Каталитический риформинг

  • Вид работы:
    Курсовая работа (т)
  • Предмет:
    Химия
  • Язык:
    Русский
    ,
    Формат файла:
    MS Word
    650,60 kb
  • Опубликовано:
    2011-02-09
Вы можете узнать стоимость помощи в написании студенческой работы.
Помощь в написании работы, которую точно примут!

Каталитический риформинг

Введение

Бензины являются одним из основных видов горючего для двигателей современной техники. Автомобильные и мотоциклетные, лодочные и авиационные поршневые двигатели потребляют бензины. В настоящее время производство бензинов является одним из главных в нефтеперерабатывающей промышленности и в значительной мере определяющим развитие этой отрасли.

Развитие производства бензинов связано со стремлением улучшить основное эксплуатационное свойство топлива - детонационную стойкость бензина, оцениваемую октановым числом.

Каталитический риформинг бензинов является важнейшим процессом современной нефтепереработки и нефтехимии. Он служит для одновременного получения высокооктанового базового компонента автомобильных бензинов, ароматических углеводородов - сырья для нефтехимического синтеза - и водородосодержащего газа - технического водорода, используемого в гидрогенизационных процессах нефтепереработки. Каталитический риформинг является в настоящее время наиболее распространенным методом каталитического облагораживания прямогонных бензинов. Установки каталитического риформинга имеются практически на всех отечественных и зарубежных нефтеперерабатывающих заводах.

1 Основные реакции каталитического риформинга

Бензиновые фракции разных нефтей отличаются по содержанию нормальных и разветвленных парафинов, пяти- и шестичленных нафтенов, а также ароматических углеводородов. Однако распределение углеводородов в каждой из этих групп в достаточной мере постоянно. За исключением бензинов нафтеновых нефтей, производство которых весьма ограниченно, среди парафинов значительно преобладают углеводороды нормального строения и монометилзамещенные структуры. Относительное содержание более разветвленных изопарафинов невелико. Нафтены представлены преимущественно гомологами циклопентана и циклогексаиа с одной или несколькими замещающими алкильными группами. Такой состав, при содержании 50-70% парафинов и 5-15% ароматических углеводородов в бензинах, обусловливает их низкую детонационную стойкость, показанную в таблице 1. Октановые числа бензиновых фракций, подвергаемых каталитическому риформингу, обычно не превышают 50.

Таблица 1 − Октановые числа углеводородов

Углеводород

Октановые числа

Углеводород

Октановые числа

м. м.

н. м.

м. м.

н. м.

н-Пентан

61,9

61,7

4-Метилгептан

33,0

26,7

Изопентан

90,3

92,3

2,4-Диметилгексан

69,9

65,2

н-Гексан

26,0

24,8

2,2,4-триметилпентан

100,0

100,0

2-Метилпентан

73,5

73,4

Метилциклопентан

80,0

91,3

3-Метилпентан

74,3

74,5

Циклогексан

77,2

83,0

2,3-Диметалбутан

94,3

101,7

Этилциклопентан

61,2

67,2

н-Гептан

0,0

0,0

Диметилциклопентаны

76,9

84,2

2-Метилгексан

46,4

42,4

Метилциклогексан

71.1

74.8

3-Метилгексан

55,0

52,0

Этилциклогексан

40.8

46.5

2,З-Диметилпентан

91,1

1,2-Диметилциклогексан

78,6

86,9

2,4-Диметилпентан

83,8

83,1

Бензол

115

н-Октан

-17

-19

Толуол

103,5

120

2-Метилгептан

23,8

21,7

п-Ксилол

109,6

116,4

 

Каталитический риформинг - сложный химический процесс, включающий разнообразные реакции, которые позволяют коренным образом преобразовать углеводородный состав бензиновых фракций и тем самым значительно улучшить их антидетонационные свойства.

Основой процесса служат три типа реакций. Наиболее важны перечисленные ниже реакции, приводящие к образованию ароматических углеводородов.

Дегидрирование шестичленных нафтенов, формула 1

 

 (1)

Дегидроизомеризация пятичленных нафтенов, формула 2

 (2)

Ароматизация (дегидроциклизация) парафинов, формула 3

 (3)

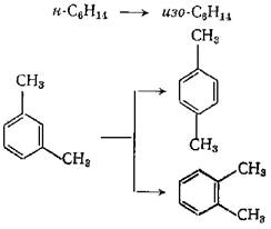
Изомеризация углеводородов - другой тип реакций, характерных для каталитического риформинга. Наряду с изомеризацией пятичленных и шестичленных нафтенов, изомеризации подвергаются как парафины, так и ароматические углеводороды.


Рисунок 1 – изомеризация парафинов и ароматических углеводородов.

Существенную роль в процессе играют также реакции гидрокрекинга. Гидрокрекинг парафинов, содержащихся, в бензиновых фракциях, сопровождается газообразованием, формула 4

С8Н18 + Н2 → С5Н12 + С3Н8 (4)

что ухудшает селективность процесса. С другой стороны, аналогичная реакция гидродеалкидирования алкилбензолов позволяет увеличить выход низкомолекулярных гомологов бензола, которые представляют наибольший практический интерес, формула 5

С6Н5С3Н7 + Н2 → С6Н6 + С3Н8 (5)

Протекают также реакции, приводящие к раскрытию циклопентанового кольца и к превращению пятичленных нафтенов в парафины, формула 6

 (6)

 

Элементарные стадии ряда приведенных реакций предопределяются бифункциональным характером катализаторов рифрминга. С одной стороны, они содержат один металл (платину) или несколько металлов (например, платину и рений, или платину и иридий), которые катализируют реакции гидрирования и дегидрирования. С другой стороны, носителем служит промотированный галогенами оксид алюминия, обладающий кислыми свойствами и катализирующий реакции, свойственные катализаторам кислотного типа. Поэтому разные элементарные стадии реакции могут протекать на различных участках поверхности катализатора: металлических или кислотных. В качестве примера можно сослаться на реакцию изомеризации нормального парафина. Сперва такой углеводород дегидрируется до нормального олефина на металлическом участке, далее нормальный олефин изомеризуется на кислотном участке в изоолефин, который затем подвергается гидрированию на металлическом участке, превращаясь в изопарафин. Не только в этой, но и в ряде других реакций каталитического риформинга, важнейшие элементарные стадии - гидрирование и дегидрирование углеводородов.

Сырье каталитического риформинга обычно подвергают гидрогенизационной очистке, после чего в нем остается крайне незначительное количество примесей, в частности серо- и азотсодержащих соединений, являющихся каталитическими ядами. В условиях каталитического риформинга они подвергаются гидрогенолизу с отщеплением сероводорода, формула 7, и аммиака, формула 8

RSR + 2Н2 → 2RH + H2S (7),

RNHR + 2H2 → 2RH + NH3 (8)

2 Превращения шестичленных нафтенов

2.1 Реакции дегидрирования

Дегидрирование шестичленных нафтенов - основное направление их превращения в условиях каталитического риформинга. Скорости дегидрирования шестичленных нафтенов на платиновых катализаторах риформинга весьма велики и намного превышают скорости их дегидрирования на других металлических и оксидных катализаторах, показанную в таблице 2.

Таблица 2 − Сравнительная активность катализаторов в реакции дегидрирования циклогексана.

Катализатор

* r, моль/(г с)

Катализатор

* r, моль/(г с)

34% Сr2O3/Al2O3

0,5

1% Pd/Al2O3

200

10% MoO3/Al2O3

3

5% Ni/SiO2

320

5% Ni/Al2O3

13

1% Rh/Al2O3

890

5% Co/Al2O3

13

0.5 Pt/Al2O3

1400-4000

Достаточно отметить, что скорость дегидрирования циклогексана на платиновых катализаторах в 500-1300 раз больше скорости той же реакции на алюмомолибденовом катализаторе, который сравнительно недавно еще применялся в процессе риформинга бензиновых фракций. При таких скоростях реакции степень дегидрирования шестичленных нафтенов может в значительной мере предопределяться условиями химического равновесия для той реакции.

Химическое равновесие. Реакции дегидрирования шестичленных нафтенов в ароматические углеводороды обратимы, формула 9

 (9)

Зная константу равновесия Кр, можно вычислить равновесные концентрации реагирующих веществ, формула 10

 (10)

Ниже приведены логарифмы констант равновесия для реакций дегидрирования циклогексана и некоторых его гомологов при температурах от 400 до 550 °С, таблица 3

Таблица 3 – Логарифмы констант равновесия для реакций дегидрирования циклогексана и некоторых его гомологов

Углеводороды

408 °С

450 °С

500 °С

550 °С

Циклогексан

3,70

4,88

5,91

6.82

Метилциклогексан

4,19

5,36

6,33

7,28

Этилциклогексан

4,23

5.36

6,34

-

н – Пропилциклогексан

4,26

5,39

6,37

-

1, 2, 4 – Триметилциклогексан

5,11

-

-

-

 

Константы равновесия для реакций дегидрирования гомологов циклогексана с одной алкильной группой (метилциклогексана, этилциклогексана, н-пропилциклогексана), при одинаковой температуре, значительно больше соответствующей константы для реакции дегидрирования циклогексана. Дальнейший рост константы равновесия идет при наличии нескольких замещающих алкильных групп в молекуле циклогексана (1,2,4-триметилциклогексан). Из этих данных можно заключить, что равновесие для реакций дегидрирования гомологов циклогексана сдвинуто в сторону ароматических углеводородов в большей степени, чем для циклогексана. Следовательно, условия, обеспечивающие полноту дегидрирования цикдогексана, в полной мере обеспечат также возможность исчерпывающего дегидрирования его гомологов.

Наибольшей полноте дегидрирования углеводородов способствуют высокие температуры и низкие давления водорода. При прочих равных условиях степень дегидрирования циклогексана существенно меньше, чем метилциклогексана. Так, при 425 °С и парциальном давлении водорода 2 МПа молярное содержание бензола в равновесной смеси углеводородов равна 68%, а толуола 81%, рисунок 2.

 

Рисунок 2 − Зависимость содержания бензола и толуола в равновесной смеси с циклогексаном от температуры и парциальном давления водорода

Пользуясь кривыми на рисунке 2, можно определить степень превращения шестичленных нафтенов в условиях каталитического риформинга. Обычно процесс проводят в реакционном блоке, состоящем из трех-четырех реакторов, работающих в условиях, близких к адиабатическим. При наиболее широко применяемых параметрах (температура на входе в реакторы около 500°С, давление от 1,5 до 3 МПа, молярное отношение водород: сырье = 6-7), вследствие эндотермичности процесса температура газосырьевой смеси понижается в первом по ходу сырья реакторе на 40-60°С, т. е. до 460-440°С. Степень дегидрирования шестичленных нафтенов в первом по ходу сырья реакторе может достигнуть или превысить 90%.

2.2 Кинетика реакции

Установлено, что при дегидрировании циклогексана и метилциклогексана на монометаллических платиновых катализаторах порядок реакции по углеводороду - нулевой. Адсорбционные коэффициенты исходных нафтенов и образующихся ароматических углеводородов одинаковы. Исследование кинетики дегидрирования метилциклогексана на алюмоплатиновом катализаторе (Pt/Al2O3) при 315-372°С показало, что не только изменение парциального давления углеводорода, но и парциального давления водорода (от 0,11 до 0,41 МПа) не оказывает существенного влияния на скорость реакции.

Иные результаты были получены при дегидрировании циклогексана на алюмоплатинорениевых катализаторах (Pt-Re/Al2O3). Независимо от того, пропускали ли циклогексан над катализатором в смеси с водородом или инертным газом (Ni, He, Аr), реакция протекала по первому порядку относительно циклогексана.

Скорость превращения циклогексана на алюмоплатиновых катализаторах пропорциональна концентрационному множителю, тождественному молярной доле реагирующего вещества в смеси углеводородов.

Селективность. Дегидрирование шестичленных нафтенов в ароматические углеводороды на бифункциональных платиновых катализаторах может сопровождаться другими реакциями, в частности изомеризацией в пятичленные нафтены и гидрогенолизом. Однако скорости дегидрирования шестнчленных нафтенов в условиях каталитического риформинга намного больше скоростей протекания других реакций. Следствием является близкая к 100% селективность ароматизации шестичленных нафтенов.

Механизм реакции. Реакции дегидрирования циклогексана и его гомологов, приводящие к образованию ароматических углеводородов, протекают на металлическом компоненте катализатора риформинга. Адсорбция циклогексана на металлических участках катализатора может сопровождаться либо одновременной диссоциацией шести атомов водорода, либо последовательным быстрым их отщеплением.

Механизм реакции дегидрирования циклогексана включает последовательное отщепление двух атомов водорода с образованием адсорбированного циклогексена. Предполагается, что эта стадия реакции - лимитирующая. Далее происходит отщепление одного за другим остальных четырех атомов водорода, в результате чего образуется бензол.

Все стадии реакции дегидрирования циклогексана на алюмоплатиновых катализаторах протекают быстро, а потому трудно обнаружить в газовой фазе циклогексен и циклогексадиен, а тем более доказать, что они являются промежуточными продуктами реакции. Чтобы обнаружить промежуточные продукты реакции, была поставлена серия опытов, в которых степень превращения циклогексана изменялась в пределах от 32,0 до 2,9% увеличением объемной скорости подачи углеводород от 1000 до 18 000 ч-1. Продукты реакции при малых степенях превращения циклогексана, наряду с бензолом, содержали заметные количества циклогексена.

Исходя из полученных результатов сделан вывод о том, что дегидрирование циклогексана в бензол протекает через промежуточную стадию образования циклогексена, формула 11

 (11)

Отношение циклогексен/бензол значительно возрастает при частичной дезактивации алюмоплатинового катализатора в результате отравления серой. Такой эффект, вероятно, объясняется тем, что при отравлении катализатора серой скорость дегидрирования циклогексана в циклогексен снижается значительно меньше, чем скорость дегидрирования циклогексена в бензол.

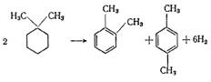
Алкилциклогексаны с блокированными положениями, благодаря наличию в них четвертичного атома углерода (гем-диалкилы), подвергаются дегидрированию на платиновых катализаторах при более высоких температурах, при которых ароматизация сопровождается перегруппировками. Так, при дегидрировании 1,1-диметилциклогексана и подобных ему соединений происходит элиминирование метальной труппы, в результате чего образуются толуол и метан, формула 12

 (12)

С другой стороны, происходит миграция метильных групп, что приводит к образованию изомеров ксилола.

 (13)

При осуществлении реакции на бифункциональном платиновом катализаторе 1,1-диметилциклогексан вероятно сперва подвергается изомеризации, после чего соответствующие изомеры диметилциклогексана превращаются в ксилолы.

2.3 Реакции изомеризации

При изомеризации на бифункциональных металлических катализаторах, в том числе на платиновых, шестичленные нафтены могут подвергаться следующим превращениям:

1)   изомеризации шестичленного цикла в пятичленный


2)   перемещению алкильных заместителей в кольце


3)   изменению числа алкильных заместителей в цикле

 

Реакции изомеризации нафтенов протекают по карбкатионному механизму. Промежуточный продукт реакции - циклоолефин, образующийся в результате дегидрирования нафтена на металлическом участке катализатора. Циклоолефин мигрирует на кислотный участок носителя, где превращается в карбкатион. Реакции карбкатиона ведут к образованию изомерного циклоолефина, в результате гидрирования которого на металлическом участке получается углеводород, изомерный исходному. Так, схему изомеризации циклогексана в метилциклопентан можно представить как показано на рисунке 3 (М -металлические участки катализатора, А -кислотные)

Рисунок 3 − Схема изомеризации циклогексана в метилциклопентан

Третичный карбкатион наиболее устойчив и не всегда способен к перегруппировкам. Поэтому протеканию перегруппировок может способствовать образование менее устойчивого, но более реакционноспособного вторичного карбкатиона. Исходя из этого, перемещение алкильных заместителей в кольце цикдогексана можно представить в следующем виде как показано на рисунке 4

(1) (2) (3) (4)

Рисунок 4 − Перемещение алкильных заместителей в кольце цикдогексана

Реакции типа (1) и (2) протекают значительно легче, чем реакции (3), ведущие к увеличению числа алкильных заместителей в цикле. Так, скорость изомеризации этилциклогексана меньше по сравнению со скоростью изомеризации других шестичленных нафтенов состава C8. Косвенным подтверждением служат результаты, полученные при каталитическом риформинге бензиновой фракции, состоящей из углеводородов С8 и обогащенной этилциклогексаном. Относительные количества ксилолов в катализате отвечали равновесию. Что же касается этилбензола, то выход его соответствовал содержанию этилцикдогексана в сырье и намного превышал равновесное содержание в смеси ароматических углеводородов состава С8.

Предложена схема изомеризации этилциклогексана в диметилциклогексаны, в соответствии с которой циклопентановые углеводороды являются промежуточными продуктами реакции, формула 14

 (14)

Были изучены превращения метилциклогексана на платиновом катализаторе в условиях, при которых углеводород подвергался как изомеризации, так и дегидрированию (452°С, 4,9 МПа, подача углеводорода 2 ч-1, отношение водород углеводород = 6,6). Выход, в моль (на 100 моль метилциклогексана) составил

Таблица 4 − Превращения метилциклогексана на платиновом катализаторе

Углеводороды С1—С6

6

Алкилциклопентаны (1,1-, 1,2- и 1,3 диметилциклопентаны + этилциклопентан)

31

Метилциклогексан (непревращенный)

6

Толуол

56

Другие углеводороды

1


Таким образом, количество алкилциклопентанов в продуктах реакции в 5 раз превышало количество метилциклогексана.

Равновесие для реакции изомеризации циклогексана при 460-500 °С целиком сдвинуто в сторону метилциклопентана (содержание его в равновесной смеси с циклогексаном 93-94%). С другой стороны, при этих же температурах и парциальном давлении водорода до 2 МПа равновесие для реакции дегидрирования циклогексана также сильно смещено в сторону бензола. В этих условиях избирательность превращения циклогексана и других шестичленных нафтенов предопределяется относительными скоростями их дегидрирования и изомеризации, В соответствии с изложенным выше механизмом этих реакций, схему превращения циклогексана в бензол и метилциклопентан можно представить в следующем виде, как показано на рисунке 5

Рисунок 5 − схема превращения циклогексана в бензол

При чрезмерной кислотности катализатора скорости образования бензола и метилциклопентана становятся соизмеримыми, что должно привести к снижению селективности ароматизации циклогексана. Иллюстрацией подобного эффекта могут служить данные, полученные при каталитическом риформинге смеси этилциклогексана и диметилциклогексанов на двух типах платиновых катализаторов (495°С, 2МПа), таблица 5

Таблица 5 − каталитический риформинг смеси этилциклогексана и диметилциклогексанов на двух типах платиновых катализаторов


Степень превращения, %

Селективность ароматизации, %

Стандартный катализатор риформинга

97

97

Катализатор с высокой кислотностью

94

65


При близкой степени превращения сырья селективность его ароматизации оказалась значительно ниже при осуществлении процесса на платиновом катализаторе с высоким уровнем кислотности.

Обычно скорость ароматизации циклогексана значительно больше скорости его изомеризации на алюмоплатиновом катализаторе (приблизительно на два порядка).

Исходя из относительных скоростей дегидрирования и изомеризации циклогексана можно было ожидать, что наибольшая селективность его превращения в бензол будет достигнута при больших объемных скоростях пропускания углеводорода.

В промышленных условиях в первом по ходу сырья реакторе обычно поддерживают объемную скорость подачи сырья в пределах 10-15 ч-1, что способствует селективному превращению шестичленных нафтенов в ароматические углеводороды.

 

3 Превращения пятичленных нафтенов

Превращения пятичленных нафтенов представляют значительный интерес не только потому, что сырье каталитического риформинга содержит такие углеводороды. Весьма существенно то, что пятичленные нафтены играют важную роль в качестве промежуточных продуктов реакции при дегидроциклизации парафинов в ароматические углеводороды.

В условиях каталитического риформинга пятичленные нафтены подвергаются изомеризации и реакциям, приводящим к раскрытию циклопентанового кольца. Реакции изомеризации могут сопровождаться либо перегруппировкой алкильных заместителей, либо приводить к превращению пятичленных нафтенов в шестичленные, рисунок 6

Рисунок 6 – схема реакции изомеризации

При осуществлении этой последней реакции на бифункциональном катализаторе риформинга, образующиеся при расширении цикла шестичленные нафтены подвергаются быстрому дегидрированию в ароматические углеводороды. Возможность достижения высокого выхода ароматических углеводородов зависит от селективности изомеризации пятичленных нафтенов в шестичленные. Протекающие параллельно реакции раскрытия пятичленного кольца ухудшают селективность реакции изомеризации и ведут к образованию парафинов

3.1 Дегидроизомеризация

Дегидроизомеризация метилциклопентана явилась предметом многих исследований. Значительно меньше данных о том, как протекает эта реакция при превращении других алкилциклопентанов.

Изучалась дегидроизомеризация алкилциклопентанов С7-С9 на алюмоплатиновом катализаторе в мягких условиях (350 °С; 0,5 МПа), при которых реакция протекает достаточно селективно, а состав и строение получаемых ароматических углеводородов зависят от состава и строения исходных алкилциклопентанов.

Проведенные исследованиям показали, что преимущественное расширение циклопентанового кольца происходит за счет метиленовой, а не метильной группы, формула 15

 (15)

Существует определенная взаимосвязь между расположением алкильных групп в алкилциклопентанах и получаемых ароматических углеводородах. Так, из 1,3-метилалкилциклопентанов получают главным образом мета-замещенные, а из 1,2-метилалкилциклопентанов орто-замещенные бензола, формула 16

 (16)

 

Скорости дегидроизомеризации зависят от характера замещающих алкильных групп и их взаимного расположения в алкилциклопентанах. Вероятно эти зависимости играют определенную роль и для дегидроизомеризации алкилциклопентанов при более высоких температурах (~500°С), свойственных процессу каталитического риформинга. Однако вследствие интенсивной изомеризации углеводородов в условиях этого процесса, состав образующихся алкилбензолов значительно меньше зависит от состава и строения исходных алкилциклопентанов. Например, если при дегидроизомеризации н-пропилциклопентана при 350 °С получают только этилбензол, то в случае осуществления реакции при 480°С, наряду с этим углеводородом образуются также изомеры ксилола.

Химическое равновесие. На рисунке 7 показано изменение состава равновесной смеси углеводородов в зависимости от температуры и парциального давления водорода для реакции, формула 17

 (17)

1 − бензол; 2 − метилциклопентан; 3 − циклогексан

Рисунок 7 − Зависимость содержания бензола, циклогексана и метилциклопентана в их равновесной смеси при парциальном давлении водорода 1,9 МПа от температуры и 495°С от парциального давления водорода

Повышение температуры от 400 до 500 °С при постоянном Рн2 1,9 МПа ведет к значительному изменению концентрации метилциклопентана и бензола в равновесной смеси. При 400 °С равновесие сильно сдвинуто в сторону метилциклопентана, а при 500 °С - в сторону бензола.

Молярное содержание бензола в равновесной смеси при 495 °С увеличивается от 45 до 90% при снижении Риз от 3,6 до 1,5 МПа и возрастает при дальнейшем его уменьшении. Равновесное молярное содержание циклогексана весьма низко и при 495°С, в зависимости от значения Рн2 лежит в пределах от 1 до 3%. Это, однако, не препятствует быстрому протеканию реакции дегидроизомеризации, что обусловлено большой скоростью превращения циклогексана в бензол на платиновых катализаторах риформинга.

Таким образом, если дегидроизомеризацию метилциклопентана проводить при обычных температурах каталитического риформинга (~500 °С), достаточно полное превращение углеводорода в бензол может быть достигнуто при значении Рн2 не превышающем 1,5 МПа. Эти условия в равной мере благоприятны для дегидроизомеризации других пятичленных нафтенов.

Кинетика и механизм реакции. Кинетические закономерности реакции дегидроизомеризации метилциклопентана были изучены как на алюмоплатиновом, так и на алюмоплатинорениевом катализаторах, не было обнаружено существенных различий в протекании реакции на этих катализаторах. При каталитическом риформинге метилциклопентана основными продуктами реакции являются бензол и гексаны, формула 18

 (18)

В значительно меньших количествах образуются метилциклопентены, циклогексан, а также парафины С1-С5.

На рисунке 8 кривые не экстраполированы к началу координат, так как при малой степени превращения метилциклопентана с большой скоростью образуются непредельные углеводороды и циклогексан, которые предшествуют образованию бензола. Выход бензола в расчете на прореагировавший метилциклопентан остается постоянным (58%)и не зависит от степени превращения метилциклопентана. Начальный наклон кривых служит указанием на то, что скорость образования н-гексана значительно больше скорости образования изогексанов.

 

1 − бензол; 2 − н-гексан; 3 − 2-метилпентан; 4 − 3-метилпентан.

Рисунок 8 − Зависимость выхода основных продуктов превращения метилциклопентана от степени его превращения.

Независимо от того, проводят ли реакцию на алюмоплатиновом или адюмоплатинорениевом катализаторах выход метилциклопентенов закономерно уменьшается с увеличением степени превращения метилциклопентана. Следовательно, метилциклопентены служат одним из промежуточных продуктов реакции дегидроизомеризации метилциклопентана.

Отношение МЦПа: МЦПе -величина постоянная и не зависит от степени превращения МЦПа, если температура и значение Pн2 постоянны.

На металлическом компоненте платинового катализатора риформинга происходит только дегидрирование метилциклопентана до соответствующих циклоолефинов. Превращение же метилциклопентена в бензол достигается в результате совместного действия металлического и кислотного компонентов. Поэтому исследование влияния каждого из компонентов катализатора на скорость реакции дегидроизомеризации МЦПа может выявить, какая из стадий этой реакции - лимитирующая.

Поскольку промышленные катализаторы риформинга обычно содержат от 0,3 до 0,6% платины, следует прежде всего отметить, что изменение ее содержания в этих пределах практически не оказывает влияния на скорость дегидроизомеризации метилциклопентана. Данные, полученные при использовании в качестве носителя фторированного оксида алюминия (0,77% F), показали, что степень превращения метилциклопентана в бензол увеличивается только при повышении содержания платины в катализаторе от 0,012 до 0,075%. По-видимому, при большем содержании платины устанавливается равновесная концентрация метилциклопентена и стадия дегидрирования метилциклопентана не влияет на скорость образования бензола.

Влияние кислотной функции катализатора можно проследить, изменяя в нем содержание галогена. При том содержании платины в катализаторе (0,3%), при котором стадия дегидрирования метилциклопентана не является лимитирующей, последовательное увеличение содержания фтора от 0,05 до 1,0% приводит к повышению выхода бензола в 2,8 раза. Это означает, что определяет скорость дегидроизомеризации метилциклопентана стадия изомеризации метилциклопентена в циклогексан, протекающая на кислотных участках катализатора. Такое утверждение основано также на том, что дегидрирование циклогексена в бензол, как показано выше, протекает с чрезвычайно большой скоростью, а потому не может влиять на скорость превращения метилциклопентана в бензол.

Реакция дегидроизомеризации метилциклопентана может быть схематически представлена следующим образом, рисунок 9

Рисунок 9 − Реакция дегидроизомеризации метилциклопентана

Кислотно-катализируемая лимитирующая стадия реакции протекает по карбкатионному механизму, формула 19

 (19)

Сведения об относительных скоростях дегидроизомеризации пятичленных нафтенов весьма ограничены. Данные дают основание полагать, что в этом процессе скорости дегидроизомеризации пятичленных нафтенов С7-С10 не должны сильно различаться.

Селективность. Селективность реакции дегидроизомеризации не зависит от парциального давления МЦП, но значительно возрастает с уменьшением значения Рн2. Влияние температуры проявляется тем больше, чем выше Рн2. Так, при повышении температуры от 427 до 482°С селективность реакции дегидроизомеризации метилциклопентана увеличивается на 18%, если Рн2 2,1 МПа. Однако, если его снизить до 0,63 МПа, то селективность реакций мало меняется с повышением температуры.

Наиболее общий вывод заключается в том, что повышение температуры и понижение значения Рн2 способствуют увеличению селективности превращения метилциклопентана в бензол. Как было показано выше, такое изменение условий осуществления реакции благоприятно и с точки зрения химического равновесия, поскольку оно сдвигается в сторону бензола.

При дегидроизомеризации метилциклопентана на платиновых катализаторах риформинга молярный выход бензола достигает 60-70%. Скорость раскрытия (гидрогенолиза) циклопентанового кольца при наличии двух или трех замещающих метильных групп значительно меньше скорости той же реакции для метилциклопентана Поэтому следует полагать, что селективность превращения более высокомолекулярных алкилциклопентанов в бензольные углеводороды выше селективности превращения метилциклопентана.

3.2 Реакции раскрытия кольца

С тех пор, как в 1934 г. Зелинским, Казанским и Плато была открыта реакция гидрогенолиза циклопентанов, она явилась предметом многих исследований.

Платина - один из металлов, катализирующих гидрогенолиз углеводородов. Реакция сопровождается разрывом связей С-С и образованием связей С-Н. При гидрогенолизе пятичленных нафтенов на платиновых катализаторах может происходить разрыв различных связей пятичленного цикла. Так, в случае метилциклопентана образуются н-гексан, 2-метил- и 3метилпентан.

Относительные скорости гидрогенолиза различных связей пятичленвого кольца зависят от строения исходного углеводорода, свойств применяемого платинового катализатора и условий осуществления реакции.

Поскольку алюмоплатиновый катализатор риформинга бифункционален, следует прежде всего рассмотреть вопрос о роли металлической и кислотной функций катализатора в реакции раскрытия пятичленного кольца. Обнаружен эффект изменения относительных скоростей гидрогенолиза метидциклопентаиа по различным связям кольца в зависимости от условий обработки алюмоплатинового катализатора (0,3% Pt/Al2O3) водородом. Так, если катализатор восстанавливали при 350 °С, то отношение образовавшегося н-гексана к сумме образовавшихся метилпентанов составляло 0,6. Это отношение, однако, увеличивалось до 11, когда обработку катализатора водородом проводили при 550°С. Следовательно, при такой обработке значительно возрастает селективность гидрогеиолиза по связи С-С у атома углерода, связанного с заместителем. Подобный эффект авторы исследований объяснили увеличением электрофильности катализатора и, в связи с этим, изменением механизма реакции гидрогенодиза.

При длительной высокотемпературной обработке в токе водорода (520°С, 2 МПа, продолжительность 3 недели) промышленного катализатора риформинга (0,6% Pt/Al2O3 + 0,67%С1) меняется не только состав продуктов гидрогенолиза метилциклопентана в сторону значительного преобладания н-гексана, но и резко снижается активность катализатора. Так, скорость образования н-гексана уменьшается на 93%, а скорость образования 2- и 3-метилпентанов - на 98%.

Высокотемпературная обработка в токе водорода (520 °С) и последующее частичное закоксовывание алюмоплатинового катализатора (0,35% Pt/Al2O3) также приводят к изменению состава продуктов гидрогенолиза пятичленных нафтенов.

Независимо от того, каким способом снижают активность металлического компонента алюмоплатинового катализатора в реакции гидрогенолиза, состав продуктов раскрытия кольца метилциклопента во всех случаях меняется в сторону значительного преобладания н-гексана. Подобное явление можно объяснить тем, что реакция раскрытия пятичленного кольца протекает не только на платине, но и на кислотном носителе - хлорированном оксиде алюминия. Кислотно-катализируемая реакция приводит главным образом к получению н-гексана из метилциклопентана, но скорость ее значительно меньше скорости гидрогенолиза этого углеводорода на платине.

Частичная или полная дезактивация металлической функции алюмоплатинового катализатора в реакции гидрогенолиза ведет к значительному повышению роли кислотно-катализируемой реакции раскрытия пятичленного кольца. Были получены данные, подтверждающие, что скорость реакции раскрытия кольца метилциклопентана на таких частично дезактивированных алюмоплатиновых катализаторах соизмеримы со скоростями той же реакции на кислотных носителях для этих катализаторов.

Предложен механизм кислотно-катализируемой реакции раскрытия пятичленного кольца. Раскрытие кольца метилциклопентана происходит в результате прямого протонирования циклической структуры на кислотных участках катализатора. Первой стадией реакции является образование вторичного ациклического карбкатиона, который затем, в результате отщепления протона, превращается в гексен, рисунок 10

Рисунок 10 − Раскрытие кольца метилциклопентана

Гидрирование н-гексена на металлических участках приводит к получению н-гексана. Приведенная выше реакция обратима и может привести к образованию метилциклопентана из гексена.

Каталитический риформинг в промышленных условиях связан с применением высоких температур и воздействием на алюмоплатиновый катализатор серусодержащих соединений и отложений кокса, что, как было показано выше, приводит к дезактивации платины в реакции гидрогенолиза пятичленных нафтенов. Поэтому платина может проявлять значительную активность в этой реакции лишь в начальной стадии эксплуатации алюмоплатинового катализатора. В дальнейшем же раскрытие пятичленного кольца протекает главным образом как кислотно-катализируемая реакция.

4 Павлодарский нефтеперерабатывающий завод

Павлодарский завод перерабатывает нефть, поступающую по трубопроводу с месторождений Западной Сибири. Задействованная мощность составляет 7,5 млн. тонн в год при проектной мощности 13 млн. тонн в год. Глубина переработки 82%; получаемые нефтепродукты - автобензин А-76, АИ-93, А-72, дизельное топливо (зимнее, летнее, в том числе УФС), котельное топливо, сжиженный газ, кокс, битум, парафин жидкий. Побочная продукция представлена в таблице 6.

Таблица 6 − Побочная продукция Павлодарского НПЗ

Продукция

Количество, тыс. т/год


по проекту

фактически

Пропан-пропиленовая фракция

115-135

40-60

В том числе пропилен

70-85

25-40

Бутан-бутиленовая фракция

210-220

75-95

В том числе:



изобутилен

25-30

12-15

н-бутилены

75-85

30-35

избутан

50-60

20-25

каталитический риформинг нафтен катализатор

Выход пропан-пропиленовой и бутан-бутиленовой фракций с установки каталитического крекинга НПЗ ниже проектного из-за сниженной нагрузки по сырью, непроектного катализатора и режима ведения процесса.

В 1992 г. Павлодарский НПЗ из 7,5 млн. тонн западносибирской нефти, положенных по квоте, недополучил 1,1 млн. тонн 18 августа 1993 г. работа Павлодарского НПЗ была остановлена из-за срыва поставок нефти из Тюмени. Россия прекратила подачу сырья на казахстанское предприятие, мотивируя это большой задолженностью - порядка 62,9 млрд руб.

В целях повышения потенциала Казахстана в самообеспечении нефтепродуктами предлагалось перевести завод на местную (казахстанскую) нефть и до 2000 г. осуществить его реконструкцию с объемом переработки 13,0 млн. тонн сырой нефти и выпуска продукции (тыс. тонн): бензина 3260, дизельного топлива 3544, мазута 2100. К сожалению, эти планы остались невыполненными. Павлодарский НПЗ переработал в 1999 г. только 718,8 тыс. тонн нефти (34,6% к уровню 1998 г.).

5 Основные технологические схемы современных нефтеперерабатывающих заводов

Выбор точки строительства нефтеперерабатывающего завода зависит от ряда факторов, главный из которых — потребность близлежащих районов в нефтепродуктах. Разумеется, желательно, чтобы вблизи завода имелись источники сырья — нефти. Однако, как показал технико-экономический анализ, транспорт нефти более рентабелен, чем перевозка готовых нефтепродуктов с заводов, расположенных вблизи нефтепромыслов, к месту их потребления. Поэтому сейчас новые заводы строятся и в тех районах, где совершенно отсутствуют нефтяные месторождения, но очень велика потребность в нефтепродуктах.

Потребностью экономического района в нефтепродуктах того или иного ассортимента определяется в основном и выбор направления переработки нефти на заводе. Качество сырья при этом уже не имеет такого значения, как это было раньше, поскольку разработаны процессы, позволяющие получать большинство нефтепродуктов, в том числе и высокого качества, из любых нефтей.

В зависимости от ассортимента получаемой продукции и характера технологической схемы НПЗ делятся на топливные, топливно-масляные, заводы с нефтехимическими производствами. Принято также характеризовать заводы по глубине переработки нефти — уровню отбора светлых нефтепродуктов. Рассмотрим далее различные схемы переработки нефти.

5.1 Схема переработки по топливному варианту с невысоким уровнем отбора светлых

Нефтеперерабатывающие заводы, имеющие эту схему, в 1960—1970-х гг. строились в районах, где отсутствуют другие источники органического топлива (уголь, природный газ) и где для снабжения энергетических установок используется мазут.

Нефть сначала обессоливается и обезвоживается, а затем перегоняется на установках AT с получением бензинового, керосинового и дизельного дистиллятов. Бензиновый дистиллят разделяется на фракции. Одна из фракций подвергается каталитическому риформингу с получением концентрата, из которого затем выделяют арены. Другая фракция, более тяжелая, также направляется на каталитический риформинг с целью получения высокооктанового компонента товарного автомобильного бензина.

Средние дистилляты (керосиновый и дизельный) подвергаются облагораживанию и очистке от серы на установках гидроочистки. Благодаря гидроочистке получают реактивное топливо высокого качества и малосернистое дизельное топливо. Часть очищенного дизельного топлива подвергается депарафинизации с получением жидкого парафина и зимнего дизельного топлива.

Газовые потоки установок первичной перегонки нефти и каталитического риформинга перерабатываются на газофракционирующей установке. При этом получают товарные сжиженные газы: продан, бутан и изобутан.

На заводах с неглубокой схемой переработки, как и на других нефтеперерабатывающих предприятиях, организуется производство различных марок битума. Битум получают окислением гудрона, который выделяется из мазута на специальном блоке, входящем в состав установки по производству битума. Основное количество мазута отправляется потребителям в качестве котельного топлива.

Сероводород, выделившийся при гидроочистке, утилизируется на установках получения серной кислоты или серы.

В связи с сокращением ресурсов нефтяного сырья на заводах с невысоким уровнем отбора светлых намечено углубить переработку, построить установки каталитического крекинга, висбрекинга, коксования. Выход светлых при этом повысится от 40—45 до 55—60% и выше.


На НПЗ с такой схемой переработки первичная перегонка нефти проводится на АВТ. Помимо атмосферных дистиллятов на этой установке получают вакуумный дистиллят — фракцию 350—500°С и гудрон.

Атмосферные дистилляты, бензиновый, керосиновый и дизельный, перерабатываются так же, как и на заводе с неглубокой переработкой нефти. Вакуумный дистиллят направляется на установку каталитического крекинга. При каталитическом крекинге получают газ, бензин, легкий и тяжелый газойли. Газ направляется на ГФУ, бензин используется как компонент товарного бензина, а легкий газойль очищается в смеси с прямогонной дизельной фракцией на установке гидроочистки и затем используется как компонент дизельного топлива. Тяжелый газойль представляет собой сырье для получения технического углерода.

Наряду с каталитическим крекингом для переработки вакуумных дистиллятов применяется гидрокрекинг. Если при каталитическом крекинге основным продуктом является бензин, то при гидрокрекинге можно изменять соотношения получаемых продуктов, увеличивая выход бензина, керосина, дизельного топлива.

Гудрон подвергается переработке с применением одного из термических процессов. Бензин термических процессов целесообразно облагораживать с применением процессов глубокого гидрирования и каталитического риформинга. Легкий газойль используется как компонент газотурбинного, моторного или печного топлива, после гидроочистки может направляться в дизельное топливо.

Газовые потоки термических процессов и каталитического крекинга содержат непредельные углеводороды. Выделенные из этих потоков пропан-пропиленовая и бутан-бутиленовая фракции используются для получения дополнительных количеств высококачественного бензина.

5.3 Схема переработки нефти по топливно-масляному варианту

При этой схеме на установках ЛВТ помимо светлых дистиллятов (бензинового, керосинового, дизельного) получают несколько вакуумных дистиллятов и гудрон. Затем каждый из дистиллятных погонов проходит:

а) селективную очистку от смолисто-асфальтеновых компонентов;

б) депарафинизацию;

в) доочистку гидрогенизационным или адсорбционным методом.

Из гудрона сначала с помощью пропана извлекают асфальтовые вещества. Полученный деасфальтизат далее обрабатывается по той же схеме, что и дистиллятные фракции (селективная очистка, депарафинизация, доочистка).

После доочистки дистиллятные и остаточный компоненты направляются на компаундирование. Изменяя соотношение компонентов и вводя различные присадки, получают необходимые сорта масел.

Существуют и другие схемы масляного производства. При очистке парными растворителями (дуосол-процесс) на одной установке совмещаются деасфальтизация н избирательная очистка масел.

При переработке парафинистых нефтей одновременно с маслами получают парафины и церезины. Выделенные при депарафинизации гач и летролатум проходят дополнительную обработку на установках обезмасливания, фильтрования через отбеливающие земли или гидроочистки. После обработки получают из гача — парафин, а из петролатума — церезин.

5.4 Схема с нефтехимическими производствами

Продукты переработки нефти используются в качестве сырья для разнообразных органических производств. Установки нефтехимического синтеза в некоторых случаях сооружаются в составе нефтеперерабатывающих заводов, что значительно расширяет ассортимент продукции предприятий. Создаются также самостоятельные нефтехимические заводы, получающие сырье с НПЗ железнодорожным или трубопроводным транспортом.

Основными видами нефтехимического сырья являются:

а) этилен, пропилен и бутилен-бутадиеновая фракция, полученные пиролизом;

б) индивидуальные алканы (пропан, бутаны, пентаны), вырабатываемые на установках газофракционирования предельных газов;

в) пропан-пропиленовая и бутан-бутиленовая фракции с установок газофракционирования непредельных газов;

г) ароматические углеводороды (бензол, толуол, ксилолы), получаемые при каталитическом риформинге и пиролизе;

д) высшие парафины, вырабатываемые при депарафинизации дизельных и масляных фракций.

5.5 Укрупненные и комбинированные установки

Развитие технологии переработки нефти в настоящее время характеризуется тенденцией роста мощности технологических установок. За прошедшие 30 лет мощность установок первичной переработки нефти выросла более чем в 10 раз, установок каталитического крекинга — в 8 раз. На смену установкам каталитического риформинга мощностью 300 тыс. т/год пришли установки мощностью 1 млн. т/год.

При увеличении единичной мощности установки сокращаются удельные, т. е. рассчитываемые на 1 т перерабатываемого сырья, затраты на строительство установок, эксплуатационные расходы, производственный штат. Например, благодаря увеличению мощности установок первичной перегонки нефти от 3 до 6 млн. т/год капитальные вложения на единицу мощности уменьшаются на 31 %, а производительность труда повышается в 2—2,5 раза. Укрупнение установок позволяет перейти к более прогрессивным видам оборудования, например от поршневых компрессоров к центробежным. Другая особенность современной нефтепереработки — создание установок, в составе которых объединяется (комбинируется) несколько технологических процессов. Внедрение таких установок, называемых комбинированными, сокращает общую сумму капиталовложений, позволяет уменьшить площадь территории установки и всего завода. Значительно сокращается протяженность трубопроводов, уменьшаются тепловые потери вследствие того, что теплота горячих потоков одного технологического процесса используется для подогрева холодных потоков другого процесса. Первые комбинированные установки появились в середине 1950-х гг. Сначала в составе таких установок комбинировалось 2—3 процесса. Были, например, построены комбинированные установки электрообессоливания, первичной перегонки нефти и вторичной перегонки бензина. Процесс каталитического риформинга на платиновом катализаторе комбинировался с предварительной гидроочисткой бензина и экстракцией аренов из катализата, В дальнейшем комбинирование процессов углублялось, в состав установок стали включать 4—5 процессов. На нескольких отечественных НПЗ в 1975—1984 гг. были введены в эксплуатацию комбинированные установки по неглубокой - переработке нефти ЛК-6У. Установки ЛК-6У состоят из пяти секций:

1) электрообессоливание и первичная перегонка нефти (ЭЛОУ-АТ);

2) каталитический риформинг с предварительной гидроочисткой бензина;

3) гидроочистка авиакеросина;

4) гидроочистка дизельного топлива;

5) газофракционирование.

На установке ЛК-6У применено новое укрупненное оборудование: центробежные компрессоры с паровым и электрическим приводом, воздушные холодильники с высоким коэффициентом оребрения, ректификационные тарелки клапанного типа, вертикально-секционные печи новой конструкции.

Применение комбинированных установок ЛК-6У взамен отдельно стоящих позволяет на 45 % повысить производительность труда, на 15—20 % уменьшить расход металла на изготовление оборудования, на 10—15% снизить эксплуатационные затраты.

В 1983—1984 гг. завершено строительство еще двух крупных комбинированных установок:

а) глубокой переработки мазута КТ-1, в состав которой включены процессы вакуумной перегонки мазута, гидроочистки вакуумного дистиллята, каталитического крекинга, висбрекинга гудрона и газофракционирования;

б) производства масел КМ-2, на которой сочетанием процессов деасфальтизации, селективной очистки, депарафинизации и гидроочистки вырабатывают моторные и индустриальные масла более 10 наименований.

На нескольких НПЗ построены высокопроизводительные комбинированные установки производства этилена и пропилена, включающие процессы пиролиза, получения аренов, бутадиена, циклопентадиена, полимерных материалов, сырья для производства технического углерода. К недостаткам комбинированных установок относится жесткость связей между отдельными процессами. Нарушения в работе одной секции могут влиять на всю установку, расстраивая другие технологические процессы. Комбинированную установку сложнее, Чем обычную, остановить на ремонт и затем вывести на режим.

6 Оборудование нефтеперерабатывающих производств

Современная нефтеперерабатывающая промышленность оснащена сложным оборудованием, предназначенным для осуществления разнообразных процессов — нагрева, охлаждения, конденсации, массопередачи, перекачки, компримирования, фильтрации и ряда других операций с нефтью и продуктами ее переработки.

По функциональному назначению это оборудование может быть подразделено на следующие основные группы:

а) реакторное — реакторы, регенераторы;

б) массообменное — ректификационные колонны, адсорберы, десорберы;

в) нагревательное — трубчатые печи, теплообменники;

г) охладительное — холодильники и конденсаторы, аппараты воздушного охлаждения;

д) оборудование для разделения эмульсий и суспензий — фильтры, центрифуги;

е) оборудование для хранения жидких продуктов — емкости и резервуары;

ж) оборудование для транспортировки жидких и газообразных сред — насосы и компрессоры;

и) оборудование для отключения аппаратов и участков трубопроводов — запорная арматура (задвижки, вентили и др.).

Заключение

Риформинг (англ. reforming, от reform — переделывать, улучшать), промышленный процесс переработки бензиновых и лигроиновых фракций нефти с целью получения высокооктановых бензинов и ароматических углеводородов. Риформинг проводят в промышленной установке, имеющей нагревательную печь и не менее 3-4 реакторов, при температуре 350-520°С, давлении 1,5-4 Мн/м2 (15-40 кгс/см2) в присутствии различных катализаторов: платиновых, платинорениевых и полиметаллических, содержащих платину, рений, иридий, германий и другие металлы. Во избежание дезактивации катализатора продуктом уплотнения — коксом, Р. осуществляется под высоким давлением водорода, который циркулирует через нагревательную печь и реакторы. В результате Р. бензиновых фракций нефти получают 80-85% бензина с октановым числом 90-95, 1,5-2% водорода и остальное количество - газообразные углеводороды. Большое значение имеет риформинг для производства ароматических углеводородов (бензола, толуола, ксилолов); ранее основным источником получения этих углеводородов была коксохимическая промышленность.

Сырьем каталитического риформинга служат, как прямогонные бензиновые фракции нефтей и газовых конденсатов, так и бензины вторичного происхождения, получаемые при термической и термокаталитической переработке тяжелых нефтяных фракций, а также выделяемые из продуктов переработки углей и сланцев. Основной источник сырья риформинга - прямогонные бензиновые фракции, роль бензинов вторичного происхождения будет возрастать при углублении переработки нефти.

Подготовка сырья риформинга включает ректификацию и гидроочистку. Ректификация используется для выделения определенных фракций бензинов в зависимости от назначения процесса. При гидроочистке из сырья удаляют примеси (сера, азот и др.), отравляющие канализаторы риформинга, а при переработке бензинов вторичного происхождения подвергают также гидрированию непредельные углеводороды.

Важное значение имеют способы хранения сырья, которые во многих случаях определяют работоспособность оборудования и катализаторов блоков гидроочистки.

Список используемой литературы

1  Гуреев А. А. Производство высокооктановых бензинов / А. А. Гуреев − М.: Химия, 1981. −457 с.

2  Маслянский Г. Н. Каталитический риформинг бензинов / Г. Н. Маслянский − Санкт-Петербург: Химия , 1985. − 971 с.

3  Емельянов В. Е. Автомобильные бензины с улучшенными экологическими / В. Е. Емельянов − Санкт-Петербург: Химия и технология топлив и масел, 1995. − 624 с.

4  Травень В.Ф. Органическая химия: Учебник для вузов в 2-х томах / В.Ф. Травень − М.: Академкнига, 2004. – 727 с.

 


Не нашли материал для своей работы?
Поможем написать уникальную работу
Без плагиата!
Без нейросетей!