Сущность и химическая структура стероидов
Реферат
Сущность и
химическая структура стероидов


1. Общая структура (строение) и синтез
стероидов
Стероиды имеют исключительно широкий диапазон
биологического действия, включающий в себя деление клеток, восстановление
органов и тканей, обмен веществ углеводный, жировой, защитные реакции организма
– иммунная функция, рост мышечных тканей, химические процессы в мембранах
нервных клеток.
Стероиды можно разделить, по тому где они
синтезируются, на три основные группы: гонадотропные, глюкокортикостероиды и
минералкортикоиды. Если с гонадотропными понятно по их названию, то,
глюкокортикостероиды (например кортизол) и минералкортикоиды (например
альдостерон) синтезируются в коре надпочечников.
Стероиды также можно разделить на группы по их функциям.:
андрогены, эстрогены, прогестогены, анаболические стероиды и катаболики.
Основные, которые мы здесь рассмотрим – это андрогены и анаболические стероиды.
Андрогены семенников синтезируются клетками Лейдига в интерстициальной ткани: в
этих клетках содержится практически вся 3бетагидроксистероид-дегидрогеназа
семенников - фермент, катализирующий ключевой этап биосинтеза тестостерона,
который имеет как анаболические, так и андрогенные свойства.
Стероиды являются жирорастворимыми гормонами, имеющие тетрациклическую
основу строения. Основа структуры состоит из четырех соединенных вместе колец:
три циклогесановые и одно циклопентановое. См. ниже.
Как видно из рисунка, кольца А и D способны к
видоизменениям, благодаря их краевому расположению. На следующем рисунке
показана расстановка углерода в стероидах, позиции 10 и 13 наиболее подвержены
различным изменениям.
Процесс синтеза стероидов начинается со сквалена
- сложной линейной ароматической молекулы, структура показана ниже
Сквален (от лат. squalus -
акула), ациклический полиненасыщенный жидкий углеводород состава C30H50 с t
кипения 242С, растворимый во многих органических растворителях. Важный
промежуточный продукт в метаболизме тритерпеноидов и стероидов; широко
распространён в тканях животных и растений, а также у микроорганизмов; впервые
выделен из печени акулы. Биосинтезируется из мевалоновой кислоты,
превращающейся в фарнезилпирофосфат; последний под действием скваленсинтетазы
(в присутствии тиамина) "димеризуется" в сквален. Ферментативное
превращение сквалена в ланостерин и из него в холестерин и др. стерины
начинается с аэробного окисления концевой двойной связи сквалена.
Этот процесс циклизации сквалена, как полагают,
является одним из большинства удивительных и сложных реакций в органической
химии.
Холестерол
Холестерол служит напосредственным предшественником
половых стероидов, подобно тому, как он служит предшественником
кортикостероидов надпочечников. Скорость-лимитирующим этапом, как и в
надпочечниках, является отщепление боковой цепи холестерола. Превращение
холестерола в прегненолон (гормон, выделяемый в матке, контролирующей
имплантацию яйца, и - предшественник для андрогенов, эстрогенов, и
глюкокортикоидов) в надпочечниках, яичниках и семенниках происходит идентично.
Однако в двух последних тканях реакция стимулируется не АКТГ, а ЛГ.
Прегненолон
Все функции стероидов схожи на клеточном и
молекулярном уровне. Поскольку стероиды жирорастворимы, они легко могут
проникать (диффундировать) через мембану клетки в цитоплазму, где путем
присоединения к рецептору (белковаой структуре) формируют всем известный
комплекс рецептор-стерод. Далее в процессе димеризации (образование димера - удвоенной
молекулы в результате реакции присоединения) два комплекса формируют димер,
который в свою очередь присоединяется к ДНК клетки, способствуя тем самым
транскрипции гена и белковому синтезу.
Этот процесс представлен в диаграмме ниже.
Влияние стероидов на ген и синтез белка весьма сложное и труднообъяснимое.
Часто белок, синтезируемый в результате присоединения димера к ДНК является
регулирующим и отвечающим за активирование или подавление других генов. Это
вызывает своего рода цепную реакцию. Помимо этого, влияние стероида на ген
зависит от типа клетки, в которой идет присоединение. Поэтому фактические
примеры этих процессов не будут представлены в статье.
Структура и превращение некоторых стероидов
Первый стероид, который мы рассмотрим – это
тестостерон, имеет наиболее простую структуру строения.
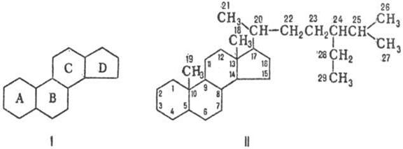
Тестостерон
Метаболические превращения тестостерона
осуществляются двумя путями. Один путь включает в себя окисление в 17-м
положении, другой - восстановление двойной связи кольца А и 3-кетогруппы.
В результате первого пути, функционирующего во
многих тканях, в том числе и в печени, образуются 17-кетостероиды, как правило,
лишенные активности или обладающие более слабой активностью, чем исходное
соединение.
Второй путь, менее эффективный, протекает главным
образом в тканях-мишенях и ведет к образованию активного метаболита -
дигидротестостерона ( ДГТ )а также эстрадиола и андростандиола. Этиохоланолон и
андростерон - это 5 бета-восстановленные продукты андрогенов.
Таким образом, тестостерон можно рассматривать
как прогормон по двум причинам: во-первых, он превращается в более активное
соединение дигидротестостерон и, во-вторых, превращение это происходит главным
образом в тканях, расположенных вне семенников. Небольшая часть тестостерона ароматизируется,
образуя эстрадиол.
Свободный тестостерон и тестостерон, связанный с
сывороточным альбумином, легко проникают в клетки-мишени. Внутри клеток
тестостерон может превращаться в дигидротестостерон и эстрадиол. Основное
количество дигидротестостерона (около 300 мкг/сут) образуется в предстательной
железе. Физиологическая активность тестостерона и дигидротестостерона различна.
Эстрадиол синтезируется из тестостерона с участием ароматазы. У взрослого
мужчины за сутки образуется около 40 мкг эстрадиола, из них 10 мкг - в яичках и
30 мкг - вне яичек.
Андростандиол, еще один высоко активный андроген,
также образуется из тестостерона.
Главные 17-кетостероидные метаболиты тестостерона
- андростерон и этихоланолон - коньюгируют в печени с глюкуронидом и сульфатом
с образованием водорастворимых экскретируемых соединений. Количественное
определение 17-кетостероидов в моче использовалось ранее в качестве теста на
андрогенную активность. Теперь, однако, установлено, что этот показатель слабо
отражает гормональный статус in vivo.
Сложные эфиры тестостерона
Сложные эфиры тестостерона образуются путем
присоединения боковых цепей атомов, состоящих из углерода (С), водорода (Н) и
кислорода (О) к самой молекуле тестостерона, формируя таким образом,
тестостерон ципионат, тестостерон энантат, тестостерон пропионат. Сложные эфиры
гораздо медленнее высвобождаются в русло крови, т.к. они снижают возможность
стероида растворяться в воде, и наоборот увеличивают его жирорастворимость.
Присоединяясь к стероду, сложный эфир делает его неактивным, и таким образом,
препятствует его связыванию с рецептором. Чтобы произошла его активация,
фермент эстераза (фермент класса гидролаз; катализирует реакции расщепления
эфирной связи) отщепляет сложный эфир и восстанавливает водород для формирования
гидроксильной группы, присоединенной к С17. Как только молекула вновь
конвертирована в тестостерон, она способна соединиться с рецептором. Обычно
сложные эфиры присоединяются к С17, хотя могут быть связаны и с С3 в молекуле
тестостерона.
Тестостерон ципионат
В молекуле тестостерона ципионата, вместо
водорода в гидроксильной группе С17, к молекуле тестостерона присоеденена
боковая цепь, состоящая из 8 атомов углерода, кольца циклопентана и одной
карбоновой группы (=О). Тестостерон ципионат входит в группу наиболее сложных
эфиров. Если сравнивать сложные эфиры по их молекулярной массе, то можно
поставить их в таком порядке, начиная с наименьшей: ацетат, пропионат,
фенилпропионат, изокапроат, капроат, энантат, ципионат, деканоат, ундесиленат,
ундеканоат, лаурат. Наибольшей молекулярной массой обладает лаурат, который
состоит из 12 атомов углерода, 24 атомов водорода и 2 атомов кислорода. Сложные
эфиры могут присоединяться и к другим стероидам, не ограничиваясь только
тестостероном.
Превращение тестостерона в дигидротестостерон
происходит как в яичках, так и вне яичек с участием 5альфа-редуктазы. В течение
этого процесса двойная связь между С5 и С4 уменьшается до одинарной(простой)
связи, при этом к С4 и С5 присоединяются по одному атому водорода
ДГТ
Не все стероиды конвертируются в ДГТ с помощью
5альфа-редуктазы. Благодаря специцифичности ферментов, которую можно описать по
аналогии ключ-замок, каждый фермент подходит только определенному субстрату.
Следующий стероид, который мы
рассмотрим - Нандролон Деканоат
Как вы видите нандролон отличается от
тестостерона только в одном: на месте метиловой группы (СН3) в позиции С10
стоит водород (не показан на рисунке). Благодаря своей схожести с
тестостероном, нандролон также конвертируется с помощью 5альфа-редуктазы,
конечный продукт этой реакции – дигидронандролон, молекула которого в свою
очередь схожа с ДГТ.
Некоторые стероиды способны также к ароматизации,
это процесс преобразования андрогена в эстроген с помощью фермета ароматазы.
Тестостерон конвертируется в эстрадиол, который показан ниже.Если сравнить
молекулу эстрадиола с молекулой тестостерона, то можно увидеть, что метиловая
группа в позиции С10 отсутствует, а кислород в позиции С3 превратился в
гидроксильную группу. Ароматизация привела к потере числа углерода и к
образованию двойных связей в цепи, чтобы процесс ароматизации произошел,
молекуле стероида необходимо иметь метиловую группу в позиции С10, еще один принцип
ключ-замок. По этой причине Нандролон не конвертируется в эстроген, т.к не
имеет метиловой группы.
Еще одна причина, по которой стерод не может
ароматизироваться в эстроген – это само строение молекулы, когда строение
видоизменено, ароматаза не может функционировать.
Пример такого измененного кольца молекулы это
Оксандролон, где в позиции С2 стоит кислород вместо углерода. Обратите
внимание, что метиловая группа в позиции С10 присутствует, но ароматизация все
равно не возможна.
Оксандролон
Ярким примером изменения в структуре молекулы,
является Станазолол, где к четырем основным кольцам присоединено пятое кольцо,
которое и предотвращает этот стероид от ароматизации.
Станазолол
Еще одно превращение, которому подвергаются
некоторые стероиды – это 17 альфа-алькилирование, в этом процессе к позиции С17
присоединяется метиловая группа (СН3). Эти стероиды, проходя печень,
практически не подвергаются изменениям и имеют более длинный период
полураспада, чем их неалькилированные собратья. Примером 17
альфа-алькилирования является представленный выше оксандролон, обратите
внимание на СН3 в позиции С17. Большинство оральных стероидов 17
альфа-алькилированы, поэтому более токсичны для печени, чем инъекционные
стероиды.
В таблице вы найдете больше примеров стероидов и
возможных превращений.
Эстрогенная активность: эстрогенно не активен
Прогестагенная активность: нет данных (возможно низкая)
Мастерон- иньекционный препарат, содержащий действующее вещество
дростанолон.
Дростаналон – производная дигидротестостерона,
2а-метил-дигидротестостерон.
В результате, у нас получается неароматизирующийся умеренный
анаболик\мощный андроген, поэтому задержку воды и гинекомастию мы можем не
брать в расчет.
Также он обладает антиэстрогенной активностью, примерно также как
провирон. Культуристы находят этот стероид очень удобным для
предсоревновательной подготовки.
Он улучшает внешний вид мускулов, усиливает их жесткость,
прорисованность, снижает процент подкожного жира. Раньше этот препарат не
ловился на допинг-контроле, но с начала 90-ых есть методика по выявлению его
метаболитов моче.
Хоть дигидротестостерон и не очень активен в мышечных тканях, 2альфа-метилирование
очень усиляет его анаболические способности.
Мастерон- стероид для построения качественной массы. Наиболее
хорошо будут видны его свойства, если применять его в связке с такими
иньекционными препаратами, как нандролона деканоат\болденона ундесилинат.
Для большего роста массы, можно применять связки мастерона с
метандростенолоном\эфирами тестостерона. Также мастерон может использоваться в
предсоревновательной подготовке, в связке с
винстролом\примоболаном\оксандролоном.
Пропионатный эфир держится в крови очень короткое время, всего
лишь несколько дней, поэтому иньекции мастерона нужно производить хотя бы
каждые 3-4 дня, для поддержания его уровня в крови. Дозировка составляет
200-350мг в неделю для мужчин.
Женщинам лучше не применять этот препарат ввиду его высокой
андрогенности и возможных побочных эффектов вирилизации. Если же все-таки
женщина-культуристка решится на его использование, дозировка должна быть
ограничена 25-50 мг в неделю.
Мастерон не представляет вреда для печени, поэтому его можно
использовать в длинных циклах. Единственные побочные эффекты- андрогенные
(сальная кожа, акне, агрессивность, рост волос на теле и лице)
Проскар не поможет нам в случае мастерона, так как мастерон-
искусственная производная дигидротестостерона. Также не рекомендуется применять
этот стероид людям начинающим лысеть, так как мастерон может усилить выпадение
волос.
На черном рынке препарат доступен, производится фирмами BD, в
дозировке 100мг\мл, под названием мастабол. Мастабол выпускается в стеклянных бочонках,
с красной или синей жестяной запечаткой+ непосредственно на пластиковой крышке
должно быть выбито название продукта.
Также есть еще произведенный в Бирме дромостан, и еще множество
других андеграундных продуктов.
Оксиметалон


Андрогенный индекс: 45
Анаболический индекс: 320
Хим. Название: 2-гидроксиметилен-17а-метил-дигидротестостерон
Эстрогенная активность: высокая
Прогестагенная активность: нет данных
Анадрол- американская торговая марка мощного орального андрогенного
препарата- оксиметалона. Впервые был выпущен в 1960 году, компанией Syntex. Так
как оксиметалон очень хорошо влияет на увеличение количества красных кровяных
телец, препаратом заинтересовались в качестве средства для лечения анемии. В
течении длительного времени оксиметалон использовался для лечения этого
нарушения, вплоть до появления более безопасного эритропоэтина, который
увеличивает количество красных кровяных телец, но без андрогенных побочек.
Syntex прекратила его выпуск в 1993 году, ввиду его финансовой неокупаемости.
Вскоре был прекращен его выпуск и в Австрии и в Швейцарии, а также в Испании.
Но в связи распространением СПИДа, об оксиметалоне снова вспомнили. Теперь
оксиметалон официально производится фирмой Unimed под названием анадрол.
Оксиметалон является одним из самых мощных аптечных стероидов.
Новичок может при употреблении всего одной-двух таблеток в день в течении
менее, чем 6 недель, может набрать 8-12кг массы. Большая из этого- набранная
вода. В основном его использование – не для построения массы, а для смазки
соединительных тканей, для повышения их эластичности и профилактики разрывов
связок. Из-за его эстрогенных побочных эффектов, в течении курса рекомендуется
использовать нольвадекс\кломид.
Важно отметить, что сам оксиметалон не ароматизируется.
Оксиметалон – производная дигидротестостерона, с неароматизирующейся
структурой. Но он имеет некоторую прогестагенную активность, также как
нандролон, норэтандролон.
Также, из-за его прогестагенной активности, мы не можем
использовать одновременно с ним ингибиторы ароматазы, а только рецепторные
антагонисты, такие как нольвадекс\кломид. Цитадрен и аримидекс в этом случае
бесполезны, так как ароматизации нет.
Также оксиметалон – очень сильный андроген, в результате чего
возникают побочные эффекты в виде сальности кожи, акне, повышенного роста волос
на теле и лице.
Ввиду очень высокой андрогенности, препарат не рекомендуется
женщинам, так как может вызвать вирилизацию, еще до того как, вы примете
какие-либо меры.
Надо отметить, что оксиметалон в небольшом количестве
конвертируется в дигидротестостерон, но это не происходит через воздействие
5альфа редуктазой.
Структурно- оксиметалон это дигидротестостерон, с присоединенными
в позиции 17-метильным радикалом, и в позиции 2- гидроксиметиленовой группы.
Принципиальный недостаток оксиметалона в том, что он 17 альфа
алкилирован, что представляет опасность для печени. Это еще более усугубляет
тем, что произоводится он в дозировке, намного большей, дозировка, в которой
выпускает дианабол или станазолол.
Эта дозировка обьясняется тем, что он, в отличии от других
стероидов, плохо связывается с андрогенными рецепторами. По медицинским
показаниям, дозировка его должна составлять 1-5мг на килограмм веса больного,
хотя это вызывает риск рака печени.
Атлеты не нуждаются в таких высоких дозировках, поэтому 50-150мг
оксиметалона в день, в течении 4-6 недель. На курсе желательно следить за
состоянием печени почек.
Из-за высокого скопления воды также необходимо контролировать
кровяное давление.
После отмены препарата, может быть очень резкий спад и потеря
веса, набранного на курсе, а так как оксиметалон вызывает сильное угнетение
собственного тестостерона, не дожидаясь конца курса надо начинать прием ХГГ,
параллельно с кломидом\нольвадексом.
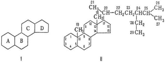
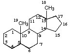
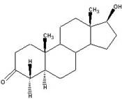
СТЕРОИДЫ, группа биологически
важных прир. соед., в основе структуры к-рых лежит скелет
циклопентанопер-гидрофенантрена (гонана, стерана; ф-ла I). Входят в состав всех
растит. и животных организмов.
По номенклатуре ИЮПАК полная нумерация в
стероидах производится так, как показано в ф-ле П. Если один или более атомов С отсутствуют, нумерация
оставшейся части сохраняется. В формулах стероидов связи атомов или групп,
располагающихся за плоскостью кольцевой системы (-конфигурация),
изображают пунктирной линией, атомы и группы,
располагающиеся перед плоскостью (-конфигурация), -жирной линией; связи
с неопределенной конфигурацией обозначают волнистой линией. Назв. частично
ненасыщенных стероидов производят от назв. насыщенных посредством окончания
"ен". В названиях стероидов, содержащих внутри структуры трехчленное
кольцо, вводится префикс "цикло" с цифровым указанием положения и стереохимией обозначения; общее назв.
таких стероидов-циклостероиды.
Природные стероиды имеют транс- или
цис-сочленение колец А и В, транс-сочленение колец В и С и обычно
транс-сочленекие С и D. Циклогексановые кольца, как правило, находятся в энергетически
выгодной конформации кресла. Большинство
стероидов содержат гл. обр. группы СН3 у атомов С-10 и С-13, группу ОН
(или кетогруппу) у атома С-3 и боковую цепь у атома С-17, содержащую до 8-10
атомов углерода.
В зависимости от структуры боковой цепи и наличия
групп СН3 различают производные эстрана (ф-ла III), андростана (IV),
прегнана (Vа), холана (Vб) и холестана (Vв).
В химии стероидов широко применяют
также и тривиальные назв., напр. холест-5-ен-3-ол наз. холестерином, 3, 7,
12а-тригидрокси-24-карбокси-5-холан-холевой к-той.
Стероиды включают в себя стерты (стеролы), сапонины, стероидные алкалоиды, стероидные гормоны, желчные кислоты, желчные спирты, гликозиды сердечные, витамин D.
Все стероиды (подобно др. изопреноидам) объединяются одной
схемой биогенеза: в живой клетке из уксусной k-ты через
ацетилкофермент А и мевалоновую к-ту строятся изопрено-вые фрагменты
-изопентенилпирофосфат и изомерный ему диметилаллилпирофосфат, к-рые путем конденсации образуют общий
биогенетич. предшественник -сквален; эпоксид
последнего при циклизации с послед. окислит.
отщеплением неск. углеродных атомов превращается в стероид.
Стероиды выделяют из спинного мозга и желчи рогатого скота, из
щелочного гидролизата дрожжей, растит. масел и животных жиров, отходов
целлюлозно-бумажной пром-сти, синтезируют из неприродного сырья. Полный синтез
осуществлен для мн. природных стероидов-холестерина, андрогенов, гестагенов, кортикостероидов, эстрогенов и др.
Стероиды-биол. регуляторы. Способность к биосинтезу стероидов наиб. выражена
у высших позвоночных. Насекомые стероиды не вырабатывают, а получают с пищей,
однако ф-ция их линьки контролируется стероидами
СТЕРОИДЫ, группа биологически
важных прир. соед., в основе структуры к-рых лежит скелет
циклопентанопер-гидрофенантрена (гонана, стерана; ф-ла I). Входят в состав всех
растит. и животных организмов.
По номенклатуре ИЮПАК полная нумерация в
стероидах производится так, как показано в ф-ле П. Если один или более атомов С отсутствуют, нумерация
оставшейся части сохраняется. В формулах стероидов связи атомов или групп,
располагающихся за плоскостью кольцевой системы (-конфигурация),
изображают пунктирной линией, атомы и группы,
располагающиеся перед плоскостью (-конфигурация), -жирной линией; связи
с неопределенной конфигурацией обозначают волнистой линией. Назв. частично
ненасыщенных стероидов производят от назв. насыщенных посредством окончания
"ен". В названиях стероидов, содержащих внутри структуры трехчленное
кольцо, вводится префикс "цикло" с цифровым указанием положения и стереохимией обозначения; общее назв.
таких стероидов-циклостероиды.
Природные стероиды имеют транс- или
цис-сочленение колец А и В, транс-сочленение колец В и С и обычно
транс-сочленекие С и D. Циклогексановые кольца, как правило, находятся в
энергетически выгодной конформации кресла. Большинство
стероидов содержат гл. обр. группы СН3 у атомов С-10 и С-13, группу ОН
(или кетогруппу) у атома С-3 и боковую цепь у атома С-17, содержащую до 8-10
атомов углерода.
В зависимости от структуры боковой цепи и наличия
групп СН3 различают производные эстрана (ф-ла III), андростана (IV),
прегнана (Vа), холана (Vб) и холестана (Vв).
В химии стероидов широко
применяют также и тривиальные назв., напр. холест-5-ен-3-ол наз. холестерином, 3, 7,
12а-тригидрокси-24-карбокси-5-холан-холевой к-той.
Стероиды включают в себя стерты (стеролы), сапонины, стероидные алкалоиды, стероидные гормоны, желчные кислоты, желчные спирты, гликозиды сердечные, витамин D.
Все стероиды (подобно др. изопреноидам) объединяются одной
схемой биогенеза: в живой клетке из уксусной k-ты через
ацетилкофермент А и мевалоновую к-ту строятся изопрено-вые фрагменты
-изопентенилпирофосфат и изомерный ему диметилаллилпирофосфат, к-рые путем конденсации образуют общий
биогенетич. предшественник -сквален; эпоксид
последнего при циклизации с послед. окислит.
отщеплением неск. углеродных атомов превращается в стероид.
Стероиды выделяют из спинного мозга и желчи рогатого скота, из
щелочного гидролизата дрожжей, растит. масел и животных жиров, отходов
целлюлозно-бумажной пром-сти, синтезируют из неприродного сырья. Полный синтез
осуществлен для мн. природных стероидов-холестерина, андрогенов, гестагенов, кортикостероидов, эстрогенов и др.
Стероиды-биол. регуляторы. Способность к биосинтезу стероидов наиб. выражена
у высших позвоночных. Насекомые стероиды не вырабатывают, а получают с пищей,
однако ф-ция их линьки контролируется стероидами
2. Анаболические стероиды в вопросах и ответах
Что такое "стероиды"?
Слово "стероид" является именем для группы химических
соединений, имеющих очень похожую структуру. Большинству людей известно три
типа стероидов: 1) Препараты типа гидрокортизона: известные под медицинским
названием "кортикостероиды", эти стероиды содержатся в различных
кремах и мазях, предназначенных для ухода за кожей, точнее для борьбы с
различными сыпями и зудами. Две распространенных торговых марки - Cortaid(R) и
Lanacort(R). Кортикостероиды не вызывают привыкания. 2) Женские половые
гормоны. Медицинские названия - эстрогены и прогэстрогены. Эти стероиды
определяют развитие вторичных половых признаков у женщин и поддерживают
работоспособность органов женской системы воспроизведения. Эстрогены и
прогэстрогены являются активными элементами в противозачаточных препаратах.
Эстрогены и прогэстрогены не вызывают привыкания. 3) Мужские половые гормоны.
Медицинское название - андрогены. Андроген под названием тестостерон является
основным участником в развитии мужских вторичных половых признаков и
поддержании в работоспособном состоянии органов мужской системы
воспроизведения. Совсем недавно была установлено, что препараты тестостерона
вызывают привыкание. Эти препараты также известны под названием
"анаболические стероиды". Между членами различных классов стероидов
существуют очень незначительные химические различия, и в определенных условиях
организм может превращать один тип стероидов в другой. Более подробно это
описано в главе "Как анаболические стероиды влияют на половые функции
мужского организма".
Что такое "анаболики"?
Термин "анаболик" описывает любую субстанцию, способную
поддерживать прирост мышечной ткани или накопление азота в мышечном протеине. В
нормальном состоянии организм постоянно разрушает и удаляет старые клетки и
ткани и заменяет их новыми. Процесс разрушения и удаления называется в медицине
"катаболизм". Анаболизм это процесс построения новых клеток и тканей
для замены старых. В нормально функционирующем организме эти две группы
процессов поддерживаются в равновесии. Мышечные и костные ткани, таким образом,
постоянно обновляются и ни прироста, ни убывания массы не происходит. Усиленные
физические упражнения являются анаболическими, поскольку увеличивают мышечную
массу. Богатая белком диета тоже считается анаболической, хотя это и не
подтверждено. Анабалические стероиды вызывают при определенных условиях прирост
мышечной массы. Тестостерон является естественным анаболическим стероидом.
Более высокий уровень тестостерона в мужском организме по сравнению с женским
обеспечивает более высокий процент мышечной массы у мужчин. Какое-то время
считалось, что анаболические и андрогенные стероиды - это разные вещи и поэтому
можно разработать новые типы стероидов, которые будут просто увеличивать
мышечную массу без побочных маскулинных эффектов. Однако выяснилось, что
анаболический и андрогенный эффекты вызываются одними и теми же препаратами, но
в разных тканях. Таким образом, любые стероиды, увеличивающие мышечную массу,
вызывают побочные маскулинные эффекты.
Откуда берутся анаболические стероиды?
Организм вырабатывает тестостерон естественным образом, но
естественный тестостерон не используется в медицине. В нормально функционирующем
организме тестостерон постоянно выделяется в кровь гипофизом. В мужском
организме, кроме этого, тестостерон вырабатывается яичками. Тестостерон
достигает различных частей организма, срабатывает, а затем разрушается
ферментами. Когда мужской организм достигает конца полового созревания,
количество тестостерона резко возрастает и держится на высоком уровне от
четырех до шести месяцев, после чего возвращается на нормальный уровень. В этот
период закрываются зоны роста конечностей, понижается голос, начинают расти
волосы на лице и половые органы увеличиваются. Именно эта волна тестостерона
заканчивает половое созревание мужского организма. У некоторых мужчин этого
подъема тестостерона не происходит. Когда была выяснена роль тестостерона,
исследователи пытались лечить запоздание в созревании, назначая к применению
тестостерон. Оказалось, что разовая доза тестостерона, даже очень большая, так
быстро разрушается ферментами, что эффекта не оказывает. Чтобы использовать для
этих целей натуральный тестостерон, человека нужно поместить под капельницу с
тестостероном на четыре месяца! Методом проб и ошибок был найден способ
изменения молекулы тестостерона для того, чтобы продлить его жизнь в организме.
Существует большое количество разновидностей анаболических стероидов пригодных
для лечения различных заболеваний. Раньше анаболические стероиды выделяли из
различных тканей животных, теперь их синтезируют..
Почему происходит злоупотребление анаболическими стероидами?
Анаболические стероиды позволяют атлетам при занятиях разными
видами спорта гораздо быстрее набрать необходимую мышечную массу. Многие
спортсмены считают, что своими достижениями они обязаны исключительно
применению стероидов. Не было доказано, что стероиды сами по себе увеличивают
мышечную массу у атлетов при тренировках. Прибавки вполне могут быть вызваны
чисто психологическим эффектом. В шестнадцати экспериментах со стероидами
девять показали их эффективность как средства наращивания массы, остальные семь
не дали никакого результата. В то же время анаболические стероиды широко
применяются как средство для наращивания мышечной массы после некоторых
хирургических операций и лечения рака, при которых пациент испытывает потерю
мышечной массы. Эта тема подробно рассмотрена в разделе "Стероиды и рост
тканей тела". Сначала только в некоторых видах спорта атлеты
злоупотребляли стероидами для повышения качества тренировок. Но со временем
злоупотребление стероидами распространилось и на другие виды спорта. Сейчас
только две олимпийские дисциплины считаются "чистыми": женский хоккей
на траве и фигурное катание. Эта тема подробно рассмотрена в разделе
"История". Злоупотребление стероидами теперь не ограничено спортивным
миром. Последнее время растет число молодежи, употребляющей стероиды, не занимаясь
при этом спортом. Во время опросов эта группа людей говорит, что употребляют
стероиды "для здоровья". Стероиды помогают набрать мышечную массу при
усиленных тренировках, однако нет никакого подтверждения, что большие дозы
стероидов, употребляемые без тренировок, помогают нарастить мышцы. Люди с
избыточным весом, не занимающиеся спортом, подвергаются риску повышенного
кровяного давления и других проблем с сердцем. Однако нет подтверждения, что
усиленные занятия спортом, со стероидами или без, продлевают жизнь или уменьшают
риск заболеваний. Есть подтверждения, что избыточные количества стероидов могут
преждевременно остановить рост тела, вызвать сердечные приступы, различные
заболевания печени, атрофию мужских половых органов и множество других
эффектов. Эта тема подробно рассмотрена в разделе "Воздействие стероидов
на организм".
Какие существуют разновидности анаболических стероидов и чем они
отличаются?
Тестостерон, как и многие другие гормоны, вырабатывается строго
определенными органами организма. Он выполняет строго определенные функции и
быстро выводится из организма. Когда узнали, что тестостерон помогает набрать
мышечную массу и определяет развитие вторичных мужских половых признаков,
медики пытались применять тестостерон во время лечения заболеваний, вызывающих
потерю мышечной массы. К несчастью, тестостерон в его естественной форме имеет
период полураспада в организме всего около десяти минут. Это означает, что
половина дозы тестостерона выводится из организма через десять минут после
того, как ее туда ввели. После этого каждые десять минут выводится половина
оставшегося количества. Уже через час от начального количества ничего не
остается. Инъекции натурального тестостерона в мышцу может растянуть время
полного распада до десяти часов, но этого недостаточно для того, чтобы
произвести какой-то эффект. Химики работали над натуральным тестостероном для
того, чтобы создать препарат, работающий как тестостерон, но живущий в
организме достаточно долго, чтобы произвести какой-то эффект. В результате были
получены такие производные тестостерона, как 17-альфа-алкилат, 17-бэта-эфир и
1-метил. Все анаболические стероиды, находящиеся сейчас в употреблении,
являются вариациями какой-то из этих трех производных молекулы тестостерона.
Все они поступают в организм различным образом и дают различные побочные
эффекты. 17-альфа-алкилаты и 1-метилы принимаются орально, а 17-бэта-эфиры - в
виде инъекций. Для удобства они классифицируются как оральные и инъекционные.
Оральные стероиды. Оральные стероиды можно обнаружить в организме
через несколько недель после прекращения употребления. Этого времени достаточно
для медицинских целей, но все еще немного по сравнению с инъекционными. Атлеты
в первую очередь экспериментируют с оральными анаболиками. Их удобно хранить и
употреблять, но они плохо действуют на печень в придачу к обычному набору
анаболических побочных эффектов. Побочные эффекты подробно описаны в разделе
"Вызывают ли стероиды повреждения печени?" Атлеты обычнопродолжают
употреблять оральные препараты даже если начинают пользоваться инъекционными
стероидами. Некоторые пользуются оральными чтобы проскочить через проверку на
допинг: большинство оральных препаратов не живут в организме дольше
инъекционных. При приближении соревнований атлет начинает пользоваться недолго
живущими препаратами, затем, за четыре-шесть недель до начала, прекращает
употребление совсем, чтобы моча была чистой при проверке. Многие атлеты и
тренеры убеждены, что необходимо пользоваться одновременно и оральными и
инъекционными препаратами по определенной схеме. Эта тема подробно разобрана в
разделе "Как анаболики употребляются атлетами?" Инъекционные
препараты.
Инъекционные анаболики вводятся внутримышечно, не внутривенно. Они
медленно выделяются из мышцы в кровоток, разносятся по организму и могут быть
обнаружены через несколько месяцев после использования. На химическом уровне
инъекционные препараты лучше усваиваются организмом чем оральные. Поэтому их
предпочитают те, кто пользуются анаболиками длительное время. Однако любые
инъекции имеют свои специфические проблемы. Инъекция препарата обходит
естественные защитные механизмы организма. Если кто-то случайно проглотил
больше чем нужно, он может по крайней мере вызвать рвоту, прежде чем всосется
количество достаточное, чтобы вызвать смерть. Если кто-то вдыхает ядовитый дым
или испарения, рефлекс кашля сработает и предотвратит отравление. Но если
кто-то вколол себе слишком много, вывести это из организма буде не очень-то
просто. Когда инъекции делаются в больнице, очень много внимания уделяется
стерилизации оборудования и кожи перед уколом. Без этой подготовки игла может
занести грязь и бактерии, минуя защитный барьер кожи. Гепатиты и различные
воспаления - обычные результаты плохой дезинфекции. Зарегистрировано даже два
случая СПИДа среди бодибилдеров. Инъекционные анаболики считаются исходной
точкой, воротами привыкания к другим инъекционным препаратам: человек, который
привык к инъекциям анаболиков болле склонен к экспериментам с другими
препаратами чем тот, кто никогда ничего не колол. Этот принцип "ворот"
применим и к другим препаратам. Например, человеку, курящему табак, легче
попробовать курить марихуану или крэк чем некурящему.
Когда были открыты анаболические стероиды?
До 1935 года никто не знал о связи анаболических стероидов с
накоплением мышечной массы. В этом году два исследователя, работавших с
собаками, обнаружили, что тестостерон в определенных условиях может увеличивать
мышечную массу. Считается, что Гитлер применял анаболические стероиды на своих
солдатах, чтобы увеличить их агрессивность, но документами это подтверждается
слабо. Современная история анаболических стероидов начинается в 1954 году,
среди олимпийских тяжелоатлетов. В 1956, Дианабол (Метандростенолон) впервые
появился на американском рынке, проложив путь анаболикам среди американских
атлетов. Поначалу только атлеты мирового класса в силовых видах спорта, типа
тяжелой атлетики пользовались анаболиками. Среди олимпийских атлетов
анаболические стероиды были проблемой до 1964 года. Атлеты и их тренеры
соблюдали режим больших доз смесей различных анаболиков, не обоснованный
научно. Эти методы использования передавались изустно от одной группы
спортсменов к другой. Даже сейчас использование многих видов стероидов в
больших дозах никогда не было проверено научными исследованиями. Атлеты,
пользующиеся анаболическими стероидами, не доверяли мнению науки относительно
использования стероидов в больших количествах. Когда это впервые было отмечено
как растущая проблема, некоторые ученые и официальные лица заявили, что нет
никакого подтверждения того, что стероиды вызывают прирост мышечной массы или
улучшения работоспособности, и что использование стероидов в больших
количествах вызывают огромные, чудовищные побочные эффекты у всех пользующихся
без исключения. Эти заявления никак не совпадали с общим мнением и опытом
большинства спортсменов, никто из не видел, чтобы их друзья-химики падали
замертво на каждом шагу. Таким образом научная информация попросту
дискредитировала себя среди спортсменов. С ростом репутации анаболиков, их
употребление распространялось и на другие виды спорта. Сейчас только две
олимпийские дисциплины считаются "чистыми": женский хоккей на траве и
фигурное катание. Употребление стероидов распространялось среди олимпийцев в
70-80-х годах. В 1983 девятнадцать атлетов были дисквалифицированы за
употребление стероидов. В 1970 опрос в пяти американских университетах показал,
что 15% студентов-спортсменов употребляли стероиды. К 1984 эта цифра возросла
до 20%. В 1975 употребление анаболиков в высших школах Аризоны составляло 0.7%.
В ноябре 1990 американским законодательством все анаболические стероиды были
отнесены к классу контролируемых опасных препаратов (CDS).
Используются ли анаболические стероиды в медицине легально?
Анаболические стероиды легально используются в медицине. Рак
яичек, например, часто требует удаления яичек у мужчин. После операции этим
людам прописывают анаболические стероиды орально для возмещения недостатка
тестостерона в организме. Это поддерживает их вторичные половые признаки.
Подросткам мужского пола с расстройствами гипофиза прописывают инъекции
анаболических стероидов когда они достигают возраста созревания. Анаболики
применяют от четырех до шести месяцев по определенной схеме, это имитирует
естественный скачок уровня тестостерона и поддерживает развитие вторичных половых
признаков. После некоторых хирургических операций или лечения рака пациенты
испытывают потерю мышечной массы. В этих случаях применяют анаболические
стероиды в сочетании с диетой и упражнениями, это восстанавливает мышечные
ткани. Анаболические стероиды в высоких дозах употребляют транссексуальные
женщины которые хотят быть похожими на мужчин. Но это не одобренное официально
использование стероидов. Анаболические стероиды используются как оральные
мужские контрацептивы. Однако плохая репутация анаболиков сильно ограничивает
это применение. Дозировки стероидов для медицинского употребления колеблются от
2,5 мг в день до 400 мг каждые четыре недели. Обычно применяется только один
вид анаболиков. Атлеты употребляют в 8-10 раз больше рекомендованой нормы каждого
препарата и часто комбинируют несколько разных анаболиков. В типичных схемах
приема атлет принимает от 20 до 2000 мг тесттостерона (в эквиваленте) в день.
Более подробная информация о схемах приема находится в разделе "Как
анаболики употребляются атлетами?" В большинстве случаев клинического
употребления дозы анаболических стероидов составляют лишь небольшую часть от
производимого организмом количества стероидов. Оптимальные дозы для разных
случаев определяются фирмой-производителем в экспериментальных условиях. Перед
тем, как испытать новый препарат на человеке-добровольце, проводятся длительные
испытания на животных чтобы выяснить, насколько препарат силен и как его
дозировать. Полная противоположность - самостоятельное использование стероидов.
Все инструкции по дозировке и схемам применения передаются понаслышке, без
какой бы то ни было проверки эффективности или соответствия медицинским
стандартам.
Как анаболики употребляются атлетами?
Атлеты принимают стероиды в больших количествах и часто комбинируют
несколько разных препаратов. Но большие дозы принимаются не постоянно.
Стероидная загрузка продолжается от 4 до 18 недель, затем прекращается на срок
от 1 до 12 месяцев. Это называется "цикл". Комбинации препаратов и
схемы циклов употребления очень сильно различаются в зависимости от препаратов
и особенностей употребляющего. Вся информация передается в основном изустно от
атлета к атлету. Дозы, в которых сейчас молодые атлеты употребляют стероиды,
как минимум на 36% больше чем дозы атлетов прошлых лет. Формальные научные
исследования здесь никто не проводит и никто сейчас толком не знает, как и в
каких количествах лучше применять стероиды. Анабольические стероиды в основном
приобретаются с рук. Это дает широкий ход многочисленным подделкам. Зачастую в
ход идут ветеринарные стероиды. Поскольку эти препараты разрабатывались для
животных, никто не исследовал их действие на человека, возможные дозы и
побочные эффекты. Так же, как и все препараты черного рынка, поддельные
анаболики изготавливаются в подпольных лабораториях. Выглядят они так же, как и
настоящие, но активные элементы в них могут быть иными или не той силы.
Например, метандростенолон был очень популярным анаболическим стероидом. После
того как официальные производители удалили его с рынка, он продолжает
продаваться нелегально. Три купленных навскидку препаратов с ярлыком
"метандростенолон" были проверены в лаборатории. Вместо стероида,
указанного на ярлыке, один содержал метилтестостерон, второй - кофеин, в
третьем активных ингредиентов вообще не было. А препараты для инъекций, кроме
того, могут быть еще и нестерильны. Как и с любым лекарством, чем выше доза,
тем более вероятность появления побочных эффектов. Это верно и для анаболиков.
Для нейтрализации этих эффектов применяют другие препараты - блокираторы
эстрогена для того, чтобы предотвратить развитие тканей груди (см. "Как
анаболики действуют на взрослых?"), диуретики (мочегонные средства) для
борьбы с накоплением воды в организме, гонадотропин, чтобы предотвратить
атрофию яичек, человеческий гормон роста для увеличения размеров мышц и общих
размеров тела. Каждый из этих препаратов вызывает собственные побочные эффекты.
В каком возрасте люди начинают пользоваться анаболическими
стероидами?
Две трети пользующихся начали в возрасте 16 лет и младше. Из
приблизительно одного миллиона американцев, пользующихся анаболиками, три
четверти посещают высшую школу. Те, кто не учится, составляет возрастную группу
около 25 лет. Это кстати - средний возраст атлетов в американских спортзалах.
Чем человек моложе, тем больше риск побочных эффектов от анаболических
стероидов. У детей женского пола, подвергшихся воздействию стероидов в
состоянии зародыша, развиваются наружные мужские гениталии, женские органы
репродукции при этом сохраняются. Параллельное развитие гениталий и замедленный
рост часто проявляются у детей, которые подверлисть действию стероидов. К
счастью, употребление анаболиков среди беременных женщин и детей моложе 12 лет
крайне мало. Как анаболические стероиды действуют на подростков? Анаболики
могут действовать на рост во время полового созревания. Длинные кости ног и рук
в этот период продолжают расти.
Происходит появление и усиление угревой сыпи. После отмены приема
анаболиков разрастание сыпи останавливается, но в большом количестве могут
остаться шрамы. В одном зарегистрированном случае сыпь была интенсивной
настолько, что человек в конце концов угодил в больницу. Лекарства, которые
назначают для лечения сыпи, тетрациклин и изотретиноин, даже в нормальных дозах
могут быть токсичными для употребляющего анаболики. Когда ферменты печени
заняты нейтрализацией анаболиков, они не могут в нормальном режиме работать с
этими препаратами, и последние накапливаются в организме, вызывая всякие
токсические эффекты.
У употребляющих анаболики наблюдается облысение, как у мужчин, так
и у женщин. Некоторые медицинские авторитеты утверждают, что после прекращения
приема рост волос возобновляется. Другие источники говорят, что этот процесс
необратимый. Как анаболические стероиды действуют на взрослых? У мужчин избыток
анаболических стероидов преобтазуется в женские половые гормоны. Это приводит к
развитию тканей груди у мужчин, гинекомастии. Хотя этот эффект наблюдается не
во всех случаях употребления стероидов, он считается необратимым. Тестостерон
производится яичками в количествах от 4 до 10 мг в день. Когда мужчина
принимает анаболические стероиды, организм отслеживает избыток стероидов и дает
сигнал яичкам на прекращение их выработки. При прекращении выработки
тестостерона яички также прекращают выработку живой спремы. Длительное употребление
анаболических стероидов ведет к стерильности и уменьшению размеров яичек. У
взрослых мужчин яички начинают функционировать снова через полгода после отмены
приема стероидов. Неизвестно, по другому ли анаболические стероиды действуют на
функции яичек у подростков мужского пола.
ПИЩЕВАРИТЕЛЬНЫЙ ТРАКТ
Как анаболики действуют на желудок?
В медицинской литературе нет сведений о том, как анаболические
стероиды взаимодействуют с пищеварительной системой. Однако известно, что в
больших дозах анаболики действуют на организм так же, как и другие вещества
этого класса. Некоторые клинические случаи (язва, например) требуют, чтобы
пациент принимал большие дозы кортикостероидов, иногда это может продолжаться
годами. Отдельные случаи лечатся хирургическим путем и прием кортикостероидов
не нужен. У трети таких пациентов прекращение приема кортикостероидов вызывает
временное нарушение функций кишечника, сопровождающееся болями в желудке,
тошнотой и рвотой. Сводетельства того, что прекращение приема анаболических
стероидов приводит к таким же результатам, нет. Однако, если пользующийся
стероидами атлет испытывает подобные расстройства, еме обязательно нужно
обратиться к врачу.
КОЖА
Как анаболические стероиды действуют на кожу?
Стероиды вызываю появление угревой сыпи. Анаболические стероиды
стимулируют выработку жиров кожи, медицинское название "себум"
("sebum"). Эти жиры представляют собой прекрасную питательную среду
для ряда бактерий. Если в этих условиях развивается какая-то инфекция, следует
защитная реакция организма. Конечным результатом обычно являются многочисленные
мелкие шрамы, остающиеся от угрей. У 21-летнего атлета, пользующегося
стероидами, развилась угревая сыпь после 4 недель приема анаболиков. На фоне
сыпи развилась инфекция от нескольких видов бактерий, которая вызвала такую
реакцию иммунной системы, что человек оказался в больнице и провел там
несколько недель. Лекарства от угревой сыпи (тетрациклин и изотретиноин) могут
быть токсичными даже в нормальных дозах для человека, пользующегося стероидами.
Если ферменты печени заняты переработкой анаболиков, они не способны
деактивировать в нормальной степени лекарства, принимаемые от угревой сыпи.
Последние из-за этого накапливаются в организме и вызывают токсические эффекты.
У употребляющих анаболики наблюдается облысение, как у мужчин, так и у женщин.
Некоторые медицинские авторитеты утверждают, что после прекращения приема рост
волос возобновляется. Другие источники говорят, что этот процесс необратимый.
ПЕЧЕНЬ
Действительно ли анаболические стероиды вызывают повреждения
печени?
Да, в зависимости от типа анаболического стероида, количества и
продолжительности приема. Если печень перегружена или повреждена, в кровь
выбрасываются повышенные количества некоторых химикатов (SGOT, SGPT, и других).
Эти химикаты являются индикатором, по которому оценивается состояние печени в
некоторых медицинских тестах. Так вот у употребляющих анаболики атлетов уровень
этих веществ в крови в два раза выше нормы. После окончания приема анаболиков
выделение этих веществ прекращается и уровень их в крови приходит в норму.
Самовосстанавливается ли поврежденная ткань, неизвестно. Таким образом,
повреждение может оставаться даже если уровень SGOT и SGPT пришел в норму.
Печени вывести в обмен веществ оральные стероиды труднее, чем инъекционные.
Клетки печени повреждаются при попытках расщепить оральные препараты.
Внутренняя структура печени при продолжительном употреблении препаратов
меняется, способность печени очищать организм от шлаков падает. Как вариант
следствия отравления печени стероидами, в ней могут образовываться полости,
заполненные кровью. Медицинское название этого явления "peliosis
hepatitis", явление довольно редкое, но вполне может быть связано с
высокими дозами и длительным употреблением стероидов. Инъекционные стероиды не
представляют для печени непосредственной угрозы, как оральные. Однако, инъекции
могут открыть путь многим бактериям и вирусам через защитный барьер кожи прямо
в кровоток. Инфекционный гепатит, например, передается через грязные иглы.
(Кстати: через иглы передаются любые инфекционные заболевания, включая
венерические и СПИД). Анаболические стероиды могут вызывать образование
опухолей: некоторые клетки печени разрастаются в узелки, напоминающие опухоли.
Часто после прекращения приема стероидов узелки рассасываются сами по себе.
Однако, как минимум три человека умирают от различных опухолей, вызванных
премом стероидов. Химический процесс, называемый ароматизацией, преобразовывает
анаболические стероиды в женские половые гормоны, называемы эстрогенами. Печень
деактивирует эти эстрогены, но при употреблении алкоголя этот процесс
замедляется и эстрогены вызывают рост тканей груди у мужчин. Это называется
гинекомастия. Некоторые исследователи считают, что гинекомастия может считаться
показателем повреждения печени.
ПОЧКИ
Вызывают ли анаболики расстройства почек?
Токсический эффект от анаболических стероидов на почки не
известен. Однако, некоторые исследования показывают, что при длительном
употреблении анаболических стероидов их количество, выводимое с мочой, падает.
В то же время, вывод кортикостероидов не нарушается. Неизвестно, почему
происходит падение выделения анаболических стероидов. Неизвестно, выделяется ли
с калом то, что не выделилось с мочой.
НЕРВНАЯ СИСТЕМА
Как стероиды действуют на ткани мозга?
Стероиды не проявляют никакого воздействия на ткани мозга в
отличие от, например, алкоголя. Есть некоторые свидетельства того, что
анаболические стероиды вызывают смену настроения в широком диапазоне - от
эйфории до депрессии, тагу к насилию, чувство вины. Эта тема рассматривается в
разделе "Действие стероидов на мозг"
ИММУННАЯ СИСТЕМА
Как анаболические стероиды действуют на иммунную систему?
Высокие дозы анаболиков вызывают понижение уровня в крови иммунных
глобулинов A, G и M. Эти протеины, известные под медицинскими названиями IgA,
IgG и IgM являются частью иммунной системы организма. Эти антитела циркулируют
вместе с потоком крови и атакуют бактерии. Чем их меньше, тем выше у человека
риск развития серьезных инфекций. Инъекции стероидов также могут быть причиной
различных заболеваний. Использование шприцов без строгого санитарного контроля
и стерилизации может вызвать развитие гепатита, смертельного заболевания.
Совместное пользование шприцами может вызвать СПИД и другие заболевания.
Документально зафиксировано два случая передачи СПИДа через шприцы в
спортзалах. С другой стороны, анаболические стероиды усиливают активность
естественных клеток-убийц. Это - другая система борьбы организма с инфекциями,
специальные белые клетки крови, которые атакуют определенные вирусы и бактерии
и помогают предотвратить образование опухолей. Увеличенная активность
клеток-убийц может быть полезна для организма. Однако, излишне активные
клетки-убийцы могут также атаковать собственные ткани тела, вызывая так
называемы "автоиммунные" заболевания.
КРОВЕНОСНАЯ СИСТЕМА
Как анаболические стероиды действуют на сердце?
В опытах на животных и на человеке, прем анаболических стероидов
показал увеличение размеров сердца. Сердечная мышца изменяется точно так же,
как и при хронических пороках сердца. Поэтому среди молодых атлетов-химиков
часто случаются так называемые внезапные смерти. В одном зарегистрированном
случае молодой человек прямо на тренировке потерял сознание и умер. Вскрытие
показало, что сердечная мышца сильно увеличена в размерах и имеет большое
количество участков омертвевшей ткани. По мнению авторитетов от медицины,
употребление анаболиков привело к тому, что ткани сердечной мышцы разрастались
быстрее, чем необходимые кровеносные сосуды. Из-за этого часть тканей сердца
обеспечивалась кровью плохо, новые клетки отмирали, это вызвало сердечный
приступ. Как анаболические стероиды действуют на кровеносные сосуды?
Злоупотребление стероидами вызывает отвердение артерий уже в молодости: высокие
дозы анаболиков понижают уровень эластина в крови и повышают коллаген в стенках
кровеносных сосудов. Артерии от этого твердеют. По еще не изученным причинам,
орагнизм реагирует на свой собственный тестостерон иначе, чем на тот, который
поступает извне. Например, тестостерон тела понижает уровень холестерина в
крови, в то время как анаболические стероиды холестерол повышают. Принимаемые
анаболические стероиды понижают уровень HDL (high-density lipoprotein -
липопротеид высокой плотности (ЛВП) ) и повышают уровень LDL (low density
lipoprotein - липопротеид низкой плотности (ЛНП) ) и триглицеридов в крови. Все
это повышает количество холестерина в крови. Когда прекращается прием
стероидов, ситуация постепенно приходит в норму. Однако при длительном приеме
стероидов все равно происходит отвердение стенок сосудов и увеличивается риск
сердечного приступа. Как анаболические стероиды действуют на кровеносные
сосуды? Анаболические стероиды могут вызывать разрастание количества
склеротических бляшек в крови. В течение дня организм переносит стрессы и
различные мелкие повреждения. А атлетические тренировки вызывают еще большие
повреждения. Такой стресс вызывает множество мелких утечек в кровеносной
системе. Обычно никаких видимых следов этого нет, хотя существенная утечка
может выглядеть как синяк. Бляшки по идее призваны такие утечки ликвидировать,
чтобы кровеносная система продолжала нормально функционировать. Злоупотребление
стероидами связано с повреждениями соединительных тканей. Стероиды, кроме того,
позволяют более легко бляшкам слипаться. Это явление называется "гиперсобирание"
("hyperaggregability") и может привести к образованию тромбов, к
сердечным приступам и даже к смерти.
СЕКС
Как анаболические стероиды влияют на мужские половые
характеристики?
Высокие дозы анаболических стероидов могут вызвать временное бесплодие,
атрофию яичек и развитие женских половых признаков у мужчин. Зарегистрирован
один случай рака простаты связанный с употреболением стероидов. Вероятность
таких явлений связана с тем, в каких количествах и как долго употреблялись
стероиды. В нормальном мужском организме яички выделяют тестостерон и
вырабатывают сперму. Гипофиз отслеживает количество тестостерона в крови
человека. Если уровень слишком низок, гипофиз выделяет гормоны FSH
("Follicle Stimulating Hormone") и LH ("Luteinizing
Hormone") чтобы заставить яички вырабатывать больше тестостерона. Если
тестостерона слишком много, гипофиз понижает уровень FSH и LH и тестостерон
тоже понижается. Таким образом организм контролирует количество тестостерона,
необходимое для производства спрмы и поддержания мужских половых признаков.
Когда мужчина принимает стероиды, гипофиз отмечает неожиданное повышение уровня
стероидов и дает химический сигнал на прекращение выработки яичками
тестостерона. Чем дольше человек принимает стероиды, теь дольше яички бездействуют.
Клетки спермы начинают принимать неправильную форму и их количество падает.
Если прием стероидов происходит достаточно долго, человек может стать
бесплодным. Яички мужчин, принимающих стероиды годами, уменьшаются в размерах.
Если взрослый мужчина после этого перестает принимать стероиды, функции яичек
возвращаются в норму. Однако может понадобиться от четырех месяцев до года
чтобы начала вырабатываться нормальная сперма и восстановилась способность к
оплодотворению. В двух зарегистрированных случаях возможно именно длительное
употребление анаболических стероидов вызвало постоянную стерильность и потерю
либидо. Однако необходимы еще исследования, чтобы определить, стероиды это
вызвали или у каждого из этих двоих была дисфункция гипофиза.
Когда в организме присутствует такое большое количество стероидов,
часть их преобразовывается в женские половые гормоны. В некоторых случаях это
вызывает разрастание тканей груди, называемое гинекомастией. Такое разрастание
- необратимый побочный эффект применения анаболиков и может накапливаться от
цикла к циклу. Употребление алкоголя во время приема стероидов повышает
вероятность гинекомастии. Обычно печень быстро деактивирует большую часть
женских гормонов до того, как они начнут работать. Алкоголь не дает печени нормально
функционировать и способствует таким образом гинекомастии. Как анаболические
стероиды влияют на женские половые характеристики? Стероиды вызывают
специфические побочные эффекты у женщин. Высокие дозы анаболиков ведут к
уменьшению размеров груди, вызывают рост волос на лице и груди, нарушают
менструальные циклы. Продолжительное употребление ведет к необратимому
огрублению голоса и увеличению клитора. В некоторых случаях наблюдается
повышение половой активности. Наблюдается также выпадение волос на голове, но
неясно, связано ли это со стероидами, поскольку после прекращения употребления
рост волос возобновляется. Принимая стероиды, женщины могут нормально
воспринимать такие эффекты из-за изменений менталитета, вызванного стероидами.
ЭНДОКРИННАЯ СИСТЕМА
Что такое эндокринная система?
Эндокринная система это набор органов, котоый занимается
выделением в кровоток различных гормонов. С кровью гормоны разносятся по всему
телу и контролируют различные функции организма. В эндокринную систему, входят
в частности, яички, яичники, гипофиз, щитовидная железа, поджелудочная железа,
надпочечная железа. Гормоны, выделяемые некоторыми эндокринными железами,
управляют работой некоторых других эндокринных желез. Например, гипофиз
выделяет гормоны FSH и LH. У мужчин эти гормоны заставляют яички вырабатывать
другой гормон, тестостерон. Гипофиз следит за количеством тестостерона,
выделяемого яичками. Если уровень тестостерона слишком высок, гипофиз выделяет
меньше FSH и LH и дает таким образом команду яичкам на прекращение выработки
тестостерона. Это хороший пример того, как организм использует механизм
обратной связи для контроля над жизненными функциями. Как анаболики действуют
на эндокринную систему? Анаболические стероиды имитируют естественный
тестостерон, что заставляет гипофиз прекратить выделение FSH и LH, что приводит
к временной бесплодности у мужчин и сбою в графике менструаций у женщин.
Стероиды заставляют щитовидную железу, которая регулирует общий уровень
метаболизма, прекратить выделение гормона TSH. Несмотря на это, щитовидная
железа и ее функции остаются в норме. Опыты с крысами, склонными к диабету,
показали, что анаболики ускоряют развитие этого заболевания. У людей стероиды
обуславливают повышенное сопротивление инсулину и изменение в чувствительности
к глюкозе. Это похоже на симптомы диабета, хотя случаев этого заболевания,
связанных с употреблением анаболиков, не зарегистрировано.
ОБЩИЙ РОСТ ТЕЛА
Как работают анаболические стероиды?
Нормальный мужчина вырабатывает в 20 раз больше тестостерона, чем
нормальная женщина. Это избыточный уровень отвечает за более сильное развитие
мускулатуры у мужчин, а также за развитие других половых признаков, таких как
волосы на лице и более низкий голос. Тестостерон работает над этим, когда
всасывается из кровотока определенными клетками. Молекулы тестостерона сами
располагаются в нужных местах внутри клеток, называемых рецепторами, так же,
как ключ входит в соответствующий замок. Когда рецептор занят нужным типом
молекулы, он дает команду клетке выполнять специфические функции.
Например, в клетках мышц тестостерон поддерживает выработку
протеина. Внутри каждой клетки существует строго определенное количество
рецепторов. Если лишь несколлько из них заняты нужной молекулой, клетка
реагирует слабо. Если заполнены все, клетка реагирует на максимальном уровне.
Нормальный мужчина выделяет достаточно тестостерона в кровь для заполнения
большинства рецепторов. Однако, если он принимает огромные дозы анаболиков, как
это делают лифтеры, клетки не будут делать больше, чем они бы делали от более
низкой дозы, потому что рецепторы уже полностью забиты и сверх положенного
количества молекул тестостерона воспринимать не будут.
Излишки тестостерона только сделают побочные эффекты более
вероятными. Действительно ли стероиды вызывают рост тела и мышц? Нет никаких
доказательств, что сверхбольшие дозы стероидов сами по себе будут вызывать рост
мышц, только за счет химических реакций. У многих животных высокие дозы
анаболиков стимулируют не больший рост мышц, чем это делают нормальные дозы.
Однако есть доказательства, что стероиды улучшают прирост мышечной массы если
принимающий регулярно выполняет физические упражнения и соблюдает
высокобелковую диету. Анаболические стероиды в своей работе балансируют между
анаболическими и катаболическими процессами в организме. Анаболизм - это
созидательный процесс, при котором более простые субстанции превращаются в
более сложные, кости и мышечные ткани. Катаболизм - это соответствующий
разрушительный процесс, который разрушает эти сложные ткани и выводит их из
организма.
Нормально функционирующий организм пытается балансировать между
этими двумя процессами, выполняя постоянное обновление и замену тканей. Баланс
можно оценить по балансу азота в организме Из словаря Stedman's Medical
Dictionary: [Азотистый баланс - это] разница между общим количеством азота,
организмом употребленным и количеством азота, организмом выделенным. У
взрослого, уже не растущего организма, этот баланс должен быть около нуля или
немного выше. Анаболические стероиды уменьшают катаболический эффект,
увеличивая выработку протеина в мышцах. Считается, что они (АС) проникают
внутрь клетки и занимают свободные андрогенные рецепторы. Вновь образованный
комплекс стероид-рецептор продвигается к ядру, взимодействует с РНК и вызывает
копирование (? transcription).
Выработка РНК увеличивается, вызывая усиление синтеза протеина. В
конечном счете, все это ведет к увеличению силы и размеров мышцы. Чтобы атлет
накапливал мышечную массу, его организм должен поддерживать положительный
азотный баланс, то есть в организм должно поступать больше азота, чем
выделяться. Во время силовых тренировок выделение глюкокортикостероидов вводит
организм в негативный азотный баланс. После занятий организм временно
оказывается в позитивном балансе, во время которого к мышечным тканям
добавляются новые белковые структуры. Затем азотный баланс сходит к нулю. Без
использования анаболических стероидов мышечная масса накапливается очень
медленно. Анаболические стероиды нейтрализуют катаболический эффект, это
приводит к положительному азотному балансу и более быстрым приростам мышечной
массы. Однако, поддерживание позитивного азотного баланса продолжается недолго,
1-2 месяца, даже если постоянно увеличивать дозу стероидов. Организм старается
поддерживать гомеостазис и происходит быстрое привыкание (tachyphylaxis) к
стероидам. Пример гомеостатического механизма - подъем кортизола в крови при
употреблении стероидов.Это может противодействовать анаболическому эффекту и
поддерживать катаболический. Чтобы поддерживать положительный азотистый баланс,
атлет увеличивает и увеличивает дозы анаболиков, а это повышает опасность
побочных эффектов. Есть некоторые доказательства того, что анаболические
стероиды заставляют работать атлета на тренировках все более и более усиленно.
Этот психологический эффект может быть более важен, чем любое непосредственное
химическое воздействие. Более частые и более жесткие тренировки могут быть
причиной учащения случаев повреждений соединительных тканей, связанных с
употреблением стероидов.
АНАБОЛИЧЕСКИЕ СТЕРОИДЫ И ЛИЧНОСТЬ
Поведение при злоупотреблении анаболическими стероидами.
Анаболические стероиды обладают как физиологическими, так и
психологическими эффектами. Злоупотребляющий стероидами более склонен к скачкам
настроения от эйфории до насилия и суицидальным настроениям чем его сверстники.
Эти эффекты чаще всего прекращаются после отмены приема стероидов, но
неизвестно, остаются ли какие-то постоянные изменения психики, поскольку
углубленных исследований в этом направлении не производилось. Некоторые
исследователи считают что ощущения эйфории, агрессивности и уменьшенной
усталости, вызываемые приемом стероидов, заставляют пользующихся стероидами
тренироваться чаще и жестче, чем их нестероидные коллеги. Считается, что именно
это - основная причина набора мышечной массы у пользующихся стероидами. Большие
дозы стероидов могут изменить самоощущение человека и вызвать изменения в
поведении. Лифтеры-"химики", которых подвергали стандартным
психологическим тестам, проявили антисоциальные наклонности, похожие на те,
которые проявляют алкоголики. По некоторым материалам все испытуемые, кроме
одного, испытывали "частые случаи вспышек раздражения, желания спорить,
кричать на кого-либо, бросаться предметами, настоятельную потребность побить,
покалечить, в общем причинить кому-либо вред..." Изменения личности,
связанные с злоупотреблением анаболическими стероидами, ведут в конечном счете
к насилию и желаниюкого-либо убить. В одном из отчетов упоминается случай,
когда лифтер-химик похитил и впоследствии убил "голосовавшего" у
обочины пешехода. Другой пользующийся стероидами атлет похитил из магазина
женщину-продавца и застрелил ее, когда она пыталась сбежать.
В третьем случае, "химик" со своим приятелем пытались
приладить самодельное взрывное устройство под машину любовника его бывшей жены.
К счастью, бомба, взорвавшись, никому не повредила. Еще в одном случае
"химик" проник со взломом в три дома и поджег их, общий ущерб
составил $141,000. В каждом из этих случаев не было предварительных проявлений
насилия. Личность каждого вернулась к норме, когда прием стероидов был
прекращен. Есть ли доказательства, что стероиды действуют на разум? В качестве
эксперимента анаболики использовались как антидепрессанты. Они вызывают
изменения в электроэнцефалограммы, похожие на те, которые вызывают амфетамин и
трициклические антидепрессанты. Исследователи не пришли к общему мнению по
поводу того, что тестостерон может занимать опиоидные рецепторы в мозгу.
Однако, с повышением уровня тестостерона связывают с повышением агрессии как у
людей, тка и у животных.
ПРИВЫКАНИЕ
Являются ли стероиды пагубной привычкой?
Термин "пагубная привычка" определен (д-р David Smith,
клиника Haight-Ashbury, Сан-Франциско) как: вынужденное использование с потерей
контроля, продолжающееся даже несмотря на негативные последствия. Если
использование препарата, включая стероиды, подходит под это определение, значит
использующий этот препарат приобрел вредную привычку. Описаны примерные
характеристики привыкания к стероидам: 1) Гормон употребляется более длительный
период, чем необходимо. 2) Попытки бросить употребление заканчиваются неудачей.
3) Основное времяпровождение - поиски, использование гормонов или
восстановление после их использования. 4) Пользование продолжается несмотря на
незнание физиологических проблем, связанных с гормонами. 5) Наличие типичных
симптомов отмены препаратов. 6) Употребление гормонов для преодоления этих
симптомов. Люди, которые зависят от анаболических стероидов часто начинают
пользоваться ими в возрасте менее 16 лет. Они проходят большее количество циклов
за большее количество времени и используют различные виды стероидов
одновременно. Они видят, что их сверстники пользуются анаболиками и считают,
что слабее их или габариты тела у них меньше. С другой стороны, нет никаких
отчетов от стероидной зависимости, вызванной клиническим использованием
стероидов. В физиологических исследованиях восьми лифтеров все восемь
испытывают как минимум два из симптомов зависимости от стероидов. Что
происходит после отмены приема стероидов? Атлеты, злоупотребляющие стероидами,
часто принимают их циклами: препараты принимаются в очень высоких дозах в
течение недель или месяцев, затем прием прекращается.
Прекращение приема стероидов вызывает ряд физических и
психологических эффектов: "депрессия, утомление, пониженное либидо, бессонница,
потеря аппетита, неудовлетворение самим собой и (из-за этого) постоянная
потребность в очередной дозе стероидов". Некоторые исследователи считают,
что существуют две фазы отмены приема стероидов, но эта концепция принимается
не всеми. Фаза "Раз" происходит в течение первой недели после отмены
и включает гриппоподобные симптомы (боли в суставах, насморк, повышенная
температура). Фаза "Два" начинается на вторую неделю и может длиться
до нескольких месяцев, симптомы - депрессия и потребность в стероидах. Отражает
ли адекватно эта модель все симптомы отмены курса или нет, но после отмены
приема стероидов действительно возникают суицидальные депрессии. Если возможно,
отмена приема должна происходить под наблюдением специалистов-врачей.
3. Норболетон - один из таинственных анаболических стеродов
Норболетон- один из таинственных анаболических стеродов, который
впервые начал производится на фармакологическом предприятии Виета в середине
1960-ых. Это орально активная производная нандролона, с высоким отношением
анаболического эффекта к андрогенному. Было рассмотрено его применение у детей,
но препарат так и не пошел в официальную медицину. На долгие над стероидом
повисла завеса неизвестности, и только в недавнее время стало известно,что
спортсмены применяли его во время соревнований с допинг-контролем. Поскольку
норболетон никогда не продавался как аптечный стероид, на допинг-контроле не
было теста выявляющего его применение, и поэтому его применение оставалось
незамеченным, конечно же при условии соблюдения анонимности приема данного
препарата.
По анаболическим свойствам норболетон находится в семействе
нандролоновых. И все же мы не имеем никаких практических исследований,
позволяющих думать, что этот препарат, ароматизируется подобному своему
родительскому нандролону. Уровень эстрадиола (или в данном случае
17альфа-этилэстрадиола) может увеличиваться, но побочный эффект ароматизации
несоизмеримо ниже чем у тестостеронов. Также у норболетона имеется умеренная
прогестагенная активность, что делает его не самым идеальным стероидом для
набора качественной массы. Он вызывает задержку воды, которая может
сопровождаться накоплением жира.
Клинические тесты показали, что доза норболетона, для того чтобы
быть эффективным как анаболический стероид должна быть приблизительно 7.5мг
ежедневно, хотя для целей бодибилдинга, я бы рекомендовал дозу в 10-15мг.
Женщинам-бодибилдерам надо начинать с меньшей дозы, около 2.5-5мг в день, чтоб
избежать эффекта вирилизации. Даже при том, что норболетон - больше
анаболический стероид, чем андрогенный, женщины должны все же быть осторожными
с его использованием. Все стероиды могут вызывать вирилизацию, и порог этой
дозы может быть намного ниже, чем вы думаете первоначально. Норболетон также
имеет банальные побочные эффекты андрогенных стероидов. Жирная кожа и прыщи
будут появляться в некоторой степени, но в при соблюдении дозы, эти побочные
эффекты будут менее заметны чем при применении метандиенона. Хотя соотношение20:
1 анаболического действия к андрогенному, чрезмерно оптимистично, мы все-таки
можем ожидать довольно благоприятный баланс анаболических и андрогенных
эффектов, который основывается на том, что этот стероид основан на структуре
нандролона.
Его соотношение анаболического эффекта к андрогенному находится в
том же районе, что и более умеренные анаболики, такие как винстрол, оксандролон
или примаболан, но все же он более благоприятен для использования, чем
дека-дураболин. Поскольку норболетон с17-альфа алкилирован он представляет
некоторую токсичность для печени, также как и большинство алкилированных
оральных стероидов. Поэтому нужно следить за функционированием печени, в
течении курса регулярно делать анализы крови. Как было сказано в начале, этот
стероид уже не является неуловимым на допинг-контроле. Теперь он также, как и
все остальные ловится на метаболитах в моче. В 2002 году доктор аналитических
лабораторий Дон Катлин разработал способ обнаруживать его метаболиты.
Хотя все еще нет аптечного стероида с этим действующем веществом,
я думаю, рано или поздно такие препараты появятся на бесперерывно расширяющемся
рынке стероидов.
4. Строение некоторых стероидов
|
Название
|
Строение
|
|
Андростерон
|
|
|
Тестостерон
|
|
|
Эстрон
|
|
|
Эстрадиол
|
|
|
Этинилэстрадиол
|
|
|
Кортизон
|
|
|
Холестерин (холестерол)
|
|
|
|
|