Особливості організації фінансів підприємств в сучасних умовах

  • Вид работы:
    Курсовая работа (т)
  • Предмет:
    Финансовый менеджмент, финансовая математика
  • Язык:
    Русский
    ,
    Формат файла:
    MS Word
    80,97 kb
  • Опубликовано:
    2011-01-14
Вы можете узнать стоимость помощи в написании студенческой работы.
Помощь в написании работы, которую точно примут!

Особливості організації фінансів підприємств в сучасних умовах

 

 

 

 

 

 

 

 

 

 

 

 

 

ТЕМА

 

Особливості організації фінансів підприємств в сучасних умовах

 

 

ЗМІСТ


Вступ

І. ПРОГНОЗУВАННЯ ФІНАНСОВОГО СТАНУ

ІІ. ПЛАНУВАННЯ ФІНАНСОВОЇ ДІЯЛЬНОСТІ

2.1 Призначення і форми фінансового планування

2.2 Фінансовий план

2.3 Платіжний календар

2.4 Бізнес план

ІІІ. АНАЛІЗ ФІНАНСОВОГО-ГОСПОДАРСЬКОЇ ДІЯЛЬНОСТІ ПІДПРИЄМСТВА

3.1 Зміст і задачі АГД

3.2 Методика комплексного аналізу господарської діяльності

ІV. АНАЛІЗ ЛІСОГОСПОДАРСЬКОГО ПІДПРИЄМСТВА

4.1 Аналіз лісогосподарських робіт

4.2 Аналіз якості виконаних робіт

4.3 Аналіз витрат на одиницю виконаних робіт

ВИСНОВКИ

СПИСОК ВИКОРИСТАНОЇ ЛІТЕРАТУРИ

Доповідь до курсової роботи

ВСТУП


В організаційній та управлінській роботі підприємств діяльність займає особливе місце. Від неї багато в чому залежить своєчасність та повнота фінансового забезпечення виробничо-господарської діяльності та розвитку підприємства, виконання фінансових зобов’язань перед державою та іншими суб’єктами господарювання.

Фінансова діяльність – це система використання різних форм і методів для фінансового забезпечення функціонування підприємств та досягнення ними поставлених цілей, тобто це та практична фінансова робота, що забезпечує життєдіяльність підприємства, поліпшення її результатів.

Фінансову діяльність підприємства спрямовано на виконання таких основних завдань:

Ø   фінансове забезпечення поточної виробничо-господарської діяльності;

Ø   пошук резервів збільшення доходів, прибутку, підвищення рентабельності та платоспроможності;

Ø   своєчасність виконання фінансових зобов’язань перед суб’єктами господарювання, бюджетом, банками;

Ø   мобілізація фінансових ресурсів в обсязі, необхідному для фінансування виробничого й соціального розвитку, збільшення власного капіталу;

Ø   контроль за ефективним, цільовим розподілом та використанням фінансових ресурсів.

Фінансова робота підприємства здійснюється за такими основними напрямками:

Ø   фінансове прогнозування та планування;

Ø   аналіз та контроль виробничо-господарської діяльності;

Ø   оперативна, поточна фінансово-економічна робота.

Фінансове прогнозування та планування є однією з найважливіших ділянок фінансової роботи підприємства. На цій стадії фінансової роботи визначається загальна потреба в грошових коштах забезпечення нормальної виробничо-господарської діяльності та можливість одержання таких коштів.

За ринкових умов підприємство самостійно визначає напрямки та розмір використання прибутку, який залишається в його розпорядженні після сплати податків. Метою складення фінансового плану є визначення фінансових результатів на підставі прогнозування величини фінансових показників: власних оборотних коштів, амортизаційних відрахувань, прибутку, суми податків.

Планування виручки є необхідним для розробки плану прибутку від реалізації продукції, визначення суми планових платежів у бюджет. Від обґрунтованості та правильності розрахунку виручки великою мірою залежить також реальність основного джерела надходження коштів та розмір запланованого прибутку.

Мета планування витрат – визначення можливості найекономнішого витрачання матеріальних, трудових та грошових ресурсів на одиницю продукції. Зменшення витрат виробництва та обороту є важливим фактором збільшення ефективності виробництва. Зниження собівартості за рахунок економії сировини, матеріалів, палива, енергії та живої праці дає змогу виробити значну кількість додаткової продукції, збільшити прибуток та рентабельність підприємств, створює реальні можливості для самофінансування. Скорочення витрат на виробництво одиниці продукції є матеріальною підставою для зниження цін на неї, а отже, і прискорення обертання оборотних коштів.

Плануючи витрати на виробництво та реалізацію продукції, необхідно врахувати резерви зниження її собівартості, до яких належать:

Ø   поліпшення використання основних виробничих засобів та збільшення у зв’язку з цим випуску продукції на кожну гривню основних засобів;

Ø   раціональне використання сировини, матеріалів, палива, енергії та скорочення витрат на одиницю продукції без зниження її якості;

Ø   зменшення затрат живої праці на одиницю продукції на основі науково-технічного прогресу;

Ø   скорочення витрат на реалізацію продукції за рахунок удосконалення форм її збуту;

Ø   зменшення витрат від браку та безгосподарності, ліквідація непродуктивних витрат;

Ø   економія в адміністративно-управлінській сфері на основі раціональної організації апарату управління підприємством.

Спираючись на опрацьовані фінансові показники, складають перспективні, поточні та оперативні фінансові плани. Поточний фінансовий план – у формі балансу доходів та витрат грошових коштів, оперативний – у формі платіжного календаря.

Аналіз та контроль фінансової діяльності підприємства – це діагноз його фінансового стану, що уможливлює визначення недоліків та прорахунків, виявлення та мобілізацію внутрішньогосподарських резервів, збільшення доходів та прибутків, зменшення витрат виробництва, підвищення рентабельності, поліпшення фінансово-господарської діяльності підприємства в цілому. Матеріали аналізу використовуються в процесі фінансового прогнозування, планування та управління.

Підприємство має опрацювати таку систему показників, з допомогою якої воно змогло б із достатньою точністю оцінити поточні та стратегічні можливості підприємства. Аналітичну роботу підприємства можна поділити на два блоки:

1.аналіз фінансових результатів та рентабельності;

2.аналіз фінансового стану підприємства.

Аналіз фінансових результатів підприємства здійснюється за такими основними напрямками:

Ø   аналіз та оцінка рівня і динаміки показників прибутковості, факторний аналіз прибутку від реалізації продукції, робіт послуг;

Ø   аналіз фінансових результатів від іншої реалізації, позареалізаційної та фінансової інвестиційної діяльності;

Ø   аналіз та оцінка використання чистого прибутку;

Ø   аналіз взаємозв’язку витрат, обсягів виробництва продукції та прибутку;

Ø   аналіз взаємозв’язку прибутку, руху оборотного капіталу та грошових потоків;

Ø   аналіз та оцінка впливу інфляції на фінансові результати;

Ø   факторний аналіз показників рентабельності.

Аналіз фінансового стану підприємства проводиться за такими напрямками:

Ø   аналіз та оцінка складу та динаміки майна;

Ø   аналіз фінансової стійкості підприємства;

Ø   аналіз ліквідності балансу;

Ø   комплексний аналіз і рейтингова оцінка підприємства.

Поточна та оперативна фінансова робота на підприємстві спрямовується на практичне втілення фінансового забезпечення підприємницької діяльності, постійне підтримування платоспроможності на належному рівні.

Зміст поточної оперативної фінансової роботи на підприємстві полягає в такому:

Ø   постійна робота зі споживачами стосовно розрахунків за реалізовану продукцію, роботи, послуги;

Ø   своєчасні розрахунки за поставлені товарно-матеріальні цінності та послуги з постачальниками;

Ø   забезпечення своєчасної сплати податків, інших обов’язкових платежів у бюджет та цільові фонди;

Ø   своєчасне проведення розрахунків із заробітної плати;

Ø   своєчасне погашення банківських кредитів та сплата відсотків;

Ø   здійснення платежів за фінансовими операціями.

I. ПРОГНОЗУВАННЯ ФІНАНСОВОГО СТАНУ

Процес переходу економіки України на ринкові відносини відбувається у складних умовах спаду виробництва та інфляції, темпи якої в 2002 – 2003рр. набули загрозливого характеру, у 2004 – 2005рр. вони були дещо знижені проте залишилися на гіперінфляційному рівні, а в 2005 – 2006 рр.хоч і різко зменшилися, проте остаточно інфляція передбачена. Це вкрай негативно впливає на фінанси підприємств, націлює їх на вирішення лише сьогоденних завдань виживання, унеможливлює здійснення заходів щодо зміцнення фінансової бази на скільки-небудь віддалену перспективу. Але процес поступової стабілізації економічного становища обов’язково викличе до життя потребу у прогностичному підході до організації фінансів підприємств, за якого платоспроможність та інші показники фінансового стану розглядаються в динамічній перспективі.

Без прогнозу показників фінансового господарства підприємство не має змоги планувати розвиток своєї матеріально-технічної бази, роботи витрати, віддача від яких віддалена в часі від їх проведення (наприклад на науково-дослідницькі і дослідно-конструкторські роботи, на вдосконалення технології виробництва, на купівлю цінних паперів, капітальні витрати в соціальну сферу тощо), розумно будувати свої господарські відносини з покупцями й постачальниками, банками, іншими партнерами. Так, жоден комерційний банк не надасть позичку підприємству, яке не може дати чіткого прогнозу свого фінансового стану на період до повернення заборгованості. Зокрема через труднощі за нинішніх інфляційних умов складати такі прогнози на більш-менш віддалений термін (наприклад на два-три роки) практично зведено нанівець довготермінове банківське кредитування.

Під прогнозуванням фінансового стану розуміють передбачення обсягу та розміщення фінансових ресурсів підприємства на певний термін наперед шляхом вивчення динаміки розвитку підприємства як суб’єкта господарської діяльності на фоні реалій економічного життя суспільства.

Залежно від терміну такого передбачення розрізняють короткотермінове (у межах одного року), середньо термінове (більш як два роки) прогнозування фінансового стану підприємства.

Об’єктом прогнозування має бути насамперед обсяг фінансових ресурсів, які надійдуть у розпорядження підприємства за період, стосовно якого складається прогноз. Такими ресурсами є прибуток, що залишається у підприємства після сплати податків та обов’язкових платежів, а також амортизаційні відрахування, які відшкодовуються через ціну на продукцію. Як уже зазначалось, умовно суму чистого прибутку та амортизації у складі виручки від реалізації називають грошовим потоком, саме від його величини залежать можливості підприємства збільшити свої кошти (статутний капітал насамперед), бо інші складові виручки від реалізації йдуть на різні платежі відповідно до свого призначення.

Прогнозувати обсяг грошового потоку можна зробивши припущення, що його питома вага у складі валового доходу підприємства лишається більш-менш сталою. Це припущення ґрунтується, по-перше, на наявність тенденції до вирівнювання рентабельності продукції у ринковій економіці й, по-друге, на відсутність різних змін у політиці держави щодо оподаткування (доходу). Тому є сенс розрахувати коефіцієнт грошового потоку підприємства за звітний період (як частку від ділення чистого прибутку й амортизації на валовий дохід) і поширити цей показник на очікуване надходження виручки в майбутньому.

Приклад.

За 2004р. промислове підприємство одержало виручку від реалізації продукції власного виробництва у договірних цінах (не включаючи податок на додану вартість і акцизний збір) на суму 8950 тис. грн. Повна собівартість продукції склала 6960 тис. грн., у тому числі амортизація основних засобів 490 тис. грн., ставка оподаткування прибутку встановлена у розмірі 30 відсотків. Звідси коефіцієнт грошового потоку становить:

0,7(8950-6960-490)+490 =1540 =0,18.

                    8950               8950

Якщо передбачається находження валового доходу в наступному році (з урахуванням очікуваного темпу приросту обсягу виробництва та очікуваного темпу інфляції, що однаковою мірою охопить зростання цін на вартість як засобів праці, предметів праці, робочої сили, так і продукції підприємства), наприклад 10550 тис. грн., то грошовий потік становитиме 10550х0,17=1793 тис. грн.

Якщо прогнозувати різні темпи зростання цін на продукцію підприємства, з одного боку, і на фактори праці (сировину, робочу силу тощо), з другого, то ці розрахунки дещо ускладнюються.

Знаючи з більшою чи меншою мірою ймовірності обсяг власних фінансових ресурсів, що надійдуть у майбутньому, можна зробити прогноз їх розміщення в активи підприємства у розрахунку на додержання вже досягнутого рівня ліквідності і платоспроможності (якщо вони задовільні) або на поліпшення показників, що їх характеризують. Це досягається шляхом розробки прогнозних балансів доходів та видатків і прогнозних сальдових балансів, де зокрема, мають бути враховані всі резерви мобілізації фінансових ресурсів, які завантажені у національні витрати (наприклад, мова може йти про реалізацію зайвого для підприємства устаткування, залучення у виробництво наднормативних запасів сировини й матеріалів, стягнення дебіторської заборгованості тощо). Ці розрахунки мають також передбачати всі додаткові витрати, пов’язані, наприклад, з капіталовкладеннями, приростом нормативу оборотних коштів та іншими потребами підприємства на прогнозований період.

Балансуючими статтями таких прогнозних розрахунків можуть бути випуск облігацій або інших цінних паперів, залучення банківських кредитів, а в акціонерних товариств, крім того, додаткова емісія акцій. Готуватися до залучення додаткових фінансових ресурсів через ці канали підприємство має заздалегідь, тому прогнозування фінансового стану є необхідним елементом фінансової роботи.

ІІ. ПЛАНУВАННЯ ФІНАНСОВОЇ ДІЯЛЬНОСТІ

2.1 Призначення і форми фінансового планування

Фінансове планування на рівні господарюючих суб’єктів – це процес планування надходжень і використання фінансових ресурсів, встановлення оптимальних співвідношень у розподілі доходів підприємств.

У ринковій економіці вдосконалення фінансового планування на мікрорівні відбувається безперервно, воно має якісно більш суттєве значення для підприємств порівняно з директивно-плановою економікою.

Без фінансового планування не може бути досягнутий той рівень управління виробничо-господарською діяльністю підприємства, який забезпечує йому успіх на ринку, постійне вдосконалення матеріальної бази, соціальний розвиток колективу. Жоден з інших видів планування не може мати для підприємства такого узагальнюючого, глобального значення, бо саме фінанси охоплюють усі без винятку сторони й ділянки його функціонування.

Фінансове планування пов’язане з плануванням виробничої діяльності підприємства. Показники всіх планових фінансових інструментів базуються на планах з обсягу виробництва, асортименту товарів і послуг, собівартості продукції, вони повинні створювати необхідні фінансові умови для успішного виконання цих планів. У цьому – основне призначення фінансового планування.

Фінансове планування сприяє виявленню внутрішніх резервів для потреб підприємства. Це забезпечується тим, що, по-перше, воно виходить із необхідності найефективнішого використання виробничих потужностей, нової техніки, передової технології виробництва, поліпшення якості продукції; по-друге, виконання планів з прибутку та обсягу інших фінансових ресурсів (наприклад амортизації на повне відтворення основних засобів) потребує дотримання планових норм витрат праці і матеріальних ресурсів; по-третє, обсяг фінансових ресурсів, який визначається при плануванні, не дає змоги підприємству або утруднює створювати надмірні запаси матеріальних ресурсів, робити позапланові капітальні вкладення.

У процесі фінансового планування забезпечується необхідний попередній контроль за створенням і раціональним використанням фінансових ресурсів. Об’єктами планування є доходи підприємства, в їх числі й нагромадження (прибуток тощо), взаємовідносини з державним бюджетом і державними позабюджетними фондами, обсяг капіталовкладень, інших форм інвестування фінансових ресурсів (зокрема участь на ринку цінних паперів), обсяг довготермінових кредитів банків на інвестиційні заходи, потреба підприємства у власних оборотних коштах і джерела її покриття.

Головним інструментом фінансового планування в сучасних умовах є фінансовий план підприємства, зокрема у формі балансу доходів і видатків, значне поширення у практиці мають також такі інструменти фінансового планування, як платіжний календар, бізнес-план.

2.2 Фінансовий план

Взаємозв’язок фінансового і виробничого планування зумовлює необхідність складання на підприємстві єдиного виробничо-фінансового плану, складова якого – фінансовий план підприємства на поточний рік, квартал або місяць. У ньому знаходить відображення рух усіх фінансових ресурсів підприємства, які надходять до нього і витрачаються у відповідних напрямках.

До початку 90-х років за умов директивно-планової економіки кожне підприємство складало фінансовий план у вигляді балансу доходів і видатків за єдиною, встановленою в централізованому порядку, формою. Було обов’язковим затвердження його вищим органом управління (в останні роки затверджувались лише головні показники фінансового плану). Тепер такий порядок для підприємств недержавних форм власності скасовано. Лише для державних підприємств з 2001року запроваджено обов’язкове складення річного фінансового плану, який затверджується й використовується органами управління у процесі контролю за діяльністю підпорядкованих підприємств.

Розробка фінансового плану – це заключний етап фінансового планування. Для його складення потрібно мати всі плани виробничо-господарської діяльності підприємства, а також зробити всі розрахунки фінансових ресурсів, а саме:

Ø   план прибутку і його використання;

Ø   план надходження і використання амортизаційних відрахувань;

Ø   розрахунок планового приросту нормативу власних оборотних коштів і джерел його покриття;

Ø   розрахунок обсягу і джерел капіталовкладень;

Ø   розрахунок надходження ПДВ і його сплати до бюджету та ін.

Крім того, необхідно зробити розрахунки планових обсягів валових доходів і валових витрат для визначення суми прибутку, яка має бути сплачена до бюджету у вигляді податку на прибуток. Проте як джерело всіх витрат, які плануються у фінансовому плані, може виступати лише бухгалтерський (тобто реальний) прибуток, саме він і є основним об’єктом фінансового планування.

Обов’язкова форма фінансового плану пристосована для відображення обсягів і спрямування лише окремих фінансових ресурсів і грошових потоків у планованому році з метою забезпечення потреб функціонування підприємств, у першу чергу – виконання його зобов’язань щодо сплати податків та обов’язкових платежів. Втім, цей плановий документ не дає уявлення про те, як балансуються в цілому надходження і використання фінансових ресурсів підприємства. В ньому, зокрема, немає інформації про використання прибутку за напрямками, витрати, які складають частину собівартості продукції, не ув’язані з доходами, які є джерелами таких витрат.

Нижче наводиться фінансовий план меблевої фабрики на 2004р. (тис. грн.) за обов’язковою для державних підприємств формою (за такою ж формою складення фінансового плану рекомендоване й для всіх інших підприємств).

Табл.1

Показники

Код рядка

Планований рік, усього

У тому числі за кварталами

I

II

III

IV

I. Джерела формування та надходження коштів

Прибуток від звичайної діяльності до оподаткування

Нерозподілений прибуток минулих період

Амортизаційні відрахування

Довгострокові кредити банків

Інші довгострокові фінансові зобов’язання

Інші довгострокові зобов’язання

Короткострокові кредити банків

Суми авансів, одержаних від поставок продукції, виконання робіт (послуг)

Векселі видані

Товари, роботи, послуги, отримані на умовах відстрочки платежу

Цільове фінансування і цільові надходження, усього

у тому числі:

субсидії, асигнування з бюджету (розшифрувати види бюджетних асигнувань)

кошти спеціальних цільових фондів (розшифрувати)

Інші джерела (розшифрувати)

II. Приріст активів підприємства

Капітальні інвестиції, усього

у тому числі:

капітальне будівництво

придбання (виготовлення) основних засобів

придбання (виготовлення) інших необоротних активів

придбання (створення) нематеріальних активів

Модернізація, модифікація (добудова, дообладнання, реконструкція) основних засобів

Довгострокові фінансові інвестиції

Приріст оборотних активів підприємства

Поточні фінансові інвестиції

Інші витрати (розшифрувати)

III.Повернення залучених коштів, усього

у тому числі:

довгострокові кредити банків

інші довгострокові фінансові зобов’язання

інші довгострокові зобов’язання

короткострокові кредити банків

повернення позик, кредитів та інших коштів, отриманих на зворотній основі з бюджету

відшкодування витрат бюджету, пов’язаних з виконанням гарантійних зобов’язань

IV. Витрати, пов’язані з унесенням обов’язкових платежів до бюджету та державних цільових фондів

Сплата поточних податків та обов’язкових платежів до бюджету, усього

у тому числі:

податок на прибуток

інші податки та обов’язкові платежі

Внески до державних цільових фондів, усього

у тому числі;

внески на загальнообов’язкове (державне) пенсійне страхування

внески на соціальне страхування

внески на страхування на випадок безробіття

Погашення податкової заборгованості, яка виникла на початку планового періоду, у тому числі реструктуризовані та відстрочені суми, що підлягають сплаті в плановому році

Інші обов’язкові платежі (розшифрувати)

V.Покриття збитків минулих періодів


010

020

030

040

050

060

070

080

090

100

110

111

112

120

130

131

132

133

134

140

150

160

170

180

190

191

192

193

194

195

196



200

201

202

210

211

212

213


214

220

230


959

30

247

200

-

-

660

1900

-

-

230

110

120

-

769

380

349

40

-

150

-

110

-

-

820

80

-

-

740

-

-



719

288

431

189

154

12

12


-

-

-


225

30

68

-

-

-

120

500

-

-

120

30

120

-

222

112

90

20

-

-

-

-50

-

-

160

20

-

-

140

-

-



170

67

103

44

35

3

3


-

-

-


240

-

64

100

-

-

200

500

-

-

110

25

-

-

240

140

100

-

-

-

-

40

-

-

220

20

-

-

200

-

-



180

72

108

48

39

3

3


-

-

-


240

-

58

100

-

-

250

500

-

-

-

25

-

-

238

128

110

-

-

100

-

100

-

-

220

20

-

200

-

-



180

72

108

48

40

3

3



-

-

-


254

-

57

-

-

-

90

400

-

-

-

30

-

-

69

-

49

20

-

50

-

20

-

-

220

20

-

-

200

-

-

189

77

112

49

40

3

3


-


Більш ефективним і корисним щодо управління фінансовими ресурсами для підприємства будь-якої форми власності є фінансовий план, який складається у формі балансу доходів і видатків на плановий період (без включення поточних надходжень і платежів, пов’язаних з розрахунками з постачальниками, з банками за короткотерміновими кредитами, а також з іншими доходами й витратами, які знаходять відображення у прибутку від звичайної діяльності до оподаткування). Якоїсь єдиної встановленої форми цього планового документа не існує, але, як правило, баланс доходів і видатків складається зі збалансованих між собою чотирьох розділів:

I. Доходи й надходження коштів.

II. Витрати і відрахування.

III. Платежі в бюджет.

IV. Асигнування з бюджету.

Нижче наводиться плановий баланс доходів і видатків промислового підприємства акціонерного товариства (меблева фабрика, тис. Грн.):

Табл.2

Розділи і статті балансу

Всього на рік

В тому числі за кварталами

I

II

III

IV

I. Доходи й надходження

1. Прибуток від звичайної діяльності до оподаткування

2. Зменшення (+), збільшення (-) нерозподіленого прибутку на кінець року проти суми на початок року

3. Збільшення (+), зменшення (-) відстрочених податкових зобов’язань на кінець року проти суми на початок року

4. Амортизаційні відрахування

5. Цільове фінансування капіталовкладень

6. Прибуток і економія від зниження вартості будівельно-монтажних робіт, що виконуються господарським способом

7. Мобілізація внутрішніх ресурсів у капітальному будівництві

8. Інші джерела фінансування капітальних вкладень (крім банківського кредиту)

9. Надходження коштів від батьків на утримання дітей у дитячих дошкільних закладах

10. Податок на додану вартість, що надходить у складі виручки від реалізації товарів, робіт, послуг, товарно-матеріальних цінностей, іншого майна (податкове зобов’язання)

11. Акцизний збір, що надходить у складі виручки від реалізації

12. Довготерміновий кредит банків

13. Інші (поза банківські) довготермінові позики

Разом доходи й надходження

II. Видатки та відрахування

14. Капітальні вкладення у виробничі об’єкти – всього

В тому числі за рахунок:

а) власного прибутку

б) інших джерел

15. Приріст нормативу власних оборотних коштів – всього

 в тому числі за рахунок прибутку

16. Витрати на виробничо-технічний розвиток (крім капіталовкладень)

17. Витрати на соціальний розвиток (крім поточних витрат на утримання об’єктів соціальної сфери)

18. Дивіденди, інші форми матеріального заохочення

19. Платежі вищестоящому органу управління

20. Благодійні внески

21. Видатки на управління дитячого дошкільного закладу (за рахунок бюджетної дотації і коштів батьків)

22. Сплата боргів за довготерміновими кредитами

23. Збільшення (+), зменшення (-) суми відстрочених податкових активів на кінець року проти суми на початок року

24. Податок на додану вартість, що сплачується при придбанні товарів, робіт, послуг

а) в тому числі ПДВ, що не включається до складу податкового кредиту

25. Інші витрати за рахунок доходів, відображених у розділі I

Разом видатки та відрахування

III. Платежі в бюджет

26. Податок на прибуток

27. Податок на додану вартість

28. Акцизний збір

Разом платежів в бюджет

IV. Асигнування з бюджету

29. На утримання дитячого дошкільного закладу

30. На інші цілі

Перевищення платежів у бюджет над асигнуваннями з бюджету

959

+30

-

247

120

14

4

-

22


780

-

200

-

2376

769

147

622

50

50

78

30

260

16

12

132

80

-37

406

28

-

1796

288

402

-

690

110

-

580

225

+118

-

68

-

-

1

-

5


175

-

-

-

592

186

80

106

-

-

7

7

150

4

3

33

20

-37

93

7

-

466

67

89

-

156

30

-

126

240

+21

-

64

-

-

1

-

5


190

-

100

-

621

192

27

165

-

-

10

7

110

4

3

33

20

-

104

5

-

83

72

91

-

163

25

-

138

240

-30

-

58

120

4

1

-

6


205

-

100

-

704

303

20

283

25

25

44

8

-

4

3

33

20

-

108

12

-

548

72

109

-

181

25

-

156

254

-79

-

57

-

10

1

-

6


210

-

-

-

459

88

20

68

25

25

17

8

-

4

3

33

20

-

101

4

-

299

77

113

-

190

30

-

160

У першому розділі “Доходи й надходження” згруповані всі джерела надходжень фінансових ресурсів – прибуток від усіх видів господарської діяльності підприємства, амортизаційні відрахування, які у складі виручки надходять підприємству й використовуються як джерело фінансування капіталовкладень на відновлення реконструкцію й модернізацію основних засобів, інші фінансові ресурси, в тому числи централізовані.

Доцільність включення до складу ресурсів, що надходять підприємству, ПДВ зумовлена тим, що одержаний у складі виручки від реалізації ПДВ має бути повністю перерахований до державного бюджету, але за вирахуванням видатків на оплату ПДВ підприємства як покупця матеріальних ресурсів, причому не всіх, а тільки тих, що витрачені на виробництво продукції і згідно з законодавством включаються до складу валових витрат. Все це має знайти відображення в балансі, який характеризує стан і рух фінансових ресурсів підприємства.

У другому розділі балансу “Видатки та відрахування” зібрані всі видатки, джерела фінансування яких визначені в першому (а також четвертому)розділах. По витратах, які фінансуються з кількох джерел, для зручності виділяється окремим рядком частина, що покривається за рахунок прибутку.

Третій і четвертий розділи містять платежі підприємства у державний бюджет, у тому числі податок на прибуток, ПДВ, акцизний збір, а також суму асигнувань з бюджету. Далі в балансі доходів і витрат визначається сума перевищення платежів у бюджет проти асигнувань із бюджету. Якщо баланс доходів і видатків складено правильно, то різниця між першим і другим розділами балансується цією величиною.

У наведеному балансі доходів і видатків загальна річна сума доходів і надходжень складає 2376 тис. грн., видатки і відрахування – 1796 тис. грн., перевищення надходжень над видатками (головним чином за рахунок ПДВ) – 580 тис. грн., що відповідає балансовій статті четвертого розділу балансу.

Для перевірки того, наскільки правильно складено баланс з точки зору взаємопогодженості окремих дохідних і видаткових статей і подальшого контролю за додержанням використання окремих видів доходів і надходжень за цільовим призначенням, у практиці фінансового планування вдаються до складення спеціальної перевірочної таблиці, так званого шахового балансу.

Найчастіше в предметі шахового балансу записують усі доходи й надходження коштів, у присудку – всі видаткові статті. Таким чином, по вертикалі групуються видатки в розрізі джерел їх покриття, а по горизонталі розподіл доходів (прибутку та ін.) за напрямками їх використання. Таку таблицю можна скласти, маючи баланс доходів та видатків і всі розрахунки до нього, причому розбивка і балансування дохідних і видаткових статей робиться на основі того, що кожне джерело фінансових ресурсів має своє цільове призначення.

Такий вигляд має шаховий баланс, складений на підприємстві вищенаведеного балансу доходів і видатків та розрахунків до нього промислового підприємства (назви статей замінені на їхні номери у балансі доходів і видатків).

Шахова таблиця до балансу доходів і видатків

Промислового підприємства на рік (тис. грн.)

Табл.3


14

15

16

17

18

19

20

21

22

23

24

25

26

27

Разом

1

147

50

78

30

230

16

12

-

80

-

-

28

288

-

959

2

-




30










30

3

-














-

4

-













247

5

120

-













120

6

14

-













14

7

4

-













4

8

-

-













-

9

-

-






22







22

10

-

-









378



402

780

11

200

-













200

12

37

-













37

13

-

-






110







110

Разом

769

50

78

30

260

16

12

132

80

-

378

28

288

402

2523


Читати таку таблицю дуже зручно. Так, у першому рядку (по горизонталі) повністю поданий розподіл прибутку підприємства, у десятому спрямування ПДВ, що надходить у складі виручки від реалізації продукції; у вертикальних стовпцях розшифровуються капіталовкладення, приріст нормативу власних оборотних коштів, інші витрати за джерелами фінансування. Структура фінансового плану підприємства і перевірочної шахової таблиці до нього допомагають фінансовій службі налагодити контроль за виконанням намічених обсягів надходження фінансових ресурсів та їх цільовим використанням. Ефективною формою контролю за виконанням фінансового плану є складення звітного балансу доходів і видатків, а також звітної шахової таблиці до нього. Вони можуть складатися за будь-який звітний період упродовж року і в цілому за рік. Звітний баланс містить інформацію про планові і звітні показники стосовно кожної статті фінансового плану, що базуються на даних оперативного обліку, бухгалтерської, статистичної звітності, в ньому обчислюються відхилення від планових величин. Такий документ не тільки сприяє виявленню резервів зростання обсягу нагромаджень, а й виявленню недоліків і прорахунків у самому фінансовому плануванні.

2.3 Платіжний календар

Одним із напрямків впливу фінансового планування на економіку підприємства є врахування фактора часу в надходженні фінансових ресурсів.

Чинна система і строки платежів до державного бюджету, порядок розрахунків з постачальниками, строки виплати заробітної плати робітникам і службовцям, умови сплати позичкових боргів банкам вимагають від підприємства постійно враховувати співвідношення обсягу коштів, що надходять, з їх витратами не лише в цілому за якийсь період (рік, квартал, місяць), а з урахуванням конкретного часу їх надходження і потреби в них. Тобто йдеться про те, що підприємство цікавить стан його фінансових ресурсів не тільки за певний період, а й на конкретну дату. Таку інформацію підприємство може одержати, складаючи платіжний календар.

Платіжний календар – це інструмент оперативного планування фінансової діяльності підприємства. Він складається, як правило, на місяць з розбивкою на декади або тижні. У ньому визначаються очікувані на той чи інший відрізок часу грошові надходження за всіма напрямками доходів і спроможність підприємства своєчасно виконувати всі свої фінансові зобов’язання.

Інформаційним забезпеченням для складання платіжного календаря є:

Ø   планові матеріали стосовно випуску й реалізації продукції, робіт, послуг;

Ø   кошториси витрат на виробництво й договори на поставку матеріальних ресурсів з постачальниками;

Ø   узгоджені відповідно до чинного законодавства строки виплати заробітної плати, премій тощо робітникам і службовцям підприємства;

Ø   узгоджені з податковою інструкцією строки внесення платежів до державного бюджету й до позабюджетних державних фондів;

Ø   дані податкового обліку щодо валових доходів і валових витрат, податкового зобов’язання з ПДВ і податкового кредиту;

Ø   кредитні договори з банками в частині строків одержання та сплати кредитів і процентів за користування ними;

Ø   дані бухгалтерського обліку про стан дебіторської та кредиторської заборгованості;

Ø   виписки з банківських рахунків: поточних, позичкових, валютних, інших рахунків;

Ø   оперативні матеріали відділів постачання, збуту, інших функціональних підрозділів про надходження коштів на підприємство у відповідні строки або потребу в коштах, яка виникає в даний період.

Міру деталізації всієї інформації, яка включається до платіжного календаря, визначає підприємство, виходячи з конкретної платіжно-розрахункової ситуації, що складається. У будь-якому разі балансованою величиною при складанні платіжних календарів виступає залишок (сальдо) поточного рахунку в банку і сума касової готівки, бо саме їх розмір визначає на кожний даний момент платоспроможність підприємства, або від’ємна величина , що утворюється в разі недостачі поточних надходжень коштів для покриття очікуваних платежів. Приблизна форма платіжного календаря має такий вигляд:

Платіжний календар промислового підприємства на жовтень 2006р. (тис. грн.)

Табл.4

Показники

I декада

II декада

III декада

1. Початкове сальдо поточного рахунку в банку і касової готівки

2. Очікувані надходження грошових коштів:

а) за рахунок зниження дебіторської заборгованості на початок місяця

б) за відпущену і відвантажену продукцію в даному місяці

в) аванси покупців

г) кредити банків

д) з централізованих джерел

е) інші надходження

3. Всього надходжень з урахуванням сальдо поточного рахунку (касової готівки)

4. Витрачання грошових коштів:

а) в рахунок кредиторської заборгованості на початок періоду

б) погашення недоїмок і прострочених банківських позичок та процентів з них

в) оплата сировини, матеріалів, інших матеріальних цінностей, робіт і послуг за поточний місяць

г) сплата податків до державного бюджету, внески до позабюджетних фондів за вересень

д) сплата податків до державного бюджету, внески до позабюджетних фондів за жовтень (авансові платежі)

е) на оплату праці

є) на капіталовкладення

ж) за кошторисами витрат служб і закладів соціально-культурної сфери

з)аванси постачальникам

и) платежі банкам за позичками та процентів за користування ними

і) інші платежі

5. Всього грошових витрат

6. Залишок коштів (сальдо розрахункового рахунку) (р. 3 – р. 5)

7. Недостача коштів (р. 5 – р. 3)

12,8

688,7

933,0

650,0

220,0

-

213,0

2717,5

356,6

32,4

1365,5

230,0

-

461,7

52,0

102,0

240,0

117,0

81,0

3029,2

-

311,7

-

429,5

1427,6

880,0

240,0

15,0

161,7

3153,8

311,7

-

1615,6

-

220,0

108,5

130,0

102,0

600,0

225,0

207,0

3519,8

-

366,0

-

88,3

1861,3

920,0

960,0

-

148,4

3978,0

366,0

-

628,8

940,5

220,0

679,0

160,0

102,0

520,0

219,0

141,4

3976,7

1,3

-


Даний платіжний календар показує, що в першій декаді жовтня підприємство не може забезпечити своєчасних платежів за рахунок очікуваних надходжень грошових коштів, за другу декаду підприємству не лише не вдається знизити дефіцит коштів, який створився в першій декаді, а, навпаки, недостача коштів для покриття боргів і всіх поточних платежів у цій декаді дещо збільшується. При складанні календаря на третю декаду підприємство запланувало одержання досить значної суми банківського кредиту (960 тис. грн..), без допомоги якого воно не зможе вийти з дефіциту грошових коштів за місяць у цілому.

Незбалансованість платіжного календаря спонукає підприємство негайно шукати резерви збільшення обсягу грошових надходжень як за рахунок прискорення відвантаження продукції, ліквідації недоліків у сфері розрахунків зі споживачами продукції, так і за рахунок зменшення (або тимчасового відкладення) певних витрат, налагодження партнерських стосунків з комерційними банками.

Якщо ж дані оперативного фінансового планування показують, що в той чи інший період підприємство має стале перевищення коштів над потребами в них, тоді є сенс внести певну суму вільних грошей на банківський депозит, що приносить підприємству відповідний дохід. Наявність сталого значного сальдо грошових коштів на поточному рахунку підприємства і готівки в касі недоцільна.

2.4 Бізнес-план

Фінансове планування не можна розуміти лише як процес створення планових інструментів, які відображають джерела і напрямки використання фінансових ресурсів за конкретні календарні періоди, якими є баланс доходів і видатків, платіжний календар. Воно включає також розрахунки щодо інвестиційних проектів, реалізація яких приносить прибуток підприємству-інвестору. Програма, яка описує економіко-організаційну сторону такого проекту, називається бізнес-планом.

Точно кажучи, сукупність усіх планових розрахунків, які регулюють діяльність будь-якого підприємства (маються на увазі виробничі плани, плани впровадження нової техніки і технології, маркетингові програми, плани матеріально-технічного постачання, фінансові плани), являє собою бізнес-план діяльності підприємства. В даному розділі зосереджується увага на бізнес-планах окремих конкретних інвестиційних проектів, у тому числі таких, що здійснюється на діючому підприємстві.

Щоб збільшувати обсяг прибутку, підвищувати рентабельність своєї роботи, підприємство повинне постійно розробляти проекти, передбачають вкладення фінансових ресурсів у створення нових технологій, організацію нових виробництв, реконструкцію виробничих площ та устаткування під випуск конкурентоспроможних товарів на внутрішньому і зовнішньому ринках, будівництво філій і цехів, наближення до джерел сировини і ринків збуту, в інші проекти, в тому числі інвестування фінансових ресурсів у цінні папери сторонніх емітентів. Кожний з таких проектів має бути глибоко обґрунтований у бізнес-плані ідеї до розрахунку конкурентної суми прибутку, який одержується від його втілення.

Бізнес-план складається, як правило, з таких розділів:

1.   загальний опис проекту, в якому роз’ясняються мета проведення витрат, їх необхідність, характеристика інвестиційного об’єкта;

2.   характеристика товарів, послуг, патентів, ноу-хау, які можуть бути запропоновані ринку, або іншого результату, що досягається після завершення проекту і дає прибуток (наприклад зниження собівартості продукції, збільшення її надійності, покращення інших якісних характеристик, які можуть збільшити рентабельність продукції);

3.   маркетингова програма, що розробляється з метою дослідження і прогнозування ринку (ринкова ситуація, реклама, покупці, конкуренти тощо);

4.   сировинна база, експериментальна база, кадрове забезпечення та інші сторони ресурсного забезпечення проекту;

5.   економічна ефективність. Цей розділ розкриває результати проекту і терміни окупності витрат.

В останньому розділі бізнес-плану розробляється прогноз обсягу реалізації продукції в грошовому виразі, баланс грошових витрат і надходжень від втілення проекту і прибутку в річному обчисленні за термін функціонування проекту.

Цілком особливі умови для розрахунків окупності інвестиційних проектів створює інфляційне середовище, зокрема якщо мова йде про річну інфляцію на рівні більш ніж 20 – 25 відсотків. За цих умов вирішення питань, не можна обійтися без дисконтування фінансових ресурсів, що вкладаються у проект, майбутніх доходів і витрат на втілення проекту, так само як і без розрахунку прийнятних рівнів рентабельності інвестицій (ставок їхньої дохідності). Ці розрахунки у бізнес-плані ґрунтуватися на таких міркуваннях.

У ринковій економіці вкладення грошей в інвестиційні проекти має сенс лише за умови досягнення середньо ринкових ставок дохідності. В умовах інфляції ставка дохідності, природно, має враховувати надбавку до нормальної (реальної) ставки, яка компенсує інфляційне знецінення грошей. Наприклад, якщо темп інфляції за рік сягає 100 відсотків, тобто ціни за рік зростають у два рази, не може бути й мови про інвестування, якщо прибуток від нього за рік не досягає 100 відсотків. Отже, складаючи бізнес-план, треба виходити з того, що лише ставка дохідності, яка включає нормальну (на середньоринковому рівні) рентабельність інвестицій і проти інфляційну надбавку, може задовольнити інвестора стосовно доцільності витрат на той чи інший проект.

Щоб формалізувати зв’язок номінальної ставки дохідності, яка включає в себе протиінфляційну надбавку (позначимо цю ставку літерою k), з реальною (нормальною) ставкою дохідності для без інфляційної ситуації r, темпом інфляції b, запишемо спочатку очевидну рівність:

Q=1+k                                                                                               (1)

де Q – грошовий потік за термін здійснення проекту (чистий прибуток після сплати податків плюс, якщо проект передбачає використання основних засобів, амортизаційні відрахування на їх реновацію).

Мається на увазі, що сума інвестиції дорівнює 1, а величини k, r, b виражені в коефіцієнтах.

Записана вище формула означає, що грошовий потік за період інвестування повинен бути більшим, ніж інвестована сума, в k разів. Якби не інфляція, то справедливим був би запис (1+k)=(1+r), тобто він виражав би рівність номінальної і реальної ставок дохідності, але в умовах інфляції права частина цієї рівності має бути збільшена у (1+b) разів, отже 1+k=(1+r)(1+b), звідки:

k= r+b+rb                                                                                          (2)

Ця формула, відома як формула І.Фішера, показує, що номінальна ставка дохідності інвестування дорівнює нормальній ставці плюс темп інфляції плюс величина rb (за невеликих темпів інфляції в межах до 10 відсотків річних величиною rb звичайно нехтують).

Наприклад, якщо на рік прогнозується темп інфляції 36 відсотків, то за середньо ринкової норми дохідності 20 відсотків за без інфляційної ситуації прийнятна норма дохідності від інвестиційних проектів в цьому році має бути 0,63(0,2+0,36+0,2х0,36), тобто 63 відсотки.

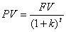
У розрахунках окупності інвестицій обов’язково визначається так звана теперішня вартість (PV – Present Value) майбутніх доходів (витрат) шляхом дисконтування їх номінальних величин (FV – Future Value) формулою

                                                                                       (3)

де t – число періодів (років, місяців), за які нараховується дохід.

У цих розрахунках величина k визначається за формулою (2).

Визначення дисконтованого грошового потоку (тобто такого, який можна порівнювати з сумою інвестованих грошей для визначення окупності) ускладнюється звичайно тим, що номінальна виручка від втілення проекту і номінальні поточні витрати (наприклад на сировину, матеріали, оплату праці тощо) „інфлюють” у неоднакових співвідношеннях під впливом цінових факторів. Наведена нижче формула дає змогу розрахувати грошовий потік, порівнянний з вартістю інвестиційного проекту, зробивши його інфляційну корекцію, а також дисконтування на основі норми дохідності, що включає інфляційну надбавку:

  (4)

де PV – дисконтований грошовий потік за термін життя проекту;

 - виручка (валовий дохід) від реалізації проекту за відповідні роки у цінах базового року;

 - поточні витрати на експлуатацію проекту за відповідні роки у цінах базового року;

 - суми амортизаційних відрахувань за відповідні роки;

 - базисні індекси цін відповідного року на продукцію, що формує доходи від реалізації проекту;

 - базисні індекси цін відповідного року на ресурси, що формують поточні витрати на експлуатацію проекту;

m - ставка оподаткування прибутку;

 - ставки дохідності інвестування, прийнятні для інвестора, за відповідні роки.

Приклад.

У 2004 р. підприємство здійснює проект вартістю 550 тис. грн. і, згідно з умовами інвестування, розраховує на три роки функціонування одержати дохід (в середньому 36 відсотків річних) на рівні, не нижчому від середньо ринкового доходу на інвестиції з урахуванням інфляційної ситуації, яка прогнозується на цей період. Для складання розрахунку доцільності інвестування у бізнес-плані є такі дані про проект (у цінах 2004 р., тис. грн.):

Рік

Поточні витрати без амортизації основних засобів

Амортизація основних засобів

Валовий дохід від реалізації проекту

2005

370

120

620

2006

350

108

620

2007

350

80

760


Прогнозований рівень зростання цін на 2005 р.: за доходами – 22 відсотки, за витратами – 20 відсотків, на 2006 р. відповідно 25 відсотків і 21 відсоток, на 2007 р. – 20 відсотків і 20 відсотків.

Згідно за формулою (4), грошовий потік за три роки становить:


Отже, проект може бути прийнятий, бо „теперішня” вартість грошового потоку не тільки досягає суми авансованих у нього фінансових ресурсів (а це саме по собі – достатня підстава для визначення інвестиції доцільною), але й перевищує їх, тобто перевищує виражені в середньо ринковій нормі дохідності сподівання інвестора на прибутковість.

Дуже велике значення має складання бізнес-планів підприємствами, якщо брак власних фінансових ресурсів на виконання того чи іншого проекту примушує їх звертатися до спів інвесторів або в комерційний банк за позичкою. Якість, обґрунтованість, переконливість матеріалів, розрахунків, що містяться у бізнес-плані, мають неабиякий вплив на вирішення питання про джерела фінансування.

ІІІ. АНАЛІЗ ФІНАНСОВО-ГОСПОДАРСЬКОЇДІЯЛЬНОСТІ ПІДПРИЄМСТВА

3.1 Зміст і задачі АГД

Розглянемо зміст аналізу господарської діяльності як науки, направленої на рішення певних задач. Цей зміст витікає перш за все з тих функцій, які економічний аналіз виконує в системі інших прикладних економічних наук.

Однією з таких функцій є вивчення характеру дії економічних законів, встановлення закономірностей і тенденцій явищ, що відбуваються, і процесів в конкретних умовах підприємства.

Важливою функцією АГД є наукове обґрунтування поточних і перспективних планів. Без глибокого економічного аналізу результатів діяльності підприємства за минулі роки (5-10 років) і без обґрунтованих прогнозів на перспективу, без виявлення недоліків, що мали місце, і помилок не можна розробити науково обґрунтований план, вибрати оптимальний варіант управлінського рішення.

До функцій аналізу відноситься також контроль за виконанням планів і управлінських рішень, за економним використовуванням ресурсів. Ряд економістів принижує або зовсім заперечують цю функцію аналізу, приписуючи її виключно бухгалтерському обліку і контролю. Проте, аналіз проводиться не тільки з метою констатації фактів і оцінки досягнутих результатів, але і з метою виявлення недоліків, помилок і оперативної дії на процес виробництва. Саме тому необхідно підвищувати оперативність і дієвість аналізу.

Центральна функція АГД, яку він виконує на підприємстві, - пошук резервів підвищення ефективності виробництва на основі вивчення передового досвіду і досягнень науки і практики.

Наступна функція аналізу – оцінка результатів діяльності підприємства по виконанню планів, досягнутому рівню розвитку економіки, використовуванню наявних можливостей.

І нарешті, розробка заходів щодо використовування виявлених резервів в процесі господарської діяльності – також одна з функцій АГД.

Таким чином, аналіз господарської діяльності як наука є системою спеціальних знань, пов'язаних з дослідженням тенденцій господарського розвитку, науковим обґрунтуванням планів, управлінських рішень, контролем за їх виконанням, оцінкою досягнутих результатів, пошуком, вимірюванням і обґрунтуванням величини господарських резервів підвищення заходів щодо їх використовування.

3.2 Методика комплексного аналізу господарської діяльності

Під методикою розуміється сукупність способів, правил найдоцільнішого виконання якої-небудь роботи. У економічному аналізі методика є сукупністю аналітичних способів і правил дослідження економіки підприємства, певним чином підлеглих досягненню мети аналізу. Загальну методику розуміють як систему дослідження, яка однаково використовується при вивченні різних об'єктів економічного аналізу в різних галузях національної економіки. Приватні методики конкретизують загальну відносно до певних галузей економіки, до певного типу виробництва або об'єкту дослідження.

Будь-яка методика аналізу буде наказом або методологічними радами з виконання аналітичного дослідження. Вона містить такі моменти, як:

а) задачі і формулювання цілей аналізу;

б) об'єкти аналізу;

в) системи показників, за допомогою яких досліджуватиметься кожен об'єкт аналізу;

г) ради з послідовності і періодичності проведення аналітичного дослідження;

д) опис способів дослідження об'єктів, що вивчаються;

е) джерела даних, на підставі яких виробляється аналіз;

ж) вказівки по організації аналізу (які обличчя, служби проводитимуть окремі частини дослідження);

з) технічні засоби, які доцільно використовувати для аналітичної обробки інформації;

и) характеристика документів, якими краще всього оформляти результати аналізу;

к) споживачі результатів аналізу.

Як найважливіший елемент методики АГД виступають технічні прийоми і способи аналізу. Стисло ці способи можна назвати інструментарієм аналізу. Вони використовуються на різних етапах дослідження для:

o   первинної обробки зібраної інформації (перевірки, угрупування, систематизації);

o   вивчення стану і закономірностей розвитку досліджуваних об'єктів;

o   визначення впливу чинників на результати діяльності підприємств;

o   підрахунку невикористаних і перспективних резервів підвищення ефективності виробництва;

o   узагальнення результатів аналізу і комплексної оцінки діяльності підприємств;

o   обґрунтування планів економічного і соціального розвитку, управлінських рішень, різних заходів.

У аналізі господарської діяльності використовується багато різних способів. Серед них можна виділити традиційні способи, які широко застосовуються і в інших дисциплінах для обробки і вивчення інформації (порівняння, графічний, балансовий, середніх і відносних чисел, аналітичних угрупувань).

Для вивчення впливу чинників на результати господарювання і підрахунку резервів в аналізі застосовуються такі способи, як: ланцюгові підстановки, абсолютні і відносні різниці, інтегральний метод, кореляційний, компонентний, методи лінійного, опуклого програмування, теорія ігор, дослідження операцій, методи рішення економічних задач на підставі інтуїції, минулого досвіду, експертних оцінок фахівців і ін. Застосування тих або інших способів залежить від мети і глибини аналізу, об'єкту дослідження, технічних можливостей виконання розрахунків і ін.

Удосконалення інструментарію наукового дослідження має дуже велике значення і є основою успіху і ефективності аналітичної роботи. Чим глибше людина проникає в суть явищ, що вивчаються, тим більше точні методи дослідження йому потрібні. Це характерно для всіх наук. За останні роки методики дослідження у всіх галузях науки стали точнішими. Важливим придбанням економічної науки є використовування математичних методів в аналітичному дослідженні, що робить аналіз глибшим і точнішим.

ІV.АНАЛІЗ ЛІСОГОСПОДАРСЬКОГО ПІДПРИЄМСТВА

4.1 Аналіз лісогосподарських робіт

Аналізуючи техніко-економічні показники підприємств, фінансування яких відбувається за рахунок госпрозрахункової діяльності, слід зосередити увагу і на роботу підприємств, які фінансуються за рахунок державного бюджету. До таких підприємств, у першу чергу, відносяться лісове господарство, яке є складовою народногосподарського комплексу України і займає значне місце в її економіці.

За даними державного лісового кадастру площа земель лісового фонду України становить 10,8 млн. га, в тому числі, вкритих лісом різних вікових категорій – 9,4 млн. га.

Лісистість в Україні нижча порівняно з багатьма країнами Європи і складає 15,6%. При цьому, вона значно коливається в регіональному розрізі і, наприклад, у Карпатському регіоні перевищує середню по Україні в 2,4 рази, в Поліському – 1,9 рази. А такі регіони, як Донецький, Південний та Придніпровський мають вдвічі – втричі нижчу лісистість, ніж по країні.

Загальний запас деревини в лісах України становить 1736 млн. м3, середній запас з розрахунку на 1 га вкритих лісом земель – 185 м3, середній запас стиглих і перестиглих насаджень – 237 м3. Середній приріст в розрахунку на 1 га, вкритих лісом насаджень, складає 3,8 м3. Ліси першої групи становить 55,8% від загальної площі земель лісового фонду, ліси другої групи – 44,2%. Хвойні насадження займають 42,2%, твердолистяні – 43,3%, м’яколистяні – 13,6%, інші деревні породи – 05%, чагарники – 04% від вкритих лісом земель.

За запасами деревини, лісистістю території і площею лісів Україна відноситься до лісо дефіцитних країн. А тому, для забезпечення належних умов розвитку галузі та екологічного балансування території, лісистість потребує доведення її до рівня 22-25% за рахунок істотного підвищення, в першу чергу, в малолісних районах, ведення на науковій основі лісового господарства, раціонального використання фінансових ресурсів, систематичного проведення специфічного аналізу робіт всього лісогосподарського комплексу.

Як відомо, основною відмінністю лісового господарства від інших галузей промисловості є тривалий цикл виробництва, внаслідок чого при аналізі лісогосподарських робіт виникають своєрідні особливості.

Полягають вони, перш за все, в тому, що протягом тривалого періоду виробництва підсумковий ефект від проведених лісогосподарських заходів, як правило, може бути встановлено лише через певний період. У зв’язку з цим аналіз лісо виробничої діяльності лісогосподарських підприємств за один або два роки не може дати відповіді на питання про ефективність проведення тих чи інших робіт.

Відомо, що при аналізі господарської діяльності підприємств лісового господарства розглядаються питання, які пов’язані з виконанням виробничої програми, використанням основних виробничих фондів, ростом продуктивності праці, використанням фонду заробітної плати, собівартістю продукції, прибутком та іншими показниками госпрозрахункової діяльності. Разом з тим, особлива увага повинна приділятись і таким важливим питання, як:

-   виконання кошторису робіт за рахунок держбюджетної діяльності;

-   стану охорони лісу і ведення лісового господарства;

-   дотримання правил користування лісом;

-   відтворення лісових насаджень;

-   виконання плану щодо лісового доходу;

-   мобілізації власних коштів тощо.

Однак, такий підхід до проведення аналізу значною мірою ускладнюється з тієї причини, що існуюча система фінансування лісогосподарських підприємств пов’язана з використанням коштів як за рахунок господарської діяльності, так і за рахунок бюджетних асигнувань, що зобов’язує підприємства прослідкувати використання останніх за призначенням, виявляти випадки неправильного віднесення на собівартість промислової продукції витрат, як проводяться за рахунок бюджетних асигнувань та ін.

Характерною особливістю аналізу лісогосподарської діяльності є те, що він, як правило, здійснюється за тривалий період у вигляді ревізії лісовпорядкування, з одночасним проведенням в натурі інвентаризації лісового фонду.

Таким чином, уміле поєднання аналізу діяльності підприємств лісогосподарських робіт за тривалий період часу дає можливість зробити висновки і пропозиції щодо покращення роботи підприємств за рахунок госпрозрахункової діяльності робіт, які фінансуються з державного бюджету.

Аналіз робіт, пов’язаних з лісовим господарством починається з вивчення обсягу робіт, які відображені у формах №10-ЛГ і звітах про заготівлю насіння – форма №20-ЛГ.

При цьому необхідно розглянути такі першочергові завдання, як:

-   аналіз виконання плану ведення лісового господарства за комплексами основних робіт (лісокультурні, лісогосподарські, лісозахисні, протипожежні та ін.);

-   виконання плану лісогосподарських робіт (відведення лісосік, рубки догляду за лісом, прохідні та санітарні рубки, очистка лісу від захаращеності);

-   аналіз використання лісосічного фонду (плану відпустку деревини за лісорубниками квитками, фактична вирубка деревини, недоруб в лісосіці звітного року);

-   використання розрахункової лісосіки експлуатаційної частини лісосічного фонду;

-   використання розрахункової лісосіки рубок догляду за лісом.

Такий порядок аналізу дає змогу зробити узагальнення за розділами і окремими видами робіт, показати взаємозв’язок між ними, виявити порушення обсягів і термінів їх виконання поквартально і в цілому за рік.

Аналіз виконання виробничого плану в лісовому господарстві, тис. грн.

Табл. 5

Заходи

Попередній рік

Звітний рік

Фактично за звітний рік, %

Частка,%

план

Виконання

До плану

до попереднього року

§1 Лісове господарство та мисливство

І. Лісовпорядкування та проектно-пошукові роботи

7,0

6,8

8,9

130,8

127,1

1,7

II. Рубання, пов'язані з веденням лісового господарства, інші рубання

197,0

199,0

230,0

116,0

117,2

50.5

III. Допоміжні лісогосподарські роботи

0,7

0,7

0,7

100,0

100,0

0,2

IV. Лісокультурні роботи в державному лісовому фонді

53,0

50,0

52,0

104,0

98,1

11,4

V. Охорона лісу від пожеж

VI. Боротьба з шкідниками та хворобами лісу

1,0

0,8

VII. Мисливство

0,9

0,7

0,7

100,0

77,8

0,2

3,6

3,5

2,7

77,1

75,0

0,6

IX. Утримання лісогосподарського апарату

183,0

182,5

162,1

88,8

88,6

35,4

Разом по лісовому господарству та мисливству

446,2

444,0

457,1

102,9

102,4

100,0

§2 Охорона довкілля

І. Створення захисних лісових насаджень на землях державного лісового фонду

2,0

2,0

2,0

100,0

100,0

100,0

II. Створення захисних лісових насаджень на землях сільськогосподарського користування та інших землекористувачів

III. Створення полезахисних лісових смуг

Разом з охорони довкілля

2,0

2,0

2,0

100,0

100,0

100,0

§3 Головне користування та інші заходи

І. Лісозаготівля

II. Добування живиці

Разом щодо головного користування та інші заходи

Разом витрат

448,2

446,0

459,1

102,9

102,4


Із таблиці 5 видно, що держлісгосп перевиконав план загального обсягу виробництва на 2,9 %, а порівняно з попереднім роком — на 2,4 %. У той же час на підприємстві не проводилися роботи з охорони лісу від пожеж, а також з боротьби з шкідниками та хворобами лісу, що може негативно вплинути на роботу держлісгоспу в цілому. Темпи робіт на рубках, пов'язаних з веденням лісового господарства та інших рубках, знизились на 1,9 % порівняно з попереднім роком, а утримання лісогосподарського апарату і загальногосподарські витрати значно скоротились як порівняно з планом, так і з попереднім роком (відповідно на 2,9 % і 11,2 % та 2,5 % і 11,4 %), що слід вважати позитивним явищем.

Серед інших складових аналізу підприємств лісового господарства за рахунок державного бюджету є діяльність держлісгоспів, пов'язана з кількісними і якісними роботами з вирощування лісу, а також з розміром витрат на одиницю робіт. Для зручності проведення такого аналізу показники програми доцільно згрупувати за всіма роботами, які стосуються лісовирощування (табл. 6). Щодо першого розділу «Лісогосподарські роботи», то план у 2004 р. виконано на 106,8 %. Планом передбачалось зниження обсягу робіт порівняно з попереднім роком на 16 тис. грн. Однак, фактично відбулося збільшення обсягу на 2,0 тис. Грн.

Таблиця 6

Виконання робіт виробничої програми, пов'язаних з лісовирощуванням

№ п/п

Показники виробничої програми

Одиниця виміру

2004р. виконано

2004 р.

Звіт 2004 р.,%до

План

Виконано

Відхилення

плану

звіту 2004 р.

1.

Відвід лісосік головного користування і лісовідновлення

га

160

104

107

+3

102,9

66,9

2.

Відвід лісосік під рубки догляду і санітарні рубки

га

890

760

920

+160

121,1

103,4

Рубки догляду за лісом

3.

Освітлення

га м3

120 630

160

840

166

855

+6

+45

103,7 105,5

138,3

135,7

4.

Прочищення

га м3

145 1015

153 1070

159 1160

+5

 +90

103,3

108,4

109,7

 114,3

5.

Прорідження

га м3

140

2750

110 2640

121

2735

+11 +95

110,0 100,3

86,4

 99,5

6.

Прохідні рубки

га м3

185 4650

154 4020

172 4430

18 +410

111,6 110,2

92,9

95,3


У другому розділі «Лісокультурні роботи» план перевиконано на 5 тис. грн. і він становить 103,3 %. Порівняно з попереднім роком фактичний обсяг робіт зріс на 9 тис. грн. або до 106,1 % в поточному році.

Таким чином, в обох розділах фактичний обсяг держбюджетних робіт збільшився порівняно з планом і рівнем попереднього року.

Разом з тим, констатуючи перевиконання плану, необхідно проаналізувати, за рахунок яких робіт і яким чином відбулося його зростання.

У першому розділі майже за всіма видами робіт план був перевиконаний. При цьому відвід лісосік під рубання догляду перевиконано на 21,1 %, тобто більше, ніж на 1/5 від передбаченого планом. Це відбулося внаслідок припущених помилок при встановленні плану з відводу лісосік на рубання догляду і санітарні рубання.

Перевиконання плану спостерігається і за всіма видами рубання догляду. Тут звертається увага на відповідність перевиконання плану за площею і масою.

При рубаннях догляду за лісом на освітлення перевиконання становило за площею 3,7 %, за масою — 5,5 %. На чистках таке перевиконання становило відповідно 3,3 % і 8,4 %. У такому випадку відхилення є допустимими і не викликають ніяких сумнів і питань.

При рубаннях догляду за лісом на освітлення перевиконання становило за площею 3,7 %, а за масою — 5,5 %. На прочистках таке перевиконання становило відповідно 3,3 % і 8,4 %. У даному випадку відхилення є допустимими і не викликають жодних сумнівів.

При прорідженні план за площею перевиконано на 10 %, а за масою лише на 0,4 %. Замість 24,0м3 деревини з 1 га заготовлено 22,6 м3.

Особлива увага при аналізі повинна бути приділена перевиконанню плану щодо прохідних і санітарних рубань. У першу чергу це стосується малолісних областей і регіонів. Перевиконання плану повинно відбуватися лише за умови наведення лісництвами і держлісгоспами обґрунтованих даних для розширення робіт.

Так само аналізується виконання плану щодо лісокультурних та інших видів робіт. Виявивши причини недовиконання або перевиконання виробничого плану, слід розробити заходи, які сприяли б успішному виконанню тих чи інших робіт.

Але бувають випадки, коли невиконання плану може бути наслідком недостатнього його коригування відповідно до зміни умов робіт. Так, наприклад, у результаті сприятливих метеорологічних умов вегетаційного періоду або успішного застосування гербіцидів було отримано високе приживання лісових культур і успішний ріст їх з меншим доглядом, ніж передбачалося планом. У такому випадку додатковий догляд, спричинений бажанням виконати виробничу програму ні кількісного, ні якісного покращання результатів не дає, а призводить лише до необґрунтованих витрат праці та коштів. У такому і в подібних випадках необхідно керівникам підприємств у встановленому порядку внести відповідні зміни в річну програму робіт у процесі її виконання.

Заключним етапом виконання плану виробничої програми з лісовирощування є переведення лісових культур у вкриті лісовою рослинністю землі в лісовому фонді. При проведенні аналізу з цього питання необхідно задіяти як планові, так і фактичні дані. Результати, отримані при цьому, відображаються в процентах. Крім того, необхідно співставити загальну кількість створених лісових культур і кількість лісових культур, які було створено кожного року, з фактично переведеними у вкриті лісовою рослинністю землі лісового фонду. При цьому встановлюють відповідність віку культур, які переводяться, а також тривалість вирощування їх з врахуванням передбачуваної агротехніки для даної породи в конкретному районі. Після цього вивчаються причини виявлених відхилень і пропонуються шляхи усунення недоліків.

Для наглядності розглянемо умовний приклад. Створені в 1997 р. лісові культури сосни на площі 300 га в умовах Львівської області, повинні були перевести у вкриті лісовою рослинністю землі в лісовому фонді через 5 років. У той же час, фактично переведено не 300 га, а тільки 205 га. Дана ситуація пояснюється тим, що в період вирощування на другий рік після створення лісових культур 20 га загинуло внаслідок пожежі. З цього приводу було складено акт на їх списання, і відповідно план переведення у вкриті лісовою рослинністю землі в лісовому фонді вже становив 280 га. Під час роботи комісії виявилась, що 45 га лісових культур не можуть бути переведені через те, що вони не відповідають вимогам положення про переведення лісових культур у вкриті лісовою рослинністю землі в лісовому фонді. Це викликано тим, що через несвоєчасний і недостатній догляд культури відстали в рості і їм потрібний лісокультурний догляд ще протягом року. Крім цього, лісові культури на площі 30 га загинули. Отже, держлісгоспи припустили не тільки загибель лісових площ загальною кількістю 50 га. Крім того, культури, які загинули на площі 30 га, не були своєчасно виявлені і не оформлені відповідними актами на списання.

Таким чином, робота держлісгоспів з вирощування лісових культур характеризується виконанням плану переведення їх у вкриті лісовою рослинністю землі в лісовому фонді всього на 68,3 %, а із збереження культур — 83,3 %.

З метою покращання систематичного контролю за станом лісових культур необхідно проводити якісну щорічну їх інвентаризацію аж до переведення у вкриті лісовою рослинністю землі в лісовому фонді. Це дасть можливість працівникам лісового господарства краще слідкувати за станом лісових культур протягом усього терміну їх вирощування.

4.2 Аналіз якості виконаних робіт

Результати аналізу кількісних показників виконання виробничої програми не завжди достатньою мірою характеризують позитивну діяльність держлісгоспу. Тому особлива увага повинна приділятись аналізу якості проведення робіт, що суттєво впливає на ефективність господарювання. Для наочності наведемо приклад: як може вплинути якість заготовленого насіння на витрати при створенні розсадника площею в 1 га. Умовно візьмемо середню собівартість 1 кг насіння — 10 грн. При цьому, слід відзначити, що норма посіву на 1 пог. м. насіння І класу сортності становить 1,5 г, а для III класу вона подвоюється і становить 3,0 г. Таким чином, для посіву насіння І класу сортності на площі 1 га при грядковому 12-стрічковому посіву необхідно буде 61,1 кг насіння, собівартість заготівлі якого складе 611 грн. Якщо ж держлісгосп заготовить насіння III класу сортності, то для проведення цієї роботи буде необхідно 122,2 кг насіння, собівартість заготівлі якого становитиме 1 222 грн., тобто збільшиться у 2 рази, а витрати зростуть в 1,3-1,5 рази в порівнянні з І класом сортності. Наведені дані свідчать про пряму залежність господарських витрат від заготовленого насіння.

Для різних видів робіт наведемо найбільш суттєві показники якості:

• для заготівлі насіння — це клас сортності за даними аналізу контрольно - насінневої станції;

• для розсадників — вихід стандартного посадкового матеріалу на одиницю площі;

• для лісових культур — відповідність їх технічним проектам, приживання, збереження та інтенсивність росту;

• для сприяння природному поновленню — успішність відновлення головних порід на площах, де проведені рубання;

• для рубання догляду — відповідність їх до вимог діючих правил і ефективність догляду за насадженнями, які залишилися після проведення рубання;

• для лісозахисту — ефективність проведення лісозахисних заходів.

Із наведеного вище більш детально розглянемо лише показники якості робіт, що пов'язані з рубаннями догляду за насадженнями.

Якість робіт з проведення рубання догляду і їх відповідності до діючих правил визначають при аналізі поточної господарської діяльності в результаті їх огляду фахівцями держлісгоспу, державного лісогосподарського об'єднання, а також працівниками Державного комітету лісового господарства України. Матеріали перевірки відображаються в актах, які використовуються у подальшій роботі.

Рубання догляду за лісом є одним із найважливіших заходів з формування і вирощування лісових насаджень з метою отримання деревини для народногогосподарства. У цьому зв'язку аналіз робіт повинен проводитися під кутом зору отримання відповідної кількості товарної деревини від рубання догляду порівняно з планом і проектом лісовпорядкування, а також впливу проведених робіт на стан формування насаджень і їх ріст.

Для наочності проведення аналізу отримання кількості товарної деревини від рубання догляду за лісом розглянемо такі дані таблиці 7.

Таблиця 7

Планові і фактичні щорічні обсяги робіт на рубаннях догляду за лісом

Види рубання догляду

За планом

Фактично

% виконання плану

 площа, га

запас, тис. м3

деревина, яка підлягає вирубуванню з 1 га, м3

Площа, га

деревина, яка вирубана





всього, тис. м3

зі га, м3

за площею

за масою

Освітлення

76

0,24

3,2

124

0,9

7,4

163

375

Прочищення

385

3,3

8,6

496

6,74

13,6

128

204

Проріджування

164

2,4

14,5

185

3,4

18,4

112

141

Прохідні рубання

78

1,9

24,0

164

4,0

24,3

210

210

Разом

703

7,84

969

15,04

137

191,8


Як видно з таблиці 7, щорічні обсяги деревини від рубання догляду за лісом перевищували ті, що намічені лісовпорядкуванням, майже в 2 рази. Із цього можна зробити висновок, що на рубаннях, які потребують догляду, а це, в першу чергу, освітлення і прочистки, розрахункова лісосіка при лісовпорядкуванні визначена як за площею, так і з масою деревини із заниженням.

Важливим показником при проведенні рубання догляду є процент охоплення ними вкритої лісом площі; динаміка обсягу їх порівняно з попередніми ревізійними періодами; питома вага деревини, отриманої при рубаннях догляду в загальному обсязі лісокористування.

Якість рубань догляду значною мірою визначається і відводом лісосік. При встановленні якості відводу необхідно перш за все перевірити правильність вибору площ лісових насаджень для проведення рубань. Згідно із таксаційним описом і актом відведення лісосік визначають відповідність віку насаджень запропонованому виду рубань догляду, а також повноту насаджень, на основі якої визначається вид рубань догляду і правильний вибір головної породи.

На основі цих актів перевірки проводиться оцінка якості відводу лісосік. Відвід лісосік вважається незадовільним, якщо у відомостях перевірки правильності відбору дерев при рубаннях догляду зафіксовано відхилення відібраних дерев більше, ніж на 15 %.

Наприклад, при прорідженні загальний запас деревини на пробній площі дорівнює 11 м3. У рубання визначено 2,2 м3. При цьому встановлено, що неправильно залишені в насадженні дерева запасом 0,63 м3 і призначені в рубання 0,86 м3. В цьому випадку відведення лісосіки визнається незадовільним, бо сума помилки склала 1,49 м3, що становить більше 10 % від запасу деревини на площі.

Якість уже проведених рубань догляду визначається на основі актів перевірки, яку проводять фахівці держлісгоспу або працівники вищої лісової інстанції. При цьому важливим показником є склад насадження, який залишився після проведення рубання. Якщо, наприклад, після рубань догляду, за винятком санітарних рубань, склад змішаних насаджень покращився і процентне співвідношення головної породи в насадженні зросло, то це позитивний показник, який характеризує проведення рубання. У випадку, коли склад насадження змінився за рахунок вирубання головної породи і доля її в насадженні знизилась, — це показник незадовільної роботи держлісгоспу в напрямку формування якісного складу насаджень.

Характеризуючи аналіз рубань догляду з питань якості, слід відзначити, що він побудований в основному на суб'єктивному підході до даного питання у зв'язку з тим, що вплив рубань догляду на насадження проявиться лише через певний проміжок часу. Тому ефективність, як основний показник якості робіт, може бути визначена тільки при аналізі роботи держлісгоспу на протязі тривалого періоду.

Проведення рубань догляду як і інших лісогосподарських робіт за рахунок державного бюджету безпосередньо пов'язане з рівнем їх виконання і перевиконання. Адже перевиконання планових обсягів тих чи інших робіт можливе лише в межах коштів, передбачених планом операційних витрат на даний вид роботи. Протилежне може відбуватися лише у випадку отримання економії коштів внаслідок впровадження прогресивних методів організації праці і при гарантії високої якості робіт, що проводяться в даний час і будуть проводитися в майбутньому. Наприклад, при посадці лісових культур поза планом необхідно враховувати не тільки наявність підготовленого ґрунту, посадового матеріалу, тракторів і лісопосадочних машин, необхідних в даний момент, але й визначити потребу в тракторах, машинах і механізмах, робочій силі на майбутнє для своєчасного і високоякісного догляду за лісовими насадженнями протягом усього періоду їх вирощування.

Кількісні і якісні показники рубання догляду за лісом знаходяться у тісному взаємозв'язку. Тому перевиконання плану з рубань догляду в держлісгоспах лісодефіцитних районів слід детально вивчати, встановлювати за рахунок яких насаджень перевиконаний план і які причини сприяли його перевиконанню. У випадку, коли перевиконання є наслідком збільшення обсягів рубань догляду у молодняках поза розміром затвердженої лісосіки, наприклад, в лісових культурах, які переводяться у вкриті лісовою рослинністю землі в лісовому фонді слід розцінювати, як позитивний момент у роботі держлісгоспу. Але бувають випадки, коли з метою отримання додаткової кількості деревини рубання догляду проводять в низькоповнотних, але високотоварних середньовікових і пристигаючих насадженнях, які не потребують догляду. Такі рубання догляду проводять до зниження запасів деревини в майбутньому, а відповідно — і до порушення правил користування лісом.

4.3 Аналіз витрат на одиницю виконаних робіт

З метою виявлення резервів зниження витрат на лісовирощування аналізують витрати на одиницю виконаних робіт. Такий аналіз сприяє встановленню відхилень від норм витрат, виявленню причин і визначенню можливостей для подальшого зниження витрат. Витрати аналізують за кожним розділом і видом робіт. При цьому доцільним є визначення розміру прямих витрат, які припадають на 1 грн. обсягу лісогосподарського виробництва. На основі цього можна зробити порівняння фактичних витрат звітного року з витратами за попередній рік і дати відповідну оцінку господарської діяльності того чи іншого підприємства.

За приклад аналізу витрат на одиницю робіт розглянемо витрати на виконання виробничої програми держлісгоспу з лісовирощування, наведені в табл. 7.

Як видно з таблиці 7, фактичні витрати на виконання виробничої програми у 2004 р. досягли 109,6 %, перевищивши планові на 9,6 %. Порівняно з попереднім роком загальні витрати збільшилися на 28 % і становлять 128 %. У той же час ріст обсягу виконаних робіт склав 17,4 %, а витрати на 1 грн. обсягу лісогосподарського виробництва в звітному 2004 р. у порівнянні з попереднім 2003р. виросли лише на 2,6 %. Аналогічно проводиться аналіз витрат і за іншими розділами виробничої програми. Проте слід мати на увазі, що відхилення загальних фактичних витрат від планових можуть бути наслідком відхилення від планових витрат на одиницю робіт, а також відхиленням фактичних обсягів робіт від планових.

При проведенні аналізу витрат на одиницю робіт особливу увагу необхідно звертати на наявні факти перевитрат коштів з окремих видів робіт. Це явище носить негативний характер і вимагає детального розгляду. Однією із причин такого збільшення витрат може бути порушення технології виробництва робіт, низький рівень організації, недостатнє залучення засобів механізації на лісокультурних і лісогосподарських роботах та ін.

Слід зазначити, що одним із найважливіших заходів щодо зниження витрат на одиницю робіт є ступінь механізації робіт, пов'язаних з лісовирощуванням. У зв'язку з цим приділяється особлива увага аналізу виконання програми механізованих робіт, де вивчаються причини невиконання плану робіт, можливості розширення механізації виробничих процесів і окремих робіт, можливі шляхи більш раціонального і ефективного усунення недоліків.

При проведенні аналізу виконання плану механізованих робіт показники доцільно згрупувати у відповідну таблицю 8.

 
Таблиця 8

Виконання плану механізованих робіт

Назва робіт

Одиниця виміру

2006 р. звіт

2007 р.

Звіт 2007 р., % до

план

звіт

плану 2002 р.

звіту 2001 р.

Рубання догляду (освітлення, прочищення, прорідження)

м3

1115

1320

1279

96,8

114,7

Прохідні і санітарні рубання

м3

13840

10148

12567

123,8

90,8

Трелювання деревини

м3

5760

5920

6140

103,7

106,6

Посадка лісу

га

245

258

244

94,5

99,6

Догляд за лісовими культурами

га

1470

1610

1715

106,5

116,6

Підготовка ґрунту під лісові культури, розсадники, плантації

га

255

274

259

94,5

101,5

Закладення розсадників

га

1,5

2,2

2,5

113,6

166,6

Наземні винищувальні заходи боротьби із шкідниками

га

108

108

100


Із даних таблиці 8 видно, що обсяг виконаних в 2006 р. механізованих робіт більший від обсягу 2005 р., за винятком прохідних і санітарних рубань. Разом з тим план у 2006 р. був виконаний не за всіма показниками. Так, на 96,8 % виконаний план механізації робіт з рубань догляду (освітлення, прочищення, прорідження); на 94,5 % — посадці лісу; на 94,5 % — підготовці ґрунту, що характеризує недостатню роботу держлісгоспу в цьому напрямку. Негативне явище у невиконанні плану механізованих робіт на рубаннях догляду, на посадці лісу і підготовці ґрунту під лісові культури привели до збільшення витрат на одиницю виконаних робіт таблиці 8.

Таблиця 8 Зміна витрат Невиконання плану механізованих робіт негативно вплинуло на роботу підприємства, збільшивши витрати праці на 1048 людино-днів і коштів — на суму 3482 грн. Наведені розрахунки свідчать, що на даному підприємстві є значні резерви з підвищення ефективності виробництва. Керівникові держлісгоспу необхідно уважніше віднестися до розробки організаційно-технічних засобів для підвищення рівня механізації робіт і контролювати їх виконання.

Аналіз витрат на одиницю виконуваних робіт і на весь обсяг лісогосподарської програми тісно пов'язаний з використанням плану щодо лісового доходу. Як відомо, лісовий дохід є однією із статей, за допомогою якої частково покриваються витрати на лісове господарство з державного бюджету, а тому держлісгоспи зобов'язані приймати всі невідкладні заходи з його виконання. Аналіз лісового доходу проводиться за наступними показниками таблиці 9.

Як видно з таблиці 9, план загальної суми лісового доходу виконаний на 102,1 %. Разом з тим виконання його відбувалося, головним чином, за рахунок штрафів за порушення правил користування лісом. У той же час попнева плата виконана всього на 95,4 %, не повернута також заборгованість з лісового доходу за минулі роки.

Таблиця 9

Виконання плану надходження лісового доходу, тис. грн.

Статті доходу

План

Фактично надійшло

Виконання, %

Попнева плата за деревину поточного року

181,4

173,2

95,4

Плата за продукти побічного користування

17,3

16,7

96,5

Стягнення заборгованості з лісового доходу за минулі роки

12,2

10,8

88,5

Штрафи і неустойки


14,7


Разом

210,9

102,1


Порівняння доходів і видатків з бюджетної діяльності держлісгоспу дасть можливість визначити остаточний результат фінансової діяльності за наступною схемою:

А. Витрати, тис. грн. Б. Доходи, тис. грн.

Всього витрат — 308,9 Внесено власних коштів — 97,4 Лісовий дохід 215,4 Разом доходів — 312,8

Доходи держлісгоспу за рахунок бюджету в поточному році перевищують загальні витрати на 3,9 тис. грн. (312,8 - 308,9).

При проведенні аналізу лісового доходу необхідно врахувати зміни запасів деревини і незавершеного виробництва. Якщо, наприклад, в поточному році запаси деревини в незавершеному виробництві збільшилися на 73 тис. грн. у цінах, за якими обраховують собівартість, а за таксовими цінами — на 77,4 тис. грн., то економічний ефект виробництва, що фінансується за рахунок бюджетних асигнувань, становитиме 81,3 тис. грн. (3,9 + 77,4). Виключивши з цієї суми амортизаційні відрахування, які склали при середній нормі амортизації 5,5 тис. грн., отримаємо чистий дохід 75,8 тис. грн. (81,3 - 5,5), що від загальних витрат з урахуванням амортизації 314,4 (308,9 + 5,5) становитиме 24,1 %.

ВИСНОВКИ

Фінансові ресурси як важливий чинник ефективного функціонування підприємства (галузі) посідають значне місце в управлінні виробництвом. Фінансові служби покликані постійно забезпечувати фінансовими ресурсами процеси виробництва й реалізації продукції, домагатися найраціональнішого використання фінансових ресурсів, слідкувати за додержанням у всіх ланках виробництва й усіма функціональними підрозділами підприємств фінансової дисципліни. Фінансова дисципліна включає в себе обов'язок підприємств і посадових осіб дотримуватися режиму економії у використанні матеріальних, трудових і фінансових ресурсів, норм і нормативів витрат, затверджених фінансових планів, а також виконання зобов'язань перед державним бюджетом, банками, постачальниками і споживачами, іншими контрагентами.

В господарській практиці діяльність, спрямована на забезпечення виробництва фінансовими ресурсами і здійснення контролю за дотриманням фінансової дисципліни, називається фінансовою роботою.

Як правило, фінансова робота на підприємстві організовується фінансовим відділом, що є самостійним структурним підрозділом. Керівник цього відділу безпосередньо підлягає керівникові підприємства і разом з ним несе відповідальність за фінансову дисципліну і фінансовий стан підприємства, представляє підприємство у фінансових, кредитних та інших органах. На невеликих підприємствах, де немає самостійного фінансового відділу, цю роботу виконує фінансовий сектор (бюро, група), що створюється у складі бухгалтерії, фінансово-збутового відділу чи іншого підрозділу підприємства, керівник якого в такому разі несе відповідальність за фінансову роботу підприємства.

Фінансова робота на підприємстві дуже різноманітна й багатогранна, але умовно її можна згрупувати за напрямами таким чином:

•фінансове планування;

•оперативна фінансова робота;

•контрольно-аналітична робота.

Відповідно структура фінансового відділу підприємства будується орієнтовно за таким принципом (рис. 1).

На підприємствах зі значним обсягом зовнішньоекономічних зв'язків створюється група (сектор) валютних розрахунків і валютного регулювання.

Контроль за використанням фінансових ресурсів може бути ефективним, якщо він охоплює всі ланки фінансової діяльності підприємства: формування витрат на виробництво, надходження виручки від реалізації, використання грошових нагромаджень, формування й використання коштів на створення основних і оборотних засобів. Причому цей контроль має бути безперервним і доповнюватися комплексним аналізом фінансового стану підприємства.

Для виконання своїх функцій з управління фінансовими ресурсами і контролю за їх раціональним використанням фінансова служба підприємства виконує необхідні розрахунки й на їх основі вносить обґрунтовані пропозиції керівництву підприємства про розподіл наявних фінансових ресурсів між виробничими структурними підрозділами (цехи, дільниці, бригади основного і допоміжного виробництва), функціональними службами (відділи матеріально-технічного постачання, збуту, головного механіка, головного технолога тощо); розробляє поточні та оперативні фінансові плани та інші планово-фінансові документи; вишукує резерви збільшення прибутку й надходження інших фінансових ресурсів для забезпечення потреб підприємства у коштах на фінансування виробництва, капітальних вкладень, соціально-культурних потреб; здійснює контроль за виконанням показників фінансового плану підрозділами й підприємством у цілому, а також за недопущенням використання фінансових ресурсів на непродуктивні витрати; організовує партнерські відносини з комерційними банками; здійснює оперативний контроль за надходженням грошових коштів у ході реалізації підприємством своєї продукції, послуг, за своєчасним вирішенням суперечок у сфері розрахунків з покупцями та постачальниками; забезпечує всю роботу по виконанню фінансових зобов'язань підприємства перед державним бюджетом щодо внесення податків, інших (неподаткових) платежів, перед позабюджетними фондами, банками, постачальниками сировини, матеріалів і послуг, робітниками і службовцями (заробітна платня, виплати соціального страхування тощо); разом з іншими економічними (відділи планово-економічний, праці і заробітної плати), виробничими і технічними підрозділами комплексно аналізує господарсько-фінансову діяльність підприємства та його окремих структурних підрозділів, у процесі чого виявляються причини невиконання планів і завдань з виробництва продукції, її собівартості, валових доходів і валових витрат, прибутку, причини й винуватці непродуктивних витрат і витрат, що призводять до збитків і зниження рентабельності роботи підприємства, намічаються шляхи подолання цих причин; бере активну участь у заходах, спрямованих на запровадження внутрішнього комерційного розрахунку на підприємстві, колективного підряду в цехах, відділах та інших службах; вивчає стан фінансового ринку країни й регіону для планування і прийняття рішень в інвестиційній сфері (емісія і придбання акцій, облігацій, інших цінних паперів, залучення банківських кредитів тощо).

Такий великий обсяг повсякденної роботи, який виконує апарат фінансової служби підприємства, природно, потребує залучення значного масиву інформації — планово-виробничої, бухгалтерської, платіжно-розрахункової, договірно-правової, маркетингової. В сучасних умовах подальше вдосконалення фінансової роботи і поглиблення на цій основі контролю за раціональним використанням фінансових ресурсів відбуваються на базі впровадження електронно-обчислювальної техніки, моделювання фінансових процесів і створення автоматизованих систем управління (АСУ) фінансами. АСУ фінансами створює умови для різкого скорочення обсягу технічної роботи, підвищення оперативності, точності та якості управлінських рішень із фінансових питань.

Ефективна організація фінансової роботи на підприємстві в ринкових умовах неможлива, якщо фахівці всіх економічних служб, насамперед фінансової, нездатні швидко й кваліфіковано орієнтуватись у вкрай динамічному фінансовому правовому полі України. Тому неодмінною умовою успішного функціонування підприємства є тісна координація роботи його фінансової служби (як, зрештою, й інших функціональних підрозділів) з юридичною службою.

Список використаної літератури

1. Буряк П.Ю., Римар М.В., Биць М.Т. Фінансово-економічний аналіз: ВД „професіонал”, 2004. – 528 с.

2. Бандурка О.М., Коробов М.Я., Орлов П.І., Петрова К.Я. Фінансова діяльність підприємства: Либідь, 2002. – 384 с.

3. Єлейко Я.І., Кандиба О.М., Лапішко М.Л., Смовженко Т.С. Основи фінансового аналізу: Навч. Посібник НБУ, Львів, 2000. – 142 с.

4. Кар пінський Б.А., Герасименко О.В. Фінансова система: Центр навчальної літератури, 2003. – 184 с.

5. Сопко В.В., Завгородній В.П. Організація бухгалтерського обліку, економічного контролю та аналізу: КНЕУ, 2000. – 258 с.

6. Ушакова Н.Г., Помінова І.І. Соціально-економічні типи країн: Професіонал,2004. – 304 с.

Доповідь до курсової роботи

В організаційній та управлінській роботі підприємств діяльність займає особливе місце. Від неї багато в чому залежить своєчасність та повнота фінансового забезпечення виробничо-господарської діяльності та розвитку підприємства, виконання фінансових зобов’язань перед державою та іншими суб’єктами господарювання.

Фінансова діяльність – це система використання різних форм і методів для фінансового забезпечення функціонування підприємств та досягнення ними поставлених цілей, тобто це та практична фінансова робота, що забезпечує життєдіяльність підприємства, поліпшення її результатів.

Спираючись на опрацьовані фінансові показники, складають перспективні, поточні та оперативні фінансові плани. Поточний фінансовий план – у формі балансу доходів та витрат грошових коштів, оперативний – у формі платіжного календаря.

Аналіз та контроль фінансової діяльності підприємства – це діагноз його фінансового стану, що уможливлює визначення недоліків та прорахунків, виявлення та мобілізацію внутрішньогосподарських резервів, збільшення доходів та прибутків, зменшення витрат виробництва, підвищення рентабельності, поліпшення фінансово-господарської діяльності підприємства в цілому. Матеріали аналізу використовуються в процесі фінансового прогнозування, планування та управління.

Підприємство має опрацювати таку систему показників, з допомогою якої воно змогло б із достатньою точністю оцінити поточні та стратегічні можливості підприємства.

Фінансове прогнозування та планування є однією з найважливіших ділянок фінансової роботи підприємства. На цій стадії фінансової роботи визначається загальна потреба в грошових коштах забезпечення нормальної виробничо-господарської діяльності та можливість одержання таких коштів.

За ринкових умов підприємство самостійно визначає напрямки та розмір використання прибутку, який залишається в його розпорядженні після сплати податків. Метою складення фінансового плану є визначення фінансових результатів на підставі прогнозування величини фінансових показників: власних оборотних коштів, амортизаційних відрахувань, прибутку, суми податків.

Планування виручки є необхідним для розробки плану прибутку від реалізації продукції, визначення суми планових платежів у бюджет. Від обґрунтованості та правильності розрахунку виручки великою мірою залежить також реальність основного джерела надходження коштів та розмір запланованого прибутку.

Мета планування витрат – визначення можливості най економнішого витрачання матеріальних, трудових та грошових ресурсів на одиницю продукції. Зменшення витрат виробництва та обороту є важливим фактором збільшення ефективності виробництва. Зниження собівартості за рахунок економії сировини, матеріалів, палива, енергії та живої праці дає змогу виробити значну кількість додаткової продукції, збільшити прибуток та рентабельність підприємств, створює реальні можливості для самофінансування. Скорочення витрат на виробництво одиниці продукції є матеріальною підставою для зниження цін на неї, а отже, і прискорення обертання оборотних коштів.

Фінансові ресурси як важливий чинник ефективного функціонування підприємства (галузі) посідають значне місце в управлінні виробництвом. Фінансові служби покликані постійно забезпечувати фінансовими ресурсами процеси виробництва й реалізації продукції, домагатися найраціональнішого використання фінансових ресурсів, слідкувати за додержанням у всіх ланках виробництва й усіма функціональними підрозділами підприємств фінансової дисципліни. Фінансова дисципліна включає в себе обов'язок підприємств і посадових осіб дотримуватися режиму економії у використанні матеріальних, трудових і фінансових ресурсів, норм і нормативів витрат, затверджених фінансових планів, а також виконання зобов'язань перед державним бюджетом, банками, постачальниками і споживачами, іншими контрагентами.

В господарській практиці діяльність, спрямована на забезпечення виробництва фінансовими ресурсами і здійснення контролю за дотриманням фінансової дисципліни, називається фінансовою роботою.

На підприємствах зі значним обсягом зовнішньоекономічних зв'язків створюється група (сектор) валютних розрахунків і валютного регулювання.

Контроль за використанням фінансових ресурсів може бути ефективним, якщо він охоплює всі ланки фінансової діяльності підприємства: формування витрат на виробництво, надходження виручки від реалізації, використання грошових нагромаджень, формування й використання коштів на створення основних і оборотних засобів. Причому цей контроль має бути безперервним і доповнюватися комплексним аналізом фінансового стану підприємства.

Ефективна організація фінансової роботи на підприємстві в ринкових умовах неможлива, якщо фахівці всіх економічних служб, насамперед фінансової, нездатні швидко й кваліфіковано орієнтуватись у вкрай динамічному фінансовому правовому полі України. Тому неодмінною умовою успішного функціонування підприємства є тісна координація роботи його фінансової служби (як, зрештою, й інших функціональних підрозділів) з юридичною службою.

Похожие работы на - Особливості організації фінансів підприємств в сучасних умовах

 

Не нашли материал для своей работы?
Поможем написать уникальную работу
Без плагиата!
Без нейросетей!