Технология производства полиакрилонитрила

  • Вид работы:
    Реферат
  • Предмет:
    Химия
  • Язык:
    Русский
    ,
    Формат файла:
    MS Word
    3,12 Mb
  • Опубликовано:
    2011-03-05
Вы можете узнать стоимость помощи в написании студенческой работы.
Помощь в написании работы, которую точно примут!

Технология производства полиакрилонитрила


















Технология производства полиакрилонитрила


Введение

Полимер нитрила акриловой кислоты (полиакрилонитрил) был впервые получен Моро в 1893 г. из этиленциангидрина и амида акриловой кислоты. Затем в 1931 г. Карозерс разработал метод получения латексов из полиакрилонитрила. Позднее, в 1940 году был предложен метод сополимеризации акрилонитрила с бутадиеном (нитрильный каучук).

Поскольку полиакрилонитрил не растворялся в известных органических растворителях, его невозможно было перерабатывать в волокна. Впервые волокно из полиакрилонитрила получили с использованием в качестве растворителя диметилформамида.

Позднее было установлено, что полиакрилонитрил растворяется в концентрированном водном растворе роданида натрия или кальция. Это имело большое значение для усовершенствования технологии получения полиакрилонитрила.

Полиакрилонитрил и сополимеры на его основе нашли широкое применение в производстве волокон широкого назначения, бутадиен-нитрильного каучука, ударопрочного полистирола и других продуктов [1, С. 132].


1.   Структура полиакрилонитрила

Полиакрилонитрил – труднокристаллизующийся линейный, карбоцепный полимер белого цвета. Структурная формула:


Методом ЯМР удалось установить, что микроструктура полиакрилонитрила зависит от условий полимеризации акрилонитрила. В присутствии радикальных инициаторов (например, перекиси бензоила, окислительно-восстановительных систем) при 40–80°С, а также анионных катализаторов (бутиллития) или под действием -излучения при -78°С образуется полиакрилонитрил одновременно синдио- и изотактической структуры (1:1). При получении полиакрилонитрила в канальных комплексах (например, в комплексе акрилонитрила с мочевиной) при -78°С и радиационном инициировании доля изотактической структуры возрастает до 75–90%.

В зависимости от условий полимеризации акрилонитрила могут быть получены полимеры различного молекулярного веса (20000–350000).

Зависимость между молекулярной массой и характеристической вязкостью [], определяемой в диметилформамиде (С=2–20 г./л) при 20°С, выражается уравнением []=K*10-3*M, в котором К и соответственно попарно равны: 1,75 и 0,66; 2,5 и 0,66; 0,233 и 0,75; 0,166 и 0,81; 0,392 и 0,75; 0,34 и 0,73; 0,317 и 0,746; 0,278 и 0,76. величины этих коэффициентов зависят от способа приготовления раствора акрилонитрила [3, С. 354].

Молекулярно-массовое распределение полиакрилонитрила, соответствующее преобладающему способу обрыва цепи (рекомбинацией), характеризуется кривой с одним максимумом в случае гомогенной полимеризации (при отсутствии модифицирующего действия среды, например, диметилформамида или роданидов) и кривой с тремя максимумами в случае гетерофазной полимеризации. Специальные виды волокон (прочные, термостойкие) формуют из полиакрилонитрила, характеризующегося узким молекулярно-массовым распределением, т. к. максимально возможная при вытяжке ориентация уменьшается с увеличением полидисперсности. Полиакрилонитрил с наиболее узким молекулярно-массовым распределением образуется при анионной полимеризации акрилонитрила. При радикальной полимеризации акрилонитрила в гетерогенных условиях образуется полиакрилонитрил с наиболее широким молекулярно-массовым распределением.

Значение стерического фактора (гибкости) макромолекулы полиакрилонитрила =2,5–3,2, а длина сегмента Куна 3,17 нм [5, С. 150].


2. Свойства полиакрилонитрила

 

2.1 Химические

Полиакрилонитрил при нагревании изменяет свой цвет, причем этот процесс всегда сопровождается потерей растворимости. Предполагается, что изменение окраски связано с образованием азометиновых мостиков между соседними макромолекулами, чему благоприятствует сильное притяжение, существующее между атомом азота и подвижным атомом водорода, находящимся в  – положении:


Стабилизация полиакрилонитрила и его сополимеров может быть произведена добавлением N-алкилоксиацетамидов (N, N-диметил-, N-этил-, N-метил-, N, N-диэтилоксиацетамидов). При стабилизации вводят 1–20% одного из указанных соединений. Для создания тепло- и светоустойчивых композиции можно приготовить при использовании стабилизаторов общей формулы R2NCH2СH2CN, например -диметиламинопропионитрила или -n-бутиламинопропионитрила [3, C. 354].

Термическое воздействие (выше 150°С) вызывает необратимые изменения в химическом строении макромолекулы полиакрилонитрила, являющиеся результатом последовательного взаимодействия групп – CN между собой с образованием циклических структур. Это свойство полиакрилонитрила используется при изготовлении углеродных волокон (волокон специального назначения).

Производство углеродных волокон на основе ПАН волокон включает две стадии – термостабилизацию и карбонизацию. На стадии термостабилизации ПАН волокна нагревают приблизительно до 180–300°С в кислородсодержащей среде, при этом в структуре полимера протекает дополнительная ориентация. Образующиеся одновременно поперечные межмолекулярные связи между цепями позволяют избежать пиролиза при более высокой температуре. Довольно сложный химизм процесса стабилизации в основном включает в себя циклизацию нитрильных групп (C=N) и образование поперечных (межмолекулярных) связей цепных молекул, сопровождающееся дегидрированием и окислительными реакциями. В ходе этого процесса линейный полимер приобретает лестничную структуру [4, С. 30].


Образование хромофорных сопряженных связей – C=N–, вызывающее интенсивное окрашивание полиакрилонитрила в оранжево-коричневый и далее в черный цвет, промотируется нуклеофильными реагентами; наиболее эффективны карбоновые кислоты, фенолы, имиды и менее активны амиды, алифатические амины, спирты, альдегиды и кетоны (кроме ацетона). В инертной атмосфере такое превращение протекает гладко и вплоть до 220°С не приводит к разрушению основной полимерной цепи.

Нагревание на воздухе приводит к окислительному дегидрированию с образованием конденсированных нафтиридиновых структур и осложняется параллельно протекающими процессами термоокислительной деструкции полиакрилонитрила.


Продукты термического превращения полиакрилонитрила нерастворимы в обычных для полиакрилонитрила растворителях и обладают исключительно высокой термостойкостью: внесенные в пламя горелки порошок или волокно черного цвета из термообработанного полиакрилонитрила накаляются докрасна, но не горят [6, С. 44].

Полиакрилонитрил омыляется H2SO4 конц. (75–95%-ная) на холоду; образуется хлопьевидный продукт белого цвета с молекулярной массой 62% от исходной, содержащий амидные (молярная концентрация до 90%) и имидные звенья:


Этот продукт растворим в воде и слабых растворах кислот и щелочей, но не растворим в диметилформамиде. Пленки, полученные из 20%-ного водного раствора этого продукта, прозрачны и эластичны, но при высушивании становятся хрупкими; при 200°С они сильно темнеют и при 250–260°С разрушаются, не плавясь.

Нагревание полиакрилонитрила в процессе растворения в H2SO4 приводит к полному исчезновению амидных и имидных групп и образованию карбоксильных групп.


При обработке полиакриламида раствором соды степень омыления достигает 30–40%. По деструктивному действию омыляющие агенты можно расположить в следующий возрастающий ряд: NaOH (1%-ный), НС1, НСООН, Na2CO3, H2SO4, H3PO4. При взаимодействии полиакрилонитрила с гидроксиламином при 50–100°С протекает реакция образования амидоксимных групп с последующим выделением аммиака и образованием групп гидроксамовой кислоты:


Для реакции применяется раствор сернокислого гидроксиламина и едкого натра в количестве, достаточном для выделения – 99,2% гидроксиламина. Полимер после реакции содержит как группы гидроксамовой кислоты, так и непрореагировавшие нитрильные группы. Наличие в полимере групп гидроксамовой кислоты способствует лучшему окрашиванию полиакрилонитрильного волокна.

2.2 Физические

Полиакрилонитрил в отличие от других акриловых смол не растворяется в обычных растворителях. Эта особенность объясняется значительными межмолекулярными силами, возникающими вследствие полярной природы – С = N-групп. Представления о влиянии водородных связей в полимерах на их растворимость в полярных растворителях и установление растворимости полиакрилонитрила в гидротропных растворителях (например, в концентрированном водном растворе роданистого кальция), послужили толчком к поискам высокополярных растворителей.

Так как группа – CN является сильно полярной, то полиакрилонитрил растворяется только в очень полярных растворителях, например, в диметилформамиде, диметилацетамиде, этиленкарбонате, диметилсульфоксиде, концентрированных водных растворах бромистого лития, роданистого натрия или кальция, смеси ZnCl2+CaCl2, концентрированных HNO3 и H2SO4 (в последнем случае группы – CN гидролизуются).

Показатель растворимости полиакрилонитрила =30,8*10-3 (Дж/м3)0,5, а воды =46,4*10-3 (Дж/м3)0,5 напомним, что растворение полимера в растворителе происходит при значениях 4 (Дж/м3)0,5, т.е.  должен быть почти равен , что для воды и полиакрилонитрила не наблюдается [4, C. 99].

При нагревании полиакрилонитрил растворяется в N-формилпиперидине (170–180°С), цианацетамиде (165–170°С), N-метил-иианацетамиде (180–190°С), этиленциангидрине (165–170°С), однако при охлаждении этих растворов образуются гели (происходит застудневание). Предполагается, что механизм застудневания растворов полиакрилонитрила заключается в образовании трехмерной сетки за счет возникновения вторичных межмолекулярных связей. Скорость застудневания повышается при увеличении концентрации растворов, молекулярного веса полимера и количества введенной воды [6, С. 43].

Растворители способные разрушить межмолекулярные связи в полимере это диметилформамид и тетраметиленсульфон, динитрил малоновой и янтарной кислот, смеси, содержащие более 60% этиленкарбоната и воды, диметилцианамид, концентрированные водные растворы некоторых солей, например бромистого лития, роданистого натрия и кальция, хлористого цинка.

Для снижения растворимости полиакрилонитрил обрабатывают водным раствором формальдегида.

Таблица 1 Свойства полиакрилонитрила

Свойство

Значение

Плотность, г/см3

1,14–1,15

Показатель преломления, n

1,49–1,52

Температура размягчения (с одновременной деструкцией), °С

220–230

Удельная теплоемкость, кДж/(кг*К) [кал/(г*°С)]

1,51

Прочность при растяжении (для волокна), Мн/м2 (кгс/мм2)

600 (60)

Относительное удлинение, %

10–35

Влагопоглощение отпрессованного образца, %

1–2

Дипольный момент, к*м (D)

1,13–10-4

Диэлектрическая проницаемость при


50 гц

6,5

1 Мгц

4,2

Удельное объемное электрическое сопротивление, Том*м (Ом*см)

1 (1014)

Тангенс угла диэлектрических потерь при


50 гц

1 Мгц

0,03


Для полиакрилонитрила характерны две температуры стеклования. Первая из них лежит в области от 86 до 96,5 °C. Зависимость ее от молекулярной массы хорошо описывается уравнением Флори:



где а=(2,8±0,1)*105; Т =(96,5±1,0)°С, т.е. значение при М. Вторая температураpa стеклования составляет около 140°С и определяется сдвигом равновесия дипольного взаимодействия нитрильных групп [6, С. 43].

2.3 Термические

Полиакрилонитрил при нагревании в атмосфере азота не претерпевает никаких изменений до 200°С, но при более высокой температуре происходит его размягчение и появление газообразных продуктов, главным образом аммиака NH3, и водорода Н2. При 270°С наблюдается также выделение цианистого водорода HCN. Из жидких продуктов распада полимера можно выделить вещества, содержащие группы – NH2 и – С = N. Также присутствуют винилацетонитрил и вещества, являющиеся димерами, тримерами и тетрамерами акрилонитрила. Полимер окрашивается и становится нерастворимым.

Энергия активации термической деструкции 130 кДж/молъ (31 ккал / молъ).

При нагревании растворов полиакрилонитрила в диметилформамиде в токе воздуха, кислорода или в инертной атмосфере в течение 30–40 часов полиакрилонитрил также окрашивается в желтый и далее в темно-коричневый цвет; образующиеся при этом сопряженные системы растворимы в диметилформамиде [6, С. 44].

При температурах выше 700°С полиакрилонитрил подвергается химическому превращению в полимер циклической структуры, содержащий сопряженные двойные связи. В зависимости от условий пиролиза (вакуум или воздух, водород, азот и аммиак под давлением) образуются продукты с различными свойствами. В ряде случаев может быть получен продукт графитовой структуры, обладающий свойствами полупроводников (удельная электропроводность 10-10 – 10-13 Мом/см).

При длительной термической обработке полиакрилонитрильного волокна или ткани в азоте и на воздухе получен термостойкий материал, выдерживающий кратковременное воздействие пламени горелки и сохраняющий достаточную прочность.


3. Производство полиакрилонитрила

Акрилонитрил в присутствии инициаторов легко вступает в редакцию полимеризации, сопровождающуюся выделением 73,3 кДж/моль тепла.

В качестве инициаторов применяют пероксиды, азо- и диазосоединения, а также элементоорганические соединения [1, С. 132].

Кислород ингибирует полимеризацию акрилонитрила, поэтому процесс проводят в среде азота. Скорость реакции значительно возрастает в присутствии следов ионов меди или железа.

При полимеризации акрилонитрила используют также окислительно-восстановительные системы. Чаще всего применяют персульфат аммония с тиосульфатом или гидросульфитом натрия, что позволяет проводить реакцию при более низких температурах и получать полимер с более высокой молекулярной массой.

В промышленности полиакрилонитрил получают радикальной полимеризацией акрилонитрила в гетерогенных или гомогенных условиях. Производство полиакрилонитрила может быть осуществлено как периодическим, так и непрерывным методами.

Непрерывный технологический процесс получения полиакрилонитрила состоит из стадий приготовления растворов, полимеризации акрилонитрила, демономеризации дисперсии и конденсации акрилонитрила, фильтрации, промывки и сушки полимера.

полиакрилонитрил химический карбоцепный

Таблица 2 Нормы загрузки компонентов

Аппарат 4

Персульфат калия, кг

3,0

Вода обессоленная, м3

0,44

Аппарат 5

Метагидросульфит натрия, кг

0,1

Вода обессоленная, м3

0,050

Аппарат 6

НАК, м3

0,0224

Раствор персульфата калия, м3

0,073

Раствор метагидросульфита натрия, м3

0,0246


Полимеризация проводиться при различных температурах: зона 1 30–32°С, зона 2 35–37°С, зона 3 25–30°С.

Полимеризацию акрилонитрила проводят в реакторе непрерывного действия в водной среде в присутствии окислительно-восстановительной инициирующей системы из персульфата калия и метагидросульфита натрия. Степень превращения мономера в полимер равна 80–85%.

Рисунок 1 Схема процесса производства полиакрилонитрила: 1 – полимеризатор; 2, 6, 7 – напорные емкости; 3 – смеситель; 4, 5 – аппараты для растворения инициатора; 8 – промежуточная емкость; 9 – колонна демономеризации – 10 – холодильник кожух отрубный; 11 – отстойник; 12 – сборник дисперсии полимера; 13, 15 – барабанные фильтры; 14 – репульпатор; 16 – сушилка с кипящим слоем

НАК подается из напорной емкости 2 в смесительный аппарат 3. Водные растворы персульфата калия и метагидросульфита натрия готовят в аппаратах для растворения 4, 5, из которых они самотеком поступают в емкости 6, 7, а затем дозируются в аппарат 3.

Полученная дисперсия поступает в промежуточную емкость 8, а затем в колонну 9 для отделения непрореагировавшего акрилонитрила (демономеризации) путем отгонки. Демономеризация проводится при 50–60 °С и остаточном давлении 6,6–20,0 кПа.

Пары акрилонитрила и воды конденсируются в холодильнике 10. Конденсат поступает в отстойник 11, в котором он разделяется на два слоя: верхний слой – акрилонитрил, нижний слой – 7%-ный раствор акрилонитрила в воде.

Дисперсия полимера, из которой выделен акрилонитрил, из аппарата 9 поступает в сборник 12, откуда периодически насосом подается на вакуум-барабанный фильтр 13 для отделения полимера от маточного раствора. Полимер с барабана срезается ножом и попадает на транспортный желоб. Сюда же одновременно подается вода для смывания полимера в репульпатор 14. В аппарате 14 полимер отмывается от остатков мономера и инициатора. Из репульпатора пульпа подается на вакуум-барабанный фильтр 15. После фильтрации полимер с влажностью 80% сушат в сушилке с кипящим слоем 16 до содержания влаги 0,7–1,5% [1, С. 134].

Гетерофазная полимеризация акрилонитрила характеризуется самоускорением (примерно до степени превращения 20% при 60°С), которое обусловлено захватом макрорадикалов, выпадающим в осадок полимером. Эффективные скорости роста захваченных макрорадикалов зависят от температуры и степени экранирования активного центра свернутыми цепями, препятствующими диффузии акрилонитрила и других реагентов в твердую фазу.

Особенность гетерофазной полимеризации – увеличение молекулярной массы полиакрилонитрила с возрастанием степени превращения. Этот факт обусловлен захватом твердой фазой макрорадикалов, которые при температуре ниже 60°С не гибнут. Гетерофазная полимеризация акрилонитрила чувствительна к перемешиванию, центрифугированию, так как в этих условиях возрастает числе столкновений глобул и, следовательно, скорость обрыва цепи. Кислород в небольшом количестве способствует увеличению скорости полимеризации вследствие дополнительного образования перекисей и гидроперекисей акрилонитрила, служащих инициаторами. В присутствии большого количества кислорода процесс ингибируется и в пределе может прерваться. Поэтому полимеризацию с перемешиванием проводят в атмосфере инертного газа при охлаждении реактора в изотермических условиях.

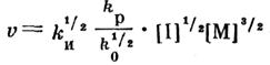
Скорость гетерофазной полимеризации акрилонитрила v определяется суммой скоростей Rs (в водном растворе акрилонитрила) и Rg (на глобулах полиакрилонитрила):


где kр и kр – константы скоростей роста соответственно в водном растворе акрилонитрила и на глобулах полиакрилонитрила; [М] – концентрация акрилонитрила в водном растворе; [М]адс – эффективная концентрация акрилонитрила, адсорбированного на глобулах; [М'р] – концентрация свободных радикалов в растворе; [р-] – концентрация глобул в реакционной смеси.

Добавки Cu2O, Ni2O, MgO, A12O3, SiO2 к жидкому акрилонитрилу при -78°C или к твердому акрилонитрилу при -196°С сенсибилизируют полимеризацию и повышают скорость процесса. Акрилонитрил быстро полимеризуется в твердой фазе (степень превращения ~100%) в присутствии сильно измельченного катализатора (метод молекулярных пучков); процесс особенно интенсивен при -160°С и -130°С (точки фазовых переходов); при этом может иметь место взрывная полимеризация [6, С. 47].

Процесс полимеризации акрилонитрила непрерывным методом осуществляется в реакторе с мешалкой, в который непрерывно вводят акрилонитрил, водные растворы персульфата аммония, восстановителя-активатора, например бисульфита или тиосульфата натрия, и из которого непрерывно выводят суспензию полимера.

Радиационная полимеризация акрилонитрила под действием -лучей (60Со) и рентгеновских лучей, а также быстрых электронов может протекать как по радикальному, так и по анионному механизму в зависимости от температуры реакционной среды (жидкая или твердая фаза).

В жидкой фазе акрилонитрила полимеризуется с самоускорением из-за радиолиза образующегося поли акрилонитрила и, следовательно, повышенного выхода радикалов. Скорость (и) такого процесса (в массе) при обрыве цепи рекомбинацией определяется выражением:

v=k*I 0,8,

где к – константа скорости роста; I – мощность дозы (17,2–430 мка/кг, или 4–100 р/мин). Энергии активации в интервале температур от -83 (т. пл.) до -116°С (твердая фаза), от -83 до 0 СС (жидкая фаза) и от 20 до 50 °С равны соответственно 0; 12,6 и 62,8 кДж/моль (0; 3 и 15 ккал / моль). При воздействии -лучей наблюдается пост-эффект.

Производство полиакрилонитрила может осуществляться в водных растворах минеральных солей – гомогенная полимеризация.

Гомогенную полимеризацию акрилонитрила можно проводить в водных растворах солей NaCNS, Ca (CNS)2, ZnCl2+CaCl2 или MgCl2, Mg(ClО4)2. Гомогенная полимеризация акрилонитрила в органических растворителях (диметилформамид, диметилацетамид) в присутствии динитрила азодиизомасляной кислоты возможна лишь при высоких концентрациях мономера в растворе до 25% [5, С. 46].

Скорость гомогенной полимеризации акрилонитрила определяется выражением:


где kи, kp, k0 – константы скорости соответственно инициирования, роста и обрыва; [I] – концентрация инициатора (или мощность дозы радиации); [М] -, концентрация мономера.

Процесс проводят непрерывным способом в аппарате, снабженном мешалкой, системой обогрева и охлаждения, при 79–80,5 °С и атмосферном давлении. В реактор, содержащий 50,5%-ный водный раствор роданида натрия, вводят смесь 92% акрилонитрила, 6% метилакрилата, 1% итаконовой кислоты, 0,1% инициатора – динитрила азобисизомасляной кислоты и другие добавки, способствующие регулированию роста цепи. Реакционная смесь непрерывно подается в аппарат снизу, а раствор полимера отводится сверху. Продолжительность полимеризации 1–1,5 ч. Конверсия мономера составляет около 78% [1, С. 135].

При получении полиакрилонитрила в среде органического растворителя (лаковый метод) полимеризации протекает в условиях, при которых мономер и образующийся полимер находятся в растворе. В качестве растворителей применяют диметилформамид (в большинстве случаев), диметилацетамид, -пирролидон и этиленкарбонат. Инициатором обычно служит окислительно-восстановительная система, состоящая из гидропероксида кумола и триэтаноламина. Наличие в полимере группы – CN, понижающей электронную плотность двойной связи, способствует каталитической полимеризации акрилонитрила по анионному механизму.

Технологический режим и аппаратурное оформление процесса мало отличаются от таковых при полимеризации акрилонитрила в водном растворе солей.

Полиакрилонитрил получается в виде лака, который используют в качестве прядильного раствора для получения волокна. При необходимости из полиакрилонитрила можно выделить твердый порошкообразный полимер.

Полимеризация акрилонитрила в массе, или в блоке, имеет ограниченное применение в промышленности и используется главным образом для получения сополимеров акрилонитрила с другими мономерами. В результате блочной полимеризации полиакрилонитрил получается в виде твердого порошка [1, С. 135].


4. Применение полиакрилонитрила

Наиболее широко полиакрилонитрил применяется для изготовления волокна различного назначения. Для этой цели готовятся растворы полиакрилонитрила. Формование волокон осуществляется по мокрому или сухому способу.

Рисунок 2. Электронно-микроскопическое изображение бобовидного среза углеродного волокна, полученного из ПАН волокна

При сухом способе формования волокна раствор полиакрилонитрила продавливается через фильеры в шахту навстречу току горячего воздуха. После выхода из прядильной шахты волокно содержит 12–40% диметилформамида; его физико-механические свойства невысоки. Для улучшения свойств волокно подвергают вытяжке, но предварительно отмывают избыток растворителя горячей водой (90–100°С).

Полиакрилонитрильное волокно по своим свойствам напоминает шерсть и может быть окрашено различными красителями. Если ему сообщить основные свойства, то окрашиваемость улучшается. Для этого изготовляют сополимеры акрилонитрила, содержащие небольшие количества винилпиридина, N-бензилакриламида и других азотсодержащих непредельных соединений. Обработка их аммиаком или аминами (лучше всего гексаметилендиамином) дает возможность получить материалы с небольшим содержанием основных групп. Полиакрилонитрильное волокно обладает следующими свойствами [3, С. 356]:

Таблица 3. Свойства полиакрилонитрильного волокна

Свойство

Величина

Плотность, г/см3

1,17

Предел прочности при растяжении, г/денъе

3–4

Относительное удлинение, %

8–35

Относительная прочность во влажном состоянии, %

90–98

Гигроскопичность (при 20 °С и 60% относительной влажности), %

1,0

Водопоглощение, %

1–2

Температура плавления, °С

250

Устойчивость:


-к кислотам

Очень хорошая

-щелочам

Умеренная

-органическим растворителям

Очень хорошая


Специальные ПАН волокна, которые обычно используются для производства углеродного волокна, имеют круглую форму поперечного среза, диаметр до 15 мкм, площадь поперечного сечения до 180 мкм2 и низкую линейную плотность – до 0,17 текс. Коммерческое текстильное ПАН волокно имело бобовидную форму поперечного сечения, площадь сечения 530 мкм2, линейную плотность 0,56 текс, прочность при растяжении 226 МПа и относительное удлинение при разрыве 43,9% [4, С. 33].

Полиакрилонитрильное волокно используется для изготовления изделий широкого потребления, технических тканей (фильтры, войлок, специальные сукна), брезентов, транспортных лент, рыболовных сетей в качестве наполнителя слоистых пластиков.


Заключение

Полиакрилонитрил представляет собой линейный карбоцепной полимер содержащий сильно полярную группу – СN, что в большей мере определяет его свойства. Этот полимер очень капризен в выборе растворителя, что необходимо учитывать как при его синтезе, так и при переработке.

Полиакрилонитрил – хорошее сырье для получения термоустойчивых материалов, воздействие повышенных температур позволяет модифицировать его свойства. Он хорошо сополимеризуется с большим числом мономеров, а полученные сополимеры являются востребованными промышленными продуктами (лаки, клеи, АБС пластик)

Волокна, получаемые из полиакрилонитрила, обладают широким спектром свойств. В частности, на основе полиакрилонитрила производят термостойкие углеродные волокна.

С момента открытия полиакрилонитрила прошло больше ста лет, но он продолжает оставаться востребованным и занимает не последнее место среди промышленных полимеров. Проводятся исследования по созданию все новых и новых материалов на его основе.


Список литературы

1. Коршак В.В. Технология пластических масс/ В.В. Коршак; под ред. В.В. Коршака. – 3-е изд., перераб. и доп. – М.: Химия, 1985. -560 с.

2. Лебедев, Н.Н. Химия и технология основного органического и нефтехимического синтеза/ Н.Н. Лебедев. – 3-е изд., перераб. – М.: Химия, 1975. -736 с.

3. Николаев А.Ф. Синтетические полимеры и пластические массы на их основе/А.Ф. Николаев. – 2-е изд., доп.-Л.: Химия, 1966. -768 с.

4. Процесс изготовления углеродных волокон на основе коммерческих полиакрилонитрильных волокон мокрого формования/ R. Eslami Farsani и [др.] // Химические волокна. – 2006. – №5. – С. 30–33.

5. Семчиков Ю.Д. Высокомолекулярные соединения: учебник для вузов/ Ю.Д. Семчиков. – М.: Академия, 2003. – 368 с.

6. Энциклопедия полимеров: энциклопедия. В 3 т. Т. 1. А-К. – М.: Советская энциклопедия, 1972. -1224 с.

 


Не нашли материал для своей работы?
Поможем написать уникальную работу
Без плагиата!
Без нейросетей!