Графический метод решения химических задач

  • Вид работы:
    Учебное пособие
  • Предмет:
    Химия
  • Язык:
    Русский
    ,
    Формат файла:
    MS Word
    638,67 kb
  • Опубликовано:
    2010-07-29
Вы можете узнать стоимость помощи в написании студенческой работы.
Помощь в написании работы, которую точно примут!

Графический метод решения химических задач

ВВЕДЕНИЕ

Решение расчетных задач – важнейшая составная часть школьного предмета «химия», так как это один из приёмов обучения, посредством которого обеспечивается более глубокое и полное усвоение учебного материала по химии и вырабатывается умение самостоятельного применения полученных знаний.

Чтобы научиться химии, систематическое изучение известных истин химической науки должно сочетаться с самостоятельным поиском решения сначала малых, а затем и больших проблем.

1. Математические способы решения расчетных задач по химии

Как бы ни были интересны теоретические разделы учебника и качественные опыты практикума, они недостаточны без численного подтверждения выводов теории и результатов эксперимента: ведь химия – количественная наука. Включение задач в учебный процесс позволяет реализовать следующие дидактические принципы обучения: 1) обеспечение самостоятельности и активности учащихся; 2) достижение прочности знаний и умений; 3) осуществление связи обучения с жизнью; 4) реализация предпрофильного и профильного политехнического обучения.

Решение задач является одним из звеньев в прочном усвоении учебного материала, так как формирование теорий и законов, запоминание правил и формул, составление уравнений реакций происходит в действии.

В решении химических задач целесообразно использовать алгебраические приёмы. В этом случае исследование и анализ ряда задач сводятся к преобразованиям формул и подставлению известных величин в конечную формулу или алгебраическое уравнение. Задачи по химии похожи на задачи по математике, и некоторые количественные задачи по химии (особенно на «смеси») удобнее решать через систему уравнений с двумя неизвестными.

Рассмотрим несколько таких задач

Задача 1.

Смесь карбонатов калия и натрия массой 7 г обработали серной кислотой, взятой в избытке. При этом выделившийся газ занял объем 1,344 л (н.у.). Определить массовые доли карбонатов в исходной смеси.

Решение .

Составляем уравнений реакций:

 xг

Na2CO3 + H2SO4 = Na2SO4 + CO2^ + H2O

1моль

1моль

106г

22,4л

(7-х)г

(1,344-у)л

K2CO3 + H2SO4 = K2SO4 + CO2^ + H2O

1моль

1моль

138г

22,4л


Обозначим через хг массу карбоната натрия в смеси, а массу карбоната калия – через (7-х)г. Объём газа, выделившегося при взаимодействии карбоната натрия с кислотой, обозначаем через у л, а объём газа, выделившегося при взаимодействии карбоната калия с кислотой, обозначаем через (1,344-у)л.

Над уравнениями реакций записываем введенные обозначения, под уравнениями реакций записываем данные, полученные по уравнениям реакций, и составляем систему уравнений с двумя неизвестными:

 

х/106 = у/22,4 (1)

(7-х)/138=(1,344-у) (2)

Из первого уравнения выражаем у через х:

 

у = 22,4х/106 (3)

(1,344-22,4х/106)•138=22,4•(7-х). (4)

Решаем уравнение (4) относительно х.

 

185,472-29,16х=156,8-22,4х

6,76х=28,672

х=4,24

Следовательно, масса карбоната натрия равна 4,24 г.

Массу карбоната калия находим вычитанием из общей массы смеси карбонатов массы карбоната натрия:

 

7г-4,24г=2,76г.

Массовые доли карбонатов находим по формуле:

 

w=(mком-та/mобщая)•100%

w(Na2CO3)=(4.24/7)•100%=60.57%

w(K2CO3)=(2.76/7)•100%=39.43%.

Ответ: массовая доля карбоната натрия равна 60,57%, массовая доля карбоната калия равна 39,43%.

Задача 2.

Смесь карбонатов калия и натрия массой 10 г растворили в воде и добавили избыток соляной кислоты. Выделившийся газ пропустили через трубку с пероксидом натрия. Образовавшегося кислорода хватило, чтобы сжечь 1,9 л водорода (н.у.). Напишите уравнения реакций и рассчитайте состав смеси.

Решение.

Составляем уравнения реакций:

х г

y л

Na2CO3 + 2HCl = 2NaCl + H2O + СО2 (1)

1моль

1моль

106г

22,4л

(10-x)г

(1.9-y)л

K2CO3 + 2HCl = 2KCl + H2O + CO2^ (2)

1моль

1моль

138г

22,4л


х л

0,95л

2моль

1моль

44,8л

22,4л


1,9л

хл

2 + О2 = 2Н2О (4)

2моль

1 моль

44,8л

22,4л


Обозначим через х г массу карбоната натрия, а масса карбоната калия будет равна (10-х)г.

По уравнению (4) рассчитаем объем кислорода, образовавшегося в процессе реакции (3).

Для этого через х в уравнении обозначим объём кислорода и, исходя из объёма водорода, составим пропорцию и решим её относительно х:

 

1,9/44,8=х/22,4;

х=1,9•22,4/44,8;

х=0,95л (объём выделившегося кислорода).

Исходя из уравнения (3), рассчитаем объём углекислого газа, образовавшегося при обработке смеси карбонатов натрия и калия избытком соляной кислоты. Для этого составим пропорцию:

х/44,8=0,95/22,4;

х=0,95•44,8/22,4;

х=1,9л.

Через у л обозначим объём газа, выделившегося в процессе реакции (1), а через (1,9-у)лобъём газа, выделившегося в процессе реакции (2). Составим систему уравнений с двумя неизвестными:

х/106=у/22,4 (5)

(10-х)/138=(1,9-у)/22,4 (6)

Из уравнения (5) выражаем у через х и подставляем в уравнение (6):

 

у=22,4х/106

(10-х)/138=(1,9-22,4х/106)/22,44 (7).

Уравнение (7) решаем относительно х:

 

(1,9-22,4х/106)•138=22,4•(10-х);

262,2-29,16х=224-22,4х;

6,76х=38,2;

х=5,65г (масса карбоната натрия).

Масса карбоната калия находится как разность между массой смеси карбонатов натрия и калия и массой карбоната натрия:

 

10-5,65=4,35г (масса карбоната калия).

w(Na2CO3)=(5,65/10)•100%

w(Na2CO3)=56.5%

w(K2CO3)=(4.35/10)•100%

w(K2CO3)=43.5%/

Ответ: массовая доля карбоната натрия равна 56,5%, массовая доля карбоната калия равна 43,5%.

Задачи для самостоятельного решения

Задача 3

Смесь железа и цинка массой 12,1 г обработали избытком раствора серной кислоты. Для сжигания полученного водорода необходимо 2,24л кислорода (давление 135,6 кПа, температура – 364К). Найдите массовую долю железа в смеси.

Задача 4

Смесь метиловых эфиров уксусной кислоты и пропионовой кислоты массой 47,2г обработали 83,4мл раствора гидроксида натрия с массовой долей 40% (плотность 1,2г/мл). Определите массовые доли эфиров ( в %) в смеси, если известно, что гидроксид натрия, оставшийся после гидролиза эфиров, может поглотить максимально 8,96л оксида углерода (IV).

Эти задачи можно решать и другими способами, но этот способ решения задач по химии способствует развитию логического мышления, даёт возможность показать взаимосвязь математики и химии, формирует умение составлять и применять алгоритмы последовательности действий при решении, дисциплинирует и направляет деятельность на правильное использование физических величин и корректное проведение математических расчётов.

Задача 1. Рассчитайте массы растворённого вещества и растворителя, которые необходимо взять для приготовления 150 г 20%-ного раствора.

Решение задачи начинаем с построения системы координат. Конечно, удобнее использовать специальную миллиметровую бумагу, но и обычный тетрадный лист в клетку позволяет получить ответ с достаточной точностью. На оси х откладываем массу раствора 150 г, на оси у — 100% (рис. 1). Строя перпендикуляры из этих точек, находим точку их пересечения. Соединяем её прямой линией с точкой начала координат. Полученный отрезок является основой для решения задачи.


Затем на оси у находим точку, соответствующую 20%, восстанавливаем из неё перпендикуляр до пересечения с отрезком, а из точки пересечения опускаем перпендикуляр на ось х. Это ответ задачи. О т в е т: 30 г.

Задача 2. К 150 г 20%-ного раствора соли добавили 30 г соли. Определите массовую долю соли в полученном растворе.

Начало решения аналогично решению задачи 1: для исходного раствора находим массу растворённого вещества (30 г) (рис. 2). Затем строим новый отрезок для нового раствора, полученного в результате добавления соли к исходному. На оси х от точки, соответствующей массе исходного раствора, откладываем вправо 30 г (масса добавленной соли), это масса полученного раствора. Восстанавливаем из неё перпендикуляр до пересечения с прямой, проходящей через отметку 100% на оси у. Точку их пересечения соединяем с началом координат — получаем отрезок, соответствующий новому раствору


(показан пунктирной линией). На оси х от точки, показывающей массу соли в первом растворе, откладываем вправо 30 г (масса добавленной соли) и получаем массу соли во втором растворе. Восстанавливаем из неё перпендикуляр до пересечения с пунктирным отрезком, а из точки пересечения — перпендикуляр на ось у. Значение^ равно массовой доле соли во втором растворе. О т в е т: 33%.

Задача 3. Из 170 г 9%-ного раствора выпарили 50 г растворителя. Определите массовую долю соли в полученном растворе.

Построив отрезок, соответствующий начальному раствору, находим массу растворённого в нём вещества (рис. 3). Затем от массы первого раствора откладываем влево 50 г — получаем массу второго раствора. Восстанавливаем из этой точки перпендикуляр до пересечения с прямой, проходящей через точку 100%, точку пересечения соединяем с началом координат. Мы построили отрезок (обозначен пунктиром) для второго раствора. На него восстанавливаем перпендикуляр из точки, показывающей массу соли в исходном растворе, а из точки пересечения, в свою очередь, опускаем перпендикуляр на ось, где находим ответ задачи. Ответ: 13%.


Задача 4. Насыщенный при 70 °С раствор имеет массу 300 г и массовую долю растворённого вещества 30%. При его охлаждении до 20 °С выпал осадок массой 30 г. Определите массовую долю соли из полученном растворе.

Строим отрезок для начального раствора и находим для него на оси х точку, соответствующую массе растворённого вещества (рис. 4). Затем от массы первого раствора влево откладываем 30 г и находим массу нового раствора, восстанавливаем из этой точки перпендикуляр до пересечения с линией 100%, полученную точку соединяем с началом координат. Получили отрезок для второго раствора (обозначен пунктиром). От массы растворённого вещества в первом растворе на оси масс откладываем влево 30 г - получаем массу соли во втором растворе. Из соответствующей ей точки восстанавливаем перпендикуляр на пунктирный отрезок и из полученной точки пересечения — перпендикуляр на ось процентов, где и находим ответ задачи. Ответ: 22%.


Задача 5. Определите массовую долю вещества в растворе, полученном в результате сливания 120 г 16%-ного раствора с 60 г 20%-ного раствора.

Строим отрезок, соответствующий первому раствору, и находим массу растворённого в нём вещества (рис. 5). Из точки, обозначающей массу первого раствора, проводим вспомогательную ось у для построения отрезка (обозначен пунктиром), характеризующего второй раствор, и нахождения с его помощью массы растворённого в нём вещества. После проведения указанных операций на оси масс


имеются два отрезка, соответствующие массам исходных растворов. Так как начало второго отрезка совпадает с концом первого, то их общая длина соответствует массе третьего раствора. Соединив точку пересечения перпендикуляров, проходящих через точки 100% и 180 г (на графике она уже получена при построении отрезка для второго раствора), с началом основной системы координат, получаем отрезок для третьего раствора (обозначен серой линией ).

Кроме этого, на оси х отложены два отрезка, соответствующие массам растворённых в исходных растворах веществ. Переместим отрезок, равный массе растворённого во втором растворе вещества, из вспомогательной системы координат в основную, отложив его от конца отрезка, равного массе растворённого вещества в первом растворе. Полученный суммарный отрезок соответствует массе растворённого вещества в третьем растворе. Остаётся восстановить из его конечной точки перпендикуляр на отрезок, характеризующий третий раствор, а из полученной точки пересечения провести перпендикуляр на ось процентов. Найденная на ней точка даёт искомый ответ задачи. О т в е т: 17%.

Конечно, данный способ решения не может рассматриваться как замена алгебраического метода решения, но он позволяет разнообразить деятельность учащихся, сделать её более интересной. Каждый ученик может выбрать тот метод решения, который ему наиболее понятен, что повышает эффективность образовательного процесса.

2. Урок – практикум «Графический метод решения химических задач»

·   Развивать мышление учащихся.

·   Научить выбирать рациональный способ решения предложенной задачи.

Математика:

·   Ознакомить учащихся с основными приемами и методами рассуждений.

·   Сформировать умение применять знания по построению графиков линейной функции к решению химических задач.

Ход урока

Учитель химии

Сегодня на уроке мы рассмотрим решения химических задач графическим методом, для чего нужно будет применить знания по построению графиков линейной функции, а этот материал вам знаком из курса математики. Поэтому урок мы проведем вместе с учителем математики.

Задача 1. Вычислить массу сульфита натрия, необходимого для реакции с серной кислотой, чтобы получить 16 г оксида серы (IV).

Проанализируем условие задачи. Указаны три вещества, участвующих в химическом процессе: сульфит натрия взаимодействует с серной кислотой, при этом получается оксид серы.

Вспомним, что при взаимодействии соли с кислотой получается новая соль NaSO и сернистая кислота.

Эта кислота по прочности какая? — Непрочная и легко разлагается на воду и SO.

Учитель математики

В ходе решения задачи данным способом выполнили следующие последовательные действия:

· Установили пропорциональную зависимость между величинами.

· Составили пропорцию.

· Решили полученную пропорцию.

Учитель химии.

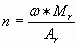
Второй способ — это использование величины “количества вещества” и её единицы “моль”.

Массу SO переводим в количество вещества, используя формулу

 =.


По уравнению реакции 1 моль NaSO образует 1 моль SO, значит для получения

0,25 моль SO потребуется 0,25 моль NaSO, тогда m(NaSO)==0,25·126=31,5 г

 

Учитель математики

Математической основой рассмотренных способов решения задач по уравнению реакции является пропорциональная зависимость между известными величинами и искомыми.

Зависимость одной переменной от другой называют функциональной зависимостью или функцией, значения которой можно изобразить графически. Построение графиков функций вам известно из курса алгебры.

В данной задаче зависимость переменной m(NaSO) от переменной m(SO) является функцией, т.к. каждому значению m(SO) соответствует единственное значение m(NaSO).

Зависимость между пропорциональными переменными выражается формулой y=kx линейной функции. Для нашего примера это m(NaSO)=k m(SO) .

Коэффициент пропорциональности – отношение величины молярной массы NaSO к величине молярной массы SO, т.е. k=126:64=1,97.

Для построения графика прямой пропорциональности составляем таблицу значений функции m(NaSO)=k m(SO) .

Любая прямая определяется двумя своими точками. В качестве одной из таких точек целесообразно брать начало координат, а вторая точки определяется по соответствующим величинам, найденным по формулу вещества.

m(SO)

0

64

m(NaSO)

0

126


Изобразим зависимость m(NaSO) от m(SO) графически.

Учитель химии

По уравнению реакции:

m(SO)= 1 моль·64 г/моль=64 г

m(NaSO)=1 моль·126 г/моль=126 г

4.jpg (13434 bytes)

 

Учитель математики

Для решения задачи (см. рис.) на оси абсцисс отмечаем точку, соответствующую числу 16, проводим прямую, параллельную оси ординат, до пересечения с графиком прямой пропорциональности. Из точки пересечения проводим перпендикуляр к оси ординат и получаем точку, которая указывает величину массы сульфита натрия, равную 31,5 г.

Для нахождения более точных значений графики рисуют или в более крупном масштабе, или на миллиметровой бумаге.

5.jpg (30558 bytes)

 

Учитель химии

Подобные графические способы химических расчетов широко используются на предприятиях химической промышленности при контроле технологического процесса и анализе готового продукта в химических лабораториях. При химическом анализе сырья и готового продукта используют графики функциональной зависимости для определенной химической реакции.

При решении задач на уроках химии графики практически не применяются из-за неимения дополнительного времени, хотя в 8 классе при изучении темы “Понятие растворимости” можно строить графики растворимости по данным проведенного эксперимента; применять кривые растворимости при нахождении массы растворенного вещества или массы растворителя и при решении других задач.

Графический способ решения задач оказывается более рациональным при решении задач на смеси, смешивание растворов и др.

Задача 2. При растворении в кислоте 2,33 г смеси железа и цинка было получено 896 мл водорода (при н.у.). Вычислите массу каждого из металлов, содержащихся в смеси.

Проанализируем условие задачи. В задаче говорится о взаимодействии смеси металлов с кислотой. Значит, одновременно идут две реакции: цинка с кислотой и железа с кислотой. При этом образуются соответствующие соли, и выделяется водород, суммарный объем которого 0,896 л.

 

Учитель математики

Решим данное уравнение умножив все его части на произведение 56·65:

65·22,4x + 56·22,4· (2,33-x) = 0,896·56·65

1456x + 2922,752 - 1254,4x = 3261,44

201,6x = 338,688

x = 1,68 г (Fe)

m(Zn) = 2,33 – 1,68 = 0,65 г

Ответ: m(Fe) = 1,68 г

m(Zn) = 0,65 г.

Для построения функциональной прямой нужно подсчитать объем водорода (H) , выделяемый из кислоты каждым металлом, взятым массой 2,33 г.

Для расчета целесообразно использовать формулу:

;

Отсюда

;

Так как , то . Тогда получаем — линейная функция, где зависит от .

Определяем объем водорода, вытесненный цинком: л.

Определяем объем водорода, вытесненный железом: л.

Учитель математики

Строим график прямой пропорциональной зависимости согласно таблице.

8.jpg (12551 bytes)

По оси абсцисс в начале координат точка 0 соответствует нулевому значению массы цинка и 2,33 г массы железа, а точка 2,33 соответствует нулевому значению массы железа и 2,33 г массы цинка. Соединив точки с координатами (0; 0,803) и (2,33; 0,932) получаем часть прямой, которая отражает зависимость выделившегося объема водорода от соотношения масс металлов в 2,33 г смеси.

Проведем горизонтальную прямую соответствующую значению выделенного водорода в задаче: 0,896 г и получим точку пересечения двух прямых с координатами (0,896; 0,65). Значит масса цинка 0,65 г, а масса железа 2,33 – 0,65 = 1,68 г.


Ответ: в смеси было 0,65 г Zn и 1,68 г Fe.

Учитель химии

Графический способ удобен и доступен для решения задач на вывод формул веществ.

Отношение индексов элементов в формуле можно найти графически.

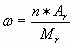
Зная, что массовая доля элемента в веществе определяется по формуле

линейная зависимость, можно найти значение

.

Отношение массовой доли элемента к его относительной атомной массе представляет собой прямую.

Задача 3. Наиболее распространенный в природе фтороапатит содержит 42,23% оксида фосфора, 50,03% оксида кальция и 7,74% фторида кальция. Напишите состав этого минерала в виде формул двух солей.


Формула минерала - ?

В одной системе координат построим три графика, выражающие соотношение между величинами относительных молекулярных масс и массовыми долями тех веществ, входящих в состав минерала.

; ; .


Пересечем все три функциональные прямые произвольной прямой линией, параллельной оси ординат. По отношению точек пересечения этой прямой и определяют индексы элементов в минерале.


Отношение точек пересечений этой прямой с функциональными прямыми:

10:30:90 () или 1:3:9 ().

 

Учитель химии

Ответ: формула минерала

или

Итоги урока:

Учитель химии

Мы сегодня рассмотрели решения различных задач графическим методом.

Учитель математики

Для этого применили знания по построению графиков линейной функции к решению химических задач.

Учитель химии

На этом уроке мы увидели, что химические задачи можно решить различными способами.

Учитель математики

Ваша задача – выбрать рациональный способ решения предложенной задачи.


Не нашли материал для своей работы?
Поможем написать уникальную работу
Без плагиата!
Без нейросетей!