Особенности учета затрат на перерабатывающих предприятиях АПК

  • Вид работы:
    Статья
  • Предмет:
    Экономика отраслей
  • Язык:
    Русский
    ,
    Формат файла:
    MS Word
    10,81 kb
  • Опубликовано:
    2010-06-06
Вы можете узнать стоимость помощи в написании студенческой работы.
Помощь в написании работы, которую точно примут!

Особенности учета затрат на перерабатывающих предприятиях АПК

Особенности учета затрат на перерабатывающих предприятиях АПК

Б.А. ШОГЕНОВ, доктор экономических наук, профессор

А.Х. ЖЕМУХОВ, кандидат экономических наук, доцент Кабардино-Балкарская государственная сельскохозяйственная академия

Производство сырьевых ресурсов сельского хозяйства страны в значительной степени определяет развитие российской перерабатывающей промышленности, и от того, насколько эффективно развиваются такие важные для нее отрасли, как растениеводство и животноводство, во многом зависят не только ассортимент, объемы и качество вырабатываемых продуктов питания, но и реализуется главный вопрос - обеспечение продовольственной безопасности страны.

Перерабатывающие предприятия АПК вырабатывают практически все необходимые продукты питания, в том числе для детей, а также диетического, специального и профилактического назначения.

Реформы в экономике по-разному отразились на работе отраслей. Некоторым из них после структурной перестройки удалось не только преодолеть спад производства по сравнению с началом рыночных преобразований, но они даже сумели привлечь значительные финансовые ресурсы для модернизации действующих производств и строительства новых предприятий. Вследствие этого объемы выпуска продукции значительно превысили дореформенный уровень, не говоря уже об ассортименте, упаковке и качестве выпускаемой продукции. Продукция перерабатывающих предприятий АПК стала конкурентоспособной, и многие предприятия поставляют ее на экспорт. Это прежде всего макаронная, пивобезалкогольная, табачная, масложировая, ликероводочная, кондитерская и другие отрасли производства.

Рассматривая результаты деятельности перерабатывающих предприятий АПК за последние годы, необходимо отметить, что большинство из них адаптировались к рыночным условиям хозяйствования, и начиная уже с 2000 г. сохраняется устойчивая динамика развития с увеличением объемов производства основных видов продукции. Сегодня на перерабатывающих предприятиях АПК производится широкий ассортимент консервных изделий: плодоовощные, мясные, рыбные и т.д.

На предприятиях консервной промышленности большое влияние на построение производственного учета оказывает организация производственного процесса и технология, объем и ассортимент выпускаемой продукции, сезонный характер производства, структура управления, а также их организационно-правовые формы, специализация, другие внешние и внутренние факторы.

В ходе простейшей переработки сельскохозяйственного сырья и материалов они подвергаются сушке, солению, квашению, копчению и т.д. Учет такой продукции ведется, как правило, в тоннах.

В процессе консервирования создаются готовые к употреблению пищевые продукты, которые расфасовываются в стеклянную и жестяную тару различной емкости. Здесь уже учет ведется в количестве физических банок и тысячах условных банок. Как отмечал В.Э. Керимов в своей работе, себестоимость консервных изделий складывается из следующих статей затрат: сырье и основные материалы; полуфабрикаты собственного производства; возвратные отходы (вычитаются); тара, вспомогательные и упаковочные материалы; топливо и энергия на технологические цели; расходы на оплату труда производственных рабочих; отчисления на социальные нужды; расходы на научные исследования и опытно-конструкторские разработки; расходы по эксплуатации производственных машин и оборудования; общепроизводственные расходы; прочие производственные расходы; общехозяйственные расходы; расходы на продажу [1]. Сумма первых одиннадцати статей образует цеховую производственную себестоимость, двенадцати статей - общезаводскую производственную себестоимость, а всех статей - полную себестоимость продукции.

В связи с тем, что в себестоимости консервных изделий доля амортизации занимает большой удельный вес, по нашему мнению, ее было бы целесообразно выделить отдельной строкой, а не включать в комплексную статью затрат на производство продукции.

Операции по производству и продаже продукции перерабатывающих отрасли АПК будут отражаться в учете следующими бухгалтерскими записями:

1. Дт сч. 20 Кт сч. 02, 10, 23, 25, 26, 28, 69, 70 и т.д. - отражены затраты на производство продукции.

2. Дт сч. 43 Кт сч. 20 - оприходована готовая продукция.

3. Дт сч. 90 Кт сч. 44 - списаны расходы на продажу.

4. Дт сч. 90 Кт сч. 43 - списана себестоимость проданной продукции.

5. Дт сч. 90 Кт сч. 68 - отражен НДС по проданной продукции.

6. Дт сч. 62 Кт сч. 90 - отражена задолженность покупателей за проданную продукцию. 7. Дт сч. 51 Кт сч. 62 - получены денежные средства в погашение задолженности покупателей.

8. Дт сч. 90 Кт сч. 99/9 - отражена прибыль от продажи продукции.

Технологический процесс производства консервных изделий соответствует условиям применения попередельного (попроцессного) метода учета затрат и калькулирования себестоимости продукции, где в качестве переделов выступают производственные цеха и участки (передел - совокупность технологических операций, которая завершается выработкой промежуточного продукта (полуфабриката) или получения законченного готового продукта).

Существует два варианта попередельного метода учета затрат: полуфабрикатный и бесполуфабрикатный. При полуфабрикатном варианте продукция каждого предыдущего передела является полуфабрикатом для последующих переделов или может реализоваться на сторону. Это определяет необходимость оценки полуфабрикатов по фактической, нормативной или плановой себестоимости либо по расчетным или отпускным ценам. При этом варианте стоимость полуфабрикатов отражается по особой статье - «Полуфабрикаты собственного производства».

При бесполуфабрикатном варианте по каждому переделу учитываются, главным образом, только затраты на обработку. Себестоимость готовой продукции исчисляется суммированием затрат на сырье, исходные материалы, расходов всех переделов на обработку и общепроизводственных расходов. При этом калькулируют только себестоимость готовой продукции.

В зависимости от вида консервной продукции и принятой схемы технологического процесса на предприятиях могут применяться полуфабрикатный и бесполуфабрикатный варианты попередельного метода учета затрат.

Основное условие попередельной калькуляции - обеспечение адекватности между делимым и делителем, т.е. соответствие между затратами и продукцией во времени и объеме. В однопередельных и однородных производствах оно обеспечивается сравнительно просто ввиду отсутствия незавершенного производства и наличия непосредственной связи между величиной затрат и выпуском продукции в данном отчетном периоде. Количество этой продукции выражается одним показателем. В многоассортиментных производствах при исчислении себестоимости единицы продукции методом деления необходимо привести все ее разновидности к единому измерителю объема с помощью заранее рассчитанных коэффициентов соотношения. Тем самым производственные расходы распределяются между объектами калькулирования так называемым коэффициентным методом. В том и другом случае расчет затрат можно вести по итогу и в разрезе статей калькуляции, в общей сумме по производству и по отдельным его стадиям, на всю совокупность продукции и по отдельным ее видам.

Таким образом, попередельная (делительная) калькуляция имеет несколько разновидностей, зависящих от характера производства и однородности продукции, степени изменения остатков незавершенных изделий на начало и конец отчетного периода по различным переделам их изготовления, потребностей контроля издержек, ценообразования и т.п. Если исходить из технологических и организационных особенностей производства, а именно они должны определять способ калькулирования себестоимости, основным критерием их разграничения следует признать число разновидностей продукции и стадий технологического процесса, по которым учитываются фактические расходы.

В свете этого, можно выделить следующие виды калькуляции: простая однопередельная; простая многопередельная; коэффициентная однопередельная; коэффициентная многопередельная.

В консервном производстве в основном применяется коэффициентная многопередельная калькуляция, где число разновидностей продукции и число технологических этапов превышает единицу.

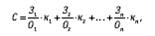
Расчет себестоимости в многопередельном производстве, где n видов продукции, можно рассчитать по следующей формуле:

 где С - себестоимость продукции;

З1, З2, ... Зn - затраты, учтенные по переделам;

О1, О2, ... Оn - объем продукции промежуточных стадий (переделов);

к1, к2, ... кn - коэффициент соотношения количества продукции промежуточных стадий к объему конечного продукта.

На наш взгляд, для перерабатывающих предприятий АПК целесообразным будет внедрение нормативного метода учета затрат на производство продукции. Этот метод учета затрат имеет определенные преимущества перед попередельным.

Нормативный учет - универсальный метод учета затрат на производство. Он не противоречит традиционным методам калькулирования, а дополняет и усиливает их своей достоверностью и оперативностью получаемой информации, что оказывает влияние на повышение эффективности производства в целом.

Отправным пунктом нормативного учета является нормирование затрат на производство и их учет по действующим (текущим) нормативам. По этим нормам отпускают материальные ресурсы для производства, начисляют заработную плату, устанавливают режим использования машин и оборудования, производят другие затраты на производство. Уникальным элементом нормативного метода является учет изменения норм. Учет изменения норм создает единственно возможную систему снижения себестоимости под влиянием научно-технического прогресса, выполнением и фактической эффективностью мероприятий предприятия и его подразделений по плану технического и организационного развития предприятия.

Одной из существенных характеристик нормативного метода учета является учет отклонений от норм затрат. В учете отклонений от норм в большей части отражаются перерасходы ресурсов. Например, заработная плата сверх установленных норм. Отклонения характеризуют нежелательные нарушения технологии и организации производства, как правило, отрицательно влияют на себестоимость продукции. Система учета отклонений от норм должна быть настолько оперативной, чтобы способствовать скорейшему устранению причин отрицательных отклонений, нормализации технологии и организации производства. Следует помнить, что данные об отклонениях от норм свидетельствуют об уже допущенных перерасходах, свершившихся нарушениях нормального хода производства. Чем раньше поступит сигнал об отклонении, тем скорее можно прекратить перерасход ресурсов, уменьшить потери.

Таким образом, исчисление фактической себестоимости продукции при нормативном методе учета затрат на производство продукции можно рассчитать по следующей формуле:

Зф = Зн ± О ± И, где Зф - фактические затраты; Зн - нормативные затраты; О - величина отклонений от норм; И - величина изменений норм.

Все вышеобозначенное показывает существенные положительные отличия нормативного метода учета затрат на производство продукции от попередельного. Его внедрение в практику деятельности перерабатывающих предприятий АПК позволит усилить оперативный контроль за производственными затратами путем учета затрат по текущим нормам и отдельно - отклонений от норм и их изменений, а также обеспечить точное калькулирование себестоимости продукции.

Также необходимо отметить, что наиболее отличительной особенностью консервного производства является сезонность его работы. Наибольший удельный вес годового выпуска продукции приходится на III и IV кварталы, что отрицательно сказывается на формировании себестоимости продукции, списании расходов, связанных с обслуживанием производства и управлением, и в итоге на неравномерности определения финансовых результатов на протяжении отчетного года.

Список литературы

1. Керимов В.Э. Бухгалтерский учет на производственных предприятиях. М.: Дашков и Кº, 2002

Для подготовки данной работы были использованы материалы с сайта <http://www.bibliofond.ru>

Похожие работы на - Особенности учета затрат на перерабатывающих предприятиях АПК

 

Не нашли материал для своей работы?
Поможем написать уникальную работу
Без плагиата!
Без нейросетей!