Водородные связи

  • Вид работы:
    Курсовая работа (т)
  • Предмет:
    Химия
  • Язык:
    Русский
    ,
    Формат файла:
    MS Word
    116,32 kb
  • Опубликовано:
    2010-12-13
Вы можете узнать стоимость помощи в написании студенческой работы.
Помощь в написании работы, которую точно примут!

Водородные связи

МІНІСТЕРСТВО ОСВІТИ І НАУКИ УКРАЇНИ

ХАРКІВСЬКИЙ НАЦІОНАЛЬНИЙ УНІВЕРСИТЕТ

ім. В.Н. Каразіна

Кафедра хімічного матеріалознавства







ВОДНЕВИЙ ЗВ'ЯЗОК В ДИМЕРІ HF

Курсова робота

студента гр. Х-134

хімічного факультету

КОЛІСНИКА ОЛЕКСІЯ ВАСИЛЬОВИЧА

Науковий керівник

к.х.н., доцент

В.В. Іванов





ХАРКІВ 2010

введение


Интерес к олигомерам фторида водорода (димеру, тримеру) в последние десятилетия поистине велик. Объясняется это прежде всего той ролью, которую играет водородная связь при интерпретации, моделировании и прогнозировании свойств огромного класса веществ, представляющих непосредственный практический интерес (достаточно вспомнить о воде). Ассоциаты молекул фторида водорода рассматриваются как наиболее простые комплексы, компоненты которых удерживаются с помощью водородных связей, а димер (HF)2 стоит первым в этом ряду.

Сейчас много известно о структуре димера фторида водорода по результатам экспериментальных исследований методами молекулярной спектроскопии и в газовой фазе, и в инертных средах матриц благородных газов. В последнем случае используется прием, позволяющий отделить интересующее соединение от других молекул инертным растворителем, например аргоном, чтобы предотвратить химические реакции или комплексообразование с другими частицами. По результатам этих исследований и был сделан вывод о стабильности соединения (HF)2 и определены многие его параметры. Строение комплекса (HF)2 в настоящее время изучают и теоретически методами компьютерного моделирования, причем предсказания теории претендуют на точность, вполне сопоставимую с экспериментальной.

1 ЛИТЕРАТУРНЫЙ ОБЗОР


1.1   Водородная связь

Представления об участии атома водорода в образовании двух химических связей (а не одной, как соответствовало бы его классической валентности) появились в конце XIX века (Ильинский, 1887 год) и начале XX века (Мур и Винмил, 1912 год; Хаггинс, 1919 год). Дальнейшее достаточно быстрое накопление экспериментальных данных, для объяснения которых эти представления оказались полезными, позволило не только привыкнуть к самому факту наличия водородной связи, но и дать некоторые разъяснения, по каким причинам она возникает, почему такого типа связь наиболее широко распространена именно для водородсодержащих соединений и не столь часто встречается у соединений, в которых соответствующие атомы водорода заменены на другие, например на атомы щелочных металлов [1].

Водородную связь относят к числу слабых химических взаимодействий. Энергия водородной связи обычно лежит в пределах от 10 до 30 кДж/моль, хотя иногда она достигает и сотен кДж/моль. Энергии обычных химических связей (ковалентных и ионных), как правило, заметно превышают 150 кДж/моль, достигая, например, для молекул азота или оксида углерода величин 900 кДж/моль и более [1]. Тем не менее за последние полвека появилось четкое понимание исключительной роли слабых взаимодействий, прежде всего роли водородных связей в стабилизации конденсированных состояний многих простых молекулярных систем, например воды, фтороводорода, и, что самое существенное, в стабилизации биополимеров (нуклеиновых кислот, белков).

Водородные связи позволяют полимерным цепям соединяться в специфические трехмерные структуры, приобретающие при этом функциональную биологическую активность, структуры, с одной стороны достаточно прочные (за счет образования большого числа водородных связей), а с другой - достаточно чутко реагирующие на изменение внешних условий (например, приближение той или иной молекулы) именно из-за того, что эти взаимодействия являются слабыми. Разрыв таких связей лишает белки или нуклеиновые кислоты их биологических функций. Отсюда, в частности, видна исключительно важная роль водородных связей, которую они играют в биологических процессах на молекулярном уровне [2]. Понятно и то важное значение исследований и понимания природы водородных связей, которым в последние время было уделено столь пристальное внимание ученых различных направлений.

Долгое время доминировала сугубо электростатическая точка зрения: атом водорода, образующий такую связь, обычно связан с достаточно хорошо выраженным электроотрицательным атомом, то есть атомом с высоким сродством к электрону, из-за чего электронная плотность на атоме водорода понижена по сравнению с плотностью изолированного атома водорода. Следовательно, суммарный электрический заряд на таком атоме оказывается положительным, что и позволяет атому взаимодействовать еще с одним электроотрицательным атомом. Такое взаимодействие с каждым из двух атомов, как правило, слабее взаимодействия с тем атомом, с которым атом водорода был соединен первоначально. Образование подобной связи с третьим и т. д. атомом практически оказывается невозможным из-за того, что начинает доминировать электростатическое отталкивание электроотрицательных атомов друг от друга [1]. Современные расчеты показывают, однако, что суммарный заряд на атоме водорода, участвующем в образовании водородной связи, практически не меняется по сравнению с зарядом в мономерной молекуле, что говорит о том, какую заметную роль в образовании водородной связи должны играть поляризация, перераспределение электронного заряда в отдельных областях пространства.

Общей причиной возникновения водородной связи, как, впрочем, и других выделяемых обычно типов химических связей, является главным образом электростатическое, кулоновское взаимодействие разноименных зарядов тех частиц, которые образуют молекулу. Правда, это взаимодействие отличается от того, которое встречается в классической теории, поскольку оно не определяется только лишь плотностью распределения положительного и отрицательного зарядов, а выражается более сложным образом с помощью волновых функций, определяющих состояния молекулярной системы [3-5]. Поэтому естественно стремление найти некоторые более простые образы, которые давали бы возможность наглядно представить себе, как же все-таки образуется химическая связь.

Одно из таких представлений базируется на анализе перераспределения электронной плотности при образовании системы: увеличение электронной плотности в пространстве между ядрами ведет к усилению электростатического взаимодействия между электронами в этом пространстве и ядрами, что сопровождается, в свою очередь, понижением энергии системы [3].

Действительно, такое повышение электронной плотности должно сопровождаться ее понижением в других областях пространства и, следовательно, вклад в энергию от этих областей должен уменьшаться [3]. Кроме того, электроны, находясь в сравнительно малой указанной области пространства, должны сильнее отталкиваться друг от друга, а потому энергия также должна возрастать.

Анализ изменений распределения электронной плотности - полезный способ выяснения того, что происходит при возникновении химической связи. Простые представления не всегда оказываются работоспособными. Так, в настоящее время известны молекулы, в которых при образовании химической связи не происходит увеличения электронной плотности в пространстве между ядрами и тем не менее химическая связь вполне реально существует [3].

Водородная связь по своему происхождению не представляет собой нечто отличающееся от того, что характерно для химических связей вообще. Ее определяют главным образом поляризация электронного распределения в мономерных звеньях (в общем случае в молекулах, образующих такую связь) и отличная от мономерных звеньев динамика колебательного движения атомов в водородно-связанном фрагменте. Пристальное внимание к изучению систем с водородными связями давно уже определяется не спецификой этой связи как таковой, а широкой распространенностью водородных связей, особенно в биологических объектах, и той важной ролью, которую они играют в биополимерах и жизненно важных процессах с их участием [1].

1.2   Примеры соединений с водородной связью

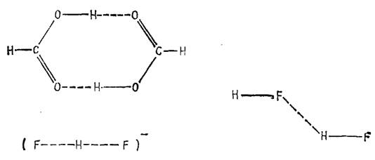
Во многих случаях, когда имеется сильная связь между молекулами или разными группами одной и той же молекулы, эту связь можно приписать атомам водорода, проявляющим двухвалентный характер. Таковы, например, димеры алифатических кислот, ион дифторида и димер HF, структура которых приведена на рисунке 1.1 [6].

Рисунок 1.1 Некоторые примеры структур с водородной связью

Водород служит в качестве связующего атома в другом важном классе соединений – бороводородах. Простейшим членом этого семейства является диборан (В2Н6). Однако бороводороды обычно не рассматривают в качестве соединений с водородной связью, так как их нельзя разбить на фрагменты, представляющие собой стабильные молекулы [6]. Рассмотрим эти соединения лишь для того, чтобы сопоставить их с комплексами с водородной связью.

Бороводороды были названы электронодефицитными молекулами (термин электронодефицитный в применении к бороводородам не совсем оправдан, так как во всех случаях электронов достаточно для заполнения всех связывающих молекулярных орбиталей), так как они не имеют достаточно электронов для образования того количества двухэлектронных связей, которое, по-видимому, подразумевается их молекулярной геометрией. Диборан имеет восемь связей В–Н, но только четырнадцать валентных электронов. Расчеты на основе метода молекулярных орбиталей показывают, что концевые связи представляют собой нормальные двухэлектронные связи, а мостиковые связи следует описывать как трехцентровые двухэлектронные связи [6].

Описание на основе метода молекулярных орбиталей иона дифторида полностью отличается от описания диборана, поскольку для образования мостиковых связей здесь имеются четыре электрона. Равновесная конфигурация молекулы линейная, причем водород находится посредине отрезка F–F. Две наивысшие заполненные молекулярные орбитали образованы в основном 2pσ -орбиталями фтора п ls-орбиталями водорода с некоторой добавкой 2s-орбиталей фтора. Низшая из двух орбиталей имеет симметрию σg и является связывающей для всех трех атомов. Более высокая орбиталь σu (ее узел приходится на атом водорода) – разрыхляющая по отношению к атомам фтора. Однако атомы фтора достаточно удалены друг от друга, так что разрыхляющий эффект мал, и орбиталь σu имеет отрицательную энергию (т. е. связывает электроны), что обусловлено большой электроотрицательностью атома фтора [6].

Можно преобразовать σg- и σu-орбитали в эквивалентные орбитали θ1 = σg + σu и θ2 = σg σu, локализованные на двух связях F–Н, что демонстрирует отличие от мостиков в бороводородах, орбитали которых не могут быть локализованы на связях [6].

Ион дифторида не типичен для соединений с водородными связями в том отношении, что атом водорода расположен посредине между двумя тяжелыми атомами. Обычно энергии водородных связей намного меньше, чем для иона дифторида, а водород более тесно связан с одним из атомов, чем с другим, как в димере муравьиной кислоты (рис. 1.1). В действительности геометрия двух компонентов, составляющих комплекс, немного отличается от их геометрии в изолированных состояниях [6].

Таблица 1.1 Энергии димеризации некоторых газофазных димеров с водородной связью [6]

Димер

Энергия димеризации, кДж/моль-1

(HF)2

29±4

(H2O)2

(NH3)2

19±2

(HCl)2

9±1

(H2S)2

7±1


1.3   Димер HF

1.3.1 Геометрическая конфигурация, колебания, энергия связи

На рисунке 1.2 изображена равновесная геометрическая конфигурация комплекса, одновременно и понятная и непредсказуемая. Все четыре атома располагаются в одной плоскости. Расстояния между атомами фтора и водорода, относящиеся к составным (мономерным) частям комплекса Fb–Hb и Ff–Hf , равны соответственно 0,922 и 0,920 Å и мало отличаются от равновесного расстояния 0,917 Å в молекуле HF. Расстояние между атомами Hb…Ff равно 1,82 Å, что характерно для водородной связи. Расположение всех трех участников водородной связи Fb–Hb…Ff близко к линейному. Это все предсказуемые черты межмолекулярного комплекса с водородной связью. Непредсказуемыми из простых принципов оказываются значения углов θ1 = 7 ̊ (между направлениями FbFf и FfHb) и θ2 = 69 ̊ (FbFf и FfHf).

Рисунок 1.2 Равновесная геометрическая конфигурация комплекса (HF)2 [7]

Рассмотрим, как были получены эти результаты. Олигомеры фторида водорода (HF)n образуются в распространяющейся со сверхзвуковой скоростью струе газа, истекающей из узкого сопла контейнера с веществом HF, находящегося при низких температурах. Контроль состава газа осуществляют масс-спектральными методами [8], что позволяет различить компоненты газа по массе, то есть различить олигомеры с разными значениями n. Подбором условий можно добиться того, чтобы исследованию подвергались именно димерные комплексы (HF)2.

В камере спектрометра молекулярный пучок подвергается действию электромагнитного излучения от источника определенного интервала длин волн (или частот) и фиксируется спектр исследуемой системы. Спектральные линии в микроволновом диапазоне, как сказано выше, несут информацию о вращении молекулы, и относительное расположение полос зависит от геометрической конфигурации системы. Интерпретация полос в диапазоне 19 300-19 340 МГц в рамках модели полужесткого волчка позволила установить соответствие спектра структуре, показанной на рис. 1, с расстоянием между атомами фтора Fb-Ff 2,72 ? 0,03 Б и углами q1 = 10 ? 6? и q2 = 63 ? 6?. Близкие значения углов были независимо получены и в другой лаборатории: q1 = 7 ? 3? и q2 = 60 ? 2?.

В следующих сериях экспериментов исследовали инфракрасный (ИК) диапазон спектра. Согласно основным моделям теории строения молекул, расположение спектральных линий в этой области несет информацию о колебаниях частиц молекулы около положения равновесия, в данном случае о небольших периодических смещениях атомов от позиций, показанных на рис. 1. Для каждой молекулы число таких колебаний однозначно определяется числом атомов и для комплекса (HF)2 оно равно шести. В молекулярной спектроскопии принято выражать частоты колебаний в единицах, показывающих число полных волн данной длины, укладывающихся на расстоянии в 1 см, и соответственно говорят о величинах частот, выраженных в обратных сантиметрах (см-1), или, что то же самое, в волновых числах. Хотя в каждом колебании с данной частотой принимают участие в той или иной мере все атомы молекулы, опять-таки в рамках модельных представлений можно отнести колебание (и соответственно полосу в ИК-спектре) к выделенной группе атомов. Во многих случаях такому подразделению способствуют значительные различия в частотах колебаний, как в нашем примере (HF)2 .

Оцененные по измерениям спектральных полос в газовой фазе и инертных матрицах частоты колебаний димера фторида водорода явно разделяются на внутримолекулярные (имеются в виду колебания молекул, при ассоциации которых образовался комплекс) с величинами около 4000 см-1 и межмолекулярные с величинами менее 500 см-1. Высокие частоты относятся к колебаниям групп Ff-Hf (3931 см-1) и Fb-Hb (3868 см-1). Низкие частоты (475, 395, 161 и 125 см-1) характеризуют колебания, меняющие относительную ориентацию фрагментов Ff-Hf и Fb-Hb , выход атомов из плоскости и изменения расстояния Fb_Ff .

Интенсивность ИК-линий можно связать (снова в рамках определенной модели молекулы) с такой важнейшей характеристикой комплекса, как энергия диссоциации на две мономерные молекулы. Эта же величина определяет энергию связи комплекса. По экспериментальным данным, она составляет 19,35 ? 0,71 кДж/моль. Таким образом, расшифровка спектров приводит к набору молекулярных постоянных - расстояниям между атомами, углам, частотам колебаний, энергиям, которые достаточно полно характеризуют строение молекулярной системы.

Обратимся теперь к теоретическому подходу. Все построения основаны на модели, согласно которой комплекс (HF)2 есть система четырех ядер (двух протонов и двух ядер F9 +) и 20 электронов, то есть точечных частиц, попарно взаимодействующих по закону Кулона. Больше никакой исходной информации в модель не закладывается, что и делает такие расчеты свойств молекул столь привлекательными. Для этой конкретной системы четырех ядер и 20 электронов методами вычислительной квантовой химии рассчитывают поверхность потенциальной энергии - зависимость энергии от координат ядер [2]. Конечно, необходим доступ к компьютерам и достаточно сложному программному обеспечению, однако сейчас для такой системы, как (HF)2 , очень хорошие результаты можно получать с персональным компьютером типа "Pentium" за вполне реальное время, хотя требуются терпение и определенные навыки.

Одним из результатов компьютерного расчета является массив точек: энергия как функция в данном случае шести внутренних координат комплекса (HF)2 (число внутренних координат совпадает с числом колебательных степеней свободы молекулярной системы). Рельеф этой шестимерной поверхности достаточно сложный, с минимумами, максимумами, седловыми точками. Представление о двумерном сечении потенциальной поверхности основного электронного состояния в зависимости от угловых координат q1 и q2 дает рис. 2, причем все остальные геометрические переменные подстроены так, чтобы значения энергии для них были минимальными. На рис. 2 изображены рассчитанные контуры изоэнергетических линий, за нуль отсчета принята энергия разделенных молекул мономеров HF, синим цветом отмечены области отрицательных энергий, где комплекс (HF)2 существует как единое целое, красным - область положительных энергий. Изоэнергетические контуры сгущаются около стационарных точек - минимумов, седловых точек. Координаты точки наиболее глубокого минимума (темно-синий цвет на рис. 2 около | q1 | = 7?, q2 = 69?) определяют равновесную геометрическую конфигурацию комплекса. Рис. 2 симметричен относительно диагонали поля графика, что отражает эквивалентность двух структур комплекса

На рис. 1 показаны те значения координат, которые были получены в наиболее совершенном в настоящее время квантово-химическом расчете. Выше приведены величины, определенные из экспериментов, и согласие результатов обоих подходов к исследованию комплекса (HF)2 можно считать великолепным. Из расчета определяются и энергия связи по разности энергий в равновесной геометрической конфигурации (HF)2 и энергии двух невзаимодействующих молекул HF. Наилучшее полученное значение (19,23 кДж/моль) также прекрасно согласуется с экспериментально определенной энергией (19,35 ? 0,71 кДж/моль).

Еще одна серия экспериментальных данных позволила определить частоты колебаний комплекса. Решение колебательной задачи представляет следующий этап моделирования структуры молекул после построения поверхности потенциальной энергии. В простейшем приближении необходимо определить кривизну потенциальной поверхности по отношению ко всем внутренним координатам около положения минимума и оценить тем самым коэффициенты жесткости пружинок, моделирующих колебания вдоль связей и углов молекулы. Совокупность коэффициентов жесткости, рассчитываемых как вторые производные энергии по координатам, образует силовое поле молекулы. Далее по известным массам атомов, равновесным геометрическим параметрам и силовому полю без особого труда вычисляется набор частот колебаний. Для комплекса (HF)2 такая задача решалась неоднократно, и вычисленные частоты хорошо совпадают с экспериментальными.

2. Овчинников Ю. А. Биоорганическая химия. – М.: Просвещение, 1987. – 815 с.: ил.

3. Витковская Н. М. Метод молекулярных орбиталей: Основные идеи и важные следствия // Соросовский Образовательный Журнал. 1996. № 6. С. 58-64.

4. Степанов Н. Ф. Химическая связь в простых двухатомных молекулах // Соросовский Образовательный Журнал. 1998. № 10. С. 37-43.

5. Степанов Н. Ф. Потенциальные поверхности и химические реакции // Соросовский Образовательный Журнал. 1996. № 10. С. 33-41.

6. Маррел Дж., Кеттл С.,Теддер Дж. Химическая связь. М.: Мир, 1980. 384 с.

7. Немухин А. В. Димер фторида водорода: Строение простейшего комплекса с водородной связью // Соросовский Образовательный Журнал. 1998. № 7. С. 65-69.

8. Вилков Л. В. Физические методы исследования в химии // Соросовский Образовательный Журнал. 1996. № 5. С. 35-40.

9. Некрасов Б. В. Общая химия. М.: Госхимиздат, 1962. 973 с.

10.   Салем Л. Электроны в химических реакциях. М.: Мир, 1985. 285 с.

11.   Хобза П., Заградник Р. Межмолекулярные комплексы. М.: Мир, 1989. 376 с.

12.   Немухин А. В., Вейнхольд Ф. Концепция Льюиса в современной квантовой химии // Рос. хим. журн. (Журн. Рос. хим. о-ва им. Д.И. Мендделеева). 1994. Т. 38. С. 5-11.

13.   Немухин А. В. Многообразие кластеров // Соросовский Образовательный Журнал. 1996. Т. 40. С. 48-56.


Не нашли материал для своей работы?
Поможем написать уникальную работу
Без плагиата!
Без нейросетей!