Теплоты сорбции акрилонитрила в капроновые

  • Вид работы:
    Статья
  • Предмет:
    Химия
  • Язык:
    Русский
    ,
    Формат файла:
    MS Word
    137,82 kb
  • Опубликовано:
    2010-03-20
Вы можете узнать стоимость помощи в написании студенческой работы.
Помощь в написании работы, которую точно примут!

Теплоты сорбции акрилонитрила в капроновые

ТЕПЛОТЫ СОРБЦИИ АКРИЛОНИТРИЛА В КАПРОНОВЫЕ ВОЛОКНА

Применение метода кинетической калориметрии для изучения процессов сорбции паров в полимерные материалы оказалось весьма эффективным. Одновременное измерение скорости и теплоты сорбции дает дополнительную информацию о процессе сорбции, структуре подложки и возможном влиянии ее на процесс прививочной полимеризации сорбированного мономера [1]. Особенно важным представляется прямое измерение теплот сорбции. Как показано ранее [2—5], энергия связи молекул с подложкой является одним из решающих факторов течения процесса радиационной прививочной полимеризации.

В литературе практически отсутствуют данные прямых измерений теплот сорбции в полимерные материалы. Обычно считают, что теплота сорбции, или теплота растворения, выделяется при взаимодействии молекулы с поверхностью полимерного материала. Дальнейшее перемещение молекул по среде происходит в среднем без изменения общей энергии [6]. В то же время многие эксперименты свидетельствуют о том, что как и на поверхности твердых тел, в объеме полимерных материалов имеется распределение по глубинам ловушек [7—9]. Для прямого наблюдения такого распределения в полимерных системах необходимы измерения теплот сорбции в условиях равновесной сорбции при разных степенях заполнения потенциальных мест сорбции в материале.

Целью настоящей работы — измерение теплоты сорбции акрилонитрила (АН) капроновым волокном и зависимости ее от концентрации сорбированного АН, а также изучение особенностей сорбции АН в промышленное капроновое волокно и в капроновое волокно, модифицированное прививкой АН.

Методика измерений описана подробно ранее и состоит в одновременном и непрерывном измерении скорости сорбции и скорости тепловыделения на подложке двумя дифференциальными калориметрами с автоматической регистрацией сигналов на потенциометре КСПП-4 и в памяти ЭВМ СМ-3 [1].

Исследовали сорбцию АН в промышленное капроновое волокно (К) диаметром 17 мкм и капроновое волокно после прививки на него 55 вес.% ПАН (Кпр). Прививку АН осуществляли радиационным газофазным методом при мощности дозы 6 рад/с, давлении пара АН р=400 мм рт. ст. и температуре волокна 80°.

Перед исследованием волокно (~1,5 г), плотно уложенное в калориметрической кювете, предварительно откачивали до остаточного давления Ю-3 мм рт. ст. при 70° в течение 3 ч. Упругость пара сорбируемого АН изменяли в пределах 7—70 мм рт. ст., задавая соответствующую температуру кюветы с жидким АН. Температура, волокна составляла 22°. Чувствительность установки при измерении скорости тепловыделения Ю-5 Вт, при измерении скорости сорбции 6 • 10~8 г АН/с.

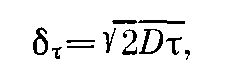
Измерения теплот сорбции в материалах с низкими значениями коэффициентов; диффузии D могли быть проведены с достаточной точностью лишь на некотором ограниченном во времени участке процесса сорбции т, где скорости сорбции и тепловыделения достаточно велики.

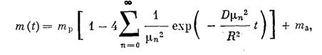
Измеряемые за время т количество сорбированного мономера т, количество выделившегося тепла Q и теплота сорбции E = Q/m характеризуют процесс установления равновесной сорбции в слое, глубину которого бт для волокон определяли по соотношению


где D — коэффициент диффузии мономера в волокно. Определение величин D проводили двумя способами.

1. Минимизируя с помощью ЭВМ сумму квадратов отклонений точек на экспериментальных кривых сорбции от соответствующих им значений, получаемых по расчетной зависимости


которая является решением уравнения Фика для диффузии в бесконечный цилиндр. 2. По начальному участку кривых сорбции, для которого


где R — радиус волокна; m(t) — количество АН, сорбированного за время t; mv— величина равновесной сорбции; та — количество АН, адсорбируемого на поверхности волокна.

При определении D по способу 2 величины тр измеряли в специальных опытах при сорбции АН до полного насыщения. Ошибка измерения тр составляет 10%. В способе 1 тр находили как параметр при сравнении экспериментальной кривой с расчетной зависимостью (2). Величины mv и m{t) нормированы к весу волокна и имеют размерность вес.°/о- Точность измерения m{t) составляла 3%.

На рис. 1 приведены кинетические кривые сорбции исследованными волокнами. Следует отметить отличное совмещение экспериментальных точек и расчетной зависимости, что позволяет с хорошей точностью описывать процесс сорбции определяемыми ЭВМ параметрами D, mv и тя. Из представленных данных следует также, что уже в течение первых 15—20 мин скорость сорбции в К- и Кпр-волокна уменьшается почти на порядок, а количество сорбированного АН составляет от равновесно сорбируемого. Поэтому определение теплот сорбции АН проводили на участке сорбции, длительность которого т составила 20 мин. Точность определения величины Е на этом участке была не хуже 5%.

Приведенные на рис. 1 данные показывают также, что прививка ПАН на капроновые волокна существенно меняет картину сорбции по сравнению с исходным капроновым волокном; и скорости сорбции, и достигаемые концентрации АН в КцР-волокнах заметно ниже.

Основные характеристики процесса сорбции АН в К- и Кпр-волокна при разных давлениях пара приведены в таблице. Для исходных К-воло-кон величины D практически не меняются с ростом давления АН и соответствующим увеличением равновесной концентрации. Из этого следует, что увеличение концентрации АН от 1 до 2,8% не вызывает заметных изменений структуры волокна и глубина слоя бт практически не меняется при изменении давления пара АН.

Полученные значения D позволяют оценить в соответствии с соотношением (1) глубину слоя, в котором за 20 мин устанавливается концентрация АН, близкая к равновесной. Для К-волокна, 6Т~2 мкм, для Кпр-волокна 3 мкм.

Рис. 1. Кинетические кривые сорбции АН волокнами К (1) и К„р (2). Т?очки — экспериментально измеренные величины, сплошные линии — расчетная зависимость (2). Температура волокна 22°, р=33 мм рт. ст.

Рис. 2. Зависимость интегральной теплоты сорбции АН в К- (1) и Кцр-волокна (2) от относительной концентрации АН

Рис. 3. Изотерма адсорбции АН на поверхности Кпр-волокна {1), а также изотерма сорбции в объем исходного К-волокна (2) и в объем КПр-волокна (3) за 20 мин

Объемная доля волокна, где достигается равновесная сорбция, составляет 40 и 50% соответственно для К- и Кпр-волокон.

На рис. 2 приведены интегральные теплоты сорбции, измеренные при разных относительных концентрациях АН в К- и Кпр-волокнах. Относительная концентрация х является характеристикой степени заполнения потенциальных мест сорбции в волокне при разных давлениях АН и представляет собой отношение равновесной концентрации при давлении р к равновесной концентрации при давлении насыщенных паров ps= =72 мм рт. ст.

Из приводимых данных следует, что в немодифицированных К-волок-нах теплота сорбции с ростом к от 0,1 до 0,8 снижается на 6 кДж/моль, оставаясь все время на 10—25 кДж/моль выше теплоты конденсации АН.


Наблюдение столь высоких теплот сорбции означает, что при исследуемых степенях заполнения взаимодействие молекул АН друг с другом заметно слабее, чем связь каждой из них с подложкой. Относительно небольшие изменения теплоты сорбции при значительных изменениях величины х свидетельствуют в то же время о слабо выраженной неоднородности К-волокна, что находится в хорошем соответствии с наблюдаемым постоянством величины D при разных концентрациях АН.

В привитом волокне (рис. 2, кривая 2) в том же интервале изменения х интегральная теплота сорбции падает от 50 до 35 кДж/моль. При х^0,8 теплота сорбции практически совпадает с теплотой конденсации АН. Как видно, в модифицированных волокнах по сравнению с исходными меняется не только число центров сорбции и коэффициент диффузии, но также заметно изменяется и спектр теплот сорбции АН. Существенное изменение теплот сорбции с ростом х свидетельствует о том, что как и на поверхности твердых тел, в объеме полимерного материала существует распределение центров сорбции по теплотам сорбции. Изменение состава и структуры материала в процессе прививки приводит к значительным изменениям этого распределения.

Из сопоставления измеренных значений теплот сорбции и равновесных концентраций АН в исходном и модифицированном прививкой капроновом волокне следует, что снижение равновесной концентрации и теплоты сорбции в привитом волокне обусловлено исчезновением части «глубоких» центров сорбции в К-волокне при прививке, их «зарастанием» привитым ПАН, имеющим низкую сорбционную емкость. В отличие от исследованной нами ранее системы АН — ГШ, модифицированной ПАК, в которой сорбция АН, как показано, аддитивна к составляющим модифицированного волокна [1], сорбция АН в Кпр-волокна такой аддитивностью не обладает.

При сравнении сорбции АН в К- и Кпр-волокна установлено также, что эти процессы характеризуются заметно разными значениями величин та (см. соотношения (2), (3)). Величины ma получали при обсчете сорб-ционных кривых как отрезок, отсекаемый при экстраполяции зависимости m(t)—l/t к нулевому моменту сорбции. Как установлено, для К-волокна во всем изученном интервале давлений АН m^Ofil вес.%, т. е. не превышает емкости монослоя, рассчитанной из геометрических размеров волокна (~0,01 вес.%). Для Кпр-волокон выше и значительно меняется с давлением. Зависимость величины та от давления — изотерма адсорбции АН на поверхности Кпр-волокна приведена на рис. 3 (кривая 1). При р<20 мм рт. ст. та^0,01 вес.%. Вероятно, удельная поверхность К-волокна при прививке ПАН меняется мало. При повышении давления т„ растет и при р=60 мм рт. ст. становится на порядок больше монослоя. Наблюдаемая форма кривой 1 свидетельствует о возможном протекании полислойной или капиллярной адсорбции АН на поверхности привитых волокон. Теплота адсорбции АН на поверхности привитых волокон, рассчитанная по соотношению Ez=QJm&, при изменении давления от 20 до 70 мм рт. ст. падает от 48 до 32 кДж/моль.

Для сравнения на рис. 3 приведены также изотермы сорбции в объем исходного и привитого волокна. Как видно, сорбция в объем растет практически пропорционально давлению АН. Обращает на себя внимание также тот факт, что вблизи давления насыщения количество АН, адсорбированного на поверхности привитого волокна составляет —1/2 количества АН, сорбируемого в объем.

Сопоставление величин та для К- и Кпр-волокон показывает, что поверхность привитого волокна заметно отличается от поверхности исходного капронового. Поверхность привитого волокна, вероятно, содержит заметно больше микропор, трещин, в которых возможна капиллярная конденсация АН. Вероятно, именно такая структура поверхности придает привитым капроновым волокнам свойства шерсти — несминаемость, объемность, низкую теплопроводность, хорошее совмещение с другими волокнами при прядении.

ЛИТЕРАТУРА

1. Пилюгин В.В., Крицкая Д.А., Пономарев А.Н. Высокомолек. соед. Б, 1984, т. 26, № 12, с. 907.

2.Крицкая Д.А., Пономарев А.II. Высокомолек. соед. А, 1974, т. 16, № 9, с. 2020.

4.Крицкая Д.Л., Пономарев А.Н. Докл. АН СССР, 1977, т. 236, № 5, с. 1148.

5.Пилюгин В.В., Крицкая Д.А., Пономарев А.Н. Высокомолек. соед. А, 1982, т. 24, № 2, с. 283.

С. Рейтлингер С.А. Проницаемость полимерных материалов. М.: Химия, 1974.

7.  Кузина С.П., Михайлов А.И. Докл. АН СССР, 1976, т. 231, № 6, с. 1395.

8.  Якимченко О.Е., Лебедев Я.С. Докл. АН СССР, 1979, т. 249, № 6, с. 1395.

9.  Аулов В.А., Бакеев II.Ф. Докл. АН СССР, 1980, т. 255, № 6, с. 1400.

10.Бабкин И.Ю., Красногоров А.И., Китаев А.Н. Высокомолек. соед. А, 1975, т. 17, № 8, с. 1835.

Похожие работы на - Теплоты сорбции акрилонитрила в капроновые

 

Не нашли материал для своей работы?
Поможем написать уникальную работу
Без плагиата!
Без нейросетей!