Фазовый состав полиблочных блок-сополимеров полиариленсульфоноксида и полиэтиленоксида

  • Вид работы:
    Реферат
  • Предмет:
    Химия
  • Язык:
    Русский
    ,
    Формат файла:
    MS Word
    494,82 kb
  • Опубликовано:
    2010-03-02
Вы можете узнать стоимость помощи в написании студенческой работы.
Помощь в написании работы, которую точно примут!

Фазовый состав полиблочных блок-сополимеров полиариленсульфоноксида и полиэтиленоксида

Фазовый состав полиблочных блок-сополимеров полиариленсульфоноксида и полиэтиленоксида

Известно, что присутствие в блок-сополимерах компонентов, способных к кристаллизации, значительно усложняет зависимость фазового состава от состава блок-сополимера [1—3]. Это особенно характерно для блок-сополимеров полиблочного строения вследствие увеличения числа блоков в макромолекуле и небольшой их длины. Ранее [4—6] на примере сравнительного анализа фазового состава блок-сополимеров полиарилата (ПА) с полиэтиленоксидом (ПЭО) и полидиметилсилоксаном (ПДМС), в которых блоки ПЭО и ПДМС способны к кристаллизации, было установлено влияние термодинамического сродства компонентов, их ММ, состава блок-сополимера и температуры на фазовый состав и показано, что резкое различие в поведении этих систем связано, прежде всего, с разными параметрами растворимости. Параметры растворимости ПА (21,9 (Дж/см3)) и ПДМС (13,5 (Дж/см3)1/2) сильно различаются, чем и обусловлена нерастворимость компонентов даже при очень малых значениях ММ. Напротив, соотношение параметров растворимости ПА и ПЭО (21,3) обеспечивает возможность растворения в широком интервале соотношений ММ компонентов.

Представляло интерес выяснить, в какой мере закономерности, установленные для блок-сополимера с близкими параметрами растворимости компонентов, характерны и для других пар полимеров. Полиариленсуль-фоноксид (ПАСО) отличается от химического строения ПА, но характеризуется близким к нему параметром растворимости (21,7 (Дж/см3)). Таким образом, соотношения параметров растворимости пары ПАСО —ПЭО практически такое же, как и ПА — ПЭО. В связи с этим основной задачей исследования явилось изучение фазового состава блок-сополимеров ПАСО — ПЭО и его влияния на морфологию и некоторые свойства. Одновременно предполагалось выяснить роль условий синтеза и химической природы удлинителя цепи в фазовом, разделении блок-сополимеров, который в работах [4—6] не рассматривался.

Объектами исследования служили полиблочные блок-сополимеры ПАСО — ПЭО регулярного и нерегулярного (статистического) строений.

В качестве исходных соединений при синтезе указанных блок-сополимеров использовали олигоариленсульфоноксиды с концевыми фенольными спиртовыми группами общей формулы R - ПАСО - R, где


Синтез блок-сополимеров ПАСО — ПЭО различного строения с различными удлинителями цепи осуществляли тремя способами.

Регулярные блок-сополимеры с использованием дихлорангидрида терефталевой кислоты в качестве удлинителя цепи (I) получали в две стадии в 1,2-дихлорэтане при 293 К в присутствии триэтиламина при взаимодействии заранее полученного в аналогичных условиях макродихлорангидрида олигоэтиленоксида и олигоариленсульфоноксида с концевыми фенольными группами [7]


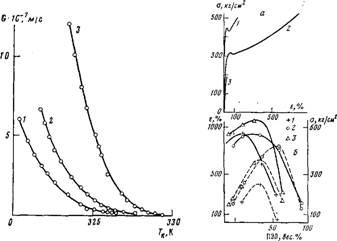
Регулярные блок-сополимеры с использованием в качестве удлинителей цепи гексаметилендиизоцианата (II) получали в две стадии в хлорбензоле при 353 К в присутствии 0,01% диэтилдикаприлата олова при взаимодействии заранее получен - от 1/М (1) и от степени поликонденсации х (2)

Рис. 1. Зависимость температуры стеклования ПАСО

 

Рис. 2. Обобщенная диаграмма состояния блок-сополимеров I—III на основе ПАСО (М=4700), полученных различными способами в аналогичных условиях макродиизоцианата олигоэтиленоксида и олигоарилен-сульфоноксида с концевыми спиртовыми группами [7]

Нерегулярные блок-сополимеры с использованием в качестве удлинителя цепи гексаметилендиизоцианата (III) получали в одну стадию в хлорбензоле при 353 К в присутствии 0,01% диэтилдикаприлата олова при взаимодействии олигоарилен-сульфоноксида с концевыми спиртовыми группами, олигоэтиленоксида и гексаметилендиизоцианата [7]


где n — обозначение, соответствующее нерегулярному (статистическому) распределению блоков по цепи.

Рис. 3. Диаграммы состояния блок-сополимеров ПАСО — ПЭО при х=3 (1), 10 (2) в 30 (3). Штриховые линии — Тпл и Тс чистого ПЭО большой ММ Рис. 4. Зависимости Qajl и степени кристалличности а исследованных блок-сополимеров от содержания ПЭО при х—Ъ (1), 10 (2) и 30 (3) Рис. 5. Зависимость Тпл исследованных блок-сополимеров от молекулярной массы ПЭО-блока при х—Ъ (1), 10 (2) и 30 (3). Штриховая линия - зависимость Гпл чистого ПЭО от ММ

Фазовое строение блок-сополимеров оценивали по температурам переходов, определение которых проводили с помощью дифференционального сканирующего калориметра ДСК-2 («Перкин — Эльмер») при скорости сканирования 10—40 град/мин.

Структуру образцов изучали на поляризационном микроскопе МИН-8, механические свойства — на динамометре для одноосного растяжения. Исследовали пленки, полученные из 1%-ного раствора в хлороформе.

Изучение фазового состояния блок-сополимеров ПАСО — ПЭО было начато с определения Тс олигоариленсульфоноксидов (литературные данные для которых отсутствуют) с целью установления зависимости Тс от значений их ММ. Полученные данные представлены на рис. 1 и являются типичными зависимостями Тс аморфных полимеров от ММ (степени поликонденсации х). С увеличением степени поликонденсации х температура стеклования ПАСО повышается сначала быстро, затем медленнее, стремясь к постоянному значению, равному Тс полимера с бесконечно большой длиной цепи. Экстраполяция зависимости Tc=f(i]M) на бесконечно большое значение ММ приводит к температуре 467 К, хорошо согласующейся с Тс полимера высокой степени поликонденсации. Значения температур стеклования ПАСО различной ММ были использованы для построения диаграмм состояния (зависимостей температур переходов от состава) для различных серий блок-сополимеров.

С целью выяснения влияния условий синтеза и химической природы удлинителей цепи на фазовое состояние были рассмотрены диаграммы состояния блок-сополимеров на основе ПАСО с Ж=4700, полученных в различных условиях с использованием различных удлинителей цепи (рис. 2). Как следует из рис. 2, фазовое состояние исследованных блок-сополимеров при постоянной молекулярной массе ПАСО-блока определяется содержанием ПЭО-блока и практически не зависит от условий синтеза, а также от природы удлинителя цепи. Таким образом, замена двухстадийного способа синтеза полиблочных блок-сополимеров такого типа на более удобный одностадийный не вызывает заметных изменений в их фазовом состоянии, что позволяет проводить дальнейшее изучение закономерностей фазового


состава, используя только блок-сополимеры III, полученные одностадийным способом.

На рис. 3 приведены диаграммы состояния трех блок-сополимеров типа III на основе ПАСО различной ММ, сравнительное рассмотрение которых позволяет отметить следующее. При небольших содержаниях ПЭО в каждом ряду блок-сополимеров наблюдается лишь одна температура стеклования Тс1, отличная от температуры стеклования исходного ПАСО и резко снижающаяся при увеличении количества ПЭО. При некотором содержании ПЭО Тс2 перестает снижаться и наряду с ней появляется еще одна температура стеклования Тс2, существенно отличная от Те чистого ПЭО. Так же как и в случае блок-сополимеров ПА — ПЭО, Гс2 относится к стеклованию раствора жесткого блока (ПАСО) в ПЭО. Зависимости Тс2 от состава для разных рядов блок-сополимеров различны, но их экстраполяция на 100%-ное содержание ПЭО во всех случаях дает Тс чистого ПЭО большой ММ (~200 К) [8]. Дальнейшее увеличение содержания ПЭО сопровождается выделением кристаллической фазы ПЭО, характеризующейся температурой Тпл и теплотой плавления ()пл (рис. 4). Зависимости Тпл от состава для разных рядов блок-сополимеров различны: чем меньше молекулярная масса ПАСО-блока, тем больше их наклон. Так, в ряд блок-сополимера на основе ПАСО (М=13 500) максимальное снижение Тпл ПЭО-блока при уменьшении его количества составляет ~12 К, в то время как в ряду блок-сополимеров на основе ПАСО (М=1600) это снижение достигает ~20 К.

Как известно [8], понижение температуры плавления кристаллизующегося компонента в бинарной полимер-полимерной системе обусловлено, по меньшей мере, двумя факторами: наличием второго (способного к растворению) компонента и изменением размеров кристаллитов. При анализе понижения Тал необходимо, естественно, учитывать и собственную зависимость Гпл кристаллизующегося компонента от ММ. На рис. 5 приведена наглядная зависимость Гпл от молекулярной массы ПЭО-блока для трех рядов блок-сополимеров. Здесь же для сравнения представлены Гдл чистого ПЭО различной ММ [9]. Как следует из рисунка, Тпл ПЭО-блока одной и той же ММ имеет различные значения для разных рядов блок-сополимеров, что свидетельствует о зависимости Т„„ ПЭО-блока не только от его ММ, но и от содержания в системе. С другой стороны, как это было показано для блок-сополимеров ПА — ПЭО [5], содержание ПЭО определяет морфологию блок-сополимеров. С момента начала аморфного микрофазового разделения с увеличением количества ПЭО размеры дисперсной фазы (обогащенной ПЭО), из которой происходит его кристаллизация, увеличиваются. При дальнейшем увеличении содержания кристаллического ПЭО он становится матрицей, а фазой являются аморфные области, обогащенные ПАСО. Улучшение условий кристаллизации ПЭО по мере увеличения его количества в блок-сополимерах приводит к увеличению размеров кристаллитов и, следовательно, их Гпл. Заметные различия в значениях Тпл в разных рядах блок-сополимеров при малых концентрациях ПЭО сглаживаются в области больших содержаний, и экстраполяция этих зависимостей на 100% -ное содержание ПЭО приводит к температуре плавления чистого ПЭО большой ММ (343 К) [10]. Соотношение термодинамического и морфологического факторов, оказывающих влияние на понижение Тпл блок-сополимеров ПАСО — ПЭО, является предметом проводимых в настоящее время исследований.

Критические составы начала выделения кристаллической фазы ПЭО для каждого ряда блок-сополимеров приведены в табл. 2. С увеличением молекулярной массы ПАСО-блока они сдвигаются в сторону меньшего содержания ПЭО.

Калориметрические данные хорошо согласуются с оптико-микроскопическими наблюдениями. Во всех рядах блок-сополимеров с момента начала кристаллизации ПЭО вместо однородного прозрачного поля появляется мелкозернистая структура (рис. -6, а), которая при увеличении содержания ПЭО трансформируется в хорошо выраженные сферолиты (рис. 6, г). Чем больше молекулярная масса ПАСО-блока, тем значительнее границы структурных превращений сдвинуты в область меньшего содержания ПЭО.

Влияние ПАСО на кристаллизацию ПЭО проявляется не только в наличии критических составов, начиная с которых происходит выделение кристаллической фазы, и в зависимости Тил (рис. 3), степени кристалличности а (рис. 4), а также скорости кристаллизации ПЭО от состава блок-сополимеров. На рис. 7 представлена зависимость скорости роста сферо-литов ПЭО от температуры кристаллизации для блок-сополимеров различного состава. Из рисунка видно, что с увеличением доли ПАСО скорость кристаллизации ПЭО резко уменьшается. Следует отметить происходящие при этом изменения формы и размеров сферолитов. При высоком содержании ПЭО большое число растущих сферолитов не позволяет им достичь больших размеров и иметь правильную форму. Уменьшение количества ПЭО в блок-сополимерах снижает число зародышей и приводит к образованию сферолитов больших размеров более правильной формы.

Рис. 7. Зависимость скорости роста сферолитов ПЭО от температуры кристаллизации для блок-сополимеров на основе ПАСО (Л/=4700, ж=10), содержащих 75 (1), 80 (2)и 89% ПЭО (3)

Рис. 8. Типичные кривые растяжения блок-сополимеров, составы которых находятся в характерных областях диаграммы состояния (а) и зависимости разрывной прочности (сплошные линии) и удлинения блок-сополимеров (штриховые) от содержания ПЭО {б), а: 1 — область малых содержаний ПЭО; 2 — до начала кристаллизации ПЭО и при небольших степенях кристалличности (а<50%); 3 — а>50% ПЭО; б: х=Ъ (1),10 (2) и 30 (3)

При дальнейшем уменьшении содержания ПЭО они исчезают, и структура становится мелкозернистой, поэтому изучение кинетики кристаллизации блок-сополимеров такого состава может быть проведено по скорости валовой кристаллизации. Детальный анализ кинетики кристаллизации в этих блок-сополимерах является предметом отдельного рассмотрения.

С целью сопоставления механических свойств блок-сополимеров различного состава были сняты кривые одноосного растяжения образцов при комнатной температуре и установлена существенная зависимость механических свойств от содержания ПЭО и степени его кристалличности а. Аналогичная зависимость была получена и для блок-сополимеров ПА — ПЭО в работе [5]. На рис. 8, а приведены типичные кривые растяжения образцов, составы которых находятся в характерных областях диаграммы состояния. На рис. 8, б представлены зависимости разрывной прочности и удлинения в зависимости от состава для трех рядов блок-сополимеров. Сравнительное рассмотрение рис. 8 и рис. 4 показывает следующее. Блок-сополимеры с малым содержанием ПЭО характеризуются типичными кривыми растяжения аморфного полимера в стеклообразном состоянии (кривая 1). Блок-сополимеры с большим содержанием ПЭО имеют (кривая 1) кривую растяжения пластифицированного аморфного полимера (кривая 2), но степень кристалличности их не превышает 50%. При достижении степени кристалличности ПЭО более 50% наблюдается резкое снижение прочностных свойств образцов и их хрупкое разрушение (кривая 3). Следует отметить, что блок-сополимеры на основе ПАСО (М=1600) обладают худшими механическими свойствами и хрупко разрушаются уже при малых значениях а.

На основе полученного экспериментального материала можно составить картину фазового состояния блок-сополимеров ПАСО — ПЭО.

Область малых ММ (содержаний) ПЭО характеризуется образованием однофазных растворов вследствие взаимной растворимости блоков, о чем свидетельствует единственная температура стеклования Гс1, морфологи ческие наблюдения и механические свойства. Резкое снижение Тс1 в каждом ряду блок-сополимеров объясняется увеличением пластифицирующей способности ПЭО при увеличении его содержания в системе [11].

Дальнейшее увеличение молекулярной массы ПЭО в каждом ряду блок-сополимеров сопровождается выделением кристаллической фазы ПЭО, в результате чего система становится трехфазной (две аморфные и одна кристаллическая фаза ПЭО). По мере увеличения степени кристалличности ПЭО состав аморфных фаз в каждом ряду блок-сополимеров непрерывно меняется. Аморфная фаза, в которой преобладает ПАСО, все больше им обогащается, а содержание ПАСО во второй аморфной фазе уменьшается. При этом Тс1 и Гс2 стремятся к значениям Т0 чистого ПАСО и ПЭО соответственно.

Таким образом, характер фазового разделения в исследованных блок-сополимерах ПАСО — ПЭО качественно подобен фазовому разделению в блок-сополимерах ПА — ПЭО, а имеющиеся некоторые количественные отличия обусловлены различной химической природой жесткого блока.

Литература

1. Ношей А., Мак-Грат Дж. Блок-сополимеры. М.: Мир, 1980.

2. Менсон Дж., Сперлинг Л. Полимерные смеси и композиты. М.: Химия, 1979.

3. Калашникова В.Г. Особенности структурообразования в кристаллизующихся блок-сополимерах. Научно-технические прогнозы в области полимеров. М.: НИИТЭХИМ, 1978.

4. Годовский Ю. К., Валецкий П. М., Врауде Л.М., Левин Е.И., Шибанов Ю. Д., Виноградова С. В., Коршак В. В. Докл. АН СССР, 1979, т. 244, № 5, с. 1149.

5. Годовский Ю. К., Врауде Л. М., Шибанов Ю.Д., Левин Е.И., Валецкий П. М., Виноградова С. В., Коршак В. В. Высокомолек. соед. А, 1979, т. 21, № 1, с. 127.

6. Годовский Ю.К., Дубовик И.И., Папков В.С, Валецкий П.М., Долгоплоск С. В., Слонимский Г. Л., Виноградова С. В., Коршак В. В. Докл. АН СССР, 1977, т. 232, № 1, с. 105.

7. Аксенов А.И., Аксенова Т. С, Семенкина Т.М., Перов С.И., Сторожук И. П., Коршак В.В. Рукопись деп. в ВИНИТИ. М., Деп. № 2290-81. Опубл. в РЖХим, 1981, 15, с. 396.

8. Полимерные смеси/Под ред. Пола Д., Ньюмена С. М.: Мир, 1981, т. 1.

9. Козлов П.В., Папков С. П. Физико-химические основы пластификации полимеров. М.: Химия, 1982.

10.   Годовский Ю.К., Слонимский Г.Л., Гарбар Н.М. Высокомолек. соед. А, 1973, т. 15, № 4, с. 813.

11.   Кулезнев В.Н. В кн: Многокомпонентные полимерные системы / Под ред. Голда Р. Ф.М.: Химия, 1974.

Похожие работы на - Фазовый состав полиблочных блок-сополимеров полиариленсульфоноксида и полиэтиленоксида

 

Не нашли материал для своей работы?
Поможем написать уникальную работу
Без плагиата!
Без нейросетей!