Оценка, результаты финансовой работы на предприятии

  • Вид работы:
    Курсовая работа (т)
  • Предмет:
    Финансовый менеджмент, финансовая математика
  • Язык:
    Русский
    ,
    Формат файла:
    MS Word
    141,48 kb
  • Опубликовано:
    2010-11-03
Вы можете узнать стоимость помощи в написании студенческой работы.
Помощь в написании работы, которую точно примут!

Оценка, результаты финансовой работы на предприятии

Министерство образования и науки республики Казахстан

Колледж Карагандинского Государственного Университета

им. Е.А. Букетова


Курсовая работа

По дисциплине: "Финансы предприятия"

На тему: "Оценка, результаты финансовой работы на предприятии"


Выполнила:

ст-ка гр. ФП-36

Мукушева Карина

Проверил: преподаватель

Волох Н.М.



Караганда 2008

Содержание


Введение

Глава 1 ТЕОРЕТИко-методологические ОСНОВЫ оценки эффективности финансовой деятельности предприятия

1.1 Сущность и задачи оценки финансового состояния и эффективности финансовой деятельности предприятия

1.2 Система показателей в оценке состояния финансов предприятия

Глава 2 Оценка эффективности финансовой деятельности ТОО "Аркада-Индастри"

2.1 Предварительная оценка финансового положения предприятия, оценки его ликвидности и платежеспособности

2.2 Оценка финансовой устойчивости предприятия

2.3 Динамика оборачиваемости и рентабельности активов предприятия

Глава 3 Повышение эффективности финансовой деятельности предприятия

3.1 Повышение деловой активности

3.2 Разработка мероприятий по повышению платежеспособности и ликвидности

Заключение

Список использованной литературы

Приложения

Введение


В Послании Президента Казахстана народу Казахстана "Стратегия "Казахстан-2030" на Новом этапе развития Казахстана" в качестве главных приоритетов нового этапа всесторонней модернизации Казахстана определены 30 важнейших направлений нашей внутренней и внешней политики.

Одним из направлений является обеспечение последовательных действий по поддержке предпринимательства в Республике Казахстан. В данном направлении Президентом отмечена необходимость развития эффективных финансовых инструментов для стимулирования в полной мере развития предпринимательства. [1].

Успех деятельности предприятий непосредственно зависит от уровня руководства, от объективности, конкретности, оперативности и научной обоснованности принимаемых решений, которые в конечном итоге должны быть оптимальными. Принятие последних, как известно, направлено на наиболее рациональное, эффективное использование материальных, трудовых и финансовых ресурсов, на реализацию долгосрочного приоритета страны – экономического. Исследование результатов финансово-хозяйственной деятельности предприятия в каком-либо периоде имеет место в процессе оценки финансового состояния предприятия.

Оценка эффективности финансовой деятельности представляет собой способ, позволяющий раскрыть финансовое благополучие и динамику развития предприятия.

Оценка эффективности финансовой деятельности предприятия имеет большое значение для потенциальных инвесторов и кредиторов предприятия, поскольку инвестирование и кредитование предприятия в соответствии с рыночным принципом платности предполагают получение дивидендов (процентов), что возможно только при условии устойчивого финансового положения предприятия. Этим определяется актуальность темы курсовой работы.

Современная экономическая наука имеет в своем арсенале большое количество разнообразных приемов и методов анализа финансовых показателей. В данной курсовой работе применены три основные этапа оценки финансового состояния предприятия: оценка показателей ликвидности, платежеспособности, оценка финансовой устойчивости, анализ деловой активности.

Основным инструментом экспертной оценки финансово-хозяйственной деятельности организации является финансовый анализ, который представляет собой процесс, основанный на изучении данных о финансовом состоянии предприятия и результатах его деятельности в прошлом с целью оценки будущих условий и результатов деятельности. Таким образом, одной из задач финансового анализа является снижение неизбежной неопределенности, связанной с принятием экономических решений.

Финансовый анализ может использоваться: как инструмент обоснования краткосрочных и долгосрочных экономических решений, целесообразности инвестиций, как средство оценки мастерства и качества управления; как способ прогнозирования вероятности банкротства.

Предприятие, на котором серьезно поставлена аналитическая работа, способно раньше распознать надвигающийся кризис, оперативно отреагировать на него и с большой вероятностью избежать "неприятностей" или уменьшить степень риска.

Цель курсовой работы – исследовать теоретико-методологические основы и оценить эффективность финансовой деятельности действующего предприятия.

В соответствии с заданной целью были сформулированы задачи курсовой работы:

- исследовать сущность оценки эффективности финансовой деятельности предприятия;

- рассмотреть систему показателей оценки состояния финансов предприятия;

- оценить финансовое состояние предприятия;

- в рамках оценки проанализировать ликвидность, платежеспособность и финансовую устойчивость предприятия;

- исследовать динамику оборачиваемости и рентабельности активов предприятия;

- на основе результатов оценки разработать рекомендации по стабилизации финансового состояния.

Объектом исследования послужило предприятие ТОО "Аркада-Индастри". Основным видом деятельности предприятия является добыча и переработка нерудных строительных материалов.

В настоящее время разработано и используется множество методик оценки финансового состояния предприятия, таких как методика Шеремета А.Д., Ковалева В.В., Донцовой Л.В., Никифоровой Н.А., Стояновой Е.С., Артеменко В.Г., Белендира М.В. и другие. И отличие между ними заключается в подходах, способах, критериях и условиях проведения анализа.

Теоретической и методологической основой послужили труды и Указы Президента Республики Казахстан, Законы Республики Казахстан, постановления правительства Республики Казахстан, монографические труды отечественных и зарубежных ученых экономистов и финансистов.

 


Глава 1 ТЕОРЕТИко-методологические ОСНОВЫ оценки эффективности финансовой деятельности предприятия

1.1 Сущность и задачи оценки финансового состояния и эффективности финансовой деятельности предприятия

 

Финансы предприятия представляют собой совокупность экономических отношений, возникающих в реальном денежном обороте по поводу формирования, распределения и использования финансовых ресурсов. Они являются формой финансирования и кредитования предпринимательской деятельности. Их функционирование направлено на достижение общих целей эффективного развития предприятий. На основе финансовых отношений на предприятиях функционируют различные денежные фонды.

Финансовое состояние предприятия - это экономическая категория, отражающая состояние капитала в процессе его кругооборота и способность субъекта хозяйствования к саморазвитию на фиксированный момент времени. [2, с.25]

Так, А.Д. Шеремет и Р.С. Сейфулин пишут, что "финансовое состояние предприятия характеризуется размещением и использованием средств и источниками их формирования" [3,с.119]. К.Ш. Дюсембаев определяет это понятие следующим образом: "Финансовое положение предприятия характеризуется обеспеченностью финансовыми ресурсами, необходимыми при нормальной производственной, коммерческой и других видов деятельности предприятия целесообразностью и эффективностью их размещения и использования, финансовыми взаимоотношениями с другими субъектами хозяйствования, платежеспособностью и финансовой устойчивостью" [4,с.247].

Состояние финансов предприятия зависит от результатов его производственной, коммерческой и финансовой деятельности. В процессе снабженческой, производственной, сбытовой и финансовой деятельности происходит непрерывный кругооборот капитала, изменяются структура средств и источников их формирования, наличие и потребность в финансовых ресурсах и как следствие — финансовое состояние предприятия, внешним проявлением которого является платежеспособность.

Выдвижение на первый план финансовых аспектов деятельности субъектов хозяйствования, возрастание роли финансов — характерная для всех стран тенденция [7,с.248].

Финансовое состояние предприятия, его устойчивость и стабильность зависят от результатов производственной, коммерческой и финансовой деятельности. Если производственный и финансовый планы успешно выполняются, то это положительно влияет на финансовое положение предприятия. Напротив, в результате спада производства и реализации продукции происходит повышение ее себестоимости, уменьшение выручки и суммы прибыли и как следствие — ухудшение финансового состояния предприятия и его платежеспособности. Следовательно, устойчивое финансовое состояние является не игрой случая, а итогом умелого управления всем комплексом факторов, определяющих результаты финансово-хозяйственной деятельности предприятия.

Устойчивое финансовое состояние, в свою очередь, положительно влияет на объемы основной деятельности, обеспечение нужд производства необходимыми ресурсами. Поэтому финансовая деятельность как составная часть хозяйственной деятельности должна быть направлена на обеспечение планомерного поступления и расходования денежных ресурсов, выполнение расчетной дисциплины, достижение рациональных пропорций собственного и заемного капитала и наиболее эффективное его использование.

Главная цель финансовой деятельности предприятия — наращивание собственного капитала и обеспечение устойчивого положения на рынке. Для этого необходимо постоянно поддерживать платежеспособность и рентабельность предприятия, а также оптимальную структуру актива и пассива баланса [7,с.249].

Огромную роль в условиях рыночных отношений играет оценка эффективности финансовой деятельности предприятия. Это связано с тем, что предприятия приобретают самостоятельность и несут полную ответственность за результаты своей производственно - предпринимательской деятельности перед собственниками, работниками, коммерческими партнерами и другими контрагентами.

Основным инструментом экспертной оценки финансово-хозяйственной деятельности организации является анализ, базой для которого выступает финансовая отчетность. Оценка финансового состояния включает логический анализ отчетности, а также количественный анализ, построенный на расчете финансовых коэффициентов (ликвидности, оборачиваемости активов, структуры капитала и обязательств). Ценную информацию о финансовом состоянии предприятия можно получить путем сравнения аналитических показателей. С этой целью составляется сравнительный, аналитический баланс, который строится на основе бухгалтерского баланса предприятия путем дополнения его показателями структуры статей актива и пассива в динамике.

Практически все пользователи финансовых отчетов предприятий используют методы финансового анализа для принятия решений по оптимизации своих интересов. Собственники анализируют финансовые отчеты для повышения доходности капитала, обеспечения стабильности повышения фирмы. Кредиторы и инвесторы анализируют финансовые отчеты, чтобы минимизировать свои риски по займам и вкладам.

Анализ финансового состояния предприятия показывает, по каким направлениям надо вести эту работу, дает возможность выявить наиболее важные аспекты и наиболее слабые позиции в финансовом состоянии предприятия. В соответствии с этим результаты анализа дают ответ на вопрос, каковы важнейшие способы улучшения финансового состояния предприятия в конкретный период его деятельности. Но главной целью анализа является своевременно выявлять и устранять недостатки в финансовой деятельности и находить резервы улучшения финансового состояния предприятия и его платежеспособности.

Основные задачи анализа:

1)своевременное выявление и устранение недостатков в финансовой деятельности, и поиск резервов улучшения финансового состояния предприятия, его платежеспособности;

2)прогнозирование возможных финансовых результатов, экономической рентабельности, исходя из реальных условий хозяйственной деятельности и наличия собственных и заемных ресурсов, разработка моделей финансового состояния при разнообразных вариантах использования ресурсов;

3)разработка конкретных мероприятий, направленных на более эффективное использование финансовых ресурсов и укрепление финансового состояния предприятия.

Анализом финансового состояния предприятия занимаются не только руководители и соответствующие службы предприятия, но и его учредители, инвесторы с целью изучения эффективности использования ресурсов, банки для оценки условий кредитования и определения степени риска, поставщики для своевременного получения платежей, налоговые инспекции для выполнения плана поступлений средств в бюджет и т. д.

Таким образом, финансовый анализ может служить для оценки реального финансового состояния предприятия, поскольку позволяет в меньшей степени полагаться на догадки, предчувствия и интуицию, уменьшить неизбежную неопределенность, которая присутствует в любом процессе принятия решения.

1.2 Система показателей в оценке состояния финансов предприятия

Для целей оценки управления деятельностью предприятия наука и практика выработали специальные инструменты, называемые финансовыми показателями. Финансовые показатели - это микромодели финансовых и экономических явлений. Отражая динамику и противоречия происходящих процессов, они подвержены изменениям и колебаниям и могут приближаться или отдаляться от своего главного предназначения - измерения и оценки сущности финансового состояния.

Поэтому оценка финансового состояния начинается с показателей, отражающих сущность устойчивости финансового состояния.

В условиях рыночных отношений деятельность предприятия и его развитие осуществляются преимущественно за счет самофинансирования, т.е., собственного капитала. Лишь при недостаточности собственных финансовых ресурсов привлекаются заемные средства. В этих условиях особое значение приобретает финансовая независимость от внешних заемных источников, хотя обойтись без них практически невозможно. Поэтому необходимо разграничить источники формирования текущих активов финансовой отчетности. Минимальная часть их формируется за счет собственной нормы оборотного капитала для обеспечения производственной программы (норматив). Возникающая в отдельные периоды дополнительная потребность в текущих активах сверх минимальной потребности покрывается краткосрочными кредитами банка и коммерческим кредитом, т.е. за счет заемных средств.

В процессе анализа источников формирования активов устанавливается фактический размер собственного и привлеченного (заемного) капитала, выявляются причины, вызвавшие их изменения за отчетный период, дается им соответствующая оценка. Главное внимание при этом уделяется собственному капиталу, поскольку запас источников собственных средств - это запас финансовой устойчивости.

Важно установить не только фактический размер собственного капитала, но и определить удельный вес его в общей сумме капитала. Этот показатель в специальной литературе носит различные названия (коэффициент собственности, коэффициент независимости, коэффициент автономии), но суть его одна: по нему судят, насколько предприятие независимо от заемных средств и способно маневрировать собственными средствами.

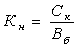
Коэффициент независимости определяется отношением собственного капитала ко всему авансированному капиталу по следующей формуле:

 (1)

где Кн - коэффициент независимости;

Ск — собственный капитал;

Вб — авансированный капитал (итог, валюта баланса, т.е. общая сумма финансирования).

Рост его свидетельствует об увеличении финансовой независимости предприятия, снижении риска финансовых затруднений в будущих периодах.

Западные экономисты считают, что коэффициент независимости желательно поддерживать на достаточно высоком уровне. Это дает возможность поддерживать стабильную структуру источников средств. Именно такой структуре отдают предпочтение инвесторы и кредиторы. Чем больше у предприятия собственных средств, тем легче ему обеспечить бесперебойную работу и справиться с условиями рынка. Поэтому наиболее дальновидные предприниматели стремятся наращивать сумму собственного капитала путем создания различного рода резервных фондов и прямого зачисления в уставный капитал нераспределенного дохода.

Ряд авторов книг по финансовому анализу считает, что для предприятий, функционирующих в условиях развитых рыночных отношений, минимальным значением, обеспечивающим достаточно стабильное финансовое положение в глазах инвесторов и кредиторов, является отношение собственного капитала к общей его сумме на уровне 0,6. А.Д. Шеремет, О.В. Ефимова и др. оценивают минимальное значение этого показателя на уровне 0,5, который обеспечивает покрытие всех обязательств предприятия собственными средствами [5,117].

Достаточно высоким уровнем коэффициента независимости считается отношение собственного капитала к валюте баланса, равное 0,5 — 0,6. В этом случае риск кредиторов сведен к минимуму: продав половину имущества, сформированную за счет собственных средств, предприятие сможет погасить свои долговые обязательства, даже если вторая половина, в которую вложены заемные средства, будет по каким-то причинам обесценена [5,118].

Выполнение приведенного выше ограничения коэффициента собственности на уровне 0,5—0,6 важно не только для заимодавцев, но и для самого предприятия. Поэтому аналитику необходимо изучить структуру источников средств и оценить ее, что позволяет установить рациональность размещения их. В рыночных условиях хозяйствования она осуществляется как внутренними, так и внешними пользователями информации. Внешние пользователи информации, например банки и кредиторы, оценивают изменение доли собственного капитала в общей сумме авансированного капитала с точки зрения финансового риска при заключении сделок, договоров.

Риск нарастает в том случае, если уменьшается доля собственного капитала. Изучение структуры капитала предприятия позволяет им судить о расширении или сужении деятельности предприятия. Уменьшение краткосрочных кредитов и увеличение собственного капитала может быть свидетельством сокращения деятельности предприятия. Но однозначно такого вывода сделать нельзя, так как доля этих средств может находиться и под влиянием других факторов — процентных ставок за кредит и на дивиденды. Если процентные ставки за кредит ниже ставок на дивиденды, то рационально увеличивать привлеченные средства. Если ситуация обратная, то целесообразно использовать собственный капитал.

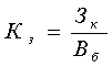
Коэффициент зависимости характеризует долю обязательств предприятия в общей сумме капитала предприятия и рассчитывается по формуле:

 (2)

где Кз - коэффициент зависимости;

Зк — привлеченный капитал;

Вб — авансированный капитал (итог, валюта баланса).

Чем выше эта доля, тем больше зависимость предприятия от внешних источников финансирования.

Следующим показателем, характеризующим финансовую устойчивость предприятия, является коэффициент финансирования, представляющий собой отношение собственного капитала к привлеченному капиталу, который рассчитывается по формуле:

  (3)

где Кф — коэффициент финансирования;

Ск — собственный капитал;

Зк — заемный (привлеченный) капитал.

Чем выше уровень этого коэффициента, тем для банков и инвесторов надежнее финансирование.

Коэффициент показывает, какая часть деятельности предприятия финансируется за счет собственных средств, а какая — за счет заемных. Ситуация, при которой величина коэффициента финансирования < 1 (большая часть имущества предприятия сформирована за счет заемных средств), может свидетельствовать об опасности неплатежеспособности и нередко затрудняет получение кредита [5, 119].

На западных предприятиях шире, чем коэффициент финансирования, применяется его обратный показатель — коэффициент соотношения заемных и собственных средств, который определяется отношением привлеченного капитала к собственному капиталу. Данный коэффициент, находится по формуле 4, обратной к формуле 3.

,  (4),

Этот коэффициент указывает, сколько заемных средств привлекло предприятие на один тенге вложенных в активы собственных средств.

Одним из важных показателей, характеризующих степень независимости (автономности) предприятия, является коэффициент финансовой устойчивости, или, как его еще называют, коэффициент покрытия инвестиций [6,с.212]. Он характеризует долю собственных и долгосрочных заемных средств в общем (авансированном) капитале, т.е. определяется по формуле:

  (5),

где Кпи - коэффициент финансовой устойчивости;

До — долгосрочные обязательства (долгосрочные кредиты и займы);

Вб – валюта баланса.

Это более мягкий показатель по сравнению с коэффициентом автономии. В западной практике принято считать, что нормальное значение коэффициента равно около 0,9, критическим считается его снижение до 0,75.

Финансовое состояние предприятия, его устойчивость во многом зависит от оптимальности структуры источников капитала (соотношения собственных и заемных средств) и от оптимальности структуры активов предприятия и, в первую очередь, от соотношения основного и оборотного капитала. [3,с.609]

Как известно, между статьями актива и пассива баланса существует тесная взаимосвязь. Каждая статья актива баланса имеет свои источники финансирования. Источником финансирования долгосрочных активов, как правило, является собственный капитал и долгосрочные заемные средства. Не исключаются случаи формирования долгосрочных активов и за счет краткосрочных кредитов банка.

Как уже было рассмотрено выше, оборотный капитал образуется как за счет собственного капитала, так и за счет краткосрочных заемных средств. Желательно, чтобы он был наполовину сформирован за счет собственного, а наполовину — за счет заемного капитала. Тогда обеспечивается гарантия погашения внешнего долга.

В зависимости от источников формирования общую сумму оборотных средств принято делить на две части:

а) переменную, которая создана за счет краткосрочных обязательств предприятия;

б) постоянный минимум текущих активов (запасов и затрат), который образуется за счет собственного капитала.

Недостаток собственного оборотного капитала приводит к увеличению переменной и уменьшению постоянной части текущих активов, что также свидетельствует об усилении финансовой зависимости предприятия и неустойчивости его положения.

Собственный капитал в балансе отражается общей суммой в III разделе баланса. Чтобы определить, сколько собственного капитала используется в обороте, необходимо от общей суммы долгосрочных и краткосрочных обязательств вычесть сумму долгосрочных активов предприятия.

Сумму собственного оборотного капитала можно рассчитать и таким образом: из общей суммы текущих активов вычесть сумму краткосрочных обязательств (IV раздел баланса).

Разность покажет, какая сумма текущих активов сформирована за счет собственного капитала, или что останется в обороте предприятия, если погасить одновременно всю краткосрочную задолженность кредиторам.

Рассчитывается также структура распределения собственного капитала, а именно доля собственного оборотного капитала и доля собственного основного капитала в общей его сумме.

При этом используется коэффициент маневренности капитала, который рассчитывается по следующей формуле:

 (6)

где Кмк – коэффициент маневренности капитала;

Сок – собственный оборотный капитал;

Ск – совокупный собственный капитал.

Коэффициент маневренности капитала показывает, какая часть собственного капитала находится в обороте, т.е. в той форме, которая позволяет свободно маневрировать этими средствами. Коэффициент должен быть достаточно высоким, чтобы обеспечить гибкость в использовании собственных средств предприятия.

Если в результате анализа предприятие признается неустойчивым, то при внутреннем анализе осуществляется углубленное изучение причин изменения запасов, оборачиваемости текущих активов, наличия собственного оборотного капитала, а также резервов сокращения долгосрочных и текущих материальных активов, ускорения оборачиваемости средств, увеличения собственного оборотного капитала.

При этом особо следует остановиться на эффективности использования оборотных средств, так как рациональное использование оборотных средств влияет на основные показатели хозяйственной деятельности предприятия: на рост объёма производства, снижение себестоимости продукции, повышение рентабельности предприятия.

Сигнальным показателем, в котором проявляется финансовое состояние, выступает платежеспособность предприятия, под которой подразумевают его способность вовремя удовлетворять платежные требования поставщиков техники и материалов в соответствии с хозяйственными договорами, возвращать кредиты, производить оплату труда персонала, вносить платежи в бюджет.

В профессиональной литературе встречаются разные точки зрения по определению платежеспособности. Ефимова О.В. пишет, что под платежеспособностью "принято понимать способность предприятия рассчитываться по своим долгосрочным обязательствам". [5, с.118]

Оценка платежеспособности по балансу осуществляется на основе характеристики ликвидности оборотных активов, которая определяется временем, необходимым для превращения их в денежные средства. Чем меньше требуется времени для инкассации данного актива, тем выше его ликвидность. Ликвидность баланса — возможность субъекта хозяйствования обратить активы в наличность и погасить свои платежные обязательства, а точнее — это степень покрытия долговых обязательств предприятия его активами, срок превращения которых в денежную наличность соответствует сроку погашения денежных обязательств.

Ликвидность предприятия — это более общее понятие, чем ликвидность баланса. Ликвидность баланса предполагает взыскание платежных средств только за счет внутренних источников (реализация активов). Но предприятие может привлечь заемные средства со стороны, если у него имеется соответствующий имидж в деловом мире и достаточно высокий уровень инвестиционной привлекательности.

Анализ ликвидности баланса заключается в сравнении средств по активу, сгруппированных по степени убывающей ликвидности с краткосрочными обязательствами по пассиву, которые группируются по степени срочности их погашения.

Первая группа активов А1 включает в себя абсолютно ликвидные активы: денежная наличность и краткосрочные финансовые вложения. Вторая группа А2 — быстрореализуемые активы: товары отгруженные, дебиторская задолженность, налоги по приобретенным ценностям. Ликвидность этой группы зависит от своевременности отгрузки продукции, оформления банковских документов, скорости платежного документооборота в банке, от спроса на продукцию, ее конкурентоспособности, платежеспособности покупателей, форм расчетов и т.д.

Третья группа активов А3 — это медленно реализуемые активы: производственные запасы, незавершенное производство, готовая продукция, незавершенное строительство и т.д. Значительно больший срок понадобится для превращения их в денежную наличность.

Четвертая группа А4 — это труднореализуемые активы: основные средства, нематериальные активы, долгосрочные финансовые вложения, расходы будущих периодов, долгосрочная дебиторская задолженность, сомнительные долги и пр.

Соответственно по 4 группам разбиваются и обязательства предприятия:

П1 — наиболее срочные обязательства, которые должны быть погашены в течение месяца;

П2— среднесрочные обязательства, которые должны быть погашены в течение 1 года;

П3 — долгосрочные кредиты банка или займы;

П4 — собственный (акционерный) капитал предприятия, находящийся постоянно в распоряжении предприятия.

Ко второй группе относятся готовая продукция, товары отгруженные и дебиторская задолженность. Ликвидность этой группы текущих активов зависит от своевременности отгрузки продукции, оформления банковских документов, скорости платежного документооборота в банках, от спроса на продукцию, ее конкурентоспособности, платежеспособности покупателей, форм расчетов и др.

Значительно больший срок понадобится для превращения производственных запасов и незавершенного производства в готовую продукцию, а затем в денежную наличность. Поэтому они отнесены к третьей группе.

Соответственно на три группы разбиваются и платежные обязательства предприятия:

а) задолженность, сроки оплаты которой уже наступили;

б) задолженность, которую следует погасить в ближайшее время;

в) долгосрочная задолженность.

Чтобы определить текущую платежеспособность, необходимо ликвидные средства первой группы сравнить с платежными обязательствами первой группы. На основании только этих показателей нельзя безошибочно оценить финансовое состояние предприятия, так как данный процесс очень сложный, и дать ему полную характеристику двумя-тремя показателями нельзя.

Баланс считается абсолютно ликвидным, если выполняются соотношения: А1³ П1, А2³П2, А3³П3, А4£П4.

Наряду с абсолютными показателями для оценки ликвидности и платежеспособности также используют относительные показатели (коэффициенты ликвидности). Данные показатели на протяжении некоторого времени не изменяются, если пропорционально возрастают числитель и знаменатель дроби. Само же финансовое положение за это время может существенно измениться, например, уменьшится чистый доход, уровень рентабельности, коэффициент оборачиваемости и др.

Коэффициент абсолютной ликвидности показывает, какая часть краткосрочных обязательств может быть погашена за счет имеющейся денежной наличности. Чем выше эта величина, тем больше гарантия погашения долгов. Дополняет общую картину платежеспособности предприятия наличие или отсутствие у него просроченных обязательств, их частота и длительность.

Коэффициент абсолютной ликвидности определяется по следующей формуле:

 (7)

где Кал – коэффициент абсолютной ликвидности;

Дс – денежные средства;

Кфв – краткосрочные финансовые обязательства.

Коэффициент быстрой ликвидности определяется по следующей формуле:

 (8)

где Кбл – коэффициент быстрой ликвидности;

Дс – денежные средства;

Кдз – краткосрочная дебиторская задолженность;

Кфв – краткосрочные финансовые вложения;

Кфо – краткосрочные финансовые обязательства.

Удовлетворительным обычно считается значение данного показателя 0,7-1.

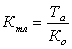
Коэффициент текущей ликвидности (общий коэффициент покрытия) показывает степень покрытия текущими активами краткосрочных обязательств. Удовлетворительным считается коэффициент со значением больше 2,0.

 (9)

где Ктл – коэффициент текущей ликвидности;

Та – текущие активы;

Ко – краткосрочные обязательства.

В качестве конкретных цифровых показателей деловой активности предприятия принято рассматривать различные финансовые коэффициенты оборачиваемости оборотных средств, позволяющие определить, насколько эффективно предприятие использует свои ресурсы.

Под оборачиваемостью оборотных средств понимается длительность одного полного кругооборота средств с момента превращения оборотных средств в денежной форме в производственные запасы и до выхода готовой продукции и ее реализации. Кругооборот средств завершается зачислением дохода на счет предприятия.

Оборачиваемость оборотных средств неодинакова на предприятиях как одной, так и различных отраслей экономики, что зависит от организации производства и сбыта продукции, размещения оборотных средств и других факторов.

Коэффициенты оборачиваемости рассчитываются как отношение дохода от реализации продукции (работ, услуг) к среднегодовой сумме отдельных элементов капитала или активов, скорость оборота которых изучается [4,с.195].

Скорость оборота активов предприятия принято рассчитывать с помощью формулы:

 (10)

где Коа – коэффициент оборачиваемости активов предприятия;

ВРП – доход от реализации продукции (работ, услуг);

СВА – средняя величина активов предприятия.

Соответственно, оборачиваемость текущих активов будет определяться как:

 (11)

где КоТа – коэффициент оборачиваемости текущих активов предприятия;

ВРП – доход от реализации продукции (работ, услуг);

СВТА – средняя величина текущих активов предприятия.

Средняя величина активов по данным баланса определяется по формуле:

 (12)

где Он, Ок – величина активов на начало и на конец периода.

Продолжительность одного оборота в днях определяется по формуле:

(13)

где До – продолжительность одного оборота в днях;

КоТа – коэффициент оборачиваемости текущих активов предприятия;

Коэффициент привлечения (высвобождения) оборотного капитала в связи с замедлением (ускорением) оборачиваемости текущих активов рассчитывается по формуле:

 (14)

где КОп(в) – коэффициент привлечения высвобождения оборотных средств;

ВРП – доход от реализации продукции (работ, услуг).

Анализ показателей эффективности использования оборотных средств и источников формирования оборотного капитала должен помочь выявить дополнительные резервы и способствовать улучшению основных экономических показателей работы предприятия.

Функционирование предприятия зависит от его способности приносить необходимый доход. При этом следует иметь в виду, что руководство предприятия имеет значительную свободу в регулировании величины финансовых результатов. Так, исходя из принятой финансовой стратегии, предприятие имеет возможность увеличивать или уменьшать величину балансовой прибыли за счет выбора того или иного способа оценки имущества, порядка его списания, установления срока использования и так далее.

В целом, эффективность деятельности любого предприятия может оцениваться с помощью абсолютных и относительных показателей. Так, с помощью показателей первой группы можно проанализировать динамику различных показателей прибыли (балансовой, чистой, нераспределенной) за ряд лет. Отметим сразу же, что такие расчеты будут иметь скорее арифметический, чем экономический смысл (если при этом не используются соответствующие способы пересчета в сопоставимые цены).

Вторая группа показателей практически не подвержена влиянию инфляции, поскольку представляет собой различные соотношения прибыли и вложенного капитала (собственного, инвестированного, заемного и т.д.). Экономический смысл значений указанных показателей (их принято называть показателями рентабельности) состоит в том, что они характеризуют прибыль, получаемую с каждого тенге средств (собственных и заемных), вложенных в предприятие.

Существует и используется система показателей эффективности деятельности, среди них коэффициент рентабельности активов имущества:

 (15)

где Ра – рентабельность активов (имущества) предприятия;

Чд – чистый доход

Сва – средняя величина активов предприятия.

Этот показатель отражает, какую прибыль (доход) получает предприятие с каждого тенге, вложенного в активы.

В аналитических целях определяется как рентабельность всей совокупности активов, так и рентабельность текущих активов.

 (16)

где Ра – рентабельность текущих активов (имущества) предприятия;

Чд – чистый доход;

Свта – средняя величина текущих активов предприятия.

Если предприятие ориентирует свою деятельность на перспективу, ему необходимо разработать инвестиционную политику (при этом под инвестированием понимается постоянное и долгосрочное финансирование). Информация о средствах, инвестированных в предприятие, может быть получена по данным баланса как сумма собственных источников средств и долгосрочных обязательств (или, что то же самое, как разность общей суммы активов и краткосрочных обязательств).

Показателем, отражающим эффективность использования средств, инвестированных в предприятие, является рентабельность инвестиций, которая определяется по формуле:

 (17)

где Ри – рентабельность инвестиций;

Ддн – доход до уплаты налогов;

Ко – краткосрочные обязательства предприятия.

Инвесторы капитала (акционеры) вкладывают в предприятие свои средства с целью получения прибыли от этих инвестиций, поэтому, с точки зрения акционеров, наилучшей оценкой результатов хозяйственной деятельности является наличие прибыли на вложенный капитал. Показатель прибыли на вложенный капитал, называемый также рентабельностью собственного капитала, определяется по формуле:

 (18)

где Рск – рентабельность собственного капитала;

Чд – чистый доход;

Ск – собственный капитал предприятия.

Другой важный коэффициент рентабельности реализованной продукции, рассчитывается по формуле:

 (19)

где Ррп – рентабельность реализованной продукции;

Чд – чистый доход;

Врп – выручка от реализации продукции.

Значение этого коэффициента показывает, какую прибыль имеет предприятие с каждого тенге реализованной продукции. Тенденция к его снижению может быть и "красным флажком" в оценке конкурентоспособности предприятия, поскольку позволяет предположить сокращение спроса на его продукцию.

Отметим, что анализ приведенных коэффициентов рентабельности имеет практическую полезность лишь в том случае, если полученные показатели сопоставляются с данными предыдущих лет или аналогичными показателями других предприятий.

Существует взаимосвязь между показателями рентабельности активов (имущества), оборачиваемостью активов и рентабельностью реализованной продукции, которая может быть представлена в виде формулы:

  (20)

где Ра – рентабельность активов;

Оа – оборачиваемость активов;

Ррп – рентабельность реализованной продукции.

Иными словами, прибыль предприятия, полученная с каждого тенге средств, вложенных в активы, зависит от скорости оборачиваемости средств и от того, какова доля чистого дохода (прибыли) в выручке от реализации. В общем случае, оборачиваемость активов зависит от объема реализации и средней величины активов. Как было выяснено ранее, замедление оборачиваемости может быть связано как с объективными причинами: инфляция, разрыв хозяйственных связей, так и субъективными: неумелым управлением запасами товарно-материальных ценностей и состоянием расчетов с покупателями, а также отсутствием их надлежащего учета.

Отметим, что из двух рассмотренных показателей, определяющих уровень эффективности использования активов, отношении показателя рентабельности продукции предприятие располагает, как правило, большей свободой маневра для того, чтобы усилить его воздействие на общую рентабельность активов.

Для установления финансовой несостоятельности (банкротства) предприятий утверждена система критериев для определения неудовлетворительной структуры баланса неплатежеспособных предприятий, базирующаяся на показателях текущей ликвидности и обеспеченности собственными оборотными средствами, а также способности восстановить (утратить) платежеспособность. В этом вопросе особую значимость приобретают вопросы анализа финансово-хозяйственной деятельности, а некоторые из разделов современных методик финансового анализа, базирующихся на системах относительных показателей. На основании системы критериев принимаются решения:

-   о признании структуры бухгалтерского баланса неудовлетворительной, а предприятия – неплатежеспособным;

-   о наличии реальной возможности предприятия – должника восстановить платежеспособность;

-   о наличии реальной возможности утраты платежеспособности предприятия, если оно в ближайшее время не сможет выполнить обязательства перед кредиторами.

Указанные решения принимаются по результатам анализа и вне зависимости от наличия установленных законодательством внешних признаков несостоятельности предприятия.

Основанием для принятия решений о несостоятельности (банкротстве) предприятия является система критериев для оценки удовлетворительности структуры баланса предприятий:

а) коэффициент текущей ликвидности.

б) коэффициент обеспеченности собственными средствами.

Основанием для признания структуры баланса предприятия неудовлетворительной, предприятие – неплатежеспособным является выполнение одного из следующих условий:

- коэффициент текущей ликвидности на конец отчетного периода имеет значение менее 2,0;

- коэффициент обеспеченности собственными средствами на конец отчетного периода имеет значение менее 0,1.

Признание предприятия неплатежеспособным не означает признание его несостоятельным, не влечет за собой наступления гражданско-правовой ответственности собственника.

Это лишь зафиксированное соответствующими государственными органами состояние финансовой неустойчивости, направленное на обеспечение оперативного контроля за финансовым состоянием предприятия и заблаговременного осуществления мер по предупреждению несостоятельности, а также для стимулирования предприятия к самостоятельному выходу из кризисного состояния.

При неудовлетворительной структуре баланса для проверки реальной возможности у предприятия восстановить свою платежеспособность рассчитывается коэффициент восстановления платежеспособности сроком на 6 месяцев следующим образом:

  (21)

где Кктл - фактическое значение коэффициента текущей ликвидности на конец отчетного периода;

Кнтл – фактическое значение коэффициента текущей ликвидности на начало отчетного периода;

Пу – установленный период восстановления платежеспособности в месяцах (6 месяцев);

По – отчетный период;

Кнормтл = 2,0.

При удовлетворительной структуре баланса для проверки устойчивости финансового состояния рассчитывается коэффициент утраты платежеспособности на срок 3 месяца следующим образом:

   (22)

где Пу – установленный период восстановления платежеспособности в месяцах (3 месяца).

Значение коэффициента утраты платежеспособности больше 1 означает наличие у предприятия реальной возможности не утратить платежеспособность в течение ближайших трех месяцев. Если коэффициент утраты платежеспособности менее 1, то это свидетельствует о том, что у предприятия в ближайшие 3 месяца имеется возможность утратить платежеспособность, т.е. оно не сможет выполнить обязательства перед кредиторами.

Ввиду реальной угрозы утраты данным предприятием платежеспособности оно ставится на соответствующий учет в органах по реорганизации предприятий.

После принятия решения о признании структуры баланса неудовлетворительной, а предприятия – неплатежеспособным у предприятия запрашивается дополнительная информация и проводится углубленный анализ его финансово-хозяйственной деятельности в целях выбора варианта проведения реорганизационных процедур для восстановления его платежеспособности или ликвидации материалов.

После изучения всех показателей финансового состояния предприятия принимается решение о проведении реорганизации, восстановления предприятия или его ликвидации.

Таким образом, анализ всех рассмотренных выше показателей позволяет выявить, насколько эффективно предприятие использует свои средства. Умение правильно их исчислять, анализировать и определять влияние различных факторов на изменение их уровня позволит полнее выявить резервы повышения эффективности производства, разработать рекомендации по устранению выявленных недостатков, оздоровлению и укреплению его финансового положения.

Глава 2 Оценка эффективности финансовой деятельности ТОО "Аркада-Индастри"

 

2.1 Предварительная оценка финансового положения предприятия, оценки его ликвидности и платежеспособности


На стадии предварительной оценки финансового положения предприятия формируется первоначальное представление о деятельности предприятия, выявляются изменения в составе имущества предприятия и их источниках, устанавливаются взаимосвязи между показателями. С этой целью определяется соотношение отдельных статей актива и пассива баланса, их удельный вес в общем итоге или валюте баланса, рассчитываются суммы отклонений в структуре основных статей баланса по сравнению с предшествующим периодом. Для удобства проведения такого исследования используется так называемый уплотненный аналитический баланс - нетто, формируемый путем агрегирования однородных по своему составу элементов балансовых статей в необходимых аналитических разрезах [8, с.68].

Баланс - нетто ТОО "Аркада-Индастри" представлен в таблице 1.

Таблица 1 - Вертикальный анализ агрегированного баланса ТОО "Аркада-Индастри" и источники его формирования за период 2005 – 2006г.

Показатели

2005 год,

тыс. тенге

% к валюте

баланса

2006 год,

тыс. тенге

% к

валюте

баланса

Отклонения

(гр5-грЗ)

Актив

99455,6

100

123155

100

-

Долгосрочные активы

18637

18,7

60734,6

49,3

30,6

Текущие активы

80818,5

81,3

62420,3

50,7

-30,6

в том числе:






Материалы

19967

20,1

24595,6

20,0

-0,1

Товары

10320,4

10,4

4036,8

3,3

-7,1

Дебиторская задолженность

50243,3

50,5

31950,7

25,9

-24,6

Денежные средства

287,64

0,3

1837,1

1,5

1,2

Пассив

99455,6

100

123155

100

-

Собственный Капитал

6293,9

6,3

12640,3

10,3

4

Долгосрочные обязательства

43920

44,2

23768,5

19,3

-24,9

Текущие

49241,67

49,5

86746

70

20,5


За 2006 г. по данным таблицы 1 активы увеличились на 23699,4 тысяч тенге. Это следствие некоторого увеличения объема долгосрочных активов на 42097,6 тысяч тенге и уменьшения оборотных средств на 18398,2 тенге. Следует отметить, однако, что в целом структура совокупных активов характеризуется некоторым превышением в их составе доли долгосрочных активов, которая составила на начало периода 18,7 %, а в конце - 49,3%.

В составе текущих активов при общем уменьшении их доли на 30,6% обращает на себя внимание уменьшение дебиторской задолженности на 24,6%, а также увеличения денежных средств на 1549,46 тыс. тенге, что составило 1,2%, при этом происходит сокращение материалов на 0,1% и товаров на 7,1%. Также следует отметить, что дебиторская задолженность составляет в структуре оборотных средств наибольшую долю, удельный вес которой за 2005 г. составил 50,5%, а за 2006 г. 25,9%., что обусловлено неплатежеспособностью потребителей продукции предприятия.

Пассивы отражают источники средств предприятия, состоят из собственного капитала, обязательств.

Собственный капитал - это активы общества, после вычета ее обязательств, состоит из:

-уставный капитал не изменился за 2 года и составляет 71,5 тыс. тг.;

-нераспределенный доход за 2005 год составил 6222,4 тыс. тенге, который увеличился на 6346,37 тыс. тенге и составил 12568,7 тыс. тенге.

Таким образом, доля собственного капитала в 2006 году увеличилась на 4% по отношению к валюте баланса.

Структура заемных средств в течение 2 лет претерпела для предприятия некоторые изменения. Так доля текущих обязательств увеличилась с 49,5% в 2005 г. до 70% в 2006 году, то есть на 20,5%. За этот период предприятие уменьшило долю долгосрочных обязательств, а именно займов банков. В 2005 году займы банков составили 44,2%, которые уменьшились на 20151,5 тыс. тг. и составили 19,3% в 2006 году, изменение составило 24,9%.

Таким образом, наблюдается увеличение текущих обязательств одновременно с ростом долгосрочных активов. За истекший период предприятие приобретает основные средства для того чтобы в будущем иметь возможность производить работы самостоятельно, без подрядных организаций.

Одним из основных критериев финансового положения предприятия является оценка его платежеспособности, под которой принято понимать способность предприятия рассчитываться по своим долгосрочным обязательствам. Следовательно, платежеспособным является то предприятие, у которого активы больше, чем внешние обязательства.

Способность предприятия рассчитывать по своим краткосрочным обязательствам называется ликвидностью. Иначе говоря, предприятие считается ликвидным, если оно в состоянии выполнить свои краткосрочные обязательства, реализуя текущие активы.

Одним из способов оценки ликвидности является сопоставление определенных элементов активов и пассивов между собой. С этой целью обязательства предприятия группируются по степени их срочности, а его активы - по степени ликвидности, то есть реализуемости.

Так, наиболее срочные обязательства предприятия, срок оплаты которых наступает в текущем месяце, сопоставляются с величиной активов, обладающих максимальной ликвидностью, то есть денежные средства, легко реализуемые ценные бумаги. При этом часть срочных обязательств, остающихся не покрытыми, должны уравновешиваться менее ликвидными активами - дебиторской задолженностью предприятия с устойчивым финансовым положением, легко реализуемыми запасами товарно-материальных ценностей и другое.


Таблица 2 - Горизонтальный анализ агрегированного баланса ТОО "Аркада-Индастри" и источники его формирования за период 2005 - 2006 года (тыс.тенге)

Наименование статей

баланса

2005 год

2006 год

Прирост

Прирост

%

Статьи актива





Денежные средства и краткосрочные финансовые вложения

287,64

1837,1

+ 1549,46

В 5 раз

Дебиторская задолженность

50243,3

31950,7

-18292,6

- 36,4

Товарно-материальные запасы

30287,4

28632,4

-1655

- 5

Долгосрочные активы

18637

60734,6

+42097,6

В 2,3 раза

Баланс

99455,6

123155

+23699,4

+23,8

Статьи пассива





Текущие обязательства

49241,67

86746

+ 37504

+ 76

Долгосрочные обязательства

43920

23768,5

-20151,5

- 45,8

Собственный капитал

6293,9

12640,3

+6346,4

+100

Баланс

99455,6

123155

+23699,4

+ 23,8

 

По данным таблицы 2 можно сделать вывод, что значительный объем долгосрочных обязательств ТОО "Аркада-Индастри" оказались покрытыми активами с относительно невысокой оборачиваемостью, такие как дебиторская задолженность покупателей, товарно-материальными запасами.

При этом обращает на себя внимание тенденция к повышению текущих обязательств на 37504 тысяч тенге или на 76%, что объясняется ростом обязательств перед подрядными организациями, а также получение значительных сумм в виде авансов от покупателей и заказчиков.

Другим показателем, характеризующим ликвидность предприятия, является оборотный капитал, который определяется как разность текущих активов и краткосрочных обязательств. Иными словами, предприятие имеет оборотный капитал до тех пор, пока текущие активы превышают краткосрочные обязательства или пока оно ликвидно. Оборотный капитал определяется разностью между текущими активами и краткосрочными обязательствами.

По данным таблицы 2 видно, что оборотный капитал анализируемого предприятия составил: на начало 2006 года: оборотный капитал = 80818,5- 49241,67 = 31576,83 тыс. тенге, на конец 2006 года: ОК = 62420,3 - 86746 = -24325,7 тыс. тенге. За анализируемый период, если в 2005 году предприятие было ликвидно, то в 2006 году наблюдается дефицит оборотного капитала.

В практике аналитической работы используют систему показателей ликвидности, рассмотренных в первой главе, рассчитываемых по формуле 7,8,9. Данные показатели позволяют определить способность предприятия оплатить свои краткосрочные обязательства в течение отчетного периода.

Рассчитаем показатели ликвидности для ТОО "Аркада-Индастри". Для расчета используем данные таблицы 1. Рассчитанные показатели ликвидности ТОО "Аркада-Индастри" отобразим в таблице 3.

Таблица 3 - Показатели ликвидности ТОО "Аркада-Индастри" за период 2005-2006 года

Показатели

2005

2006

Отклонения

Коэффициент абсолютной ликвидности

0,006

0,02

+0,014

Коэффициент быстрой ликвидности

1

0,4

-0,6

Коэффициент текущей ликвидности

1,6

0,72

-0,88


На основе таблицы 3, можно увидеть, что по данным ТОО "Аркада-Индастри" коэффициент абсолютной ликвидности составляет 0,006 на начало года, а на конец года 0,02. Таким образом, погасить свои обязательства в срочном порядке предприятие не смогло бы. Даже учитывая малую вероятность того, что все кредиторы предприятия одновременно предъявят ему свои долговые требования, и, принимая во внимание тот факт, что теоретически достаточным значением для коэффициента абсолютной ликвидности является значение 0,2. В связи с этим, учитывая допустимость сложившихся на предприятии условий, можно считать его неликвидным по составлению как на начало, так и на конец 2006 года.

Коэффициент быстрой ликвидности определяется как отношение денежных средств, ценных бумаг и дебиторской задолженности к краткосрочным обязательствам. Этот показатель характеризует, какая часть текущих обязательств может быть погашена не только за счет наличности, но и за счет ожидаемых поступлений за отгруженную продукцию.

Показатель быстрой ликвидности представляет собой большой интерес для кредиторов ТОО "Аркада-Индастри". Нормативное значение данного показателя больше или равно 0,7. Значение показателя у предприятия на начало года соответствует указанному теоретическому значению - 1, а к концу года значительно ниже – 0,4, что свидетельствует о том, что ликвидность предприятия понижается.

Коэффициент текущей ликвидности позволяет установить, в какой степени кратности текущие активы покрывают краткосрочные обязательства. В общем случае нормативными считаются значения этого показателя, находящиеся в пределах от двух до трех. Как видно, данный коэффициент на начало года ниже рекомендуемых значений, а к концу года понизился до 0,67, что является результатом уменьшения текущих активов на 22,7 %, при одновременном увеличении краткосрочных обязательств за данный период на 88,3%.

Далее определим, какая часть собственных источников средств вложена в наиболее мобильные активы, то есть которыми можно относительно маневрировать. Для этого рассчитываем коэффициент маневренности, который определяется как отношение оборотного капитала к собственному капиталу по формуле 6.

Коэффициент маневренности капитала ТОО "Аркада-Индастри" на начало года составляет 31576,8/6293,9= 5, то на конец года наблюдается дефицит оборотных средств. Это говорит о недостаточности собственных средств предприятия находящихся в мобильной форме. Имеется в виду уменьшение текущих активов при увеличении текущих обязательств.

2.2 Оценка финансовой устойчивости предприятия


К числу основных показателей финансовой устойчивости предприятия относятся:

-коэффициент независимости;

-коэффициент финансовой устойчивости;

-коэффициент финансирования.

Определим значения всех коэффициентов для ТОО "Аркада-Индастри" по состоянию на начало и на конец отчетного периода – 2006 года. Рассчитанные коэффициенты отобразим в таблице 4.

Таблица 4 - Коэффициенты финансовой устойчивости ТОО "Аркада-Индастри" за 2005-2006 г.

Показатели

2005 г.

2006 г.

Отклонения

Коэффициент независимости

0,06

0,1

+0,04

Коэффициент финансовой устойчивости

0,5

0,3

-0,2

Коэффициент финансирования

0,14

0,53

+0,39


По данным таблицы 4 можно сделать следующие выводы: коэффициент независимости характеризует долю средств, вложенных собственниками в общую стоимость имущества предприятия. Значение данного коэффициента по предприятию повысилось на конец года. Отклонение составило 4%, что отрицательно характеризует финансовую устойчивость предприятия. Коэффициент независимости составляет лишь 5% валюты баланса.

Коэффициент финансовой устойчивости или стабильности, показывает удельный вес тех источников финансирования, которые предприятие может использовать в своей деятельности длительное время. На конец года коэффициент финансовой устойчивости уменьшается на 20 %. Это свидетельствует о достаточно низком значении этого показателя на конец года. Большая часть имущества предприятия на конец года формируется за счет заемных источников. Уменьшение значения этих коэффициентов показывает, что риск предприятия максимальный; реализовав имущество, сформированного за счет собственных средств предприятие не погасит свои долговые обязательства.

Коэффициент финансирования показывает, какая часть деятельности предприятия финансируется за счет собственных средств, а какая за счет заемных. Хотя на конец года коэффициент финансирования увеличивается на 39%, Значение данного показателя позволяет говорить о достаточно низкой финансовой устойчивости предприятия и большом риске для его кредиторов.

Исследованные коэффициенты, сигнализирующие о состоянии финансовой устойчивости предприятия можно изобразить графически.

 

Кн – коэффициент независимости; Кфу – коэффициент финансовой устойчивости; Кф – коэффициент финансирования.

Рисунок 1 – Динамика показателей финансовой устойчивости предприятия "Аркада-Индастри" за 2005-2006 г.

Следующим этапом в анализе является анализ собственных источников и анализ состава и структуры заемных средств.

Анализ собственных источников целесообразно начинать с оценки их структуры и состава. Как видно из баланса, уставной капитал на начало и конец года составляет 71,5 тысяч тенге, то есть не изменился. Однако вырос нераспределенный доход предприятия в отчетном году на 6346,3 тыс. тенге.

Анализ состава и структуры заемных средств целесообразно начинать с выяснения роли в деятельности предприятия долгосрочных и краткосрочных кредитов. Для предприятия наличие в составе источников его имущества долгосрочных заемных средств позволяет располагать привлеченными средствами длительное время. Предприятие за отчетный период выплачивает значительную часть долгосрочных займов, в то время как доля краткосрочных обязательств увеличивается. Оценку изменений в структуре кредиторской задолженности удобно проводить с помощью таблицы 5.

Таблица 5 - Анализ состава и структуры кредиторской задолженности по ТОО "Аркада-Индастри"

Группы краткосрочных

обязательств

Сумма краткосрочных обязательств, тыс. тенге

Удельный вес статьи в общем объеме обязательств

Отклоне-ния гр.5-гр4, %

 

2005

2006

2005

2006

Задолженность по нетоварным операциям

821,6

11176,7

1,6

12,8

+ 11,2

 

Задолженность по расчетам с поставщиками

41847,6

50154,1

84,9

57,8

-27,1

 

Задолженность по расчетам

с покупателями

7669,7

25415,3

15,5

29,2

+13,7

 

Итого

49241,6

86746,1

100

100


 


Анализ состава и структуры кредиторской задолженности в таблице 5 показывают, что у предприятия за отчетный период увеличилась задолженность по нетоварным операциям. Отклонение составило 11,2%. Удельный вес статьи "Задолженность по нетоварным операциям" в общем объеме обязательств составил 1,6% на начало года и 12,8% на конец 2006 года, что позволяет сделать вывод о том, что доля данной задолженности в общем объеме кредиторской задолженности повысилась на конец 2006 года.

Однако наблюдается снижение задолженности по расчетам с поставщиками на 27,1% и составляет 57,8% в общем объеме обязательств.

В то же время увеличилась задолженность по расчетам с покупателями на 13,7%, а это негативно характеризует кредитоспособность предприятия.

В целом, необходимо отметить, что наблюдается тенденция повышения кредиторской задолженности в 1,76 раза (почти в двое).

Важным вопросом в анализе структуры источников средств служит оценка рациональности соотношения собственных и заемных средств. Привлечение заемных средств позволяет предприятию оплатить срочные обязательства, а также служить способом расширения своей деятельности. При этом следует иметь в виду, что использование отдельных видов заемных средств, таких как ссуды банков, займы, кредиторская задолженность поставщикам и другие, имеет для предприятий различную стоимость. В обязательном порядке выплачивается процент по ссудам банка.

По расчетам с поставщиками и подрядчиками плата за временное пользование средствами кредиторов, как правило, не взимается, хотя в случае несвоевременной оплаты предприятию придется платить пени за каждый день просрочки.

В условиях широко распространенной в Казахстане практики предварительной оплаты продукции дополнительным бесплатным источником финансирования деятельности многих предприятий товаропроизводителей стали суммы средств, поступающих от их покупателей. Такая практика показывает, что разрыв между временем поступления денег на расчетный счет и временем отгрузки продукции во многих случаях измеряется месяцами.

При сопоставлении дебиторской и кредиторской задолженности предприятия на конец года пользуются ориентировочным соотношением, то есть рекомендуемым как 2:1 соответственно. Если кредиторская задолженность не обеспечена дебиторской задолженностью, то такое положение можно оценить как неблагоприятное, так как оно может вызвать замедление обращения в деньги некоторой ликвидной части собственных средств.

Основной причиной существенных изменений структуры кредиторской задолженности явились взаимные неплатежи предприятий, что подтверждается, в частности, данными, приведенными в таблице 6.

Таблица 6 - Сопоставление дебиторской и кредиторской задолженности предприятия на конец 2006 года (тыс. тенге)

Статьи

Дебиторская задолженность

Кредиторская задолженность

Превышение задолженности

дебиторской

кредиторской

С покупателями и заказчиками

12836,9

75569,3

-

62732,4

По нетоварным операциям

19113,7

11176,7

7937


Итого

31950,7

86746,1


54795,4

 

Как видно из приведенных в таблице 6 данных, кредиторская задолженность превышает дебиторскую задолженность предприятия в целом на 54795,4 тыс. тенге, в том числе за товары, работы и услуги - на 62732,4 тыс. тенге. В то же время имеется превышение дебиторской задолженности по нетоварным операциям над кредиторской на 7937 тыс.тенге.

Общее превышение кредиторской задолженности над дебиторской задолженностью выраженное соотношением кредиторской к дебиторской задолженности будет равно 1,76.

В целом результаты оценки финансовой устойчивости предприятия "Аркада-Индастри" позволяют сделать вывод о том, что деятельность предприятия и в целом состояние его финансовой устойчивости можно охарактеризовать, как неудовлетворительное, потому что показатели финансовой устойчивости отрицательные, имеют тенденцию уменьшения на конец 2006 года. Показатели ликвидности и платежеспособности также имеют устойчивую тенденцию к понижению, и их значение на 2006 год не удовлетворительное.

Признание предприятия неплатежеспособным не означает признание его несостоятельным, не влечет за собой наступления гражданско-правовой ответственности собственника. Это лишь зафиксированное состояние финансовой неустойчивости, направленное на обеспечение оперативного контроля за финансовым состоянием предприятия и заблаговременного осуществления мер по предупреждению несостоятельности, а также для стимулирования предприятия к самостоятельному выходу из кризисного состояния.

В связи с этим целесообразно рассчитать коэффициент утраты платежеспособности по формуле 22, который анализируют при неудовлетворительной структуре баланса для проверки реальной возможности у предприятия восстановить свою платежеспособность.

Значение коэффициента утраты платежеспособности больше 1 означает наличие у предприятия реальной возможности не утратить платежеспособность в течение трех месяцев.

Для ТОО "Аркада-Индастри" по данным на 01.01.2006 года коэффициент утраты платежеспособности равен:

Куп = (0,72 + 3/12 (0,72 – 1,6)) / 2 = 0,25

Таким образом, ТОО "Аркада-Индастри" в течение 3 месяцев не сможет сохранить платежеспособность при сохранении текущих тенденций финансовой деятельности. Для улучшения финансовых показателей предприятия требуются решительные меры со стороны руководства предприятия по увеличению оборотного капитала, снижению кредиторской задолженности и активизации работы по снижению внеплановых издержек.

При этом необходимо детально разобраться в причинах задержек потребителями оплаты продукции и услуг и так далее. Эти причины могут быть внешними, не зависящими от анализируемого предприятия, а могут быть и внутренними.

2.3 Динамика оборачиваемости и рентабельности активов предприятия


Финансовое положение предприятия находится в непосредственной зависимости от того, насколько быстро средства, вложенные в активы, превращаются в реальные деньги.

Как уже было выяснено ранее, отдельные виды активов предприятия имеют различную скорость оборота.

Исходная информация для расчетов показателей оборачиваемости по ТОО "Аркада-Индастри" за 2005г. и 2006 г. представлена в таблице 7.

Таблица 7 - Исходная информация для расчетов показателей оборачиваемости по ТОО "Аркада-Индастри" за 2005-2006 г. (тыс.тенге)

Показатели

2005

2006

Изменения

Доход от реализации продукции и неосновной деятельности без НДС

182414,8

321494,8

+139080

Полная себестоимость по предприятию

162771,1

286663

+123891,9

Доход от обычной деятельности до налогообложения

7131,9

14806,2

+7674,3

Доход от обычной деятельности после налогообложения

5447,8

12568,7

+7120,9

Средняя стоимость совокупных активов

85929,6

111305,3

+25375,7

Средняя стоимость текущих активов

75762,4

71619,4

-4143

 

Как видно из таблицы 7, показатели доходов на предприятии за 2006 год повысились по сравнению с 2005 годом, что положительно характеризует эффективность деятельности предприятия, но снизилась средняя стоимость текущих активов и повысилась себестоимость произведенной продукции.

Средняя совокупность совокупных и текущих активов предприятия увеличилась, что положительно характеризует динамику имущественного состояния предприятия.

В общем случае скорость оборота активов или коэффициент оборачиваемости активов Ко.а можно определить по формуле 10.

Коэффициент оборачиваемости совокупных активов по ТОО "Аркада-Индастри" составил:

- за 2005 год Ко.а. = 182414,8 : 85929,6= 2,1 раз;

- за 2006 год, Ко.а. = 321494,8 : 111305,3 = 2,9 раз.

Затем определяем продолжительность одного оборота в днях То.а по формуле 13.

Продолжительность одного оборота совокупных активов составила:

-   за 2005 год = 360 : 2,1 = 171 дней,

-   за 2006 год = 360 : 2,9 = 124 дня.

Динамику изменения рассчитанных показателей оборачиваемости текущих активов отчетного 2006 года по сравнению с 2005 годом отобразим в таблице 8.

Таблица 8 - Динамика показателей оборачиваемости текущих активов за 2005-2006 г.

Наименование показателей

2005

2006

Отклонения

гр.3-гр.2

Доход от реализации без НДС, тыс.тенге

182414,8

321494,8

+139080

Полная себестоимость, тыс.тенге

162771,1

286663

+ 123891,9

Средняя величина текущих активов, тыс.тенге

75762,4

71619,4

-4143

Средняя величина совокупных активов, тыс.тенге

85929,6

111305,3

+25375,7

Коэффициент оборачиваемости текущих активов (стр.1/стр.3)

2,4

4,5

+2,1

Коэффициент оборачиваемости совокупных активов (стр.1/стр.4)

2,1

2,9

+0,8

Продолжительность оборота текущих активов, (360/стр.5) дни

150

80

-70

Продолжительность оборота совокупных активов, (360/стр.6) дни

171

124

-47


Как видно из таблицы 8, продолжительность оборота текущих активов уменьшилась на 70 дней, то есть средства, вложенные в анализируемом периоде в текущие активы, проходят полный цикл и снова принимают денежную форму на 70 дней меньше, чем в предыдущем периоде.

Дебиторская задолженность и производственные запасы нередко составляют значительную долю в структуре баланса предприятия. По западным источникам, для средней производственной компании на их долю приходится около 80% оборотных средств и 33% всех активов предприятия. Доля дебиторской задолженности оборотных средствах казахстанского промышленного предприятия может существенно колебаться, однако её уровень составляет обычно не менее 20-30%.

На уровень дебиторской задолженности влияют многие факторы: вид продукции, емкость рынка, степень насыщенности рынка данной продукцией, применяемая на предприятии система расчетов.

Система расчетов предприятия является одним из самых важных для бухгалтеров и финансистов моментов, несущих ответственность за эффективное управление дебиторской задолженностью. Основными видами расчетов являются продажа за наличный расчет и в кредит. В условиях нестабильности экономики преобладающей формой расчетов становится предоплата. Управление дебиторской задолженностью предполагает, прежде всего, контроль за оборачиваемостью средств в расчетах. Ускорение оборачиваемости в динамике рассматривается как положительная тенденция. Большое значение имеет отбор потенциальных покупателей и определение условий оплаты товаров, предусматриваемых в контрактах. Отбор осуществляется с помощью неформальных критериев: соблюдение платежной дисциплины в прошлом, уровень текущей платежеспособности, уровень финансовой устойчивости. Информация необходимая для анализа может быть получена из финансовой устойчивости предприятия. Анализ и контроль уровня дебиторской задолженности проводят с помощью абсолютных и относительных показателей, рассмотренных в динамике. В частности, большой интерес представляет контроль над своевременностью погашения задолженности дебиторами.

Дискуссионным среди специалистов является вопрос о правомочности сопоставления дебиторской и кредиторской задолженности. Иногда считают, что дебиторская задолженность может быть любой, но при этом она не должна превышать кредиторскую и что при анализе следует принимать только разницу между ними. Это мнение ошибочно, так как предприятие обязано погашать свою кредиторскую задолженность независимо от того, получает оно долги от своих дебиторов или нет. Поэтому при анализе следует дебиторскую и кредиторскую задолженность рассматривать раздельно:

-   дебиторскую как средства, временно отвлеченные из оборота;

-   кредиторскую — как средства, временно привлеченные в оборот.

Статья "Кредиторская задолженность" занимает большой удельный вес в разделе краткосрочные и долгосрочные обязательства баланса. Наиболее важное значение имеют статьи, связанные с кредиторами, имеющими отношение к формированию запасов товарно-материальных ценностей. Наличие задолженности поставщикам определяется объемом поступления материальных ценностей. Для определения величины кредиторской задолженности поставщикам необходимо рассчитать ожидаемую величину поступления материальных ценностей, ведь именно обоснованность политики формирования запасов во многом определяет финансовое положение предприятия, в первую очередь его ликвидность и текущую платежеспособность. Предприятие, прежде чем принимать решение о закупках должно провести большую аналитическую работу: оценить реальность структуры запасов, выявить ресурсы, объемы которых явно убыточны, и ресурсы, приобретения которых нужно ускорить. Это позволит избежать излишних вложений капитала в материалы, потребность в которых сокращается. Таким образом, обеспечивается поддержка производственных запасов в наиболее ликвидном состоянии, и сокращение средств, мобилизованных в запасы.

В таблице 9 приведены данные о кредиторской задолженности за отчетный период 2005-2006 гг.

Таблица 9 - Структура кредиторской задолженности ТОО "Аркада-Индастри", за период 2005-2006 г.

Виды кредиторской задолженности

На конец

2005 года

На конец

2006 года

тыс. тенге

%

тыс. тенге

%

Расчеты с кредиторами, всего

93161,6

100

110514,7

100

1. Займы банков

43920

47

23768,5

21,5

2 . Счета и векселя к оплате

41847,6

44,9

50154,1

45,3

3. Авансы полученные

7669,6

8

25415,2

22,9

4. Расчеты с персоналом по оплате труда

575

0,6

1028,6

0,9

5. Прочая кредиторская задолженность

246,5

0,2

10148

9


Анализ данных таблицы 9 показал, что на общую кредиторскую задолженность предприятия "Аркада-Индастри" в начале периода повлияли в основном две статьи: "Займы банков" (доля данной статьи составила 47 %) и "Счета и векселя к оплате" (процентная доля – 44,9 %). В конце 2006 года статья "Займы банков" понизилась (21,5%).

Наибольший удельный вес в структуре кредиторской задолженности предприятия занимает статья "Счета и векселя к оплате", причем удельный вес кредиторской задолженности по данной статье повысился в течение отчетного периода с 44,9 % в начале года до 45,3 % в конце.

Происходит рост удельного веса статьи "Авансы полученные" с 8% в начале года до 22,9% в конце года. Удельный вес статьи "Прочая кредиторская задолженность" повысился с начала 2006 года 0,2% до 9 % в конце года, а "Расчеты с персоналом по оплате труда" выросли с 0,6% до 0,9 % в конце года. В целом кредиторская задолженность ТОО "Аркада-Индастри" повысилась на конец 2006 года более чем на 15%.

Результат деятельности предприятия также оценивается системой показателей, основным из которых является рентабельность, определяемая как отношение прибыли к одному из показателей функционирования предприятия. Это позволяет выявить не только общую экономическую эффективность работы предприятия, но и оценить другие стороны его деятельности. Таким образом, обеспечивая интересы государства, собственников и персонала предприятий, рентабельность является одним из важнейших показателей оценки эффективности деятельности предприятия в условиях рыночной экономики. Высокий уровень рентабельности дает преимущество любому предприятию в привлечении инвестиций, в получении кредитов, в выборе поставщиков и др., что определяет конкурентоспособность, а также степень его независимости от неожиданного изменения рыночной конъюнктуры.

Исследуем систему показателей эффективности деятельности предприятия. Наиболее интересными показателями являются рентабельность активов, рентабельность текущих активов, рентабельность инвестиций, рентабельность собственного капитала, рентабельность реализованной продукции. Данные показатели рассчитываются по формулам 15-19, описанным в первой главе курсовой работы.

Значение коэффициента рентабельность реализованной продукции показывает, какой доход имеет предприятие с каждого тенге реализованной продукции. Тенденция к его снижению может быть и "красным флажком" в оценке конкурентоспособности предприятия, поскольку позволяет предположить сокращение спроса на его продукцию.

Рассчитаем данные показатели для ТОО "Аркада-Индастри" за период 2005-2006 года и результаты расчета отобразим в таблице 10.

Таблица 10 - Показатели эффективности деятельности ТОО "Аркада-Индастри" за 2005-2006 г.

Показатель

№ расч. формулы

2005

2006

Рентабельность активов

15

6,3%

11%

Рентабельность текущих активов

16

7%

17,5%

Рентабельность инвестиций

17

14,5%

17%

Рентабельность собственного капитала

18

86,5%

99%

Рентабельность реализованной продукции

19

2,9%

3,9%


Данные таблицы 10 позволяют составить аналитическое заключение о финансовом состоянии предприятия. В целом, по предприятию "Аркада-Индастри" наблюдается некоторое улучшение в использовании его имущества на конец 2006 года. С каждого тенге средств, вложенных в совокупные активы, предприятие в отчетном 2006 году получило прибыли на 11%. Эффективность использования текущих активов предприятия составила 17,5%. В отчетном 2006 году рентабельность собственного капитала составила 99%. Интерес для анализа представляет также показатель рентабельности реализованной продукции. На каждый тенге реализованной продукции предприятие в отчетном году получило 3,9 % прибыли.

Анализируемое предприятие "Аркада-Индастри" для получения чистого дохода в размере 12568 тысяч тенге при величине выручки от реализации 321 тысяч тенге предприятие задействовало в отчетном году текущие активы в размере 71619,4 тысяч тенге (в среднем).


Таблица 11 - Сводная оценка финансового состояния ТОО "Аркада-Индастри", 2005-2006 г.

Показатели

2005 год

2006 год

Изменения

1 . Распределение активов (в % к валюте баланса - нетто):




1.1 Долгосрочные активы

18,7

49,3

+30,6

1.2 Текущие активы

81,3

50,7

-30,6

2. Распределение источников средств, %




2.1 Собственные

6,3

10,3

+ 4

2.2 Заемные

93,7

89,3

-4,4

3. Ликвидность и платежеспособность




3.1 Отношение текущих активов к краткосрочным обязательствам

1,6

0,72

-0,88

3.2 Отношение ликвидных активов к краткосрочным обязательствам

0,006

0,02

+ 0,014

4. Оборачиваемость, дн.




4. 1 Совокупность активов

171

124

-47

4.2 Текущих активов

150

80

-70

5. Рентабельность, %




5.1 Реализованной продукции

2,9

3,9

+ 1

5.2 Собственного капитала

86,5

99

+ 12,5

5.3 Текущих активов

7

17,5

+ 10,5

5.4 Совокупных активов

6,3

11

+ 4,7


По данным таблицы 11 можно сделать следующие выводы. В структуре источников имущества предприятия собственный капитал в начале года составлял лишь 6,3 %, но к концу года его доля выросла и составила 10,3 %. Соответственно этому преобладает доля заемных средств, которая снизилась с 93,7 % в начале года до 89,3 % в конце.

Ликвидность предприятия "Аркада-Индастри" характеризуется следующими соотношениями: величина коэффициента покрытия уменьшается к концу года на 88 %, что связано с уменьшением оборотных средств в сравнении с ростом краткосрочных обязательств; коэффициент срочности очень низкий как в начале, так и в конце года, что характерно для современного положения предприятий, не имеющих практически денежных средств из-за неплатежей. Коэффициенты ликвидности оказались ниже рекомендуемых значений.

Деловая активность предприятия, т.е. оборачиваемость активов на предприятии характеризуется повышением в сравнении с предыдущим годом: - на 47 дней сократился период оборота текущих активов, на 70 дней - совокупных активов. При этом предприятие испытывает дефицит собственных оборотных средств.

Динамика показателей эффективности деятельности предприятия характеризуется следующим. В отчетном году из-за наличия прибыли (дохода) рентабельность реализованной продукции составила 3,9 % собственного капитала 99 %, текущих активов – 17,5 %, а совокупных активов - 11 %.

В заключение необходимо обобщить все результаты оценки, поставить более точный диагноз финансового состояния предприятия и сделать его прогноз на перспективу.

Как показывают данные, за 2006 год производственная и финансовая ситуация на предприятии несколько улучшилась. Повысились темпы роста объема производства и реализации продукции, а также темпы роста балансовой и чистой прибыли. По коэффициентам деловой активности и рентабельности можно судить о повышении активности и рентабельности предприятия.

Отмечая положительные стороны работы предприятия, в то же время следует отметить и некоторые негативные тенденции, наметившиеся в структуре капитала. Это касается, прежде всего, увеличения доли заемного капитала и соответственно степени финансового риска, величина которого превышает нормативный уровень.

В структуре активов предприятия значительно увеличилась доля основного капитала, так как данное предприятие интенсивно его обновляет. Уменьшилась доля оборотных средств. Необходимо отметить, что предприятие испытывает дефицит собственных оборотных средств, свидетельство усиления финансовой зависимости и неустойчивости его положения.

По данным проведенной оценки эффективности финансовой деятельности ТОО "Арка-Индастри" можно сделать вывод о неудовлетворительности некоторых показателей, характеризующих состояние финансов данного предприятия, особенно значимыми и неудовлетворительными являются показатели ликвидности и платежеспособности. Таким образом, финансовое состояние данного предприятия является недостаточно устойчивым.

Следует запланировать конкретные мероприятия, которые позволят улучшить финансовое состояние предприятия. Прежде всего, это мероприятия, направленные на увеличение производства и реализации продукции, повышение ее качества и конкурентоспособности, ускорении оборачиваемости капитала и более полное и эффективное использование производственного потенциала предприятия.

Глава 3 Повышение эффективности финансовой деятельности предприятия


3.1 Повышение деловой активности


Показатели деловой активности характеризуют эффективность использования оборотного капитала предприятием. Поэтому в ходе анализа деловой активности предприятия рассчитываются показатели оборачиваемости, и для оценки их уровня проводится сравнительный анализ с данными предыдущих периодов.

Неудовлетворительные результаты анализа деловой активности предприятия позволяет заинтересованным в нем лицам сделать выводы, необходимые для принятия управленческих решений о применении определенных действий для повышения деловой активности предприятия.

Основные направления повышения деловой активности предприятия:

- ускорение оборачиваемости капитала предприятия;

- экономия оборотных средств;

- обоснованный выбор стратегии реализации резервов экономии материальных ресурсов.

Рассмотрим все вышеперечисленные направления подробнее.

Важную роль в повышении деловой активности предприятия играет ускорение оборачиваемости капитала предприятия, так как чем быстрее капитал сделает кругооборот, тем больше предприятие получит и реализует продукции (работ, услуг) при одной и той же сумме капитала за определенный отрезок времени.

Ускорение оборачиваемости оборотных средств зависит от времени нахождения их на различных стадиях производственно-сбытового цикла, сокращения его длительности.

Следовательно, ускорение оборачиваемости оборотных средств является первоочередной задачей повышения деловой активности предприятия в современных условиях и достигается различными путями.

Основные пути ускорения оборачиваемости капитала:

- сокращение продолжительности производственного цикла за счет интенсификации производства (использование новейшей механизации и автоматизации производственных процессов, повышение уровня производительности труда, более полное использование производственных мощностей предприятия, трудовых и материальных ресурсов и др.);

- улучшение организации материально-технического снабжения с целью бесперебойного обеспечения производства необходимыми материальными ресурсами и сокращения времени нахождения капитала в запасах;

- ускорение процесса отгрузки продукции и оформления расчетных документов;

- сокращение времени нахождения средств в дебиторской задолженности;

- повышение уровня маркетинговых исследований, направленных на ускорение продвижения товаров от производителя к потребителю (включая изучение рынка, совершенствование товара и форм его продвижения к потребителю, формирование правильной ценовой политики, организацию эффективной рекламы и т.п.).

Если говорить об улучшении использования оборотных средств, нельзя не сказать и об экономическом значении экономии оборотных средств, которая выражается в следующем:

- снижение удельных расходов сырья, материалов, топлива обеспечивает производству большие экономические выгоды. Оно, прежде всего, дает возможность из данного количества материальных ресурсов выработать больше готовой продукции (работ, услуг) и выступает поэтому как одна из серьезных предпосылок увеличения масштабов производства.

- стремление к экономии материальных ресурсов побуждает к внедрению новой техники и совершенствованию технологических процессов.

- экономия в потреблении материальных ресурсов способствует улучшению использования производственных мощностей и повышению общественной производительности труда.

- экономия материальных ресурсов в огромной мере способствует снижению себестоимости продукции (работ, услуг).

- существенно влияя на снижение себестоимости продукции, экономия материальных ресурсов оказывает положительное воздействие и на финансовое состояние предприятия.

Таким образом, экономическая эффективность улучшения использования и экономия оборотных фондов весьма велики, поскольку они оказывают положительное воздействие на все стороны производственной и хозяйственной деятельности предприятия.

На каждом предприятии имеются резервы экономии материальных ресурсов. Под резервами следует понимать возникающие или возникшие, но еще не использованные (полностью или частично) возможности улучшения использования материальных ресурсов.

Главное направление экономии материальных ресурсов на каждом конкретном предприятии – увеличение выхода конечной продукции (работ, услуг), используя одного и то же количество материальных ресурсов на рабочих местах - зависит от технического оснащения производства, уровня мастерства работников, уровня организации материально-технического обеспечения, количества норм расхода и запасов материальных ресурсов, обоснованности их уровня.

Как видно из проведенного анализа, оборотный капитал на предприятии ТОО "Аркада-Индастри" занимает небольшое место в структуре всех средств, что может негативно сказаться на эффективности его использования. Таким образом, важной задачей в части повышения эффективности использования оборотных средств ТОО "Аркада-Индастри" является обеспечение оптимального соотношения между платежеспособностью и рентабельностью путем поддержания соответствующих размеров оборотных активов.

Как известно, критерием эффективности управления оборотными средствами служит фактор времени. Чем дольше оборотные средства пребывают в одной и той же форме (денежной или товарной), тем при прочих равных условиях ниже эффективность их использования, и наоборот.

В целом в результате анализа деловой активности как эффективности использования оборотных средств предприятием можно сделать следующие выводы:

- на деловой активности предприятия негативно сказывается небольшой размер оборотных средств предприятия в структуре всех средств.

- но и имея относительно небольшие оборотные средства ТОО "Аркада-Индастри" довольно эффективно управляет своими активами. Так как произошло значительное увеличение оборачиваемости активов в 2006 году.

В нашем случае можно сделать вывод об уменьшении в 2006 году производственно-сбытового цикла, – периода времени, в течении которого происходит полный цикл от закупки материалов до получения выручки от реализации на 90 дней, что положительно характеризует деловую активность предприятия. В связи с ускорением оборачиваемости оборотного капитала на 90 дней произошло относительное высвобождение средств из оборота на сумму 15535,8 тыс. тенге. Следовательно, предприятию необходимо начать процесс повышения эффективности управления оборотными средствами.

В целом для повышения эффективности деятельности и деловой активности предприятия руководству ТОО "Аркада-Индастри" необходимо принять определенные меры по увеличению оборачиваемости активов. Такими мерами могут быть увеличение доли оборотных средств в общей структуре средств предприятия и повышение интенсивности использования имеющегося капитала предприятия.

В современных условиях крайне важно правильно определять потребность в оборотных средствах. Оборотные средства предприятия должны быть распределены по всем стадиям кругооборота в соответствующей форме и в минимальном, но достаточном объеме. Сверхнормативные запасы отвлекают из оборота денежные средства, свидетельствуют о недостатках материально-технического обеспечения, неритмичности процессов производства и реализации продукции (работ, услуг). Все это приводит к омертвению ресурсов, их неэффективному использованию.

Следовательно, предприятию необходимо увеличить объем текущих активов. Для этого руководству предприятия нужно точно знать размер оборотных средств, необходимых предприятию для нормальной производственной деятельности.

Данная величина определяется и устанавливается предприятием путем разработки норм и нормативов оборотных средств, которые должны обеспечить постоянную потребность предприятия в производственных запасах, незавершенном производстве, в средствах для расходов в будущих периодах, в остатках готовой нереализованной продукции (работ, услуг) в планируемом году с учетом условий производства, снабжения и сбыта продукции (работ, услуг).

Норма - установленная мера оборотных средств, величина, выраженная в днях, процентах и других измерителях (норма оборотных средств — в днях, норма запасов — в тенге и т.п.).

Норматив - величина регламентированной суммы денежных средств, необходимой предприятию на тот или иной плановый период для образования переходящих минимальных запасов по элементам оборотных средств.

Как правило, минимальная потребность предприятия в оборотных средствах покрывается за счет собственных источников: прибыли, уставного капитала, резервного капитала и др. Однако в силу ряда объективных причин (инфляция, рост объемов производства, задержки в оплате счетов клиентов и др.) у предприятия возникают временные дополнительные потребности в оборотных средствах. В этих случаях финансовое обеспечение хозяйственной деятельности сопровождается привлечением заемных источников — банковских и коммерческих кредитов, займов инвестиционного налогового кредита и др.

3.2 Разработка мероприятий по повышению платежеспособности и ликвидности


Планирование процедур повышения платежеспособности и ликвидности осуществляется после принятия решений о стабилизации на основании системы критериев финансовой неустойчивости, которые сводятся к следующему:

-о принятии структуры баланса неудовлетворительной, а предприятия – неплатежеспособным;

-о наличии реальной возможности предприятия-должника восстановить свою платежеспособность;

-о наличии реальной возможности утраты платежеспособности предприятия, когда оно в ближайшее время не сможет выполнить свои обязательства перед кредиторами.

Указанные решения принимаются по результатам анализа и вне зависимости от наличия установленных законодательством внешних признаков несостоятельности. Принятые решения являются основанием для подготовки предложений по оказанию финансовой поддержки неплатежеспособности, приватизации этих предприятий, ликвидационных мероприятий, а также применение иных установленных действующим законодательством полномочий управления. Для этого запрашивается дополнительная информация и проводится углубленный анализ финансово-хозяйственной деятельности предприятия.

Согласно законодательству и мировой практике показатели для оценки удовлетворительности структуры баланса являются:

-коэффициент текущей ликвидности (общего покрытия), определяемого отношением текущих активов (II раздел баланса) к текущим обязательствам (IV раздел баланса за вычетом доходов будущих периодов). Коэффициент текущей ликвидности характеризует общую обеспеченность предприятия оборотными средствами для ведения хозяйственной деятельности и своевременного погашения текущих обязательств предприятия;

-коэффициент обеспеченности собственными средствами, определяемого отношением собственных оборотных средств (собственный капитал минус долгосрочные активы = III раздел баланса минус I раздел баланса) к стоимости текущих активов (II раздел баланса). Он характеризует наличие собственных оборотных средств у предприятия, необходимых для его финансовой устойчивости.

Коэффициент текущей ликвидности был рассчитан во второй главе и на 2006 год составляет 0,72 и имеет тенденцию к понижению. На предприятии наблюдается дефицит собственных оборотных средств.

Основанием для признания структуры баланса предприятия неудовлетворительной, а предприятия – неплатежеспособным является выполнение одного из следующих условий:

-коэффициент текущей ликвидности на конец 2006 года имеет значение 0,72;

-предприятие имеет дефицит собственных оборотных средств.

Для анализируемого предприятия значение первого коэффициента не достигает нормативной величины.

Значение коэффициента утраты платежеспособности меньше единицы, это свидетельствует о том, что у предприятия в ближайшие три месяца нет возможности восстановить платежеспособность.

Система расчетов предприятия является одним из самых важных для бухгалтеров и финансистов моментов, несущих ответственность за эффективностью управления дебиторской задолженностью.

Для укрепления финансовой стабильности предприятия можно рекомендовать следующие мероприятия:

- ускорить отгрузку готовой продукции с введением предоплаты за поставленную продукцию;

- усилить контроль над своевременным погашением кредиторской задолженности и своевременным возвратом дебиторской задолженности;

- не допускать ответвление собственного капитала в дебиторской задолженности.

Конкретные пути выхода предприятия из кризисной финансовой ситуации зависят от причин его несостоятельности. На предприятии "Аркада-Индастри" такими причинами является низкая платежеспособность и ликвидность. Данные показатели деятельности предприятия можно улучшить. Для этого нужно запланировать конкретные мероприятия.

В целом можно сделать вывод, что у предприятия "Аркада-Индастри" в финансовом плане наметилась тенденция к снижению финансовой устойчивости, что выражается в низкой ликвидности и платежеспособности. Но пока еще у предприятия низкая вероятность банкротства, руководство может предпринять некоторые шаги по оздоровлению предприятия.

В частности, такими шагами являются:

-   продажа части недвижимого имущества и избавление от избыточных товарно-материальных запасов;

-   увеличение уставного капитала, получение долгосрочных ссуд или займа на пополнение оборотных средств,

-   разработка и осуществление программы сокращения затрат, улучшение управления активами,

-   получение государственной финансовой поддержки на безвозмездной или возвратной основе из бюджетов различных уровней, отраслевых и межотраслевых внебюджетных фондов.

-   проведение правильной маркетинговой политики.

Большое влияние на финансовую устойчивость также оказывают средства, дополнительно мобилизованные на рынке ссудных капиталов. Чем больше денежных средств может привлечь предприятие, тем выше его финансовые возможности, однако возрастает и финансовый риск – способно ли будет предприятие своевременно расплатиться со своими кредиторами.

 


Заключение


В условиях рыночной экономики объективная оценка предприятия приобретает весьма актуальное значение, т. к. от ее обоснованности зависит достоверность и реальность информации, представляемой заинтересованным лицам. Наиболее часто в практике оценка используется при составлении финансового отчета предприятий всех типов и форм собственности для предоставления их владельцам полной информации об истинном финансовом положении и перспективах предприятия.

Финансовое состояние предприятия представляет собой отражение финансовой устойчивости предприятия на определенный момент и обеспеченности его финансовыми ресурсами для непрерывного процесса работы и своевременного погашения своих долговых обязательств.

Для оценки эффективности финансовой деятельности предприятия применяются методы финансового анализа, который представляет собой процесс, основанный на изучении данных о финансовом состоянии и результатах деятельности предприятия в прошлом с целью оценки перспективы его развития.

Анализ структуры имущества предприятия, источников формирования имущества, анализ показателей ликвидности, платежеспособности позволяет выявить, насколько эффективно предприятие использует свои средства. Умение правильно их исчислять, анализировать и определять влияние различных факторов на изменение их уровня позволит полнее выявить резервы повышения эффективности производства, разработать рекомендации по устранению выявленных недостатков, оздоровлению и укреплению его финансового положения.

В курсовой работе была проведена оценка эффективности финансовой деятельности на материалах предприятия ТОО "Аркада-Индастри".

По результатам оценки можно сделать следующие выводы:

- состояние финансовой устойчивости предприятия можно охарактеризовать, как неудовлетворительное, потому, что показатели финансовой устойчивости отрицательные, принимают значения ниже рекомендуемых. Показатели ликвидности и платежеспособности также имеют устойчивую тенденцию к понижению, и их значение на 2006 год не удовлетворительное.

- значение коэффициента утраты платежеспособности меньше 1 означает наличие у предприятия возможности утратить платежеспособность в течение ближайших трех месяцев.

- ликвидность предприятия "Аркада-Индастри" характеризуется следующими соотношениями: величина коэффициента текущей ликвидности уменьшается к концу года на 88%, что связано с уменьшением оборотных средств в сравнении с ростом краткосрочных обязательств; коэффициент срочности очень низкий как в начале, так и в конце года;

- деловая активность предприятия имеет удовлетворительные значения показателей: оборачиваемость активов на предприятии характеризуется увеличением в сравнении с предыдущим годом: - на 70 дней уменьшился период оборота текущих активов, на 47 дней - совокупных активов.

- динамика показателей эффективности деятельности предприятия характеризуется следующим. В 2006 году рентабельность реализованной продукции составила 3,9 %, собственного капитала 99 %, текущих активов – 17,5 %, а совокупных активов - 11 %.

Результаты оценки следующие: рассматриваемое предприятие в целом не обеспечивает себе финансовую устойчивость, наблюдается тенденция снижения финансовой устойчивости. Собственный капитал предприятия имеет тенденцию к повышению, но также и повышается зависимость от внешних источников финансирования. Это свидетельствует о том, что ТОО "Аркада-Индастри" активизирует свою финансово-хозяйственную деятельность и в том числе за счет внешних источников финансирования, и при этом еще находится в зоне финансовой безопасности.

Таким образом, в результате проведенного расчета можно сделать вывод, что финансовое состояние предприятия недостаточно устойчивое.

Руководство предприятия приняло решение запланировать конкретные мероприятия, которые позволят улучшить финансовое состояние предприятия. Прежде всего, такими мероприятиями являются мероприятия, направленные на увеличение производства и реализации продукции, повышение ее качества и конкурентоспособности, снижение себестоимости, рост прибыли и рентабельности, ускорении оборачиваемости капитала и более полное и эффективное использование производственного потенциала предприятия.

Список использованной литературы


1. Послание Президента Республики Казахстан Нурсултана Назарбаева народу Казахстана "Новый Казахстан в новом мире".

2. Артеменко В.Г., Беллендир М.В. Финансовый анализ: Учебное пособие - М.:ДИС, 1997 – 128с.

3. Шеремет А.Д., Сайфулин Р.С. Методика финансового анализа. - М.: Инфра-М, 1995.

4. Дюсембаев К.Ш. Анализ финансового положения предприятия: Учебное пособие.-Алматы: Экономика, 1998.

5. Ефимова О.Е. Финансовый анализ – М.: АО Бизнес школа, 1994

6. Ковалев В.В. Финансовый анализ: управление капиталом. Выбор инвестиций. Анализ отчетности. – М.: Финансы и статистика, 1996 – 432с.

7. Савицкая Г.В. Анализ хозяйственной деятельности предприятия: 4-е изд., перераб. и доп. – Минск: "Новое знание", 2000 – 688с.

8. Бакадаров В.Л., Алексеев П.Д., Финансово – экономическое состояние предприятия. Практическое пособие. – М.: издательство "ПРИОР", 2000 – 205с.

9. Патров В.В., Ковалев В.В. Как читать баланс. М.: Финансы и статистика. 1993.

10. Крейнина М.Н. Анализ финансового состояния предприятия. – М.: Экономика, 1997 – 198с.

11. Ковалева А.М. Финансовый анализ – М.: Финансы и статистика, 1998 – 302с.

12. Шеремет А.Д., Сайфулин Р.С. Финансы предприятий. - М. : Инфра – М., 1999- 343 с.

13. Баканов М.И., Шеремет А.Д. Теория анализа хозяйственной деятельности – М.: Финансы и статистика. – 1995 –157с.

14. Закон Республики Казахстан "О бухгалтерском учете и финансовой отчетности (с изменениями и дополнениями от 28.02.07)

15. Комекбаева Л.С. Финансы предприятий: Учебное пособие. - Караганда: "Болашак- Баспа", 2000.-108 с.

16. Самин В.Н., Ситникова О.Ю. Техника финасово-экономических расчетов. – Алматы, 1998.

17. Сейдахметова Ф.С. "Современный бухгалтерский учет": Учебное пособие. В 2-х частях. – Алматы: Экономика, 2000.-336с.

18. Клейнер Г.Б., Петросян Д.С. Оценка финансового состояния предприятия/ Финансовые и бухгалтерские консультации. – М.:"Контакт". Инвест- Фонд, 2005.

Приложение 1


ОТЧЕТ О доходах и расходах

Наименование организации ТОО "Аркада-Индастри"

Единица измерения тыс.тенге

НАИМЕНОВАНИЕ ПОКАЗАТЕЛЕЙ

Код стр.

2005

2006

Доход от реализации готовой продукции (товаров, работ, услуг)

010

182414,8

321494,8

Себестоимость реализованной готовой продукции (товаров, работ,услуг)

020

162771,1

286663

Валовой доход (стр. 010 - стр.020)

030

19643,7

34831,8

Расходы периода, всего

040

12511,8

20025,6

 в том числе:

 

 

 

 расходы по реализации

041

 

 

 общие и административные расходы

042

10055,6

13350,8

 расходы на выплату вознаграждения

043

2456,2

6674,7

Доход (убыток) от основной деятельности (стр. 030 - стр. 040)

050

7131,8

14806,2

Доход (убыток) от неосновной деятельности

060

 

 

Доход (убыток) от обычной деятельности до налогообложения (стр. 050 + стр. 060)

070

7131,8

14806,2

Расходы по корпоративному подоходному налогу

080

1684

2237,4

Доход (убыток) от обычной деятельности после налогообложения (стр. 070 - стр. 080)

090

5447,8

12568,7

Доход (убыток) от чрезвычайных ситуаций

100

 

 

ЧИСТЫЙ ДОХОД (УБЫТОК) (стр. 090 - стр. 100)

110

5447,8

12568,7


Руководитель_________________________

Главный бухгалтер____________________

 


Приложение 2


Бухгалтерский баланс

Наименование организации  ТОО Аркада-Индастри

Организационно-правовая форма Товарищество с ограниченной ответственностью

 

АКТИВЫ

Код стр.

На 01.01.2006г

На 01.01.2007г.

 

1

2

3

4

 

I. ДОЛГОСРОЧНЫЕ АКТИВЫ

 



 

Нематериальных активы (101 - 106), всего

010

28,4

28,4

 

 в т. ч. гудвилл (105)

011


-

 

Амортизация нематериальных активов (111-116)

020

5,4

9,5

 

Балансовая (остаточная) стоимость нематериальных активов (стр. 010 - стр. 020), всего

030

23

18,9

 

 в т. ч. гудвилл (105)

031



 

Основные средства, всего

040

19387,2

67168,5

 

 в том числе:

 



 

 земля (121)

041

235,5

235,5

 

 здания и сооружения (122)

042

4432,1

3313,1

 

 машины и оборудование, передаточные устройства (123)

043

13948,7

54436

 

 транспортные средства (124)

044


8020,6

 

 прочие основные средства (125)

045

770,9

1163,2

 

 незавершенное строительство (126)

046



 

Износ основных средств (131-134)

050

773,2

6 452,9

 

Балансовая (остаточная) стоимость основных средств (стр. 040 - стр. 050), всего

060

18614

60715,6

 

 в том числе:

 



 

 земля

061

235,5

235,5

 

 здания и сооружения

062

4226,2

3 048,3

 

 машины и оборудование, передаточные устройства

063

13416,7

49017

 

 транспортные средства

064


7381,2

 

 прочие основные средства

065

735,5

15033,5

 

Инвестиции, всего

070



 

 в том числе:

 



 

 инвестиции в дочерние организации (141)

071



 

 инвестиции в зависимые организации (142)

072



 

 инвестиции в совместно контролируемые юридические лица (143)

073



 

 инвестиции в недвижимость (144)

074



 

 долгосрочные финансовые инвестиции (401-403)

075



 

Долгосрочная дебиторская задолженность, всего

080



 

 в том числе:

 



 

 счета к получению (301,303)

081



 

векселя полученные (302)

082



 

 задолженность дочерних (зависимых) организаций, совместно контролируемых юридических лиц (321-323)

083



 

 прочая дебиторская задолженность (332-334)

084



 

 расходы будущих периодов (341-343)

085



 

ИТОГО ДОЛГОСРОЧНЫХ АКТИВОВ (стр. 030 + стр. 060 + стр. 070 + стр. 080 )

18637

60734,6

 

II. ТЕКУЩИЕ АКТИВЫ

 



 

Товарно - материальные запасы, всего

100

30287,5

28632,5

 

 в том числе:

 



 

 материалы (201-208)

101

19967

24595,6

 

 незавершенное производство (211-213)

102



 

 товары (221-223)

103

10320,4

4036,8

 

Краткосрочная дебиторская задолженность, всего

110

50243,3

31950,7

 

 в том числе:

 



 

 счета к получению (301, 303)

111

35152,3

12 836,9

 

 векселя полученные (302)

112



 

 задолженность дочерних (зависимых) организаций, совместно контролируемых юридических лиц (321-323)

113



 

 расходы будущих периодов (341-343)

114

138,7

178,9

 

 авансы полученные (351-353)

115

13177,5

16 597,9

 

 прочая дебиторская задолженность (331-334)

116

1774,7

2 336,8

 

 Краткосрочные финансовые инвестиции (401-403)

120



 

Деньги (411, 421-424, 431, 432, 441, 451, 452)

130

287,6

1837,1

 

ИТОГО ТЕКУЩИХ АКТИВОВ (стр. 100 + стр. 110 + стр. 120 + стр. 130)

140

80818,5

62420,3

 

БАЛАНС (стр. 090 + стр. 140)

 

99455,6

123155

 

СОБСТВЕННЫЙ КАПИТАЛ И ОБЯЗАТЕЛЬСТВА

 



 

III. Собственный капитал

 



 

Уставный капитал (501-503)

150

71,5

71,5

 

Неоплаченный капитал (511)

160



 

Изъятый капитал (521)

170



 

Дополнительный оплаченный капитал (531)

180



 

Сумма переоценки (дополнительный неоплаченный капитал), всего

190



 

 в том числе:

 



 

 основных средств (541)

191



 

 инвестиций (542)

192



 

 прочих активов (543)

193



 

Резервный капитал (551, 552)

200



 

Нераспределенный доход (непокрытый убыток) (561, 562)

210

6222,4

12568,7

 

 в том числе:

 



 

 отчетного года (561)

211

5447,8

12734,5

 

ИТОГО СОБСТВЕННОГО КАПИТАЛА (стр. 150 + стр. 160 + стр. 170 + стр. 180 + стр. 190 + стр. 200 + стр. 210)

220

6293,9

12640,2

 

 

6293,9

12 640,2

 

IV. ДОЛГОСРОЧНЫЕ ОБЯЗАТЕЛЬСТВА

 



Займы, всего

230

43920

23768,5

 

 в том числе:

 



 

 займы банков (601)

231

43920

23768,5

 

 займы от внебанковских учреждений (602)

232

-

-

 

 прочие (603)

233

-


 

Отсроченный корпоративный подоходный налог (632)

240



 

ИТОГО ДОЛГОСРОЧНЫХ ОБЯЗАТЕЛЬСТВ (стр. 230 + 240)

250

43920

23768,5

 

V. ТЕКУЩИЕ ОБЯЗАТЕЛЬСТВА

 



 

Краткосрочные займы и овердрафт (601-603)

260



 

Текущая часть долгосрочных займов (601-603)

270



 

Краткосрочная кредиторская задолженность, всего

280

49517,2

75569,4

 

 в том числе:

 



 

 счета и векселя к оплате (603, 671)

281

41847,6

50154,1

 

 дивиденды к выплате (621-623)

282

-

-

 

 авансы полученные (661-663)

283

7669,6

25415,2

 

Расчеты с бюджетом (631, 633-639)

290

-1097,2

-

 

Кредиторская задолженность дочерним (зависимым) организациям, совместно контролируемым юридическим лицам (641-643)

300



 

Прочая кредиторская задолженность и начисления, всего

310

821,6

11176,7

 

 в том числе:

 



 

 гарантии и условные обязательства (651, 652)

311

-

-

 

 расчеты с персоналом по оплате труда (681)

312

575

1028,6

 

 прочие (682-687)

313

246,5

10148

 

 доходы будущих период (611)

314

-

-

 

ИТОГО ТЕКУЩИХ ОБЯЗАТЕЛЬСТВ

(стр. 260 + стр. 270 + стр. 280 + стр. 290 + стр. 300 + стр. 310)

320

49241,6

86746,1

 

 БАЛАНС (стр. 220 + стр. 250 + стр. 320)

 

99455,6

123155

 


Похожие работы на - Оценка, результаты финансовой работы на предприятии

 

Не нашли материал для своей работы?
Поможем написать уникальную работу
Без плагиата!
Без нейросетей!