Анализ деловой активности предприятия на примере ООО "Лузалес"

  • Вид работы:
    Курсовая работа (т)
  • Предмет:
    Экономика отраслей
  • Язык:
    Русский
    ,
    Формат файла:
    MS Word
    89,38 kb
  • Опубликовано:
    2010-04-06
Вы можете узнать стоимость помощи в написании студенческой работы.
Помощь в написании работы, которую точно примут!

Анализ деловой активности предприятия на примере ООО "Лузалес"

ФЕДЕРАЛЬНОЕ АГЕНТСТВО ПО ОБРАЗОВАНИЮ

Сыктывкарский лесной институт - филиал ГОУ ВПО

«Санкт-Петербургской Государственной

лесотехнической академии имени С.М. Кирова»

Факультет заочного обучения

Кафедра бухгалтерского учета, анализа, аудита и налогообложения







Курсовая работа

По дисциплине: Анализ и диагностика финансово-хозяйственной деятельности

На тему: Анализ деловой активности предприятия (на примере ООО «Лузалес»)








Сыктывкар 2007

Содержание

 

Введение

1. Теоретические основы деловой активности и роль ее показателей в системе комплексного экономического анализа

1.1 Подходы к определению сущности деловой активности

1.2 Финансовые показатели деловой активности

1.2.1 Система показателей деловой активности и эффективности деятельности предприятия

1.2.2 Анализ оборачиваемости и эффективности использования основных средств

1.2.3 Анализ оборачиваемости и эффективности использования оборотных средств

2. Анализ деловой активности предприятия ООО «Лузалес»

2.1 Анализ структуры баланса

2.1.1 Анализ структуры и динамики пассива баланса

2.1.2 Анализ структуры и динамики актива баланса

2.2 Анализ состояния и эффективности использования основных средств предприятия

2.3 Анализ эффективности использования оборотных средств

2.4 Расчет показателей рентабельности и коэффициентов деловой активности

Заключение

Библиографический список

Приложения

Введение

 

Изменения в законодательных и нормативных актах, а также трансформация отчетности с учетом международных стандартов в соответствии с Концепцией развития бухгалтерского учета и отчетности на среднесрочную перспективу, определили круг актуальных проблем для исследований по совершенствованию информационной базы анализа показателей деловой активности и методологических вопросов анализа.

В мировой практике существует ряд примеров применения методики по оценке деловой активности предприятия, которые могут найти применение и в отечественной экономике.

Инвестирование отечественной экономики затруднено по причине отсутствия системы объективных показателей, позволяющих оценить как состояние экономики страны в целом, так и отдельных отраслей промышленности.

В формах отчетности, принятых в Российской Федерации, не предусматривается выделение показателей деловой активности, что не позволяет представить эффективность управления предприятием, отраслью, экономикой в целом. Это определяет наличие методологических проблем установления системы показателей деловой активности, ее объективной оценки, а также формирования достоверной и достаточной информационной базы.

Актуальность совершенствования анализа деловой активности и его информационной базы, недостаточная разработанность проблемы выбора и оптимальной методики расчета ее показателей обусловили выбор темы исследования и круг рассматриваемых вопросов.

Проблемы оценки деловой активности, совершенствования информационной базы анализа в составе бухгалтерской финансовой отчетности рассматриваются в трудах зарубежных ученых-экономистов, в частности таких как, Д.А. Аакер, Э. Дж. Долан, К.Д. Кэмпбелл, Р. Дж. „ Кэмпбелл, Л.А. Бернстайн и других. Разработке отдельных аспектов данной проблемы посвящены работы многих отечественных экономистов, таких как А.Д. Шеремет, М.И. Баканов, В.В. Ковалев, Г.В. Савицкая, Н.Н. Илышева, СВ. Панкова, О.В. Ефимова, Р.С. Сайфулин и другие.

Вместе с тем, проблема оценки деловой активности остается слабо разработанной, так как каждый из авторов предлагает различные методики расчета ее показателей, которые неполно отражают общую картину эффективности работы отдельно взятого предприятия. Из-за общей экономической нестабильности в стране практически затруднен долгосрочный прогноз показателей, характеризующих экономическую эффективность деятельности предприятий и отраслей, и он не делается даже на краткосрочную перспективу.

По мнению большинства экономистов (М.И. Баканова, А.Д. Шеремета, В.В. Ковалева, Р.С. Сайфулина и др.), содержание действующей бухгалтерской отчетности не в полной мере соответствует целям и задачам экономического анализа и требует определенных корректировок не только для целей анализа, но и для целей приближения к МСФО.

Цель курсовой работы проведение анализа деловой активности предприятия лесной отрасли (на примере ООО «Лузалес»)

Исходя из цели курсовой работы, автором поставлены и решены следующие задачи:

1.       Рассмотреть теоретические основы деловой активности и роль ее показателей в системе комплексного экономического анализа,

2.       провести анализ деловой активности предприятия ООО «Лузалес»

Предметом исследования в данной работе являются методология анализа деловой активности и финансового состояния и их информационная база.

Объектом исследования является предприятие лесопромышленной отрасли Республики Коми ООО «Лузалес».

Общество с ограниченной ответственностью «Лузалес» создано в январе 1999 года с уставным фондом 8,5 тысячи рублей и зарегистрировано Постановлением администрации Прилузского района № 12 от 13 января 1999 года. Учередителями ООО «Лузалес» являются два физических лица. Семенюк Николай Тереньтьевич - 60% уставного капитала, Николаев Иван Андреевич - 40% уставного капитала. Место нахождения предприятия Республика Коми, г.Сыктывкар, м.Човью., почтовый адрес Республика Коми, Прилузский район, с.Объячево, ул. Советская, д1.

ООО «Лузалес» было создано для организации лесозаготовок и переработки древесины с целью получения прибыли.

Основными видами деятельности предприятия являются:

1.       Лесозаготовительные работы (заготовка, вывозка и раскряжевка древесины)

2.       Производственная и коммерческая деятельность с целью производства и сбыта лесопродукции потребителям (ООО «Сыктывкарский фанерный завод», ЗАО «Леском»; ОАО СЛПК «Монди Бизнес Пейпа», ОАО «ЛПК Сыктывкарский ЛДК». Пиломатериалы также экспортируются в Венгрию и Литву.);

3.       Оказание транспортных и транспортно-экспедиционных услуг;

4.       Маркетинговые исследования в области лесозаготовок;

5.       Первичная переработка лесопродукции.

ООО «Лузалес» в настоящее время занимается лесозаготовкой и переработкой древесины, поставкой сортиментов для перерабатывающих предприятий Республики Коми. Предприятие работает на сегодняшний день по Скандинавской технологии, обеспечивающей сохранность подроста.

Структура управления ООО «Лузалес» является линейно-функциональной и направлена, прежде всего, на установление четких взаимосвязей между отдельными подразделениями фирмы, распределение между ними прав, обязанностей и ответственности. Она определяет также состав предприятия и систему подчинения в общей иерархии управления предприятием. (Приложение 1).

Основные технико-экономические показатели работы предприятия за исследуемый период представлены а приложении 2.

Курсовая работа состоит из введения, двух разделов, заключения, библиографического списка и приложений.

В процессе исследования использовались законодательные и нормативные акты Российской Федерации, приказы и письма Минфина РФ, данные Государственного Комитета по статистике РФ, международные стандарты бухгалтерского учета и отчетности. Так же были использованы специальные литературно-справочные источники: экономические, финансовые справочники и учебники, Положения и инструкции Минфина.

1. Теоретические основы деловой активности и роль ее показателей в системе комплексного экономического анализа

 

1.1 Подходы к определению сущности деловой активности

 

Термин «деловая активность» пришел в отечественный экономический лексикон из мировой практики в связи с реформированием экономики и формированием рыночных отношений. В развитых странах, в частности США, деловая активность определяется на макро- и микроуровнях.

Для отечественной практики пока характерна противоречивая оценка деловой активности страны на макроуровне, а также отдельного хозяйственного субъекта, на микроуровне. Многие экономические энциклопедические словари, составленные различными коллективами авторов, либо вообще не дают определения деловой активности, либо недостаточно четко определяют это понятие.

Встречающиеся определения отражают деловую активность человека (предпринимателя) , или рассматривают деловую активность как категорию, конкретизирующую экономическую деятельность.

Авторы большого энциклопедического словаря дали следующее определение деловой активности: «Активность деловая - экономическая деятельность, конкретизированная в виде производства того или иного товара или оказания конкретной формы услуг. Положена в основу международной стандартной классификации отраслей хозяйства, экономических классификаторов Системы национальных счетов (СНС)». Очевидна упрощенная трактовка, не раскрывающая конечной цели и результата производства или оказания услуг как на макро, так и на микроуровнях.

Неоднозначно формулируют определение деловой активности Б.А. Райзберг, Л.Ш. Лозовский, Е.Б. Стародубцева - авторы современного экономического словаря: «Активность деловая: характеристика состояния предпринимательской деятельности в отрасли, фирме, стране; оценивается, в частности, индексом динамики курсов ценных бумаг». Более полно характеризует деловую активность на уровне предприятия В.В. Ковалев, отмечая, что «в широком смысле деловая активность означает весь спектр усилий, направленных на продвижение фирмы на рынках продукции, труда, капитала..., в более узком смысле - как текущая производственная и коммерческая деятельность предприятия». В этом подходе к определению деловой активности четко определены направления характеристики итогов, деятельности предприятия, что соответствует ее сущности на микроуровне. Разделяя в целом позицию В.В. Ковалева, считаем необходимым, отметить, что недостаточно охарактеризована деловая активность на уровне экономики государства в целом, не прослеживается связь с целевой установкой предпринимательства по эффективному использованию капитала на уровне предприятия.

Для более полного понимания сущности деловой активности и корректной формулировки ее определения, имеется необходимость в ее обосновании на основе взаимосвязей хозяйственных и финансовых процессов, выраженных в системе взаимосвязанных показателей. При этом использован комплексный подход к исследованию этих показателей, иначе невозможно установить роль деловой активности и ее проявление. Основой для проведения данного исследования послужила разработка схемы формирования и анализа основных групп показателей в системе комплексного экономического анализа А.Д. Шереметом. Учитывая неоднозначные предложения различных экономистов по формированию показателей деловой активности, важно выявить их место в представленной схеме и критически оценить их роль и участие в комплексной оценке итогов деятельности предприятия. Необходимость комплексного подхода правомерно обоснована А.Д. Шереметом и поддержана в экономической литературе многими авторами: В.В. Ковалевым и О.Н. Волковой, Г.В. Савицкой,Л.Е. Басовским и Е.Н. Басовской, Л.Т. Гиляровской, Н.П. Любушиным.

Имеется необходимость в обосновании взаимосвязи деловой активности и финансового состояния и включении их показателей в обобщающую оценку деловой активности, а также определение основных этапов анализа.

Большинство определений деловой активности на уровне предприятия сводится либо к односторонней характеристике показателей, либо направлений использования капитала, хотя и затрагиваются существенные элементы деловой активности.

Л.Е Басовский, Е.Н. Басовская отмечают циклы деловой активности и выражают их в показателях ВНП (валовой национальный продукт) и объема промышленного производства. Они отмечают, что «индексы ВНП и промышленного производства возрастают и убывают в соответствии с развитием цикла деловой активности и других более длительных циклов экономического развития. Однако сведение определения деловой активности к валовым показателям роста без оценки качества этого роста, которые проявляются в доходах и прибыли, не дает возможности полноценно охарактеризовать деловую активность, как на макро, так и на микро уровнях.

Л.В. Донцова и Н.А. Никифорова отмечают: «Деловая активность в финансовом аспекте проявляется, прежде всего, в скорости оборота средств. Анализ деловой активности заключается в исследовании уровней и динамики разнообразных финансовых коэффициентов - показателей оборачиваемости».

Скорость движения капитала, которая проявляется в показателях оборачиваемости, безусловно, является важнейшим критерием деловой активности. Однако завершающий это движение финансовый результат (эффект) в данном определении не нашел отражения.

В определениях других авторов, наоборот, отражается результат от управления и использования капитала, что звучит слишком обобщенно.

Так, С.М. Пястолов отмечает, что «оценка деловой активности предприятия сводится, в конечном счете, к определению эффективности управления капиталом, находящимся в распоряжении предприятия»

Близко к этому определению характеризует деловую активность Л.С. Прыкина: «Деловая активность предприятия обычно характеризуется интенсивностью использования инвестированного (внутреннего) капитала». Интенсификация использования капитала проявляется в изменении скорости его оборота, что дало основание многим экономистам упоминать в определении сущности деловой активности только оборачиваемость.

В частности, А.Д. Шеремет и Р.С Сайфулин отмечают, что коэффициенты деловой активности отражаются в оборачиваемости капитала, мобильных средств, дебиторской и кредиторской задолженности, собственном капитале, внеоборотных активах. Проводя общую параллель среди мнений различных авторов, следует отметить одинаковые подходы к тому, что деловая активность зависит от эффективного использования материальных, трудовых и финансовых ресурсов организации. Но тогда она должна включать, наряду с показателями эффективности использования основного капитала, показатели эффективности использования трудовых ресурсов, показатели, характеризующие финансовые результаты деятельности организации, а также прибыль на один рубль капитала, что отмечают далеко не все экономисты.

Таким образом, в деловой активности должна отражаться эффективность размещения капитала в различных видах активов. Если значительная его часть авансирована во внеоборотные активы, то времени на его высвобождение потребуется гораздо больше, чем при вложении средств в оборотные активы, которые имеют средний срок кругооборота до одного года. Следовательно, предприятия должны контролировать оптимальность соотношения оборотных и внеоборотных активов, чтобы не заморозить авансированные финансовые ресурсы на более длительный срок, чем это планировалось. В этом заключается одно из условий эффективного управления капиталом предприятия, отрасли, экономики в целом.

Выгодность размещения капитала предприятия определяется также тем, насколько прибыльно проведены операции. В частности, следует учитывать эффект в виде доходов, которые предприятия могут увеличить, предусмотрев штрафные санкции за нарушение условий договоров с покупателями, поставщиками, возмещение материального ущерба, вложив средства в ценные бумаги под высокие проценты. Таким образом, если предприятие имеет долгосрочную дебиторскую задолженность, то доход от такого вложения капитала должен быть не меньше, чем ставка рефинансирования Центробанка. Следовательно, данные вопросы важно рассматривать в качестве факторов деловой активности, влияющих на эффективность управленческих решений.

1.2. Финансовые показатели деловой активности

 

1.2.1 Система показателей деловой активности и эффективности деятельности предприятия

Для целей оценки управления деятельностью предприятия наука и практика выработали специальные инструменты, называемые экономическими показателями.

Экономические показатели - это микромодели экономических явлений. Отражая динамику и противоречия происходящих процессов, они подвержены изменениям и колебаниям и могут приближаться или отдаляться от своего главного предназначения - измерения и оценки сущности экономического явления. Поэтому аналитик должен знать для каждого экономического показателя: идет ли речь об эффективности деятельности или деловой активности предприятия.

В настоящее время наиболее полное и последовательное исследование экономической эффективности хозяйственной деятельности (раскрытие предмета анализа) дается в теории комплексного экономического анализа. Анализу эффективности посвящены все разделы текущего, перспективного и оперативного анализа. Оценивается достигнутая эффективность хозяйственной деятельности, выявляются факторы ее изменения, неиспользованные возможности и резервы повышения.

Эффективность хозяйственной деятельности измеряется одним из двух способов, отражающих результативность работы предприятия относительно либо величины авансированных ресурсов, либо величины их потребления (затрат) в процессе производства. Эти показатели характеризуют степень деловой активности предприятия:

 

(А) Эффективность авансированных ресурсов = Продукция / Авансированные ресурсы

(Б) Эффективность потребленных ресурсов = Продукция / Потребленные ресурсы (затраты)

Соотношение между динамикой продукции и динамикой ресурсов (затрат) определяет характер экономического роста. Экономический рост производства может быть достигнут как экстенсивным, так и интенсивным способом. Превышение темпов роста продукции над темпами роста ресурсов или затрат свидетельствует о преимущественно интенсивном экономическом росте.

Для оценки эффективности хозяйственной деятельности также используются показатели рентабельности - прибыльности или доходности его капитала, ресурсов или продукции.

Деловая активность предприятия в финансовом аспекте проявляется, прежде всего, в скорости оборота его средств. Рентабельность предприятия отражает степень прибыльности его деятельности. Анализ деловой активности и рентабельности заключается в исследовании уровней и динамики разнообразных финансовых коэффициентов оборачиваемости и рентабельности, которые являются относительными показателями финансовых результатов деятельности предприятия.

Общая схема формирования рассматриваемых показателей представлена в табл. 1.

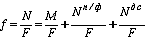
В первой строке и первом столбце таблицы представлены возможные варианты соответственно числителя и знаменателя финансового коэффициента. На пересечениях второго и третьего столбцов и второй и третьей строк таблицы показаны три различных типа относительных показателей, получающихся при возможных сочетаниях числителя и знаменателя (исключение представляет пересечение второго столбца и второй строки, не дающее показателя). В обобщенном виде формулы финансовых коэффициентов, формируемых по данной схеме, выглядят следующим образом.

Таблица 1 ОБЩАЯ СХЕМА ФОРМИРОВАНИЯ ПОКАЗАТЕЛЕЙ

Знаменатель

Финансовый результат

финансового коэффициента

Выручка от реализации

Прибыль

Выручка от реализации

х

Рентабельность продаж

Показатель средств предприятия или их источников

Оборачиваемость средств предприятия или их источников

Рентабельность средств предприятия или их источников

 

Оборачиваемость средств или их источников = Выручка от реализации / Средняя за период величина средств или их источников

Рентабельность продаж = Прибыль / Выручка от реализации

Рентабельность средств или их источников = Прибыль / Средняя за период величина средств или их источников

В данных формулах намеренно не конкретизирован показатель прибыли, поскольку в качестве него может быть взята прибыль от реализации продукции (работ, услуг) или балансовая прибыль, облагаемая налогом прибыль, чистая прибыль, остающаяся в распоряжении предприятия после уплаты налогов. Если рентабельность средств или их источников вычисляется на основе прибыли от реализации и тем самым достигается сопоставимость с рентабельностью продаж, то между рассматриваемыми финансовыми коэффициентами существует определенная взаимосвязь:

 

Рентабельность средств или их источников = Рентабельность продаж * Оборачиваемость средств или их источников

Эта формула показывает, что прибыльность средств предприятия или их источников обусловлена как ценообразовательной политикой предприятия и уровнем затрат на производство реализованной продукции (они комплексно отражаются в показателе рентабельности продаж), так и деловой, активностью предприятия, измеряемой оборачиваемостью средств или их источников. Формула указывает на пути повышения рентабельности средств или их источников (по сути дела, степени прибыльности использования капитала предприятия или его составных частей): при низкой прибыльности продаж необходимо стремиться к ускорению оборота капитала и его элементов и наоборот, определяемая теми или иными причинами низкая деловая активность предприятия может быть компенсирована только снижением затрат на производство продукции или ростом цен на продукцию, т. е. повышением рентабельности продаж.

В формулах не конкретизирован также показатель средней за период величины средств предприятия или их источников. В качестве данного показателя могут быть использованы итог баланса, величины мобильных средств, материальных мобильных средств, готовой продукции, дебиторской задолженности, кредиторской задолженности, основных средств и прочих внеоборотных активов, собственных средств, перманентного капитала и т.д.

Рассмотрим наиболее важные финансовые коэффициенты рентабельности и деловой активности, получаемые при различных вариантах знаменателя относительного показателя. Ниже приводятся вначале все формулы коэффициентов по аналитическому блоку, затем комментарии экономического смысла и динамики показателей.

Символом обозначен блок анализа рентабельности, символом  - блок анализа деловой активности; символ означает комментарий к блоку анализа.

Коэффициенты рентабельности ()

1) Рентабельность продаж

 

, (1)

где - выручка от реализации продукции (работ, услуг);

- прибыль от реализации продукции (работ, услуг).

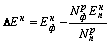
2) Рентабельность всего капитала фирмы

 

 (2)

где  - средний за период итог баланса-нетто,

в качестве могут выступать как балансовая прибыль (), так и прибыль от реализации ().

З) Рентабельность основных средств и прочих внеоборотных активов

 

 (3)

где - средняя за период величина основных средств и прочих внеоборотных активов.

4) Рентабельность собственного капитала

 (4)

где  - средняя за период величина источников собственных средств предприятия по балансу

5) Рентабельность перманентного капитала

 (5)

где  - средняя за период величина долгосрочных кредитов и займов.

Комментарий по коэффициентам рентабельности.

1К) показывает, сколько прибыли приходится на единицу реализованной продукции. Рост является следствием роста цен при постоянных затратах на производство реализованной продукции (работ, услуг) или снижения затрат на производство при постоянных ценах. Уменьшение свидетельствует о снижении цен при постоянных затратах на производство или о росте затрат на производство при постоянных ценах, т. е. о снижении спроса на продукцию предприятия.

2К) показывает эффективность использования всего имущества предприятия. Снижение также свидетельствует о падающем спросе на продукцию фирмы и о перенакоплении активов.

ЗК) отражает эффективность использования основных средств и прочих внеоборотных активов, измеряемую величиной прибыли, приходящейся на единицу стоимости средств. Рост при снижении свидетельствует об избыточном увеличении мобильных средств, что может быть следствием образования излишних запасов товарно-материальных ценностей, затоваренности готовой продукцией в результате снижения спроса, чрезмерного роста дебиторской задолженности или денежных средств.

4К) показывает эффективность использования собственного капитала. Динамика оказывает влияние на уровень котировки акций на фондовых биржах.

5К) отражает эффективность использования капитала, вложенного в деятельность фирмы на длительный срок (как собственного, так и заемного).

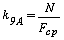
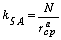
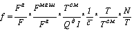
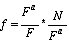
Коэффициенты деловой активности (А)

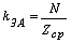
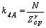
1А) Коэффициент общей оборачиваемости капитала

 

, (6)

где - выручка от реализации продукции (работ, услуг);

 - средний за период итог баланса.

2А) Коэффициент оборачиваемости мобильных средств

 

, (7)

где  - средняя за период величина запасов и затрат по балансу;

- средняя за период величина денежных средств, расчетов и прочих активов.

3А) Коэффициент оборачиваемости материальных оборотных средств

 

. (8)

 

4А) Коэффициент оборачиваемости готовой продукции

 

, (9)

где  - средняя за период величина готовой продукции.

5А) Коэффициент оборачиваемости дебиторской задолженности

 

, (10)

где  - средняя за период дебиторская задолженность.

6А) Средний срок оборота дебиторской задолженности

 

 (11)

 

7А) Коэффициент оборачиваемости кредиторской задолженности

 

 (12)

где  - средняя за период кредиторская задолженность.

8А) Средний срок оборота кредиторской задолженности

 

. (13)

 

9А) Фондоотдача основных средств и прочих внеоборотных активов

 

, (14)

где  - средняя за период величина основных средств и прочих внеоборотных активов по балансу.

10А) Коэффициент оборачиваемости собственного капитала

 

 (15)

где  - средняя за период величина источников собственных средств предприятия по балансу.

Комментарий по коэффициентам деловой активности (АК)

1АК) отражает скорость оборота (в количестве оборотов за период) всего капитала предприятия. Рост означает ускорение кругооборота средств предприятия или инфляционный рост цен (в случае снижения или ).

2АК) показывает скорость оборота всех мобильных (как материальных, так и нематериальных) средств предприятия. Рост характеризуется положительно, если сочетается с ростом , и - отрицательно, если уменьшается.

ЗАК) отражает число оборотов запасов и затрат предприятия за анализируемый период. Снижение свидетельствует об относительном увеличении производственных запасов и незавершенного производства или о снижении спроса на готовую продукцию (в случае уменьшения ).

4АК) показывает скорость оборота готовой продукции. Рост означает увеличение спроса на продукцию предприятия, снижение  - затоваривание готовой продукцией в связи со снижением спроса.

5АК) показывает расширение или снижение коммерческого кредита, предоставляемого предприятием. Если коэффициент рассчитывается по выручке от реализации, формируемой по мере оплаты счетов, рост означает сокращение продаж в кредит. Снижение в этом случае свидетельствует об увеличении объема предоставляемого кредита.

6АК) характеризует средний срок погашения дебиторской задолженности. Положительно оценивается снижение и наоборот.

7АК) (по аналогии с показывает расширение или снижение коммерческого кредита, предоставляемого предприятию. Рост означает увеличение скорости оплаты задолженности предприятия, снижение  - рост покупок в кредит.

8АК) отражает средний срок возврата долгов предприятия (за исключением обязательств перед банками и по прочим займам).

9АК) характеризует эффективность использования основных средств и прочих внеоборотных активов, измеряемую величиной продаж, приходящейся на единицу стоимости средств.

10АК) показывает скорость оборота собственного капитала, что для акционерных обществ означает активность средств, которыми рискуют акционеры. Резкий рост отражает повышение уровня продаж, которое должно в значительной степени обеспечиваться кредитами и, следовательно, снижать долю собственников в общем капитале предприятия. Существенное снижение отражает тенденцию к бездействию части собственных средств. [11]

1.2.2 Анализ оборачиваемости и эффективности использования основных средств

В производственно-хозяйственной деятельности используются производственные фонды и фонды непроизводственного назначения. Авансированные для производственно-хозяйственной деятельности производственные фонды выступают в трех формах:

·              производительной,

·              денежной и

·              товарной.

Задача фондов в трех формах одна - обеспечить непрерывность производства и воспроизводства, поэтому эти фонды и называются производственными. В отличие от непроизводственных фондов производительные фонды обслуживают сам процесс производства в материальных отраслях производства.

Проблема использования производственных фондов предприятий имеет две стороны. Первая связана с уменьшением массы потребленных в процессе производства средств производства; вторая - с уменьшением авансированных для производственно-хозяйственной деятельности фондов. Общая сумма потребленных производственных фондов за анализируемый период соответствует затратам средств труда (амортизация) и предметов труда на выпуск продукции. Авансированная сумма производственных фондов - это такая их сумма, которая обеспечивает одновременное пребывание производственных фондов во всех своих натуральных формах и на всех стадиях хозяйственной деятельности.

Проблема выпуска продукции с наименьшими затратами производственных фондов - проблема снижения себестоимости промышленной продукции. Показателями, отражающими снижение себестоимости продукции, являются:

·              уровень рентабельности одного оборота производственных фондов (отношение прибыли к себестоимости);

·              затраты на один рубль товарной или реализованной товарной продукции и

·              прибыль на один рубль продукции.

Проблема выпуска и реализации определенной массы продукции с меньшим количеством закрепленных (авансированных) производственных фондов (или, что то же самое, выпуска наибольшего количества продукции с использованием определенной массы авансированных фондов) - вполне самостоятельная проблема экономики предприятий. Показателем, отражающим выпуск продукции с меньшим количеством фондов, является общая фондоотдача производственных фондов, или их оборачиваемость. Его исчисление можно производить либо по стоимости реализованной продукции, либо по себестоимости реализованной продукции. Обратным этому показателю является показатель общей фондоемкости продукции (коэффициент закрепления производственных фондов).

Воспроизводство и оборачиваемость основных производственных фондов - фактор, влияющий на уровень рентабельности и финансовое состояние предприятий. Для предприятий важно, сколько собственных средств вложено в основные фонды. В современных условиях увеличивается маневренность предприятий в отношении создания и использования средств труда, повышается роль кредита в формировании основных средств. Денежные средства от реализации ненужных средств труда пополняют фонд развития производства.

Таблица 2 ВЛИЯНИЕ ХОЗЯЙСТВЕННЫХ ОПЕРАЦИЙ С ОСНОВНЫМИ СРЕДСТВАМИ НА ФИНАНСОВОЕ СОСТОЯНИЕ И РЕЗУЛЬТАТЫ ДЕЯТЕЛЬНОСТИ ПРЕДПРИЯТИЯ

Содержание хозяйственной операции

Влияние на имущественное состояние и финансовые результаты деятельности предприятия

ПОСТУПЛЕНИЕ ОСНОВНЫХ СРЕДСТВ

Получено безвозмездно от физических лиц

Увеличивается размер собственного капитала предприятия за счет роста фондов специального назначения (за вычетом расходов по доставке). Это ведет к росту устойчивости финансового положения. С другой стороны, это ведет к повышению удельного веса амортизационных отчислений и расходов на ремонт в себестоимости продукции, что при низкой фондоотдаче безвозмездно полученных основных средств может привести к уменьшению прибыли и рентабельности

Получено безвозмездно от юридических лиц

Увеличиваются внереализационные доходы предприятия на величину первоначальной или остаточной стоимости объектов. Одновременно на сумму износа увеличиваются внереализационные расходы (убытки). На сумму расходов по доставке уменьшаются спецфонды, либо чистая прибыль, либо нераспределенная прибыль прошлых лет. В целом на сумму поступивших основных средств (за вычетом расходов по доставке) увеличивается балансовая прибыль.

Приобретение основных средств за плату

Увеличиваются внеоборотные активы предприятия, изменяется структура капитала предприятия. В целом замедляется оборот капитала, сокращаются размеры наиболее ликвидных активов, ухудшается платежеспособность. На величину расходов по доставке и монтажу объектов уменьшается чистая прибыль или фонд накопления. Оборотные средства увеличиваются на сумму уплаченного НДС (списываются на уменьшение задолженности бюджету по НДС на реализованную продукцию в течение 6 мес.).  По приобретенным транспортным средствам, помимо НДС, уплачивается налог на приобретение транспортных. Издержки производства увеличиваются на сумму налога с владельцев транспортных средств.

Долгосрочная аренда основных средств

Увеличивается сумма внеоборотных активов и сумма задолженности арендодателям. Периодически уменьшается денежная наличность на сумму арендной платы и % за аренду. На сумму % уменьшается чистая прибыль или фонд накопления.

Текущая аренда основных средств

Издержки арендатора увеличиваются на сумму арендной платы, а также на сумму расходов по капитальному ремонту (если это оговорено условиями договора аренды).

ВЫБЫТИЕ ОСНОВНЫХ СРЕДСТВ

Безвозмездная передача основных средств

На величину потерь от безвозмездной передачи основных средств (их остаточная стоимость плюс расходы по выбытию, плюс НДС) уменьшается чистая прибыль или фонд накопления, или нераспределенная прибыль прошлых лет. Уменьшается сумма основных средств.

Внесение вклада в уставный капитал дочернего предприятия

Вклад по цене соглашения выше остаточной ведет к росту внереализационных доходов предприятия. В противном случае убытки относят на уменьшение чистой прибыли или фонда накопления.

Продажа основных средств

Формируется финансовый результат (прибыль, убыток) от прочей реализации, который увеличивает (уменьшает) балансовую прибыль предприятия. Уменьшается размер основных средств, повышается ликвидность баланса, ускоряется оборот всего капитала. Оптимальным вариантом продаж для налогообложения прибыли является реализация основных средств по рыночной стоимости. Но оценка данной операции должна в первую очередь производиться с точки зрения производственной потребности предприятия в реализуемых объектах основных средств, возможности их замещения более производительными.

Ликвидация основных средств

Финансовый результат выявляется по каждому ликвидируемому объекту. Собственные источники предприятия уменьшаются на сумму недовнесенного в бюджет НДС и на сумму недоамортизации ликвидируемого объекта.


Методика анализа эффективности вложений предприятия в основные средства, их эксплуатации и воспроизводства должна учитывать ряд принципиальных положений:

·              функциональная полезность основных средств сохраняется в течение ряда лет, поэтому расходы по их приобретению и эксплуатации распределены во времени;

·              момент физической замены (обновления) основных средств не совпадает с моментом их стоимостного замещения, в результате чего могут возникнуть потери и убытки, занижающие финансовые результаты деятельности предприятия;

·              эффективность использования основных средств оценивается по-разному в зависимости от их вида, принадлежности, характера участия в производственном процессе, а также назначения. Поскольку основные средства обслуживают не только производственную сферу деятельности предприятия, но и социально-бытовую, культурную, природно-экологическую и другие сферы, постольку эффективность их использования определяется не только экономическими, но и социальными, экологическими и другими факторами.

Основные средства и долгосрочные инвестиции в основные средства многопланово и разносторонне влияют на финансовые результаты деятельности предприятия. Характер этого влияния показан в таблице 1.

Представленные варианты аналитических задач позволяют дать оценку структуры, динамики и эффективности использования основных средств и долгосрочных инвестиций. Подчеркнем, что здесь очень большая свобода для аналитика. Определяющим для выбора аналитических задач и формирования их набора являются конкретные потребности управления, содержание принимаемых управленческих решений.

Вместе с тем действия аналитика могут быть систематизированы. Они, в основном, сводятся к выполнению следующих аналитических процедур:

·              сравнение данных отчетного периода с соответствующими данными предыдущего периода (периодов);

·              сравнение отчетных данных с плановыми сметными или проектными показателями;

·              сравнение отчетных данных с отраслевыми показателями;

·              сравнение показателей эффективности использования основных средств с показателями использования других видов ресурсов и капитала предприятия в целом;

·              сравнение отчетов по основным средствам с отчетами о производственных и финансовых результатах деятельности предприятия;

·              факторное моделирование взаимосвязей показателей использования основных средств.

Полнота и достоверность результатов анализа основных средств зависят от степени совершенства бухгалтерского учета, отлаженности систем регистрации операций с объектами основных средств, полноты заполнения учетных документов, точности отнесения объектов к учетным классификационным группам, достоверности инвентаризационных описей, глубины разработки и ведения регистров аналитического учета.

В качестве источников бухгалтерской информации для анализа основных средств используются:

·              счет 01 “Основные средства”,

·              счет 02 “Износ основных средств”,

·              счет 03 “Долгосрочно арендуемые основные средства”,

·              счет 07 “Оборудование к установке”,

·              счет 08 “Капитальные вложения”,

·              журналы-ордера №№ 10, 10/1, 12, 13, 16, данные аналитического учета по соответствующим счетам по видам и отдельным инвентарным объектам основных средств (ведомости и карточки аналитического учета), формы № 1, формы № 2, формы № 5 годовой и квартальной бухгалтерской отчетности предприятия, паспорт стройки.

Рассмотрим методику решения отдельных аналитических задач из перечня, приведенного в табл. 3

Анализ структуры и динамики основных средств

В ходе этого анализа необходимо оценить размеры, динамику и структуру вложений капитала предприятия в основные средства, выявить главные функциональные особенности производственной деятельности (бизнеса) анализируемого хозяйствующего субъекта. Для этого проводится сопоставление данных на начало и конец отчетного периода. Обобщенную картину процесса движения и обновления основных средств в разрезе классификационных групп можно представить по данным раздела 5 “Наличие и движение основных средств” формы № 5 приложения к годовому балансу предприятия. В табл. 3 дан пример “горизонтального анализа” показателей движения основных средств.

Таблица 3 ТЕМЫ И ЗАДАЧИ АНАЛИЗА ОСНОВНЫХ СРЕДСТВ И ДОЛГОСРОЧНЫХ ИНВЕСТИЦИЙ

Темы анализа

Основные задачи анализа

1. Структурная динамика основных средств

1. Оценка размера и структуры вложений капитала предприятия в основные средства


2. Определение характера и направленности происшедших изменений


3. Оценка изменений в инвестиционной политике предприятия

2. Анализ воспроизводства и оборачиваемости

1. Горизонтальный анализ показателей движения основных средств


2. Вертикальный анализ показателей движения основных средств


3. Оценка прогрессивности и интенсивности обновления основных средств


4. Факторный анализ изменений фондоотдачи

3. Анализ эффективности использования основных средств

1. Анализ рентабельности основных средств


2. Анализ фондоотдачи


3. Анализ использования парка производственного оборудования


4. Анализ использования оборудования по времени (баланса времени его работы)


5. Интегральная оценка использования оборудования

4. Анализ эффективности затрат по содержанию эксплуатации оборудования

1. Анализ затрат по капитальному ремонту основных средств


2. Анализ затрат по текущему ремонту


3. Анализ взаимосвязи объема производства, прибыли и уровня затрат

5. Анализ эффективности инвестиций в основные средства

1. Анализ эффективности вариантов капитальных вложений


2. Оценка эффективности привлечения займов для инвестирования


Как видно из табл. 3, на анализируемом предприятии обеспеченность основными средствами в отчетном периоде возросла. Существенной причиной изменений является переоценка основных средств. Тем не менее, положительной тенденцией является опережающий рост производственных фондов в сравнении с непроизводственными фондами. Активная часть основных средств высока (почти 80 %) и темпы ее роста выше пассивной части фондов. Все это свидетельствует о правильной экономической политике, проводимой на предприятии для повышения эффективности использования основных средств.

Еще более содержательна информация, полученная в результате проведения методики “вертикального” анализа отчетности о движении основных средств.

Вертикальный анализ означает расчет и оценку структуры и структурных изменений в составе основных средств.

Анализ фондоотдачи основных средств

Конечная эффективность использования основных фондов характеризуется показателями фондоотдачи, фондоемкости, рентабельности, относительной экономии фондов, повышения объема продукции, повышения производительности труда, снижения себестоимости продукции и затрат на воспроизводство основных фондов, увеличения сроков службы средств труда.

На промышленных предприятиях фондоотдача определяется по объему выпуска продукции на 1 руб. среднегодовой стоимости основных фондов. Фондоотдача - обобщающий показатель использования производственных основных фондов. На величину и динамику фондоотдачи влияют многие факторы, зависящие и не зависящие от предприятия, вместе с тем резервы повышения фондоотдачи, лучшего использования техники имеются на каждом предприятии, участке, рабочем месте.

Интенсивный путь ведения хозяйства предполагает систематический рост фондоотдачи за счет увеличения производительности машин, механизмов и оборудования, сокращения их простоев, оптимальной загрузки техники, технического совершенствования производственных основных фондов. Для выявления неиспользуемых резервов важно знать основные направления факторного анализа фондоотдачи, вытекающие из различий в подходах к моделированию этого показателя.

Наиболее простой является двухфакторная модель анализа:

 (16)

где - фондоотдача;

- активная часть основных фондов;

 - объем продукции, принятый для исчисления фондоотдачи.

При анализе фондоотдачи применение данной модели позволяет ответить на вопрос, как изменения в структуре основных фондов, т. е. в соотношении активной и пассивной их частей, повлияли на изменение фондоотдачи.

Для того, чтобы раскрыть влияние на фондоотдачу действия экстенсивных и интенсивных факторов использования основных фондов (в том числе машин и оборудования), необходимо использовать в анализе более полную модель:

, (17)

где  - стоимость установленных (действующих машин) и оборудования;

- количество отработанных станко-смен;

 - средняя стоимость оборудования;

 - количество единиц действующего оборудования;

 - продолжительность отчетного (анализируемого) периода в днях;

 - количество отработанных станко-часов.

Данная формула позволяет определить влияние на динамику фондоотдачи следующих факторов:

·              доли активной части фондов в общей их стоимости

·             

·              доли машин и оборудования в стоимости активных фондов ();

·              коэффициента сменности работы оборудования

·              средней стоимости единицы оборудования (),

·              продолжительности станко-смены ();

·              выработки продукции за один станко-час работы оборудования ().

Одним из важных факторов, оказывающих влияние на эффективность использования основных фондов, является улучшение использования производственных мощностей предприятия и его подразделений.

, (18)

где  - основная (профильная) продукция предприятия;

 - среднегодовая производственная мощность.

Данная формула позволяет определить влияние на динамику фондоотдачи изменений в уровне следующих факторов:

·              уровня специализации предприятия ();

·              коэффициента использования среднегодовой мощности предприятия ();

·              доли активной части фондов в общей их стоимости ();

·              фондоотдачи активной части фондов, исчисленной по мощности ().

·              Для анализа действия внешних факторов показатель фондоотдачи можно “развернуть” в факторную модель следующего вида:

 

, (19)

где  - стоимость материальных затрат без стоимости покупных деталей и полуфабрикатов;

 - стоимость покупных деталей и полуфабрикатов;

- стоимость чистой продукции (добавленная стоимость).

Таким образом, изменения общей фондоотдачи представляются как алгебраическая сумма изменений ее составляющих. Здесь полная стоимость продукта раскладывается по элементам стоимости: материальные затраты, заработная плата и прибыль. Общая фондоотдача растет, если имеет место рост по всем составляющим. Опережение по отдельной слагаемой покажет преобладающую причину общего роста.

При расчете общего показателя фондоотдачи в стоимости основных фондов учитываются собственные и арендуемые фонды. Не учитываются фонды, находящиеся на консервации или резервные, а также сданные в аренду другим предприятиям.

Использование основных фондов признается эффективным, если относительный прирост физического объема продукции или прибыли превышает относительный прирост стоимости основных фондов за анализируемый период.

Рост фондоотдачи ведет к относительной экономии производственных основных фондов и к увеличению объема выпускаемой продукции. Размер относительной экономии ресурсов и доля прироста продукции в результате роста фондоотдачи определяются специальным расчетом.

Так, относительная экономия основных фондов определяется как разность между величиной среднегодовой стоимости основных фондов отчетного периода и среднегодовой стоимостью основных фондов базового (предшествующего) года, скорректированной на рост объема производства продукции.

Доля прироста продукции за счет роста фондоотдачи определяется по методу цепных подстановок: прирост фондоотдачи за анализируемый период умножается на среднегодовую фактическую стоимость основных производственных фондов. [11]

1.2.3 Анализ оборачиваемости и эффективности использования оборотных средств

Ускорение оборачиваемости оборотных средств уменьшает потребность в них, позволяет предприятиям высвобождать часть оборотных средств либо для нужд народного хозяйства (абсолютное высвобождение), либо для дополнительного выпуска продукции (относительное высвобождение).

В результате ускорения оборота высвобождаются вещественные элементы оборотных средств, меньше требуется запасов сырья, материалов, топлива, заделов незавершенного производства и пр., а следовательно, высвобождаются и денежные ресурсы, ранее вложенные в эти запасы и заделы. Высвобожденные денежные ресурсы откладываются на расчетном счете предприятий, в результате чего улучшается их финансовое состояние, укрепляется платежеспособность.

Скорость оборота средств - это комплексный показатель организационно-технического уровня производственно-хозяйственной деятельности. Увеличение числа оборотов достигается за счет сокращения времени производства и времени обращения. Время производства обусловлено технологическим процессом и характером применяемой техники. Чтобы его сократить надо совершенствовать технологию, механизировать и автоматизировать труд. Сокращение времени обращения также достигается развитием специализации и кооперирования, улучшением прямых межзаводских связей, ускорением перевозок документооборота и расчетов.

Общая оборачиваемость всех оборотных средств складывается из частной оборачиваемости отдельных элементов оборотных средств. Скорость как общей оборачиваемости, так и частной оборачиваемости отдельных элементов оборотных средств характеризуется следующими показателями.

Длительность одного оборота всех оборотных средств рассчитывается по формулам:

или , (20)

где - средняя стоимость всех оборотных средств;

 - длина анализируемого периода в днях;

 - выручка от реализации продукции и от прочей реализации, за исключением сверхнормативных и излишних материальных ценностей и суммы налога с оборота в действующих оптовых ценах предприятия.

По аналогичным формулам производится расчет оборачиваемости нормируемых оборотных средств и отдельных элементов или групп оборотных средств. Вместо величины всех оборотных средств в формулы подставляется величина нормируемых средств или отдельного элемента их. Частная оборачиваемость отдельных элементов или групп оборотных средств называется слагаемой, если она рассчитывается по выручке от реализации. Совокупность слагаемых частных показателей по всем видам (группам) оборотных средств даст в результате общий показатель оборачиваемости всех оборотных средств:

 (21)

где - средний остаток производственных (материальных) запасов;

- средний задел незавершенного производства;

- средний остаток товаров отгруженных и прочих оборотных средств;

 

 (22)

Данная формула разложения общей продолжительности оборота оборотных средств как суммы продолжительности оборота по отдельным элементам (видам) оборотных средств верна лишь в самом общем виде. Действительный оборот отдельных элементов характеризует не общая величина выручки от реализации, а оборот данного элемента (например, для производственных запасов - их расход на производство, для незавершенного производства - выпуск готовых изделий, для остатков готовых изделий на складах - отгрузка продукции, для товаров отгруженных и средств в расчетах - поступление денег на расчетный счет). В данном случае имеем частные показатели, рассчитанные по особому обороту - по кредиту бухгалтерских счетов, на которых отражаются различные элементы оборотных средств.

Когда исчисляют плановые остатки оборотных средств, то за основу расчета берут остатки по нормативам. Но для полной сопоставимости с фактическими к плановым остаткам прибавляют суммы средств, прокредитованные банком.

Различия в методологии построения показателей оборота всех оборотных и нормируемых средств объясняются тем, что в первом случае реализация товарной продукции рассматривается как результат использования всех (собственных и заемных) оборотных средств. Во втором случае показатель от реализации является результатом использования нормируемых средств, сформированных за счет собственных средств и кредитов банка под них. Для экономического анализа представляет интерес показатель оборачиваемости как собственных, так и всех средств предприятия.

Для определения суммы экономии оборотных средств вследствие ускорения их оборачиваемости устанавливают потребность в оборотных средствах за отчетный период, исходя из фактической выручки от всей реализации за это время и скорости оборота за предыдущий период. Разность между этой условной суммой оборотных средств и суммой средств, фактически участвующей в обороте, составит экономию оборотных средств. Если оборачиваемость замедлена, то в итоге получат сумму средств, дополнительно вовлеченных в оборот.

Для исчисления экономии или перерасхода нормируемых оборотных средств по сравнению с планом используется, например, такая формула:

 

, (23)

где - фактические средние остатки нормируемых оборотных средств;

 - фактическая реализация;

 - плановая реализация;

 - плановая величина нормируемых оборотных средств.

Экономия или перерасход оборотных средств могут быть определены как произведение суммы однодневной реализации и разницы в днях оборачиваемости отчетного и базисного (планового) периодов:

, (24)

где  - длительность рассматриваемого периода (года).

Эффективность использования оборотных средств заключается не только в ускорении оборачиваемости их, но и в снижении себестоимости продукции за счет экономии натурально-вещественных элементов оборотных производительных фондов и издержек обращения. Поскольку обобщающими показателями эффективности работы промышленных предприятий являются величина прибыли и уровень общей рентабельности, следует определить влияние использования оборотных средств на эти показатели.

Основными факторами, влияющими на величину и скорость оборота оборотных средств предприятия, являются:

·              масштаб деятельности предприятия (малый бизнес, средний, крупный);

·              характер бизнеса или деятельности, т. е. отраслевая принадлежность предприятия (торговля, промышленность, строительство и т.д.);

·              длительность производственного цикла (количество и продолжительность технологических операций по производству продукции, оказанию услуг, работ);

·              количество и разнообразие потребляемых видов ресурсов;

·              география потребителей продукции и география поставщиков и смежников;

·              платежеспособность клиентов;

·              качество банковского обслуживания;

·              темпы роста производства и реализации продукции;

·              доля добавленной стоимости в цене продукта;

·              учетная политика предприятия;

·              квалификация менеджеров;

·              инфляция.

В условиях Российской Федерации переход к рынку сопровождается для многих предприятий попаданием в зону хозяйственной неопределенности и повышенного риска. Большинство предприятий впервые встало перед необходимостью объективной оценки финансового состояния, платежеспособности и надежности своих партнеров, постоянного контроля за качеством расчетно-финансовых операций и платежной дисциплины.

Согласно действующему положению чрезмерный рост долговых обязательств предприятия на сумму, в 2 раза превышающую стоимость его имущества, является одним из условий для применения к нему процедуры банкротства. Тем не менее, в деятельности многих предприятий укоренилась порочная практика злоупотребления заемными средствами. Так феномен массовых неплатежей обращается в аморальную выгоду некоторых хозяйствующих субъектов, совершающих ничтожные сделки.

Состояние дебиторской и кредиторской задолженности, их размеры и качество оказывают сильное влияние на финансовое состояние предприятий.

Анализ дебиторской и кредиторской задолженности осуществляется по данным аналитического учета по счетам 45, 60, 61, 62, 63, 65, 67, 68, 69, 70, 71, 73, 76, 78 ежемесячно. Основная цель в анализе дебиторской задолженности - это ускорение ее оборачиваемости.

Методика анализа кредиторской задолженности аналогична методике анализа дебиторской задолженности. Анализ проводится на основании данных аналитического учета расчетов с поставщиками, расчетов с прочими кредиторами.

В составе просроченной кредиторской задолженности доля срочной задолженности отсутствует, что свидетельствует о некоторой стабильности финансового положения.

Для улучшения финансового положения предприятия необходимо:

1.       Следить за соотношением дебиторской и кредиторской задолженности. Значительное превышение дебиторской задолженности создает угрозу финансовой устойчивости предприятия и делает необходимым привлечение дополнительных источников финансирования;

2.       По возможности ориентироваться на увеличение количества заказчиков с целью уменьшения риска неуплаты монопольным заказчиком;

3.       Контролировать состояние расчетов по просроченным задолженностям. В условиях инфляции всякая отсрочка платежа приводит к тому, что предприятие реально получает лишь часть стоимости выполненных работ. Поэтому необходимо расширить систему авансовых платежей.

4.       Своевременно выявлять недопустимые виды дебиторской и кредиторской задолженности, к которым относятся: просроченная задолженность поставщикам, в бюджет и др.; кредиторская задолженность по претензиям; сверхнормативная задолженность по устойчивым пассивам; товары отгруженные, не оплаченные в срок; поставщики и покупатели по претензиям; задолженность по расчетам возмещения материального ущерба; задолженность по статье “прочие дебиторы”.

 

2. Анализ деловой активности предприятия ООО «Лузалес»

 

2.1 Анализ структуры баланса

 

2.1.1 Анализ структуры и динамики пассива баланса

Первым источником информации для оценки кредитоспособности хозяйственных организаций должен служить их баланс с объяснительной запиской к нему. Анализ баланса позволяет определить, какими средствами располагает предприятие, и какой по величине кредит эти средства обеспечивают. Однако для обоснованного и всестороннего заключения о кредитоспособности клиентов банка балансовых сведений недостаточно. Это вытекает из состава показателей. Анализ баланса дает лишь общее суждение о кредитоспособности, в то время как для выводов о степени кредитоспособности необходимо рассчитать и качественные показатели, оценивающие перспективы развития предприятий, их жизнеспособность.

При рассмотрении пассивной части баланса самое пристальное внимание должно быть уделено изучению разделам, где отражаются кредиты и прочие заемные средства: необходимо потребовать кредитные договора по тем ссудам, задолженность по которым отражена в балансе и не погашена на дату запроса о кредите, и убедиться, что она не является просроченной.

Наличие просроченной задолженности по кредитам других банков является негативным фактором и свидетельствует о явных просчетах и срывах в деятельности заемщика, которые, возможно, планируется временно компенсировать при помощи кредита. Если задолженность не является просроченной, необходимо по возможности обеспечить, чтобы срок погашения кредита наступал раньше погашений других кредитов. При оценке состояния кредиторской задолженности необходимо убедиться, что заемщик в состоянии вовремя расплатиться с теми, чьими средствами в том или ином виде пользуется: в виде товаров или услуг, авансов и т.д.

Таблица 4 Анализ структуры и динамики пассива баланса ООО «Лузалес» за 2004-2006гг.

№ п/п

Наименование статей

Сумма , тыс. руб.

Уд. вес за 2006 год

Изменения за 2006 год



2004

2005

2006

на начало года(%)

на конец года (%)

+(-) сумма

+(-) %уд.вес

1

Капитал и резервы

6121

80814

82535

25,38

32,30

1721

6,91

2

Долгосрочные пассивы

62581

87283

74110

27,42

29,00

-13173

1,58

3

Краткосрочные пассивы,  в том числе: -заём. ср-ва -кред.задолженность -прочие пассивы

166207  1983 55336 108888

150273  12930 76079 61264

98913  22275 76638 -

47,20  8,60 50,63 40,77

38,70  22,52 77,48 -

-51360  9345 559 -61264

-8,50  13,92 26,85 -40,77

Итого баланс

234909

318370

255558

100

100

-62812

0



Сумма собственных средств на конец 2006 года увеличилась на 1721 тыс.р., при увеличении удельного веса на 6,9 %, что является положительной тенденцией в деятельности предприятия.

Долгосрочные пассивы снизились в отчетном году на 13173 тыс. руб. это свидетельствует о том, что предприятие пользуется долгосрочными кредитами для покупки дорогостоящей техники (харвестор и форварде)

Заёмные средства увеличились на 9345 тыс. руб., что является отрицательной тенденцией, т.к. увеличилась финансовая зависимость предприятия.

Что же касается кредиторской задолженности, то её сумма в отчетном году увеличилась (на 559 тысяч рублей), что на 21302 тыс. руб. больше по сравнению с 2004 годом. Это отрицательная тенденция, т.к. увеличилась финансовая зависимость нашего предприятия. По балансу видно (см. приложение), что основная сумма кредиторской задолженности приходится на задолженность перед поставщиками и подрядчиками и перед бюджетом.

В общем краткосрочные пассива уменьшили свой показатель в 2006 году на 51360 тыс. руб. , это произошло в основном за счет отсутствия резервов предстоящих расходов, которые в 2005 году составили 61264 тыс. руб.

Из этих данных следует отметить, что у предприятия имеются как положительные, так и отрицательные факторы. Для нормального функционирования надо увеличить долю собственных средств и постараться как можно скорее ликвидировать кредиторскую задолженность.

2.1.2 Анализ структуры и динамики актива баланса

При работе с активом баланса необходимо обратить на следующее: в случае оформления залога основных средств (здания, оборудование и др.), производственных запасов, готовой продукции, товаров, прочих запасов и затрат право собственности залогодателя на указанные ценности должно подтверждаться включением их стоимости в состав соответствующих балансовых статей.

Остаток средств на расчетном счете должен соответствовать данным банковской выписки на отчетную дату. При анализе дебиторской задолженности необходимо обратить внимание на сроки ее погашения, поскольку поступление долгов может стать для заемщика одним из источников возврата испрашиваемого кредита.

Таблица 5 Анализ структуры и динамики актива баланса ООО «Лузалес» за 2004-2006гг.

Показатели

Сумма (т.р.)

Удельный вес, % (на кон года)

Изменение 2006 к 2005гг


2004

2005

2006

2004

2005

2006

абсол., тыс. руб.

относит., %

I. Внеоборотные активы, в т.ч.:

108110

151733

125374

44,14

47,66

49,06

-26359

-17,37

- основные средства

81693

150534

119134

75,56

99,21

95,02

-31400

-20,86

- незавершенное строительство

21242

-

5265

19,65

-

4,20

+5265

-

- доходные вложения в материальные ценности

-

1199

975

-

0,79

0,78

-224

-18,68

-отлож6енные налоговые активы

5175

-

-

4,79

-

-

-5175

-

II. Оборотные активы, в т.ч.:

126799

166637

130184

51,77

52,34

50,94

-36453

-21,88

- запасы

72470

123901

79998

57,15

74,35

61,45

-43903

-35,43

- НДС по приобретенным ценностям

3649

8144

5739

2,88

4,89

4,41

-2405

-29,53

- дебиторская задолженность (платежи по которой ожидаются в течение 12 месяцев после отчетной даты)

 

 

 

 

 

 

 

 

 

42604

28466

31642

33,60

17,08

24,31

+3176

+11,16

- денежные средства

6999

6126

11293

5,52

3,68

8,67

+5167

+84,35

- прочие оборотные активы

1077

-

1512

0,85

-

1,16

+1512

-

Итого баланс

244909

318370

255558

100

100

100

-62812

-19,73



Общая сумма актива уменьшилась на 62812 тысяч рублей. В основном, это произошло за счёт уменьшения оборотных активов (на 36453 тыс. руб. ).

Стоимость основных средств уменьшилась на 31400 тыс.р., это произошло за счёт списания основных средств.

Дебиторская задолженность увеличилась на 3176 тысяч рублей, это отрицательный фактор. Денежные средства увеличились на 5167 тыс. руб., это ненамного превышает дебиторскую задолженность, поэтому можно говорить об незначительной угрозе финансового состояния предприятия.

Необходим тщательный анализ и оценка дебиторов, которые нарушают сроки погашения дебиторской задолженности.

 

2.2 Анализ состояния и эффективности использования основных средств предприятия

 

Под основными средствами понимаются средства, вложенные в совокупность материально - вещественных ценностей, относящихся к средствам труда. (Также основные средства - средства труда, которые неоднократно участвуют в процессе производства, сохраняя при этом свою натуральную форму и перенося свою стоимость на производимую продукцию по частям и по мере снашивания.)

 Основные средства занимают наибольший удельный вес в общей сумме основного капитала, поэтому анализ состояния и использования основных средств очень важен для предприятия. Результатом правильного использования основных средств является получение прибыли. Кроме того, эффективность использования основных средств влияет на повышение эффективности производства хозяйствующего субъекта, и, следовательно, на финансовую устойчивость предприятия и результаты его деятельности. От того, на сколько верно проведен анализ состояния и использования основных средств также зависит будущее предприятия, так как правильно проведенный анализ позволяет вовремя выявить недочеты в эффективности их использования.

Анализ состояния и использования основных средств начинается с определения величины их стоимости на начало и конец периода. Затем определяется их темп роста путем сопоставления значений показателя на конец года к значению показателя на начало года, выраженное в процентах. В ходе анализа рассматриваются показатели движения и состояния основных фондов, такие как коэффициенты обновления, годности, выбытия и износа, фондовооружённость, техническая вооружённость, фондоотдача, фондоёмкость, производительность труда (методика их расчета представлена в теоретической части работы).

Таблица 6. Анализ состояния и эффективности использования основных средств предприятия на ООО «Лузалес» за 2004-2006гг

 Показатель

Период

темп роста (%)


2004

2005

2006


Стоимость основных средств

81693

150534

119134

79,14

Стоимость активной части осн. средств

36703

99587

72341

72,64

Уд.вес активной части основных средств

44,92796

66,15582

60,72238

91,79

Сумма начисленного износа

17894

53239

49126

92,27

Поступилло основных средств

-

64706

12854

19,87

выбыло основных средств

-

1822

40100

2200,88

Коэффициент износа

0,22

0,35

0,41

116,60

Коффициент годности

0,78

0,65

0,59

90,92

Коэффициент обновления

-

0,43

0,11

25,10

Коэффициент выбытия

-

0,02

0,27

1194,39

Выручка от реализации

359373

444985

359373

80,76

фондоотдача

4,40

2,96

3,02

102,05

фондоотдача активной части ОПФ

9,79

4,47

4,97

111,18

Среднесписочная численность персонала

601

751

893

118,91

фондовооружённость

135,93

200,44

133,41

66,56

техническая вооружённость

61,07

132,61

81,01

61,09

фондоёмкость

0,23

0,34

0,33

97,99

производительность труда

597,96

592,52

402,43

67,92


За анализируемый период произошли следующие изменения: стоимость основных фондов снизилась на 20,86 %, а также снизилась стоимость активной части ОПФ на 27,36 %. Это отрицательная тенденция в деятельности предприятия.

Ещё видим, что износ увеличился на 16,6 %, что означает быстрое изнашивание основных средств, соответственно, годность уменьшилась на 9,8 %. Также видно, что у предприятия довольно высокий коэффициент обновления и высокий коэффициент выбытия. Это значит, что предприятие работает, закупает новое оборудование и пользуется старым.

Выручка от реализации продукции снизилась на 19,24%.

Положительные факторы - это увеличение фондоотдачи 2,05% а фондоотдача активной части ОПФ выросла на 11,18 %

Фондоотдача показывает, сколько рублей товарной или реализованной продукции приносит каждый рубль, вложенный в основные фонды. Рост фондоотдачи свидетельствует о повышении использования основных фондов. В связи с тем, что снизилась выручка от реализации, то, соответственно, уменьшилась производительность труда на 32,08 %

Фондоёмкость уменьшилась, т.к. увеличилась фондоотдача. Фондоёмкость показывает затраты основных фондов на рубль произведённой продукции. Снижение фондоёмкости свидетельствует об улучшении использования основных фондов.

Отрицательная тенденция - это снижение фондовооружённости и технической вооружённости. Фондовооружённость характеризует степень вооружённости работников предприятия основными фондами. Уменьшение фондовооружённости на 33,44 % произошло за счёт снижения стоимости основных фондов. Техническая вооружённость показывает, сколько оборудования приходится на 1 производственного работника. Уменьшение технической вооружённости произошло за счёт снижения стоимости активной части основных средств.

Проанализируем показатели, характеризующие снижение эффективности использования основных средств. Такими показателями являются, фондовооружённость и техническая вооружённость. Анализировать будем с помощью факторного анализа.

Факторный анализ - это постепенный переход от исходной факторной системы к конечной факторной системе. С помощью факторного анализа раскрывается полный набор факторов, оказывающих влияние на изменение результативного показателя.

Факторный анализ находит применение в экономическом анализе с помощью использования способа цепных подстановок. Последовательно заменяя каждый плановый показатель фактически, остальные показатели оставляют без изменения и определяют конечный результат. Для расчёта влияния каждого фактора, из второго вычитают первый, а из последующего - предыдущий.

Приём разниц используется при определении влияния факторов на результат и является разновидностью приёма цепных подстановок.


Таблица 7 Факторный анализ фондовооружённости

Подстановка

Стоимость основных фондов

ССЧ

Фондовооружённость

Влияние фактора

Базис  1 подстановка

150534 119134

751 893

200,5 133,41

 -67,03


При уменьшении стоимости основных фондов, фондовооружённость упала на 67,03

Таблица 8 Факторный анализ технической вооружённости:

Подстановка

Стоимость активной части ОПФ

ССЧ

Техническая вооружённость

Влияние фактора

базис 1 подстановка

99587 72341

751 893

132,61 81,01

 -61,09

общее влияние: 81,01-132,61=-61,09

при уменьшении стоимости активной части ОПФ, техническая вооружённость снизилась на 61,09

Таблица 9 Факторный анализ фондоотдачи активной части:

подстановка

Выручка от реализации

Стоимость активной части

Фондоотдача активной части

Влияние фактора

Базис 1 подстановка 2 подстановка

444985 359373 359373

99587 99587 72341

4,47 3,61 4,97

 -0,86 1, 36


Общее влияние=-0,86+1,36=0,5;

При уменьшении выручки от реализации на 85612 тыс.руб., фондоотдача активной части уменьшилась на 0,86

При снижении стоимости активной части на 27246 тыс.р., фондоотдача активной части увеличилась на 1,36

Таблица 10 Факторный анализ производительности труда

показатель

Начало года

Конец года

Абсолютное отклонение

1.Производительность труда 2.тех.вооружённость 3.фондоотдача активной части

592,52 132,61 4,47

402,43 81,01 4,97

-190,09 -51,6 0,5

Рассчитаем, как повиляло изменение фондоотдачи активной части на производительность труда:

(4,96-4,47)*81,01=40,505

за счёт роста фондоотдачи активной части на 0,5, производительность труда выросла на 40,505

Рассчитаем, как повлияло изменение технической вооружённости на производительность труда:

(81,01-132,61)*4,47= -230,652

за счёт снижения технической вооружённости на 7,07, производительность труда снизилась на 18, 803

общее влияние = 40,505-230,652=190,9

Влияние технической вооруженности оказало наибольшее влияние на результат производительность труда.

 

2.3 Анализ эффективности использования оборотных средств

 

Для того, чтобы предприятие могло нормально осуществлять свою деятельность ему необходимы оборотные средства. Под ними понимаются предметы труда неоднократно участвующие в процессе производства, полностью потребляющиеся и переносящие свою стоимость на стоимость произведенной продукции. Также оборотные средства могут быть представлены в виде денежных средств, авансированных в оборотные производственные фонды и фонды обращения.

Оборотные средства обеспечивают непрерывность процесса производства, поэтому для предприятия очень важно эффективно их использовать. Для этого нужно помнить, что избыток оборотных средств означает бездействие оборотного капитала и не приносит дохода. Вместе с тем недостаток оборотных средств будет тормозить ход производственного процесса, замедляя скорость хозяйственного оборота средств предприятия. Поэтому предприятию нужно четко знать сколько оборотных средств ему необходимо. Задача менеджеров, ответственных за планирование и организацию эффективного использования оборотных средств, организовать расширение объемов производства и реализации продукции, завоевание новых рынков сбыта, наиболее рационально и экономно, то есть при минимальной величине оборотных средств. А для этого необходимо регулярно производить анализ эффективности использования оборотных средств. Нужно помнить, что от того насколько эффективно они будут использоваться будет зависеть скорость их оборота.

В ходе анализа эффективности использования оборотных средств анализируются величины показателей на начало и конец года. Затем рассматривается темп их роста путем сопоставления значений показателя на конец года к значений показателя на начало года, выраженное в процентах.

Важнейшими показателями использования оборотных средств являются коэффициенты оборачиваемости и загрузки оборотных средств, а также длительность одного оборота в днях и коэффициент обеспеченности собственными оборотными средствами.

Таблица 11 Анализ эффективности использования оборотных средств

Показатель

2004

2005

2006

темп роста, %

Валюта баланса

234909

318370

255558

80,27

Стоимость оборотных средств

126799

166638

130184

78,12

Уд.вес оборотных средств в активах

53,97792

52,34099

50,94108

97,33

Собственные источники в формировании оборотных средств

-101989

-70919

-42839

60,41

Коэффициент обеспеченности СОС

-0,80434

-0,42559

-0,32907

77,32

Стоимость запасов

72470

123902

79998

64,57

Уд.вес запасов в оборотных активах

57,1

74,4

61,4

82,53

Дебиторская задолженность

42604

28466

31642

111,16

Уд.вес ДЗ в оборотных активах

33,6

17,1

24,3

142,11

Выручка от реализации

359373

444985

359373

80,76

Коэффициент оборачиваемости оборотных средств

2,834

2,670

2,761

103,38

Длительность 1 оборота

1,270

1,348

1,304

96,73

Коэффициент загрузки оборотных средств

0,008

0,012

0,009

77,65


За анализируемый период произошли следующие изменения:

Общая стоимость активов уменьшилась на 19, 73 %, а также стоимость оборотных активов уменьшилась на 21,88 %, что является отрицательной тенденцией. Ещё видим, что уменьшился в отчетном году удельный вес оборотных активов на 6, 67%. Для формирования оборотных активов предприятию не хватает собственных источников, поэтому оно использует помимо своего капитала ещё и заёмные средства.

Коэффициент обеспеченности собственными оборотными средствами, повысился в 2006 году с 2, 670 до 2, 761. Всё это является положительным фактором.

Удельный вес запасов уменьшился на 17,47 % - это положительная тенденция. Крайне отрицательным фактором является увеличение дебиторской задолженности на 11,16%, т.к. у предприятия стало меньше денег в обороте.Снижение выручки от реализации отрицательно сказывается на деятельности предприятия. Незначительное увеличение коэффициента оборотных средств говорит о том, что оборотные средства стали лучше оборачиваться, хотя и ненамного. Также незначительно уменьшилась длительность 1 оборота (на 3, 27 %). Уменьшение длительности 1 оборота говорит об ускорении обращения оборотных средств.

Исходя из всего вышеперечисленного, следует отметить, что для повышении эффективности использования оборотных средств предприятию, прежде всего, следует избавиться или, хотя бы, попытаться снизить дебиторскую задолженность, т.к. эти деньги могут быть использованы в качестве источников формирования оборотных средств и предприятию в этом случае не надо будет прибегать к заёмным средствам.

Таблица 12 Факторный анализ коэффициента обеспеченности собственными оборотными средствами

Подстановка

Собственные источники

Стоимость оборотных активов

К обеспеченности СОС

Влияние фактора

Базис 1 подстановка 2 подстановка

-70919 -42839 -42839

166638 166638 130184

-0,426 -0,257 -0,329

 0,169 -0,072


1)      при увеличении собственных источников К обеспеченности СОС увеличился на 0,169

2)      при уменьшении стоимости оборотных активов К обеспеченности понизится на 0,072

общее влияние -0,072+0,169=0,097

 В результате проведённого факторного анализа можно сказать, что снижение стоимости оборотных активов не повлекло уменьшение К обеспеченности СОС.

Таблица 13 Факторный анализ коэффициента оборачиваемости оборотных средств:

Подстановка

Выручка о реализации

Стоимость оборотных активов

К оборачиваемости оборотных активов

Влияние фактора

Базис 1 подстановка 2 подстановка

444985 359373 359373

166638 166638 130184

2,670 2,156 2,761

 -0,514 +0,605

 

Общее влияние 0,091

1)      при уменьшении выручки от реализации на 85612 тыс.р., К оборачиваемости активов уменьшился на 0,514

2)      при снижении стоимости оборотных активов на 36454 тыс.р.,К оборачиваемости активов увеличился на 0,605

В результате влияние стоимости оборотных активов К оборачиваемости активов увеличился 0, 091.

2.4 Расчет показателей рентабельности и коэффициентов деловой активности

 

Используя формулы (1)-(5) рассчитаем показатели рентабельности (таблица 14).

Таблица 14 Расчет показателей рентабельности ООО «Лузалес» за 2004- 2006 год

Показатели

2004

2005

2006

Темп роста, %

1. Выручка от реализации продукции, тыс. руб.

359373

444985

359373

80,76

2. Бухгалтерская прибыль, тыс. руб.

-14572

99805

-8356

-8,37

3. Итог баланса-нетто

234909

318370

255558

80,27

4. Величина осн средств и прочих внеоб активов

126799

166638

130184

78,12

5. Величина источников собственных средств

-101989

-70919

-42839

60,41

6. Величина долгосрочных кредитов и займов

52000

68778

65000

94,51

7. R продаж

-4,1

22,4

-2,3

-10,37

8. R всего капитала

-6,2

31,3

-3,3

-10,43

9. R осн средств и прочих внеоб активов

-11,5

59,9

-6,4

-10,72

10. R собствен капитала

14,3

-140,7

19,5

-13,86

11. R перманентного капитала

-28,0

145,1

-12,9

-8,86

Рентабельность продаж в отчетном году составила -2,3 %, что ухудшило свой показатель на 24,7 %. Это свидетельствует о снижении цен при постоянных затратах на производство, а так же произошел рост затрат на производство.

Рентабельность всего капитала тоже ухудшило свой показатель в 2006 году и составило 3,3 %.

Рентабельность основных средств и прочих внеоборотных активов отражает эффективность использования основных средств и прочих внеоборотных активов. Рентабельность основных средств и прочих внеоборотных активов в 2005 году составляла почти 60 %, а в 2006 году этот показатель уменьшился до отрицательного значения. Это связано с тем, что на предприятии в 2005 году был переизбыток готовой продукции, которая находилась на складах.

Рентабельность перманентного капитала отражает эффективность использования капитала, вложенного в деятельность предприятия на длительный срок.в 2006 году произошло снижение бухгалтерской прибыли и величины долгосрочных кредитов и займов по сравнению с 2005 годом.

Для расчета коэффициентов деловой активности используем формулы (6)-(15), заполняем таблицу 15.

Таблица 15 Анализ коэффициентов деловой активности ООО «Лузалес» за 2004- 2006 год

Показатели

2004

2005

2006

Темп роста, %

1. Выручка от реализации продукции, тыс. руб.

359373

444985

359373

80,8

2. Итог баланса-нетто

234909

318370

255558

80,3

3. Величина запасов и затрат

76119

132046

85737

64,9

4. Величина денежных средств, расчетов и прочих активов

8076

6126

12805

209,0

5. Величина готовой продукции

299088

325205

384577

118,3

6. Дебиторская задолженность

42604

28466

31642

111,2

7. Кредиторская задолженность

55336

76079

76638

100,7

8. Величина осн средств и прочих внеоб активов

126799

166638

130184

78,1

9. Величина источников собственных средств

-101989

-70919

-42839

60,4

10. К общ обора-ти капитала

1,53

1,40

1,41

100,6

11. К обор-ти мобильных средств

4,27

3,22

3,65

113,2

12. К обор-ти матер обор средств

4,72

3,37

4,19

124,4

13. К обор-ти ГП

1,20

1,37

0,93

68,3

14. К обор-ти ДЗ

8,44

15,63

11,36

72,7

15. Ср срок оборота ДЗ

43,27

23,35

32,14

137,6

16. К обор-ти КЗ

6,49

5,85

4,69

80,2

17. Ср срок оборота КЗ

56,2

62,4

77,8

124,7

18. Фондоотдача осн средств и проч внеоб активов

2,83

2,67

2,76

103,4

19. К обор-ти собст капитала

-3,52

-6,27

-8,39

133,7


Произошел в 2006 году небольшой рост скорости оборота всего капитала на 0,01,что свидетельствует об ускорении кругооборота средств предприятия.

Так же увеличился коэффициент оборачиваемости мобильных средств на 0,43. Увеличение данного коэффициента и увеличение коэффициента оборачиваемости материальных оборотных средств характеризуется положительно. Увеличение коэффициента оборачиваемости материальных оборотных средств свидетельствует об увеличении производственных запасов в 2006 году по сравнению с 2005 годом.

В 2006 году произошло снижение коэффициента оборачиваемости готовой продукции, что опять же свидетельствует о том, что происходит залеживание готовой продукции на складах.

Происходит снижение коэффициента дебиторской задолженности на 4, 27 - увеличение продажи от кредита, предоставляемого предприятием своим потребителям. Средний срок погашения дебиторской задолженности составляет в 2006 году 32,14. что оценивается отрицательно по сравнению с предыдущим годом, так как произошло его увеличение.

Снижение оборачиваемости кредиторской задолженности в 2006 году свидетельствует об увеличении покупок в кредит той же техники, машин и запасных частей. Средний срок возврата долгов в 2006 году увеличился на 15,4.

В 2004-2006 годах происходит существенное снижение коэффициента оборачиваемости собственного капитала, что отражает тенденцию к бездействию части собственных средств.

Заключение

 

Термин «деловая активность» пришел в отечественный экономический лексикон из мировой практики в связи с реформированием экономики и формированием рыночных отношений. В развитых странах, в частности США, деловая активность определяется на макро- и микроуровнях.

Активность деловая - экономическая деятельность, конкретизированная в виде производства того или иного товара или оказания конкретной формы услуг. Положена в основу международной стандартной классификации отраслей хозяйства, экономических классификаторов Системы национальных счетов (СНС).

Объектом исследования является предприятие лесопромышленной отрасли Республики Коми ООО «Лузалес». ООО «Лузалес» было создано для организации лесозаготовок и переработки древесины с целью получения прибыли.

Из проделанного анализа можно сделать следующие выводы:

Сумма собственных средств на конец 2006 года увеличилась на 1721 тыс.р., при увеличении удельного веса на 6,9 %, что является положительной тенденцией в деятельности предприятия.

Долгосрочные пассивы снизились в отчетном году на 13173 тыс. руб. это свидетельствует о том, что предприятие пользуется долгосрочными кредитами для покупки дорогостоящей техники (харвестор и форварде)

Что же касается кредиторской задолженности, то её сумма в отчетном году увеличилась (на 559 тысяч рублей), что на 21302 тыс. руб. больше по сравнению с 2004 годом. Это отрицательная тенденция, т.к. увеличилась финансовая зависимость нашего предприятия. По балансу видно (см. приложение), что основная сумма кредиторской задолженности приходится на задолженность перед поставщиками и подрядчиками и перед бюджетом.

В общем краткосрочные пассива уменьшили свой показатель в 2006 году на 51360 тыс. руб. , это произошло в основном за счет отсутствия резервов предстоящих расходов, которые в 2005 году составили 61264 тыс. руб.

Из этих данных следует отметить, что у предприятия имеются как положительные, так и отрицательные факторы. Для нормального функционирования надо увеличить долю собственных средств и постараться как можно скорее ликвидировать кредиторскую задолженность.

Общая сумма актива уменьшилась на 62812 тысяч рублей. В основном, это произошло за счёт уменьшения оборотных активов (на 36453 тыс. руб. ).

Стоимость основных средств уменьшилась на 31400 тыс.р., это произошло за счёт списания основных средств.

Дебиторская задолженность увеличилась на 3176 тысяч рублей, это отрицательный фактор. Денежные средства увеличились на 5167 тыс. руб., это ненамного превышает дебиторскую задолженность, поэтому можно говорить об незначительной угрозе финансового состояния предприятия.

Необходим тщательный анализ и оценка дебиторов, которые нарушают сроки погашения дебиторской задолженности.

За анализируемый период произошли следующие изменения: стоимость основных фондов снизилась на 20,86 %, а также снизилась стоимость активной части ОПФ на 27,36 %. Это отрицательная тенденция в деятельности предприятия.

Ещё видим, что износ увеличился на 16,6 %, что означает быстрое изнашивание основных средств, соответственно, годность уменьшилась на 9,8 %. Также видно, что у предприятия довольно высокий коэффициент обновления и высокий коэффициент выбытия. Это значит, что предприятие работает, закупает новое оборудование и пользуется старым.

Выручка от реализации продукции снизилась на 19,24%.

Положительные факторы - это увеличение фондоотдачи 2,05% а фондоотдача активной части ОПФ выросла на 11,18 %

Фондоотдача показывает, сколько рублей товарной или реализованной продукции приносит каждый рубль, вложенный в основные фонды. Рост фондоотдачи свидетельствует о повышении использования основных фондов. В связи с тем, что снизилась выручка от реализации, то, соответственно, уменьшилась производительность труда на 32,08 %

Фондоёмкость уменьшилась, т.к. увеличилась фондоотдача. Фондоёмкость показывает затраты основных фондов на рубль произведённой продукции. Снижение фондоёмкости свидетельствует об улучшении использования основных фондов.

Отрицательная тенденция - это снижение фондовооружённости и технической вооружённости. Фондовооружённость характеризует степень вооружённости работников предприятия основными фондами. Уменьшение фондовооружённости на 33,44 % произошло за счёт снижения стоимости основных фондов. Техническая вооружённость показывает, сколько оборудования приходится на 1 производственного работника. Уменьшение технической вооружённости произошло за счёт снижения стоимости активной части основных средств.

За анализируемый период произошли следующие изменения:

Общая стоимость активов уменьшилась на 19, 73 %, а также стоимость оборотных активов уменьшилась на 21,88 %, что является отрицательной тенденцией. Ещё видим, что уменьшился в отчетном году удельный вес оборотных активов на 6, 67%. Для формирования оборотных активов предприятию не хватает собственных источников, поэтому оно использует помимо своего капитала ещё и заёмные средства.

Коэффициент обеспеченности собственными оборотными средствами, повысился в 2006 году с 2, 670 до 2, 761. Всё это является положительным фактором.

Удельный вес запасов уменьшился на 17,47 % - это положительная тенденция. Крайне отрицательным фактором является увеличение дебиторской задолженности на 11,16%, т.к. у предприятия стало меньше денег в обороте. Снижение выручки от реализации отрицательно сказывается на деятельности предприятия. Незначительное увеличение коэффициента оборотных средств говорит о том, что оборотные средства стали лучше оборачиваться, хотя и ненамного. Также незначительно уменьшилась длительность 1 оборота (на 3, 27 %). Уменьшение длительности 1 оборота говорит об ускорении обращения оборотных средств.

Исходя из всего вышеперечисленного, следует отметить, что для повышении эффективности использования оборотных средств предприятию, прежде всего, следует избавиться или, хотя бы, попытаться снизить дебиторскую задолженность, т.к. эти деньги могут быть использованы в качестве источников формирования оборотных средств и предприятию в этом случае не надо будет прибегать к заёмным средствам.

Рентабельность продаж в отчетном году составила -2,3 %, что ухудшило свой показатель на 24,7 %. Это свидетельствует о снижении цен при постоянных затратах на производство, а так же произошел рост затрат на производство.

Рентабельность всего капитала тоже ухудшило свой показатель в 2006 году и составило 3,3 %.

Рентабельность основных средств и прочих внеоборотных активов отражает эффективность использования основных средств и прочих внеоборотных активов. Рентабельность основных средств и прочих внеоборотных активов в 2005 году составляла почти 60 %, а в 2006 году этот показатель уменьшился до отрицательного значения. Это связано с тем, что на предприятии в 2005 году был переизбыток готовой продукции, которая находилась на складах.

Рентабельность перманентного капитала отражает эффективность использования капитала, вложенного в деятельность предприятия на длительный срок в 2006 году произошло снижение бухгалтерской прибыли и величины долгосрочных кредитов и займов по сравнению с 2005 годом.

Произошел в 2006 году небольшой рост скорости оборота всего капитала на 0,01,что свидетельствует об ускорении кругооборота средств предприятия.

Так же увеличился коэффициент оборачиваемости мобильных средств на 0,43. Увеличение данного коэффициента и увеличение коэффициента оборачиваемости материальных оборотных средств характеризуется положительно. Увеличение коэффициента оборачиваемости материальных оборотных средств свидетельствует об увеличении производственных запасов в 2006 году по сравнению с 2005 годом.

В 2006 году произошло снижение коэффициента оборачиваемости готовой продукции, что опять же свидетельствует о том, что происходит залеживание готовой продукции на складах.

Происходит снижение коэффициента дебиторской задолженности на 4, 27 - увеличение продажи от кредита, предоставляемого предприятием своим потребителям. Средний срок погашения дебиторской задолженности составляет в 2006 году 32,14. что оценивается отрицательно по сравнению с предыдущим годом, так как произошло его увеличение.

Снижение оборачиваемости кредиторской задолженности в 2006 году свидетельствует об увеличении покупок в кредит той же техники, машин и запасных частей. Средний срок возврата долгов в 2006 году увеличился на 15,4.

В 2004-2006 годах происходит существенное снижение коэффициента оборачиваемости собственного капитала, что отражает тенденцию к бездействию части собственных средств.

Библиографический список

1.       Абрютина, М.С. Анализ финансово-экономической деятельности предприятия: Учеб. / М.С. Абрютина, А.В. Грачев - М.: Дело и сервис, 1998. - 256 с.

2.       Баканов, М.И. Экономический анализ: ситуации, тесты, примеры, задачи, выбор оптимальных решений, финансовое прогнозирование: Учеб. пос. / М.И. Баканов, А. Д. Шеремет.- М. : Финансы и статистика, 2004.- 656 с.

3.       Банк, В. Р. Финансовый анализа: Учебное пособие / В.Р. Банк, С.В. Банк, А.В. Тараксина. - М.: ТК Велби, Изд-во проспект, 2006. - 344 с.

4.       Гражданский Кодекс Российской Федерации. Часть 1и 2. -Издательская группа «Норма-Инфра». -М:. - 1998.- 555с.

5.       Грачев, А.В. Организация и управление финансовой устойчивостью. Роль финансового директора на предприятии. / А.В. Грачев // Финансовый менеджмент. - 2004. - № 1. С. 11 - 25.

6.       Грачев, А.В. Основы финансовой устойчивости предприятия. / А.В. Грачев // Финансовый менеджмент. - 2003. - № 4. С. 14 - 26.

7.       Илясов, Г. Г. Как улучшить финансовое состояние предприятия / Г. Г. Илясов // Финансы.- 2004.- №10.- с.70-73

8.       Кожинов, В.Я. Бухгалтерский учет. Прогнозирование финансового результата. Учебно-методическое пособие /В.Я. Кожинов. - М: Экзамен. -2002. -318с.

9.       Коровин, А.В. Экспресс анализ финансового состояния предприятия / А.В. Коровина // Аудитор.-2001.- № 3.- с.19-25

10.     Любушин, Н. П. Анализ финансово-экономической деятельности предприятий: Учеб. пос. / Н. П. Любушин, В. Б. Лещева, В. Г. Дьякова.- М. : ЮНИТИ-ДАНА, 2002.- 471 с.

11.     Матвейчева, Е.В. Традиционный подход к оценке финансовых результатов деятельности предприятия (на примере ЗАО "Уралсельэнергопроект") / Матвейчева, Е.В., Вишнинская Г.Н. // Аудит и финансовый анализ

12.     Савицкая, Г. В. Анализ хозяйственной деятельности предприятия: Учеб. пос. / Г. В. Савицкая.- Мн. : Новое издание, 2002.- 704 с.

13.     Савицкая, Г. В. Экономический анализ: Учебник [Текст] / Г. В. Савицкая.- М.: Новое знание, 2003. - 640 с.

14.     Савицкая, Г.В. Анализ хозяйственной деятельности. Издание второе, переработанное и дополненное / Г.В. Савицкая. - Минск.Москва: ИП « Экоперспектива». - 2003. -490с.

15.     Чечевицына, Л. Н. Анализ финансово-хозяйственной деятельности: Учеб. пос. / Л. Н. Чечевицына, И. Н. Чуев.- Ростов н/Д.; Феникс, 2005.- 384 с.

16.     Шеремет, А.Д. Методика финансового анализа. 3-е издание, переработанное и дополненное / Негашев Е.В.. -М. - Инфра - М. - 2003. 207с.

Приложение 1


Приложение 2

Основные технико-экономические показатели работы ООО «Лузалес»

Показатели

2004

2005

2006





1. Объем выпуска продукции, тыс. м3

429,5

534,6

458,3

2. Товарная продукция, тыс. руб.

318425

398664

462400

3. Выручка от реализации, тыс. руб.

241222

359373

444985

4. Численность работников, чел.

601

751

893

5. Среднегодовая выработка на 1 работника , тыс.руб./чел.

529,8

530,8

517,8

6. Фонд заработной платы персонала, тыс. руб.

58338

97507

125216

7. Себестоимость товарной продукции, тыс. руб.

318110

459592

454959


Похожие работы на - Анализ деловой активности предприятия на примере ООО "Лузалес"

 

Не нашли материал для своей работы?
Поможем написать уникальную работу
Без плагиата!
Без нейросетей!