Вибір джерел фінансування переозброєння, модернізації та розвитку виробництва

  • Вид работы:
    Контрольная работа
  • Предмет:
    Финансовый менеджмент, финансовая математика
  • Язык:
    Русский
    ,
    Формат файла:
    MS Word
    169,81 kb
  • Опубликовано:
    2011-02-06
Вы можете узнать стоимость помощи в написании студенческой работы.
Помощь в написании работы, которую точно примут!

Вибір джерел фінансування переозброєння, модернізації та розвитку виробництва

Міністерство освіти і науки України













Контрольна робота

з дисципліни: Гроші та кредит

на тему: “Вибір джерел фінансування переозброєння, модернізації та розвитку виробництва”







Київ

Мета роботи: проаналізувати альтернативні варіанти фінансування придбання підприємством необхідного виробничого обладнання i вибрати найбільш ефективний варіант фінансування технічної реконструкції виробництва підприємства.

Завдання: розрахувати i порівняти рух грошових потоків підприємств при різних варіантах придбання обладнання, вибрати оптимальну форму фінансування програми придбання для підприємства. Для порівняння варiантiв фінансування необхідно порахувати загальну чисту приведену вартість по кожному з них i вибрати той варіант, у якого загальна чиста приведена вартість буде менше.

Вихідні дані

№ п/п

Назва

Один. виміру

Розмір

1

Вартість обладнання

грн..

1 540 053,90

2

Група основних фондів

-

3

3

Прогнозна ціна продажу обладнання після 6 років експлуатації

грн..

50 435,00

4

Строк використання обладнання

річна

6

5

Річна норма амортизаційних відрахувань (вважаємо датою придбання обладнання період 01.01.2004 р.)

%

15

6

Розмір кредиту

грн..

1 540 053,90

7

Ставка кредиту (річна)

%

18

8

Вартість технічного обслуговування на рік у випадку придбання у власність устаткування за рахунок кредиту

грн..

46 200,00

9

Вартість технічного обслуговування на рік у випадку придбання в лізинг

грн..

38 500,00

10

Ставка лізингової маржі (річна)

%

13

І. Розрахунок загальної чистої приведеної вартості проекту купівлі обладнання за рахунок кредиту банку

Для розрахунку чистої приведеної вартості проекту обладнання за рахунок кредиту банку визначимо рух грошових потоків витрат підприємства за даними умовами.

При укладанні кредитного договору банком розраховуються і встановлюються по роках за допомогою спеціального розрахунку платежі по кредиту для позичальника з урахуванням виплат основного боргу і відсотків по ньому.

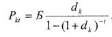
Розрахуємо середній розмір платежів по кредиту по роках кредитного договору за формулою:


де Pkt – платіж по кредиту в t-у році;

Б – сума основного боргу відповідно до кредитного договору;

dk – річна відсоткова ставка за користування кредитом;

t – строк користування кредитом.

Pkt = 440 317,01 грн.

Відсотки за користування кредитом розрахуємо на основі величини несплаченої частини основного боргу по кредиту за минулий (t-1)-ий розрахунковий період:


де Pkpt – розрахунковий річний відсоток за користування кредитом у поточному t-у році;

Pnt-1 – розрахункова сума залишку несплаченого основного боргу по кредиту за попередній (t-1)-й рік;

dk – річна відсоткова ставка за користування кредитом.

Розрахуємо неоплачену частину основного боргу:

Рнt = Рнt-1 – Рбt, де

Рнt, Рнt-1 – неоплачена частина основного боргу по кредиту за поточний і попередній розрахунковий періоди.

Рнt2 = 1 184 479,97 грн.

Рнt3 = 957 369,35 грн.

Рнt4 = 689 378,83 грн.

Рнt5 = 373 150,01 грн.

Рнt6 = 0,00 грн.

Розрахункова сума основного платежу боргу по кредиту являє собою платіж по кредиту, встановлений банком по роках кредитного договору, за мінусом відсотків за кредит і визначається як:

Рбt = Рkt – Рkpt,де

Рбt – основна сума боргу по кредиту, що підлягає сплаті позичальником банку в поточному розрахунковому t-у році;

Рkt – платіж по кредиту, встановлений банком на поточний t-й розрахунковий рік.

Розрахуємо відсотки за перший рік користування кредитом:

Рkpt1 = 277 209,70 грн.

Рkpt2 = 247 850,39 грн.

Рkpt3 = 213 206,39 грн.

Рkpt4 = 172 326,48 грн.

Рkpt5 = 124 088,19 грн.

Рkpt6 = 67 167,00 грн.

Розрахуємо суму основного платежу боргу Рбt по кредиту за роками користування:

Рбt1 = 163 107,31 грн.

Рбt2 = 192 466,62 грн.

Рбt3 = 227 110,62 грн.

Рбt4 = 267 990,53 грн.

Рбt5 = 316 228,82 грн.

Рбt6 = 373 150,01 грн.

Розрахунок платежів позичальника по обслуговуванню боргу запишемо в таблицю 1.

Таблиця 1. Платежі по обслуговуванню боргу

Показники

Життєвий цикл проекту

0-й рік

1-й рік

2-й рік

3-й рік

4-й рік

5-й рік

6-й рік

Платежі по кредиту Рkt


440 317,01

440 317,01

440 317,01

440 317,01

440 317,01

440 317,01

Відсоток за користування кредитом Рkpt


277 209,70

247 850,39

213 206,39

172 326,48

124 088,19

67 167,00

Основний платіж по боргу Рб


163 107,31

192 466,62

227 110,62

267 990,53

316 228,82

373 150,01

Неоплачена частина основного боргу Рнt

1540053,90

1376946,59

1184479,97

957 369,35

689 378,83

373 150,01

0,00


Розрахуємо суму амортизаційних відрахувань i залишкову вартість обладнання: суму амортизаційних відрахувань по придбаному обладнанню визначимо за формулою:


Рat — сума амортизацiйних вiдрахувань, нарахованих у 1:-у поточному роцi;

Сзt-1 — залишкова вартiсть обладнання на початок (t-1)-го попереднього розрахункового перiоду;

Нa — рiчна норма амортизацiйних вiдрахувань, яка дорiвнює рiвна 15% для третьої групи основних фондiв.

Рa1 = 231 008,09 грн.

Рa2 = 196 356,87 грн.

Рa4 = 141 867,84 грн.

Рa5 = 120 587,66 грн.

Рa6 = 102 499,51 грн.

Залишкову вартiсть обладнання визначимо як рiзницю мiж залишковою вартiстю (t-1)-го попереднього розрахункового року i сумою амортизацiї, що нараховується в t-му розрахунковому роцi:


Сзt1 = 1 309 045,82 грн.

Сзt2 = 1 112 688,94 грн.

Сзt3 = 945 785,60 грн..

Сзt4 = 803 917,76 грн.

Сзt5 = 683 330,10 грн.

Сзt6 = 580 830,58 грн.

Розрахунок суми амортизацiйних вiдрахувань i залишкової вартостi обладнання по роках розрахункового перiоду запишемо до таблицi 2.

Таблиця 2 Амортизаційні відрахування і залишкова вартість обладнання по роках життєвого циклу

Показники

Життєвий цикл проекту

1-й рік

2-й рік

3-й рік

4-й рік

5-й рік

6-й рік

Щорічна амортизація обладнання Рat







Залишкова вартість обладнання Сзt








Розрахуємо рух засобів, виходячи з володіння майном. Обчислимо величину після податкової вартості технічного обслуговування по формулі:

Cnmt = Cmt – Pnmt, де

Cnmt – вартість технічного обслуговування устаткування t-го розрахункового року з урахування суми податкового щита;

Pnmt – податковий щит у зв’язку з виконанням технічного обслуговування обладнання в t-у поточному році.

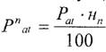
Сума податкового щита, одержаного підприємством за рахунок самостійного виконання технічного обслуговування придбаного обладнання в t-у поточному році визначається як:


Cmt –річна вартість технічного обслуговування в t-у поточному році;

Hn – діюча ставка податку на прибуток підприємства дорівнює 25%.

Pnmt = 46 200,00 × 25 / 100 = 11 550,00 грн.

Cnmt = 46 200,00 – 11 550,00 = 34 650,00 грн. в рік

Амортизаційний податковий щит розраховується для кожного року використання обладнання за формулою (враховується зі знаком “мінус”):


Рna1 = 57 752,02 грн.

Рna2 = 49 089,22 грн.

Рna3 = 41 725,84 грн.

Рna4 = 35 466,96 грн.

Рna5 = 30 146,92 грн.

Рna6 = 25 624,88 грн.

Для останнього року дії проекту розраховуємо ліквідаційну вартість обладнання з урахуванням податку на прибуток 25%, ПДВ – 20%:

50 435,00 – 50 435,00 × 0,25 – 50 435,00 × 0,2 = 27 739,25 грн.

Ліквідаційна вартість враховується зі знаком “мінус”.

Розрахуємо рух витрат підприємства для кожного року у зв’язку з купівлею і володінням обладнання за формулою:

Dt = Cnmt – Pnat – Cлt, де

Dt – рух витрат підприємства в t-у поточному році;

Cлt – ліквідаційна вартість обладнання в t-у поточному році.

Dt1 = - 23 102,02 грн.

Dt2 = - 14 439,22 грн.

Dt3 = - 7 075,84 грн.

Dt4 = - 816,96 грн.

Dt5 = 4 503,08 грн.

Dt6 = - 18 714,13 грн.

Розрахунок руху грошових витрат підприємства, які зв’язані з купівлею i володінням обладнанням запишемо до таблиці 3.

Таблиця 3 Розрахунок руху засобів, виходячи з володіння майном

Показники

Життєвий цикл проекту

1-й рік

2-й рік

3-й рік

4-й рік

5-й рік

6-й рік

Після податкова вартість технічного обслуговування (+) (Сnmt)

34 650,00

34 650,00

34 650,00

34 650,00

34 650,00

Амортизаційний податковий щит (-) (Рnat)

-57 752,02

-49 089,22

-41 725,84

-35 466,96

-30 146,92

-25 624,88

Ліквідаційна вартість обладнання (-) (Слt)






-27 739,25

Рух витрат (-) (Dt)

-23 102,02

-14 439,22

-7 075,84

-816,96

4 503,08

-18 714,13


Розрахуємо грошові витрати по обслуговуванню кредиту:

Визначимо відсотковий податковий щит за кожний рік користування кредитом за формулою (зі знаком “мінус”):


Рnkt1 = 69 302,43 грн.

Рnkt2 = 61 962,60 грн.

Рnkt3 = 53 301,60 грн.

Рnkt4 = 43081,62 грн.

Рnkt5 = 31 022,05 грн.

Рnkt6 = 16 791,75 грн.

Розрахуємо рух грошових витрат по обслуговуванню кредиту за формулою:

t = Pkt – Pnkt, де

t – рух грошових витрат по обслуговуванню платежів по кредиту в t-у поточному році.

t1 = 371 014,58 грн.

t2 = 378 354,41грн.

t3 = 387 015,41 грн.

t4 = 397 235,39 грн.

t5 = 409 294,96 грн.

t6 = 423 525,26 грн.

Результати розрахунків руху грошових витрат підприємства по обслуговуванню кредиту запишемо до таблиці 4.

Таблиця 4. Результати грошових витрат по обслуговуванню кредиту

Показники

Життєвий цикл проекту

1-й рік

2-й рік

3-й рік

4-й рік

5-й рік

6-й рік

Платежі по кредиту (-) Kkt

440 317,01

440 317,01

440 317,01

440 317,01

440 317,01

440 317,01

Відсотковий податковий щит (-) Рnkt

-69 302,43

-61 962,60

-53 301,60

-43 081,62

-31 022,05

-16 791,75

Рух грошових витрат Dкt

371 014,58

378 354,41

387 015,41

397 235,39

409 294,96

423 525,26


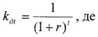
Чиста приведена вартість — це рух чистих грошових витрат підприємства у зв’язку з купівлею обладнання, скоригований на коефіцієнт дисконтування kдt.


t - номер року розрахункового періоду (t приймає значення від 1 до n i дорівнює терміну життєвого циклу проекту)

r - ставка дисконту, що являє собою вартість придбання капіталу для підприємства на ринку капiталiв i дорівнює середній вiдсотковiй ставці банку за користування кредитом.

При розрахунку величини коефіцієнта дисконтування ставка дисконту приймається рівню 9%.

kдt2 = 08417

kдt3 = 0,7722

kдt4 = 0,7084

kдt5 = 0,6499

kдt6 = 0,5963

Чиста приведена вартiсть купiвлi обладнання за рахунок кредиту банку Счt, в t-у поточному роцi життєвого циклу проекту визначається як:

Счt = Dчkt kдт

Счt = 319 185,84 грн.

Счt = 306 300,14 грн.

Счt = 293 383,06 грн.

Счt = 280 832,81 грн.

Счt = 268 940,34 грн.

Счt = 241 375,65 грн.

Рух чистих грошових витрат підприємства у зв’язку з купівлею обладнання являє собою алгебраїчну суму руху грошового потоку по одержанню та обслуговуванню кредиту для купiвлi обладнання (таблиця 4) i грошового потоку витрат пiдприсмства, якi пов’язанi з володiнням обладнання (таблиця 3).

Dчkt = Dkt ± Dt де

Dчkt - чистий грошовий потік витрат підприємства у зв’язку з купівлею обладнання.

Dчkt1 = 347 912,56 грн.

Dчkt2 = 363 915,19 грн.

Dчkt3 = 379 939,58 грн.

Dчkt4 = 396 418,43 грн.

Dчkt5 = 413 798,05 грн.

Dчkt6 = 404 811,13 грн.

Результати розрахунків чистої приведеної вартості проекту купiвлi обладнання запишемо до таблиці 5.

Таблиця 5 Чиста приведена вартість проекту купiвлi обладнання

Показники

Життєвий цикл проекту

1-й рік

2-й рік

3-й рік

4-й рік

5-й рік

6-й рік

Рух чистих грошових потоків Dчkt

347912,56

363915,19

379939,58

396418,43

413798,05

404811,13

Коефіцієнт дисконтування kдt

0,9174

0,8417

0,7722

0,7084

0,6499

0,5963

Чиста приведена вартість Счt

319184,84

306300,14

293383,06

280832,81

268940,34

241375,65

Загальна чиста приведена вартість проекту Сч

1 710 017,84


Сч = 1 710 017,84 грн.

ІІ. Розрахунок загальної чистої приведеної вартості лізингу устаткування

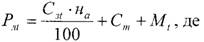
Лізинговий платіж за отримання обладнання в лізинг сплачується лiзингоодержувачем щорічно в сумі, що зазначена в договорі лізину. Річна сума лізингового платежу розраховується за формулою:


Pлt - сума щорічного лізингового платежу у t-му році;

Cзt - залишкова вартість об’єкта лізингу у t-му розрахунковому році;

Mt - лізингова маржа у t-му розрахунковому році.

Величина лізингової маржі, що являє собою прибуток лiзингодавця. визначається за формулою:


dл – ставка лізингової маржі.

М1 = 25 526,39 грн.

М2 = 21 697,43 грн.

М3 = 18 442,82 грн.

М4 = 15 676,40 грн.

М5 = 13 324,94 грн.

Річна сума лізингового платежу розраховується за формулою:


Рлt1 = 260 383,27 грн.

Рлt2 = 227 100,78 грн.

Рлt3 = 198 810,66 грн.

Рлt4 = 174 764,06 грн.

Рлt5 = 154 324,45 грн.

Рлt6 = 136 950,78 грн.

Після податкова вартість лізингового платежу Рnл розраховується як:


Рnлt1 = 95 287,45 грн.

Рnлt2 = 170 325,58 грн.

Рnлt3 = 149 107,99 грн.

Рnлt4 = 131 073,05 грн.

Рnлt5 = 115 743,34 грн.

Рnлt6 = 102 713,09 грн.

Річний рух грошових витрат підприємства, що відносяться до лізингу обладнання, розраховується за формулою:

Dлt = Рnлt + Ck, де

Dлt - річний рух засобів (витрат) при придбанні обладнання в лізинг у t-у поточному році;

Рnлt - річна пiсляподаткова вартість лізингового платежу t-го поточного року;

Ck - можлива вартість купiвлi обладнання наприкiнцi контракту лізинг.

Dлt1 = 195 287,45 грн.

Dлt2 = 170 325,58 грн.

Dлt3 = 149 107,99 грн.

Dлt4 = 131 073,05 грн.

Dлt5 = 115 743,34 грн.

Dлt6 = 490 432,99 грн.

Ck = 387 719,90 грн.

Чиста приведена вартість лізингу обладнання Слчt t-у поточному році визначається за формулою:

Слчt = Dлt kдт

Слч1 = 179 162,80 грн.

Слч2 = 143 359,63 грн.

Слч3 = 115 138,73 грн.

Слч4 = 92 855,45 грн.

Слч5 = 75 225,23 грн.

Слч6 = 292 429,17 грн.

Слч = å Слчt

Слч = 898 171,01 грн.

Результати розрахунків чистої приведеної вартості проекту лізингу обладнання запишемо в таблицю 6.

Таблиця 6. Розрахунок руху грошових потоків і чистої приведеної вартості лізингу устаткування

Показники

Життєвий цикл проекту

1-й рік

2-й рік

3-й рік

4-й рік

5-й рік

6-й рік

Лізингова маржа Мt

25 526,39

21 697,43

18 442,82

15 676,40

13 324,94

11 326,20

Лізинговий платіж Рлt

260 383,27

227 100,78

198 810,66

174 764,06

154 324,45

136 950,78

Післяподаткова вартість лізингового платежу Рnлt

195 287,45

170 325,58

149 107,99

131 073,05

115 743,34

102 713,09

Можлива кінцева вартість обладнання Сk

Рух грошових витрат, відносяться до лізингу Dлt

195 287,45

170 325,58

149 107,99

131 073,05

115 743,34

490 432,99

Коефіцієнт дисконтування kдт

0,9174

0,8417

0,7722

0,7084

0,6499

0,5963

Чиста приведена вартість Слчt

179 162,80

143 359,63

115 138,73

92 855,45

75 225,23

292 429,17

Загальна чиста приведена вартість проекту лізингу Слч

898 171,01


Сч > Слч (1 710 017,84 > 898 171,01)

Висновок

Методом порівняння загальної чистої приведеної вартості проекту за рахунок кредиту банку i придбання обладнання в лізинг встановлено, що загальна чиста приведена вартість в лізинг значно менша ніж при придбанні обладнання за рахунок кредиту банку. Тому найбільш оптимальною формою фінансування програми придбання підприємством обладнання є лізинг.

Похожие работы на - Вибір джерел фінансування переозброєння, модернізації та розвитку виробництва

 

Не нашли материал для своей работы?
Поможем написать уникальную работу
Без плагиата!
Без нейросетей!