Образование сетки при радиационной трехмерной сополимеризации А и В-дибутил-бис-малеинаттриэтиленгликоля со стиролом
ОБРАЗОВАНИЕ
СЕТКИ ПРИ РАДИАЦИОННОЙ ТРЕХМЕРНОЙ СОПОЛИМЕРИЗАЦИИ α, ω-ДИБУТИЛ-бис-МАЛЕИНАТТРИЭТИЛЕНГЛИКОЛЯ
СО СТИРОЛОМ
Образование
сетки при трехмерной гомо- или сополимеризации бифункциональных мономеров в
отличие от сетки физических узлов, получающейся при полимеризации в массе
монофункциональных мономеров, проходит, как правило, через первичную стадию
формирования заготовок или зародышей [1] в виде частиц микрогеля. Необходимые
условия для образования растворимого продукта (р*-полимера) создавались при
полимеризации в присутствии передатчиков цепи [2], в окислительной
полимеризации [3], при низкотемпературной радикальной сополимеризации [4]
олигоэфирметакрилатов.
Одновременное
появление растворимого сополимера и макрогеля мы наблюдали при сравнительно
малых степенях конверсии в реакции сополимеризации в массе олигоэфирметакрилата
ТГМ-3 со стиролом [5].
В настоящей
работе изучен процесс сополимеризации, со-дибутил-бис-малеинаттриэтиленгликоля
(дималеинат) со стиролом, инициированный f-излучением 60Со.
Известно, что по радикальному механизму эфиры малеиновой или фумаровой кислот
не гомополимеризуются [6], но они способны к сополимеризации, например, с
винильными мономерами.
Дималеинат был синтезирован в две стадии: на первой стадии по известной
методике [7] получали монобутилмалеинат. Эквимольную смесь малеинового
ангидрида и н-бутилового спирта нагревали, перемешивая 90 мин при 80°.
Выделенный в итоге монобутилмалеинат имел показатель преломления га20
1,4560 (теоретическое значение 1,4570), кислотное число 367 мг КОН/г
(теоретическое значение 327 мг КОН/г). На второй стадии проводили реакцию
конденсации монобутилмалеината с триэтилен-гликолем. 0,9 моля (155 г)
монобутилмалеината, 0,42 моля (64 г) триэтиленгликоля, 4 г толуолсулъфокислоты,
0,4 г гидрохинона и 200 мл толуола нагревали, перемешивая в колбе с насадкой
Дина — Старка до прекращения выделения воды. После окончания реакции полученный
раствор олигомера в толуоле промывали содово-солевыми растворами до нейтральной
реакции, сушили над MgSО4 и отгоняли толуол. Итоговый продукт реакции имел
следующие характеристики: эфирное число 479 мг КОН/г (теоретическое значение
491 мг КОН/г), кислотное число 13,4 мг КОН/г и гидроксильное число ММ
дималеината, рассчитанная по ИК-спектрам (методика будет подробнее изложена
далее), составляла 460 (по интенсивности полосы 1730 см, соответствующей
карбонилу) и 508 (по интенсивности полосы 1645 см-1, соответствующей
валентным колебаниям малеинатной группы). Независимо измеренная методом эбуллиоскопии ММ оказалась равной 496±10. Теоретическая ММ
олигомера составляла 458, так что синтезированное соединение можно считать (с
хорошей точностью) индивидуальным веществом — дибутиловым эфиром дималеината
три-этиленгликоля с химической формулой
Сополимеризацию проводили в вакуумированных термостатируемых ампулах
при 30°. Весовое содержание стирола в исходной смеси жо=0,30 (или 0,654 молей).
Интенсивность γ-излучения 650 рад/с. Содержимое ампул, облученных за контролируемое время
определенной дозой, помещали в растворитель (обычно метилэтилкетон (МЭК)),
отфильтровывали нерастворимый гель, а из фильтрата осаждали метанолом
растворимый сополимер. Осадок экстрагировали в аппарате Сокслета. Последующим
взвешиванием высушенных образцов определяли раздельно конверсию композиции в
растворимый сополимер Wv и макрогель.
На первом этапе исследования представлялось необходимым установить
химическое строение растворимого сополимера, определить его ММ и содержание
микрогеля в сополимере, а также характер изменения этих параметров при
увеличении степени конверсии.
С этой целью использовали ИК-спектроскопию и светорассеяние. ИК-спектры
поглощения растворов изучаемых образцов в хлороформе (он не проявляется в
области поглощения аналитических полос) записывали на двулучевом
спектрофотометре «Specord Ш-75» (ГДР) в неразборных кюветах. Толщину поглощающего слоя
варьировали от 0,0035 до 0,0120 см (материал окошек КВг). Спектрограммы обсчитывали
методом базовой линии [8]. Предварительно определяли коэффициенты погашения
выбранных аналитических полос. В качестве модельных соединений использовали
дистирол, диоктиловый эфир малеиновой кислоты и диметиловый эфир малеиновой
кислоты. Рабочий диапазон концентраций дистирола в хлороформе 0,5—0,6 моль/л,
для эфиров малеиновой кислоты — 0,15—0,6 моль/л.
ИК-спектр дистирола идентичен спектру ПС. Для количественной оценки
содержания стирольных фрагментов в сополимерах была выбрана полоса поглощения при
v=1500 см-1
с коэффициентом погашения 113±10 л/моль-см. Из спектрограмм эфиров малеиновой
кислоты получили значение коэффициентов погашения е=89,7± ±2,7 л/моль-см для v=1645 см-1
и 8=372,3±4,5
л/моль-см для v=1730 см-1. Ошибка в определении не превышает 8%.
Анализ
спектрограмм растворимых сополимеров, образовавшихся на первых стадиях
сополимеризации, показывает, что процесс идет с раскрытием двойных связей
стирола (уменьшение интенсивности поглощения ниже предела разрешения в рабочем
диапазоне концентраций на частоте 913 см-1, обусловленной
деформационными колебаниями СН при двойной связи в стироле). Также существенно
уменьшается поглощение на частоте 980 см-1, что связано с вхождением
малеинатных групп в цепь сополимера, где, однако, остается значительное
количество непрореагировавших двойных связей дималеината, оцененное по величине
поглощения 1645 см-1.
Состав
сополимера был определен еще одним независимым способом. Образец II
гидролизовали по методике [9]. В продукте гидролиза кислотные группы алкилированием
превратили в сложноэфирные. Методом УФ-спектроскопии [10] измерили состав
полученного таким способом сополимера стирола с диметиловым эфиром янтарной
кислоты. Содержание стирола в этом сополимере оказалось 71,1 вес.%, что очень
близко к значению 71,6 вес.%, отвечающему составу исходного сополимера с
мольным отношением стирола к дималеинату равным 3,5 (по ИК-спектру).
Зная мольный состав сополимера п при
малых конверсиях и начальной концентрации сомономеров хм°, в
предположении, что активность малеинат-ной компоненты г2=0, по
формуле бинарной сополимеризации [11] можно оценить активность стирола в этой
реакции: n=r1xM°+l; га=3,5; хм°=1,89; г,=1,35. Данные по
инкременту показателя преломления растворимых сополимеров (таблица) также
свидетельствуют о том, что их состав мало меняется при изменении конверсии.
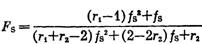
Чтобы объяснить этот факт, мы рассчитали по формулам бинарной сополимеризации,
как изменяется состав сополимера в нашем случае с изменением конверсии. Упрощая
расчет приняли, что г2=0 и г,=1. Мольная степень
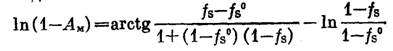
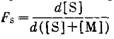
конверсии
где [S]0 и [Мо] — мольные концентрации стирола и
дималеината в исходной смеси, a [S] Р и [М] р — в сополимере, связанная
с мгновенным мольным составом сополимера
и с мольным содержанием. При этом
Если поставить в
формулу для Fs значения г,=1 и г2=0, то получим Fs=l/(2-/s). Тогда

Светорассеяние от растворов
сополимеров измеряли на фотогониодиф-фузиометре «Sofica». Растворы обеспыливали
фильтрованием через фильтры «Santorius» (размер пор 0,45 мкм). В качестве растворителя был выбран
МЭК по следующим соображениям. Как известно [13], измеренная в одном
растворителе молекулярная масса сополимера Мк не является его истинной средневесовой молекулярной массой Ма, а определяется также параметрами композиционной
неоднородности Р и Q и оптическим фактором p=(vA—vB)/v0, где v0, vA, vB — инкременты показателя
преломления в данном
растворителе сополимера в целом и его компонентов А и В соответственно.
В МЭК значение v0 для всех измеренных образцов
было максимально по сравнению с v в других растворителях и равно «0,163 см3/г.
Соответствующая оценка показывает, что при такой величине v0, vA—vB~0,l и ji«0,6 даже при предельной композиционной
неоднородности ошибка в определении ММ не превышает 3% [14] и Mk»Mw. Одновременно с Мю из графиков Цимма по стандартной методике рассчитывали УЛД
среднеквадратичный радиус инерции сополимерных клубков.
В таблице в первой ее половине
представлены полученные таким образом молекулярные характеристики ряда образцов
вместе с условиями их синтеза. Неожиданными оказались размеры макромолекул в
растворе, а именно УЛ12=0,15—0,2 мкм у образцов с АГ=5*.
Например, для макромолекул ПС с молекулярной массой 1,6-10в||Лг2~0,05 мкм в термодинамически хороших растворителях [15] (в
работе приводятся значения hz=QRz2 для гауссовых клубков). Весьма
завышенные размеры клубков указывают на наличие микрогеля в образцах, даже
незначительная доля которого сильно искажает индикатрису рассеяния света.
Видно, что, хотя содержание микрогеля в образцах сильно возрастает при
увеличении конверсии, оно не превышает 2% и не вносит существенного вклада в
процесс образования макросетки. Кстати, и в образце IV, состоящем из
растворимого сополимера и макрогеля, значение относится только к растворимой части,
т.е. С ростом степени превращения заметно уменьшается М1а микрогеля. Скорее всего, слишком крупные частички
образующиеся в результате роста или коагуляции более мелких, отфильтровываются
и теряются в незаметных для гравиметрического анализа количествах.
Труднообъяснимым оказалось монотонное возрастание молекулярной массы M2w.
Следует заметить, что метод Ланге
требует получения индикатрисы рассеяния с высокой степенью точности, причем в
диапазоне углов, не достижимых при измерениях на приборе «Sofica». К тому же сама индикатриса
искажается за счет полидисперсности, разветвленности и объемных эффектов [18].
С целью проверки правильности расчета были сняты седиментационные диаграммы
образцов I—III в к-хлорбутане (концентрация растворов 0,07 г/дл) при
20° и скорости вращения ротора 50 000 об/ мин на аналитической ультрацентрифуге
«МОМ 3170» с помощью абсорбционной оптики в ультрафиолетовом свете. Суммарный
коэффициент поглощения образцов сополимера стирола с дималеинатом для Х=0,26
мкм был равен 1,5 (2,2 для ПС и 1,0 для дималеинатной компоненты; весовое
содержание стирольных звеньев а=0,43). Фотографии фотометрировали на двулучевом
микрофотометре ИФО-451. Типичная фотометрограмма приведена на рис. 1. Расчет
интегральных кривых распределения W(S) по
коэффициентам седиментации dS проводили с учетом диффузии [19] и в предположении, что da/dS=0. Это необязательное условие приходится вводить, чтобы
получить W(S) из
диаграмм, снятых с помощью одной оптической схемы регистрации седиментирующей
границы [20]. Оправданием такого допущения служит тот факт, что изучаемые
образцы получены в довольно узком интервале суммарной конверсии сомономеров Чгр=
=7,8—17,9%. Как видно из рис. 2, зависимости W(S) для трех образцов с хорошей
точностью ложатся на одну кривую, т. е. средние молекулярные массы их
одинаковы. На фотометрограммах рис. 1, соответствующих временам опыта сразу
после достижения скорости вращения 50 000 об/мин, всегда регистрировали в
придонной области кюветы избыточное над уровнем плато поглощение света,
площадь которого составляет 1—2% от площади седиментирующей границы.
По-видимому, эта осажденная часть образца является микрогелем.
В свете полученных данных следует
сделать вывод, что применение метода Ланге в нашем случае приводит к
некорректным результатам. Вплоть до конверсии ~18% в системе накапливается
только растворимый сополимер постоянной ММ, причем одна из двух двойных
концевых связей дималеината в нем не «задействована». Этому обстоятельству
способствует малая величина константы взаимного присоединения малеинатной
компоненты. К тому же эффективная константа присоединения «подвешенных»
малеинатных связей к стиролу, по-видимому, еще меньше, чем у свободной молекулы
дималеината. «Перекачка» растворимой части в макрогель носит критический
характер, как видно из сравнения значений ¥р и Wr образцов III и IV. В довольно
узком интервале времени реакции и полимеризационного инкремента почти весь
образовавшийся до этого растворимый продукт трансформируется в трехмерный гель.
В дальнейшем рост массы сеточного материала подавляет реакцию образования
растворимого сополимера.
Эти данные позволяют представить
следующий механизм гелеобразо-вания в нашей и подобных системах. Накопление в
реакционном объеме растворимого полимерного материала при некоторой
специфической для данной системы степени конверсии приводит, по-видимому, к
резкому изменению физического состояния системы, напоминающему фазовое
расслоение, скорее всего, на микроуровне. Вследствие этого наблюдается сильный
концентрационный эффект увеличения вероятности эффективного столкновения
«подвешенных» двойных связей с радикалами соседних макромолекул. Образуются
агрегаты трехмерной сетки, в которых в дальнейшем преимущественно и идет
реакция. Часть растворимого полимерного материала, оставшаяся в растворе,
довольно быстро присоединяется к гелю или физически иммобилизуется сеткой,
делая невозможным его экстракцию. Следует отметить, что по предварительным
данным точка гелеобразования зависит не только от концентрации полимера в
системе, но и от скорости полимеризации, т. е. конкурируют процессы образования
растворимого полимера и выделения геля.
Рассмотренный здесь механизм
гелеобразования является альтернатив-
Рис. 1. Типичная фотометрограмма
раствора образца II в МЭК (с=0,07 г/дл).
Цифрами обозначены участки
поглощения, соответствующие воздуху в кювете (1), мениску (2), границе растворитель
— раствор (3), раствору (плато) (4), реперному отверстию противовеса (5), промежутку между дном
кюветы и реперным отверстием (б), микрогелю образца (заштрихованная область) (7). Время центрифугирования 30 мин после достижения скорости
вращения 50 000 об/мин Рис. 2. Интегральные кривые W(S) распределения по коэффициентам
седиментации для образцов I (1), II (2), III (3) ным по отношению к трактовке
полимеризации таких бифункциональных мономеров, как олигоэфирметакрилаты [1,
2], олигокарбонатметакрилаты [21] или их сополимеризации с винильными
мономерами [5]. Специфика подобных соединений состоит в большой активности
функциональной двойной связи при присоединении к «своему» радикалу или в близких
активностях каждой компоненты сомономеров. В этих случаях «зародыши» в виде
частиц геля (глобулы) образуются на более ранних стадиях. Хотя наряду с
глобулами иногда образуется растворимый полимер, но его или слишком мало, или
невозможно выделить. Таким образом, при полимеризации (сополимеризации)
полифункциональных олигомеров в массе возможны как минимум два механизма
образования трехмерной сетки.
ЛИТЕРАТУРА
1.
Королев Г. В. Докл. I Всер. конференции по химии и физико-химии полимеризационных
олигомеров. Черноголовка: ОИХФ, 1977.
2.
Берлин А. А., Кефели Т. Я., Королев Г. В. Полиэфиракрилаты. М.: Наука, 1976, с.
277.
3.
Могилевич М. М. Окислительная полимеризация в процессах пленкообразования. М.:
Химия, 1977, с. 74.
4.
Шклярова Е. И., Голубев В. Б., Зубов В. П., Кабанов В.
А. Высокомолек.
соед., А., 1980, т. 22, № 5, с. 1001.
5.
Больбит Н. М., Френкель С. Я. Высокомолек. соед., А, 1978, т. 20, № 2,
№ 294.
6.
Nollen К., Funke W., Натпапп К. Makromolek. Chem., 1966, В. 96, S. 248.
7.
Ушаков С. И., Николаев А. Ф., Торопцева А. М., Призно М.
С. Ж. прикл.
химии, 1959, т. 32, № 3, с. 667.
8.
Кесслер И. Методы инфракрасной спектроскопии в химическом анализе. М.: Мир, 1964,с. 136.
9.
Dunn A. S., Stead B. D., Melville H. W. Trans. Faraday Soc, 1954, v.
50, № 3, p. 279.
10.
Хэм Д. Сополимеризации. M.:
Химия, 1971, с. 17.
11.
Funke W., Knodler S., Felnauer R. Makromolek. Chem., 1961, B. 49, S. 52.
12.
Эскин В. E. Рассеяние света растворами полимеров.
М.: Наука, 1973, гл. 5.
13.
Эскин В. Е., Короткина О. 3. Высокомолек. соед. А, 1970, т. 12, № 10,
с. 2216.
14.
Цветков В. Н., Эскин В. Е., Френкель С. Я. Структура макромолекул в растворах. М.:
Наука, 1964.
с. 276.
15.
Lange Н. Kolloid-Z. und Z. fur Polymere, 1970, В. 240, № 1, S. 747.
16.
Lange H. KolloM.-Z. und Z. fur
Polymere, 1972, B. 250, № 8, S. 775.
17.
Эскин В. E. Рассеяние света растворами полимеров.
М.: Наука, 1973, гл. 3.