Полимерные композиты на основе диальдегилцеллюлозы и полигуанилинметакрилата

  • Вид работы:
    Курсовая работа (т)
  • Предмет:
    Химия
  • Язык:
    Русский
    ,
    Формат файла:
    MS Word
    1,23 Mb
  • Опубликовано:
    2010-01-16
Вы можете узнать стоимость помощи в написании студенческой работы.
Помощь в написании работы, которую точно примут!

Полимерные композиты на основе диальдегилцеллюлозы и полигуанилинметакрилата










Полимерные композиты на основе диальдегилцеллюлозы и полигуанилинметакрилата

Оглавление

Введение

1. Литературный обзор

1.1 Биоцидные свойства гуанидинсодержащих соединений

12 Биологически активные полимеры

1.3 Строение целлюлозы

1.4 Окисление целлюлозы

1.5 Избирательное окисление вторичных спиртовых групп целлюлозы йодной кислотой

1.6 Синтез целлюлозных материалов, содержащих антимикробные вещества

1.7 Способы получения антимикробных целлюлозных волокнистых материалов

1.8 Области применения антимикробных целлюлозных волокнистых материалов

2. Обсуждение результатов

3. Экспкриментальная часть

3.1 Очистка исходных веществ. Свойства растворителей и реагентов

3.2 Синтез мономеров и полимеров

3.2.1 Синтез метакрилатгуанидина (МАГ)

Список используемой литературы

Введение

Одним из интенсивно развивающихся направлений химии высокомолекулярных соединений является синтез новых полимеров и химическая модификация известных природных и синтетических полимеров, осуществляемые с целью получения веществ, обладающих биологической активностью. Большой интерес, в частности, представляет использование для таких синтезов полисахаридов. В настоящее время на их основе получены как нерастворимые, так и растворимые в воде биологически активные полимеры. Для синтеза нерастворимых в воде полимеров в целом ряде случаев целесообразно использовать доступный и дешевый природный волокнообразующий полисахарид - целлюлозу. В общей проблеме химической модификации целлюлозы синтез биологически активных целлюлозных материалов является одним из наиболее интересных и перспективных направлений.

Известно, что биологически активные полимеры должны удовлетворять ряду требований:

1)   быть биосовместимыми, не обладать высокой токсичностью, не подавлять иммунную систему;

2)   иметь небольшую скорость выведения и выводиться из организма после выполнения своей функции;

Все это накладывает определенные требования к их структуре, молекулярной массе и молекулярно-массовому распределению.

Хорошо известно, что соединения, содержащие в своем составе гуани-диновую группу, обладают широким спектром бактерицидного действия и используются в качестве лечебных препаратов и фунгицидов, поэтому присутствие в элементарном звене полимеров гуанидиновой группы должно придавать им высокую биоцидную активность

В связи с вышесказанным, объектами наших исследований стали процессы синтеза новых биоцидных нанокомпозитов на основе диальдегидцел-люлозы и полигуанидинметакрилата.

Целью настоящей работы является создание нового биоцидного би-матричного нанокомпозита на основе производного целлюлозы и катионного полиэлектролита - полигуанидинметакрилата. Исходя из поставленной цели, перед нами стояли следующие задачи:

- отработать методику окисления целлюлозы до диальдегидцеллюлозы;

- отработать методику синтеза винилсодержащего мономера на основе ме-такриловой кислоты и гуанидина;

- разработать оптимальную методику взаимодействия диальдегидцеллюлозы с гуанидинметакрилатом;

- осуществить синтез биматричного нанокомпозита;

- исследовать биоцидные свойства синтезированного нанокомпозита

Методы исследований. Для достижения поставленных задач мы использовали работы отечественных и зарубежных ученых. С целью получения достоверных и обоснованных данных нами использовались современные методы исследований, такие, как элементный анализ, ИК-спектроскопия, рент-геноструктурный анализ и др.

Научная новизна. Синтез мономеров и нанокомпозитов, содержащих гуанидиновые группы, обладающих биоцидными свойствами, является перспективным и новым направлением в полимерной химии и медицине.

Дипломная работа состоит из введения, литературного обзора, обсуждения результатов, экспериментальной части, выводов, списка цитируемой литературы.

Во введении определен объект исследований, сформулированы цель работы и основные задачи исследования.

В литературном обзоре приведен аналитический обзор литературы как отечественной, так и зарубежной, охватывающий вопросы синтеза биологически активных полимеров, строения и окисления целлюлозы, синтеза целлюлозных материалов, содержащих антимикробные вещества, способов получения и областей применения антимикробных целлюлозных волокнистых материалов

В экспериментальной части представлены методики окисления целлюлозы, синтеза мономера - гуанидинметакрилата, получения продукта взаимодействия диальдегидцеллюлозы с гуанидинметакрилатом, тчъдаа тазьуэджйъ тшшизят та методы ^следования свойств полученных веществ.

В обсуждении результатов приведены результаты проведенных исследований, подведены итоги проделанной работы.

Объем и структура работы. Квалификационная работа изложена на 60 страницах, содержит 5 таблиц, 6 рисунков, библиографических ссылок.

Автор считает своим долгом выразить благодарность профессору кафедры органической химии Мусаеву Юрию Исрафиловичу, доценту кафедры высокомолекулярных соединений Хашировой Светлане Юрьевне, сотрудникам спектральной лаборатории кафедры неорганической и физической химии за помощь в выполнении квалификационной работы.

1. Литературный обзор

1.1 Биоцидные свойства гуанидинсодержащих соединений

Хорошо известно, что соединения, содержащие в своем составе гуано-диновую группу, обладают широким спектром бактерицидного действия и используются в качестве лечебных препаратов и фунгицидов, поэтому присутствие в элементарном звене полимеров гуанидиновой группы должно придавать им высокую биоцидную активность. Следует отметить, что существующие в настоящее время гуанидинсодержащие полимеры получены методом поликонденсации и имеют незначительные молекулярные массы (ММ).

Получение гуанидинсодержащих полимеров методом радикальной полимеризации позволит снизить энергетические затраты, упростить методику синтеза и получать полимеры с широким набором молекулярной массы и физико-химических свойств. Поэтому изучение возможности получения новых гуанидинсодержащих полиэлектролитов методом радикальной полимеризации весьма актуально [1 - 5].

Поскольку гуанидиновые производные значительно эффективнее четвертичных аммониевых соединений, а также не инактивируются белками и биоразлагаемы, они находят широкое применение в качестве физиологически активных веществ: лекарств, антисептиков, пестицидов [6, 7].

Гуанидиновые соединения широко распространены в природе. К ним относятся: аминокислота аргинин, фолиевая кислота, многочисленные белки и нуклеиновые кислоты. Гуанидиновая группировка служит началом многих лекарственных веществ (сульгин, исмелин, фарингосепт) и антибиотиков (стрептомицин, бластицидин, мильдомицин). Производные гуанидина, например, алматины и хордатины [8] представлены и среди специфических веществ, с помощью которых растения защищаются от атаки микроорганизмов.

Первые данные о биоцидных свойствах гуанидиновых производных и полимеров на их основе были опубликованы в патентной литературе [9-14].

В указанных патентах описывается применение подобных соединений в качестве инсектицидов и отмечается, что соответствующие соединения особенно активны против грибковых заболеваний на фруктовых деревьях. В патенте [14] описаны специфические гуанидированные полиамины для применения против патогенных микроорганизмов.

К наиболее сильным из известных гуанидиновых антисептиков относятся «хлоргексидин» (1,6-бис-4,4-хлорфеноксибигуанидогексин) [7], низкомолекулярный полигексаметиленбигуанидин - «вантоцил» [15, 16] и «космо-цил» [17].

Так, например, хлоргексидин используется в качестве дезинфицирующего средства в виде солей (гидрохлорида, ацетата, глюконата) и широко рекомендуется за рубежом в виде растворов, мазей, присыпок как эффективное дезинфицирующее средство в хирургии для борьбы с внутрибольничными инфекциями, лечения кожных заболеваний и бытовых целей. Однако, следует отметить, что хлоргексидин, вантоцил и космоцил получают по сложной 4-х стадийной технологической схеме, кроме того при их синтезе исходным сырьем служит хлорциан, поэтому технологический процесс дорог и опасен.

В нашей стране был разработан процесс производства полимерного гуанидинового антисептика - полигексаметиленгуанидингидрохлорида (ПГМГ) («метацид», «полисепт») [18, 10], исходя из гексаметилендиамина и гидрохлорида гуанидина:

В дальнейшем было предложено объединить в одном процессе синтез гуанидингидрохлорида и получение из него ПГМГ [20].

Так как три аминогруппы гуанидингидрохлорида имеют различную реакционную способность, то молекулярную массу и структуру «полисепта» удается регулировать, изменяя условия реакции и содержание гексаметилендиамина в исходной смеси [21]. Так, при сравнительно низких температурах для процесса поликонденсации (120-130°С) в реакцию с гексаметилендиами-ном вступают преимущественно две аминогруппы гуанидингидрохлорида, образуя хорошо растворимый линейный олигомер с ММ=1,7-12,5х10 . При увеличении количества гексаметилендиамина в реакционной смеси сверх одного моля на 1 моль гуанидингидрохлорида и повышении температуры до 180-20О°С в реакцию может вступать третья аминогруппа и образуется разветвленный полимер, который имеет ММ 20-43x103.

Различные соли ПГМГ (фосфат, глюконат, дегидроцет, сорбат, фторид, сульфат, нитрат, силикат, ацетат, стеарат, олеат, фумарат, сукцинат, адипи-нат, себацинат) были получены при действии различных кислот или их солей на основание или карбонат ПГМГ [22]. Среди указанных полимерных солей наибольшее практическое значение помимо «полисепта» имеют фосфат «фо-гуцид» и глюконат. По сравнению с «полисептом», фогуцид менее токсичен и коррозионноактивен.

Поликонденсационные полимеры: «полисепт» и «фогуцид» рекомендованы Минздравом в качестве дезинфицирующего средства в лечебных учреждениях и роддомах [23], а также в ветеринарии [24].

По данным, указанным в работе [25], растворы «полисепта» в концентрации 0,1-0,05% вызывают гибель грамположительных и грамотрицатель-ных микроорганизмов: коринебактерий дифтерии (с. Duphtheretiae), золотистого стафилококка (St.aureus), а также St.aibus и St. faekalis, брюшнотифозной палочки (S.typhi), шигелл Зонне и Флекснера (Shigella Sonnae, Flexneri), кишечной палочки (E.Coli), сальмонелл Бреслау и Гертнера (Salmonella th.murum), вульгарного протея (Proteus Vulgarus), синегнойной палочки (Ps.aeruginosa) в течение 5-25 минут.

Перспективным является применение гуанидин содержащих полимеров для лечения заболеваний вирусной этиологии. Разработанные и применяемые в настоящее время противовирусные препараты проявляют свое защитное действие путем инактивации вирусов во внешней среде, предохранения восприимчивых тканей и клеток от адсорбции на них вирусных частиц, преду преждения миграции нового поколения вирусных частиц из инфицированных клеток и нарушения синтеза вирусов в восприимчивых клетках. Интерес к применению синтетических полимеров для вирусологических целей возник после того, как была установлена возможность ингибировании действия ферментов, размножения бактерий и развития опухолей под влиянием некоторых биологических и синтетических полимеров. По данным института Вирусологии им. Д.И. Ивановского АМН, защитным противовирусным эффектом обладают полимеры, содержащие гуанидиновую группировку, в частности, «полисепт» и «фогуцид». В результате проведенных исследований было установлено, что эти вещества обладают сильным вирулицидным действием по отношению к вирусам герпеса простого, вируса СПИДА, вируса гепатита А, вируса тропической лихорадки: при 15-20 мин экспозиции 2% раствора препарата с вирусосодержащими жидкостями (при комнатной температуре) инфекционный титр вирусов снижается в 1000 и более раз.

Механизм защитного противовирусного действия синтетических полимеров, возможно, связан с блокадой ими поверхностных рецепторов клеток [26].

По сравнению с другими катионными полиэлектролитами использование гуанидинсодержащих биоцидных полимеров имеет еще одно положительное преимущество.

При использовании синтетических биоцидных полимеров следует учитывать их биодеградируемость в живом организме. В случае использования небиодеградируемых синтетических полимеров существенное значение имеет их молекулярная масса, поскольку полимеры с молекулярной массой выше 50000 не могут выводиться через почки, а накапливаются в почечных канальцах, вызывая выраженные токсические эффекты. В этом отношении биоцидный эффект гуанидиновых соединений физиологичен, и в живом организме имеются ферментные системы, способные вызывать деградацию этих соединений, предотвращая их кумуляцию [28].

1.2 Биологически активные полимеры

Известно, что биологически активные полимеры должны удовлетворять ряду требований:

1)  хорошо растворяться в воде и солевых растворах;

2)  быть биосовместимыми, не обладать высокой токсичностью, не подавлять иммунную систему;

3)  иметь небольшую скорость выведения и выводиться из организма после выполнения своей функции;

Все это накладывает определенные требования к их структуре, молекулярной массе и молекулярно - массовому распределению (ММР).

Чаще всего синтетические биологически активные полимеры представляют собой гибрид синтетического полимера-носителя с биологически активным веществом, Биологическая активность таких гибридных систем определяется в основном свойствами присоединенного к полимеру-носителю вещества.

Одним из способов получения водорастворимых биологически активных полимеров является синтез гидрофильных мономеров на основе гидрофобных биологически активных веществ (БАВ) и ионогенных ненасыщенных карбоновых кислот (акриловой, метакриловой и т.п.)


1.3 Строение целлюлозы

Целлюлоза - важнейший представитель полисахаридов, одного из классов природных полимеров, макромолекулы которых построены из элементарных звеньев (остатков) различных моносахаридов, соединенных между собой ацетальной (гликозидной) связью. Макромолекула целлюлозы состоит из остатков D-глюкозы - моносахарида, углеродный скелет молекулы которого содержит шесть атомов углерода. При этом элементарное звено имеет структуру шестичленного кислородсодержащего гетероцикла, а в образовании гликозидной связи между элементарными звеньями наряду с альдегидной группой, расположенной у первого углеродного атома одного элементарного звена, принимает участие гидроксильная группа у четвертого углеродного атома соседнего звена.

Важной характеристикой строения макромолекулярной цепи полисахаридов является не только направление гликозидной связи, но и ее конфигурация. Гликозидная связь в макромолекуле целлюлозы имеет (3-конфигурацию (обозначение, принятое для связи, имеющей противоположную пространственную ориентацию по сравнению с конфигурацией асимметрического углеродного атома С-5 в молекуле глюкозы). Гликозидные связи сравнительно легко подвергаются расщеплению под действием воды в присутствии кислотных катализаторов (процесс гидролиза). Это обстоятельство обусловливает относительную неустойчивость целлюлозы к действию водных растворов кислот. В то же время в условиях щелочного гидролиза гликозидные связи целлюлозы достаточно стабильны. Однако эта стабильность характерна лишь для систем, в которых отсутствует молекулярный кислород. Наличие же кислорода приводит к изменению механизма реакции - переходу от чистого гидролиза к значительно более сложному процессу, включающему последовательно протекающие реакции окисления и гидролиза [30].

Возможность получения разнообразных производных целлюлозы определяется в первую очередь ее функциональным составом. С этой точки зрения целлюлозу можно рассматривать как полимерный полиатомный спирт, в элементарных звеньях макромолекул которого содержатся три гидроксильные группы: первичная - у шестого атома углерода и две вторичные -у второго и третьего атомов углерода. Элементарное звено макромолекулы целлюлозы находится в энергетически наиболее выгодной конформации кресла С1, в которой гидроксильные и гидроксиметильная группы расположены экваториально (то есть располагаются приблизительно в плоскости, образуемой вторым, третьим и пятым атомами углерода и атомом кислорода пиранозного цикла) и благодаря такому положению обладают высокой реакционной способностью в различных химических реакциях. Именно индивидуальные свойства гидроксильных групп позволяют в результате их химических превращений осуществить синтез простых и сложных эфиров целлюлозы, продуктов ее окисления.

Особое внимание уделяется целлюлозе как представителю класса природных высокомолекулярных соединений, поскольку имеется возможность ее воспроизводства в природных условиях в процессе фотосинтеза, а также разнообразие свойств и, соответственно, областей применения многочисленных производных целлюлозы. За последние десятилетия появилась большая группа материалов, при получении которых были реализованы различные подходы модификации целлюлозы: термические превращения, синтез привитых сополимеров, образование пространственной структуры. Все это позволило создать углеродные и другие сорбционно-активные материалы, материалы медицинского назначения с пролонгированным эффектом действия лекарственных препаратов, волокна-биокатализаторы, содержащие иммобилизованные ферменты, повысить эластические характеристики текстильных материалов из целлюлозных волокон. На более отдаленную перспективу целлюлозу можно рассматривать как источник экологически чистого возобновляемого сырья для создания новых технологических процессов получения мономеров для синтетических полимеров [33].

1.4 Окисление целлюлозы

Действие окислителей на целлюлозу имеет место во многих производственных процессах, основанных на переработке целлюлозы или целлюлозосо-держащих растительных материалов.

Процесс окисления целлюлозы представляет большой научный интерес, так как путем избирательного окисления отдельных спиртовых групп удаётся ввести в макромолекулу целлюлозы новые функциональные группы - карбонильные (альдегидные и кетоновые) или карбоксильные - и получить препарат окисленной целлюлозы, обладающей новыми свойствами.

В качестве окислителей целлюлозы могут быть применены реагенты, окисляющие первичные или вторичные спиртовые группы, либо приводящие к образованию перекисных соединений.

Продукты, которые получаются при действии окислителей на целлюлозу, и которые в результате частичного окисления гидроксильных групп отличаются по химическому составу от исходной целлюлозы, носят название оксицеллюлоз. В большинстве случаев процесс частичного окисления спиртовых групп сопровождается понижением степени полимеризации целлюлозы. Известен, однако, ряд методов получения оксицеллюлоз, при которых деструкции целлюлозы не происходит. В отличие от условий образования про-

дуктов гидролиза целлюлозы процесс окисления целлюлозы не сопровождается обязательным снижением степени полимеризации целлюлозы. Процесс окисления целлюлозы протекает в несколько стадий. В начальной стадии происходит частичное окисление спиртовых групп целлюлозы или, возможно, присоединение кислорода к гликозидному гидроксилу с образованием перекисных соединений. На дальнейших стадиях процесса окисления в большинстве случаев происходит деструкция макромолекул целлюлозы и при более интенсивном окислении - образование низкомолекулярные моно- и дикарбоновых оксикислот. При полном окислении целлюлозы образуются углекислый газ и вода.


Продукты окисления целлюлозы не являются химически физически однородными.

Неоднородность по величине макромолекул и по химическому составу оксицеллюлоз, получаемых при действии различных окислителей на целлюлозу, так же как неоднородность других производных целлюлозы, объясняется следующими факторами:

1) неодинаковой доступностью макромолекул или их звеньев, действию окислителей и, следовательно, различной скоростью их окисления;

2) избирательным действием некоторых окислителей на первичные или вторичные спиртовые группы целлюлозы;

3) различной степени деструкции макромолекул целлюлозы в процессе окисления.

Препараты, получаемые при окислении целлюлозы, являются химически неоднородными продуктами. Они отличаются по характеру функциональных групп, образующихся при окислении спиртовых групп целлюлозы. Кроме того, при окислении целлюлозы могут получаться вещества с различным положением образовавшихся функциональных групп в элементарных звеньях макромолекул окисленной целлюлозы, т.е. изомерные соединения. Поэтому продукты окисления целлюлозы, получаемые по разным методам, значительно различаются как по составу, так по свойствам [33, 34].

При действии окислителей на целлюлозу могут иметь место следующие реакции избирательного окисления отдельных групп:

I. Окисление первичных спиртовых групп элементарного звена до альдегидных групп:


II. Окисление первичных спиртовых групп до карбоксильных групп:

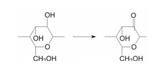
III. Окисление вторичных спиртовых групп элементарного звена (в положении 2 или 3) до кетогрупп, например


IV. Одновременное окисление вторичных спиртовых групп в положениях 2 и 3 до альдегидных групп, сопровождающееся разрывом пиранового цикла элементарного звена:


V. При комбинированном действии окислителей может произойти дальнейшее окисление альдегидных групп, образующихся при окислении вторичных спиртовых групп, до карбоксильных групп:


Кроме того, принципиально возможно присоединение кислорода к «кислородному мостику» между элементарными звеньями макромолекул целлюлозы или к амиленоксидному кольцу элементарного звена макромолекулы с образованием перекисей. Звенья перекиси затем распадаются и обуславливают разрыв глюкозной связи между звеньями или расщепление пиранового цикла. До настоящего времени удалось осуществить не все перечисленные схемы избирательного окисления различных спиртовых групп целлюлозы. В большинстве случаев при действии различных окислителей на целлюлозу происходит одновременное окисление как первичных, так и вторичных спиртовых групп с образованием в различном соотношении альдегидных, кетон-ных и карбоксильных групп, находящихся у различных атомов углерода элементарного звена макромолекулы.

В зависимости от условий проведения процесса, в частности от рН среды, в отдельных случаях удается изменять соотношение карбонильных и карбоксильных групп в макромолекулах окисленной целлюлозы. Регулировать соотношение между скоростью окисления первичных и вторичных спирто вых групп целлюлозы, что имеет большое значение для свойств получаемых продуктов, пользуясь окислителями, применяемыми в технике, пока не представляется возможным.

В последние годы разработаны методы избирательного окисления спиртовых групп молекул целлюлозы по схемам II, IV и V. Реакции избирательного окисления спиртовых групп по схеме II и III, т.е. окисление только первичных спиртовых групп до альдегидных групп или окисление только вторичных спиртовых групп до кетогрупп без разрыва пиранового кольца пока не осуществлены.

Окисление целлюлозы некоторыми типами окислителей (йодная кислота и ее соли, тетраацетат свинца, двуокись азота) может быть использовано для синтеза ряда производных целлюлозы, содержащих альдегидные или карбоксильные группы преимущественно у определенных углеродных атомов элементарного звена макромолекулы. Необходимо, однако, отметить, что в некоторых из образующихся при окислении соединений, например в продукте окисления целлюлозы йодной кислотой - диальдегидцеллюлозе и ее производных, пиранозный цикл, наличие которого является характерной особенностью химической структуры целлюлозы, разрушен в процессе окисления [35].

1.5 Избирательное окисление вторичных спиртовых групп йодной кислотой

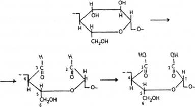
Метод одновременного окисления обеих вторичных спиртовых групп целлюлозы, также как и других полисахаридов и моносахаридов, до альдегидных групп разработан в 1935- 1938 г. Гудсоном и Джаксоном. Для этой цели была использована реакция окисления целлюлозы йодной кислотой. При действии йодной кислоты на многоатомные спирты, в частности на мо-но- и полисахариды, происходит одновременное окисление в альдегидные группы двух соседних спиртовых групп (гликолевая группировка) с одновременным разрывом углерод - углеродных связей между ними. Для целлю лозы процесс окисления протекает с разрывом пиранового кольца и образованием диальдегидцеллюлозы. При последующем окислении образуется ди-карбоксилцеллюлоза.



Первичные спиртовые группы при действии йодной кислоты не окисляются. Продукт окисления целлюлозы йодной кислотой представляет собой полиполуацеталь эритрозы и глиоксаля. Он назван Роговиным диальдегид-целлюлозой и может быть отнесен к оксицеллюлозам только условно, поскольку один из основных признаков целлюлозы (наличие пиранового цикла) у этих соединений отсутствует.

Окисление в молекуле целлюлозы даже очень небольшого числа глико-левых групп до диальдегидных резко понижает устойчивость гликозидных связей к действию щелочей и даже горячей воды.

Интенсивной деструкцией препаратов диальдегидцеллюлозы в щелочной среде объясняется крайне низкая вязкость медноаммиачных растворов диальдегидцеллюлозы. Сравнительное исследование скорости кислотного гидролиза целлюлозы и диальдегидцеллюлозы [35, 36] позволило сделать вывод о том, что образование диальдегидных групп также значительно уменьшает устойчивость гликозидных связей к гидролизу. Аналогичные данные были получены для низкомолекулярных модельных соединений.

Хид [37] при метилировании диальдегидцеллюлозы со степенью окисления (среднее количество окисленных гликолевых групп на элементарное звено) до 0,93 0,5 М эфирным раствором диазометана, содержащим 25 г/л воды, получил продукт с содержанием метоксильных групп до 18,6% (степень замещение около 1,0). Неокисленная целлюлоза, подвергнутая метилированию в аналогичных условиях, содержит не более 6 % СНЗО - групп. Продукт метилирования диальдегидцеллюлозы не растворяется в медноам-миачном растворе; медное число меньше 1.

При взаимодействии диальдегидцеллюлозы (содержание альдегидных групп 18%) с газообразной двуокисью азота в присутствии Р2О5 [37] происходит полное превращение спиртовых и полуацетальных гидроксильных групп, а также гидратированных альдегидных групп в нитратные группы (для продукта взаимодействия вычислено: N 13,61%; найдено: N 12,78%, СНО 0,73%):

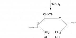
Восстановление альдегидных групп в диальдегидцеллюлозе до гидроксильных впервые было осуществлено Меллером [20, 30] действием водных растворов боргидрида натрия. Реакция восстановления протекает по схеме:



Линдберг и Тиндер использовали восстановление диальдегидцеллюлозы боргидридом натрия как количественный метод определения карбонильных групп в продуктах окисления целлюлозы. Детальное исследование условий восстановления было осуществлено Хидом. Как было показано в работе, восстановление альдегидных групп в гидроксильные повышает устойчивость гликозидной связи к действию щелочных реагентов [32, 35].

При восстановлении боргидридом натрия диальдегидцеллюлозы с высокой степенью окисления и последующем гидролизе был получен эритрит.

1.6 Синтез целлюлозных материалов, содержащих антимикробные вещества

Методы синтеза производных целлюлозы и получения модифицированных волокнистых материалов, содержащих химически связанные антимикробные вещества, разрабатываются на протяжении последних двадцати лет. Однако до настоящего времени окончательно не решен один из важнейших вопросов, возникающих при разработке этой проблемы - вопрос о том, при каких типах химической связи между антимикробным веществом и макромолекулой целлюлозы проявляется антимикробная активность материала, как влияет строение указанных полимеров на их химические и антимикробные свойства. Систематическое исследование этой проблемы имеет существенное теоретическое и большое практическое значение, так как только научно обоснованный подход позволит создать высокоактивные антимикробные волокнистые материалы, антимикробные свойства которых будут сохраняться на протяжении всего периода применения изготовленных из них изделий даже при очень жестких условиях эксплуатации и многократных мокрых обработках.

Вопрос о влиянии строения производных целлюлозы, содержащих химически связанные антимикробные вещества, на антибактериальные свойства этих полимеров был изучен в цикле работ, обобщенных в [38, 39]. В этих работах были синтезированы производные целлюлозы (в виде волокнистых материалов), содержащие антимикробные вещества акридинового ряда, гало-генпроизводные фенола (ГПФ), галогены или ионы серебра, связанные с различными функциональными группами макромолекулы модифицированной целлюлозы разными типами химических связей (координационными, ионными, лабильными и стабильными ковалентными), и исследована их антимикробная активность в опытах in vitro (строение некоторых из указанных производных целлюлозы и данные об них антимикробной активности представлены в табл. 1- 3, стр. 31-33)[39].

Антибактериальная активность изучалась методом «инфицированного агара» (при этом определяли зоны задержки роста микроорганизмов вокруг образца ткани) и при капельном методе заражения образцов ткани микроорганизмами (при этом определяли степень снижения бактериальной обсеме-ненности образца ткани по сравнению с обычной не модифицированной целлюлозной тканью). На основании анализа результатов полученных в работах [38, 39], был сделан вывод, что антимикробной активностью обладают только те производные целлюлозы, в которых антимикробные вещества присоединены к полимеру ионной, лабильной ковалентной или координационной связью.

Полимеры с прочной ковалентной связью между производным целлюлозы и антимикробным веществом не обладают антибактериальной активностью. К таким материалам относятся простые эфиры целлюлозы, содержащие антимикробные вещества, присоединенные связью C-N, модифицированные целлюлозные материалы, в которых галогены присоединены к алифатическому или ароматическому остатку простого эфира целлюлозы связью С -галоген, а также соединения, полученные при взаимодействии 3 - хлор - 2-гидроксипропилового эфира целлюлозы с ГПФ (между антимикробным веществом и алкильным остатком производного целлюлозы образуется простая эфирная связь).

Проведенные исследования позволили обосновать и сформулировать представления о механизмах антимикробного действия волокнистых материалов содержащих химически связанные антимикробные вещества: антимикробная активность изученных волокнистых материалов, обусловлена тем, что антимикробное вещество, присоединенное химической связью к функциональной группе модифицированной целлюлозы, постепенно отщепляется от этой группы вследствие гидролиза связи, диффундирует из волокнистого материала и вступает во взаимодействие с микробной клеткой [38, 39].

В настоящее время описано получение большого числа производных целлюлозы и других волокнообразующих полимеров разного строения, содержащих различные антимикробные вещества, присоединенные ионной или координационной связью, которые обладали антимикробной активностью [37 - 44]. Совершенно очевидно, что в этом случае антимикробная активность полимерных материалов может быть обусловлена гидролизом связи функциональная группа полимера - антимикробное вещество.

Возможность синтеза производных целлюлозы (а также и других волокнистых материалов), обладающих антимикробными свойствами, путем присоединения антимикробного препарата к полимерам поляризованной, сравнительно легко гидролизующейся альдиминовой связью C=N была показана в ряде работ, где к модифицированной целлюлозе, содержащей альдегидные группы, присоединяли антимикробные вещества, в молекуле которых имелись гидразидные группы, ароматические или алифатические аминогруппы [41, 47 - 49]. В то же время в работе [50] показано, что диальдегидцеллюлоза, обработанная 5-нитрофурфурилиденгидразоном (между полимером и антимикробным веществом образуется связь C=N), не проявляла антимикробной активности (не давала зоны роста микроорганизмов при испытании по методу "инфицированного агара"), хотя обладала высокой устойчивостью к действию плесени. Авторы работы [50] объясняют этот неожиданный для них факт тем, что 5-нитрофурфурилиденгидразон нерастворим в воде.

По-видимому, выделившийся в результате гидролиза связи C=N 5-нитрофурфурилиденгидразон не диффундирует из волокнистого материала, и поэтому вокруг образца материала при определении антимикробной активности методом "инфицированного агара" нет зоны задержки роста микроорганизмов. В то же время присутствие на волокнистом материале антимикробного вещества защищает его от образования плесени.

В цикле исследований, обобщенных в работе [55], было показано, что антимикробными свойствами обладают подвергнутые бромированию, йодированию или роданированию сложные эфиры целлюлозы и непредельных алифатических кислот (метакриловой, сорбиновой, олеиновой), а также эфиры целлюлозы с фурановой и коричной кислотами. Антимикробная активность синтезированных сложных эфиров целлюлозы может быть обусловлена тем, что под влиянием атомов галогена или родановых группировок гидролитическая устойчивость сложноэфнршй связи снижается, и полимерный материал проявляет антимикробные свойства благодаря постепенному отщеплению остатков галогенированных или роданированных кислот.

Возможность придания целлюлозным волокнистым материалам антимикробных свойств при присоединении антимикробных веществ эфирной связью была подтверждена в последние годы в ряде pаботе. В работах [56-58] показано, что производные целлюлозы, синтезированные по схемам (2) и (3), (стр. 25) обладают антимикробными свойствами.

В настоящее время не выяснено окончательно, обладают ли антимикробной активностью производные целлюлозы, содержащие четвертичные аммониевые или фосфониевые группы, и для каких целей могут быть использованы такие материалы.

Известно, что растворимые в воде низкомолекулярные и полимерные четвертичные аммониевые соединения, осаждаясь снаружи на клеточную стенку микроорганизма, изменяют ее проницаемость, вызывая лизис клетки. Вероятно, что при контакте с указанным выше волокнистым материалом также происходит лизис микробных клеток.

Антимикробные свойства волокнистых материалов, содержащих химически присоединенные антимикробные вещества, как было показано выше, зависят от устойчивости к гидролизу связи полимер - антимикробное вещество. Однако в рассмотренных выше работах эта зависимость была исследована только качественно, и практически полностью отсутствуют количественные характеристики устойчивости к гидролизу связей между антимикробными веществами и функциональными группами модифицированной целлюлозы, а также данные о зависимости антибактериальных свойств волокнистых материалов от количества десорбирующихся с целлюлозных волокон антимикробных веществ.

Анализ приведенных выше литературных данных показывает, что в последние годы синтезировано большое число производных целлюлозы, содержащих разные антимикробные вещества, присоединенные различными типами химических связей. В настоящее время происходит процесс накопления экспериментальных данных о влиянии строения нерастворимых в воде производных целлюлозы, содержащих химически связанные антимикробные вещества, и характера связи между молекулой антимикробного вещества и макромолекулой полимера на антимикробные свойства волокнистого материала. Установлено, что антимикробная активность волокнистых материалов, содержащих антимикробные вещества, присоединенные ионной или координационной связью, обусловлена отделением антимикробного вещества от полимера вследствие гидролиза указанных связей, диффузией антимикробного вещества из полимерного материала и взаимодействием его с мик робной клеткой. Аналогичный механизм антимикробного действия может быть принят для производных целлюлозы, содержащих антимикробные вещества, присоединенные лабильной ковалентной связью (альдиминовой, аце-тальной, триацетальной, сложноэфирной).

1.7 Способы получения антимикробных целлюлозных волокнистых материалов

Способы получения антимикробных целлюлозных волокнистых материалов, содержащих химически связанные антимикробные вещества, могут быть разделены на три основные группы:

1)обработка целлюлозного материала антимикробными веществами, ко- торые:

а)содержат реакционноспособные функциональные группы, способные взаимодействовать с гидроксильными группами целлюлозы;

б)могут образовывать на волокнистом материале комплексные соеди- нения с целлюлозой;

в)могут образовывать полимеры, между макромолекулами которых и макромолекулами целлюлозы возможно образование координационных свя- зей;

обработка целлюлозного материала антимикробным веществом и полифункциональным реагентом, способным присоединять антимикробное вещество к целлюлозе;

предварительная химическая модификация целлюлозного материала с целью введения в макромолекулу целлюлозы реакционноспособных функциональных групп, которые используются для последующего химического присоединения антимикробных веществ.

Различные варианты этих способов придания целлюлозным волокнистым материалам антимикробных свойств, осуществленные в лабораторных условиях, достаточно подробно проанализированы в обзорных работах [37 -39, 40, 43].

1) Модификация целлюлозы (обработка антимикробным веществом, содержащим реакционноспособную группу, или введение в целлюлозу функциональных групп, необходимых для последующего присоединения антимикробных веществ, и само присоединение антимикробных веществ) должна осуществляться достаточно доступными способами.

2) Химикаты, необходимые для модификации целлюлозы, должны выпускаться в промышленном или опытно-промышленном масштабе, обладать высокой активностью, достаточно широким спектром антимикробного действия, низкой токсичностью и быть дешевыми.

3) Антимикробные вещества, используемые для получения антимикробных целлюлозных волокнистых материалов, должны выпускаться в промышленном или опытно-промышленном масштабе, обладать высокой активностью, достаточно широким спектром антимикробного действия, низкой токсичностью и быть дешевыми.

4)При присоединении антимикробного вещества к модифицированно- му целлюлозному материалу должна достигаться оптимальная прочность химической связи, которая, с одной стороны, должна быть достаточно ла- бильной для того, чтобы обеспечить отщепление от волокна количества ан- тимикробного вещества, необходимого для проявления высокого антимик- робного действия, а с другой стороны, - достаточно стабильной для того, чтобы антимикробные свойства волокнистого материала сохранились после многократных стирок (очевидно, что присоединение антимикробного веще- ства к полимеру химической связью, очень быстро гидролизующейся в мяг ких условиях, не позволит получить антимикробный волокнистый материал, свойства которого сохраняются после многократных стирок). Таким образом, в идеальном случае выделение антимикробного вещества должно быть строго регулируемым.

5)   Антимикробные волокнистые материалы должны быть активным и по отношению к патогенной микрофлоре, не оказывать токсического, дерматологического и аллергического действия на организм человека; антимикробные свойства волокнистого материала должны сохраняться после многократных стирок, применяющихся при его эксплуатации.

6)   Процессы модификации целлюлозного материала и присоединения антимикробного вещества должны осуществляться на оборудовании, имеющемся на заводах химических волокон и на предприятиях текстильной промышленности, желательно по непрерывной схеме.

7)   Процесс получения антимикробного целлюлозного волокнистого материала должен осуществляться без значительной деструкции макромолекул целлюлозы и заметного снижение комплекса физико-механических и гигиенических свойств волокнистого материала.

Следует отметить, что в последние годы возрос интерес в разработке еще одного метода придания целлюлозным волокнистым материалам антимикробных свойств - фиксации антимикробных веществ на волокнистом материале с помощью полимеров, наносимых на его поверхность. В этом случае наряду с антимикробными свойствами волокнистый материал приобретает также и другие практически ценные свойства, обусловленные свойствами полимера, использованного для указанной цели. Например, в работах [59 -61] описана фиксация на целлюлозном волокнистом материале антимикробных веществ с помощью кремнийорганических полимеров, при этом модифицированный материал приобретает высокую гидрофобность и может применять в качестве неприлипающего к ране антимикробного перевязочного средства.

Приведенные выше данные показывают, что в настоящее время разработаны методы получения антимикробных целлюлозных волокнистых материалов, основанные на фиксации антимикробного вещества в полимерном покрытии, наносимом на поверхность волокнистого материала, химическом присоединении антимикробного вещества к структуре гидратцеллюлозного волокна в процессе его формования. Целлюлозные волокнистые материалы, на поверхность которых нанесено полимерное покрытие, содержащее антимикробные вещество, могут иметь различные области применения. Для получения волокнистых материалов, антимикробная активность которых сохраняется при многократных мокрых обработках в процессе, наиболее целесообразно присоединять антимикробные вещества к макромолекулам целлюлозы химическими связями. Разработаны промышленные варианты получения антимикробных целлюлозных волокнистых материалов, содержащих химически связанные антимикробные вещества.

1.8 Области применения антимикробных целлюлозных волокнистых материалов

Антимикробные целлюлозные волокнистые материалы могут применяться для различных целей в медицинских учреждениях, различных отраслях промышленности, для изготовления изделий бытового назначения, в длительных экспедициях.

В настоящее время в РФ и за рубежом ведется широкий поиск средств борьбы с внутрибольничной инфекцией. Решение этой проблемы особенно важно для лечения больных с ослабленной иммунологической реактивностью, например больных, перенесших операцию трансплантации почки, которые подвергаются иммунодепрессивной терапии, больных гематологических клиник, родильниц и др. [62 - 64].

Ослабление естественной защитной системы организма, обеспечивающей торможение развития микробов на коже человека, происходит также при воздействии на организм целого ряда отрицательных факторов, например, теплового микроклимата, повышенной влажности воздуха, «светового голода», работы в экстремальных условиях. Повышение микробной обсеменен-ности кожных покровов приводит к увеличению числа гнойничковых заболеваний кожи [42 - 65]. Поэтому снижение микробной обсемененности кожных покровов актуально не только для больных медицинских учреждениях, но и для целого ряда категорий рабочих (например, рабочих горячих цехов, шахтеров). При длительном пребывании человека в герметично замкнутом помещении небольшого объема с ограниченными санитарно-бытовыми условиями (например, в космических аппаратах) также происходит накопление микроорганизмов на коже человека, при этом возрастает относительное количество микрофлоры с признаками патогенности [14, 66]. Поэтому нормализация микрофлоры кожи важна и для людей, работающих в указанных выше условиях.

Значительный интерес представляет использование антимикробных целлюлозных волокнистых материалов для борьбы с грибковыми заболеваниями. В обзорах [38, 41] показано, что целлюлозные волокнистые материалы, содержащие галогенпроизводные фенола (ГПФ), ртутьорганические соединения и некоторые другие антимикробные вещества, обладают активностью по отношению к патогенным грибкам, вызывающим микозы ног.

Ткани, содержащие химически связанные гуанидинхлоридфенол (ГХФ) или ионы меди, могут быть использованы и для изготовления спецодежды и средств личной гигиены, применяющихся на предприятиях микробиологической, медицинской и молочной промышленности, а также в медицинских учреждениях, поскольку установлено, что эти ткани обладают активностью по отношению к дрожжеподобным и плесневым грибам, используемым при микробиологических синтезах ферментных препаратов и белково-витаминных концентратов, к Шигелле - Зоне возбудителю дизентерии, различным видам микроорганизмов, выделенным в условиях химико-фармацевтического производства [52 - 63].

Следует отметить, что в некоторых случаях (например, в молочной промышленности) применение антимикробной ткани, содержащей ионы меди, химически связанные с привитой к целлюлозе полиакриловой кислотой, оказывается более эффективным, чем антимикробной ткани, содержащей химически связанный гуанидинхлоридфенол (ГХФ) [67,68].

В настоящее время показана эффективность и целесообразность применения антимикробного нетканого фильтрующего материала, изготовленного из вискозного волокна, в структуру которого в процессе формирования включен гуанидинхлоридфенол (ГХФ) [38, 41] для стерилизации воздуха, подаваемого в технологическое оборудование при производстве витаминов, антибиотиков и пива. Такой антимикробный фильтрующий материал имеет ряд преимуществ перед другими типами фильтрующих материалов.

Таким образом, в результате проведенных исследований показана целесообразность использования антимикробных целлюлозных волокнистых материалов для изготовления одежды, белья, средств личной гигиены, применяющихся в клиниках различного профиля, в горячих цехах, шахтах, длительных экспедициях, для борьбы с микробной инфекцией, лечения и профилактики вызываемых ею заболеваний. Большое значение имеет применение антимикробных целлюлозных волокнистых материалов для изготовления постепенно рассасывающихся в организме и нерассасывающихся перевязочных материалов. Антимикробные целлюлозные волокнистые материалы эффективно используются в качестве фильтрующего материала для очистки и стерилизации технологического воздуха на предприятиях медицинских и пищевой промышленности.

Антимикробные целлюлозные волокнистые материалы могут быть использованы и для изготовления одежды, применяющейся в обычных условиях.

Анализ современного состояния проблемы разработки и применения антимикробных целлюлозных волокнистых материалов свидетельствует о широком развитии исследований в этой области и большом количестве публикуемых работ. В настоящее время установлена определенная взаимосвязь

между строением производных целлюлозы, содержащих химически связанные антимикробные вещества, их химическими и антимикробными свойствами. Большой научный и практический интерес представляет дальнейшее развитие и углубление этих исследований, так как только на их основе могут быть разработаны новые более совершенные способы получения антимикробных волокнистых материалов с заданными свойствами. Первостепенную роль при проведении этих исследований должны играть современные представления о влиянии макромолекулярной природы материала на реакционную способность его функциональных групп (в частности, на гидролиз связи между антимикробным веществом и полимером). В последние годы разработаны способы получения антимикробных целлюлозных волокнистых материалов различного назначения, в том числе и материалов, антимикробные свойства которых сохраняются при многократных мокрых обработках в процессе эксплуатации. Некоторые из этих способов освоены промышленностью. Особенно большое значение имеет разработка в дальнейшем антимикробных целлюлозных волокнистых материалов со строго регулируемым на протяжении всего срока их эксплуатации выделением антимикробных веществ. На основании проведенных систематических исследований в настоящее время определены наиболее эффективные области применения антимикробных целлюлозных волокнистых материалов. Эти области достаточно обширны, однако можно полагать, что в дальнейшем они будут постоянно расширяться.

Влияние строения производного целлюлозы на антимикробную активность волокнистого материала [3].

2. Обсуждение результатов

Как было показано в литературном обзоре, способность целлюлозы и ее производных образовывать ковалентные, ионные или координационные связи с солями четвертичных аммониевых оснований широко используется для модификации большого числа целлюлозных волокнистых материалов, при этом в конечном продукте часто проявляется синергизм уникальных свойств исходных компонентов. Выбор активированной целлюлозы хлопковой и гуанидинсодер-жащих цвиттер-ионных делокализованных резонансных структур для получения новых модифицированных моно- и биматричных композиционных материалов открывает перспективу создания наноструктур и нанокомпозитов с трансформерной полимерной матрицей, представляющих существенный научный и практический интерес. Изделия на их основе можно использовать для изготовления одежды, упаковки, перевязочных материалов медицинского назначения, а также фильтрующих мембран для стерилизации воздуха и обеззараживания речной воды, обладающих одновременно пролонгированными биоцидными и легко регенирируемыми адсорбционными свойствами, поскольку в состав гуа-нидинсодержащих мономеров и полимеров входят ионогенные группы. Именно назначение будущих изделий в значительной степени определило способы их получения, состав и важнейшие параметры новых биоцидных мономеров, тип связывания в них основного биоцидного компонента, природу супрамолекуляр-ных связей, обуславливающих его иммобилизацию с матрицей в композитах, полученных нами.

3. Экспкриментальная часть

3.1 Очистка исходных веществ. Свойства растворителей и реагентов

Отметим, что все исследования проводились с одной партией исходных и синтезированных веществ.

Ключевым фактором при создании композитов на основе целлюлозы хлопковой и биоцидного компонента явилась предварительная активация исходных компонентов для придания способности к структурной и химической взаимной иммобилизации и дополнительной целенаправленной модификации. С этой целью целлюлоза хлопковая (взятая в виде волокнистого материала и бинта) обрабатывалась 1 М водным раствором йодной кислоты. Как было показано в литературном обзоре, при этом образуется диальдегидцеллюлоза, причем количество альдегидных групп зависит от времени обработки и составляет 0,5-33% (максимальное количество альдегидных групп - 36%, такое окисление происходит при обработке целлюлозы йодной кислотой в течение нескольких недель).

Вторым компонентом, используемым нами для получения биоцидного волокнистого нанокомпозита, явился метакрилат гуанидина. Как отмечалась в литературном обзоре, метакриловая кислота и ее производные характеризуются значительной реакционной способностью в реакциях радикальной гомо- и сополимеризации. Ее производные, содержащие виниловый фрагмент и химически активные функциональные группы, представляют собой перспективный ряд мономеров. Соответствующие им полимеры могут сохранять потенциал активности, являясь удобными носителями биологически активных веществ.

Метакрилат гуанидина синтезировали по предлагаемой в литературе [69] методике. По этой методике соль гуанидина (сульфат, карбонат, нитрат и др.) помещали в этилат натрия, через 12 часов отфильтровывали выпавшую натриевую соль и затем к раствору гуанидина при температуре 0-5 С прикапывали очищенную от ингибиторов радикальной полимеризации метакриловую кислоту.

3.2 Синтез мономеров и полимеров

3.2.1 Синтез метакрилатгуанидина (МАГ)

В спиртовой раствор гуанидина, предварительно полученный из этилата натрия и бикарбоната гуагидина, при охлаждении до - 10 °С добавили эквимольное количество метакриловой кислоты ( температура в реакционной массе при этом не превышала -5 °С). Раствор перемешивали 3 часа при комнатной температуре, после чего МАГ выделяли из спиртового раствора высаживанием в избыток диэтилового эфира. Полученную соль перекристаллизовывали из смеси воды и этанола. Выход ~ 73 %.

Синтез нанокомпозитов. В водную суспензию, полученную при перемешивании 50 г диальдегидцеллюлозы и 200 мл дистиллированной воды на магнитной мешалке в течение 2 ч, добавляли расчетное количество МАГ и инициатора полимеризации (NH4)2S2О8 (ПСА). Перемешивание продолжали еще 4 ч для улучшения катионного обмена и образования однородной массы. После этого суспензию разливали по ампулам со шлифами, содержимое каждой ампулы изолировали от доступа воздуха продувкой очищенным азотом. Полимеризацию проводили при 60°С в течение 8 ч. Далее ампулы разбивали, полученные образцы промывали дистиллированной водой и оставляли в закрытом сосуде на сутки в избытке дистиллированной воды. Образцы гибридных наноструктур извлекали, и высушивали до постоянной массы в сушильном вакуумном шкафу при 40°С над Р2О5, после чего сухой остаток измельчали.

Строение и чистоту исходных соединений и конечных продуктов определяли с помощью элементного анализа; ИК-спектроскопии на спектрофотометре SPECORD М82. Образцы для ИК-спектров готовили в виде таблеток с КВг или суспензии в вазелиновом масле.

Рентгенодифракционные данные получены при комнатной температуре на автоматизированном дифрактометре ДРОН-6 (ЗбкВ, 20мА, X СиКа - излучение, графитовый монохроматор на вторичном пучке, съемка по Бреггу-Брентано в интервале углов 2 от 1 до 35°, шаг 0.05°, скорость сканирования 1 град/мин).

Тяжелые металлы в пробах воды до и после очистки композитами определяли с использованием атомно-абсорбционного спектрометра "МГА-915". Содержание металлов определяли по величине интегрального аналитического сигнала по предварительно установленной градуировочной зависимости.

Список используемой литературы

1. Zubov V.P., Vijaga Kumar М., Masterova M.N. et al // J. Macromol. Sci. 1988. T. 30. №4. c.675.

2. Кабанов B.A., Топчиев Д.А. // Высокомолек. Соед. А. 1988. Т. 30. с.675.

3. Топчиев Д.А., Нажметдинова Г.Т., Крапивин A.M. и др. // Высокомолек. Соед. А. 1982. Т. 24. №6. с.437.

4. Кабанов В.А., Топчиев Д.А., Нажметдинова Г.Т. // Высокомолек. Соед. А. 1984. Т. 26. №1.с.51.

5. Топчиев Д.А., Нажметдинова Г.Т. и др. // Изв. Ан СССР. Сер.хим. 1983. №10. с. 22-32.

6. К.Е. Скворцова, Нехорошева А.Г., Гембицкий П.А. // Проблемы дезинфекции и стерилизации. М.: ВНИИДиС, 1974, вып.23, с.58.

7. Отчет филиала № 5 Института биофизики Минздрава СССР. Ангарск, 1991.

8. Panarin E.F. // 26 Microsymposium on Macromolecules Polymers in medicine and Biology. Prague, 1984, p.87

9. Платэ H.A., Васильев A.E. Физиологически активные полимеры. М.:Химия, 1986, с.296.

Ю.Платэ Н.А., Васильев А.Е. // Высокомолек. соед. А, 1982, Т.24, №4, с.675.

ll.Ryser H.J. // Science. 1965, V.150, р.501. 12.Ryser H.J. // Biomembranes. 1971, V.2, p. 197.

13.Ярославов A.A., Кабанов B.A. // Материалы Всероссийского Каргин-ского симпозиума. 2000. Тез. докл. ч.1, с. 17.

И.Фельдштейн М.М. // Синтетические полимеры медицинского назначения. Материалы 6 Всесоюзного симпозиума. Алма-Ата, 1983, с. 142.

15.Отчет филиала № 5 Института биофизики Минздрава СССР по хоздоговору на тему «Результаты исследований перспективных солей ПГМГ хронический эксперимент) с целью внедрения их в народное хозяйство и медицину». Ангарск, 1991г.

16.Тимофеева Л.М., Васильева Ю.А., Клещева Н.А., Топчиев Д.А. // Изв. АН. Сер.хим. 1999. №5. с. 865.

П.Васильева Ю.А., Клещева Н.А., Громова ГЛ., Ребров А.И., Филатова М.П., Крутько Е.Б., Тимофеева Л.М., Топчиев Д.А. // Изв. АН. Сер.хим. 2000. №3. с. 430.

18.Корбут С.А. Дис. канд. мед. наук. М.: НИИЭИ, 1966.

19.Климов А.Н. Пенициллины и целаспорины. Л.: Медицина, 1973. с.95.

20.Александрова В.А., Злобина В.А., Дмитриев Г.А., Милонова Т.И., Федорова Д.Л., Топчиев Д.А. // Хим. фарм. журнал. 1994, №5, с. 18.

21.IkedaT., Yamaguchi Н., Tazuke S. //Antimicrob. Agents Chemother. 1984, V.26,p.l39.

22.IkedaT., Tazuke S., SuzukeY. // Macromol. Chem. 1984, V.185, P.869.

23.IkedaT., Tazuke S. // Polymer. Prep. 1985, V.26, p.226.

24.FranklinT.J., Snow G.A. // Biochemistry of Antimicrobial Action. London:

Chapman and Hall, 1981. 25.FranklinT.J., Snow G.A. // Phytochemistry. 1970, V.48, № 3, p.465. 26.Ghosh M. // Polymer Material Sci. Eng. ACS. 1986, V.55, p.755. 27.Ghosh M. // Polymer News. 1988, V.13, p.71.

28.Панарин E. Ф., Заикина H. А., //Антибиотики том 22, 1977, с. 327. 29.Мусаев У. Н., Каримов А., Иргашева П. X., и др. //Некоторые аспекты

синтеза полимеров медицинского назначения /ФАИ. Ташкент 1973., с.

8-32.

30.Роговин 3. А., Шорыгина Н. Н, «Химия целлюлозы и ее спутников», М -Л., 1953.

31.Помогайло А. Д. «Успехи химии», 66, 750, 1997.

32.Ливиц Р. М., Гальбрайх Л. С, «Химические успехи», 1965., 34, вып. 6, 1086.

33.Васильев А. В., Майборода В. И. // Химические Волокна, 1966, №5,28.

34.Клёсов А. А., Рабинович М. Л., Березин И. В. - Практический курс химии, 1976, том 2, с. 795.

36.Pomogailo A. D., Plat. Vet. Rev., 38. 60 (1994).

37.Голубко Н. В., Яновская М. И., Прутченко С. Г., Оболонкова Е. С, Химия, 34, 1115, 1998.

38.Вольф Л. А., Меос А. И. Волокна специального назначения. М.: Химия, 1971,223 с.

39.Вирник А. Д. Придание волокнистым материалам антимикробных свойств. М: ЦНИИТЭИлегпром, 1972, 64 с.

40.Вирник А. Д. «Успехи в химии», 1973, 42, № 3, 547 - 567.

41.Vigo Т. L. «Antibachterial Fibers in Modified Cellulosic». R. M. Rowel, R. A., Yong. N-Y., Acad. Press. 1978, p. 259 - 284.

42.Вирник А. Д., Пенежник M. А., Кондрашова Г. С. Новое в области получения антимикробных волокнистых материалов и их использование. М.: ЦНИИТЭИлегпром, 1980, с. 56.

43.Вольф Л. А., Емец Л. В., Косторов Ю. А., Перепечкин Л. П., Шамолина И. И. Волокна с особыми свойствами. - М: Химия, 1980, с. 240.

44.Калонтаров И. Я., Ливерант В. Л. Придание текстильным материалам биоцидных свойств и устойчивости к микроорганизмам. Душанбе: До-ниш, 1981,202 с.

45.Vigo Т. L., Benjaminson М. А. «ТехШе Res. J.»? 1981, 51, № 7, 454 - 458. 46. Вирник А. Д., V Всес. конф. по химии и физике целлюлозы. Тез. докл.

Том 2. Ташкент. 1982, с. 17. 47.Пат. НРБ 24468(1979). 48.Пат. НРБ 25141 (1979). 49.Пат. НРБ 30846 (1981).

50.Krkoska P., Ebringer L., Odinsova М., Remanar М. «Cell. Chem. Tech-nob, 1976, 10, № 20, 155 - 160.

51.Krkoska P., Blazej A., Kiss V., Lemanova M., Loborova R. «Cell. Chem. Technol.», 1980, 10, № l, 19 - 27.

52.Погосов Ю. Л. Автореф. дисс. докт. хим. наук. Рига, 1969, с. 31.

53.Роговин 3. А., Вирник А. Д., Кондрашова Г. С, Колоколов Б. Н., Андронова Н. А., Плоткина Н. С. «Cell. Chem. Technol.», 1979, 13, № 4, 441 -461.

54.Кондрашова Г. С, Плоткина Н. С, Вирник А. Д., «Изв. высш. учебн. заведений. Технология текстильной промышленности», 1977, № 6, 134 - 135.

55.Кондрашова Г. С, Плоткина Н. С, Вирник А. Д. В кн.: Химия и технология крашения, синтеза красителей и полимерных материалов. Иваново, 1977, с. 15-19.

56.Dimitrov D. G., Tsanrova G. D. «Cell. Chem. Technol.», 1982, 16, № 1, 19 -26.

57.Пат США 4115422 (1977). 58.Пат США 4174418 (1979). 59.Everst J. H. «Colourage», 1981, 28, №8, 41 - 42.

60.Vigo Т. L., Danna G. F., Welch С. M. «Text. Chem. and Color.», 1977, № 4, 28-31.

61 .Роскин Г. E., Карчева Э. И., Мезенцева Н. Н., Сорокин Е. Я., Беляков Н. А., Симбирцев С. А. III Международный симпозиум по химическим волокнам. Препринты. Том 5. Калинин, 1981, с 139 - 148.

62,Роскин Г. Е., Левит М. Р., Южелевский Ю. А., Карчева Э. И., Сорокин Е. Я.,

бЗ.Плоткинат Н. С, Богомолова Н. С. В кн.: Медико - технические проблемы индивидуальной защиты человека. М.: Министерство здравоохранения СССР, 1982, 67 - 74.

64.Голосова Т. В., Мартынова В. А., Мурашова Н. С, и др., «Гематология и переливание крови», 1978, № 3, 53 - 55.

Похожие работы на - Полимерные композиты на основе диальдегилцеллюлозы и полигуанилинметакрилата

 

Не нашли материал для своей работы?
Поможем написать уникальную работу
Без плагиата!
Без нейросетей!