Анализ производственно-финансовой деятельности железной дороги
ПЕТЕРБУРГСКИЙ ГОСУДАРСТВЕННЫЙ
УНИВЕРСИТЕТ ПУТЕЙ СООБЩЕНИЯ
Кафедра «Экономика транспорта»
КУРСОВОЙ ПРОЕКТ
По дисциплине "Анализ
хозяйственной деятельности железнодорожного транспорта "
На тему: Анализ
производственно-финансовой деятельности железной дороги
Санкт – Петербург
2008
Оглавление
1. Постановка задачи
2. Исходные данные по
варианту
3. Анализ выполнения
основных показателей объема работы дороги
4. Анализ обобщающих
показателей использования подвижного состава в грузовом движении
5. Анализ
эксплуатационных расходов и себестоимости
6. Анализ доходов
железной дороги
7. Анализ прибыли от
перевозок
8. Анализ рентабельности
хозяйственной деятельности железной дороги
Заключение
Список использованной
литературы
1. Постановка задачи
Целью курсового проекта
является овладение методами и приемами проведения экономического анализа
хозяйственной деятельности железной дороги. Основной задачей экономического
анализа является познание сущности экономических явлений, установление и
количественное измерение воздействия на уровень результативного показателя
различных факторов и выявление на основе этого резервов повышения эффективности
производства.
2. Исходные данные по
варианту
Приложение 1
|
№
|
Показатели
|
Базовый
период
|
Фактический
период
|
|
1.
|
Количество погруженных
тонн, тыс.
|
58330
|
54897
|
|
2.
|
Приведенная
продукция, млн. ткм
|
103110
|
98022
|
|
3.
|
Грузооборот в
тарифных ткм, млн.
|
92800
|
88220
|
|
4.
|
Грузооборот в
эксплуатационных ткм, млн.
в том числе по
видам тяги:
- электротяга
- теплотяга
|
94934
53163
41771
|
90514
55210
35304
|
|
5.
|
Пассажирооборот,
млн. пасс-км
|
10310
|
9802
|
|
6.
|
Количество
перевезенных пассажиров
|
|
|
|
7.
|
Структура
грузооборота по видам сообщений, % :
- местное
- прямое
|
21,4
78,6
|
23,8
76,2
|
|
8.
|
Структура
грузооборота в местном сообщении, %:
- уголь
- нефть
- хлебные грузы
- руда
- прочие грузы
|
12,9
15,5
7,9
20,2
43,5
|
12,0
15,2
8,0
20,9
43,9
|
|
9.
|
Количество
перевезенных грузов, тыс. т :
- в прямом
сообщении
- в местном
сообщении
в том числе по
родам груза:
- уголь
- нефть
- хлебные грузы
- руда
- прочие грузы
|
196077
114793
13343
17100
9805
26743
47802
|
181686
119979
13123
17251
10242
28870
50493
|
|
10.
|
Динамическая
нагрузка на груженный вагон, т
|
42,3
|
41,6
|
|
11.
|
Доля порожнего
пробега, %
|
30,4
|
28,7
|
|
12.
|
Среднесуточный
пробег вагона, км
|
300
|
296
|
Приложение 2
|
№
|
Показатели
|
Базовый
период
|
Фактический
период
|
|
1.
|
Эксплуатационные
расходы, млн. руб.
|
12430
|
11850
|
|
2.
|
Базовая
величина расходов, зависящих от объема перевозок, пересчитанная на
выполненный пробег подвижного состава, млн.руб.:
- в грузовом
движении
- в
пассажирском движении
|
3931
1119
|
4881
1389
|
|
3.
|
Стоимость
основных производственных фондов, млн.руб.
|
20800
|
20500
|
|
4.
|
Прибыль от
подсобно-вспомогательной деятельности, млн.руб.
|
1500
|
2400
|
|
5.
|
Коэффициент
выполнения пробега пассажирских вагонов в том числе по видам тяги:
- электротяга
(без МВС)
- МВС
- теплотяга
|
1,010
1,05
1,08
0,97
|
1,01
1,13
0,99
1,01
|
Приложение 3
|
№
|
Показатели
|
Базовый
период
|
Фактический
период
|
|
1.
|
Структура
перевозок в тар. ткм по родам груза, % :
- уголь
- нефть
- лесные грузы
- руда
- прочие грузы
|
18
19
20
17
26
|
20
17
20
15
28
|
|
2.
|
Доходная
ставка по родам груза, коп. за 10 тарифных ткм:
- уголь
- нефть
- лесные грузы
- руда
- прочие грузы
|
54,244
125,821
60,111
125,141
256,365
|
61,121
127,545
60,741
120,127
235,127
|
|
3.
|
Структура
перевозок по видам сообщения в пассажирском движении, %:
- прямое
- местное
- пригородное
|
80
6
14
|
78
5
17
|
|
4.
|
Доходная
ставка по видам сообщения, коп. за 10 пасс-км:
- прямое
- местное
- пригородное
|
144,432
169,111
96,554
|
164,824
210,100
118,135
|
3. Анализ выполнения
основных показателей объема работы дороги
Основными показателями,
характеризующими работу дороги, являются:
отправление грузов, т;
грузооборот, ткм;
пассажирооборот, пасс-км;
приведенная продукция,
прив.ткм.
Анализ начинают со
сравнения фактических значений с базовыми. Расчеты сводятся в табл. 2.1.
Таблица 2.1
Сравнительный анализ основных
показателей объемов работы дороги
|
Показатель
|
Базовый
период
|
Фактический
период
|
Отклонение
от базового значения
|
|
Абсолютное
|
Относительное,
%
|
|
А
|
1
|
2
|
3
|
4
|
|
Погружено
грузов, тыс.т
|
58330
|
54897
|
-3433
|
-5,885
|
|
Приведенная
продукция, млн.ткм
|
103110
|
98022
|
-5088
|
-4,935
|
|
Пассажирооборот,
млн.пасс-км
|
10310
|
9802
|
-508
|
-4,927
|
|
Грузооборот в
экспл. ткм, млн.
|
94934
|
90514
|
-4420
|
-4,656
|
|
Грузооборот в
тарифных ткм, млн.
|
92800
|
88220
|
-4580
|
-4,935
|
|
Коэффициент
разрыва между тарифными и эксплуатационными ткм, %
|
1,023
|
1,026
|
0,003
|
0,294
|
Для характеристики
соотношения между тарифным и эксплуатационным грузооборотом используют
коэффициент разрыва между тарифными и эксплуатационными ткм:
Повышение этого
показателя означает увеличение эксплуатационной работы, что вызывает дополнительные
расходы на перевозки, уменьшение прибыли дороги.
Для анализа изменения
объемных показателей работы дороги используют факторный анализ. В курсовом
проекте предлагается выполнить анализ грузооборота в тарифных ткм,
пассажирооборота и приведенной продукции. Анализ выполняется методом
корректировок.
Схема взаимосвязи
показателей объема перевозок в тарифных ткм представлена на рис.2.1.
Величина грузооборота
анализируется по формуле:
=
,
где
– количество перевезенных грузов, тыс.
т;
– средняя дальность перевозки грузов,
км.
Рис. 2.1.
Схема взаимосвязи показателей перевозок грузов
На первом этапе
определяют индекс корректировки по количеству перевезенных грузов (для каждого
вида сообщения и по каждому роду груза отдельно):
.
Затем находят величину
грузооборота, скорректированного на выполненный объем перевезенных грузов:

,
где
– грузооборот по базовому периоду, млн.
ткм.
Изменение грузооборота
под влиянием изменения объема перевезенных грузов и под влиянием средней
дальности перевозки грузов определяется по следующим формулам:
∆
–
;
∆
=
–
,
где
– грузооборот по фактическому периоду,
млн. ткм.
Расчеты выполняются в
табличной форме (см. табл. 2.2). После выполнения аналитических расчетов
следует объяснить их результаты.
Аналогично выполняется
анализ пассажирооборота и приведенной продукции.
Таблица 2.2
Анализ грузооборота в тарифных ткм,
млн.
|
Показатели
|
База
|
Индекс
корректировки
|
Скорректированное
значение базы
|
Факт
|
Отклонение
|
|
Всего
|
в том
числе за счёт изменения
|
|
объёма
перевозок грузов
|
средней
дальности
|
|
А
|
1
|
2
|
3
|
4
|
5
|
6
|
7
|
|
Грузооборот
|
|
всего
|
92800
|
0,970
|
90052,150
|
88220
|
-4580
|
-2747,850
|
-1832,150
|
|
в том
числе по сообщениям:
|
|
|
|
|
|
|
|
|
-
местное
|
19859,2
|
1,045
|
20756,378
|
20996,360
|
1137,160
|
897,178
|
239,982
|
|
-
прямое
|
72940,8
|
0,927
|
67587,337
|
67223,640
|
-5717,160
|
-5353,463
|
-363,697
|
|
Итого
грузооборот
|
92800
|
|
88343,715
|
88220
|
-4580
|
-4456,285
|
-123,715
|
|
Влияние
изменения структуры по видам сообщения
|
|
|
1708,435
|
|
|
1708,435
|
-1708,435
|
|
Перевозки
в местном сообщении
|
|
всего
|
19859,2
|
20756,378
|
20996,360
|
1137,160
|
897,178
|
239,982
|
|
в том
числе
|
|
|
|
|
|
|
|
|
по
родам груза:
|
|
|
|
|
|
|
|
|
- уголь
|
2561,837
|
0,984
|
2519,597
|
2519,563
|
-42,274
|
-42,240
|
-0,034
|
|
- нефть
|
3078,176
|
1,009
|
3105,358
|
3191,447
|
113,271
|
27,182
|
86,089
|
|
- хлебные
грузы
|
1568,877
|
1,045
|
1638,800
|
1679,709
|
110,832
|
69,923
|
40,909
|
|
- руда
|
4011,558
|
1,080
|
4330,617
|
4388,239
|
376,681
|
319,059
|
57,622
|
|
-
прочие грузы
|
8638,752
|
1,056
|
9125,068
|
9217,402
|
578,650
|
486,316
|
92,334
|
|
Итого
местные перевозки
|
19859,2
|
|
20719,440
|
20996,360
|
1137,160
|
860,240
|
276,920
|
|
Влияние
изменения структуры по родам груза
|
|
|
36,938
|
|
|
36,938
|
-36,938
|
Вывод: за отчетный период погрузка грузов
снизилась на 3433 тыс. тонн. Он снизился за счет уменьшения: эксплуатационного
- на 4420 млн. ткм, тарифный - на 4580 млн. ткм.
Уровень пассажирооборота
снизился на 508 млн. пасс-км.
Снижение пассажирооборота
и снижение грузооборота повлекло за собой уменьшение приведенной продукции на 5088
млн. ткм. При этом коэффициент разрыва между тарифными и эксплуатационными ткм
увеличился на 0,301.
За отчётный период по
сравнению с базисным грузооборот уменьшился на 4580 млн. ткм, главным образом,
за счёт уменьшения объёма перевозок – грузооборот снизился на 2747,850 млн. ткм. Это отразилось на грузообороте за
счет уменьшения средней дальности перевозок – грузооборот уменьшился на 1832,150 млн. ткм.
За счёт перераспределения
структуры объёма перевозок по видам сообщения произошли следующие изменения: в
результате снижения объёма перевозок в местном сообщении грузооборот увеличился
на 897,178 млн. ткм. Снижение грузооборота в
прямом сообщении в большей степени зависит от снижения объема перевозок груза –
сокращение грузооборота за счёт этого фактора составило 5353,463 млн. ткм.
В связи с увеличением
средней дальности перевозок в местном сообщении грузооборот увеличился на 239,982 млн. ткм. В прямом сообщении объем
грузооборота уменьшился за счет уменьшения средней дальности перевозок на 363,697 млн. ткм.
Грузооборот в местном
сообщении за отчётный период увеличился на 1137,160
млн. ткм. На увеличение грузооборота в местном сообщении положительно повлияло
изменение структуры перевозок по родам перевозимых грузов.
4. Анализ обобщающих
показателей использования подвижного состава в грузовом движении
В деятельности железной
дороги решающая роль принадлежит работе подвижного состава, поэтому анализу
показателей его использования придается большое значение, т.к. с его помощью
изыскиваются резервы повышения интенсивности использования подвижного состава.
К обобщающим показателям
относятся производительность вагона и производительность локомотива.
Система показателей
использования вагонов рабочего парка железной дороги приведена на рис. 3.1.
Рис. 3.1.
Схема взаимосвязи показателей использования грузовых вагонов
Наиболее широко для
анализа показателей использования грузовых вагонов используется метод цепных
подстановок и способ долевого участия.
Аналитическая модель
среднесуточной производительности вагона представлена формулой:
,
где
– доля порожнего пробега вагона, %;
–
динамическая нагрузка на груженый вагон, т;
–
среднесуточный пробег вагона, км.
Анализ производительности
вагона методом цепных подстановок можно выполнить в табличной форме (см. табл.
3.1).
Таблица 3.1
Анализ производительности вагона, ткм
|
Номер подстановки
|
Факторы
|
Разность подстановок
|
|
|
|
1 +
|
|
|
|
|
А
|
1
|
2
|
3
|
4
|
|
|
1 (база)
|
300
|
1,304
|
42,3
|
-
|
|
|
2
|
296
|
1,304
|
42,3
|
-129,755
|
|
|
3
|
296
|
1,287
|
42,3
|
126,831
|
|
|
4 (факт)
|
296
|
1,287
|
41,6
|
-160,995
|
|
|
Баланс
отклонений
|
-163,918
|
|
Далее рассчитывают
отклонение рабочего парка вагонов от базового значения в зависимости от объема
перевозок и производительности вагона, а также анализ отклонений рабочего парка
по факторам среднесуточной производительности вагона.
Величину рабочего парка
вагонов по базе и по факту определяют по следующей формуле:
.
ваг
ваг
Используя способ
абсолютных разниц, рассчитываем отклонение фактического рабочего парка вагонов
от базового в зависимости от объема перевозок и производительности вагона:
ваг
ваг
ваг
ваг
Затем используется способ
долевого распределения для анализа отклонений рабочего парка вагонов по
факторам, определяющим среднесуточную производительность вагона.
На первом этапе
рассчитывают коэффициент долевого распределения k по формуле:
На втором этапе
измеряется влияние на величину рабочего парка:
– среднесуточного пробега
вагона
ваг
– коэффициента порожнего
пробега
ваг
– динамической нагрузки
на груженый вагон
ваг
Проверка:
+
+
= 437 ваг
Рис. 3.2. Схема влияния показателей,
определяющих изменение величины рабочего парка
Вывод: по отчёту рабочий парк вагонов
уменьшился на 808 вагонов по сравнению с базовым значением. Влияние на
изменение рабочего парка вагонов оказали: объём перевозок и производительность
вагона.
Решающее воздействие на
общее уменьшение рабочего парка вагонов оказало уменьшение объёмов работы, за
счёт которого количество вагонов снизилось на 1244. Также оказало воздействие
повышение производительности вагона, за счёт которого потребовалось увеличение
рабочего парка на 437 вагонов. В свою очередь влияние на увеличение величины
рабочего парка под воздействием производительности вагона оказали:
- увеличение
среднесуточного пробега вагона, за счёт этого рабочий парк увеличился на 346
вагонов;
- повышение доли
порожнего пробега вагона увеличило рабочий парк вагонов на 429 вагонов;
- увеличение
динамической нагрузки на гружёный вагон вызвало уменьшение рабочего парка на
338 вагонов.
5. Анализ
эксплуатационных расходов и себестоимости перевозок
Важной частью анализа
хозяйственной деятельности железной дороги является анализ эксплуатационных
расходов и себестоимости перевозок.
Для факторного анализа
эксплуатационных расходов и себестоимости используют информацию о затратах на
перевозки (Ф-6 жел), о темпах изменения грузооборота, пассажирооборота и
показателей работы подвижного состава (ЦО-1, ЦО-5), данные по калькуляции
расходов по видам перевозок, по видам тяги.
В курсовом проекте
предлагается определить влияние изменения объема перевозок и их себестоимости
на величину эксплуатационных расходов. Для анализа используем метод
корректировок.
Взаимосвязь факторов,
определяющих величину эксплуатационных расходов, представлена формулой:
,
где Э –
эксплуатационные расходы, млн. руб.;
–
объем перевозок, млн. прив.ткм;
–
средняя себестоимость перевозок, коп. за 10 прив.ткм.
На первом этапе
определяют эксплуатационные расходы, скорректированные на выполненный объем
перевозок:
,
где Э0 –
эксплуатационные расходы по базовому периоду, млн. руб.;
–
коэффициент корректировки по приведенным ткм.
Изменение
эксплуатационных расходов под влиянием изменения объема перевозок и
себестоимости определяется по следующим формулам:
,
.
При анализе
эксплуатационных расходов принято их увеличение (перерасход) обозначать знаком
«–», а снижение (экономию) – знаком «+».
Затем оценивается влияние
на расходы факторов, определяющих уровень себестоимости перевозок: объема
перевозок, структуры перевозок по их видам и типам тяги, качественных
показателей использования подвижного состава, нормы затрат и цен, разрыва между
тарифными и эксплуатационными тонно-километрами.
Важным условием для
анализа себестоимости является предварительная группировка эксплуатационных
расходов по степени зависимости от объема перевозок, по видам перевозок и типам
тяги. Расчеты группировки сводятся в табл. 4.1.
Таблица 4.1
Группировка эксплуатационных расходов
|
Показатели
|
Удельный вес
в общей сумме
расходов, %
|
Абсолютное
значение,
млн. руб.
|
|
Расходы по
базовому периоду
в том числе:
независящие от
объема перевозок
зависящие от
объема перевозок:
грузовых
в том числе по
типам тяги:
электотяга
теплотяга
расходы общие
для всех типов тяги
пассажирских
в том числе по
типам тяги:
электротяга
(без МВС)
теплотяга
МВС
расходы общие
для всех видов тяги
|
100,00
67,5
32,5
25,3
11,4
6,9
7,0
7,2
2,3
1,6
1,2
2,1
|
12430
8390,25
4039,75
3144,79
1417,02
857,67
870,1
894,96
285,89
198,88
149,16
261,03
|
Оценка влияния отдельных
факторов на изменение себестоимости перевозок производится следующим образом:
1. Влияние себестоимости
на расходы в связи с изменением объема перевозок:
млн.
руб.
где
– независящие от объема перевозок расходы
по базовому периоду.
2. Влияние на расходы
изменений структуры перевозок по их видам:
где
– базовое значение зависящих от объема
перевозок расходов.
3. Влияние на расходы
изменения соотношения между тарифными и эксплуатационными ткм:
где
– базовое значение зависящих расходов в
грузовом движении.
4. Влияние на расходы
изменения структуры перевозок по типам тяги:
где
– изменение расходов за счет влияния
изменения структуры перевозок по типам тяги соответственно в грузовом и
пассажирском движении:
а) по грузовым
перевозкам:
= 
=
где
– базовые значения зависящих расходов,
приходящихся соответственно на теплотягу, электротягу и общие для всех типов
тяги.
б) по пассажирским
перевозкам:
=
–
+
=
где
–
базовые значения зависящих расходов, приходящихся соответственно на теплотягу,
электротягу, МВС и общие для всех типов тяги.
5. Влияние на расходы
группы факторов, характеризующих использование подвижного состава:
=
млн.руб.
где
– изменение расходов за счет влияния
группы факторов, характеризующих использование подвижного состава
соответственно в грузовом и пассажирском движении.
а)
=
= 3029,3153 – 3931 = – 901,6847 млн.
руб.;
б)
=
= 917,8312 – 1119 = – 201,1688 млн. руб.,
где
,
–
базовые значения расходов, зависящих от объема перевозок, пересчитанных на
выполненный пробег подвижного состава, млн. руб. (см. приложение 2).
6. Влияние на расходы
изменения населенности пассажирского вагона:
=
млн. руб.
7. Влияние на расходы
изменения цен на материалы, топливо, электроэнергию и отклонений фактических
удельных затрат от учтенных в плане норм:
+
млн. руб.
Расчеты в таблице 4.2.
Таблица 4.2
Оценка влияния на расходы и
себестоимость отдельных факторов
|
Наименование факторов
|
Результаты оценки влияния факторов
|
|
на расходы, млн. руб.
|
на себестоимость, коп. за 10 пр. ткм
|
|
A
|
1
|
2
|
|
Объем перевозок (без учета изменения себестоимости по
этому фактору)
|
|
6,340
|
|
Себестоимость перевозок
|
|
-0,423
|
|
в том числе:
|
|
|
|
- объем перевозок
|
|
-4,224
|
|
- структура перевозок по видам
|
- 0,040
|
0,000
|
|
- коэффициент разрыва между тарифными и эксплуатационными
ткм
|
-8,789
|
-0,090
|
|
- структура перевозок по типам тяги
|
|
-0,568
|
|
- качественные показатели использования подвижного
состава
|
|
-11,251
|
|
- средняя населенность пассажирского вагона
|
-53,047
|
-0,541
|
|
- удельные затраты трудовых и материальных ресурсов, цены
на материалы, топливо и электроэнергию
|
1590,25
|
16,223
|
Вывод: по
сравнению с базовым значением эксплуатационные расходы увеличились на 580 млн.
руб. На данное уменьшение оказало существенное
влияние изменение себестоимости перевозок, в результате чего перерасход составил 41,5 млн.руб. Изменение
объема перевозок также повлекло за собой уменьшение эксплуатационных расходов –
на 621,5 млн. руб.
В свою очередь, самым существенным фактором, который вызвал уменьшение
расходов в составе себестоимости, являются изменение удельных затрат трудовых
и материальных ресурсов, цен на материалы, топливо и электроэнергию, в
результате чего экономия составила 1590,25
млн. руб.
На увеличение
эксплуатационных затрат оказало влияние
несколько факторов, наиболее значимым из которых является изменение качественных
показателей использования подвижного состава.
В результате перерасход составил 1102,8535 млн. руб.
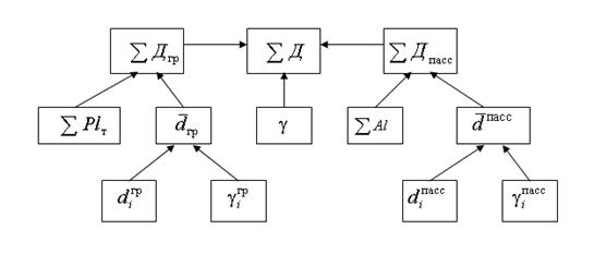
6. Анализ доходов
железной дороги
Доходы от основной
деятельности – важнейший показатель, темп роста которого характеризует степень
повышения экономической эффективности производства.
Железные дороги получают
доходы от перевозки грузов, пассажиров, багажа и почты; за выполнение начальной
и конечной операций по грузовым перевозкам; за выполнение
подсобно-вспомогательной деятельности.
В курсовой работе
предполагается выполнить анализ доходов от перевозок. Исходная информация для
анализа доходов дороги содержится в отчетных формах: БО-11 «Отчет о
производственно-финансовой деятельности железной дороги», ЦО-12 «Отчет о
перевозке грузов, их пробегах и полученном за них доходе», ЦО-22 «Отчет о
перевозке пассажиров и доходе от этих перевозок».
В процессе экономического
анализа необходимо выявить динамику доходов и оценить влияние важнейших
факторов на их величину. Схема анализа доходов железной дороги приведена рис.
5.1.
Рис. 5.1. Схема анализа доходов
дороги от перевозок
Для анализа структуры и
динамики доходов используется следующая аналитическая таблица.
Таблица 5.1.
Анализ структуры доходов и их
динамики
|
Вид доходов
|
Доходы по базе, млн. руб.
|
В % к итогу
|
Доходы по факту, млн. руб.
|
В % к итогу
|
Изменение
|
|
Доходов, млн. руб.
|
Структуры доходов, %
|
|
А
|
1
|
2
|
3
|
4
|
5
|
6
|
|
Доходы от грузовых перевозок
|
12400,027
|
89,626
|
11460,630
|
88,019
|
-939,397
|
-1,607
|
|
Доходы от пассажирских перевозок
|
1435,253
|
10,374
|
1559,995
|
11,981
|
124,742
|
1,607
|
|
Всего доходы от перевозок
|
13835,280
|
100,000
|
13020,625
|
100,000
|
-814,655
|
|
Схема
причинно-следственной зависимости показателей доходов от перевозки грузов и
пассажиров представлена на рис. 5.2 и анализируется по следующей формуле:
=
=
+ 
=
+ 
, (3.1)
где
– сумма доходов от перевозок, млн.
руб.;
–
грузооборот тарифный, млн. ткм;
–
пассажирооборот, млн. пасс-км;
,
– средняя доходная ставка за 10 тар.
ткм и за 10 пасс-км, коп;
,
– доходная ставка соответственно по
каждому роду груза в грузовом движении и по каждому виду сообщения в пассажирском
движении.
Рис. 5.2. Система
взаимосвязи показателей доходов от перевозок грузов и пассажиров
Факторный анализ доходов
от перевозок выполняется способом корректировок, результаты расчетов свести в
таблицу 5.2.
Анализ средней доходной
ставки выполняется способом структурных сдвигов.
При оценке влияния на
доходы от перевозок грузов структурных изменений предварительно рассчитывается
подстановка по формуле:
млн.
руб.
Влияние изменений
структуры перевозок по родам грузов на среднюю доходную ставку определяется
следующим образом:
млн.
руб.
млн.
руб.
Влияние изменений
доходной ставки по каждому роду груза на среднюю доходную ставку определяется
следующим образом:
млн.
руб.
Изменение величины
доходов от перевозок грузов за счет изменения доходной ставки по каждому роду грузов
будет рассчитываться по формуле:
млн.
руб.
Аналогично рассчитывается
отклонение доходов по факторам средней доходной ставки по пассажирским
перевозкам.
млн.
руб.
млн.
руб.
млн.
руб.
млн.
руб.
млн.
руб.
Таблица 5.2.
Анализ средней доходной ставки
методом структурных сдвигов
|
Вид
сообщения
|
, %
|
d
|
,%
-
|
|
Отклонение
|
|
|
|
|
d0
|
d1
|
Всего
|
В
т.ч.
|
|
|
|
|
|
|
Прямое
|
80
|
78
|
144,432
|
164,824
|
-
2
|
5,222
|
20,392
|
-
0,104
|
15,906
|
|
|
|
Местное
|
6
|
5
|
169,111
|
210,1
|
-
1
|
29,901
|
40,989
|
-
0,299
|
2,0495
|
|
|
|
Пригородное
|
14
|
17
|
96,554
|
118,135
|
3
|
-
42,656
|
21,581
|
-
1,28
|
3,6688
|
|
|
|
Итого
|
100
|
100
|
139,21
|
159,151
|
-
|
-
|
19,941
|
-
1,683
|
21,624
|
-
16,498
|
211,958
|
Таблица 5.3.
Анализ доходов от перевозок, млн.руб.
|
Показатель
|
Доходы за базовый период
|
Индекс изменения объема перевозок, %
|
Доходы скорректи-рованные
|
Доходы за отчетный период
|
Изменение доходов за отчетный период
|
|
Всего
|
в том числе в связи
|
|
с изменением объема перевозок
|
средней доходной ставки
|
|
А
|
1
|
2
|
3
|
4
|
5
|
6
|
7
|
|
Всего доходов от перевозок
|
13835,280
|
0,951
|
13152,573
|
13020,625
|
-814,655
|
-682,707
|
-131,948
|
|
Доходы от перевозок грузов
|
12400,027
|
0,951
|
11788,043
|
11460,630
|
-939,397
|
-611,984
|
-327,413
|
|
Доходы от перевозок пассажиров
|
1435,253
|
0,951
|
1364,535
|
1559,995
|
124,742
|
-70,719
|
195,460
|
|
Итого по грузовым и пассажирским перевозкам
|
13835,280
|
|
13152,578
|
13020,625
|
-814,655
|
-682,703
|
-131,952
|
|
Влияние изменения структуры перевозок
|
|
|
-0,004
|
|
|
-0,004
|
0,004
|
Результаты анализа
доходов, выполненные в табл. 5.3 и расчетах выше, сводятся в табл. 5.4.
Таблица 5.4.
Результаты анализа доходов дороги
|
Факторы
|
Изменение доходов под влиянием фактора, млн. руб.
|
Доля влияния каждого фактора в общем изменении доходов за
отчетный период, %
|
|
А
|
1
|
2
|
|
Грузооборот, тарифных ткм
|
-611,984
|
75,122
|
|
Доходные ставки по родам грузов
|
- 432,654
|
53,109
|
|
Структура перевозок по родам грузов
|
105,241
|
-12,918
|
|
Итого по грузовым перевозкам
|
- 939,397
|
115,312
|
|
Пассажирооборот, пасс-км
|
- 70,719
|
8,681
|
|
Доходные ставки по видам сообщений
|
211,958
|
-26,018
|
|
Структура перевозок по видам сообщений
|
- 16,498
|
2,025
|
|
Итого по пассажирским перевозкам
|
124,742
|
-15,312
|
|
Структура перевозок по видам движения
|
- 0,004
|
|
|
Всего по факторам
|
- 814,655
|
100,000
|
Проверка:
=
13020,625 – 13835,280 = - 939,397 + 124,742 =
= – 814,655 млн. руб.
= – 611,984
– 327,413 = - 939,397 млн. руб.
= 105,241
- 432,654 = – 327,413 млн. руб.
= - 70,719
+ 195,460 = 124,742 млн. руб.
= - 16,498
+ 211,958 = 195,46 млн. руб.
Вывод: доходы от
перевозок уменьшились на 814,655 млн. руб. Это связано, прежде всего, с
уменьшением объема перевозок, из-за чего доходы уменьшились на 682,707 млн. руб.
Уменьшение средней доходной ставки повлекло уменьшение дохода на 131,948 млн. руб.
Основной
вклад в общее уменьшение доходов от перевозок оказало уменьшение доходов от
грузовых перевозок на 939,397 млн. руб. Существенным фактором, оказавшим влияние на
уменьшение доходности грузоперевозок явилось уменьшение объема перевозок на 611,984 млн. руб.
По
сравнению с грузовыми перевозками увеличение доходов от пассажирских перевозок
не столь значителен - 124,742 млн. руб. Это связано с уменьшением пассажирооборота,
которое снизило доходы на 70,719 млн. руб. и перераспределением структуры перевозок в
пользу менее доходного пригородного сообщения, что увеличило доходы на 211,958 млн. руб.
7. Анализ прибыли от перевозок
Финансовые результаты
деятельности железной дороги характеризуются суммой полученной прибыли и
уровнем рентабельности.
Прибыль железная дорога
получает от перевозок, а также от других видов деятельности. Основными
источниками при анализе прибыли являются финансовый отчет Ф2 «Отчет о
финансовых результатах и их использовании», а также соответствующие планы
экономического и социального развития предприятия.
Схема факторного анализа
прибыли приведена на рис. 6.1.
Рис. 6.1.
Блок-схема факторного анализа прибыли
В курсовой работе
предлагается сделать анализ балансовой прибыли, включающую в себя прибыль от
эксплуатационной деятельности и подсобно-вспомогательной деятельности.
Среди факторов, влияющих
на величину прибыли можно выделить факторы (х), которые влияют только на
доходы (Д), факторы (y),
которые влияют только на расходы (Э), и факторы (z), влияющие и на расходы, и на доходы. Поэтому анализ
прибыли выполняется путем обобщения результатов исследования причин изменения расходов
(табл. 4.3) и доходов (табл. 5.3):
;
;
.
Расчеты и результаты
анализа следует свести в табл. 6.1.
Таблица 6.1.
Анализ балансовой прибыли, млн. руб.
|
Показатели
|
База
|
Факт
|
|
|
|
Всего
|
|
|
Объема перевозок
|
Себестоимости перевозок
|
в том числе по факторам
|
Средней доходной ставки
|
в том числе по факторам
|
|
|
объем перевозок
|
структура по видам перевозок
|
коэффициент разрыва между тарифными
и эксплуатационными ткм
|
структура перевозок по типам тяги
|
качество использования подвижного состава
|
средняя населенность пассажирского вагона
|
удельные затраты трудовых и материальных ресурсов, цены
на материалы, топливо и электроэнергию
|
доходной ставки за 10 тарифных ткм
|
доходной ставки за 10 пассажирских ткм
|
структура по видам перевозок
|
|
|
А
|
1
|
2
|
3
|
4
|
5
|
6
|
7
|
8
|
9
|
10
|
11
|
12
|
14
|
15
|
16
|
17
|
|
|
Доходы от перевозок
|
13835,280
|
13020,625
|
-814,655
|
-682,707
|
|
|
|
|
|
|
|
|
-131,948
|
-327,413
|
195,460
|
0,004
|
|
|
Расходы от перевозок
|
12430,000
|
11850
|
-580
|
-613,363
|
33,363
|
414,020
|
0,040
|
8,789
|
41,605
|
1106,113
|
53,047
|
-1590,250
|
|
|
|
|
|
|
Прибыль от перевозок
|
1405,280
|
1170,625
|
-234,655
|
-69,344
|
-33,363
|
-414,020
|
-0,040
|
-8,789
|
-41,605
|
-1106,113
|
-53,047
|
1590,250
|
-131,948
|
-327,413
|
195,460
|
0,004
|
|
|
Прибыль от ПВД
|
1500,000
|
2400
|
900
|
|
|
|
|
|
|
|
|
|
|
|
|
|
|
|
Балансовая прибыль
|
2905,280
|
3570,625
|
665,345
|
-69,344
|
-33,363
|
-414,020
|
-0,040
|
-8,789
|
-41,605
|
-1106,113
|
-53,047
|
1590,250
|
-131,948
|
-327,413
|
195,460
|
0,004
|
|
|
Удельный вес фактора в общем изменении прибыли
|
|
|
100
|
-10,422
|
-5,014
|
-62,226
|
-0,006
|
-1,321
|
-6,253
|
-166,247
|
-7,973
|
239,011
|
-19,832
|
-49,209
|
29,377
|
0,001
|
|
Вывод: по сравнению с базовым периодом
доходы от перевозок уменьшились на 814,655
млн. руб., а прибыль от перевозок уменьшилась на 234,655
млн. руб. Балансовая прибыль по сравнению с базовым периодом увеличилась на 665,345 млн. руб. за счёт увеличения прибыли от
прочих видов деятельности, который составил 900 млн. руб.
Следует
отдельно отметить, что существенное влияние на увеличение балансовой прибыли
оказало изменение средней доходной ставки - 131,948 млн. руб.; наоборот, из факторов,
вызвавших рост балансовой прибыли следует отдельно отметить уменьшение удельных
затрат трудовых и материальных ресурсов, цены на материалы, топливо и
электроэнергию - 1590,250 млн. руб. Подробнее о вкладе каждого фактора в
сложившееся распределение балансовой прибыли можно судить по таблице 6.1.
8. Анализ рентабельности
хозяйственной деятельности железной дороги
Обобщающим показателем
эффективности хозяйственной деятельности железной дороги является уровень
рентабельности, который определяется отношением балансовой прибыли к
среднегодовой стоимости основных фондов и материальных оборотных средств
где
– рентабельность деятельности железной
дороги, %;
–
балансовая прибыль, млн. руб.;
ОФ – среднегодовая
стоимость основных фондов, млн. руб.;
ОС – средняя сумма
оборотных средств, млн. руб.
При факторном анализе
рентабельности используется следующая аналитическая формула:
,
где
– фондоотдача (съем продукции с 1 руб.
среднегодовой стоимости основных фондов), руб./руб.;
п – удельная прибыль (прибыль,
приходящаяся на 10 прив. ткм), руб./10 прив. ткм.
Влияние на рентабельность
изменения фондоотдачи можно найти способом абсолютных разниц:
%
где
– изменение прибыли за счет изменения
объема перевозок, млн. руб.;
–
прибыль в базисном периоде, млн. руб.;
–
среднегодовая стоимость основных фондов соответственно за базисный и
фактический периоды, млн. руб.
Изменение рентабельности
по факторам, определяющим удельную прибыль, можно определить по формуле:
%,
где
– изменение балансовой прибыли без учета
изменения прибыли за счет объема перевозок.
Проверка:
;
Для расчета изменений
рентабельности по факторам, определяющим удельную прибыль (т.е. по факторам,
характеризующим уровень доходной ставки, себестоимость перевозок и прибыль от
ПВД), используются результаты оценки изменений прибыли по этим факторам:
,
где
– изменение прибыли за счет изменения i-го фактора (смотри таблицу 6.1).
Расчеты по анализу
рентабельности оформляются в табл. 7.1.
Таблица 7.1.
Анализ уровня рентабельности
|
Факторы
|
Оценка
влияния факторов
|
|
на
прибыль, млн. руб.
|
на
рентабельность, %
|
|
А
|
1
|
2
|
|
Фондоотдача
|
–
|
-0,134
|
|
Прибыль,
приходящаяся на 10 пр. ткм
|
734,689
|
3,584
|
|
в том
числе влияние изменений:
|
|
|
|
-
объема перевозок (в части влияния данного фактора на себестоимость
перевозок);
|
-414,020
|
-2,020
|
-0,040
|
0,000
|
|
-
структуры перевозок по типам тяги;
|
-41,605
|
-0,203
|
|
-
коэффициента разрыва между тарифными и эксплуатационными ткм;
|
-8,789
|
-0,043
|
|
-
качественных показателей использования подвижного состава;
|
-1106,113
|
-5,396
|
|
-
средней населенности пассажирского вагона
|
-53,047
|
-0,259
|
|
- норм
удельных затрат трудовых и материальных ресурсов, цены на материалы, топливо
и электроэнергию;
|
1590,250
|
7,757
|
|
-
доходной ставки за 10 тарифных ткм;
|
-327,413
|
-1,597
|
|
-
доходной ставки за 10 пасс-км;
|
195,460
|
0,953
|
|
-
структуры по видам перевозок
|
0,004
|
0,000
|
|
-
прибыли от ПВД
|
900,000
|
4,390
|
|
Всего
изменение рентабельности
|
–
|
3,450
|
Вывод: по сравнению с базовым периодом
рентабельность увеличилась на 3,450 % из-за
изменения удельной прибыли на 3,584 %. В свою
очередь на удельную прибыль оказывают влияние ряд факторов, и это также
отражается на изменении рентабельности. Особо следует отметить, что
неудовлетворительное использование подвижного состава снизило рентабельность на
5,396 % в части влияния удельной прибыли. С
другой стороны наиболее существенным фактором, увеличившим рентабельность в
части удельной прибыли является увеличение норм удельных затрат трудовых и
материальных ресурсов, цены на материалы, топливо и электроэнергию, что
позволило увеличить рентабельность на 7,757 %.
Заключение
Анализируя
деятельность железной дороги можно сделать следующие выводы.
Основными
показателями результатов деятельности железной дороги и её эффективности
являются балансовая прибыль и рентабельность.
Балансовая
прибыль по сравнению с базовым периодом увеличилась за счёт увеличения прибыли от прочих
видов деятельности, который составил 900 млн. руб. В то же время увеличилась за счет изменения удельных затрат трудовых и
материальных ресурсов, цены на материалы, топливо и электроэнергию на 1590,250 млн.
руб. Существенное влияние на увеличение балансовой прибыли оказало изменение
средней доходной ставки - 131,948 млн. руб.
Рентабельность
по сравнению с базовым периодом также увеличилась. Основное влияние на увеличение
рентабельности оказало изменение удельной прибыли. В свою очередь на удельную прибыль
оказывают влияние ряд факторов, и это также отражается на изменении
рентабельности. Особо следует отметить, что неудовлетворительное использование
подвижного состава снизило рентабельность на 5,396 %
в части влияния удельной прибыли. С другой стороны наиболее существенным
фактором, увеличившим рентабельность в части удельной прибыли является
увеличение норм удельных затрат трудовых и материальных ресурсов, цены на
материалы, топливо и электроэнергию, что позволило увеличить рентабельность на 7,757 %.
Список
использованной литературы
Методические указания:
анализ производственно – финансовой деятельности железной дороги,
Т.П.Коваленок, ст.пр. Л.А.Бахарева, 2005 г.