповнювали самі опитувані. Запропонована нами анкета
покупцеві виключала одержання яких-небудь відповідей чисельного характеру, тому
що вона була розрахована лише на виявлення думки покупців. Зразкова анкета
представлена в табл. 1.4.
Таблиця 1.4. Анкета
покупця
|
Питання
|
Відповіді
|
|
1. Як часто ви робите покупки в нашому
магазині?
2. Що, на вашу думку, характеризує якість
обслуговування?
3. Що ви думаєте про асортимент у магазині?
4. Як ви оцінюєте рівень майстерності
працівників нашого магазина?
5. Як ви оцінюєте обслуговування в нашому
магазині?
6. Хто робить у вашій родині основні покупки?
7. Розповісти, будь ласка, небагато про себе:
стать
вік
число членів вашої родини
доход родини на місяць
8. Ваш соціальний стан (написати).
|
Щодня.
Кілька разів на тиждень.
Від випадку до випадку.
Вперше.
Наявність товарів і можливості їхнього вибору.
Доступні ціни.
Надання додаткових послуг.
Реклама і консультація про товар.
Чистота і порядок у магазині.
Широкий.
Вузький.
Високий.
Задовільний.
Незадовільний.
Дуже гарне.
Гарне.
Не важливе.
Погане
В основному я
В основному інші члени родини
Коли хто
Жінки, чоловіки
|
|
Дякуємо за відповіді!
|
Після проведення
анкетного опитування, обробили отримані результати. Обробка отриманих
результатів здійснювалася методом, запропонованим німецьким економістом О. Андерсеном.
При цьому показники оцінювалися за допомогою оцінок «високої», «задовільної»,
«незадовільної» (табл. 1.5).
Таблиця 1.5. Оцінка якості
торговельного обслуговування
|
Склад показників
|
Рівень якості обслуговування
|
|
Високий
|
Задовільний
|
Незадовільний.
|
|
Коефіцієнт стабільності асортименту
обстежуваних товарів
Середній обсяг витрат часу покупців на чекання,
хв.
Рівень професійної майстерності працівників,
активність продажу товарів.
Організація торговельної реклами й інформації:
оформлення вітрин і викладення товарів, наявність засобів німої реклами,
анотацій до товару.
Оцінка покупцями якості додаткових послуг.
Оцінка покупцями якості торговельного
обслуговування (на 10 чіл).
|
0,9 і більш
не більш 3 хв.
0,9 і більш
середній рівень кваліфікації
0,9 і більш
відповідає вимогам
0,9 і більш
0,9 і більш
оцінка 9 чол. і більш
0,9 і більш
|
0,81–0,89
3–6 хв.
0,81–1,89
0,81–0,89
маються зауваження не порушують правил продажу
0,81–0,89
0,81–0,89
оцінка 8 чол. і більш
0,81–0,89
|
0,80 і нижче
0,80 і нижче
0,80 і нижче
Мається зауваження по викладенню товарів,
оформлення вітрин
0,80 і нижче
0,80
оцінка 2 спожив. і більш
0,80
|
Потім розрахували
середній рівень оцінки якості торговельного обслуговування шляхом
підсумовування зведення усіх відповідей в анкеті. І одержали узагальнюючий
коефіцієнт, рівний 0,88, тобто рівень торговельного обслуговування задовільний,
на думку самих покупців.
Аналіз конкуренції
В України існує понад 100
фірм і приватних підприємців, які реалізують харчову продукцію. Найбільшими
конкурентами є такі підприємства:
• OOO «Світязь»
(частка ринку – 8%),
• ООО «Рейнфорд»
(частка ринку – 11%),
• ООО «Лілія»
(частка ринку -12%),
• OOO «Світоч»
(частка ринку -15%),
• ЗАТ «Рошен»
(частка ринку -15%),
• ЗАТ «АВК»
(частка ринку -20%).
ВАТ «Жовтоводський
хлібозавод» має 12% частку ринку, тому воно конкурує з підприємствами, які
займають великі сегменти ринку. (рис. 1.1)
Рисунок 1.1 Основні
конкуренти підприємства
Таким чином, інші малі
організації разом займають 7% ринку.
Конкурентні переваги
головних конкурентів:
• гарантована
наявність товару на складах;
• швидка доставка;
• пропонування
нових асортиментних позицій;
• пропозиція товарів
вітчизняного виробництва.
Для виходу на ринок нових
конкурентів існують бар’єри, які пов’язані:
• з великими
інвестиціями (ринок канцелярських товарів має сезонний характер, тому необхідні
додаткове інвестування і кредитування);
• з екологічно
чистою продукцією;
• з нестачею
сировини (в Україні нема сировинної бази);
• з мережею
дистриб’юторів (для полегшення системи збуту).
1.8.4
Охорона праці та техніка безпеки на підприємстві
Закон України «Про охорону праці»
прийнятий у 1992 році регулює трудові відносини всіх працівників, сприяючи
зростанню продуктивності праці, поліпшенню якості роботи, встановлює високий
рівень умов праці. Закон передбачає створення безпечних і нешкідливих умов
праці на всіх підприємствах, в установах, організаціях; обов’язки власника та
працівника щодо виконання нормативних актів про охорону праці; відшкодування
власником або уповноваженим ним органом шкоди працівникам у разі ушкодження їх
здоров’я; контроль за додержанням вимог нормативних актів про охорону праці.
Весь виробничий та
невиробничий персонал проходить інструктажі з ОП:
-
ввідний – при прийманні на роботу;
-
інструктаж по місцю роботи – первинний;
-
періодичний;
-
позаплановий;
-
цільовий.
Люди які приймаються на
роботу, що пов’язана з обслуговуванням складних апаратів, посудин, що працюють
під тиском, електроустановок допускаються до роботи після спеціальної
підготовки та здачі іспиту кваліфікованій комісії.
Періодичний інструктаж на
робочому місці проводить майстер, бригадир або інструктор з метою роз’яснення
мір безпеки при виконанні роботи. Якщо впродовж однієї зміни змінюється
метеорологічні умови, характер або місце роботи, то цей інструктаж проводиться
повторно. Якщо робота носить одноманітний характер на постійному робочому
місці, то періодичний інструктаж проводиться один раз на місяць.
Позаплановий інструктаж
проводиться на підставі нещасного випадку або при порушенні техніки безпеки, а
також при впровадженні нового обладнання. Цей інструктаж проводять УТР,
керівники робіт або інструктор у формі лекції.
Згідно закону України «Про
охорону праці» фінансування заходів з охорони праці відбувається у кількості 0,5%
від фонду оплати праці. Кошти фонду охорони праці хлібозавод використовує
тільки на виконання комплексних заходів, що забезпечують досягнення
встановлених нормативів з охорони праці, а також на подальше підвищення рівня
охорони праці на виробництві.
Електробезпека.
Категорії приміщень з
електробезпеки поділяються на 3 класи. Тістоприготувальне відділення
відноситься до класу підвищеної безпеки. Для запобігання ураження працюючих
електричним струмом все обладнання має заземлення. Також є система аварійного
відключення живлення при перевантаженні електричної мережі. Потужність
електричної мережі розрахована з урахуванням потужності всіх електроприймачів
цеху.
Використовуються
електромеханічне блокування, яке забезпечує відключення електричного живлення
струмоведучих частин при відкриванні доступу до них. Велика увага приділяється
захисту складів безтарного зберігання борошна від статичної електрики. Для
цього проводяться слідуючи заходи:
-
металеві пневмоходи з’єднуються із заземленими пристроями;
-
заземлюються силоси, просіювачі, дозатори борошна, шнеки, розподілювачі
та інші пристрої;
-
паралельно розташовані трубопроводи з’єднуються між собою для вирівнювання
потенціалу статичної електрики струмопровідними перемикачами через кожні 25 см
– це попереджує виникнення іскрових електричних розрядів;
-
вся електроарматура виконується у вибухонебезпечному виконанні.
Взагалі, вся
електроапаратура на заводі відповідає умовам навколишнього середовища в
приміщеннях, де вона розташована. Так в пічному відділенні, де відбувається
значне виділення тепла, вся електропроводка має ізоляцію, яка має високу
температуру плавлення, а в заварочному – підвищену вологостійкість.
Розміщення і експлуатація
технологічного обладнання.
Для безпечної
експлуатації технологічного обладнання, воно розташоване на відстані не менше
ніж 0,8 м від стін та колон.
Відстань між двома
паралельними технічними лініями становить 2 м. Обладнання фарбується в
світлий колір, а стіни та підлога облицьовується плиткою.
На устаткуванні розміщені
інструкції з обслуговування та з техніки безпеки, що затверджені головним інженером
та головою профспілки.
Для обслуговування
обладнання, що знаходиться на висоті 1,5 м і більше влаштовуються площадки
зі сходами. Ширина сходів не менше 0,6 м, а висота поручнів не менше 1 м.
Ширина проходів між обладнанням не менше 1 м.
Управління обладнанням здійснюється з
пультів управління, але на самому обладнанні встановлені вимикачі, для його
негайного зупинення. Печі мають контрольно-вимірювальні прилади та обладнанні
автоматичною системою керування.
Цех має систему
сповіщення та сигналізації. На щиті управління є світлова та звукова
сигналізація для контролю різних технологічних параметрів. Цех має систему
припливно-витяжної вентиляції, такі як: відсмоктувачі теплових надлишків, система
повітряного душування робочих місць біля печей та інше.
Для створення безпечних і
сприятливих умов праці на підприємстві виконуються такі заходи:
-
створена оптимальна освітленість робочих місць;
-
забезпечується додержання нормальних кліматичних умов на робочих
місцях;
-
проводиться ізоляція тепловиділяючих поверхонь;
-
все обладнання розташовано згідно норм, що забезпечує його
безпечну експлуатацію, ремонт та спрощує евакуацію персоналу у разі виникнення
аварійних ситуацій;
-
всі деталі, що обертаються мають огорожу, яка має механізм блокування
приводу;
-
всі робітники періодично проходять інструктаж з техніки безпеки.
Пожежна безпека.
Відповідно до положення
Закону України «Про пожежну безпеку» (статті 4–7). Правила пожежної безпеки в
Україні є обов'язковими для виконання всіма підприємствами незалежно від форми
власності. Забезпечуючи пожежну безпеку слід також керуватися стандартами,
будівельними нормами, правилами влаштування електроустановок (ПУЕ), нормами
технологічного проектування та іншими нормативними актами.
Пожежна безпека
забезпечується шляхом проведення організаційних та інших заходів, спрямованих
на попередження пожеж, забезпечення безпеки людей, зниження можливих майнових
витрат і зменшення негативних екологічних наслідків у разі їх виникнення, створення
умов для швидкого та успішного гасіння пожеж.
Для ліквідації можливих
пожеж на кожному об'єкті повинні бути джерела протипожежного водозабезпечення і
первинні засоби пожежогасіння.
Приміщення, технологічні
установки забезпечуються первинними засобами пожежогасіння: вогнегасниками,
ящиками з пожежним інструментом (гаками, ломами, сокирами, тощо), які
використовуються для локалізації і ліквідації пожеж у їх початковій стадії.
По обсягам товарної та
реалізованої продукції відбувається постійне збільшення з кожним роком (за
виключенням 2007 року) у діючих цінах, проте в порівняних цінах ситуація дещо
інша. Так у 2009 році по відношенню до 2005 року відбулось збільшення товарної
продукції в діючих цінах на 5294,7 тис. грн. (30,5%) (у порівняних – зменшення
на 9081 тис. грн. (61,3%)), а реалізованої – збільшення на 7828,4 тис. грн.
(53,1%) (у порівняних – зменшення на 4389,9 тис. грн. (73,7%)). У 2009 році по
відношенню до 2008 року відбулось збільшення об'єму товарної продукції в діючих
цінах на 1639 тис. грн. (7,8%) (у порівняних – зменшення на 942,1 тис. грн. (86%)),
а реалізованої – збільшення на 4207,6 тис. грн. (22,9%) (у порівняних – на
1950,6 тис. грн. (9,4%)). Основною причиною такого різкого збільшення об'ємів
випуску та реалізації може бути розширення ринку збуту та закупівля нової
техніки.
Собівартість товарної та
реалізованої продукції також майже постійно збільшується. У більшій мірі це
пов’язано із збільшенням обсягів товарної та реалізованої продукції. Так у 2009
році по відношенню до 2005 року відбулось збільшення собівартості товарної продукції
в діючих цінах на 8328,2 тис. грн. (85,1%) (у порівняних – збільшилась на 210,3
тис. грн. (1,2%)), а реалізованої – на 6324,2 тис. грн. (53,9%) (а у порівняних
зменшення – на 3400,6 тис. грн. (11,9%)). У 2009 році по відношенню до 2008
року відбулось збільшення собівартості товарної продукції в діючих цінах на
2316 тис. грн. (14,7%) (у порівняних – на 372.9 тис. грн. (2,1%)), а
реалізованої продукції в діючих цінах збільшилась на 3685 тис. грн. (25,6%) (у
порівняних на 1918,5 тис. грн. (11,9%)).
Як бачимо, то
собівартість товарної продукції часом вища від собівартості реалізованої, такі
відхилення можуть бути наслідками того, що підприємство у поточному році
використовує ресурси для використання наступного року, це пов’язане зі
специфікою сировини, що має сезонний характер.
Витрати на 1 грн.
товарної продукції зростають з кожним роком з 0,6 грн. у 2005 році до 0,8 грн.
у 2007 році, та вже з 2007 року знижуються 0,7 грн. але в 2009 році – знову
стають 0,8 грн. Це пов’язано з появою нових технологій виробництва, капітальних
вкладень у нове устаткування підприємства.
Валовий прибуток
підприємства також неупинно збільшується, так у порівнянні 2009 з 2005 роком
валовий прибуток в діючих цінах зріс на 1548,7 тис. грн. (21,9%) (проте у
порівняних зменшився на 907,9 тис. грн. (73,2%)), зрівнюючи 2009 рік з 2008
роком показник збільшився в діючих цінах 810 на тис. грн. (21,9%) (в порівняних
на 354,9 тис. грн. (8,5%)), але це все ж не дає змоги підприємству отримати
чистий прибуток, тільки лише у 2005 році, коли ВАТ «Жовтоводський хлібозавод»
отримало 13,1 тис грн. чистого прибутку.
Середньорічна вартість
ОВФ у 2009 році по відношенню до 2005 року збільшилася на 361.6 тис. грн. (87,3%)
в діючих цінах та зменшилась на 2736,9 тис. грн. (49,9%) порівняних цінах. У порівнянні
2009 з 2008 роком показник зменшився на 115,5 тис. грн. (87,3%) в діючих цінах
та на 634,2 тис. грн. (76,6%) в порівняних цінах.
Показник фондовіддачі
майже постійно збільшувався, а фондомісткості – навпаки зменшувався, що є
досить добрим показником діяльності підприємства.
Середньорічний залишок
оборотних засобів порівнюючи 2009 і 2005 роки збільшився на 1982,2 тис. грн.
(41,05%), а у порівнянні 2009 з 2008 роком показник збільшився на 768 тис. грн.
(37,7%).
Середньооблікова
чисельність штатних працівників збільшується порівнюючи 2009 з 2005 роком на 17
чол. (8,7%) та у порівнянні 2009 з 2008 роком знижується на 1 чол. (8,9%).
Середньорічний виробіток
працівників майже постійно збільшується, що теж являється досить позитивним
показником діяльності підприємства.
ФОП постійно зростає в
діючих цінах, проте знижується на -142,3 тис. грн. (86,3%) в порівняних цінах,
при порівнянні 2009 з 2008 роком. Середньомісячна заробітна плата 1 працівника
стабільно збільшується з року в рік, в діючих цінах, але зменшилася на 48,6
грн. (86,8%) в порівняних цінах, при зіставленні 2009 року з 2008. Це пов’язано
із збільшенням чисельності працівників, підвищенням мінімальної заробітної
плати та збільшенням товарної продукції.
Всі показники
рентабельності (за виключенням рентабельності виробництва) у 2009 році в
порівнянні з базисним роком та 2008 – знижуються. Так, рентабельність продажу
зменшилася на 0,2% та0,5% (відповідно у відношенні 2009 року до 2005 та до 2008
року), рентабельність продукції – зменшилася відповідно на 0,3% та 0,8%,
рентабельність підприємства – зменшилася на 16,2% (в порівнянні 2009 року з
2005 роком), але збільшилася на 16,3% (при порівнянні 2009 року з попереднім
роком). А от рентабельність виробництва збільшилася на 0,4% та 6,1% (при
відношенні 2009 року до 2005 та до 2008 року).
Для характеристики
динаміки та структури основних засобів на підприємстві використаємо дані з
Таблиці 2 Форми №11‑ОЗ «Звіт про наявність та рух основних засобів,
амортизацію» за 2005, 2006, 2007, 2008 та 2009 роки.
Структура основних фондів
підприємства представлена у таблиці 2.1.
Табл. 2.1. Склад основних
засобів ВАТ «Жовтоводський хлібозавод» у 2005–2009 роках
|
Найменування показника
|
2005 рік
|
2006 рік
|
2007 рік
|
2008 рік
|
2009 рік
|
|
тис. грн.
|
%
|
тис. грн.
|
%
|
тис. грн
|
%
|
тис. грн.
|
%
|
тис. грн.
|
%
|
|
Земельні ділянки
|
6541,4
|
50
|
67523
|
58,4
|
7509,2
|
50
|
7829
|
49,9
|
7954
|
50
|
|
Будинки, споруди та передавальні пристрої
|
4572,6
|
34,9
|
45864
|
39,7
|
4606,9
|
30,7
|
4855
|
30,9
|
4857
|
30,5
|
|
Машини та обладнання
|
1416,9
|
10,8
|
1627,5
|
1,4
|
2300,6
|
15,3
|
2308
|
14,7
|
2442
|
15,3
|
|
Транспортні засоби
|
383,9
|
2,9
|
386,5
|
0,3
|
405,9
|
2,7
|
445
|
2,8
|
2,98
|
|
Інструменти, прилади, інвентар (меблі)
|
152,9
|
1,2
|
154,6
|
0,2
|
173,1
|
1,6
|
195
|
1,2
|
157
|
0,99
|
|
Бібліотечні фонди
|
0,5
|
0,004
|
0,5
|
0,004
|
0,5
|
0,003
|
1
|
0,006
|
1
|
0,006
|
|
Малоцінні необоротні матеріальні активи
|
4,2
|
0,03
|
6,2
|
0,005
|
11,8
|
0,08
|
15
|
0,09
|
12
|
0,07
|
|
Інвентарна тара
|
10,4
|
0,08
|
10,4
|
0,009
|
10,4
|
0,07
|
10
|
0,063
|
10
|
0,06
|
|
Всього:
|
13082,8
|
115572,7
|
15018,4
|
15688
|
15908
|
Отже, щороку найбільшу
питому вагу у складі основних засобів займають земельні ділянки, а найменшу – бібліотечні
фонди
Так, на кінець 2005 року
у наявності було всього основних засобів на суму 13082,8 тис. грн., серед яких
земельні ділянки на суму 6541,4 тис. грн., тобто 50%, а бібліотечні фонди – 0,5
тис. грн., що складає 0,004%.
У кінці 2006 року у
наявності було основних засобів на суму 115572,7 тис. грн., серед яких земельні
ділянки на суму 67523 тис. грн., тобто 58,4%, а бібліотечні фонди – 0,5 тис.
грн., що складає 0,004%.
Для 2007 року маємо подібну
ситуацію. З 15018,4 тис. грн. вартості основних засобів 7509,2 тис. грн. (50%)
складають земельні ділянки, а 0,5 тис. грн. (0,003%) – бібліотечні фонди.
На кінець 2008 року сума
основних засобів складала 15688 тис. грн. У їх складі найбільшу питому вагу
займали земельні ділянки – 7829 тис. грн., тобто 49,9%, а найменшу бібліотечні
фонди – 1 тис. грн., що складає 0,006%.
На кінець 2009 року сума
основних засобів складала 15908 тис. грн. У їх складі найбільшу питому вагу
займали земельні ділянки – 7954 тис. грн., тобто 50%, а найменшу бібліотечні
фонди – 1 тис. грн., що складає 0,006%.
За допомогою даних Форми №11-ОЗ
«Звіт про наявність та рух основних засобів, амортизацію» за 2005, 2006, 2007,
2008 та 2009 роки розрахуємо середньорічну вартість основних засобів за
допомогою середньої арифметичної. Розраховані дані помістимо в таблицю 2.2. За
допомогою абсолютного та відносного відхилень проведемо динаміку показника.
Табл. 2.2. Динаміка
середньорічної вартості основних засобів за 2005–2009 роки
|
Середньорічна вартість ОФ, тис. грн.
|
Абсолютне відхилення, тис. грн.
|
Відносне відхилення, %
|
|
2005 рік
|
2006 рік
|
2007 рік
|
2008 рік
|
2009 рік
|
2009/2005
|
2009/2008
|
2009/2005
|
2009/2008
|
|
6386,6
|
6636,9
|
7120,8
|
7669
|
8115,2
|
1728,6
|
446,2
|
27,1
|
5,8
|
Як видно з таблиці 2.2
динаміка середньорічної вартості основних фондів характеризується постійним
зростанням, що пов’язане з купівлею нових основних засобів, так у 2009 році
відносно 2005 року середньорічна вартість основних фондів збільшилась на 1728,6
тис. грн. (27,1%), а відносно 2008 року – на 446,2 тис. грн. (5,8%).
Для більш детального
розгляду та пояснення динаміки вартості основних засобів розглянемо зміну
коефіцієнтів вибуття, прибуття, зносу та придатності за даний період. Дані для
розрахунків візьмемо з Форми №11‑ОЗ «Звіт про наявність та рух основних
засобів, амортизацію» та Форми №1 «Балансу по ВАТ «Жовтоводський хлібозавод» за
2005–2009 роки. Зміну коефіцієнтів розрахуємо за допомогою формул 2.1, 2.2,
2.3, 2.4.
1.
Коефіцієнт прибуття ОВФ:
(2.1)
де:
Свв – вартість
введених ОВФ;
Ск – вартість ОВФ на
кінець періоду
2.
Коефіцієнт вибуття ОВФ:
(2.2)
де:
Ссп – вартість
списаних ОВФ.
Сп – вартість ОВФ на
початок періоду
3.
Коефіцієнт зносу ОВФ:
Кз =
*100% (2.3)
де:
–
сума зносу
4.
Коефіцієнт придатності ОВФ:
(2.4)
Отримані дані занесемо в
таблицю 2.1.
Табл. 2.1. Коефіцієнти
вибуття, прибуття, зносу та придатності за 2005–2009 роки
|
Показники
|
Роки
|
Абсолютне відхилення,
тис. грн.
|
Відносне відхилення, %
|
|
2005
|
2006
|
2007
|
2008
|
2009
|
2009/2005
|
2009/2008
|
2009/2005
|
2009/2008
|
|
Коефіцієнт прибуття, %
|
5,3
|
3,4
|
11,3
|
7,1
|
6,8
|
1,5
|
-0,3
|
28,3
|
-9,5
|
|
Коефіцієнт вибуття, %
|
0,6
|
0,5
|
1,05
|
3,1
|
4,2
|
3,6
|
1,1
|
700
|
35,5
|
|
Коефіцієнт зносу, %
|
61,7
|
57,2
|
62,9
|
55,9
|
52,8
|
-8,9
|
-3.1
|
-8,5
|
-9,4
|
|
Коефіцієнт придатності, %
|
38,3
|
42,8
|
37,1
|
44,1
|
47,5
|
9,2
|
3,4
|
24,1
|
7,7
|
Отже, як видно з таблиці
2.1., кожного року коефіцієнт прибуття перевищує коефіцієнт вибуття, що формує
можливість для збільшення середньорічної вартості основних фондів. У 2008 та
2009 роках відбувається значне збільшення значень коефіцієнтів прибуття та
вибуття, що пов’язано з заміною обладнання на підприємстві. Коефіцієнти зносу
та придатності демонструють, що у середньому на 50% основні фонди є придатними
для експлуатації.
Коефіцієнт придатності
характеризується тенденцією до збільшення, що можна пояснити переважанням нової
техніки над застарілим обладнанням.
Розрахуємо основні
показники стану основних засобів ВАТ «Жовтоводський хлібозавод» за допомогою формул
2.5, 2.6, 2.7, 2.8. Для розрахунку використаємо дані з таблиці 2.1.1. та
показники зі «Звіту про фінансові результати» та «Звіту з використання робочого
часу» за 2005–2009 роки.
До показників, які
характеризують рівень ефективності використання основних фондів належить
наступна група:
1.
Фондовіддача показує скільки об’єму виготовленої продукції
припадає на одиницю вартості ОВФ, розраховується за формулою:
(2.5)
де:
Q – об’єм
виробленої продукції за певний період
2.
Фондомісткість ОВФ показник обернений до фондовіддачі, показує
скільки припадає вартості ОВФ що приймає участь у виробництві продукції, на
одиницю вартості виробленої продукції:
(2.6)
3.
Фондозабезпеченість ОВФ показує величину ОВФ, яка припадає на
одного середньо облікового працівника підприємства, розраховується, як:
(2.7)
де:
r –
середньооблікова чисельність робітників підприємства.
4. Рентабельність
використання ОВФ розраховується за формулою:
(2.8)
де:
П – прибуток
підприємства за період, що аналізується
Розраховані показники
занесемо у таблицю 2.4.
Табл. 2.4. Основні
показники стану основних засобів у 2005–2009 роках
|
Показники
|
Роки
|
Аюсолютне відхилення, тис. грн.
|
Відносне відхилення, %
|
|
2005
|
2006
|
2007
|
2008
|
2009
|
2009/2005
|
2009/ 2008
|
2009/2005
|
2009/2008
|
|
Фондовіддача, грн./грн.
|
2,71
|
3,35
|
2,37
|
2,74
|
2,89
|
0,18
|
0,15
|
6,6
|
5,4
|
|
Фондомісткість, грн./грн.
|
0,37
|
0,29
|
0,42
|
0,36
|
0,34
|
-0,03
|
-0,02
|
-9,2
|
-9,1
|
|
Фондоозброєність, тис. грн./чол
|
33,3
|
31,8
|
33,4
|
36,5
|
38,5
|
5,2
|
2
|
15,6
|
5,5
|
|
Рентабельність використання ОФ, %
|
46,4
|
57,3
|
33,6
|
48,3
|
49,8
|
3,4
|
1,5
|
7,3
|
3,1
|
Виходячи з таблиці 2.4.,
ми бачимо, що показник фондовіддачі майже кожного року зростає. На 1 грн.
середньорічної вартості ОВФ припадає близько 3 грн. вартості продукції, тобто
можна зробити висновок, що значення коефіцієнту фондовіддачі досить значне.
Показник фондомісткості навпаки щороку зменшується. Проаналізувавши його
значення можна сказати, що на 1 грн. вартості продукції припадає близько 40
коп. вартості основних фондів. Коефіцієнт фондоозброєності показує, що на 1
робітника припадає від 33,3 тис. грн. вартості ОВФ у 2005 році до 38,5 тис.
грн. у 2009 році. Показник рентабельності підприємства має додатне значення, що
зумовлено постійним прибутком, який отримує підприємство за останні роки.
Особливо це стосується 2006 та 2008 років.
2.2 Аналіз ефективності
використання оборотних засобів ВАТ «Жовтоводський хлібозавод» за період 2005–2009
рр.
Зведемо дані про оборотні
засоби підприємства у таблицю 2.5. Вихідними даними для заповнення таблиці є
Форма №1 «Баланс по ВАТ «Жовтоводський хлібозавод»» за 2005–2009 роки.
Табл. 2.5. Обсяг і склад
оборотних засобів у 2005–2009 роках
|
Показники оборотних засобів, тис. грн.
|
Роки
|
Абсолютне відхилення, тис. грн.
|
Відносне відхилення, %
|
|
2005
|
2006
|
2007
|
2008
|
2009
|
09/05
|
09/08
|
09/05
|
09/08
|
|
Виробничі запаси
|
401,5
|
408,3
|
825,2
|
851
|
780
|
378,5
|
-71
|
94,2
|
-9,2
|
|
Незавершене виробництво
|
-
|
-
|
-
|
-
|
-
|
-
|
-
|
-
|
-
|
|
Готова продукція
|
1,8
|
2,7
|
6,9
|
8
|
75
|
73,2
|
67
|
3166,7
|
937,5
|
|
Товари
|
4,5
|
758,9
|
10,9
|
17
|
21
|
16,5
|
4
|
466,7
|
23,5
|
|
Дебіторська заборгованість за товари, послуги:
|
|
|
|
|
|
|
|
|
|
|
- чиста реалізаційна вартість
|
44,6
|
1888,7
|
457,3
|
201
|
463
|
418,4
|
262
|
1038,1
|
230,3
|
|
- первісна вартість
|
64,6
|
1908,7
|
477,3
|
201
|
463
|
398,4
|
262
|
716,7
|
230,3
|
|
Інша поточна заборгованість
|
-
|
-
|
168,8
|
828
|
1743
|
-
|
915
|
-
|
210,5
|
|
Грошові кошти та їх еквіваленти:
в національній валюті
|
94,6
|
103,0
|
138,6
|
191
|
169
|
74,4
|
-22
|
78,6
|
-88,5
|
|
Інші оборотні активи
|
117,9
|
37,4
|
262,5
|
101
|
150
|
32,1
|
49
|
27,2
|
48,5
|
|
Всього оборотні активи
|
1380,1
|
5108,6
|
23475
|
2197
|
3402
|
2021.9
|
1205
|
146,5
|
54,8
|
Виходячи з таблиці 2.5,
можна зробити висновок, що найбільшу частину оборотних засобів підприємства
складають виробничі запаси, які неодмінно впливають на збільшення готової
продукції і, тим самим, збільшують суму оборотних засобів. Так, у порівнянні
2005 року з 2009 роком сума виробничих запасів зросла на 378,5 тис. грн. (94,2%),
що призвело до значного зростання суми оборотних активів – на 2021.9 тис. грн. (146,5%).
Якщо порівняти 2008 рік з 2007 роком, бачимо, хоча й сума виробничих запасів
зменшилася на 71 тис. грн. (9,2%), та сума оборотних активів зазнала збільшення
на 1205 тис. грн. (54,8%).
Розглянемо показники
оцінки та ефективності використання оборотних засобів підприємства,
використовуючи формули 2.9, 2.10, 2.11, 2.12. За вихідні дані візьмемо дані з
Форма №1 «Баланс по ВАТ «Жовтоводський хлібозавод» та Форми №2 «Звіт про
фінансові результати діяльності» за 2005–2009 роки.
·
Рентабельність використання оборотних засобів
Даний показник
розраховується за формулою:
де: П – валовий
прибуток;
Н ос – сукупний
норматив оборотних засобів;
Qсер – середньорічний
залишок оборотних засобів, розраховується, як половина суми другого і третього
розділів балансу на початок і на кінець року.
·
Коефіцієнт обертання
Показник показує
кількість обертів, які здійснюються даною величиною оборотних засобів за певний
період. Розраховується за формулою:
К об = Q / Н ос
= Q / Qсер (2.10)
де: Q – виручка
від реалізації.
·
Тривалість обертання оборотних засобів
Показник розраховується
за формулою:
Т = Т к / К обор (2.11)
де: Т к -
календарна тривалість періоду
·
Коефіцієнт закріплення оборотних засобів
Даний коефіцієнт
обернений коефіцієнту обертання, він характеризує суму залишку оборотних
засобів, використаних на 1 грн виручки від реалізації.
(2.12)
Розраховані дані зведемо
у таблицю 2.6.
Табл. 2.6. Показники
оцінки та ефективності використання оборотних засобів підприємства за 2005–2009
роки
|
Показники
|
Роки
|
Абсолютне відхилення
|
Відносне відхилення, %
|
|
2005
|
2006
|
2007
|
2008
|
2009
|
2009/2005
|
2009/2008
|
2009/2005
|
2009/2008
|
|
Рентабельність використання оборотних засобів, %
|
360,1
|
167,9
|
256,1
|
336,1
|
364,8
|
4,7
|
28,7
|
1,3
|
8,5
|
|
Коефіцієнт обертання, об.
|
21,07
|
9,82
|
18,01
|
19,06
|
20,08
|
-0,99
|
1,02
|
-9,5
|
5,3
|
|
Термін обертання, днів
|
17
|
37
|
20
|
19
|
18
|
1
|
-1
|
5,8
|
-9,4
|
|
Коефіцієнт закріплення, грн./грн.
|
0,05
|
0,1
|
0,05
|
0,05
|
0,05
|
0,01
|
0
|
25
|
0
|
З таблиці 2.6
спостерігаємо, що рентабельність використання оборотних засобів підприємства є
додатною, що пов’язано з прибутковістю підприємства. Значне коливання показника
пов’язано зі зменшенням суми прибутку та збільшенням суми оборотних засобів на
підприємстві.
Коефіцієнт обертання
впродовж 2005–2009 років залишався більшим 1 через постійне збільшення суми
оборотних засобів. Але у 2006 році через зменшення суми доходу від реалізації
він став дорівнювати 9,8 оборотам.
Відповідно до коефіцієнта
обертання термін обертання до 2009 року був меншим 1 року.
Коефіцієнт закріплення до
2009 року демонстрував, що на 1 грн. доходу приходиться від 10 до 30 коп.
оборотних засобів.
2.3 Аналіз ефективності
використання трудових ресурсів підприємства ВАТ «Жовтоводський хлібозавод» за
період 2005–2009 рр.
Для аналізу чисельності
працівників підприємства розглянемо дані форми №1‑ПВ «Звіт з праці»,
форми №3‑ПВ» Звіт про використання робочого часу», форми №6‑ПВ
«Звіт про кількість працівників, їх якісний склад та професійне навчання».
Розмістимо дані у таблицю 2.7.
Табл. 2.7. Середньооблікова
чисельність працівників ВАТ «Жовтоводський хлібозавод» з 2005–2009 роки
|
Назва показника
|
Роки
|
Абсолютне відхилення, осіб
|
Відносне відхилення, %
|
|
2005
|
2006
|
2007
|
2008
|
2009
|
2009/2005
|
2009/2008
|
2009/2005
|
2009/2008
|
|
Середньооблікова чисельність працівників, з
них:
|
196
|
209
|
213
|
214
|
213
|
17
|
-1
|
8,7
|
-1,3
|
|
Жінки
|
123
|
131
|
135
|
138
|
142
|
19
|
4
|
15,4
|
2,9
|
За результатами таблиці
2.1. видно, що на підприємстві збільшується кількість працівників, у тому числі
й жінок. У порівнянні з 2005 роком у 2009 році відбулося збільшення
середньооблікової чисельності працівників на 17 осіб, тобто на 8,7%, серед них
жінок на 19 осіб (15,4%). У порівнянні з 2008 роком загальна кількість працівників
зменшилась на 1 особи (-1,3%), проте кількість жінок зросла на 4 особи (2,9%).
Продемонструємо динаміку
чисельності працівників на рисунку 2.1.
Рисунок
2.1. Динаміка чисельності працівників ВАТ «Жовтоводський хлібозавод» у 2005–2009
роках
Поспостерігаємо тенденцію
зміни чисельності працівників підприємства, аналізуючи рух робочої сили,
знайдемо коефіцієнти обороту з прийому та вибуття, коефіцієнт заміщення та
коефіцієнт плинності кадрів за допомогою формул 2.13, 2.14, 2.15, 2.16. Вихідні
дані візьмемо з Форми №3-ПВ «Звіт з використання робочого часу» за період з
2005 по 2009 роки.
Ø Коефіцієнт
обороту з прийому, який показує відношення прийнятих на роботу працівників до
середньо облікової чисельності персоналу на даному підприємстві у даному
звітному періоді. Розраховується за формулою:
*100%
(2.13)
Ø Коефіцієнт
обороту з вибуття, який показує відношення кількості розрахованих працівників з
даного підприємства за даний період до середньої чисельності працівників на
даному підприємстві за аналогічний період. Розраховується за формулою:

*100% (2.14)
Ø Коефіцієнт
плинності кадрів розраховується за формулою:
(2.15)
де:
– чисельність звільнених за власним
бажанням та за порушенням трудової дисципліни
–
середня чисельність працівників
Ø
Коефіцієнт заміщення показує скільки працівників прибуло на 1
місце звільненого працівника та розраховується за формулою:
(2.16)
Розраховані дані занесемо
у таблицю 2.8.
Табл. 2.8. Показники руху
робочої сили на ВАТ «Жовтоводський хлібозавод» за 2005–2009 роки
|
Показники
|
2005 рік
|
2006 рік
|
2007 рік
|
2008 рік
|
2009 рік
|
|
Прибуло працівників, осіб
|
33
|
61
|
88
|
61
|
68
|
|
Вибуло працівників, осіб,
з них
|
30
|
52
|
82
|
53
|
57
|
|
З причин скорочення штатів
|
-
|
-
|
-
|
-
|
-
|
|
за власним бажанням, звільнено за прогул та
інші порушення трудової дисципліни, невідповідність зайнятій посаді
|
30
|
52
|
82
|
53
|
57
|
|
Коефіцієнт прибуття, %
|
17,9
|
29,2
|
41,3
|
29,1
|
31,9
|
|
Коефіцієнт вибуття, %
|
15,6
|
24,9
|
38,5
|
25,2
|
26,8
|
|
Коефіцієнт заміщення
|
1,1
|
1,2
|
1,1
|
1,2
|
1,2
|
|
Коефіцієнт плинності, %
|
15,6
|
24,9
|
38,5
|
25,2
|
26,8
|
Як видно з таблиці 2.8.,
збільшення чисельності працівників підприємства можна пояснити переважанням
прибуття працівників над вибуттям, найвищий коефіцієнт прибуття по підприємству
спостерігався в 2007 році і становив близько 41 чол., найменший близько 18 чол.
у 2005 році. Також у 2007 році зафіксовано найвищий коефіцієнт вибуття, що
становив близько 39 чол., а найнижчий сягнув 16 чол. у 2005 році.
Розглянемо показники
продуктивності праці, використовуючи формули 2.17, 2.18, 2.19, 2.20.
Рівень продуктивності
праці характеризує співвідношення об'єму виробленої продукції або виконаних
робіт та витрат робочого часу. Розраховується за формулою:
, (2.17)
де: V – об'єм виробництва
Т – витрати часу
Розраховується середня
продуктивність праці одного працівника за формулою:
(2.18)
де: N – кількість
робітників на підприємстві.
Рівень продуктивності
праці виражається кількістю продукції, що приходиться на одиницю
відпрацьованого часу (середньою виробіткою продукції в одиницю робочого часу).
Виробітка знаходиться в прямій залежності від продуктивності праці:
збільшується при підвищенні продуктивності праці й зменшується при її зниженні.
Однак рівень
продуктивності праці можна виразити як витрати робочого часу на одиницю продукції,
тобто як трудомісткість продукції. Трудомісткість – величина, обернена середній
виробітці, вона зменшується при підвищенні продуктивності праці та збільшується
при її зниженні. Якщо трудомісткість позначити t, отримаємо:
t = Т / q. (2.19)
Таким чином, об'єм
випуску продукції в одиницю часу і трудомісткість продукції – обернено
пропорційні величини, тобто:
, або
(2.20)
Розраховані показники
продуктивності праці зведемо у таблицю 2.9.
Табл. 2.9. Показники
продуктивності праці ВАТ «Жовтоводський хлібозавод» у 2005–2009 роках
|
Показник
|
2005 рік
|
2006 рік
|
2007 рік
|
2008 рік
|
2009 рік
|
Абсолютне відхилення
|
Відносне відхилення
|
|
2009 до 2005
|
2009 до 2008
|
2009 до 2005
|
2009 до 2008
|
|
Середня продуктивність
|
67,56
|
77,56
|
57,54
|
66,9
|
68,8
|
1,24
|
1,9
|
1,8
|
2,8
|
|
Виробітка
|
0,038
|
0,043
|
0,032
|
0,039
|
0,041
|
0,003
|
0,002
|
7,9
|
5,1
|
|
Трудомісткість
|
26,254
|
22,769
|
31,202
|
25,838
|
26,282
|
0,028
|
0,444
|
0,11
|
1,72
|
Як видно з таблиці 2.9.,
загалом продуктивність праці на підприємстві невисока, а трудомісткість
стабільно зростає, що є негативним фактором діяльності підприємства. Найвища
середня продуктивність у 77,56 т/чол. зафіксована у 2006 році, найнижча 57,54
т/чол. – у 2007 році. В 2009 році спостерігаємо підвищення цього показника в
порівнянні з базисним роком на 1,8% (1,24 т/люд), а в порівнянні з попереднім
на 2,8% (1,9 т/ чол.).
Показник виробітки, який
характеризує кількість виробленої продукції за одну людино – годину також є
низьким та не перевищує 0,043 т за одну людино – годину, що є максимально
зафіксованим у 2006 році, найнижчий показник 0,032 т у 2007 році. Даний
показник також знижується протягом періоду, що аналізується.
На противагу
вищезазначеним показникам зростає трудомісткість, що характеризує скільки часу
(людино – годин) необхідно для виробництва одиниці продукції (т). Зниження
цього показника є ознакою продуктивної роботи підприємства. Що ж до ВАТ «Жовтоводський
хлібозавод», протягом періоду з 2005 по 2009 роки спостерігається зростання
цього показника. У 2009 році в порівнянні з 2005 роком відбулося зростання на
0,028 людино – години, що складає 0,11%, в той час як в порівнянні з 2008 роком
цей показник зменшився на 0,444 людино – години або на 1,72%.
Підводячи підсумок
аналізу вищезазначених показників, можна сказати, що трудові ресурси на
підприємстві за останні роки використовуються більш ефективно, виробництво
одиниці продукції на підприємстві потребує менш значних витрат робочого часу,
що призводить до збільшення виробництва.
Фонд оплати праці є
загальною сумою витрат на оплату праці робітників та виплат соціального
характеру. До складу фонду входять нараховані підприємством суми оплати праці
за відпрацьований та невідпрацьований час, стимулюючі надбавки та доплати,
компенсаційні виплати, пов’язані з режимом роботи та умовами праці та
одноразові заохочувальні виплати, а також виплати на житло, паливо, харчування,
які носять регулярний характер.
Проаналізуємо склад.
Фонду оплати праці на підприємстві. Вихідні дані візьмемо з Форми №1-ПВ «Звіт з
праці» термінова-квартальна за період з 2005 по 2009 роки. Розраховані дані
зведемо у таблицю 2.10.
Табл. 2.10. Фонд оплати
праці на підприємстві з 2005 по 2009 роки
|
Назва показників, тис. грн.
|
Роки
|
Абсолютне відхилення, тис. грн.
|
Відносне відхилення, %
|
|
2005
|
2006
|
2007
|
2008
|
2009
|
2009/2005
|
2009/2008
|
2009/2005
|
2009/2008
|
|
1. Фонд оплати праці штатних працівників,
всього
|
1496,6
|
2128,8
|
2755,2
|
3452,5
|
3734,8
|
2238,2
|
282,3
|
149,5
|
8,2
|
|
У тому числі:
Фонд основної заробітної плати
|
978,9
|
1392,1
|
1721,6
|
2218,6
|
2564,2
|
1585,3
|
345,6
|
161,9
|
15,6
|
|
Фонд додаткової заробітної плати, всього
|
503,2
|
711,0
|
961,9
|
1159,9
|
1108
|
604,8
|
-51,9
|
120,2
|
-8,5
|
|
з нього
надбавки та доплати до тарифних ставок та посадових
окладів
|
256,4
|
370,4
|
439,1
|
525,4
|
597,4
|
341
|
72
|
132,9
|
13,7
|
|
премії та винагороди, що носять систематичний
характер
|
138,2
|
187,8
|
257,6
|
301,8
|
22,1
|
-116,1
|
-279.7
|
-15,9
|
-73,2
|
|
внаслідок зростання споживчих цін
|
8,9
|
6,9
|
25,2
|
53,9
|
190,4
|
181,5
|
136,5
|
139,3
|
253,2
|
|
Заохочувальні та компенсаційні виплати, всього
|
14,5
|
25,7
|
71,7
|
74,0
|
62,6
|
48,1
|
-11,4
|
31,7
|
-4,59
|
|
з них
соціальні пільги, що носять індивідуальний характер
|
-
|
-
|
-
|
-
|
-
|
-
|
-
|
-
|
-
|
|
2. Оплата за невідпрацьований час
|
88,7
|
140,4
|
218,2
|
249,2
|
263
|
174.3
|
196,5
|
5,54
|
З таблиці бачимо, що
відбулося зростання фонду оплати праці штатних працівників та оплати за
невідпрацьований час. Збільшення фонду основної заробітної плати можна пояснити
збільшенням кількості працюючих на підприємстві та зміною законодавчого
забезпечення. Починаючи з 2005 року, фонд додаткової заробітної плати починає
стабільно зростати (за виключенням лише 2009 року), що пов’язано з інфляційними
процесами у країні.
Останнім часом все більш
уваги приділяється методикам аналізу ефективності використання виробничого
потенціалу, що базуються на розподілі вартості ОВФ, середньорічної вартості оборотних
засобів, середнього рівня заробітної плати, середньооблікової чисельності ПВП
та нематеріальних активів. Така методика широко застосовується в країнах з
розвинутими ринковими відносинами.
Вона дозволяє вивчити
залежність виробничого потенціалу від невеликого кола найбільш важливих
факторів і на базі цього керувати процесом формування її величини.
На відміну від методики
аналізу виробничого потенціалу, що застосовується на вітчизняних підприємствах,
вона дозволяє більш повно врахувати взаємозв’язок між показниками і точніше
виміряти вплив факторів. Покажемо це за допомогою порівняльного аналізу.
В нашій країні при
аналізі виробничого потенціалу використовують наступну модель:
П=К (Ц – С),
(2.21)
де П – сума виробничого
потенціалу; К – виробнича потужність; Ц – ціна реалізації; С – собівартість
одиниці продукції.
При цьому виходять з того,
що всі наведені фактори змінюються самі по собі, не залежно одне від одного. Виробничий
потенціал змінюється прямо пропорційно обсягу реалізації, якщо реалізується
рентабельна продукція. Якщо продукція збиткова, то виробничий потенціал
змінюється обернено пропорційно обсягу реалізації.
При збільшенні обсягу
виробництва вартість одиниці продукції знижується, так як частіше зростає
тільки сума змінних витрат (відрядна заробітна плата виробничих працівників,
сировина, матеріали, технічне паливо, електроенергія) а сума постійних витрат
(амортизація, оренда приміщень, по часова оплата працівників, заробітна плата
та страхування адміністративно-господарського персоналу) залишається, як
правило, без змін. І навпаки, при зниженні виробництва собівартість виробів
зростає через те, що на одиницю продукції припадає більше постійних витрат.
В зарубіжних країнах для
забезпечення системного підходу при вивченні факторів зміни виробничого
потенціалу підприємства і прогнозування її величини використовують маржинальний
аналіз, в основі якого покладено маржинальний виробничий потенціал підприємства.
Маржинальний виробничий
потенціал (МВД) – це виробничий потенціал в сумі з постійними витратами
підприємства (Н):
МВД = П + Н. (2.21)
Звідси
П = МВД – Н.
(2.22)
Сума маржинального доходу
можна в свою чергу представити у вигляді добутку кількості проданої продукції
(К) і ставки маржинального доходу на одиницю продукції (Дс):
П = К*Дс – Н,
(2.23)
Дс = Ц – V,
П=К (Ц–V) – Н, (2.24)
де V – змінні витрати на
одиницю продукції.
Формула (2.25)
використовується для аналізу прибутку від реалізації одного виду продукції.
Вона дозволяє визначити
зміну суми прибутку за рахунок кількості реалізованої продукції, цін, рівня
питомих змінних та суми постійних витрат. Вихідні данні для аналізу приведені в
табл. 2.11.
Для аналізу ми візьмемо
показники за виробами що віднесені до групи Г (це печиво) і занесемо їх до
таблиці 2.11 данні для факторного аналізу виробничий потенціал по виробу Г.
Таблиця 2.11. Дані для
факторного аналізу прибутку по групі виробів Г
|
показники
|
2007
|
2008
|
2009
|
|
Обсяг реалізації продукції, дал.
|
208912
|
309717
|
268265
|
|
Ціна реалізації, тис. грн.
|
0,14252
|
0,15698
|
0,25293
|
|
Собівартість продукції, тис. грн.
|
0,07581
|
0,14516
|
0,17822
|
|
Утому числі питомі змінні витрати, тис. грн.
|
0,05564
|
0,10655
|
0,13082
|
|
Сума постійних витрат, тис. грн.
|
4214
|
11958
|
12716
|
|
Прибуток, тис. грн.
|
13935,865
|
3660,854
|
20042078
|
Розрахунок впливу
факторів на зміну суми прибутку виконаємо методом базисних підстановок:
П б = К б
(Ц б – Vб) – Н б; (2.16)
П умов. 1 = К ф
(Ц б – Vб) – Н б; (2.17)
П умов. 2 = К ф(Ц
ф – Vб) – Н б; (2.18)
П умов. 3 =К ф(Ц
ф – Vф) – Н б; (2.19)
ПФ =К ф(Ц
ф – Vф) – Нф; (2.20)
Покажемо ці розрахунки у
формі таблиці (табл. 2.11).
Таблиця 2.11. Факторний
аналіз прибутку за виробом Г 2007–2008 р
|
показники
|
Обсяг реалізації
|
ціна
|
Змінні витрати
|
Постійні витрати
|
Сума прибутку, тис. грн.
|
|
База
|
база
|
база
|
база
|
база
|
13935,86
|
|
Вартість ОВФ
|
факт
|
база
|
база
|
база
|
22694,21
|
|
середньорічна вартість оборотних засобів
|
факт
|
факт
|
база
|
база
|
27172,72
|
|
середній рівня заробітної плати
|
факт
|
факт
|
факт
|
база
|
11405,03
|
|
середньооблікова чисельність
|
факт
|
факт
|
база
|
база
|
27172,72
|
|
нематеріальні активи
|
факт
|
факт
|
факт
|
база
|
11405,03
|
|
факт
|
факт
|
факт
|
факт
|
факт
|
3660,854
|
Аналогічний розрахунок
зробимо для періоду 2007–2009 р, в табл. 2.12
Таблиця 2.12. Факторний
аналіз прибутку за виробом Г 2007–2009 р
|
показники
|
Обсяг реалізації
|
ціна
|
Змінні витрати
|
Постійні витрати
|
Сума прибутку, тис. грн.
|
|
База
|
база
|
база
|
база
|
база
|
13935,86
|
|
Вартість ОВФ
|
факт
|
база
|
база
|
база
|
19092,86
|
|
середньорічна вартість оборотних засобів
|
факт
|
факт
|
база
|
база
|
59462,99
|
|
середній рівня заробітної плати
|
факт
|
факт
|
факт
|
база
|
28543,84
|
|
середньооблікова чисельність
|
факт
|
факт
|
база
|
база
|
59462,99
|
|
нематеріальні активи
|
факт
|
факт
|
факт
|
база
|
28543,84
|
|
факт
|
факт
|
факт
|
факт
|
факт
|
20042,078
|
Розрахунок змін прибутку
та його складових зведемо в табл. 2.13.
Таблиця 2.13. Розрахунок
зміни прибутку за рахунок кожного фактору
|
Зміна суми прибутку за рахунок:
|
розрахунок
|
2008 р
|
2009 р
|
|
Обсягу реалізації продукції
|
Пумов 1 – Пб
|
-11241,65
|
5157
|
|
Середніх цін реалізації
|
Пумов 2 - Пумов 1
|
4478,51
|
40370,13
|
|
Змінні витрати
|
Пумов 3 – Пумов 2
|
-15767,69
|
-30919,15
|
|
Постійні витрати
|
Пф – Пумов 3
|
-7744,18
|
-8501,76
|
|
всього
|
|
-10275,01
|
6106,22
|
В таблиці зведемо
показники і покажемо зміни прибутку за виробом Г у 2008 і 2009 роках.
Порівнявши отримані
результати даними табл. 2.6 отримуємо вони дещо різні. За рахунок спаду виробництва
у 2008 році підприємство втратило не 11875.29 тис. грн., а 11241,65 тис. грн.,
тоді як у 2009 році за рахунок збільшення обсягу реалізації прибуток збільшився
не на 6105,55, а на 6106,22. Хоча різниця і незначна, але вона свідчить, що
розглянута методика дозволяє більш вірно визначити вплив факторів на зміну суми
виробничого потенціалу, так як вона враховує взаємозв’язок обсягу виробництва,
собівартості та прибутку.
Висновок
Провівши ознайомлення з
економічною діяльністю підприємства ВАТ «Жовтоводський хлібозавод» та
проаналізувавши деякі основні показники, можна зробити певні висновки.
Підприємство ВАТ «Жовтоводський
хлібозавод» працює у важливій галузі – харчування, але на даний час галузь
потерпає через недостатнє державне фінансування. Виробничі потужності
підприємства не працюють на повну міру, на підприємстві існує багато площ, які
планували задіяти під нове виробництво, але через брак коштів вони й досі
пустують.
Структура ВАТ «Жовтоводський
хлібозавод» сформувалась під впливом багатьох факторів, основними та
найвпливовішими є особливість виробничого процесу та масштаби виробництва.
Виробничий процес на
підприємстві складний та вимагає великого використання енергоресурсів, палива
та є водомістким. Також визначальною характеристикою підприємства є те, що воно
не викидає над нормований обсяг шкідливих речовин. Загалом виробництво на
підприємстві досить нешкідливе з екологічного аспекту.
На ВАТ «Жовтоводський
хлібозавод» виробляється хлібобулочна, кондитерська продукція, об’єми товарної
та реалізованої продукції збільшуються з року в рік, що є позитивною
тенденцією.
Під час вивчення стану
основних виробничих фондів з’ясувалося, що середньорічна вартість ОВФ з роками
зростає, також зростає фондоємність, одночасно знижується фондовіддача, що є
позитивною характеристикою, проте зростає коефіцієнт оновлення ОВФ і хоча
коефіцієнт вибуття змінюється незначно, це вказує на позитивну тенденцію
функціонування підприємства. Після розрахунку рентабельності видно, що протягом
останніх п’яти років підприємство отримувало прибуток. Це говорить про те, що
основні фонди на даному підприємстві використовуються достатньо ефективно, але
підприємству необхідно шукати шляхи вдосконалення подальшого використання
основних засобів.
Щодо оборотних засобів на
ВАТ «Жовтоводський хлібозавод» було досліджено стан за декількома показниками.
Внаслідок чого, можна сказати, що на підприємстві досить тривалий час обертання
оборотних засобів. Також стан оборотних засобів визначається досить невисоким
коефіцієнтом обертання (19,06) в той час коли найнижчий коефіцієнт закріплення
оборотних засобів становить 0,05, а найвищий – 0,1, що виявляє не досить
ефективне використання оборотних засобів на ВАТ «Жовтоводський хлібозавод».
Рентабельність оборотних засобів зпадала лише у період з 2005 по 2006 рік.
Починаючи з 2006 року цей показник почав зростати.
В ході роботи було
проаналізовано стан трудових ресурсів на ВАТ «Жовтоводський хлібозавод» та
проаналізовано ефективність використання робочої сили. Було з’ясовано, що на
підприємстві протягом 2005–2009 років показник виробітки, який характеризує
кількість виробленої продукції за одну людино – годину також є досить низьким.
Даний показник знижується протягом періоду, що аналізується.
На противагу показникам
виробітки зростає трудомісткість, що характеризує скільки часу необхідного для
виробництва одиниці продукції. Зниження цього показника є ознакою продуктивної
роботи підприємства. Що ж до ВАТ «Жовтоводський хлібозавод», протягом періоду з
2005 по 2009 роки спостерігається значне зростання цього показника.
Можна зробити висновок,
що збільшення фонду оплати праці на підприємстві відбулося значним чином
внаслідок збільшення мінімальної заробітної плати та збільшення середньо
облікової кількості штатних працівників.
Підводячи підсумок
аналізу використання трудових ресурсів на ВАТ «Жовтоводський хлібозавод», можна
сказати, що трудові ресурси на підприємстві використовуються неефективно,
виробництво одиниці продукції на підприємстві потребує великих затрат робочого
часу, що призводить до обмеження виробництва.
Собівартість продукції
має тенденцію до збільшення, найбільша питома вага припадає на витрати на
матеріали.
Рентабельність
виробництва на підприємстві невисока, загалом, протягом періоду, що
аналізується не сягає вище 43%.
Підводячи підсумок всього
вищезазначеного, можна сказати, що у підприємства ВАТ «Жовтоводський
хлібокомбінат» досить високий потенціал та виробничі потужності, проте, як було
видно з проведеного дослідження, він використовується не повною мірою, що і
призводить до від’ємного показника чистого прибутку. Для подальшої прибуткової
діяльності керівництву необхідно провести заходи з метою більш ефективного
використання основних виробничих фондів, робочих ресурсів, по зниженню
собівартості та збільшенню рентабельності виробництва та продукції. Звичайно,
без належного державного регулювання та підтримки галузі, в якій діє
підприємство, буде досить важко досягнути найвищих результатів, але шляхом
внутрішнього регулювання та прийняття певних заходів керівництвом підприємства
можна досягти певних покращень економічних та виробничих показників
підприємства ВАТ «Жовтоводський хлібозавод»
ВАТ «Жовтоводський
хлібозавод» – одне з небагатьох підприємств м. Жовті Води, яке формує попит на
працю, тому воно ще й соціально потрібне місту.
Та взагалі, після
подолання політичної та економічної кризи в країні, ВАТ «Жовтоводський
хлібозавод» зможе вийти на новий рівень свого розвитку та сміливо конкурувати з
представниками цієї сфери інших міст.
5.
Гнибіденко О.І. Підвищення ефективності використання
науково-виробничого потенціалу промисловості в умовах трансформації //
Проблеми економіки науки (укр.). – 2006. – №12. – C.36–42.
11.
Євтух О.О. Нерухомість як об'єкт оцінки: сутність і класифікація //
Актуальні проблеми економіки (укр.). – 2005. – №3. – C.90–97
15.
Іщук С.О. Концептуальні засади формування та розвитку виробничого
потенціалу промислових підприємств // Регіональна економіка (укр.). –
2005. – №3. – C.48–57.
18.
Лапін Є.В., Жулавський А.Ю. Методичні принципи вартісної
оцінки виробничого потенціалу підприємств // Вісник Української академії
банківської справи. – 2003. – №1. – C.11–16.
21.
Мендрул О.Г. Методологічні особливості оцінки вартості
підприємств в умовах економічної трансформації // Державний інформаційний
бюлетень про приватизацію (укр.). – 2002. – №9. – C.56–59.
22.
Мец В.О., «Економічний аналіз фінансових результатів та
фінансового стану підприємства», Київ, 1999.
40.
Формування виробничого потенціалу та ринку засобів виробництва: Наукове
видання. – К.: Урожай, 2008. – 264 c.