Технология получения и свойства мочевино-формальдегидных смол
Содержание
Введение
1 Исходное сырьё для
получения МФС
2 Получение МФС
3 Технология производства
4 Свойства
мочевино-формальдегидных смол
5 Применение
Заключение
Список литературы
Введение
Первые
продукты конденсации мочевины с формальдегидом (карбамидные смолы) были
получены еще в 1896 г., но производство мочевино-альдегидных смол налажено лишь
в 1920—1921 гг.
Мочевино-формальдегидные
смолы выпускались в виде литых прозрачных органических стекол (например,
поллопаса) или прессованных изделий различной формы, но оказалось, что они
недолговечны из-за недостаточной водостойкости и растрескивания. Поэтому эти
смолы до введения в них наполнителя (целлюлозы, древесной муки, хлопкового
волокна) в технике не использовались. Применение наполнителей уменьшило
чувствительность изделий к изменению климатических условий. Хотя при этом
прозрачность отчасти и терялась, но сохранялась светостойкость и возможность
окрашивать изделия в светлые тона, а в ряде случаев получали также и
просвечивающие изделия. Эти свойства позволили применять
мочевино-формальдегидные смолы в декоративной технике, в которой
феноло-формальдегидные смолы непригодны из-за темного цвета. Смолы совместной
конденсации мочевины, тиомочевины и формальдегида отверждаются быстрее и
водостойкость их лучше, чем мочевино-формальдегидных смол. Но они постепенно
окрашиваются, что также ограничивает их применение.
В 1929 г.
было впервые налажено производство пресс-порошков на основе
мочевино-формальдегидных смол и целлюлозного волокна, а несколько позже (в 1934
- 1936 гг.) — слоистых пластиков на основе смолы и бумаги. Одновременно
изучались возможности применения смол для изготовления лаков.
В настоящее
время производство лаков и эмалей основано на использовании этерифицированных
мочевино-формальдегидных смол и совмещенных продуктов.
В СССР
производство мочевино-формальдегидных смол осуществлено на основе работ Г. С.
Петрова и А. А. Ваншейдта с сотрудниками.
В настоящее время из мочевино-формальдегидных
смол производят пресс-порошки, слоистые материалы, пенопласт, лаки и клеи.
Смолы применяют для обработки тканей, бумаги, в производстве
древесноволокнистых плит, в качестве связующего для изготовления формовочных
смесей при литье металла и т. п.
1 Исходное сырьё для производства МФС
Мочевина. В чистом виде мочевина
представляет собой бесцветные длинные иглы или белые призматические кристаллы.
Она является диамидом угольной кислоты (карбамидом):
Мочевина –
это бесцветный кристалл с молекулярной массой 60.06 г/моль, плотностью 1.335
г/см3, показателем преломления 1.484, температурой плавления 132.7
и температурой возгонки в
вакууме 120 – 130
.
Функциональность
мочевины до настоящего времени является спорной. Хотя в некоторых реакциях все
атомы водорода при атомах азота могут быть замещены, но, как указывает Марвел с
сотрудниками, при образовании мочевино-формальдегидных смол она является
трифункциональным соединением. Поэтому мочевину правильнее рассматривать как
амид аминомуравьиной кислоты.
Водные
растворы мочевины имеют нейтральную реакцию на лакмус, - но наличие NH
- групп обуславливает
слабый основной характер. Константа ионизации мочевины в воде при 25 °С, равная
, указывает на ее слабое
сродство к протону воды.
Несмотря на
недостаточно выраженные свойства мочевины как основания, органические и
неорганические кислоты образуют с ней соли. Сильные кислоты (азотная, серная и
соляная) дают продукты присоединения в молярном соотношении 1:1, а более слабые
органические кислоты (муравьиная, уксусная, пропионовая) — 1:2.
Мочевина
достаточно устойчива при температуре плавления (133° С), но при более высокой
температуре разлагается, выделяя аммиак и образуя биурет с температурой
плавления 193° С:
2CO(NH
)
NH
+
Нагревание в
вакууме до 120—130 °С приводит к возгонке мочевины. В разбавленных водных
растворах кислот и щелочей, а также в воде мочевина менее устойчива и начинает
разлагаться при нагревании выше 50 °С на аммиак и двуокись углерода.
Мочевина
хорошо растворяется в воде, хуже в спирте.
Все
современные методы производства мочевины основаны на химическом взаимодействии
аммиака с двуокисью углерода и разложении полученных карбаматов аммония на
мочевину и воду:
1. CО
+2NH
H2N-COONH
2. H2N-COONH4
H2O+H
NCONH
Обе реакции
протекают в автоклаве при 160—200 °С и давлении 120—200 am, с большим выделением
тепла. Продукты реакции (вода, мочевина, непрореагировавший карбамат аммония и
аммиак, который в ряде процессов берется с большим избытком для повышения
выхода мочевины с 40—50 до 75%) под уменьшенным давлением вводятся в другой
аппарат. В нем происходит отделение водного раствора мочевины, разложение
карбамата аммония на исходные продукты и вывод аммиака и двуокиси углерода для
дальнейшего их разделения и рекуперации с целью возврата в производство.
Мочевина применяется в производстве пластмасс, в медицине,
используется для разделения органических соединений, стабилизации
поливинилхлорида и сополимеров винилхлорида с винилацетатом, как удобрение и в
качестве растворителя.
Формальдегид (муравьиный альдегид) —
бесцветное газообразное вещество со своеобразным острым запахом; температура
кипения -19,2 °С; температура плавления -92 °С; плотность при —20 °С равна 0,8153
г/см3.
Газообразный
формальдегид самопроизвольно полимеризуется при комнатной температуре и очень
быстро — в присутствии небольших количеств хлористого водорода, фтористого бора
и хлористого олова и температуре 90 °С; при этом образуется белый высокоплавкий
порошок — параформальдегид — с температурой плавления 164—172 °С.
Параформ, или
параформальдегид (СН2О)n, является аморфным полимером формальдегида.
Формальдегид
легко растворяется в воде или в водном метаноле. Вода поглощает до 50% СН2О.
Большинство исследователей считает, что в водных растворах формальдегид
находится почти исключительно в гидратированной форме — в виде метиленгликоля.
СН2О
+ Н2О
HOCH2OH
Этот вывод
основан на том, что водные растворы формальдегида кипят при 100 °С, и что
дистиллат при перегонке содержит формальдегида меньше, чем кубовый остаток.
Если бы растворенный формальдегид не был в виде гидрата, он должен был бы
отгоняться даже при слабом нагревании.
Формальдегид
в водных растворах любой концентрации склонен к уплотнению с образованием
полиоксиметиленгликолей. При этом происходят следующие реакции:
1) Образование
димера:
НОСН2ОН
+ НОСН2ОН
HOCH2OCH2OH + Н2О
2) Удлинение
цепи:
НОСН2ОСН2ОН + nНОСН2ОН
HO(CH
O)n+1CH
OH + nH2O,
где n = 3 - 4.
Таким
образом, водные растворы формальдегида, называемые формалином, всегда содержат
растворимые полиоксиметиленгликоли.
Формалин
всегда содержит немного муравьиной кислоты, количество которой увеличивается
при длительном хранении вследствие окисления формальдегида:
2СН2О
+ О2
2НСООН
Из других свойств этого простейшего альдегида отмечаются те,
которые необходимы для понимания закономерностей образования смол:
1)
одновременное самоокисление и самовосстановление альдегидной группы в
присутствии водного раствора щелочи, сопровождающееся образованием метилового
спирта и муравьиной кислоты;
2)
образование ацеталей при нагревании формальдегида сo спиртами (например,
бутиловым):
СН2О
+ 2С4Н9ОН
С4Н9ОCН2ОC4Н9 + Н2О;
3)
образование гексаметилентетрамина (уротропина) при действии аммиака на
формальдегид:
6CH2O + 4NH3
(CH2)6N4 + 6H2O;
Основным
промышленным способом получения формальдегида является окисление метилового
спирта кислородом воздуха при 400—600 °С в присутствии катализатора.
Одновременно протекают две реакции — окисление и дегидрирование:
СН3ОН
+
О2
СН2О + Н2О + 36,8 ккал/моль;
СН3ОН
СН2О + Н2 - 28,8
ккал/моль;
Катализаторами
процесса служат серебро, медь, окись молибдена (промотированная железом),
фосфат марганца (промотированный молибденом) и др.
В последние
годы формальдегид получают также окислением метана кислородом воздуха в присутствии
окислов азота при 400—600 °С. Окисление протекает по схеме:
CН4
+ O2
CH2O + H2O (основная реакция)
2СН4
+ О2
2СН3ОН (побочная
реакция)
Разработаны
способы получения формальдегида в смеси с другими продуктами реакции окислением
кислородом воздуха некоторых углеводородов (пропана, н-бутана, изобутана при 400-500
°С).
2 Получение МФС
Механизм
образования мочевино-формальдегидных смол детально не выяснен. Однако
установлено, что при поликонденсации мочевины с формальдегидом в водном
растворе в зависимости от рН среды, соотношения исходных компонентов, продолжительности
реакции и температуры могут быть получены различные продукты. Так, в щелочной
среде (рН 11–13) даже в разбавленных растворах образуется монометилолмочевина H2N-CO-NH-CH2-OH; в нейтральных и
слабощелочных средах (рН 7–8) в зависимости от соотношения исходных компонентов
– моно- и диметилолмочевины OC(NHCH2OH)2. Последняя образуется также при взаимодействии
монометилолмочевины с формальдегидом. Положение равновесия этих реакций не
зависит от рН среды, а определяется концентрацией реагирующих веществ и
температурой.
При
взаимодействии мочевины с формальдегидом в сильнокислой среде (рН<3)
образующиеся метилолмочевины сразу же подвергаются дегидратации, давая
метиленмочевины, например,
которые в
условиях реакции быстро превращаются в полиметиленмочевины общей формулы (С2Н4N2O)n - неплавкие и
нерастворимые аморфные продукты, не имеющие практического значения. Поэтому для
получения мочевино-формальдегидных смол процесс следует проводить в условиях,
способствующих образованию метилольных производных мочевины.
Моно- и
диметилолмочевины – белые кристаллические продукты, растворимые в воде и
метаноле; первый плавится при 111 °С (из этанола), второй – при 121 – 126 °С (из
80%-ного этанола); диметилолмочевина при нагревании растворяется также в
этаноле. При нагревании безводные моно- и диметилолмочевины превращаются в
полиметиленмочевины; первая полностью переходит в нерастворимый продукт при 100
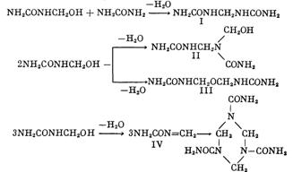
°С, вторая – выше 140 °С. В водных кислых растворах (рН 4.5–6.0)
метилолмочевина способна к дальнейшим превращениям с образованием, вероятно,
метилен-бис-амида (I), метилолметилен-бис-амида (II) или простого эфира (III) и азометилена (IV), который сразу же
тримеризуется:
В аналогичных
условиях скорость гомополиконденсации диметилолмочевины очень низка. Она также
взаимодействует с мочевиной и монометилолмочевиной.
Предполагается,
что основная реакция, приводящая к мочевино-формальдегидным смолам, –
бимолекулярная, и скорость её пропорциональна концентрации водородных ионов.
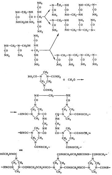
Далее приведены вероятные схемы образования мочевино-формальдегидных смол.
По-видимому,
наиболее вероятна последняя схема, предусматривающая наличие в структуре
полимера кислородных мостиков, присутствием которых можно объяснить выделение
формальдегида при хранении и эксплуатации изделий из мочевино-формальдегидных
смол.
Направление
реакции мочевины с формальдегидом зависит также от температуры. Повышение её
выше 40
(оптимальная
температура для получения метилол-мочевины) способствует образованию
нежелательных продуктов – метиленмочевин. Вероятность получения последних
существует и в том случае, когда процесс начинают в условиях, благоприятных для
синтеза метилолмочевин; это связано с изменением рН среды в ходе реакции. Так,
мочевина, способная образовывать с кислотами нестойкие соли, связывает
муравьиную кислоту, всегда содержащуюся в формалине. В результате этого при
добавлении мочевины в раствор формалина рН реакционной смеси повышается. Однако
по мере расходования мочевины кислота высвобождается и рН понижается. Кроме
того, в условиях реакции муравьиная кислота образуется из формальдегида
(реакция Канниццаро – Тищенко):
По этой
причине сначала получают метилольные производные мочевины, поддерживая
нейтральную или слабощелочную среду (рН 7–8), а затем, не выделяя
метилолмочевины из раствора, в слабокислой среде (рН 3–6,5) осуществляют их
поликонденсацию. Слабокислая среда предотвращает чрезмерное нарастание вязкости
смолы и преждевременное гелеобразование (особенно на стадии сушки). Для
регулирования рН среды используют буферные вещества (ацетат натрия и его смесь
с лимонной кислотой, карбонат аммония и другие), а также уротропин. При
нагревании мочевины и формальдегида в присутствии последнего раствор с течением
времени приобретает ту кислотность, которую он имел до прибавления уротропина.
По-видимому, уротропин образует с муравьиной кислотой буферные соли,
разрушающиеся при нагревании. Проведение реакции в водных средах препятствует
отщеплению воды от метилолмочевин, что предотвращает их переход в
метиленмочевины.
3 Технология производства
Механизм образования мочевино-формальдегидных смол сложен. Всегда
в качестве начального продукта образуется моно- и диметилолмочевина, которые
при дальнейшей поликонденсации в слабокислой среде дают линейные полимеры.
Суммарно реакцию можно представить так:
СН2О+nCO(NH2)2
+(n+1)H2O
Технологический процесс производства мочевино-формальдегидной
смолы осуществляется жидкофазным непрерывным методом и состоит из следующих
основных стадий: подготовка сырья; приготовление реакционного раствора;
конденсация в щелочной и кислой средах; нейтрализация и сушка смолы;
доконденсация смолы с мочевиной; охлаждение, стабилизация и стандартизация
смолы.
1, 13 — мерники едкого натра, 2 — теплообменник
для формалина, 3—смеситель, 4—зубчатая дробилка, 5—емкость, 6, 11—циркуляционные
насосы, 7 — первый реактор, 8 — холодильник, 9—второй реактор, 10—мерник
кислоты, 12—выпарной аппарат (а—кипятильник, б—сепаратор),
14—сборник смолы, 15—реактор.
В смеситель 3
подаются 2%-ный раствор едкого натра из мерника 1 и формалин из прицеховой
ёмкости. Формалин может охлаждаться в теплообменнике 2. Едкий натр загружается
из расчёта получения в растворе рН 4,8 – 6,5. Мочевина измельчается на зубчатой
дробилке 4 и подаётся в ёмкость 5, через которую прокачивается смесь формалина
с едким натром из смесителя 3 циркуляционным насосом 6. Циркуляция ведётся до
полного растворения мочевины, после чего определяется рН раствора, которая
должна быть в пределах 7,5 – 8,5. Коэффициент рефракции должен быть 1,409 –
1,412. В реакционной смеси поддерживается температура 20 – 35 °C за счёт подачи воды или
пара в змеевики смесителя 3.
Каждый
агрегат для получения смолы имеет два смесителя: в одном готовится
конденсационный раствор, а из другого раствор непрерывно расходуется.
Из смесителя
3 конденсационный раствор непрерывно подаётся в реактор 7 со скоростью,
зависящей от производительности агрегата. Реактор снабжён рубашкой для нагрева
и охлаждения, якорной мешалкой и холодильником 8. В реакторе 7 проводится
конденсация в щелочной среде при 90 – 98 °C и непрерывном
перемешивании. Пары конденсируются в холодильнике 8 и стекают обратно в
реактор. При конденсации рН раствора снижается до 6,0 – 7,0. В начальной стадии
процесса в нейтральной или слабощелочной среде образуется смесь моно- и
диметилолмочевин, растворимых в воде. При дальнейшем нагреве происходит
поликонденсация метилолмочевин, в результате образуется линейный полимер с
метиленовыми связями и выделяется вода.
Из реактора 7
реакционный раствор непрерывно перетекает в реактор 9, в который также непрерывно
поступает из мерника 10 серная кислота (0,5 – 1,0%-ный раствор). В реакторе
поддерживается рН смеси 5,0 – 5,4 и температура 94 – 98
. Поликонденсация при непрерывном
перемешивании продолжается до достижения вязкости смолы 14 – 15 по вискозиметру
ВЗ-1. Образовавшиеся пары конденсируются в холодильнике 8 и стекают обратно в
реактор 9.
Сконденсировавшаяся
смола подаётся непрерывно из реактора 9 циркуляционным насосом 11 в выпарной
аппарат 12, состоящий из кипятильника кожухотрубного а и сепаратора б.
Для нейтрализации смолы и поддержания рН в пределах 7,0 – 8,0 в насос из
мерника 13 непрерывно поступает 2%-ный раствор едкого натра. Кипятильник
представляет собой трубчатый теплообменник, в трубках которого циркулирует
смола, а в межтрубном пространстве – пар давлением 4 кгс/см2. Сепаратор –
цилиндрический аппарат с коническим днищем и крышкой.
Сушка смолы
проводится при рН 7,0 – 7,8, температуре 96 – 100
до достижения вязкости от 50 – 60 до 110 – 120
(по вискозиметру ВЗ-1). Пары, получаемые при сушке смолы, поступают в воздушный
холодильник, конденсируются; надсмольная вода собирается в ёмкость, откуда
перекачивается для дальнейшей обработки (выделения метанола и очистки воды от
остатков формальдегида).
Упаренная
смола поступает из сепаратора в сборник 14, в который подаётся 2%-ный раствор
едкого натра для поддержания рН смолы в пределах 7,0 – 8,0. Из сборника 14
смола подаётся в реактор 15, в который поступает расчётное количество 64 –
67%-ного водного раствора мочевины, и при 60 – 85
происходит доконденсация смолы до достижения
содержания формальдегида ниже 1,2%.
Из реактора
15 смола перекачивается в стандартизатор, где она стабилизируется 25%-ной
аммиачной водой для повышения рН до 7,5–9,0 и увеличения жизнеспособности, и
стандартизируется в результате перемешивания.
Из
стандартизатора смола перекачивается насосами в складские ёмкости, из которых
она поступает в железнодорожные цистерны и бочки.
4 Свойства
мочевино-формальдегидных смол
Мочевино-формальдегидные смолы – твёрдые
продукты белого цвета, легко растворимые в воде и нерастворимые в
неорганических растворителях. Отверждение мочевино-формальдегидных смол
ускоряется в присутствии кислотных катализаторов и с повышением температуры. В
качестве катализаторов используют как органические (щавелевая, фталевая), так и
минеральные (фосфорная, соляная) кислоты и некоторые соли (AlCl3, ZnCl2). Продукты отверждения
– бесцветные, светостойкие, легко окрашивающиеся полимеры. Смолы, отверждённые
при низких температурах даже в присутствии больших количеств катализатора,
имеют пониженную водостойкость. При повышении температуры отверждения
водостойкость возрастает. Однако продукты, полученные в оптимальном режиме (120
– 140
, катализатор),
всё же частично разлагаются под действием горячей воды или водных растворов
солей. Это обусловлено недостаточной разветвлённостью цепей и малым количеством
поперечных связей, о чём свидетельствует низкое коксовое число продуктов
отверждения (14 – 21,5%) и их быстрая деструкция при нагревании без доступа
воздуха.
Существенный недостаток
мочевино-формальдегидных смол – выделение формальдегида в процессе переработки
и при эксплуатации отверждённых смол. Это объясняется наличием в материале
формальдегида, не прореагировавшего при поликонденсации, а также образованием
его вследствие наличия в полимере метилольных групп и метиленэфирных связей,
превращающихся в метиленовые. Формальдегид оказывает токсичное действие на
организм человека и вызывает растрескивание изделий.
Отверждённые мочевино-формальдегидные
смолы (в отличие от феноло-формальдегидных) прозрачны даже тогда, когда в них
содержится 10 – 15% воды. Вода находится в полимере в диспергированном состоянии
и химически не связана с ним. Она постепенно испаряется даже при комнатной
температуре, причём происходит усадка и растрескивание материала. Поэтому для
удержания некоторого количества воды в мочевино-формальдегидные смолы иногда
вводят гидрофильные добавки (поливиниловый спирт, крахмал, белковые вещества) и
твёрдые наполнители (например, древесную муку), препятствующие усадке полимера.
5 Применение
Мочевино-формальдегидные
смолы применяют в качестве связующих в производстве аминопластов, слоистых пластиков
и для изготовления клеев. Мочевино-формальдегидные смолы, модифицированные
бутиловым спиртом, используют в смеси с другими плёнкообразующими для
приготовления электроизоляционных, декоративных, антикоррозионных лакокрасочных
материалов.
Мочевино-формальдегидные
смолы, модифицированные фуриловым спиртом, используют для изготовления литейных
стержней для алюминиевого и чугунного литья. Они экономически выгодны в
высокопроизводительном литейном производстве.
Мочевино-формальдегидные
смолы, модифицированные поливинилацетатной эмульсией, используют в производстве
карбамидных клеев и в качестве связующих в производстве слоистых пластиков, к
которым предъявляются высокие требования по водостойкости.
Водоэмульсионные
мочевино-формальдегидные смолы, модифицированные глицерином, способствующим
снижению хрупкости полимера, используют для получения тепло- и
звукоизоляционного пенопласта – мипоры.
В России
производятся мочевино-формальдегидные смолы марок МФ, М, УКС, бартрев. За
рубежом мочевино-формальдегидные смолы выпускают под названиями: аутосет,
формасет, циакор резин, урак резин, америте (США); фиталак, каларок
(Великобритания); ипорка, бекурол, фестопас, элмопласт (Германия); аминоцел
(Италия); сидонур (США, Канада, Великобритания, Германия), деламин (Австрия) и
др.
Заключение
Из всего вышесказанного можно сделать вывод о том, что развитие
производства данного полимера довольно перспективно. Разнообразный характер
применения мочевино-формальдегидных смол объясняется их дешевизной и
доступностью сырья. Для получения мочевино-формальдегидных смол есть развитая
сырьевая база, а технология изготовления их сравнительно проста.
Широкое применение мочевино-формальдегидных смол основано на
наличии у них ряда важных технических свойств, например, они способны отверждаться
как при нагреве, так и при комнатной температуре, они бесцветны и способны
окрашиваться в любой цвет.
На основе
водных растворов мочевино-формальдегидных смол изготовляют клеи, применяемые в
деревообрабатывающей и мебельной промышленности. Клеи способны клеить древесину
с влажностью 8 – 15%, они стойки к микроорганизмам, воде, бензину и маслам и
негорючи. Жизнеспособность отдельных марок клеев (время, в течение которого
клей не желатинизируется) составляет от 3 до 6 часов. Недостаток их – в постепенном
выделении в помещении формальдегида, которого содержится в клее около 2%.
Наряду с
чистыми мочевино-формальдегидными полимерами выпускаются модифицированные
полимеры, модифицированные бутиловым и многоатомными спиртами. Эти полимеры
являются важными в техническом отношении продуктами и применяются для
изготовления лаков горячей воздушной сушки, используемых для пропитки ткани,
бумаги, для изготовления кабеля, окраски холодильников, медицинского и
торгового оборудования.
Немодифицированные
и модифицированные мочевино-формальдегидные смолы широко используются для
получения пресс-материалов, которые применяются для производства деталей
телефонов, радиоприёмников и телевизоров, электроосветительной аппаратуры и
бытовых предметов.
К сложностям
производства можно отнести то обстоятельство, что моно- и диметилолмочевина
получаются только при точном соблюдении условий реакции. При несоблюдении
указанных условий можно получить нерастворимый в воде и других растворителях
осадок – метиленмочевину. При получении мочевино-формальдегидных смол избегают
образования метиленмочевины, так как она ухудшает качественные показатели смол.
Процесс надо вести так, чтобы смола получилась при конденсации смеси моно- и
диметилолмочевины.
Список
литературы
1.
“Энциклопедия
полимеров”, 2-й том. Изд. “СЭ”, М., 1975 г.
2.
А.Ф.
Николаев, “Синтетические полимеры и пластические массы на их основе”, изд. 2-е,
“Химия”, М., 1966 г.
3.
И.Ш.
Пик, С.А. Азерский “Технология пластических масс. Учебное пособие для
проф.-техн. учебн. заведений. М., “Высшая школа”, 1975 г.