Миграция радионуклидов стронция-90 в почвах различных типов Павлодарской области
Содержание
Введение
1. Литературный обзор
1.1 Свойства радионуклида стронций-90
1.2 Накопление радионуклида стронция
– 90 в почвах и растениях
1.3 Особенности миграции стронция-90
в окружающую среду
2. Характеристика Семипалатинского
ядерного полигона, находящегося на территории Павлодарской области
3. Объект и методы исследования
4. Результаты исследования
4.1 Радиационные последствия
атмосферных ядерных испытаний на территории Семипалатинского ядерного полигона, находящегося на землях
Павлодарской области
4.2 Характеристика атмосферных
ядерных взрывов, произведенных на испытательной площадке «Опытное поле»
Заключение
Список использованной литературы
Введение
Основным реальным источником
радиоактивного загрязнения почвенно-растительного комплекса являются глобальные
радиоактивные выпадения из атмосферы долгоживущих радионуклидов после ядерных
испытаний, а также выбросы техногенных радионуклидов, связанные с работой
предприятий ядерного топливного цикла.
Основным источником
поступления радионуклидов в наземные пищевые цепи является почва. В результате
выпадений радионуклиды поступают на земную поверхность, аккумулируются в почве,
включаются в биогеохимические циклы миграции и становятся новыми компонентами
почвы. Почва является наиболее важным инерционным звеном, и от скорости
миграции радионуклидов в почве во многом зависят темпы их распространения по
всей цепочке. В результате перемещения в почве и последующего корневого
поглощения радиоактивные вещества поступают в части растений, представляющие
пищевую или кормовую ценность
Sr-90 является ведущим с
точки зрения радиационной опасности нуклидом на территории, подвергшейся
радиоактивному загрязнению с периодом полураспада 28,6 года.
Имеются сведения, что
миграционные свойства Sr-90 в почвенно-растительных комплексах существенно
отличаются в зависимости от типа почв, механического состава и видовых различий
растений. В связи с этим является актуальным вопрос выявления закономерностей
миграции радионуклидов Sr-90 в биогеоценозах степной зоны, а также изучение
влияния физико-химических свойств почв на поступление Sr-90 в растения
В настоящее время и в
перспективе особо остро встаёт проблема экологической безопасности окружающей
среды, экологически безопасного природопользования при возрастающих
антропогенных нагрузках.
Загрязнение системы «почва–растения–вода»
различными химическими веществами, а главным образом твердыми, жидкими и
газообразными отходами промышленности, продуктами топлива и т.д. приводит к
изменению химического состава почв.
Техногенные выбросы
радионуклидов в природную среду в ряде районов земного шара значительно
превышают природные нормы.
До недавнего времени в качестве
важнейших загрязняющих веществ рассматривались, главным образом, пыль, угарный
и углекислый газы, оксиды серы и азота, углеводороды. Радионуклиды
рассматривались в меньшей степени. В настоящее время интерес к загрязнению
радиоактивными веществами вырос, в связи с факторами появления острых токсичных
эффектов, вызванных загрязнением стронцием и цезием.
Радионуклиды по цепочке «почва
– растение – животное» попадают в организм человека, накапливаются и оказывают
не благоприятное воздействие на здоровье. Поэтому одной из задач современности
является производство экологически «чистой» продукции.
Важнейшая проблема
сельского хозяйства в условиях загрязнения почвы радиоактивными элементами –
максимально возможное снижение поступления этих веществ в растениеводческую
продукцию и предотвращение накопление их в организмах сельскохозяйственных
животных. Решение этой задачи связано с комплексом мероприятий, которые
необходимо проводить в сельском хозяйстве. Основание для проведения данных
мероприятий является увеличение заболеваемости и смертности, врожденных уродств
и населения, проживающего на загрязнённых территориях.
Вопрос об изменении
ведения сельского хозяйства должен решаться в каждом конкретном случае с учётом
всех обстоятельств на основе точной и достоверной информации в зависимости от
типа почвы, её механического состава, водно-физических и агрохимических свойств
и от степени загрязнённости территории.
Северная часть территории
бывшего Семипалатинского испытательного полигона активно используется для
сельскохозяйственной деятельности: выпаса скота, заготовки сена, производства
зерновых культур и т.д. Вблизи этой местности проводили испытания боевых
радиоактивных веществ, влияние которых на окружающую среду и людей,
занимающихся трудовой деятельностью на данном и прилегающем к нему участках
мало исследованы.
Объектом исследования
являются почвенно-растительные комплексы степной зоны, подверженные глобальным
выпадениям радионуклидов. Изучалась миграция радионуклидов стронция-90 в почвах
различных типов и накопление радионуклидов растениями степной зоны
Цель работы – изучение
коэффициента перехода стронция-90 из почвы в растение на территории
Семипалатинского полигона, находящегося на землях Павлодарской области
Задачи:
- Оценить содержание стронция-90 в
Павлодарской области
- Проанализировать особенности накопление
радионуклида стронция – 90 в почвах и растениях
- Изучить особенности миграции
стронция-90 в растения
- Определить коэффициент перехода стронция-90
из почвы в растения
1 Литературный обзор
1.1 Свойства радионуклида
Стронций-90
Стронций 90Sr
– серебристый кальциеподобный металл, покрытый оксидной оболочкой, плохо
вступает в реакцию, включаясь в метаболизм экосистемы по мере формирования
сложных Са – Fe – Al – Sr – комплексов. Естественное содержание стабильного
изотопа в почве, костных тканях, среде достигает 3,7 х 10-2 %, в
морской воде, мышечных тканях 7,6 х 10-4 %. Биологические функции не
выявлены; не токсичен, может замещать кальций. Радиоактивный изотоп в
естественной среде отсутствует [1 , 43].
Стро́нций — элемент главной подгруппы второй группы,
пятого периода периодической системы химических
элементов Д. И. Менделеева, с атомным номером 38. Обозначается символом Sr (лат. Strontium). Простое вещество стронций (CAS-номер: 7440-24-6) — мягкий, ковкий и
пластичный щёлочноземельный металл серебристо-белого цвета. Обладает высокой химической
активностью, на воздухе быстро реагирует с влагой и кислородом, покрываясь
жёлтой оксидной плёнкой.
Новый элемент обнаружили
в минерале стронцианите, найденном в 1764 году в свинцовом руднике близ шотландской деревни Строншиан, давшей
впоследствии название новому элементу. Присутствие в этом минерале оксида
нового металла было установлено почти через 30 лет Уильямом Крюйкшенком и Адером Кроуфордом. Выделен в чистом виде сэром Хемфри Дэви в 1808 году [2 , 46].
Содержание в земной коре —
0,384 % в свободном виде стронций не встречается. Он входит в состав около 40
минералов. Из них наиболее важный — целестин SrSO4. Добывают также стронцианит SrCO3. Эти два минерала
имеют промышленное значение. Чаще всего стронций присутствует как примесь в
различных кальциевых минералах.
Стронций содержится в
морской воде (0,1 мг/л), в почвах (0,035 масс%).
В природе стронций
встречается в виде смеси 4 стабильных изотопов 84Sr (0,56 %), 86Sr
(9,86 %), 87Sr (7,02 %), 88Sr (82,56 %).[3 , 11].
Существуют 3 способа
получения металлического стронция:
-
термическое
разложение некоторых соединений
-
электролиз
-
восстановление оксида или хлорида
Основным промышленным
способом получения металлического стронция является термическое восстановление
его оксида алюминием. Далее полученный стронций очищается
возгонкой.
Электролитическое
получение стронция электролизом расплава смеси SrCl2 и
NaCl не получило широкого распространения из-за малого выхода по току и
загрязнения стронция примесями.
При термическом
разложении гидрида или нитрида стронция образуется мелкодисперсный стронций,
склонный к легкому воспламенению.
Стронций — мягкий
серебристо-белый металл, обладает ковкостью и пластичностью, легко режется
ножом.
Полиморфен — известны три
его модификации. До 215оС устойчива кубическая гранецентрированная
модификация (α-Sr), между 215 и 605оС — гексагональная
(β-Sr), выше 605оС — кубическая объемно-центрированная
модификация (γ-Sr).
Температура плавления —
768оС, Температура кипения — 1390оС.
Стронций в своих
соединениях всегда проявляет валентность +2. По свойствам стронций близок к
кальцию и барию, занимая промежуточное положение между ними.
В электрохимическом ряду
напряжений стронций находится среди наиболее активных металлов (его нормальный
электродный потенциал равен −2,89 В. Энергично реагирует с водой, образуя
гидроксид: Sr + 2H2O = Sr(OH)2
+ H2↑ [4 , 21].
Взаимодействует с
кислотами, вытесняет тяжёлые металлы из их солей. С концентрированными
кислотами (H2SO4, HNO3) реагирует слабо.
Металлический стронций
быстро окисляется на воздухе, образуя желтоватую плёнку, в которой помимо оксида SrO всегда присутствуют пероксид SrO2
и нитрид Sr3N2. При нагревании на воздухе загорается,
порошкообразный стронций на воздухе склонен к самовоспламенению.
Энергично реагирует с
неметаллами — серой, фосфором, галогенами. Взаимодействует с водородом (выше
200оС), азотом (выше 400оС). Практически не реагирует с
щелочами.
При высоких температурах
реагирует с CO2, образуя карбид:
5Sr + 2CO2 =
SrC2 + 4SrO (1)
Легко растворимы соли
стронция с анионами Cl-, I-, NO3-.
Соли с анионами F-, SO42-, CO32-,
PO43- мало растворимы.
Основные области
применения стронция и его химических соединений — это радиоэлектронная
промышленность, пиротехника, металлургия, пищевая промышленность.
Стронций применяется для
легирования меди и некоторых ее сплавов, для введения в аккумуляторные
свинцовые сплавы, для обессеривания чугуна, меди и сталей.
Стронций чистотой 99,99—99,999
% применяется для восстановления урана [5 , 90].
Магнитотвёрдые ферриты
стронция широко употребляются в качестве материалов для производства постоянных
магнитов.
В пиротехнике применяются
карбонат, нитрат, перхлорат стронция для окрашивания пламени в карминово-красный цвет. Сплав магний-стронций обладает
сильнейшими пирофорными свойствами и находит применение в пиротехнике для
зажигательных и сигнальных составов.
Радиоактивный 90Sr (период полураспада 28,9 лет)
применяется в производстве радиоизотопных источников тока в виде титанита стронция (плотность
4,8 г/см³, а энерговыделение около 0,54 Вт/см³).
Уранат стронция играет
важную роль при получении водорода (стронциево-уранатный цикл, Лос-Аламос, США)
термохимическим способом (атомно-водородная энергетика), и в частности
разрабатываются способы непосредственного деления ядер урана в составе ураната
стронция для получения тепла при разложении воды на водород и кислород.
Оксид стронция применяется в качестве компонента
сверхпроводящих керамик.
Фторид стронция используется в качестве компонента
твердотельных фторионных аккумуляторных батарей с громадной энергоемкостью и
энергоплотностью.
Сплавы стронция с оловом и свинцом применяются для отливки токоотводов
аккумуляторных батарей. Сплавы стронций-кадмий для анодов гальванических элементов.
Радиационные
характеристики приведены в таблице 1 [6 , 34].
Таблица 1- Радиационные
характеристики стронция 90
|
Период
полураспада
|
Всасываемость,
%
|
Место
накопления в организме
|
Время 2-х
кратного снижения активности в организме
|
Среднее
значение излучателей,
МЭВ
|
Средняя
фоновая нагрузка,
сЗв (мбэр)
|
|
б
|
В
|
г
|
|
29,1 года
|
5
|
все тело,
скелет
|
5700 сут
|
-
|
0,2-0,9
(1,1 в
костной ткани)
|
-
|
Фоновое
содержание в среде 0,045 Ки/км
|
В случаях попадания
изотопа в окружающую среду поступление стронция в организм зависит от степени и
характера включенности метаболита в почвенные органические структуры, продукты
питания и колеблется от 5 до 30%, при большем проникновении в детский организм.
Независимо от пути поступления излучатель накапливается в скелете (в мягких
тканях содержится не более 1%). Выводится из организма крайне плохо, что ведет
к постоянному накоплению дозы при хроническом поступлении стронция в организм.
В отличие от естественных β-активных аналогов (урана, тория и др.)
стронций является эффективным в-излучателем, что меняет спектр радиационного
воздействия, в том числе и на гонады, эндокринные железы, красный костный мозг
и головной мозг. Накапливаемые дозы (фон) колеблется в пределах (до 0,2 х 10-6
мкКи/г в костях при дозах порядка 4.5 х 10-2 мЗв/год) [7 , 41].
Не следует путать
действие на организм человека природного (нерадиоактивного, малотоксичного и
более того, широко используемого для лечения остеопороза) и радиоактивных
изотопов стронция. Изотоп стронция 90Sr
является радиоактивным с периодом полураспада 28.9 лет. 90Sr
претерпевает β-распад, переходя в радиоактивный 90Y (период
полураспада 64 ч.) Полный распад стронция-90, попавшего в окружающую среду,
произойдет лишь через несколько сотен лет. 90Sr образуется при
ядерных взрывах и выбросах с АЭС.
По химическим реакциям
радиоактивный и нерадиоактивные изотопы стронция практически не отличаются. Стронций
природный — составная часть микроорганизмов, растений и животных. Независимо от
пути и ритма поступления в организм растворимые соединения стронция
накапливаются в скелете. В мягких тканях задерживается менее 1 %. Путь
поступления влияет на величину отложения стронция в скелете [8 , 43].
На поведение стронция в
организме оказывает влияние вид, пол, возраст, а также беременность, и другие
факторы. Например, в скелете мужчин отложения выше, чем в скелете женщин.
Стронций является аналогом кальция. Стронций с большой скоростью накапливается
в организме детей до четырехлетнего возраста, когда идет активное формирование
костной ткани. Обмен стронция изменяется при некоторых заболеваниях органов
пищеварения и сердечнососудистой системы. Пути попадания:
- вода (предельно допустимая
концентрация стронция в воде в РФ — 8 мг/л, а в США — 4 мг/л)
- пища (томаты, свёкла, укроп,
петрушка, редька, редис, лук, капуста, ячмень, рожь, пшеница)
- интратрахеальное поступление
- через кожу (накожное)
- ингаляционное (через воздух)
- из растений или через животных
стронций-90 может непосредственно перейти в организм человека.
- люди, работа которых связана со
стронцием (в медицине радиоактивный стронций используют в качестве аппликаторов
при лечении кожных и глазных болезней. Основные области применения природного
стронция — это радиоэлектронная промышленность, пиротехника, металлургия,
металлотермия, пищевая промышленность, пр-во магнитных материалов,
радиоактивного — пр-во атомных электрических батарей. атомно-водородная
энергетика, радиоизотопные термоэлектрические генераторы и др.) [9 ,21 ].
Влияние нерадиоактивного
стронция проявляется крайне редко и только при воздействии других факторов
(дефицит кальция и витамина Д, неполноценное питание, нарушения соотношения микроэлементов
таких как барий, молибден, селен и др.). Тогда он может вызывать у детей «стронциевый
рахит» и «уровскую болезнь» — поражение и деформация суставов, задержка роста и
другие нарушения. Напротив, радиоактивный стронций практически всегда негативно
воздействует на организм человека:
- откладывается в скелете (костях),
поражает костную ткань и костный мозг, что приводит к развитию лучевой болезни,
опухолей кроветворной ткани и костей.
- вызывает лейкемию и злокачественные
опухоли (рак) костей, а также поражение печени и мозга
Изотоп стронция 90Sr
является радиоактивным с периодом полураспада 28,79 лет. 90Sr
претерпевает β-распад, переходя в радиоактивный иттрий 90Y (период полураспада
64 часа). 90Sr образуется при ядерных взрывах и выбросах с АЭС [10,
46].
Стронций является
аналогом кальция и способен прочно откладываться в костях. Длительное
радиационное воздействие 90Sr и 90Y поражает костную
ткань и костный мозг, что приводит к развитию лучевой болезни, опухолей
кроветворной ткани и костей.
Попадая в почву, стронций-90
вместе с растворимыми соединениями кальция поступает в растения, из которых
может непосредственно или через животных поступить в организм человека. Так
создается цепь передачи радиоактивного стронция: почва - растения - животные -
человек. Проникая в организм человека, стронций накапливается преимущественно в
костях и подвергает, таким образом, организм длительному внутреннему
радиоактивному воздействию. Результатом этого воздействия, как показывают
исследования ученых, проведенные в опытах на животных (собаках, крысах и др.),
является тяжелое заболевание организма. На первый план выступают повреждения
кроветворных органов и развитие опухолей в костях. В обычных условиях «поставщиком»
радиоактивного стронция являются экспериментальные взрывы ядерного и
термоядерного оружия. Исследованиями американских ученых установлено, что даже
малое лучевое воздействие, безусловно, вредно для здорового человека. Если же
учесть, что и при крайне малых дозах этого воздействия наступают резкие
изменения в тех клетках организма, от которых зависит воспроизводство
потомства, то вполне понятно, что ядерные взрывы несут смертельную опасность
еще... не родившимся! Свое название стронций получил от минерала - стронцианита
(углекислой соли стронция), найденного в 1787 г. в Шотландии близ деревушки
Стронциан. Английский исследователь А. Крофорд, изучая стронцианит, высказал
предположение о наличии в нем новой еще не известной «земли». Индивидуальную
особенность стронцианита установил также и Клапрот. Английский химик Т. Хоп в
1792 г. доказал наличие в стронцианите нового металла, выделенного в свободном
виде в 1808 г. Г. Дэви [11 , 30].
Однако, независимо от западных
ученых, русский химик Т.Е. Ловиц в 1792 г., исследуя минерал барит, пришел к
заключению, что в нем, помимо окиси бария, в качестве примеси находится и «стронцианова
земля». Чрезвычайно осторожный в своих заключениях, Ловиц не решился
опубликовать их до окончания вторичной проверки опытов, требовавших накопления
большого количества «стронциановой земли». Поэтому исследования Ловица «О
стронциановой земле в тяжелом шпате», хотя и были опубликованы после
исследований Клапрота, фактически же проведены раньше его. Они свидетельствуют
об открытии стронция в новом минерале - сернокислом стронции, называемом теперь
целестином. Из этого минерала простейшие морские организмы - радиолярии,
акантарии - строят иглы своего скелета. Из иголочек отмирающих беспозвоночных
образовались скопления и самого целестина
1.2 Накопление
радионуклида стронция – 90 в почвах и растениях
Продовольственное и
техническое качество продукции – зерна, клубней, масличных семян, корнеплодов,
получаемой от облучённых растений, сколько- либо существенно не ухудшается даже
при снижении урожая до 30-40 %.
Содержание белка и
клейковины в зерне пшеницы, рассчитанное на единицу массы, не снижается, однако
общий выход заметно уменьшается в результате больших потерь урожая зерна.
Содержание масла в
семенах подсолнечника и лотса зависит от дозы облучения, получаемой растениями,
и фазы их развития в момент начала облучения. Аналогичная зависимость
наблюдается и по выходу сахара в урожае корнеплодов облучённых растений свеклы.
Содержание витамина С в плодах томатов, собранных с облучённых растений,
зависит от фазы развития растений в период начала облучения и дозы облучения.
Например, при облучении растении во время массового цветения и начала
плодоношения дозами 3 – 15 кР содержание в плодах томатов витамина С повышалось
по сравнению с контролем на 3 – 25 %. Облучение растений в период массового
цветения и начало плодоношения дозой до 10 кР затормаживает развитие семян у
формирующихся плодов, которые обычно становятся бессемянными [12 , 5].
Аналогичная
закономерность получена в опытах с картофелем. При облучении растений в период
клубнеобразования урожай клубней при облучении дозами 7 – 10 кР практически не
снижается. Если растения облучаются в более раннюю фазу развития, урожай
клубней уменьшается в среднем на 30 – 50 %. Кроме того, клубни получаются не
жизнеспособными из-за стерильности глазков.
Облучение вегетирующих
растений не только приводит к уменьшению их продуктивности, но и снижает
посевные качества формирующихся семян. Так при облучении вегетирующих растений
не только приводит к уменьшению их продуктивности, но и снижает посевные
качества формирующихся семян. Так при облучении зерновых культур в наиболее
чувствительные фазы развития (кущение, выход в трубку) сильно снижается урожай,
однако всхожесть получаемых семян существенно снижается, что даёт возможность
не использовать их для посева. Если же растения облучают в начале молочной
спелости (когда происходит формирование звена) даже в относительно высоких
дозах, урожай зерна сохраняется практически полностью, однако такие семена не
могут быть использованы для посева ввиду предельно низкой всхожести.
Таким образом
радиоактивные изотопы не вызывают заметных повреждений растительных организмов,
однако в урожае сельскохозяйственных культур они накапливаются в значительных
количествах.
Значительная часть
радионуклидов находится в почве, как на поверхности, так и в нижних слоях, при
этом их миграция во многом зависит от типа почвы, её гранулометрического
состава, водно-физических и агрохимических свойств.
Основными радионуклидами,
определяющими характер загрязнения, в нашей области является цезий – 137 и
стронция – 90, которые по разному сортируются почвой. Основной механизм
закрепления стронция в почве – ионный обмен, цезия – 137 обменной формой либо
по типу ионообменной сорбции на внутренней поверхности частиц почвы [13 , 22].
Поглощение почвой
стронция – 90 меньше цезия – 137, а следовательно, он является более подвижным
радионуклидом.
В момент выброса цезия –
137 в окружающие среду, радионуклид изначально находится в хорошо растворимом
состоянии (парогазовая фаза, мелкодисперсные частицы и т.д.)
В этих случаях
поступления в почву цезий – 137 легкодоступен для усвоения растениями. В
дальнейшем радионуклид может включаться в различные реакции в почве, и
подвижность его снижается, увеличивается прочность закрепления, радионуклид «стареет»,
а такое «старение» представляет комплекс почвенных кристаллохимических реакций
с возможным вхождением радионуклида в кристаллическую структуру вторичных
глинистых минералов.
Механизм закрепления
радиоактивных изотопов в почве, их сорбция имеет большое значение, так как
сорбция определяет миграционные качества радиоизотопов, интенсивность
поглощения их почвами, а, следовательно, и способность проникать их в корни
растений. Сорбция радиоизотопов зависит от многих факторов и одним из основных
является механический и минералогический состав почвы тяжёлыми по
гранулометрическому составу почвами поглощённые радионуклиды, особенно цезий –
137, закрепляются сильнее, чем лёгкими и с уменьшением размера механических
фракций почвы прочность закрепления ими стронция – 90 и цезия – 137 повышается.
Наиболее прочно закрепляются радионуклиды илистой фракцией почвы.
Большему удержанию
радиоизотопов в почве способствует наличие в ней химических элементов, близких
по химическим свойствам к этим изотопам. Так, кальций – химический элемент,
близкий по своим свойствам стронцию – 90 и внесение извести, особенно на почвы
с высокой кислотностью, ведёт к увеличению поглотительной способности стронция
– 90 и к уменьшению его миграции. Калий схож по своим химическим свойствам с
цезием – 137. Калий, как неизотопный аналог цезия находится в почве в
макроколичествах, в то время как цезий – в ультра микроконцентрациях.
Вследствие этого в почвенном растворе происходит сильное разбавление
микроколичеств цезия–137 ионами калия, и при поглощении их корневыми системами
растений отмечается конкуренция за место сорбции на поверхности корней. Поэтому
при поступлении этих элементов из почвы в растениях наблюдается антагонизм
ионов цезия и калия [14 , 55].
Кроме того эффект
миграции радионуклидов зависит от метеорологических условий (количество
осадков).
Установлено, что
стронций–90, попавший на поверхность почвы, вымывается дождём в самые нижние
слои. Следует заметить, что миграция радионуклидов в почвах протекает медленно
и их основная часть находится в слое 0 – 5 см.
Накопление (вынос)
радионуклидов сельскохозяйственными растениями во многом зависит от свойства
почвы и биологической особенности растений. На кислых почвах радионуклиды
поступают в растения в значительно больших количествах, чем из почв
слабокислых. Снижение кислотности почвы, как правило, способствует уменьшению
размеров перехода радионуклидов в растения. Так, в зависимости от свойства
почвы содержание стронция – 90 и цезия – 137 в растениях может изменяться в
среднем в 10 – 15 раз.
А межвидовые различия
сельскохозяйственных культур в накопление этих радионуклидов наблюдается
зернобобовыми культурами. Например, стронций – 90 и цезий – 137, в 2 – 6 раз поглощается
интенсивнее зернобобовыми культурами, чем злаковыми [15 , 21].
Поступление стронция–90 и
цезия–137 в травостой на лугах и пастбищах определяется характером
распределения в почвенном профиле.
В загрязнённой зоне, луга
Рязанской области загрязнены на площади 73491 га, в том числе с плотностью
загрязнения 1,5 Ки/км2 - 67886 (36 % от общей площади), с плотностью
загрязнения 5,15 Ки/км2 - 5605 га (3%).
На целинных участка,
естественных лугах, цезий находится в слое 0-5 см, за прошедшие годы после
аварии не отмечена значительная вертикальная миграция его по профилю почвы. На
перепаханных землях цезий – 137 находится в пахотном слое.
Пойменная растительность
в большей степени накапливает цезий – 137, чем суходольная. Так при загрязнении
поймы 2,4 Ки/км2 в траве было обнаружено
Ки/кг сухой массы, а на суходольной
при загрязнении 3,8 Ки/км2 в траве содержалось
Ки /кг [16, 20].
Накопление радионуклидов
травянистыми растениями зависит от особенностей строения дернины. На злаковом
лугу с мощной плотной дерниной содержание цезия – 137 в фитомассе в 3 – 4 раза
выше, чем на разнотравном с рыхлой маломощной дерниной.
Культуры с низким
содержанием калия меньше накапливают цезия. Злаковые травы накапливают меньше
цезия по сравнению с бобовыми. Растения сравнительно устойчивы к радиоактивному
воздействию, но они могут накапливать такое количество радионуклидов, что
становятся не пригодными к употреблению в пищу человека и на корм скоту.
Поступление цезия – 137 в
растения зависит от типа почвы. По степени уменьшения накопления цезия в урожае
растения почвы можно расположить в такой последовательности:
дерново-подзолистые супесчаные, дерново-подзолистые суглинистые, серая лесная,
чернозёмы и т.д. Накопление радионуклидов в урожае зависит не только от типа
почвы, но и от биологической особенности растений.
Отмечается, что
кальциелюбивые растения обычно поглощают больше стронция – 90,чем растения
бедные кальцием. Больше всего накапливают стронций – 90 бобовые культуры,
меньше корнеплоды и клубнеплоды, и ещё меньше злаковые [17 , 5].
Накопление радионуклидов
в растении зависит от содержания в почве элементов питания. Так установлено,
что минеральное удобрение, внесённое в дозах N 90, Р 90, увеличивает
концентрацию цезия – 137 в овощных культурах в 3 – 4 раза, а аналогичные
внесения калия в 2 – 3 раза снижает его содержание. Положительный эффект на
уменьшение поступления стронция – 90 в урожай зернобобовых культур оказывает
содержание кальций содержащих веществ. Так, например, внесение в выщелочный чернозём
извести в дозах, эквивалентных гидролитической кислотности, уменьшает
поступление стронция–90 в зерновые культуры в 1,5 – 3,5 раза.
Наибольший эффект на
снижение поступления стронция – 90 в урожай растений достигает внесением
полного минерального удобрения на фоне доломита. На эффективность накопления
радионуклидов в урожае растений оказывают влияние органические удобрения и
метеорологические условия, а также и время их пребывание в почве. Установлено,
что накопление стронция – 90, цезия – 137 через пять лет после их попадания в
почву снижается в 3 – 4 раза [18 , 41].
Таким образом, миграция
радионуклидов во многом зависит от типа почвы, её механического состава,
водно-физических и агрохимических свойств. Так на сорбцию радиоизотопов влияют
многие факторы, и одним из основных являются механический и минералогический
состав почвы. Тяжёлыми по механическому составу почвами поглощённые
радионуклиды, особенно цезий–137, закрепляются сильнее, чем лёгкими. Кроме того
эффект миграции радионуклидов зависит от метеорологических условий (количества
осадков).
Накопление (вынос)
радионуклидов сельскохозяйственными растениями во многом зависит от свойства
почвы и биологической способности растений.
Радиоактивные вещества,
попадающие в атмосферу, в конечном счете, концентрируются в почве. Через
несколько лет после радиоактивных выпадений на земную поверхность поступления радионуклидов
в растения из почвы становится основным путём попадания их в пищу человека и
корм животным. При аварийных ситуациях, как показала авария на Чернобыльской
АЭС, уже на второй год после выпадений основной путь попадания радиоактивных
веществ в пищевые цепи - поступление радионуклидов из почвы в растения.
Радиоактивные вещества,
попадающие в почву, могут из неё частично вымываться и попадать в грунтовые
воды. Однако почва довольно прочно удерживает попадающие в неё радиоактивные
вещества. Поглощение радионуклидов обуславливает очень длительное (в течение
десятилетий) их нахождение в почвенном покрове и непрекращающееся поступления в
сельскохозяйственную продукцию. Почва как основной компонент агроценоза
оказывает определяющее влияние на интенсивность включения радиоактивных веществ
в кормовые и пищевые цепи.
Поглощение почвами
радионуклидов препятствует их передвижению по профилю почв, проникновению в
грунтовые воды и в конечном счёте определят их аккумуляцию в верхних почвенных
горизонтах.
Механизм усвоения
радионуклидов корнями растений сходен с поглощением основных питательных
веществ – макро и микроэлементов. Определённое сходство наблюдается в
поглощении растениями и передвижения по ним стронция – 90 и цезия – 137 и их
химических аналогов – кальция и калия, поэтому содержание данных радионуклидов
в биологических объектах иногда выражают по отношению к их химическим аналогам,
в так называемых стронциевых и цезиевых единицах.
Радионуклиды Ru–106,
Ce–144, Co–60 концентрируются преимущественно в корневой системе и в
незначительных количествах передвигаются в назёмные органы растений. В отличие
от них стронций–90 и цезий–137 в относительно больших количествах накапливаются
в наземной части растений [19 , 33].
Радионуклиды, поступившие
в подземную часть растений, в основном концентрируются в соломе (листья и
стебли), меньше – в мягкие (колосья, метёлки без зерна. Некоторые исключения из
этой из этой закономерности составляет цезий, относительное содержание которого
в семенах может достигать 10 % и выше общего количества его в надземной части.
Цезий интенсивно передвигается по растению и относительно в больших количествах
накапливается в молодых органах, чем очевидно вызвана повышенная концентрация
его в зерне [20, 21].
В общем, накопление
радионуклидов и их содержание на единицу массы сухого вещества в процессе роста
растений наблюдается такая же закономерность, как и для биологически важных
элементов: с возрастом растений в их надземных органах увеличивается абсолютное
количество радионуклидов и снижается содержание на единицу массы сухого
вещества. По мере увеличения урожая, как правило, уменьшается содержание
радионуклидов на единицу массы.
Из кислых почв
радионуклиды поступают в растения в значительно больших количествах, чем из
почв слабокислых, нейтральных и слабощелочных. В кислых почвах повышается
подвижность стронция – 90 и цезия – 137 снижается прочность их растениями.
Внесение карбонатов кальция и калия или натрия в кислую дерново-подзолистую
почву в количествах, эквивалентных гидролической кислотности, снижает размеры
накопления долгоживущих радионуклидов стронция и цезия в урожае.
Существует тесная
обратная зависимость накопления стронция–90 в растениях от содержания в почве
обменного кальция (поступление стронция уменьшается с увеличением содержания
обменного кальция в почве).
Следовательно, зависимость
поступления стронция–90 и цезия–137 из почвы в растения довольно сложная, и не
всегда её можно установить по какому-либо одному из свойств, в разных почвах
необходимо учитывать комплекс показателей.
Пути миграции
радионуклидов в организм человека различны. Значительная их доля поступает в
организм человека по пищевой цепи: почва – растения – сельскохозяйственные
животные – продукция животноводства – человек. В принципе радионуклиды могут
поступать в организм животных через органы дыхания, желудочно-кишечный тракт и
поверхность кожи. Если в период
радиоактивных выпадений
крупных рогатый скот находится на пастбище, то поступление радионуклидов может
составить (в относительных единицах): через пищеварительный канал 1000, органы
дыхания 1, кожу 0,0001. Следовательно, в условиях радиоактивных выпадений
основное внимание должно быть обращено на максимально возможное снижение
поступления радионуклидов в организм сельскохозяйственных животных через
желудочно-кишечный тракт.
Так как радионуклиды,
поступая в организм животных и человека, могут накапливаться и, оказывая
неблагоприятное воздействие на здоровье и генофонд человека необходимо
проводить мероприятия, снижающие поступление радионуклидов в сельскохозяйственные
растения, снижение накопления радиоактивных веществ в организмах
сельскохозяйственных животных.
1.3 Особенности миграции
стронция-90 в окружающую среду
Радионуклид 90Sr
характеризуется большей подвижностью в почвах по сравнению с 137Сs.
Поглощение 90Sr в почвах в основном обусловлено ионным обменом.
Большая часть задерживается в верхних горизонтах. Скорость миграции его по
почвенному профилю зависит от физико-химических и минералогических особенностей
почвы.
При наличии в почвенном
профиле перегнойного горизонта, расположенного под слоем подстилки или дернины,
90Sr концентрируется в этом горизонте. В таких почвах, как
дерново-подзолистая песчаная, перегнойно-торфянисто-глеевая суглинистая на
песке, черноземно-луговая оподзоленная, выщелоченный чернозем, наблюдается
некоторое увеличение содержания радионуклида в верхней части иллювиального
горизонта.
В засоленных почвах
появляется второй максимум, что связано с меньшей растворимостью сульфата
стронция и его подвижностью. В верхнем горизонте он задерживается в солевой
корке. Концентрирование в перегнойном горизонте объясняется высоким содержанием
гумуса, большой величиной емкости поглощения катионов и образованием
малоподвижных соединений с органическим веществом почв.
В модельных экспериментах
при внесении 90Sr в разные почвы, помещенные в вегетационные сосуды,
было установлено, что скорость его миграции в условиях опыта возрастает с
увеличением содержания обменного кальция. Повышение миграционной способности 90Sr
в почвенном профиле при увеличении содержания кальция наблюдалось и в полевых
условиях. Миграция стронция-90 возрастает также с увеличением кислотности и
содержания органического вещества [21 , 49].
В миграции 90Sr большую
роль играет лесная растительность. В период интенсивных радиоактивных выпадений
деревья выполняют роль экрана, на котором осаждались радиоактивные аэрозоли.
Задержанные поверхностью листьев и хвои радионуклиды поступают на поверхность
почвы с опавшими листьями и хвоей. Особенности лесной подстилки оказывают
существенное влияние на содержание и распределение стронция-90. В лиственных
подстилках содержание 90Sr постепенно падает от верхнего слоя к
нижнему, в хвойных происходит значительное накопление радионуклида в нижней
гумусированной части подстилки.
(2)
Таблица 2 – Образование
стронция 90
|
Радионуклид
|
Еb
макс, МэВ
|
Еb
ср, МэВ
|
Vb
,
|
|
90Sr
|
0,545
|
0,196
|
100
|
|
90Y
|
2,27
|
0,935
|
100
|
При делении 235U
и 239Pu тепловыми нейтронами в реакторе 90Sr образуется
с выходами 5,77 и 2,25 %. Значительные количества 90Sr (7,4 · 1017
Бк) были выброшены в атмосферу при испытаниях ядерного оружия в 1945–1980 гг. [22
,64 ].
При выбросах большая
часть радионуклидов попадает в стратосферу (слой атмосферы, лежащий на высоте
10–50 км) и остается там в течение многих месяцев, медленно опускаясь и
рассеиваясь по всей поверхности земного шара. Период полураспада 89Sr
составляет 50,5 сут., и он, попав в стратосферу при ядерных взрывах, в основном
там и распадается, не представляя такой большой радиационной опасности для
землян, как 90Sr и 137Сs, которые, выпадая, загрязняют
поверхность Земли на многие годы.
С другой стороны, при
авариях на ядерных реакторах, таких, как на Чернобыльской АЭС, когда
накопленная равновесная активность 89Sr в 10 раз превышает
активность 90Sr, который из-за своего большого периода полураспада
не успевает накопиться за 2–3 года работы реактора, ситуация меняется. Сразу
после аварии на Чернобыльской АЭС активность выброшенных короткоживущих
радионуклидов 89Sr была во много раз выше, чем 90Sr или 137Cs
[23 , 89].
После испытаний ядерного
оружия радиоактивные осадки состоят в основном из водорастворимых и способных к
ионному обмену форм 90Sr, в то же время после аварии на
Чернобыльской АЭС 90Sr нередко осаждался в формах устойчивых
соединений.
При работе АЭС 90Sr,
как и 137Cs, выброшенный в окружающую среду, в конечном итоге
накапливается или в верхних слоях почвы в наземных системах, или в донных
осадках природных водных резервуаров. При этом стронций мигрирует на очень
малые расстояния, например на 1 см за несколько лет.
Проведенные в конце
1980-х гг. исследования невспаханных участков в Кыштыме, загрязненных в 1957 г.
90Sr и другими радионуклидами при взрыве отходов, показали, что 90Sr
за этот период времени достиг глубины 15 см, и это означает, что скорость его
миграции составила 0,5 см/г. Из почвы через корневую систему 90Sr
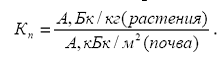
выносится в растения и входит в состав зерна, бобов, моркови и других
продуктов. Этот вынос определяется коэффициентом переноса (КП), который зависит
от вида почв и рН среды.
С целью уменьшения выноса
90Sr из почвы в растения применяют вспашку почвы и внесение
удобрений [24 ,12 ].
Наиболее эффективна
глубокая вспашка, приводящая к погребению активности ниже того слоя, в котором
находятся корни растений. В районах Южного Урала, загрязненных 90Sr
после аварии в Кыштыме, были получены хорошие результаты при вспашке на глубину
50 см. Из данных таблицы следует, что действенной мерой, наряду с внесением с
удобрениями N, P и К, является известкование почвы.
Таблица 3 - Некоторые
характерные значения КП 90Sr из почвы в растение (Бк · кг–1 сухой
культуры/Бк · кг–1 сухой почвы) (Пояснение. КП приводится для
верхнего слоя глубиной 20 см, а значения для трав даны для верхнего слоя почвы
глубиной 10 см)
|
Культура
|
Часть растения
|
Значение КП
|
|
1
|
2
|
3
|
|
Зерновые
|
Зерно
|
0,13
|
|
Фуражные
|
Масса
|
0,95
|
|
Травы
|
Масса
|
1,3
|
|
Бобы
|
Боб
|
1,2
|
|
Морковь
|
Корнеплод
|
0,46
|
|
Картофель
|
Клубень
|
0,17
|
|
Зеленые овощи
|
Масса
|
2,3
|
Таблица 4 - Влияние
сельскохозяйственных контрмер на поглощение 90Sr луговыми растениями
в окрестностях Гомеля (Белоруссия)
|
Контрмеры
|
кБк/кг сырой массы травостоя
|
|
1-й укос 1988 г.
|
1-й укос 1989 г.
|
1-й укос 1990 г.
|
|
Контрольные значения
|
9,25
|
3,33
|
2,33
|
|
Вспашка, внесение N, P, K
|
2,41
|
1,66
|
0,33
|
|
Вспашка, внесение N, P, K + цеолит (10 000 кг/га)
|
1,37
|
0,70
|
0,33
|
|
Вспашка, внесение N, P, K + фосфоритный гипс (5000 кг/га)
|
2,55
|
1,48
|
1,04
|
|
Вспашка, внесение N, P, K + известь (5000 кг/га)
|
1,3
|
0,67
|
0,56
|
Радиоактивный стронций
поступает в организм человека через ЖКТ, легкие и кожу. Растворимые соединения
стронция хорошо всасываются из ЖКТ, величина резорбции — 0,1–0,6, и резорбция
составляет менее 0,01 для плохо растворимых соединений. Стронций быстро
всасывается из легких. Через 5 мин после интратрахеального введения в количестве
1,48 · 104 Бк/г в легких остается 33,3 % введенного количества,
через сутки — 0,39 %. При нанесении изотопов стронция на кожу в количестве 2,4
· 105 Бк/см2 фиксация активности происходит сразу же
после загрязнения кожной поверхности [25, 31].
При резорбции стронция из
ЖКТ важное значение имеют диета, химическое соединение радионуклида и физиологические
факторы (возраст, лактация и беременность, состояние минерального обмена,
нервной и эндокринной систем). Величина всасывания радионуклида из ЖКТ уменьшается
с увеличением возраста, с повышением содержания кальция и фосфора в диете, при
введении высоких доз тироксина. Прием альгината натрия за 20 мин до введения
стронция понижает его содержание в крови в 8–10 раз, а лактоза, лизин и
аргинин, наоборот, удваивают величину всасывания стронция из ЖКТ.
Независимо от пути и
периодичности поступления в организм растворимых соединений радиоактивного
стронция, он избирательно накапливается в скелете, а в мягких тканях
задерживается менее 1 %. После внутривенного введения радиоактивного стронция в
организм человека через 100 суток в нем останется 20 % от введенного
количества, в то время как у обезьян — 47 %, а у кроликов — 7,5 %. Доля
отложений стронция в скелете зависит от пути его поступления. При интратрахеальном
поступлении депонируется 76 %, ингаляционном — 31,6 %, внутрибрюшном — 81,2 % и
накожном — всего 7 [26 , 44].
В экспериментах на
животных установлено, что при внутримышечном или пероральном введении
радиоактивного стронция самкам в разные сроки беременности большая часть
(50–70) его откладывалась в плодах в последние дни беременности. Распределение
радиоактивного стронция в разных частях одной и той же кости и в разных костях
неравномерное. Стронций откладывается в участках костей, обладающих наибольшей
зоной роста, где происходит усиленное образование кости.
Учитывая функцию
удержания и выведения и 90Sr через почки, Абрамов и Голутвина
рассчитали дозу от этих радионуклидов на поверхности кости при однократном и
хроническом введении радионуклидов в количестве 37 кБк/сут. Из таблицы видно,
что при однократном введении радионуклидов стронция суммарная доза от 89Sr
по прошествии нескольких периодов полураспада этого нуклида практически не
возрастает, а доза от 90Sr, обусловленная суммой малых констант распада
и биологического выведения, непрерывно увеличивается.
Таблица 5- Оцененная доза на поверхности кости при однократном и
хроническом введении в организм радионуклидов 89Sr и 90Sr
в количестве 37 кБк/сут.
|
Время после введения, сут.
|
Доза от 89Sr, мЗв
|
Доза от 90Sr, мЗв
|
|
Однократное введение
|
|
10
|
0,16
|
0,3
|
|
50
|
0,43
|
1,2
|
|
100
|
0,60
|
2,2
|
|
1000
|
0,70
|
13,0
|
|
10000
|
0,70
|
41,0
|
|
Хроническое введение
|
|
10
|
0,9
|
1,8
|
|
50
|
14,0
|
33,0
|
|
100
|
40,0
|
110,0
|
|
1000
|
650,0
|
7000,0
|
Предложена возрастная
модель отложения стронция и других щелочноземельных элементов в кости человека
во всем возрастном диапазоне, начиная с рождения. Показано, что ожидаемые
эквивалентные дозы для костного мозга при поступлении 90Sr в первые
месяцы после рождения на порядок выше, чем при поступлении в организм взрослого
человека.
Выведение стронция из
организма человека и животных происходит как с калом, так и с мочой. При
пероральном поступлении большая часть стронция выделяется с калом. За 8 суток
суммарное выделение 89Sr составляет 77,9 %, из них 5 % с мочой.
Установлено несколько
периодов полувыведения 90Sr из организма. Короткий период
полувыведения (2,5–8,5 сут.) характеризует выведение стронция из мягких тканей,
длинный период (90–154 сут.) — преимущественно из костей. При длительном
пероральном или парэнтеральном введении в организм 90Sr период
полувыведения из скелета значительно увеличивается, а начальный короткий период
полувыведения отсутствует или очень мал. У человека и животных после
однократного перорального поступления радионуклидов стронция с молоком во время
лактации выделяется от 0,04 до 4 % на 1 л молока от введенного радионуклида;
при хроническом поступлении 90Sr в организм с молоком выделяется
0,05–6,3 % на 1 л по отношению к дневной норме [27 , 44].
Введение остроэффективных
количеств 90Sr вызывает развитие типичной острой лучевой патологии.
Возникают выраженные изменения со стороны периферической крови: лейкопения,
лимфопения, нейтропения, ретикулопения. Наблюдаются изменения красной крови,
ускорение реакции оседания эритроцитов, замедление свертывания крови и
увеличение объема плазмы.
У собак, получавших с
пищей ежедневно 0,74 кБк/кг 90Sr в течение 3–3,5 лет, выявлены
нарушения в углеводном обмене, изменения секреторной и экскреторной функций
печени и почек. Меньшие количества 90Sr (0,675 кБк/кг) к
существенным функциональным изменениям в их организме не привели, однако за
9–13 лет из подопытной группы погибло 80 % собак, а из контрольной — 11 % [28 ,
51].
Длительное введение
собакам 90Sr с пищей (0,74–0,074 кБк/кг) и накопление суммарной
поглощенной дозы в скелете до 3,6–9,0 Гр приводит к учащению возникновения у
них доброкачественных и злокачественных опухолей мягких тканей (в 3–5 раз чаще
по сравнению с контрольными животными). Хроническое введение этим животным 90Sr
(по 0,74 кБк/кг в сутки в течение 3 лет), создающее мощность тканевой дозы в
скелете до 1,5 Гр/г., может вызвать развитие лейкозов и остеосарком. При
хроническом введении в 10 раз меньших количеств этого радионуклида (поглощенная
доза в скелете до 0,5 Гр/г.) наблюдаются нарушения в развитии потомства и
понижение его жизнеспособности [29, 66].
Радиоактивность 90Sr
определяют по дочернему 90Y, который осаждается в виде оксалатов. Из
продуктов питания 90Y выделяют экстракцией моноизооктиловым эфиром
метилфосфоновой кислоты. Из золы костной ткани 90Y экстрагируют
трибутилфосфатом. Активность измеряют на низкофонной установке. Определение 89Sr
в пищевых продуктах, растительности и костной ткани основано на осаждении
стронция дымящей азотной кислотой с последующим измерением активности. При
попадании радиоактивных изотопов стронция на открытые участки кожи дезактивацию
проводят 5%-м раствором пентацина, 5%-м раствором Na2(ЭДТА) или 2%-м
раствором соляной кислоты, а также моющими порошками. При попадании радионуклидов
стронция через ЖКТ принимают внутрь препарат «Адсорбар» или сернокислый барий
(25 г с 200 мл воды), альгинат натрия или кальция (15 г с 200 мл воды) или
препарат «Полисурьмин» (4 г с 200 мл воды). Применяют рвотные средства и
проводят обильное промывание желудка. После очищения желудка осуществляют
повторное введение адсорбентов с солевыми слабительными. В случае поражения
пылевыми продуктами проводят обильное промывание носоглотки и полости рта,
используют отхаркивающие, а также мочегонные средства.
В соответствии с НРБ-99 допустимая
концентрация 90Sr в воздухе рабочих помещений примерно в 24 раза
ниже, чем 89Sr, что указывает на его исключительную радиационную
опасность. Для населения допустимая концентрация 90Sr в атмосферном
воздухе регламентируется (НРБ-99) величиной, равной 2,7 Бк/м3, что
находится за пределами чувствительности большинства методов выделения и
измерения радиоактивности этого радионуклида.
Таблица 6- ПГП, e , ДОА в воздухе рабочих помещений в зависимости от химических
соединений и ядерно-физических свойств радионуклидов 89Sr и 90Sr,
МЗУА и МЗА этих изотопов на рабочем месте
|
Радионуклид
|
Т1/2
|
Тип химического соединения
|
, Зв/Бк
|
, Бк/г.
|
, Бк/м3
|
МЗУА, Бк/г
|
МЗА, Бк
|
|
89Sr
|
50,5 сут.
|
SrTiO3
|
7,5 · 10–9
|
2,7 · 106
|
1,1 · 103
|
103
|
106
|
|
Иные соединения
|
1,0 · 10–9
|
2,0 · 107
|
8,0 · 103
|
|
90Sr
|
29,1 лет
|
SrTiO3
|
1,5 · 10–7
|
1,5 · 105
|
53
|
102
|
104
|
|
Иные соединения
|
2,4 · 10–8
|
8,3 · 105
|
3,3 · 102
|
Таблица 7- ДОА в воздухе,
e , ПГП с воздухом, водой и пищей радионуклидов 89Sr и 90Sr
и УВ при его поступлении с водой для населения
|
Радионуклид
|
Т1/2
|
,
Зв/Бк
|
,
Бк/г.
|
,
Бк/м3
|
,
Зв/Бк
|
,
Бк/г.
|
, Бк/кг
|
|
89Sr
|
50,5 сут.
|
7,3 • 10–9
|
1,4 • 105
|
19
|
1,8 • 10–8
|
5,8 • 104
|
53
|
|
90Sr
|
29,1 лет
|
5,0 • 10–8
|
2,0 • 104
|
2,7
|
8,0 • 10–8
|
1,3 • 104
|
5,0
|
Исследованиями установлено,
что 80-90% радионуклидов сосредоточено в активной зоне расположения основной
массы корней сельскохозяйственных культур. На необрабатываемых после
чернобыльской катастрофы землях практически все радионуклиды находятся в верхней
части (до 10-15 см) гумусовых горизонтов, а на пахотных почвах радионуклиды
распределены сравнительно равномерно по всей глубине обрабатываемого слоя. Расчеты
показывают, что в ближайшей перспективе самоочищение корнеобитаемого слоя
загрязненных почв за счет вертикальной миграции радионуклидов будет
незначительным [30 , 21].
Вместе с тем наблюдаются процессы
локального вторичного загрязнения почв сельскохозяйственных угодий за счет
горизонтальной миграции радионуклидов вследствие ветровой и водной эрозии. Содержание
цезия-137 в пахотном горизонте различных элементов рельефа склоновых земель в результате
водной эрозии на посевах однолетних культур за девять лет перераспределилось до
1,5-3,0 раз.
Увеличение плотности
загрязнения почв цезием-137 в зоне аккумуляции (нижние части склонов и понижения)
по сравнению с зоной смыва составило в среднем от 13% при ежегодном смыве почвы
менее 5 т/га до 75% - при смыве 12-20 т/га. На бессменных посевах многолетних
трав твердого стока не наблюдалось и достоверных различий в плотности
загрязнения почв по элементам склонов не установлено. В результате ветровой эрозии
осушенных торфяно-болотных и песчаных почв, используемых под посев однолетних культур,
локальные различия в плотности загрязнения пахотного горизонта радиоцезием достигали
1,5-2,0 раз. Это подчеркивает необходимость защиты почв от водной и ветровой эрозии,
что обеспечивает также снижение потерь гумусового слоя и уменьшает вероятность загрязнения
продукции на локальных участках угодий.
Доступность растениям цезия-137
в почве со временем снижается вследствие его перехода в необменно-поглощенное состояние,
а подвижность стронция-90 остается высокой и имеет тенденцию к повышению. Основное
количество цезия-137 (70-84%) находится в прочносвязанной форме. Для стронция-90,
наоборот, характерно преобладание легкодоступных для растений водорастворимой и
обменной форм, которые в сумме составляют 53-87% от валового содержания.
Отмеченные изменения обусловили
разную биологическую доступность указаниях радионуклидов. Анализ большого массива
экспериментальных данных показал, что коэффициенты перехода (Кп) для цезия-137
в основные сельскохозяйственные культуры по сравнению с 1991 годом снизились в
среднем в 1,5 раза и до 4 раз - по сравнению с 1987 г.. Для стронция-90 наблюдается
устойчивая тенденция к повышению его перехода из почвы в растения. [31 , 39].
Установлено, что на
кислых, малогумусированных почвах доля подвижных форм радионуклидов выше, чем на
высокоплодородных. Поэтому по-прежнему целесообразны агрохимические меры, направленные
на повышение плодородия почв, увеличение их емкости поглощения и снижение подвижности
радионуклидов в почвенном комплексе.
Содержание радионуклидов в
сельскохозяйственной продукции зависит как от плотности загрязнения, так и типа
почв, их гранулометрического состава и агрохимических свойств, а также
биологических особенностей возделываемых культур.
Показатели почвенного плодородия
оказывают существенное влияние на накопление радионуклидов всеми сельскохозяйственными
культурами, особенно многолетними травами.
При повышении содержания
физической глины в почве от 5 до 30%, содержания гумуса от 1 до 3,5% переход
радионуклидов в растения снижается в 1,5-2 раза, а по мере повышения содержания
в почве подвижных форм калия и фосфора от низкого (менее 100 мг К2О на кг
почвы) до оптимального (200-300 мг/кг) и изменения реакции почв от кислого
интервала (рН 4,5-5,0) к нейтральному (рН6,5-7,0) - в 2-3 раза. Минимальный
переход цезия-137 и стронция-90 в растения наблюдается на почвах с оптимальными
параметрами агрохимических свойств [32 , 41].
Еще большее влияние на накопление
радионуклидов в сельскохозяйственной продукции оказывает режим увлажнения почв.
Установлено, что переход радиоцезия в многолетние травы повышается в 10-27 раз
на дерново-глеевых и дерново-подзолисто-глеевых почвах по сравнению с автоморфными
и временно-избыточно увлажняемыми разновидностями этих почв. Исследованиями БелНИИ
мелиорации и луговодства установлено, что минимальное накопление цезия-137 в
многолетних травах обеспечивается при поддержании уровня грунтовых вод на глубине
90-120 см от поверхности осушенных торфяных и торфяно-глеевых почв.
Установленные в исследованиях
закономерности подтверждены практикой. На переувлажненных песчаных и торфяных
почвах, например, в Наровлянском и Лельчицком районах Гомельской области,
Столинском и Лунинецком районах Брестской области высокая степень загрязнения
травяных кормов и молока наблюдается даже при относительно низких плотностях
загрязнения цезием-137 (2-5 Ки/кв.км) и стронцием-90 (0,3-1,0 Ки/кв.км). В то же
время на окультуренных участках дерново-подзолистых суглинистых почв продукция с
допустимым содержанием радионуклидов может быть получена при плотности
загрязнения цезием-137 до 20-30 Ки/кв.км [33 ,19 ].
Очевидно, что плотность
загрязнения почв сельскохозяйственных угодий радионуклидами не может однозначно
отражать уровень загрязнения выращиваемой сельскохозяйственной продукции и в
настоящее время для разработки эффективных защитных мероприятий необходим учет
основных свойств почв каждого поля.
2. Характеристика
Семипалатинского ядерного полигона, находящегося на территории Павлодарской
области
Бывший Семипалатинский
испытательный ядерный полигон (СИЯП) расположен в северо-восточной части
Казахстана, в степной и полупустынной зоне, с общей площадью 18500 кв. км.
Полигон занимает площади Восточно-Казахстанской (54%), Павлодарской (39%) и
Карагандинской (7%) областей. Периметр административной границы СИЯП - около
600 км [34 ,88 ].
Постановлением
Правительства Республики Казахстан № 172 от 07.02.1996 года земли бывшего
Семипалатинского испытательного ядерного полигона переведены в состав земель
запаса: Карагандинской области – 131,7 тыс.га, Павлодарской – 706 тыс.га,
Восточно-Казахстанской – 978,9 тыс.га.
Одной из первых задач в
комплексе мер по организации проведения ядерных испытаний был выбор места для
испытательного полигона. В Советском Союзе наиболее значимые военные полигоны
размещались в Казахстане. Лучшего места в геофизическом отношении просто не
возможно было найти. Так, в Казахской ССР 40% от общей ее площади составляли
пустыни, 23% - полупустыни, 20% - степи, 7% - лесостепи и 10% - горы. Поэтому,
естественно, на этот регион было обращено особое внимание.
Главное требование,
которым руководствовались при выборе места для строительства испытательного
ядерного полигона, заключалось в том, чтобы район был практически безлюдный,
без сельскохозяйственных угодий и обширный по площади. Кроме того, этот район
должен был иметь поблизости хотя бы минимум транспортных артерий, а также
возможность обустройства на его территории местной взлетно-посадочной полосы
для приема транспортных самолетов, поскольку предстояло кроме перевозки
большого количества грузов наладить постоянно действующую оперативную связь. По
предварительным расчетам диаметр необходимой для полигона территории должен был
составлять не менее 200 км. После долгих поисков, с учетом главного требования,
такой район был найден в степях Семипалатинской области Казахстана [35 , 61].
Место для ядерного
полигона было выбрано в прииртышской степи, примерно в 140 км западнее г.
Семипалатинска. Этот район Казахской ССР представлял и представляет в настоящее
время безводную степь с редкими заброшенными и пересохшими колодцами.
Юго-западная часть района является низкогорьем, на котором расположены горные
массивы, расчлененные долинами и распадами. В восточной части района находится
долина реки Чаган – левый приток реки Иртыш. В этой части расположены
пересыхающие летом соленые мелководные озера.
Климат района
континентальный. Главные его особенности – это засушливость с малоснежной
холодной зимой и сравнительно коротким и жарким летом. Атмосферных осадков
выпадает мало. Часто дуют сильные ветры. Зимой температура воздуха достигает –
400С, летом – превышает +300С. годовое количество осадков колеблется в пределах
200 – 300 мм, большая их часть выпадает летом. Высота снежного покрова 100 –
200 мм обусловливает незначительное количество талых вод и глубокое промерзание
почвы (до 1,5 – 2 м). Зимой и осенью преобладают ветра юго-восточного
направления со средней скоростью 4 – 5 м/с; для лета характерны ветра северного
направления, бывают пыльные бури. В районе возможны частые перемены направления
и скорости ветра, причем даже в течение одного дня [36 , 99].
Главной рекой района
является р. Иртыш – крупнейший приток Оби, одна из важнейших судоходных рек
Казахстана. Вторая по величине река района – левый приток Иртыша, река Чаган. Однако
это река маловодная, ее ширина достигает 10 м на плесах, глубина до 2 м, вода в
реке соленая, в наиболее засушливые годы пересыхает в конце лета. Все остальные
небольшие реки – маловодны и летом практически полностью пересыхают.
В экономическом отношении
район был развит довольно слабо. Населенные пункты, расположенные главным
образом по долинам рек Иртыш и Чаган, были небольшие, сельского типа.
Практически пустовавшая степь традиционно использовалась местными жителями,
преимущественно казахами-кочевниками, для выпаса скота. По территории района
были разбросаны временные летники и зимники. Площадка, которой предстояло стать
испытательным комплексом полигона, представляла собой равнину диаметром
примерно 20 км, окруженную с трех сторон – южной, западной и северной –
невысокими горами. На востоке этой своеобразной долины находились небольшие
холмы. Когда-то, в глубине веков, эта равнина была дном моря. К концу 40-х
годов рядом с тем местом, которое стало Опытным полем полигона, осталось
усыхавшее озеро с очень соленой водой.
На этой равнине в 1947
году было начато строительство испытательного ядерного полигона.
Испытательные площадки
для проведения подземных ядерных взрывов
Подземные ядерные
испытания с 11.10.1961 г. по 19.10.1989 г. проводились в основном на трех
рабочих площадках полигона:
- площадка «Г» («Дегелен»). Ее общая
площадь в границах горного массива Дегелен составляла 33100 га. Площадка
использовалась для проведения подземных взрывов в штольнях (горизонтальных
горных выработках);
- площадка «Б» («Балапан»), общая
площадь которой была равна примерно 100000 га. Эта площадка использовалась для
проведения подземных взрывов в скважинах;
- площадка «С» («Сары-Узень» и «Муржик»)
- вспомогательная площадка для проведения подземных взрывов в скважинах [37 ,44
].
Схема расположения этих
площадок на полигоне приведена на рисунке
Горный массив «Дегелен»
использовался для испытаний в штольнях ядерных зарядов относительно небольшой
мощности. Основной задачей этих испытаний являлось проведение облучательских
экспериментов для решения вопросов материаловедения, определения радиационной
стойкости материалов, изучения вопросов взаимодействия излучений с веществом,
проверки работоспособности различных узлов специальных изделий.
Этот массив, в
соответствии с проработками проектных институтов, обладал потенциальной
возможностью проходки 180-200 штолен. Местоположение штолен представлено на
рисунке 1. Последнее испытание на площадке «Дегелен» было проведено 04.10.1989
г. в штольне 169/2.
Рисунок 1 – Схема
размещения испытательных площадок Семипалатинского полигона, предназначенных
для проведения подземных ядерных испытаний
Научно-административным
центром проведения подземных ядерных испытаний в штольнях горного массива
«Дегелен» была площадка «Г», на которой размещались штабные помещения,
производственные подразделения, гостиницы, казармы и т.д.
Горный массив Дегелен -
это куполовидное поднятие размером в диаметре 17-18 км. Абсолютные вершины
имеют различные формы: от острых гребневидных до круглых и плоских. Склоны
изрезанны многочисленными распадками, в днищах которых часто наблюдаются русла
временных водотоков. В геологическом отношении этот массив представляет собой
крупный гранитный батолит. Гранитные породы распространены на 75-80% территории
площадки Дегелен [38 ,54 ].
Рисунок 2 – Схема
размещения штолен в горном массиве Дегелен (площадка «Г»
Условные обозначения: -(
- портал штольни; ї - полость взрыва
Подземные воды находятся
в зоне интенсивного выветривания скальных пород и, частично, в рыхлых
отложениях четвертичного периода. Подземные воды в пределах всей площадки
пресные и могут служить источником местного водоснабжения. Горный массив
прорезан относительно неширокими долинами, имеющими сток воды в различных
направлениях. Наибольшую площадь водосбора имеет долина ручья Узынбулак,
текущего в юго-восточном направлении. В горах Дегелен берут начало
поверхностные водные системы ручья Карабулак, имеющего сток преимущественно в
северном направлении. В южном направлении текут ручьи Байтлес и Тахтакушук.
В гидрогеологическом
отношении массив Дегелен представляет собой зону транзита атмосферных осадков,
которые, просачиваясь по системе сопряженных трещин, образуют трещинные воды.
Разломы субширотного и северного направлений способствуют наибольшему притоку
подземных вод в штольни, достигающему 60 л/мин.
Площадка «Балапан»,
которая располагалась на левом берегу реки Чаган, была предназначена для
проведения в скважинах ядерных взрывов мощностью до 100-200 кт. На этой
площадке можно было подготовить большое количество боевых скважин при средней
плотности одна скважина на 1 км2. Использовано было более 100 скважин,
последний взрыв в одной из них был произведен 19.10.1989 г. перед закрытием
полигона [39 , 11].
Испытательная площадка
«Балапан» была расположена в среднем течении реки Чаган, занимала ее долину,
древние ложбины и частично мелкосопочник. Рельеф площадки равнинный, плоский с
общим незначительным уклоном на северо-восток. Преобладающие абсолютные отметки
поверхности не превышают 300-330 м.
Горные породы
представлены прослоями песчаников и алевритов, а также углисто-глинистых
сланцев. Ниже залегают песчаники, алевриты, глинистые и углисто-глинистые
сланцы с прослоями углей мощностью до 2 м. Гидрогеологические условия площадки
характеризуются повсеместным развитием горизонта трещинных вод в зоне
выветривания, глубина которой составляет 50-100 м. Ниже зоны выветривания
подземные воды имеют распространение лишь в местах тектонических нарушений.
Глубина залегания подземных вод обычно равна 5-15 м.
На площадке «Балапан» за
все время подготовки и проведения испытаний было пройдено 118 скважин
(вертикальных горных выработок), 10 из которых остались неиспользованными.
Наиболее высокая плотность бурения скважин была в восточной и юго-восточной
частях площадки.
В 1965 г. на этой
площадке в месте слияния рек Чаган и Ащи-Су в результате выброса грунта при
подземном ядерном взрыве мощностью 140 кт ТЭ было образовано искусственное водохранилище,
названное местным населением «Атомное озеро» [40 , 33].
Рядом с площадкой
«Балапан» и реакторным комплексом «Байкал» эксплуатируется угольное
месторождение «Каражыра». Скважины, в которых проводились ядерные взрывы,
находились на расстоянии 1-3 км от угольного месторождения, поэтому какой-либо
опасности для угленосной структуры представлять не могли.
Следует отметить, что
ядерные взрывы в скважинах оказали некоторое воздействие на формы рельефа
земной коры. Вокруг большинства скважин образовались кольцевые структуры
интенсивного коробления и другие деформации земной поверхности. В приустьевой
части большинства скважин появились воронки проседания диаметром 10-30 м и
глубиной до нескольких метров. На дне воронок, как правило, возникли небольшие
озера с камышовыми зарослями. Наблюдаются также изменения фильтрационных
характеристик водоносных горизонтов и физических свойств горных пород.
Вспомогательная площадка
«Сары-Узень» в урочище Муржик, где были пройдены 22 скважины, имеет такие же
геологические характеристики, как и площадка «Балапан». Сходными являются и
гидрогеологические условия. В скважинах площадки «Сары-Узень» было проведено 21
подземное ядерное испытание.
Результаты изучения
последствий проведения испытаний ядерного оружия на Семипалатинском полигоне
имеют не только военно-научное, но и важное социально-политическое значение. В
ходе ядерных испытаний на этом полигоне реализовывались не только программы по
созданию и испытанию различных типов ядерного оружия, а также программы по изучению
поражающего действия этого вида оружия и способов защиты от него. На полигоне
из 32 наземных ядерных взрывов, произведенных Советским Союзом, было
осуществлено 30, после которых на местности сформировались локальные
радиоактивные следы с относительно высокой степенью загрязнения объектов
окружающей среды биологически опасными радионуклидами. Это стало поводом для
обращения Президента Республики Казахстан Н.А. Назарбаева к мировой
общественности с просьбой об оказании помощи в ликвидации ущерба, нанесенного
деятельностью полигона населению и окружающей среде Казахстана. На 19-й сессии
Генеральной Ассамблеи ООН он сказал: «Казахстан предлагает материализовать
ответственность ядерных держав в виде международного фонда восстановления
здоровья людей и природы в районах, пострадавших от последствий ядерных
испытаний...» [41, 1].
Нельзя отрицать, что
испытания ядерного оружия на Семипалатинском полигоне стали причиной
радиоактивного загрязнения не только территории самого полигона, но и
территории за его пределами. Масштабы и степень такого загрязнения были
различны и, как свидетельствуют приведенные ниже данные, в значительной степени
зависели от вида и мощности ядерного взрыва.
В результате изучения
радиационной обстановки после проведения ядерных испытаний на полигоне было
установлено, что из всех видов взрывов (наземные, воздушные, подземные)
наиболее сильное радиоактивное загрязнение внешней среды как на территории
полигона, так и за ее пределами происходило после осуществления наземных
ядерных взрывов. Обобщенные данные о количестве ядерных испытаний и их
тротиловых эквивалентах, а также о количестве биологически опасных
радионуклидов, выброшенных в атмосферу, приведены в табл. 8.
Таблица 8 - Основные
характеристики ядерных испытаний, проведенных в 1949-1989 гг. на
Семипалатинском полигоне
|
Вид испытания
|
Количество испытаний (взрывов)
|
Тротиловый эквивалент, Мт
|
Количество радионуклидов, выброшенных в атмосферу в период
испытаний, МКи
|
|
Cs - 137
|
Sr - 90
|
Рu - 239,240
|
|
Наземные
|
30
|
0,6
|
0,056
|
0,035
|
0,006
|
|
Воздушные
|
86
|
6,0
|
0,200
|
0,120
|
0,020
|
|
Подземные
в том числе:
в штольнях,
в скважинах
|
340 (500)
212 (307)
128 (193)
|
11,1
|
0,020
|
0,010
|
0
|
|
ИТОГО
|
456 (616)
|
17,7
|
0,28
|
0,17
|
0,026
|
При подземных взрывах
количество испытаний не равно числу взорванных ядерных зарядов, т.к. в одном
испытании часто одновременно подрывалось несколько (до пяти) ядерных зарядов.
В общее количество
подземных ядерных испытаний включено 7 испытаний (9 взрывов), осуществленных в
интересах народного хозяйства для отработки технологических задач и самих
промышленных зарядов с минимальным энерговыделением за счет реакции деления (до
5 %).[42 ,33].
Анализ закономерностей
формирования радиоактивного загрязнения внешней среды после ядерных взрывов
различных видов показал, что распределение радиоактивных веществ в разных
средах при осуществлении воздушных и наземных взрывов значительно отличается.
Так, после наземных ядерных взрывов основная доля радиоактивных веществ
выпадает в районе воронки взрыва и на ближнем (локальном) следе, образуя
сильное радиоактивное загрязнение внешней среды и значительные дозы излучения
на местности. Радиоактивное загрязнение местности после воздушных и особенно
после высоких воздушных взрывов большой мощности связано главным образом с
полуглобальным и глобальным выпадением радиоактивных веществ практически на
всей территории Северного полушария Земли.В таблице 9 представлены параметры
всех произведенных на Семипалатинском полигоне наземных ядерных взрывов.
Таблица 9 - Хронология и
параметры наземных ядерных взрывов, осуществленных на Семипалатинском полигоне
|
№
п/п
|
Дата проведения
|
Энерговыде-
ление (ТЭ),
кт
|
Высота взрыва,м
|
Количество биологически значимых радионуклидов, выброшенных в
атмосферу, Ки
|
|
90Sr
|
137Сs
|
239,240Pu
|
|
1
|
29.08.1949 г.
|
22
|
30
|
1500
|
4200
|
360
|
|
2
|
24.09.1951 г.
|
38
|
30
|
2700
|
7500
|
300
|
|
3
|
12.08.1953 г.
|
400
|
30
|
22000
|
29000
|
280
|
|
4
|
05.10.1954 г.
|
4
|
0
|
300
|
840
|
105
|
|
5
|
19.10.1954 г.
|
0
|
15
|
0
|
0
|
215
|
|
6
|
30.10.1954 г.
|
10
|
50
|
750
|
2100
|
100
|
|
7
|
29.07.1955 г.
|
1.3
|
2.5
|
120
|
300
|
245
|
|
8
|
02.08.1955 г.
|
11.5
|
2.5
|
1050
|
1800
|
200
|
|
9
|
05.08.1955 г.
|
1.2
|
1.5
|
105
|
180
|
215
|
|
10
|
21.09.1955 г.
|
1.2
|
1.5
|
105
|
180
|
215
|
|
11
|
16.03.1956 г.
|
13.2
|
0.4
|
1600
|
2500
|
240
|
|
12
|
25.03.1956 г.
|
5.5
|
1
|
360
|
600
|
190
|
|
13
|
24.08.1956 г.
|
26.5
|
100
|
2200
|
3800
|
90
|
|
14
|
09.09.1961 г.
|
0.4
|
0
|
42
|
70
|
225
|
|
15
|
14.09.1961 г.
|
0.4
|
0
|
42
|
70
|
250
|
|
16
|
18.09.1961 г.
|
0.004
|
1
|
-
|
-
|
250
|
|
17
|
19.09.1961 г.
|
0.003
|
0
|
-
|
-
|
250
|
|
18
|
03.11.1961 г.
|
0
|
0
|
-
|
-
|
230
|
|
19
|
04.11.1961 г.
|
0.15
|
0
|
11
|
19
|
195
|
|
20
|
07.08.1962 г.
|
10
|
0
|
930
|
1600
|
200
|
|
21
|
22.09.1962 г.
|
0.2
|
0
|
17
|
29
|
280
|
|
22
|
25.09.1962 г.
|
7
|
0
|
650
|
1100
|
205
|
|
23
|
05.11.1962 г.
|
0.4
|
15
|
40
|
70
|
190
|
|
24
|
11.11.1962 г.
|
0.1
|
8
|
8
|
13
|
210
|
|
25
|
13.11.1962 г.
|
0
|
0
|
-
|
-
|
210
|
|
26
|
24.11.1962 г.
|
0
|
0
|
-
|
-
|
140
|
|
27
|
26.11.1962 г.
|
0.03
|
0
|
-
|
-
|
210
|
|
28
|
23.12.1962 г.
|
0
|
0
|
-
|
-
|
210
|
|
29
|
24.12.1962 г.
|
0.007
|
0
|
-
|
-
|
250
|
|
30
|
24.12.1962 г.
|
0.03
|
0
|
-
|
-
|
295
|
Примечание: 1 Ки =
3,7*1010 Бк (беккерелей)
К ядерным взрывам,
обусловившим наиболее значительное загрязнение внешней среды и дозы облучения
населения выше установленных пределов, следует отнести 4 наземных ядерных
взрыва, осуществленных 29.08.49 г., 24.09.51 г., 12.08.53 г. и 24.08.56 г. Это
были основные дозообразующие взрывы. Остальные имели либо очень малую мощность,
либо были проведены при метеоусловиях, приводящих к выпадению осадков,
локализованных на территории полигона. После каждого ядерного испытания
специалистами службы безопасности полигона производился дозиметрический
контроль дозы, используя воздушные и наземные средства измерения. На основе
данных, полученных в ходе таких радиационных разведок, прогнозировалась
радиационная обстановка в ближней и дальней зонах на следах ядерных взрывов и
проводились оценки доз внешнего и внутреннего облучения населения [43 , 42].
В 1959 г. сотрудниками
Института биофизики Минздрава СССР и организаций других ведомств были обобщены
все имеющиеся к тому времени материалы с результатами радиационных разведок и
составлен первый альбом следов радиоактивного загрязнения территорий,
прилегающих к Семипалатинскому полигону. К этому времени на полигоне было
осуществлено 12 наземных и 37 воздушных ЯВ. В период с 04.11.1958 г. по
01.08.1961 г. ядерные испытания не проводились в связи с объявлением моратория
[44 ,21 ].
В 1960, 1961 и 1963 гг.
на полигоне было проведено 38 наземных гидроядерных экспериментов, которые
отличались друг от друга количеством выброшенной в атмосферу альфа-активности и
высотой подъема верхней кромки облака взрыва. При этом в отдельных
экспериментах разница в величине выброса альфа-активности достигала 400 раз, а
высота подъема облаков находилась в пределах от 250 м (эксперимент 01.10.1963
г.) до 1280 м (01.07.1961г.). Общее количество альфа-активности плутония,
диспергированного во время гидроядерных экспериментов, составило примерно
800-900 кюри, что могло привести к радиоактивному загрязнению местности вокруг
испытательной площадки [45 ,33 ].
По возобновлении
испытаний было продолжено ведение радиационных разведок и изучение степени
радиоактивного загрязнения объектов природной среды, что позволило получить
новые сведения для уточнения положения локальных радиоактивных следов. На рис.
3 показано положение основных следов радиоактивного загрязнения, в пределах
которых дозы внешнего облучения до полного распада радиоактивных веществ
превышали 1 рентген (примерно 10 мГр). На этом рисунке видно, что следы
практически не накладываются друг на друга, поэтому нет необходимости суммировать
дозы излучения. При наложении следов от нескольких ядерных взрывов,
произведенных в разное время, дозы можно суммировать. Так, над г. Курчатовым с
1953 г. до конца 1965 г. прошло 15 облаков, образовавшихся после атмосферных и
подземных, произведенных с выбросом грунта ядерных взрывов. После одного из
них, произведенного 07.08.1962 г., доза излучения на местности составила 38
мГр, а суммарная доза всех остальных составила 7 мГр. Облучение жителей г.
Курчатова после взрыва 07.08.1962 г. можно считать аварийным, поскольку вместо
планируемого воздушного произошел наземный взрыв. Однако суммарная доза
облучения жителей этого города не превысила 50 мГр, что является допустимым
пределом [46 , 20].
Следует отметить, что
результаты анализа архивных материалов, содержащих данные радиационных
разведок, а также сведения о радиоактивном загрязнении природной среды,
полученные специалистами радиологических групп в лабораториях санэпидстанций МинздраваСССР
и сети подразделений Госкомгидромета СССР, послужили основой для реконструкции
положения радиоактивных следов ядерных взрывов, создания объективной базы
данных о радиационной обстановке, а также для ретроспективной оценки доз
облучения населения.
Рисунок 3 – Положение
основных дозообразующих следов наземных ядерных взрывов, осуществленных на
Семипалатинском полигоне, с указанием доз гамма-излучения на местности до
полного распада радиоактивных веществ
Подземные ядерные
испытания
Необходимо отметить, что
радиоактивное загрязнение природной среды происходило не только после
проведения ядерных испытаний в атмосфере, но и после подземных ядерных взрывов
с выбросом грунта.
Подземные ядерные
испытания на Семипалатинском полигоне проводились с 11.10.1961 г. по 19.10.1989
г. на трех его рабочих площадках:
- горный массив Дегелен (в штольнях),
- площадка Балапан (в скважинах),
- площадка Сары-Узень и Телькем (в
скважинах) [47 , 7].
Всего на полигоне было
осуществлено 340 подземных ядерных испытаний, в которых взорвано 500 ядерных
зарядов. В мирных (промышленных) целях на этом полигоне было проведено 7
испытаний (2 - в штольнях и 5 - в скважинах), которые предназначались для
решения широкого круга народнохозяйственных задач (создание водоемов, каналов,
гаваней; устройство котлованов; стимуляция добычи нефти и газа; тушение
факелов; сейсмическое зондирование земной коры и т.д.).
Наиболее значимое
загрязнение окружающей среды за пределами территории полигона произошло после
двух подземных ядерных взрывов с выбросом грунта - это взрывы, осуществленные
15.01.1965 г. в скважине 1004 и 14.10.1965 г. в скважине 1003. Максимальное
загрязнение природной среды имело место после взрыва ядерного заряда мощностью
140 кт на глубине 178 м в скважине 1004. Целью этого эксперимента являлось
создание искусственного водохранилища в засушливой степи путем перекрытия русла
реки Чаган образованной взрывом насыпной плотиной в месте слияния рек Чаган и
Ащи-Су [ 48, 41].
На Семипалатинском
полигоне первое подземное испытание с тротиловым эквивалентом около 1 кт было
проведено 11.10.1961 г. в штольне В-1. Основная цель этого испытания состояла в
проверке расчетов и отработке технологий осуществления подземных ядерных взрывов
с удержанием радиоактивных веществ в его полости. Таким образом, в СССР, в
связи с разработкой проекта международного договора о запрещении ядерных
испытаний в трех средах (в космосе, воздухе и воде), началась подготовка к
проведению испытаний ядерного оружия (зарядов) под землей, т.е. в скважинах и
штольнях.
Применительно к
испытаниям ядерного оружия в недрах земли существует принципиальное различие в
понятии «ядерное испытание» и «ядерный взрыв». Дело заключается в том, что в
одном ядерном испытании под землей может осуществляться несколько ядерных
взрывов. Поэтому количество ядерных испытаний часто не совпадало с числом
ядерных взрывов. В соответствии с Московским договором 1963 г. и Протоколом к
Договору между СССР и США об ограничении подземных испытаний ядерного оружия
(1974 г.) термин «ядерное испытание» означал либо одиночный подземный ядерный
взрыв, либо два или более подземных ядерных взрывов, произведенных в течение
0,1 секунды на полигоне в пределах района, ограниченного окружностью с
диаметром два километра, при этом суммарная мощность всех взрывов являлась
мощностью данного ядерного испытания. Например, на Семипалатинском полигоне в
одном из испытаний было осуществлено одновременно пять ядерных взрывов [49,39 ].
Общее количество
подземных ядерных испытаний вместе с ядерными взрывами в мирных целях, а также
число ядерных зарядов и ядерных взрывных устройств, взорванных бывшим Советским
Союзом в недрах земли, включая Семипалатинский полигон, представлено в таблицах
3 и 4.
Данные о количестве
подземных испытаний и мирных ядерных взрывов, которые в разные годы
осуществлялись на Семипалатинском полигоне, приведены в таблицах 3 и 4.
По характеру фактически
наблюдаемой радиационной обстановки все подземные ядерные взрывы,
осуществленные на Семипалатинском полигоне, подразделялись на четыре категории:
Взрыв с выбросом грунта
(ВВГ) - подземный взрыв наружного действия, сопровождавшийся разрушением и
перемещением пород в эпицентральной зоне и выходом радиоактивных продуктов в
атмосферу в аэрозольной и газовой фазах. На земной поверхности образовывалась
воронка (кратер) выброса. На полигоне было проведено четыре таких испытания в
скважинах 1004 (15.01.1965 г.), 1003 (14.10.1965г.), Т-1 (21.10.1968г.) и Т-2
(три взрыва 12.11.1968г.) [50 , 22].
Таблица 10 - Количество
подземных ядерных испытаний и подземных ядерных взрывов в СССР, 1961-1990 гг.
|
Место заложения
зарядов
|
Количество подземных ядерных
испытаний проведенных в СССР
|
|
всего
|
в том числе на
|
|
Семипалатинском
испытательном
полигоне
|
Северном
испытательном
полигоне
Новая Земля
|
Вне территории
полигонов
|
|
В штольнях,
|
245
|
209
|
33
|
3
|
|
(в т.ч. в мирных целях)
|
5
|
-
|
3
|
|
В скважинах,
|
251
|
131
|
6
|
114
|
|
{в т.ч. в мирных целях)
|
119
|
5
|
-
|
114
|
|
ВСЕГО
|
496
|
340
|
39
|
117
|
|
(в т.ч. в мирных целях)
|
124
|
7
|
-
|
117
|
Таблица 11 - Количество ядерных
зарядов и взрывных устройств, взорванных в СССР в недрах земли в 1961-1990 гг.
|
Место заложения зарядов
|
Количество ядерных зарядов и устройств, взорванных СССР в недрах
земли
|
|
всего
|
в том числе на
|
|
Семипалатинском испытательном полигоне
|
Северном испытательном полигоне Новая Земля
|
Вне территории полигонов
|
|
В штольнях,
(в т.ч. в мирных целях)
В скважинах,
(в т.ч. в мирных целях)
|
433
5
317
130
|
307
2
187
7
|
126
-
7
-
|
3
3
123
123
|
|
ВСЕГО
|
750
|
491
|
133
|
126
|
Взрыв камуфлетный полный
(ВКП). При таком взрыве все радиоактивные продукты оставались в полости взрыва.
Подобная радиационная ситуация наблюдалась после 50% взрывов из всех,
осуществленных в период проведения подземных ядерных испытаний на
Семипалатинском полигоне.
Взрыв неполного
камуфлета, сопровождавшийся незначительным истечением в атмосферу радиоактивных
инертных газов (ВНК-РИГ)- Подобные подземные испытания на Семипалатинском
полигоне составляли 45% от их общего количества.
Взрыв неполного камуфлета
с нештатной радиационной ситуацией (ВНК-НРС). Такой взрыв сопровождался ранним
напорным истечением в атмосферу радиоактивных продуктов взрыва в газо- и
парообразной фазах, что обусловливалось случайным нарушением нормального
процесса проведения испытания и/или непредусмотренными проектом последствиями,
которые могли привести/или приводили к облучению людей выше установленного
уровня или к материальному ущербу. Взрывы ВНК-НРС могли привести к
значительному аварийному облучению персонала и вследствие большого разбавления
облака выброса по пути его движения за границы территории полигона – к очень
незначительному облучению населения районов, прилегающих к полигону (ниже
допустимых пределов по дозе).
При проведении мощных
подземных ядерных взрывов в скважинах на площадках «Б» и «С» Семипалатинского
полигона для исключения нарушений требований безопасности и Московского
договора 1963 г. необходимо было выбирать такую глубину заложения ядерного
заряда, которая обеспечивала бы возможность начала выхода радиоактивных газов в
атмосферу не ранее, чем через 10 - 20 минут после взрыва. Только в этом случае
среди вышедших в атмосферу газов мог практически отсутствовать радионуклид
криптон-89 (период полураспада 3,07 минуты), из которого образуется
биологически опасный радионуклид стронций-89, входящий в состав радиоактивных
выпадений. Тем самым, даже после выхода части радиоактивных газов,
обеспечивается отсутствие остаточного радиоактивного загрязнения местности и,
следовательно, соблюдение правил радиационной безопасности [51 , 22].
При подземных ядерных
взрывах в породах площадки «Б», содержащих относительно большое количество
газообразных веществ, довольно часто наблюдалось истечение (фильтрация) в
атмосферу радиоактивных газов по линии наименьшего сопротивления, то есть вдоль
скважины. Причиной этого явления было возникновение значительного избыточного
давления газов в полости ядерного взрыва. Большая часть газов образовывалась
при испарении воды и сгорании горючих компонентов в прослойках сланцев и бурых
углей. Кстати, после закрытия Семипалатинского полигона и передачи части его
территории в использование для хозяйственных нужд вблизи площадки «Б» была
начата промышленная добыча каменного угля.
По результатам
экспериментального определения количества расплавленной породы, измерения
размеров полости и установления способности горной породы к газообразованию стало
возможным оценить величину избыточного давления в полости подземного взрыва к
моменту окончания ее формирования.
Таблица 12 -
Интенсивность подземных ядерных испытаний и мирных ядерных взрывов на
Семипалатинском полигоне в течение 1961-1989 гг.
|
Годы
|
Количество испытаний
|
Тротиловый эквивалент, кт
|
Примечания
|
|
1961
|
1
|
1
|
|
|
1962
|
1
|
0,001-20
|
|
|
1963
|
-
|
-
|
|
|
|
|
С 01.01.1963 г. по 15.04.1964 г. ядерные испытания не проводились
в связи с подготовкой Договора о запрещении испытаний в трех средах.
|
|
1964
|
7
|
90
|
Две нештатные радиационные ситуации (НРС).
|
|
1965
|
12
|
250
|
Включая два мирных ядерных взрыва (МЯВ) в скважинах 1004 и 1003.
|
|
1966
|
14
|
420
|
Одна НРС.
|
|
1967
|
15
|
220
|
Одна НРС.
|
|
1968
|
14
|
120
|
Включая МЯВ в скважине Т-1 и Т-2. Одна НРС.
|
|
1969
|
14
|
270
|
|
|
1970
|
12
|
150
|
|
|
1971
|
15
|
300
|
Включая МЯВ в штольне 148/1. Одна НРС.
|
|
1972
|
14
|
450
|
Две НРС.
|
|
1973
|
9
|
310
|
Одна НРС.
|
|
1974
|
15
|
150
|
Включая МЯВ в скважине Р-1 и в штольне 148/5. Две НРС.
|
|
1975
|
12
|
210
|
|
|
1976
|
16
|
300
|
Одна НРС.
|
|
1977
|
15
|
350
|
|
|
1978
|
20
|
620
|
|
|
1979
|
20
|
960
|
|
|
1980
|
18
|
600
|
Одна (последняя) НРС.
|
|
1981
|
15
|
610
|
|
|
1982
|
10
|
470
|
|
|
1983
|
14
|
440
|
|
|
1984
|
14
|
1130
|
|
|
1985
|
8
|
45
|
|
|
1986
|
-
|
-
|
С 26.07.1985 г. по 26.02.1987 г. - мораторий на ядерные
испытания.
|
|
1987
|
16
|
1000
|
|
|
1988
|
12
|
670
|
|
|
1989
|
7
|
300
|
|
|
итого
|
340
|
11100
|
|
Оказалось, и это
подтвердилось экспериментально, что при взрыве в граните с содержанием воды
0,5-1% по весу измеренное в полости давление было ниже атмосферного. При
«газовости» пород 2-3% давление в полости взрыва становилось выше атмосферного,
что могло быть причиной выхода в атмосферу радиоактивных газов. Фиксируя при
подземных взрывах время начала выхода в атмосферу радиоактивных газов и зная
другие необходимые параметры, специалисты научились количественно оценивать
проницаемость пород, в которых производились подземные ядерные взрывы. В
последующем эти знания позволили разработать методику прогноза радиационной
обстановки после проведения подземных ядерных испытаний, что в значительной
степени способствовало обеспечению радиационной безопасности участников
испытаний [52, 33].
В период проведения
подземных ядерных испытаний на Семипалатинском полигоне ставились не только
военные задачи, связанные с усовершенствованием характеристик ядерных зарядов и
устройств или разработкой мероприятий по обеспечению безопасности участников
испытаний и населения, но и задачи мирного использования ядерных взрывов, такие
как создание искусственных водоемов и каналов.
Обязательным требованием
Московского договора 1963 г. было нераспространение радиоактивных продуктов
подземных ядерных взрывов за пределы территории страны, которая проводила такие
испытания. Следовательно, методика проведения подземных ядерных взрывов должна
была разрабатываться как с учетом обеспечения радиационной безопасности
персонала полигона и населения, так и с учетом требований Московского договора.
Такой подход к проблеме требовал не только изучения закономерностей выхода
(прорыва) радиоактивных продуктов взрывов в атмосферу в широком диапазоне
условий их проведения, но и возможности эффективного регулирования выхода
радиоактивных веществ в атмосферу при выполнении специальных требований,
например, использования ядерных зарядов, при взрыве которых за счет реакций
деления расщепляющихся материалов выделяется минимальная доля энергии. При этом
необходимо было учитывать требования экономичности всех практических
рекомендаций, обеспечивающих радиационную безопасность проведения подземных
ядерных взрывов при реализации грандиозных проектов, которые разрабатывались в
60-80-е годы (переброс стока сибирских рек в южном направлении, создание
искусственных водоемов, каналов, гаваней и т.д.). Кроме того, рассматривалась
возможность использования подземных ядерных взрывов для решения широкого круга
таких народнохозяйственных задач, как устройство котлованов при строительстве,
стимуляция добычи нефти и газа, тушение факелов горящих газов и фонтанов нефти,
сейсмическое зондирование земной коры в интересах поиска полезных ископаемых,
создание подземных резервуаров и др [53 , 44].
Такой широкий круг задач
требовал внимательного изучения радиационной обстановки после проведения
подземных ядерных взрывов, поскольку предполагалось, что в районах взрывов
будут проводиться различного рода работы, а сами взрывы будут проводиться
вблизи населенных пунктов.
За время деятельности
Семипалатинского полигона на его территории было осуществлено 7 подземных
ядерных взрывов в промышленных целях. Проведены они были (по порядку) в
скважинах 1004 и 1003, Т-1, Т-2, в штольне 148/1, в скважине Р-1 («Лазурит») и
в штольне 148/5. Следует отметить, что радиоактивные следы после всех ядерных
взрывов, за исключением первого мирного ядерного взрыва «Чаган» в скважине
1004, сформировались полностью в границах территории полигона, не представляя
какой-либо опасности для населения, и в настоящее время остаточное
радиоактивное загрязнение на этих следах отсутствует [54 , 5].
После взрыва «Чаган» в
скважине 1004, который был произведен специально для образования искусственного
водоема, остаточное загрязнение можно обнаружить и в настоящее время. Именно
этот эксперимент показал, что вред, наносимый промышленными ядерными
технологиями, в основе которых лежат подземные ядерные взрывы, может быть
несоизмеримо больше их экономической выгоды. Но «гигантомания
народнохозяйственных проектов СССР и отсутствие достаточно достоверных знаний
относительно последствий подземных ядерных испытаний большой мощности, сделали
возможным проведение эксперимента «Чаган» на полигоне.
Основные характеристики
взрыва «Чаган» и особенности радиационной обстановки после взрыва
Первый
опытно-промышленный эксперимент «Чаганї был проведен в целях получения
информации о возможности использования подземных ядерных взрывов для
образования глубоких воронок, а также чтобы оценить полезность, а, возможно, и
необходимость применения ядерных зарядов для создания водохранилищ в засушливых
районах страны. Он был осуществлен 15.01.1965 г. в месте слияния рек Чаган и
Ащи-Су в урочище Балапан. Подготовка и проведение взрыва проводились по
специальному проекту, содержавшему комплекс мероприятий по радиационной и
сейсмической безопасности населения [ 55, 76].
Проектом, в создании
которого принимали участие специалисты ряда ведущих институтов бывшего СССР,
предполагалось образование воронки и радиоактивного облака взрыва в результате
выброса грунта, а также формирование следа радиоактивного загрязнения.
Для обеспечения
безопасности населения в секторе возможного формирования радиоактивного следа
предполагалось создать несколько зон: зона отселения; зона оповещения и вывода
людей и скота из построек на время прохождения сейсмической волны, а также
контролируемая зона (санитарно-защитная зона и зона наблюдения). Из зоны
наиболее сильного радиоактивного загрязнения предусматривалось временное
отселение людей, чтобы снизить их дозовые нагрузки до величин, допускаемых
санитарно-гигиеническими нормами. Внутренней, то есть ближней к эпицентру
взрыва, границе зоны наблюдения (ЗН) соответствовало такое расстояние от
взрыва, начиная с которого необходимость в проведении каких-либо
ограничительных мероприятий для населения отсутствовала.
Установленные перед
взрывом размеры зон уточнялись после его проведения и выполнения комплекса
работ по определению реальной радиационной обстановки. Затем, основываясь на
закономерностях снижения уровней радиационного воздействия, устанавливались
сроки пересмотра и сокращения размеров зон, что давало возможность продолжать
ведение обычной хозяйственной деятельности на территории, которая ранее была
определена как санитарно-защитная зона.
В результате
механического эффекта взрыва заложенного на глубине 178 м ядерного заряда
мощностью 140 кт образовалась воронка глубиной 100 м, диаметром по гребню
навала грунта 520 м и объемом примерно 6 млн. м3. Выброшенный из воронки грунт
образовал земляной вал высотой 20-35 м, который перекрыл русло реки Чаган [56
,33 ].
Заполнение воронки водой,
согласно проекту, должно было происходить за счет весеннего паводка реки Чаган,
для чего предусматривалось строительство канала. После проведения всех
строительных работ образовалось два больших водоема: внутренний - в воронке и
внешний - за счет заполнения водой поймы рек Чаган и Ащи-Су. Через два года в
обоих водохранилищах появилась рыба (сорога, линь, сазан и др.), а воду из них
местное население стало использовать для водопоя скота.
Необходимо отметить, что
оценке радиационной обстановки на искусственно созданном объекте и на
близлежащих к нему территориях уделялось большое внимание специалистами многих
научных учреждений как при выполнении различного рода научных комплексных
программ радиационных исследований (Ю.А. Израэль, С.И. Макерова, В.А. Логачев,
В.Н. Петров, Ф.Я. Ровинский, В.Г. Рядов, А.А. Тер-Сааков, С.Л. Турапин и др.),
так и различных частных программ радиоэкологических обследований, продолжавшихся
в течение многих лет (Ю.В. Дубасов, К.И. Гордеев, В.М. Завьялов, А.Б. Иванов,
А.С. Кривохатский, В.М. Лоборев, А.М. Матущенко, Л.Б. Прозоров, Е.Д. Стукин,
Г.А. Шевченко, С.Г. Чухин и др.). Изучение радиоэкологического состояния этого
объекта и местности вокруг него было продолжено в 90-е годы уже в рамках
выполнения международных программ мониторинговых наблюдений (А.А. Искра, Ю.В.
Дубасов, В.А. Логачев, А.М. Матущенко, С.Г. Смагулов, А.К. Чернышев и многие
другие). В настоящее время мониторинг радиационной обстановки в районе озера
Чаган или, как его называют, озера «Атомкуль» ведут специалисты Национального
ядерного центра Республики Казахстан, который находится на территории г.
Курчатова - бывшего административно-научного центра уже несуществующего
Семипалатинского испытательного полигона (Ш.Т. Тухватулин, М.А. Ахметов, Л.Д.
Птицкая, В.Р. Бурмистров, О.И. Артемьев и др.) [57, 33].
Научно-технический
интерес может представлять внешняя картина развития облака взрыва. Так,
примерно через 40 мсек после подрыва заряда началось фонтанирование воды из скважины
и характерное вспучивание грунта диаметром около 600 м у основания. Начальная
скорость подъема купола грунта в эпицентре взрыва составляла 100 м/ сек. Спустя
2,5 сек после взрыва наблюдался прорыв раскаленных газов через слой
раздробленной породы с образованием видимых глазом очагов свечения. К этому
времени скорость движения породы вверх составляла 160 м/сек, то есть достигла
максимума, и затем начала быстро снижаться.
В конце шестой секунды в
верхней части столба сформировалось быстро расширяющееся конденсационное
облако. Примерно на 10-й секунде столб выброса достиг максимальной высоты,
равной 950 м, а диаметр составил 800 м. В результате падения и дробления грунта
у основания султана выброса начала образовываться базисная волна,
представляющая собой кольцевое облако пыли, которое распространялось в разные
стороны с небольшой скоростью. Достигнув размеров в диаметре около 5000 м при
высоте подъема пыли 500-750 м, движение фронта базисной волны практически
прекратилось. В последующем облако пыли базисной волны смещалось в
северо-западном направлении, а центральное пылевое облако сносилось ветром в
северо-восточном направлении. В течение последующих 30 минут пыль в районе
проведения взрыва в основном рассеялась, на поверхности Земли вокруг образовавшейся
воронки стал виден навал грунта высотой до 20-35 м и диаметром 900-1000 м. К
этому времени облако взрыва, поднявшись на высоту до 4800 м, разделилось на две
части в соответствии с направлением ветра на разных высотах, формируя локальный
след радиоактивного загрязнения. Через 15 минут после взрыва максимальные
уровни радиации в облаке взрыва составляли 180 Р/ч, а через 3,5 часа - лишь 0,1
Р/ч [58 , 44].
Как известно,
закономерности формирования радиационной обстановки в значительной степени
зависят от состояния погоды и, в первую очередь, от состояния атмосферы. Погода
в районе взрыва «Чаган» при его проведении была обусловлена восточной
периферией циклона и влиянием с юго-запада теплого воздушного фронта. Слоистая
облачность сплошного характера располагалась на высоте 2200 м, а расположенная
ниже облачность в 5 баллов имела нижнюю границу на высоте около 800 м.
Горизонтальная видимость составляла 8-10 км, наблюдалась слабая дымка,
температура воздуха была равна -2,4-С [ 59, 60].
Формирование и облака
взрыва, и радиоактивного следа происходило при аномальном распределении
температуры и ветра по высоте. При этом слой атмосферы от поверхности земли и
до максимальной высоты подъема облака, равной 4800 м, имел следующие
характеристики:
- на высоте до 750 м располагался
задерживающий слой воздух с изотермическим ходом температуры;
- на высоте от 750 м до 2500 м
находился задерживающий слой с инверсионным ходом температуры, когда
температура воздуха повышается с увеличением высоты;
- выше 2500 м располагался слой воздуха
с нормальным ходом температуры, то есть, чем выше от поверхности земли, тем
температура воздуха ниже [60 ,32].
Кроме такого необычного
распределения температуры по высоте наблюдался и значительный разворот ветра по
направлению с увеличением высоты (почти на 100- вправо в пределах максимальной
высоты подъема облака). Сочетание этих факторов привело к образованию
локального радиоактивного следа сложной конфигурации, схема которого
представлена на рис. 2.5. Так, радиоактивные аэрозоли в слое от 0 до 750 м
перемещались по азимуту 330- и сформировали загрязнение местности за счет
выпадений из базисной волны. Нижняя часть облака взрыва, находившаяся в слое от
750 м до 2500 м, образовала «северную ветвь» следа с осью по азимуту 40-47-, а
верхняя его часть, поднявшаяся выше 2500 м, перемещаясь по азимуту 70-,
сформировала «южную ветвь» следа. Скорость ветра при формировании «северной
ветви» составляла 22 км/ч, «южной» - 40 км/ч, а фронт базисной волны
перемещался со скоростью 17 км/ч [61, 3].
Данные об уровнях
радиации на осях и «северной», и «южной» ветвей следа приведены в табл. 13.
Следует отметить, что
повышенные уровни радиации были зафиксированы и в г. Семипалатинске, где через
3 часа после взрыва (в 15 часов по местному времени) мощность дозы гамма-излучения
достигла максимума, составив примерно 8 мР/ч. Возможно, причиной этому стал
повышенный выход радиоактивных продуктов в атмосферу, который по оценкам
специалистов мог быть равен 20 %, из-за того, что ядерный заряд при его
несколько большем (по сравнению с расчетным) энерговыделением (140 кт), был
заложен на глубине, соответствующей проектной мощности, равной 100 кт [ 62, 44].
Прохождение облака над
городом продолжалось около 3 часов, однако уже в 17 часов по местному времени
уровни радиации по показаниям дозиметрических приборов стали снижаться. Доза
облучения от проходящего облака могла составить примерно 0,05 мЗв, а от
радиоактивных выпадений на местность - 1,0-1,5 мЗв. Через 10 дней после взрыва
мощность дозы гамма-излучения в г. Семипалатинске достигла фоновых значений. В
ряде населенных пунктов, расположенных на следе облака ближе к центру взрыва, а
именно, в поселках Знаменка и Иса уровни радиации снизились до фоновых значений
через 30 дней, а в поселке Сарапан - только через 1,5 года.
Таблица 13 - Мощности доз
гамма-излучения на территории радиоактивного следа подземного ядерного взрыва с
выбросом грунта в скважине 1004 (взрыв «Чаган») на «Ч+24»после взрыва
|
Ось ветви следа
|
Уровни радиации на разных расстояниях (км) от центра взрыва на
время «Ч+24ї, мР/ч
|
|
1
|
3
|
6
|
8
|
15
|
24
|
30
|
37
|
49
|
60
|
70
|
|
«Северная» ветвь
|
25000
|
3300
|
875
|
460
|
160
|
0
|
35
|
45
|
26
|
7
|
4
|
|
«Южная» ветвь
|
-
|
-
|
-
|
-
|
35
|
30
|
17
|
12
|
7
|
5
|
4
|
Положение радиоактивного
следа и его размеры с различными граничными параметрами (численными значениями
изолиний) можно определить, используя схему следа. Естественно, что в
результате радиоактивного распада и миграции радионуклидов площадь загрязненной
территории постоянно уменьшалась. Так, если по состоянию на июнь 1965 г.
площадь следа, ограниченная изолинией 0,5 рентген в год (величина предельно
допустимой дозы внешнего облучения населения), составляла примерно 140 км2, то
через год (середина 1966 г.) она равнялась 50 км2, а еще через год, то есть в
1967 г., она уже составляла примерно 17 км2. Период уменьшения площади следа в
2 раза был равен 250 суткам. Примерно через 5 лет площадь контролируемой зоны
следа составила менее 1 км2 [63 , 11].
В результате выпадения
радиоактивных продуктов взрыва были загрязнены территории примерно 10
населенных пунктов, в которых проживало около 2000 человек. В табл. 14
приведены данные, характеризующие радиационную обстановку в наиболее
загрязненных населенных пунктах.
Как показывают данные
наиболее крупным по числу жителей населенным пунктом, в котором возможная доза
облучения людей могла превышать один рентген, был поселок Знаменка. Жители
этого поселка работали в основном в совхозе, имеющем преимущественно зерновое
направление. Большинство семей имело свой молочный скот, земли, для выпаса
которого находились в непосредственной близости от поселка. В зимнее время года
содержание крупного рогатого скота было стойловое. Застройка села
характеризовалась преимущественно домами саманного типа, водоснабжение было из
колодцев, которые в своем большинстве не закрывались (не имели крышек). Снабжение
поселка продуктами питания осуществлялась через торговую сеть, помимо этого,
жители использовали и такие продукты местного производства, как молоко,
молочные продукты и мясо (баранина, конина), а также картофель и овощи, которые
хранились в подвалах домов.
Результаты расчетов доз
внешнего и внутреннего облучения жителей поселка Сарапан с учетом поступления трития
в организм людей приведены в табл. 8. Приведенные данные позволяют
констатировать, что в течение первого года после взрыва «Чаган» в поселке Сарапан,
как и в других населенных пунктах, расположенных на радиоактивном следе от
этого взрыва, максимальному облучению подвергалось детское население, у
которого основным критическим органом является щитовидная железа.
При длительном проживании
в зоне радиоактивного загрязнения дозы облучения костной ткани и всего тела
могли увеличиться примерно в два раза.
Эксперимент «Чаган» в
полной мере продемонстрировал, что полигон в период проведения ядерных
испытаний являлся потенциальным источником радиоактивного загрязнения
окружающей среды, хотя в течение всей его деятельности, вплоть до закрытия в
1989 г. особое внимание уделялось вопросам обеспечения безопасности населения и
изучению радиационной обстановки.
Таблица 14 - Радиационная
обстановка в 1965 г. в населенных пунктах, территории которых были наиболее
сильно загрязнены радиоактивными выпадениями после взрыва «Чаган»
|
Населенный пункт
|
Численность населения, чел.
|
Расстояние от места взрыва,
км
|
Уровни
радиации на «Ч+2»,
мР/час
|
Дозы гамма-излучения на местности
в 1965 г.,
Р
|
|
Сарапан
|
162
|
13
|
4400
|
5,8
|
|
Иирбала
|
10
|
22
|
700
|
6,7
|
|
Бейсень
|
8
|
24
|
1300
|
2,8
|
|
Щербаковка
|
-
|
48
|
300
|
2,6
|
|
Пса
|
66
|
30
|
110
|
0,9
|
|
Знаменка
|
980
|
40
|
170
|
2,4
|
|
Муса
|
22
|
33
|
190
|
1,3
|
|
Торейгыр
|
11
|
32
|
270
|
2,3
|
Таблица 15 - Возможные
дозы внешнего и внутреннего облучения критических органов жителей поселка
Сарапан за период с января 1965 г. по апрель 1966 г.
|
Критический орган
|
Дозы облучения различных групп населения,
сГр (сЗв)
|
|
дети
|
взрослые
|
|
внешнее
|
внутреннее
|
сумма
|
внешнее
|
внутреннее
|
сумма
|
|
Щитовидная железа
|
1,7
|
14,4
|
16,1
|
2,6
|
1,1
|
3,7
|
|
Костная ткань
|
1.0
|
6;7
|
7,7
|
1,5
|
0,3
|
1,8
|
|
Все тело
|
1,7
|
2,4
|
4,1
|
2,6
|
0,5
|
3,1
|
|
Кожа
|
-
|
-
|
20,0
|
-
|
-
|
20,0
|
Систематическая оценка
степени радиоактивного загрязнения почвы и растительности на СИП началась
только после наземного ядерного взрыва, произведенного 24.08.1956г. и ставшего
причиной выпадения радиоактивных осадков, в том числе вместе с дождем, на
территории Семипалатинской и Восточно-Казахстанской областей. Распределение
плотностей радиоактивного загрязнения по следу этого взрыва было неравномерным.
Максимальное радиоактивное загрязнение местности, вызванное выпадением
атмосферных осадков, произошло в районе г. Усть-Каменогорска [64 , 22].
Проведенные после взрыва
измерения показали, что степень загрязнения почвы пропорциональна уровням
радиации на местности. Данные о степени загрязнения почвы и растительности на
25.09.1956 г. в районах, расположенных вблизи Семипалатинского полигона,
представлены в табл. 16.
Из данных следует, что,
во-первых, наибольшая степень загрязнения почвы была отмечена в Семипалатинской
области, на территории которой сформировалось большинство радиоактивных следов
наземных ядерных взрывов, и, во-вторых, содержание естественного радионуклида
калия-40 в почве и растительности практически не отличалось от содержания в них
продуктов ядерных взрывов, что нужно учитывать при проведении расчетов. По
результатам исследования послойного загрязнения почвы было установлено, что на
целинных участках земли спустя несколько лет после осуществления взрывов
наиболее загрязненным оказался поверхностный слой почвы глубиной до 1 см. Он
содержал в 5-10 раз больше активности, чем слой почвы на глубине от 3 до 4 см.
Загрязнение вспаханных участков местности происходило на глубину пахоты, т.е.
до 16-20 см [65 , 33].
После 1958 г. по мере
внедрения методов радиохимии и появления спектрометрической аппаратуры стали
проводиться исследования по определению содержания в различных объектах внешней
среды таких биологически опасных радионуклидов, как стронций-90, цезий-137 и
йод-131. В поверхностном слое почвы на следе взрыва 1956 г. стронция-90
содержалось примерно 8% от величины общей активности. Наличие радиоактивных
веществ в почве приводило к проникновению их в наземную растительность [66 , 10].
В 1956 г. специалистами
комплексных экспедиций Института биофизики и полигона были проведены
радиометрические исследования проб травы и злаковых растений. Результаты
проведенных радиометрических исследований показали также, что содержание
радиоактивных веществ в наземной части растений и в корневой системе было
примерно одинаковым. В растениях, имеющих важное значение для
сельскохозяйственного производства, был обнаружен стронций-90, находившийся в
подвижной (водорастворимой) форме. Переход радионуклидов в растворимое
состояние зависел от физических свойств радиоактивных частиц, основная часть
которых после наземного ядерного взрыва находилась в оплавленном состоянии.
Таблица 16 - Степень
радиоактивного загрязнения почвы и растительности (разнотравья) по состоянию на
25.09.1956 г.
|
Населенный пункт, вблизи которого отобрана проба
|
Расстояние от центра Опытного поля, км
|
Содержание радиоактивных веществ в пробах, Ки/кг
|
|
почва
|
наземная растительность
|
|
Рубцовск
|
350
|
4x10-7
|
2х10-6 - 4х10-9
|
|
Семипалатинск
|
160
|
8x10-7
|
5x10-8 - 8х10-7
|
|
Чарская
|
250
|
1x10-7
|
|
Аягуз
|
330
|
7x10-7
|
3x10-8
|
|
Кара-Аул
|
200
|
6x10-7
|
1x10-7
|
|
Саржал
|
100
|
1.3х10-6
|
6х10-8
|
|
Майское
|
60
|
3х10-8
|
1x10-7
|
|
Баян-Аул
|
150
|
7x10-8
|
5x10-8
|
|
Содержание естественного радионуклида калия-40 (фоновая
концентрация)
|
-
|
(1-2) х10-8
|
(1-2) xl0-8
|
В 1991-1992 гг. было
выполнено аэро-гамма-спектрометрическое обследование территории полигона и
прилегающих к нему районов. В результате были определены мощности
экспозиционных доз гамма-излучения на высоте одного метра от поверхности земли,
плотности загрязнения местности цезием-137, а также поверхностные концентрации
в почве урана, тория и калия-40. Съемка территории проводилась в масштабе
1:300000 при расстоянии между профилями съемки, равном 3 км, и при ширине поля
регистрации детектором около 300м. На большей части территории полигона
плотность загрязнения цезием-137 находится в пределах от уровня глобальных
выпадений (0,05 Ки/км2 до 0,5 Ки/км2. Плотности загрязнения цезием-137 более 1
Ки/км2 были зафиксированы только на испытательных площадках Опытного поля и на
очень небольших участках радиоактивного следа, который образовался после
взрыва, осуществленного 12.08.1953г [67 , 44].
Таким образом, можно
сделать вывод, что радиологическое состояние поверхностного слоя почвы СИП
определяется в основном такими долгоживущими продуктами, как стронций-90 и
цезий-147 с их дочерними радионуклидами, а также изотопами плутония.
Определяющее значение указанных радионуклидов обусловлено их значительно большей
наработкой в ядерных взрывах, значительным промежутком времени с момента проведения
взрывов и их высоким биологическим действием, при этом активность более
короткоживущих радионуклидов снизилась из-за их естественного распада.
За время, прошедшее после
взрывов, активность стронция-90 и цезия-137 уменьшилась, а альфа-активность плутония
практически не изменилась, поэтому абсолютные значения активностей стронция-90
+ цезия-137 и плутония стали примерно одинаковыми. С учетом того, что
радиотоксичность плутония почти на два порядка выше, чем стронция-90 и
цезия-137, можно предположить, что проблема радиоактивного загрязнения
территории полигона – это проблема загрязнения ее плутонием [68,33].
Акиматом Павлодарской
области по договоренности с Национальным ядерным центром, были произведены
захоронения высокотоксичных химических отходов (трихлордифенил) в штольнях
подземных сооружений бывшей испытательной площадки СИЯП, при этом не была
проведена обязательная государственная экологическая экспертиза. Министерство
охраны окружающей среды и Министерство энергетики и минеральных ресурсов не располагают
информацией о проведенных захоронениях.
Разрабатываемая в настоящее время
госпрограмма социальной и экономической реабилитации региона не содержит
никакой связи с реальным положением дел на местах. Содержащиеся в ней
мероприятия механически перенесены из ранее существовавших инвестиционных
проектов, не связанных с Семипалатинским полигоном, а, следовательно,
предлагаемые меры не увязаны с фактической ситуацией и не направлены на
реабилитацию региона.
Сложившаяся ситуация в целом по СИЯП
и проведенный анализ показал, что несмотря на повышенный интерес мирового сообщества,
государственная политика направленная на реабилитацию граждан, пострадавших
вследствие ядерных испытаний и социально–экономическое развитие территории не
является системной. Отсутствие консолидированных действий государственных
органов, нарушение ими законодательства, отсутствие точных данных, половинчатый
подход к реализации законодательства по СИЯП и Программ разработанных и
принятых Правительством Республики Казахстан говорят сами за себя.
При наличии фактов, не
соблюдения законодательства Республики Казахстан (Генеральной прокуратурой и ее
территориальными органами) не было произведено ни одной проверки в порядке
надзора, следовательно, виновные не были привлечены к ответственности».
Характер радиоактивного
загрязнения почвенного покрова СИП зависит от природных условий территории, где
произошло загрязнение и его источника. Исследования были проведены на
испытательных площадках: «Опытное поле», БРВ, «Балапан», «Сары-Узень», «Дегелен»,
объектах «Атомное озеро» и «Телькем-1», «Телькем-2», а также на следах
выпадений радиоактивных облаков.
Вышеперечисленные объекты
обследований, кроме площадки «Дегелен», находятся в зональных природных
условиях, где источником увлажнения почв являются только атмосферные осадки.
Атмосферные ядерные испытания, проведенные на площадке «Опытное поле», участке
БРВ привели к выпадению техногенных радионуклидов на поверхность почвы.
Исследования показывают, что максимальное содержание долгоживущих радионуклидов
137Cs, 90Sr и 239+240Pu находится в почвах в
горизонте 0-5, 5-10см. В условиях недостаточного увлажнения аридной зоны
указанное распределение радионуклидов не претерпело каких-либо изменений,
несмотря на срок взаимодействия радионуклидов с природной средой более 40-50
лет. Такое распределение радионуклидов в почвах исследуемой территории является
закономерностью, которая может быть изменена техногенными нарушениями, как
спекание минеральных частиц почвы на площадке «Опытное поле», образование
воронок при испытании БРВ.
В условиях сильного
техногенного нарушения почв-грунтов, какое имело место при экскавационных
ядерных взрывах на объектах «Атомное озеро» и «Телькем-1», «Телькем -2»,
распределение радионуклидов в таком грунте (отвалы водоемов) не подчиняется
какой-либо закономерности.
При подземных ядерных
испытаниях (площадки «Балапан», «Дегелен») радиоактивное загрязнение почвенного
покрова имеет свои особенности. Так, на площадке «Балапан» при испытаниях в
скважинах только в случае аварийных ситуаций происходило местами и
незначительное загрязнение почвенного покрова вблизи оголовка скважин.
Распределение радионуклидов при этом отвечает выявленным закономерностям.
На площадке «Дегелен»
(это низкогорный массив) проведенные подземные испытания в штольнях вызвали
разрушения верхних ярусов горных ландшафтов, а подготовка и проведение взрывов
нарушили естественное сложение луговых почв долин ручьев. Было оказано и
радиоактивное воздействие на компоненты природной среды, которое продолжается и
в настоящее время, так как подземные воды выносят из штолен техногенные
радионуклиды. Их сорбируют и накапливают луговые почвы долин ручьев.
Максимальное содержание 137Cs, 90Sr в таких почвах
приурочено к поверхностному горизонту (0-8см), представленному дерниной, но
распределение радионуклидов в почвенном профиле значительно растянуто, иногда
до почвообразующих пород, и, прежде всего, радионуклида 90Sr, что
обусловлено значительными уклонами местности, наличием склонового и грунтового
потока.
Таким образом, на большей
части радиоактивно-загрязненных участков СИП основное количество техногенных
радионуклидов в почвах сосредоточено в горизонте 0-5, 5-10см, а в условиях
изрезанного рельефа, обусловливающего дополнительное увлажнение склоновым
стоком и грунтовыми водами возможна их пространственная миграция. Техногенное
нарушение изменяет выявленные закономерности распределения радионуклидов в
почвах.
Результаты
радиоэкологических исследований, проведенных на территории СИП в последние
годы, выявили участки значительного радиоактивного загрязнения, включая и
загрязнения ядерными материалами. В первую очередь, эти загрязнения связаны с
испытательными площадками и следами облаков ядерных взрывов.
На территориях,
считавшихся ранее относительно благополучными в радиационном отношении
(северная и западная части СИП), обнаружены участки, которые идентифицированы
как места проведения испытаний боевых радиоактивных веществ. Имеются места,
загрязненные компонентами ракетного топлива. Выявляются участки со значительным
радиоактивным загрязнением, которые имеют относительно небольшие размеры, носят
локальный характер и связаны, по мнению специалистов, с результатами
несанкционированной деятельности. Как правило, это поиск добычи лома черных и
цветных металлов.
В настоящее время
обследовано около 40% территории полигона с достоверностью при площадном
обследовании – 25%, при местном (локальном) обследовании – 90%.
В связи с ограниченным
финансированием площадные обследования проводятся по мелкомасштабной сетке. При
обнаружении участков с повышенным радиационным фоном осуществляется локальное
обследование по крупномасштабной сетке.
При решении проблем СИП,
необходимо также учитывать, что 3 из 4-х имеющихся в Казахстане
исследовательских ядерных реакторов расположены на данной территории. Ядерные
реакторы размещены на двух экспериментальных комплексах (площадках) Национального
ядерного центра Республики Казахстан, на одном из которых также находится пункт
долговременного хранения отработанных ампульных источников ионизирующих
излучений, имеющий республиканское значение.
3. Объект и методы
исследования
Земля – это национальное
богатство Казахстана, от эффективности использования и охраны которой во многом
зависит экономическая, социальная и экологическая ситуация в стране,
благополучие каждого человека.
В последние годы
антропогенная нагрузка на природные комплексы в мире значительно возросла. В Казахстане
давление на окружающую среду ниже среднемирового. Однако в последние годы
вызывает беспокойство загрязнение земель, водных ресурсов и атмосферного
воздуха радионуклидами. Система «человек – окружающая среда» стала настолько
сложной, что внутреннее и внешнее влияние на эту систему может привести к самым
неожиданным последствиям.
Радиоактивное загрязнение
представляет собой опасность для человека и среды его обитания. Отрицательное
воздействие ионизирующей радиации на живые организмы стало известно с момента
открытия радиоактивности.
В
настоящее время одной из наиболее актуальных задач в области радиоэкологии
является проблема трансграничного переноса техногенных радионуклидов за пределы
границ источников радиоактивного загрязнения, таких как бывший Семипалатинский
ядерный полигон (СИП). Наибольшую опасность здесь представляют участки
локального радиоактивного загрязнения, расположенные в местах проведения
ядерных испытаний и по следам радиоактивных выпадений.
Находящиеся
на поверхности земли радионуклиды, могут перераспределяться и мигрировать в
результате ветрового переноса и пожаров. Очевидно, что скорость миграции
радионуклидов, их проникновение в биологические цепочки и, в конечном счете, в
организм человека зависят, в первую очередь, от характеристик процессов
образования радиоактивных частиц и их атмосферного переноса.
Нормами Закона Республики
Казахстан от 18 декабря 1992 года «О социальной защите граждан, пострадавших
вследствие ядерных испытаний на Семипалатинском испытательном ядерном полигоне»
классифицированы территории соседней Павлодарской области, подвергшиеся
воздействию ядерных испытаний. К ним отнесены Баянаульский, Майский,
Лебяжинский районы Павлодарской области.
Поэтому изучение данной
проблемы, выработка рекомендации по устранению негативного воздействия
радионуклидов на почву и растения является весьма актуальной задачей.
Для проведения
исследований были проведены анализы по изучению радиационной обстановки на
территории Семипалатинского полигона, находящегося на землях Павлодарской
области.
Определяли стронции–90
радиохимическим методом по дочернему продукту иттрий–90. Содержание цезия–137
сурьмяно-диодным методом. Измерения активности конечных продуктов химического
анализа проводим на молофоновой устанофке УМФ–1500 со счётчиком СБТ–13.
было выполнено
радиологическое обследование территории сосновых боров Прииртышья. Объектами
исследований являлись почвенно-растительный покров, а также древесный материал
на территории произрастания соснового бора. Часть территории, через которую, в
основном, проходили облака ядерных взрывов, была обследована вдоль 6 профилей с
интервалом 2 км между точками обследования. Остальная территория лесов была
обследована по мелкомасштабной сети с интервалом 10х20 км.
В результате обследования
повышенное содержание радионуклидов в объектах природной среды выявлено на
территории
Исследования показали,
что содержание цезия-137, плутония-239/240, стронция-90, амерция-241 меняется в
широких пределах, превышая в ряде случаев на несколько порядков фон глобальных
выпадений
Для оценки радиоактивного
загрязнения территории необходимо провести также комплексные полевые
радиологические и лабораторные исследования образцов объектов окружающей среды.
Полученные результаты позволят оценить радиационную ситуацию на территории
Павлодарской области в пределах бывшего Семипалатинского ядерного полигона, а
также определить дозы техногенного радиационного облучения населения в этом
регионе.
Важной задачей
растениеводства на загрязненных радионуклидами территориях является получение
максимального урожая соответствующего по радиологическому фактору
республиканским допустимым уровням.
Основным источником
поступления радионуклидов в растение является почва. В ней содержится весь
запас выпавших радионуклидов.
Для установления размеров
перехода стронция-90 в сельскохозяйственную продукцию используются коэффициенты
перехода (Кп).
Коэффициент перехода
определяются как отношение содержания радионуклида в единице массы растений к
плотности загрязнения единицы площади почвы.
(3)
Предложенная формула
предполагает прямую зависимость т.е. концентрация радионуклидов в растении
линейно возрастает с увеличением концентрации их в почве. Но такое утверждение
справедливо далеко не всегда.
Экспериментальные
измерения по накоплению радионуклидов в зеленой массе растений показывают, что
содержание радионуклидов в растениях могут значительно превышать содержание
радионуклидов в почве.
Следовательно, на процесс
перехода радионуклидов из почвы в растения оказывают воздействие и другие
факторы.
Так, рекомендации
рассматривают влияние гранулометрического состава почв, содержание обменного
кальция в почве, реакцию почвенной среды на процесс перехода радионуклидов в
растение. Поэтому рекомендуемыекоэффициенты перехода дифференцируются в
зависимости от гранулометрического состава почв и содержания обменного калия
при определении реакции почвенной среды для стронция-90. На несовершенство
предложенной формулы обращали внимание многие ученые. Так в работе Коноплевой
И.В. и др. предложен метод расчета коэффициента перехода, учитывающий площадь
корневой поверхности.
где [137Cs].раст -–удельная
активность радионуклида в растении;
[137Cs].i -–запас
радионуклида в i-слое почвенного профиля;
f i -–относительная
площадь корневой поверхности в i-слое.
Однако, такой метод
расчета Кп трудоемок и требует специального оборудования для измерения площади
поверхности корня.
В процессе роста и
развития растение не может поглощать питательные вещества и радионуклиды из
сухой почвы, даже при оптимальном удовлетворении в питательном и воздушном
режиме. Для этого необходим водный раствор из которого бы корневая система
поглощала питательные вещества и попутно радионуклиды. Вопросом накопления
радионуклидов в зелёной массе растений занимались многие ученные исследуя
различные факторы этого процесса.
В отличие от минеральных
почв, на торфяных почвах складываются особые специфические условия,
обеспечивающие аномально высокую подвижность и переход радионуклидов в растения
при относительно невысоких уровнях загрязнения этих почв.
Перепелятников Г.П. и др.
установили, что величина коэффициента перехода радионуклидов в растительность
зависит от типа луга (может изменяться в 5-8 раз), от типа почвы (в 5-23 раза).
При этом, минимальные значения Кп наблюдались на нормально суходольных лугах
дерново–одзолистой почвы, а максимальные -–на торфянистых пойменных лугах с торфяно-глеевыми
почвами. В зависимости от физико-химических свойств почв и видовых особенностей
луговых растений коэффициенты перехода радионуклидов в травостой могут варьировать
в широких пределах (от 0,03 до 79,9). Из вышеизложенного можно сделать вывод,
что накопление радионуклидов величина многофакторная и определять её только по
плотности загрязнения почвы не совсем правильно. Поэтому был выполнен анализ
зависимости накопления радионуклидов от основных, наиболее значимых факторов:
активности почвы, содержания влаги в почве.
4. Результаты
исследования
4.1 Радиационные
последствия атмосферных ядерных испытаний на территории Семипалатинского ядерного полигона,
находящегося на землях Павлодарской области
Ядерный взрыв – это
совокупность и последовательность грандиозных процессов, обусловленных
переносом из зарядного устройства в окружающую среду колоссального количества
энергии, которая выделяется менее чем за миллионную долю секунды. Ее плотность
в начальный момент после взрыва превышает значения, характерные для Солнца.
Выделившаяся при ядерном взрыве энергия превращает вещество заряда, конструкции
ядерного устройства и объекты природной среды в сильно разогретую плазму,
давление которой превосходит прочность межатомных связей в веществах.
Ядерные заряды могут быть
двух типов:
- основанные на реакции деления тяжелых
ядер, в которых критическая масса 235U или Ри создается в результате
подрыва обычного взрывчатого вещества и основное энерговыделение обусловлено
делением части исходной ядерной массы на легкие осколки;
- основанные на слиянии легких ядер
дейтерия или трития в результате использования ядерного заряда предыдущего типа
в качестве инициатора. Основное энерговыделение происходит за счет реакций
синтеза.
П-1 -–наземные взрывы,
произведенные 29.08.49, 24.09.51, 12.08.53 гг.
П-2 -–наземные взрывы
П-3 -–воздушные взрывы
малой и средней мощности
П-4 -–для испытаний БРВ
за пределами «Опытного поля»
П-5 -–воздушные взрывы
большой мощности
П-6 -–гидроядерные
эксперименты
Рисунок 4 -–Схема
расположения основных технологических площадок па «Опытном поле»
Гидроядерные
эксперименты, выполняющиеся при неядерных взрывах, сопровождались
диспергированием (распылением) изотопов плутония-23 9/240 и урана. При этом, по
оценкам российских специалистов, было диспергировано примерно 750 Ки активности
плутония (—12 кг). Плутоний обладает в тысячу раз более высокой удельной
активностью по сравнению с ураном, а также более высокой радиотоксичностью.
Загрязнение местности
альфа-активными веществами представляет серьезную опасность. Удельная
альфа-активность неразделившейся части ядерного заряда имеет следующие
значения: плутония-239 -–60 кюри на килограмм, урана-235 -–9,5 кюри на
килограмм. Суммарная активность неразделившейся части заряда относительно мала
по сравнению с продуктами деления, но она может создавать проблемы вследствие
высокой токсичности альфа-активных веществ.
В связи с отсутствием
значимого ядерного энерговыделения основное радиационное воздействие этих опытов
на окружающую среду ограничивалось территорией, на которую распространялось
диспергирование делящихся материалов, входящих в состав взрывных устройств.
По условиям проведения
атмосферные ядерные взрывы подразделяются на наземные, воздушные и космические.
Наземный взрыв — это
ядерное испытание, проведенное либо на поверхности земли, либо на испытательной
башне. К этой категории относятся все ядерные испытания с приведенной высотой
подрыва не более 35 м/кт .
Воздушный взрыв — это
ядерное испытание в атмосфере с приведенной высотой подрыва 100 м/кт13,
при котором образующийся «огненный шар» не касается земной поверхности.
Высотный взрыв — это
ядерное испытание в атмосфере, когда «огненный шар» сравним с характерным
размером неоднородности атмосферы (~7 км). В эту же категорию включены также
космические взрывы, однако на СИП они не проводились.
Из 116 ядерных испытаний,
проведенных на «Опытном поле», 30 были наземными, 6 высотными и 80
атмосферными.
Хронология атмосферных
испытаний и их суммарное энерговыделение показаны в таблице 17.
Таблица 17 -–Распределение ядерных испытаний на «Опытном
поле» и их энерговыделение по годам.
|
Год проведения испытаний
|
Годы
|
|
1949
|
1950
|
1951
|
1952
|
1953
|
1954
|
1955
|
|
Кол-во
|
1
|
-
|
2
|
-
|
5
|
9
|
5
|
|
Мощность, кт
|
20
|
-
|
80
|
|
440
|
80
|
1870
|
|
Испытания
|
Годы
|
|
1956
|
1957
|
1958
|
1959
|
1960
|
1961
|
1962
|
|
Кол-во
|
8
|
11
|
8
|
|
-
|
29
|
40
|
|
Мощность, кт
|
1970
|
1680
|
80
|
-
|
-
|
140
|
220
|
|
|
|
|
|
|
|
|
|
|
Степень воздействия
ядерных испытаний на окружающую среду определяется многими причинами. Основные
из них -– это тип и мощность взрывного устройства, условия проведения взрыва,
свойства среды, в которой производится взрыв, а также метеорологические
условия.
По мощности ядерные
устройства можно разделить на 5 групп (таблица 9):
Таблица 18 -–Классификация ядерных устройств
по мощности
|
№п/п
Калибр
|
Мощность, кг
|
Количество проведенных взрывов
|
|
1
|
2
|
3
|
|
1 Сверхмалый
|
<1
|
30
|
|
2 Малый
|
1-10
|
44
|
|
3 Средний
|
10-100
|
32
|
|
4 Крупный
|
100-1000
|
9
|
|
5 Сверхкрупный
|
>1000
|
1
|
|
ВСЕГО
|
116
|
Проведение любого
ядерного взрыва сопровождается образованием радиоактивных продуктов,
распространение которых в той или иной степени обусловливает радиоактивное
загрязнение земной поверхности.
Известно, что при взрыве
ядерного заряда первоначальная смесь содержит более 200 альфа-, бета- и
гамма-активных радионуклидов с широким спектром периодов полураспада и энергии
излучения. Образовавшиеся продукты ядерного деления рано или поздно оседают на
земную поверхность. Однако характер радиоактивного загрязнения сред
определяется многими факторами и, прежде всего, условиями проведения взрыва.
Пространственное
распределение продуктов взрыва и время их появления на местности определяются
метеорологическими условиями -–скоростью и направлением ветра, а рассеяние -– состоянием
атмосферы (стратификации, турбулентности, атмосферными осадками и т.п.).
При проведении наземных
взрывов образующийся «огненный шар» соприкасается с земной поверхностью. При
контакте в результате воздействия мощного теплового излучения верхние слои
грунта плавятся, испаряются и вовлекаются сначала в «огненный шар», а затем в
атомное облако. Следовательно, в огненном шаре и облаке взрыва наряду с
испарившимся веществом конструкции испытуемого устройства, ядерного топлива присутствуют
элементы подстилающей поверхности (элементарные зерна грунта или их группы).
При осуществлении
наземного ядерного взрыва на 1 кт мощности в атмосферу выбрасывается около 5000
т породы, из которых 180-200 т -–плавится, а 1,5-25 т -–испаряется.
Значительная масса
загрязненного грунта выпадает в районе взрыва, остальная попадает в верхние
слои атмосферы и переносится на большие расстояния.
Наиболее крупные частицы,
имеющие диаметр 50 и более мкм, в течение нескольких часов после взрыва оседают
в районе взрыва, формируя на местности локальное загрязнение (ближний след).
Следует отметить, что каждый взрыв обуславливает загрязнение, имеющее свою
индивидуальность.
Более мелкие частицы,
имеющие диаметр 10-50 мкм, начинают оседать позднее на значительном расстоянии
от места взрыва. При этом формируются дальние радиоактивные следы.
Особенность дальних
выпадений заключается в том, что они прослеживаются на многие сотни и даже
тысячи километров и провести их идентифицирование очень сложно, так как на
дальних расстояниях от места взрыва происходит наложение радиоактивных
выпадений от многих взрывов.
Еще более мелкие частицы,
имеющие диаметр в единицы и доли микрон, переносятся на большие расстояния и
постепенно выпадают на земную поверхность, формируя глобальный фон. Процессы
формирования глобального радиоактивного загрязнения могут длиться многие
недели, месяцы и даже годы в результате выпадений радиоактивных продуктов,
выброшенных в стратосферу при проведении мощных ЯВ.
Следует отметить, что
каждый взрыв обусловливает загрязнения, имеющие свои индивидуальные
особенности.
Воздушный ядерный взрыв
принципиально отличается от наземного механизмом формирования частиц-носителей
радиоактивных загрязнений. Прежде всего, при воздушных взрывах в формировании
радиоактивных продуктов не участвуют материалы подстилающей поверхности, так
как «огненный шар» не соприкасается с ней.
Радиоактивное загрязнение
местности при проведении воздушных взрывов связано, главным образом, с
глобальными выпадениями радиоактивных веществ, т.к. существенная часть
наработанной активности поднимается в верхние слои атмосферы (стратосферу) и
пребывает там многие месяцы и даже годы, постепенно оседая на земную
поверхность. Считается, что 20% активности сосредоточено вблизи эпицентров
испытаний, а 80% входят в состав глобальных выпадений. В эпицентре взрыва
оседают, главным образом, продукты нейтронной активации.
По мере удаления от
эпицентра взрыва радиоактивное загрязнение уменьшается. Вместе с тем, высокие
уровни загрязнения могут наблюдаться на достаточно большом расстоянии от
эпицентральной зоны. Скорость оседания радиоактивных частиц из атмосферного
резервуара зависит от размеров частиц, высоты их нахождения и метеорологических
условий.
Взрывы на больших высотах
исключали появление зон загрязнения на местности, но при этом увеличивали
глобальный фон за счет радиоактивных выпадений. В результате радиоактивных
выпадений сначала образуется поверхностное загрязнение местности. Постепенно
под влиянием различных процессов радиоактивные продукты проникают вглубь почвы
либо вместе с частицами-носителями, либо самостоятельно, если частицы
разрушаются, или происходит смыв радиоактивности с поверхности этих частиц. В
результате образуется объемное загрязнение верхнего слоя почвы в несколько
сантиметров.
Как было сказано ранее,
все радиоактивные вещества, обусловленные ядерными испытаниями, в конце концов,
выпадают на земную поверхность. Зона контакта с наземными объектами -– это
почвенный покров. Почва является природным геохимическим барьером между
различными звеньями окружающей среды. Она накапливает и сохраняет различные
ингредиенты, в том числе и продукты радиоактивного распада. Скорость
миграционных процессов зависит от типов почвы, атмосферных осадков,
физико-химических свойств загрязненных частиц, от физико-химических свойств
почвы (в частности, минералогического и химического состава), времени,
прошедшего после поступления радионуклидов в почву, вида растительности,
агротехники и др.
После приземления
радиоактивные вещества вступают во взаимодействие с подстилающей поверхностью и
наносят ущерб биологическим объектам, вызывая морфологические, физиологические
нарушения в организмах.
Радиоактивные выпадения,
обусловленные ядерными взрывами, в конечном итоге включаются в биологические
циклы и подчиняются общим закономерностям поведения, определяемым
ландшафтно-геохимическими условиями.
4.2 Характеристика
атмосферных ядерных взрывов, произведенных на испытательной площадке «Опытное
поле»
Ядерные испытания в СССР
впервые начали проводиться на территории СИП. На территории Павлодарской
области произведена основная часть атмосферных взрывов, приведшая к
существенному загрязнению дозообразующими радионуклидами как на территории
полигона, так и за его пределами.
Согласно исследованиям,
выполненным российскими специалистами, все атмосферные взрывы в той или иной
степени обусловили радиоактивное загрязнение местности. Максимальное
загрязнение происходило при проведении наземных и приземных испытаний.
Практически все наземные
взрывы, произведенные в СССР, были осуществлены на территории Павлодарской
области. Известно, что из 32 наземных взрывов 30 были осуществлены на
территории СИП. Мощность всех наземных взрывов составила примерно 0,6 Мт. При
этом 73% мощности всех наземных испытаний приходится на термоядерный взрыв, произведенный
12.08.1953г.
Наземные взрывы
формировали на местности радиоактивное загрязнение в виде длинных полос, так
называемых «радиоактивных следов».
Известно, что ядерные
взрывы проводились с учетом метеорологических условий.
Пространственное распределение
радиоактивности определялось скоростью и направлением ветра, а также
атмосферными осадками. Осадки способствовали ускоренному выпадению
радиоактивных частиц на местность. Поэтому ядерные взрывы проводились в период,
когда атмосферные осадки не наблюдались длительное время, что способствовало
уменьшению площади загрязненной территории. Следует отметить, что разбавление
выброшенной в атмосферу радиоактивной смеси уже после взрыва составляло Ю-К)1
раз.
В таблице 10 приведены
коэффициенты метеорологического расслабления (Kw) Ри для погодных
условий, когда скорость ветра близка к штилевой, т.е. не превышает 5 м/сек.
Таблица 19 -–Kw Ри при V< 5м/сек
|
Расстояние от эпицентра взрыва, км
|
10
|
30
|
100
|
200
|
|
К рас., м/с
|
5хЮ6
|
15 х 10*
|
5х 107
|
5х 108
|
Естественно, что при
увеличении скорости ветра коэффициент метеорологического расслабления
возрастает.
Как было сказано ранее,
загрязнению подвергалась не только территория самого полигона, но и прилегающие
к нему регионы (рисунок 2).
О загрязнении прилегающих
к полигону территорий свидетельствует многолетний контроль Казгидромета,
осуществляющийся на базе метеорологических станций с 1954 года. Мониторинг
заключался в ежесуточном отборе проб выпадений в приземной атмосфере.
На территории
Павлодарской области радиационный мониторинг осуществлялся в трех пунктах:
Павлодаре, Экибастузе и Иртышске. Представленные графики показывают, что
некоторые ядерные испытания обусловливали увеличение загрязненности приземной
атмосферы. Наземные ядерные взрывы обусловили максимальное радиоактивное
загрязнение природной среды.
Рисунок 5 -–Зоны радиоактивного загрязнения за
территорией СИП по исследованиям 1956 года
Природный стронций
состоит из смеси стабильных изотопов: 84Sr (0,56 %), 86Sr
(9,86 %), 87Sr (7,02 %), 88Sr (82,56 %). Известны
радиоактивные изотопы с массовыми числами 77—83, 85, 89—99. Наибольший
токсикологический интерес представляют 85Sr,89Srn89Sr.
Содержание в природе. Sr
как аналог кальция активно участвует в обмене веществ у растений. Из
стратосферы стронций выпадает на почву, в которой радионуклид находится в
верхних слоях. В растения °Sr может поступать непосредственно при прямом
загрязнении листьев или из почвы через корни. Относительно большое количество
радионуклида накапливают бобовые растения, корне- и клубнеплоды и злаки.
Получение. При делении 235U
образуются 88Sr, 89Sr и 90Sr с выходами 3,57;
4,79; 5,77 % соответственно, а также короткоживущие изотопы с массовыми числами
от 91 до 97. Благодаря медленному распаду относительное содержание 90Sr
в смеси продуктов деления урана постепенно увеличивается: через 3 мес. на долю 90Sr
приходится около 13 % суммарной активности, через 15—20 лет —25%.
89Sr получают также в реакторе при
облучении нейтронами стабильного стронция по реакции 88Sr (п, у) Sr89
или при облучении дейтронами стабильного стронция на циклотроне по реакции 88Sr
(d, p) Sr89. 85Sr и Sr образуются по реакции (п, у) в
изомерном состоянии. 85Sr можно получить при облучении рубидия
протонами и дейтронами.
Применение. 85Sr
и 89Sr находит широкое применение в методе меченых атомов. В
медицине радиоактивный стронций используют в качестве аппликаторов при лечении
кожных и глазных болезней.
Антропогенные источники
поступления в окружающую среду. Небольшие количества 90Sr,
образующиеся в ядерных реакторах, могут поступать в теплоноситель из-за
дефектов в оболочке ТВЭЛа. При очистке теплоносителя радионуклид попадает в
газообразные и жидкие отходы. В результате крупных ядерных испытаний выход 90Sr
составляет 3,5 %.
Поступление,
распределение и выведение из организма. Радиоактивный стронций поступает в
организм через ЖКТ, легкие и кожу. Уровни всасывания стронция из ЖКТ колеблются
от 5 до 100%. Растворимые соединения стронций хорошо всасываются из ЖКТ,
величина резорбции составляет 0,1—0,6; этот показатель у плохо растворимых
соединений <0,01. Величина всасывания стронция у человека равна 0,3. 90Sr
быстро всасывается из легких. Через 5 мин после интратрахеального введения в
количестве 1,48-104 Бк/г в легких остается 33,3% введенного
количества, через сутки — 0,39%. При поступлении изотопов стронция через кожу в
количестве 24,05x104 Бк/см3 фиксация происходит сразу же
после загрязнения кожной поверхности. Всасывание 90Sr в количестве
18,5 х 105 Бк через неповрежденную кожу крыс за 6 ч составляет 0,3 %
нанесенного количества; через 12 ч в скелете крыс содержится до 4 %.
Важное значение при
резорбции стронция из ЖКТ имеет диета, физико-химические свойства радионуклида,
физиологические факторы (возраст, лактация и беременность, состояние
минерального обмена, нервной и эндокринной системы и др.). Так, величина
всасывания радионуклида из ЖКТ уменьшается: с увеличением возраста, с
повышением содержания кальция и фосфора в диете, при введении высоких доз тироксина.
Применение альгината натрия за 20 мин до введения 85Sr понижает
содержание его в крови в 8—10 раз. В период лактации всасывание стронция
увеличивается в 2 раза. Лактоза, лизин и аргинин удваивают величину всасывания
стронция из ЖКТ. Витамин Д увеличивает всасывание стронция (с 55 до 70 %) у
молодых крыс, больных рахитом; повторное введение экстракта паращитовидных
желез также усиливает всасывание Sr из ЖКТ. Коэффициент резорбции стронция из
ЖКТ повышен у беременных и лактирующих крыс.
Независимо от пути и
ритма поступления в организм растворимые соединения радиоактивного стронция
избирательно накапливаются в скелете. В мягких тканях задерживается менее 1 %.
Однако в ранние сроки определяются значительные количества 90Sr в
мягких тканях. Так, у собак через 6 ч после в/б введения стронция содержание
(на весь орган) составляет: в крови 23,6; в печени 4,7; в мышцах 4,2; в легких
3,4; в скелете 35,8 % введенного количества; у крыс — в мышцах 3,5; в печени
0,17; в почках 0,11; в скелете 52,5 %. Через 16 сут в мягких тканях
обнаруживаются лишь следы радионуклида.
Через сутки после
перорального введения концентрация 90Sr (на 1 г сырой массы) в костях крысы в 40—60 раз выше, чем в почках, селезенке и мышцах. В более поздние
сроки различия в уровнях концентрации становятся еще значительнее. Так, через 4
сут после введения радионуклида концентрация его в скелете в 120— 330 раз выше,
чем в семенниках, почках, селезенке и мышцах; через 16 сут — в скелете 0,116, в
мышцах 0,004 %, через 256 сут в скелете — 0,07 % введенного количества. После
ингаляции в легких задерживается примерно 10 % стронция. Радиоактивный стронций
полностью всасывается из легких в течение первых суток. Выводится из легких
97,8 % радионуклида с Те, равным 12,8 мин; 2,1 % — 10 ч, 0,1 % — 10 сут. Через
сутки после ингаляции в легких содержится всего 0,045% Sr, в скелете — 31,6 %.
Высокий процент в скелете — результат не столько всасывания радионуклида из
легких, сколько следствие резорбции из ЖКТ(до32,1 %).
Через 100 сут после в/в
введения в организме крыс, обезьян и кошек задерживается 47, мышей 33, кроликов
7,5, собак 26, человека 20 % введенного стронция.
Путь поступления влияет
на величину отложения стронция в скелете. Так, при интратрахеальном поступлении
депонируется 76, ингаляционном — 31,6, в/ж — 20—60, в/б — 81,2, накожном — 7 %.
На поведение стронция в
организме оказывает влияние вид, пол, возраст животного, а также беременность,
лактация и другие факторы. Наибольшее содержание стронция в скелете определено
у собак, кошек и ужей через 4 сут (75, 60 и 70 % соответственно), у крыс через
2 сут (82 %), у лягушек через 8 сут (70 %), у морских свинок через 6 ч (47 %) с
момента поступления изотопа в организм. В скелете самцов отложение этого
радионуклида выше, чем в скелете самок. Эти различия отсутствовали у старых
животных. Введение фолликулина и питуитрина до и после инкорпорации стронция
уменьшало отложение в скелете. Кастрация самок способствовала увеличению
содержания нуклида в скелете, которое становилось таким же, как у самцов. У
взрослого населения, получавшего питьевую воду с повышенным содержанием
кальция, накопление 90Sr оказалось достоверно ниже, чем у лиц из
контрольной группы (в среднем на 17 %). В костной ткани мужчин 90Sr
и кальций накапливается больше, чем у женщин.
С увеличением возраста
независимо от способа введений и вида животных, понижается величина отложения 90Sr
в скелете. Величина депонирования 90Sr в скелете собак в зависимости
от возраста при пероральном поступлении колеблется от 19.7 до 71,5 %. Отмечено,
что в мягких тканях у старых животных 90Sr откладывается в несколько
большем количестве, чем у молодых. При увеличении возраста крыс от 1,5 до 7
мес. величина отложения стронция в скелете уменьшается с 40,8 до 14,7 %. При
содержании кальция в диете в количестве 1,4 % величина отложения стронция у
крыс в возрасте 3 мес. уменьшается с 17,3 до 3,7 %. В условиях хронического
поступления, количество радиоактивного стронция, ранее фиксированное в скелете
самок, не влияет заметным образом на величину накопления в эмбрионе.
При введении изотопа в/м
или перорально в разные сроки беременности большее количество его (до 50—70 %)
откладывалось в плодах в последние дни беременности. Если беременность
наступала через 10 дней после введения стронция, то в организме крысят
содержалось только 0,2 % введенного количества. При введении стронция в разные
сроки лактации большие его количества передавались детенышам с молоком на 7 сут
(до 45 %). Отмечено значительное (в 1,5—2,5 раза) снижение содержания
радиоактивного стронция в скелете лактирующих крыс. Однако способность лактации
уменьшать содержание стронция в скелете матери возможна только тогда, когда
изотоп попадает в организм в период кормления или незадолго до его начала.
Стронций, который отложился в костях в отдаленные сроки до начала лактации,
выводится с молоком крайне слабо.
Распределение изотопов
стронция в различных частях одной и той же кости и в разных костях скелета
неравномерное. Так, в эпифизе и метафизе у крыс начальная концентрация стронция
в 2,5 раза выше, чем в диафизе. У собак максимальная концентрация обнаружена в
метафизе бедра, в эпифизе и ребрах, минимальная — в костях черепа и зубах. Это
свидетельствует о том, что стронций откладывается в участках костей, обладающих
наибольшей зоной роста. Показано сравнительно равномерное распределение
стронция в минеральной части кости. Стронций концентрируется под эпифизарным
хрящом, эндостом в метафизарной области и периостом в середине стволовой части
кости, т. е. в участках, где происходит усиленное образование кости. При
повторном или длительном поступлении радионуклида в организм распределение
такое же, как при однократном поступлении. Так, у крыс через 140—365 сут после
ежедневного перорального введения 90Sr (1,48-104 Бк)
содержание в скелете составляет 32—36 % введенного количества. Содержание в
ткани печени 1,49—1,6, в мышцах 0,05—0,11, в почках 0,01—0,07%. Концентрация
стронция в костях остается выше, чем в других органах и после прекращения
поступления радионуклида.
Учитывая функцию
удержания и выведения через почки стабильного и радиоактивного стронция (с
массовыми числами 85, 89, 90), дозу, создаваемую поступившим 9Sr и 90Sr
на поверхностном слое кости и красного костного мозга, и дозу, создаваемую
поступившим 85Sr на все тело, Абрамов и Голутвина рассчитали дозу на
поверхности кости при однократном и хроническом введении радионуклидов в
количестве 37 кБк/сут (таблица 20):
Таблица 20. Доза при однократном и хроническом
введении радионуклидов
|
Время после введения, сут
|
Доза Ю8г, мЗв
|
Доза '°Sr, мЗв
|
|
Однократное введение
|
|
|
10
|
0,16
|
0,3
|
|
50
|
0,43
|
1,2
|
|
100
|
0,60
|
2,2
|
|
1000
|
0,70
|
13,0
|
|
10000
|
0,70
|
41,0
|
|
Хроническое введение
|
|
|
10
|
0,9
|
1,8
|
|
50
|
14,0
|
33,0
|
|
100
|
40,0
|
110,0
|
|
1000
|
650,0
|
7000,0
|
Разработана возрастная
модель отложения щелочноземельных элементов в кости человека во всем возрастном
диапазоне, начиная с рождения. Показано, что ожидаемые эквивалентные дозы для
костного мозга при поступлении 90Sr в первые месяцы на порядок, а
для 89Sr на два порядка выше, чем при поступлении в организм
взрослого человека.
Выведение стронция из
организма происходит с калом и мочой. При пероральном поступлении больше
выделяется с калом. Так, за 8 сут суммарное выделение 89Sr
составляет 77,9 %, из них 5 % с мочой. Установлено несколько периодов
полувыведения 90Sr из организма. Короткий период полувыведения
(2,5—8,5 сут) характеризует выведение стронция из мягких тканей, длинный период
(90—154 сут) — преимущественно из костей. Выведение 90Sr из
организма собак выражается суммой пяти экспонент. При этом 45 % 90Sr
выводится с Тб, равным 1 сут, 20 % — 8 сут, 9 % — 58 сут, 10 % — 365 сут, 16 %
— 3360 сут (Mays, Dongerty); Введение 85Sr мужчинам-добровольцам в/в
показало, что 70 % введенного количества экскретируется за 30 сут, 15 % с Те,
равным 50 сут, 15 % выводится очень медленно.
При длительном
пероральном или парэнтеральном введении в организм 90Sr период
полувыведения из скелета значительно увеличивается, а начальный короткий период
полувыведения или отсутствует или очень мал.
С молоком у животных и
человека после однократного перорального поступления радионуклида во время
лактации выделяется от 0,04 до 4 % на 1 л молока от введенного; при хроническом поступлении Sr в организм с молоком выделяется 0,05— 6,3 % на 1 л по отношению к дневной норме.
Токсическое действие, животные
и среднесмертельные количества 89Sr и 90Sr приведены в
таблице 21.
Таблица 21 -–Среднесмертельные количества 89Sr
и 90Sr
|
Радионуклид
|
Животные
|
Путь введения
|
Введенное количество радионуклида, кБк/г
|
Срок гибели, сут
|
|
89Sr
|
Мыши
|
В/в
|
185,5
|
30
|
|
Крысы
|
В/в
|
25,9
|
360
|
|
|
62,9
|
120
|
|
|
185,0
|
30
|
|
|
370,0
|
10
|
|
В/б
|
37,0
|
230
|
|
|
99,9
|
130
|
Таблица 22 -–Среднесмертельные
количества 90Sr
|
Радионуклид
|
Животные
|
Путь введения
|
Введенное количество радионуклида, кБк/г
|
Срок гибели, сут
|
|
90Sr
|
|
|
185,0
|
30
|
|
Кролики
|
В/6
|
111,0
|
30
|
|
Козы
|
В/в
|
29,6
|
30
|
|
Крысы
|
В/в
|
7,4
|
360
|
|
|
11,1
|
90—120
|
|
|
18,5
|
30
|
|
|
111,0
|
6—10
|
|
В/б
|
7,4
|
50
|
|
|
14,8
|
10—15
|
|
|
111,0
|
30
|
|
Подкожно
|
7,4
|
60
|
|
В/в
|
18,5
|
30
|
|
Перорально
|
185,0
|
30
|
|
В/в
|
7,4
|
30
|
|
В/в
|
11,1
|
30
|
|
|
29,6
|
10
|
При пероральном
поступлении 90Sr для крыс ЛДюо/зо-45= 370 кБк/г, для обезьян ЛДюолз =
74 кБк/г; при в/в введении для крыс ЛДюо/зо = 18,5 кБк/г, для
собак — 11,1 кБк/г; при подкожном введении для собак ЛДюо/зо = 18,5—37,0 кБк/г.
Введение остроэффективных
количеств 90Sr вызывает развитие типичной картины острой лучевой
патологии. Возникают выраженные изменения со стороны периферической крови:
лейкопения, лимфопения, нейтропения, ретикулопения. Анемия достигает максимума
через 2—3 недели. Из других изменений красной крови выявлены сильная
полихромазия, пойкилоцитоз, резкий анизоцитоз. Наблюдается ускорение реакции
оседания эритроцитов, замедление свертываемости крови, увеличение объема
плазмы.
Подострая фаза болезни,
развивающаяся у крыс, характеризуется постепенным нарастанием симптомов
старения и истощения, прогрессирующей атрофией паренхиматозных органов и кожи с
ее придатками, лейкопенией, анемией, атрофией костного мозга, гиперплазией
селезенки за счет энергичного эктопического кроветворения. Часто присоединяется
вторичная инфекция, поражающая легкие и пищеварительную систему, вызывающая
дегенеративно-некротические изменения паренхиматозных органов, в первую очередь
печени и почек.
Sr вызывает нарушения в
процессе развития плода и новорожденных. При однократном в/б введении (18,0
кБк/г) самкам и самцам за 10 дней до первого спаривания отмечены нарушения
процесса имплантации и развития плацент, аномалии развития в период
органогенеза у новорожденных. Из общих аномалий в первые дни постнатального
развития -– асфиксическое состояние, дистрофия, отеки и патологические явления
в сосудистой системе. Самый частый тип аномалий — подкожная гематома (до 40,6 %
в третьем спаривании). Из локальных аномалий чаще всего встречались аномалии
сердца и кости. Наиболее глубокие изменения, наблюдающиеся в процессе
онтогенеза крыс, отмечены у потомства крыс от третьего спаривания, т. е. в
отдаленные сроки после поступления 90Sr в организм родителей.
Хронически эффективные
дозы, не вызывающие значительного сокращения продолжительности жизни, оказывают
существенное влияние на состояние функции печени и почек, нейроэндокринную
систему и иммунную реактивность, сперматогенез и овогенез.
При хроническом введении
собакам различных количеств Sr (7,4—0,074 кБк/кг в сутки) с пищей выявлено
фазно протекающее изменение функционального состояния половых желез и
надпочечников. В начальный период воздействия 9 Sr (поглощенная доза
в скелете 0,05—0,15 Гр) обнаружено увеличение функциональной активности
эндокринных желез. Повышение тканевой дозы в скелете до 0,5—1 Гр приводит к
угнетению сперматогенеза и изменению фракционного состава половых гормонов у
самок. Понижение кортикоидной функции надпочечников отмечено при более высоких
поглощенных дозах в скелете собак (1,5—2,5 Гр). Через 2,5—3 года у собак
наблюдается угнетение биологической активности андрогенов.
У собак, получавших
ежедневно 90Sr в количествах 7,4 и 0,74 кБк/кг с пищей в течение 3—
3,5 лет, выявлены нарушения в углеводном обмене, повышение холинэстеразной
активности сыворотки крови, изменения секреторной и экскреторной функций печени
и почек. Меньшие количества радионуклида (0,074 кБк/кг) существенных
функциональных изменений в организме собак не выявили. Гибель собак подопытной
группы за 9—13 лет наблюдения составила 80%. контрольной — 11,1%. Длительное
введение собакам радионуклида с пищей (0,74 и 0,074 кБк/кг) приводит при
накоплении средней поглощенной дозы в скелете до 3,6—9,0 Гр к учащению (в 3—5
раз по сравнению с контролем) развития у них доброкачественных и
злокачественных опухолей мягких тканей. Хроническое введение собакам 90Sr
(по 0,74 кБк/кг в сутки в течение 3 лет), создающее мощность тканевой дозы в
скелете до 1,5 Гр/год, может вызывать развитие лейкозов и остеосарком. При
хроническом введении в 10 раз меньших количеств (поглощенная доза в скелете до
0,5 Гр в год) отмечено нарушение развития и понижение жизнеспособности их
потомства.
Систематическое
поступление в организм небольших количеств 90Sr оказывает
существенное влияние на потомство мышей. Темпы размножения мышей от первых до
шестых родов снижаются прямо пропорционально ежедневно вводимому количеству
радионуклида. Поступление 90Sr в количестве 1,11—11,1 кБк/мышь
приводит к снижению жизнеспособности подсосного молодняка и уменьшению
численности пометов, а также нарушает нормальное соотношение полов.
Бластомогенное действие.
В отдаленные сроки после поражения как при однократном, так и при длительном
поступлении радионуклида развиваются опухоли костей, лейкозы. Начальные
изменения остеогенеза при хроническом поступлении Sr проявляются у крыс при
накоплении в скелете поглощенной дозы не менее 20 Гр. Максимальная величина
поглощенной дозы в критическом органе животных, которая не сопровождается
снижением количества ядросодержащих клеток в костном мозге, соответствует 10
Гр. Минимальные величины бластомогенных доз 40 Гр, максимальные — 160 Гр.
Продолжительность жизни животных при хроническом поступлении начинает снижаться
при поглощенных дозах выше 40 Гр.
Минимальная
остеосаркомогенная доза для мышей, крыс, кроликов, обезьян, собак и свиней при
введении 90Sr составляет 33, 35, 57, 25, 39, 63 Гр соответственно.
Риск развития остеосарком у крыс при инкорпорации оптимальных и минимальных
остеосаркомогенных доз р-излучателей
составляет соответственно 25*10» и 2—3*10»6 сГр»1. У
мышей-самок частота остеосарком выше, чем у самцов, что связывается с
потенцирующим влиянием эстрогенных гормонов на частоту опухолей костей (Finkel
et al.). При введении 90Sr во время беременности частота остеосарком
у лактирующих мышей значительно ниже (до 30 %), чем у нелактирующих. Удаление
паращитовидных желез за 10 сут до введения 11,3 кБк/r Sr снижает частоту
остеосарком с 69,7 до 22,6 %. При разрушении щитовидной железы 1311
остеосаркомы возникают только у 0,96 % крыс, при оперативном удалении
щитовидной железы они наблюдаются с такой же частотой, как и у контрольных
животных (69,7 %).
Средняя оптимальная
лейкомогенная доза при поражении остеотропными р-излучателями ( Sr) находится в
пределах 6— 70 Гр в костной ткани или 3,6—41,5 Гр в костном мозге. При
инкорпорации 90Sr увеличение частоты лейкемий у крыс от 1,5 (в
контроле) до 6,1 % (в опыте) обнаружено при кумулятивной дозе в скелете 3,6 Гр.
Лейкозы представлены преимущественно ретикулезами, гемоцитобластозами;
миелолейкозы и ретикулезы с эри-тробластической реакцией встречаются реже. У
мини свиней при хроническом поступлении с пищей Sr увеличивается частота лимфом
и миоэлоидных лейкемий. Наибольшую частоту опухолей наблюдают при поступлении
Sr в количестве 1 14,8 МБк/сут, вызывающем гибель животных от аплазии костного
мозга, наименьшую — при введении 37 кБк/сут. Риск развития лейкемии у взрослых
свиней и поросят практически одинаков и составляет соответственно (20 — 28)*10»6
и 28*10»6 сГр» на костную ткань (Howard, Clarke).
Для развития лейкемий
требуются относительно высокие дозы. У собак Sr вызывает миелоидную лейкемию
при кумулятивной дозе в костях 8 — 70 Гр, у свиней — 120 — 200 Гр. Средняя доза
в костном мозге составляет 25 % дозы в костной ткани.
Сведения об
остеосаркомогенном действии 90Sr на человека отсутствуют. Косвенная
оценка показывает, что верхний предел риска развития остеосарком от 90Sr
соответствует 4,5*10»6 сГр»1. При низкой дозе
предполагаемая частота остеосарком составляет небольшую долю от естественной
частоты этих опухолей. На основании экспериментального материала правомерно
считать, что минимальная остеосаркомогенная доза при инкорпорации р-излучателей
( °Sr, 40Ca и др.) в среднем составляет 10 Гр («Радиоактивные ...»).
Дети в 0,5 — 4 раза чувствительнее взрослых к индукции остеосарком (Mays).
Комбинированное действие.
Комбинированное действие 89Sr и 13|1 в количествах 130 и
37 Бк/г соответственно оказывает существенное влияние на функцию
воспроизводства потомства, кроветворную систему, продолжительность жизни.
Меньшие количества (в 100 раз) выявляют цитогенетическую патологию соматических
клеток без клинических симптомов.
При комбинированном
действии Sr и Се, Sr и Ри при равных или меньших поглощенных дозах эффект
повреждения не только суммируется, но выявляется раньше, чем при изолированных
воздействиях. Отмечается увеличение выхода остеосарком, сокращение латентного
периода их развития, повышение частоты лейкозов, более выраженные изменения
периферической крови, сокращение продолжительности жизни крыс. Количество
остеосарком увеличивается при действии Sr и Рт. В случае комбинированного
действия 137Cs, создающего поглощенную дозу на все тело, равную 3,3
Гр, и Sr (доза на скелет 100 Гр) при однократном поступлении ведущую роль в
развитии опухолей играет °Sr.
Меры профилактики. При
работе с радиоактивным стронцием необходимо соблюдать санитарные правила и
нормы радиационной безопасности с применением специальных мер защиты в
соответствии с классом работ.
Неотложная помощь.
Дезактивация открытых участков кожи 5 % раствором пентацииа, 5 % раствором
На2-ЭДТА, 2 % раствором соляной кислоты, препаратом «Защита-7», моющими
порошками. Внутрь препарат адсобар или сернокислый барий 25,0 : 200,0, альгинат
натрия или кальция 15,0:200,0, препарат полисурьмин 4,0:200,0. Обильное
промывание желудка или рвотные средства. После очищения желудка повторное
введение адсорбентов с солевыми слабительными. При поражении пылевидными
продуктами — обильное промывание носоглотки и полости рта, отхаркивающие
(термопсис с содой)
Среди механизмов
биогенной миграции радионуклидов большую роль играют растворимость, диффузия,
активный транспорт специфического или неспецифического типа, а также
возможность депонирования радионуклидов в клетках и органах. Роль и значение
каждого из элементов интенсивно изучается, однако еще недостаточно поняты. В
наших исследованиях вынос растениями радионуклидов определялся во время
цветения, во всей зеленой массе, без учета видового состава. Коэффициент
накопления радионуклида в растениях определяется отношением активности данного
радионуклида в 1 кг растительного образца к его активности в 1 кг почвы, взятых с одного и того же участка. Результаты определений приведены на диаграммах – рисунки
6, 7.
Рисунок 6 – Коэффициент
перехода цезия-137 из почвы в растения
Как видно из диаграммы
коэффициент перехода цезия-137 из почвы в растения незначителен, особенно в
точках с высоким содержанием этого радионуклида в почве. Его величина не превышает
0,03, что значительно ниже возможных величин – так в работе Кузнецова /51/
коэффициент накопления в сене разнотравья составлял 0,3 – 0,5, что в сто и
более раз выше полученного нами на территории полигона. В первую очередь это
связано с прочным удержанием Cs137 почвенными комплексами. Из
приведенных данных следует вывод о низкой радиотоксичности растительности
полигона на обследованной нами территории.
Содержание стронция-90 определялось
в тех же образцах, в которых определялась активность цезия-137, как видно из
диаграммы – рисунок 16 – уровень активности нуклидов стронция в растениях выше,
чем аналогичный показатель для цезия. Так же для обоих графиков характерно
более высокое значение коэффициента перехода для точек исследования с низким
содержанием радионуклидов цезия и стронция в почве. Это может быть связано с
некоторой пороговой величиной поступление ионов неспецифичных для растений.
Рисунок 7- Коэффициент
накопления стронция-90 растениями
Причины колебания
величины коэффициента накопления требуют специального изучения, в первую
очередь они связаны с различием в составе почвы, степенью связывания
радионуклидов, количеством воды в почве и другими физико-химическими и
агробиологическими факторами. Определение коэффициента накопления позволяет
прогнозировать возможное содержание радионуклидов в растительной массе по их
активности в почве. При этом необходимо отметить, что величины коэффициента
накопления для одного и того же нуклида в значительной мере зависит от вида
растения и условий их произрастания. Его величина не превышает 0,14, что
значительно ниже возможных величин – так в работе Кузнецова /51/ коэффициент
накопления в сене разнотравья составлял 0,99 – 1,87, что в десять и более раз
выше полученного нами на территории полигона.
В текущем году начаты
геоботанические исследования и отбор образцов растений для гербария. Однако в
целях радиационной безопасности сбор гербарных образцов проводился на участках
с радиационными характеристиками, не превышающими фоновых. Геоботаническое
состояние исследуемой территории определялось во время отбора проб или во время
отдельных выездов. На рисунке 17 приведена фотография типичного участка
местности, приуроченной к точке отбора проб под номером 15. Рассматриваемый
участок, основные виды и проективное покрытие почвы растениями отраженные на
рисунке 17 приведены в таблице 4. Отдельные участки этой территории при большем
увеличении приведены на рисунках 8 и 9.
Рисунок 8 - Фотография
типичного участка
На рассматриваемом
участке отмечены следующие виды: Artemisia frigida, A. scoparia, Latuca
tatarica, (сем. Asteraceae Dumort.); Gipsofilla perfoliata (сем.
Cariophillaceae Juss.); Festuca valesiaca, Stipa capillata (сем. Poaceae
Branchart.); Kochia prostratа (cем. Chenopodiaceae Vent.), Convolvulus arvensis
(сем. Convolvulaceae Juss.). Доминантом является Gipsofilla perfoliata, в
значительном обилии отмечается Artemisia frigida, Festuca valesiaca.
Незначительно представлены Stipa capillata, A. scoparia, Latuca tatarica, Convolvulus
arvensis. Проективное покрытие почвы растениями составляет от 70 до 90%.
Горизонтальная структура растительности неоднородная. Жизненное состояние
растений хорошее, признаков повреждения визуально не диагностируется.
Таблица 23 - Основные
виды и проективное покрытие почвы растениями
|
Виды
|
Высота
|
Обилие по Друде
|
Размещение
|
Фенофаза
|
|
Gipsofilla perfoliata
|
70-80см
|
cop1-sp
|
ggr
|
цв
|
|
Artemisia frigida
|
5-30см
|
sp
|
ggr
|
|
|
A. scoparia
|
40-45см
|
sol
|
ggr
|
|
|
Festuca valesiaca
|
15-25см
|
sp
|
ggr
|
цв
|
|
Stipa capillata
|
30-35см
|
sp-sol
|
ggr
|
|
|
Latuca tatarica
|
37-45см
|
sol
|
ggr
|
цв
|
|
Kochia prostratа
|
45-55см
|
sol
|
ggr
|
|
|
Convolvulus arvensis
|
до 25см
|
sol
|
ggr
|
|
Рисунок 9 - Фотография
части типичного участка под большим увеличением
Рисунок 10 - Фотография
части типичного участка под большим увеличением
Таким образом, можно
сделать предварительный вывод о том, что за время, прошедшее со дня
радиационного нарушения местности произошло восстановление растительного
покрова, снявшее антропогенное воздействие.
Заключение
При изучении данной
проблемы и решении поставленных задач из вышеизложенного материала можно
сделать следующие выводы:
обзор литературного
материала показал, что в изменении естественного радиационного фона окружающей
среды большой вклад вносят АЭС, ядерные взрывы и радиоактивные отходы. Наиболее
неблагоприятная радиационная обстановка в различных регионах нашей страны
складывалась за счёт искусственных радионуклидов (цезия-137 и стронция-90).
Причём ядерные взрывы, производившиеся раннее на территории Семипалатинского
полигона обусловили загрязнение природной среды главным образом стронцием-90 в
значительной степени. При этом зоны повышенной радиоактивности распределены на
территории Казахстана неравномерно. Земли Павлодарской области, находящиеся на
территории Семипалатинского полигона подверглись влиянию радиоактивных
элементов, которое проявляется как на молекулярном, клеточном уровне, так и на
уровне целого организма.
Основными радионуклидами,
определяющими характер загрязнения, в нашей области является стронций-90.
Некоторые районы Павлодарской области оказалась наиболее загрязнёнными
областями Республики Казахстан выпадениями стронция-90 в результате ядерных
взрывов.
Миграция радионуклидов в
почве во многом зависит от типа самой почвы, её механического состава, водно-физических
и агрохимических свойств. Так на сорбцию радиоизотопов влияют многие факторы, и
одним из основных является механический и минералогический состав почвы.
Тяжёлыми по механическому составу почвами поглощённые радионуклиды, особенно
стронций-90, закрепляются сильнее, чем лёгкими. Кроме того, эффект миграции
радионуклидов зависит от метеорологических условий (количество осадков).
Накопление (вынос)
радионуклидов сельскохозяйственными растениями зависит от свойства почвы и
биологической особенности растений.
При излучении влияния
радиоактивных изотопов на качество растениеводческой продукции видно, что они
не вызывают заметных повреждений растительных организмов, однако в урожае
сельскохозяйственных культур они накапливаются в значительных количествах, что
может нанести значительный вред здоровью человека. Поэтому необходимо
разработать мероприятия снижающие накопления радиоактивных веществ в
сельскохозяйственных растениях. Вопрос об изменении ведения сельского хозяйства
должен решаться в каждом конкретном случае с учётом всех обстоятельств на
основе полной достоверной информации.
Все мероприятия,
проводимые в настоящее время для проведения плодородия почв, будут
способствовать снижению размеров перехода радионуклидов в растение при
загрязнении сельскохозяйственных угодий радиоактивными выпадениями. Наиболее
простой и дешёвый приём снижения содержания радионуклидов в растениеводческой
продукции – подбор культур и сортов, отличающихся способностью накапливать,
выражая минимальное количество стронция-90. Как правило, это сорта с низким
содержанием калия и кальция.
Также эффективными
приёмами являются запашка загрязнённого пахотного слоя, известкование кислых
почв и внесение минеральных и органических удобрений. Правильный выбор глубины
обработки почвы и способов её проведения позволяет существенно снизить
поступление радионуклидов в растения в несколько раз.
В период с 1949 по 1989
гг на Семипалатинском испытательном полигоне (СИП), проводились ядерные
испытания и испытания с радиоактивными и делящимися материалами. Основными
источниками радиоактивного загрязнения территории СИП являются ядерные
испытания, которые проводились на испытательных площадках. Однако существует
другой потенциально значимый источник поверхностного загрязнения. Он появился в
результате проведения испытаний боевых радиоактивных веществ (БРВ). Подробности
программы испытаний БРВ до недавнего времени были засекречены. Места проведения
этих испытаний были установлены во время площадного обследования полигона.
Обнаруженные фрагменты взорванных бомб и снарядов, воронки с локализованными
высокими уровнями радиоактивности и пр., не соответствовали общей программе
испытаний ядерного оружия.
Испытания БРВ проводились
на двух площадках «4» и «4а». Боевые радиоактивные вещества представляли собой
жидкие или порошкообразные радиоактивные рецептуры, изготовленные либо из
отходов радиохимического производства, либо путем облучения специально
подобранных веществ нейтронами работающего атомного реактора. Их удельная
активность колебалась от десятых долей до нескольких кюри на литр. Испытания
включали рассеяние БРВ путем подрыва отдельных снарядов, бомбардировки участков
минометными снарядами, сброса бомб или распыления БРВ с самолетов. В ходе
обследования площадок испытаний БРВ проводилась крупномасштабная пешеходная
гамма-, бета-съемка (масштаб съемки от 1:200 000 до 1:20 000). Фиксированные
радиометрические измерения проводились по регулярной равномерной сети, между
точками сети проводилась пешеходная съемка по профилям в режиме поиска. Все
обнаруженные загрязненные территории были объединены в 30 участков, при этом 25
из них расположены на площадке «4а». На каждом участке были отобраны пробы
почвенного покрова. На некоторых участках были заложены почвенные разрезы и
отобраны послойные пробы почвы, также были взяты образцы растительности. Во
всех отобранных пробах природной среды были проведены лабораторные анализы на
содержание радионуклидов 137Cs, 90Sr, в некоторых пробах 239+240Pu.
На всех обнаруженных участках удельная активность 90Sr в отобранных
пробах на несколько порядков превышает удельную активность других радионуклидов
и находиться на уровне низко- и среднерадиоактивных отходов (до 108
Бк/кг). Такие соотношения радионуклидов характерны только для БРВ. По
результатам обследования были построены карты распределения радиационных
параметров, определены площади участков радиоактивного загрязнения и запасы
радионуклидов, сосредоточенных в почвенном покрове.
На основании полученных
результатов была проведена оценка дозовых нагрузок на население, которое
проживает вблизи площадок испытания БРВ. Оценивались дозы внутреннего и
внешнего облучения, формируемые по основным трофическим цепям переноса
радионуклидов. Полученные данные позволили определить первостепенные
мероприятия по обеспечению радиационной безопасности населения и рассмотреть
возможные способы ремедиации загрязненных территорий.
Список использованной
литературы
1
Рахимова Н.Н.
Влияние поверхностных вод на миграционные процессы радионуклидов в почве / Н.Н.
Рахимова // Материалы научно-практической конференции молодых ученых и
специалистов Оренбуржья. Ч. 3. Оренбург, 2001. С. 211-212.
2
Янчук Е.Л.
Исследование нахождения подвижных форм тяжелых металлов в почвах Оренбургской
области и поступление их в растения / Е.Л. Янчук, Н.Н. Рахимова, И.В. Ефремов,
А.П. Березнев // Научные труды первой Всероссийской научно-практической
конференции «Здоровьесберегающие технологии в образовании». Оренбург, 2003. С.
45- 48. Доля личного вклада автора 30%.
3
Ефремов И.В.
Исследование нахождения подвижных форм тяжелых металлов и радионуклидов
цезия-137, стронция-90 в почвенно-растительных комплексах степной зоны / И.В.
Ефремов, Н.Н. Рахимова, Е.Л. Янчук // Актуальные проблемы экологии.: Сб. науч.
работ. Т.3. №3. Томск, 2004. С. 455 – 456. Доля личного вклада автора 30%.
4
Ефремов И.В.
Профильная миграция стронция-90 и цезия-137 в почвах естественных экосистем
степных ландшафтов / И.В. Ефремов, Н.Н. Рахимова // III съезд биофизиков
России. Т. 2, Воронеж, 2004. С. 640 – 642. Доля личного вклада автора 50%.
5
Рахимова Н.Н.
Изучение миграции радионуклидов в почвах Оренбургской области / Н.Н. Рахимова,
И.В. Ефремов // Тезисы докладов междунар. науч. конференции: Ч.5. Биология.
Экология. Иваново: ИвГУ, 2001. С. 77-78.
6
Рахимова Н.Н.
Оценка влияния физико-химических свойств почвы на коэффициент накопления
цезия-137 в растениях / Н.Н. Рахимова // Материалы научно-практической
конференции молодых ученых и специалистов Оренбуржья. Ч. 2. Оренбург, 2002. С.
84-86.
7
Ефремов И.В.
Математическое моделирование миграции радионуклидов в почвенно-растительных
комплексах Оренбуржья / И.В. Ефремов, Н.Н. Рахимова, Е.Э. Савченкова, К.Я.
Гафарова // Вестник ОГУ, №9. Оренбург, 2005. С. 129 -133. Доля личного вклада
автора 40%.
8
Ефремов И.В.
Особенности профильной миграции радионуклидов цезия-137 и стронция-90 в системе
почва – растение / И.В. Ефремов, Н.Н. Рахимова, Е.Л. Янчук // Вестник ОГУ, №12.
Оренбург, 2005. С. 49 - 54. Доля личного вклада автора 40%.
9
Кадыржанов К.К.,
Лукашенко С.Н. Перспективы исследования и развития СИП //Материалы III Международной конференции. Институт радиационной
безопасности и экологии НЯЦ РК. 6-8 октября 2008 г. - Курчатов, 2008, 93 с.
10
Бобылев А.И., Ефремов Г.Ф., Шишков И.А. Современное радиационное состояние Восточно-Казахстанской
области // Материалы III Международной
конференции. Институт радиационной безопасности и экологии НЯЦ РК. 6-8 октября
2008 г. - Курчатов, 2008, 93 с.
11
Артемьев О.И., Осинцев
А.Ю., Газиев Я.И Исследования радиоактивного загрязнения атмосферы
Семипалатинского полигона и прилегающего региона // Материалы III Международной
конференции. Институт радиационной безопасности и экологии НЯЦ РК. 6-8 октября
2008 г. - Курчатов, 2008, 93 с.
12
Стрильчук Ю.Г., Осинцев
А.Ю., Кузин Д.Е., Брянцева Н.В., Тоневицкая О.В., Яковенко Ю., Беловолов Н.Н., Артемьев
О.И., Птицкая Л.Д., Лукашенко С.Н. Радиационная обстановка на территориях, прилегающих к СИП // Материалы III Международной конференции. Институт радиационной
безопасности и экологии НЯЦ РК. 6-8 октября 2008 г. - Курчатов, 2008, 93 с.
13 Рахимова Н.Н. Исследование характера
профильной миграции и коэффициента накопления цезия-137 и стронция-90 в
почвенно-растительном покрове Оренбургской области / Н.Н. Рахимова // Материалы
научно-практической конференции молодых ученых и специалистов Оренбуржья. Ч. 2.
Оренбург, 2003. С. 91-92.
14
Субботин С.Б.,
Лукашенко С.Н., Бахтин Л.В Характер и уровни радиоактивного загрязнения водной среды
СИП// Материалы
III Международной конференции. Институт радиационной безопасности и экологии
НЯЦ РК. 6-8 октября 2008 г. - Курчатов, 2008, 93 с.
15
Бударников В.А.,
Киршин В.А., Антоненко А.Е. Радиобиологический справочник. – Мн.: Уражай, 1992.
– 336 с.
16
Чернобыль не
отпускает… (к 50-летию радиоэкологических исследований в Республике Коми). –
Сыктывкар, 2009 – 120 с.
17
Пивоваров Ю. П.
Радиационная экология: Уч. пособие для студентов высших учебных заведений. /Ю.
П. Пивоваров и др. – М.: Изд. Центр «Академия», 2004, -240 с.
18
Радиационная
безопасность. – Б.м.: Международное агентство по атомной энергии, 1996, -20 с.
19
Рахимова Н.Н.
Исследование характера профильной миграции и биологического накопления
цезия-137 и стронция-90 / Н.Н. Рахимова, И.В. Ефремов, Е.Л. Янчук // Научные
труды первой Всероссийской научно-практической конференции «Здоровьесберегающие
технологии в образовании». Оренбург, 2003. С.199-202.
20
Правила
безопасной перевозки радиоактивных веществ, издание 1985 г. (исправленное в
1990 г.), МАГАТЕ, Вена.
21
Правила
безопасности при транспортировании радиоактивных веществ (ПБТРВ-73). М.,
Атомиздат, 1974
22
Основные правила
безопасности и физической защиты при перевозке ядерных материалов (ОПБЗ-83).
М., ЦНИИатоминформ, 1984
23
Агроэкология /
Черников В.А., Алексахин Р. М., Голубев А. В. и др. – М.: Колос, 2000. – 536 с.
24
Глазовская М. А.
Геохимия природных и техногенных ландшафтов СССР. – М.: Высш. шк., 1988. – 328
с.
25
Гришина Л.А.,
Копцик Г. Н., Моргун Л.В. Организация и проведение почвенных исследований для
экологического мониторинга. – М.: Изд-во МГУ, 1991. – 82 с.
26
Завилохина О.А.
Экологический мониторинг РФ. 2002.
27
Законом РФ
"Об охране окружающей природной среды". #"485238.files/image014.jpg"
alt="#">
Приложение В
Хронология и параметры
наземных ядерных взрывов, осуществленных на Семипалатинском полигоне
|
№
п/п
|
Дата проведения
|
Энерговыде-
ление (ТЭ),
кт
|
Высота взрыва,
м
|
Количество биологически значимых радионуклидов, выброшенных в
атмосферу, Ки
|
|
90Sr
|
137Сs
|
239,240Pu
|
|
1
|
29.08.1949 г.
|
22
|
30
|
1500
|
4200
|
360
|
|
2
|
24.09.1951 г.
|
38
|
30
|
2700
|
7500
|
300
|
|
3
|
12.08.1953 г.
|
400
|
30
|
22000
|
29000
|
280
|
|
4
|
05.10.1954 г.
|
4
|
0
|
300
|
840
|
105
|
|
5
|
19.10.1954 г.
|
0
|
15
|
0
|
0
|
215
|
|
6
|
30.10.1954 г.
|
10
|
50
|
750
|
2100
|
100
|
|
7
|
29.07.1955 г.
|
1.3
|
2.5
|
120
|
300
|
245
|
|
8
|
02.08.1955 г.
|
11.5
|
2.5
|
1050
|
1800
|
200
|
|
9
|
05.08.1955 г.
|
1.2
|
1.5
|
105
|
180
|
215
|
|
10
|
21.09.1955 г.
|
1.2
|
1.5
|
105
|
180
|
215
|
|
11
|
16.03.1956 г.
|
13.2
|
0.4
|
1600
|
2500
|
240
|
|
12
|
25.03.1956 г.
|
5.5
|
1
|
360
|
600
|
190
|
|
13
|
24.08.1956 г.
|
26.5
|
100
|
2200
|
3800
|
90
|
|
14
|
09.09.1961 г.
|
0.4
|
0
|
42
|
70
|
225
|
|
15
|
14.09.1961 г.
|
0.4
|
0
|
42
|
70
|
250
|
|
16
|
18.09.1961 г.
|
0.004
|
1
|
-
|
-
|
250
|
|
17
|
19.09.1961 г.
|
0.003
|
0
|
-
|
-
|
250
|
|
18
|
03.11.1961 г.
|
0
|
0
|
-
|
-
|
230
|
|
19
|
04.11.1961 г.
|
0.15
|
0
|
11
|
19
|
195
|
|
20
|
07.08.1962 г.
|
10
|
0
|
930
|
1600
|
200
|
|
21
|
22.09.1962 г.
|
0.2
|
0
|
17
|
29
|
280
|
|
22
|
25.09.1962 г.
|
7
|
0
|
650
|
1100
|
205
|
|
23
|
05.11.1962 г.
|
0.4
|
15
|
40
|
70
|
190
|
|
24
|
11.11.1962 г.
|
0.1
|
8
|
8
|
13
|
210
|
|
25
|
13.11.1962 г.
|
0
|
0
|
-
|
-
|
210
|
|
26
|
24.11.1962 г.
|
0
|
0
|
-
|
-
|
140
|
|
27
|
26.11.1962 г.
|
0.03
|
0
|
-
|
-
|
210
|
|
28
|
23.12.1962 г.
|
0
|
0
|
-
|
-
|
210
|
|
29
|
24.12.1962 г.
|
0.007
|
0
|
-
|
-
|
250
|