Планирование инвестиций на предприятии. Оценка капитальных активов

  • Вид работы:
    Контрольная работа
  • Предмет:
    Финансовый менеджмент, финансовая математика
  • Язык:
    Русский
    ,
    Формат файла:
    MS Word
    484,55 kb
  • Опубликовано:
    2010-05-27
Вы можете узнать стоимость помощи в написании студенческой работы.
Помощь в написании работы, которую точно примут!

Планирование инвестиций на предприятии. Оценка капитальных активов

САМАРСКИЙ ИНСТИТУТ БИЗНЕСА И УПРАВЛЕНИЯ

Кафедра Экономики

КОНТРОЛЬНАЯ РАБОТА

Дисциплина: Инвестиции

Тема: 1.Планирование инвестиций на предприятии

2.Модель оценки капитальных активов (Модель Шарпа)

Выполнил: Фатина Яна Игоревна

студент 3 курса группа: ФС 307-3,5с

Проверил преподаватель: Старикова

Самара 2010 г.

Содержание

1. Планирование инвестиций на предприятии

2. Модель оценки капитальных активов (Модель Шарпа)

Список литературы

Приложение А

Приложение Б

1. Планирование инвестиций на предприятии

Инвестиционная политика предприятия. Термин «политика» характеризует совокупность целей и задач стратегического и тактического характера, а также механизм их реализации в какой-либо сфере деятельности (бизнеса).

Инвестиционная политика предприятия — составная часть общей экономической стратегии, которая определяет выбор и способы реализации наиболее рациональных путей обновления и расширения его производственного и научно-технического потенциала. Данная политика часто направлена на обеспечение выживания в сложной рыночной среде, на достижение финансовой устойчивости и создание условий для будущего развития.

Формирование инвестиционной политики предприятия представлено в Приложении А.

При ее разработке необходимо предусмотреть:

• достижение экономического, научно-технического и социального эффекта от рассматриваемых мероприятий — для каждого объекта инвестирования используют специфические методы оценки эффективности, а затем отбирают те проекты, которые при прочих равных условиях обеспечивают предприятию максимальную эффективность (рентабельность) инвестиций;

• получение предприятием наибольшей прибыли на вложенный капитал при минимальных инвестиционных затратах (капиталовложениях);

• рациональное распоряжение средствами на реализацию неприбыльных инвестиционных проектов, то есть снижение расходов на достижение соответствующего социального, научно-технического и экологического эффекта реатизации данных проектов;

• обеспечение ликвидности долгосрочных инвестиций, то есть снижение периода их окупаемости;

• соответствие мероприятий, которые предусмотрено осуществить в рамках инвестиционной политики, законодательным и нормативным актам РФ, регулирующим инвестиционную деятельность. Влияние коммерческих рисков (строительных, производственных, маркетинговых и пр.) может быть оценено через вероятное изменение ожидаемой доходности инвестиционных проектов и соответствующее снижение их эффективности. • использование предприятием для повышения эффективности инвестиций государственной поддержки в форме бюджетных кредитов, гарантий Правительства РФ, налоговых льгот, предоставляемых органами представительной и исполнительной власти субъектов РФ, и т.д.;

• привлечение льготных кредитов международных финансово-кредитных организаций и частных иностранных инвесторов;

• минимизацию инвестиционных Такие риски поддаются снижению посредством самострахования (создания инвесторами финансовых резервов), диверсификации инвестиционного портфеля, лимитирования, приобретения дополнительной информации о предмете инвестирования и др. От некоммерческих рисков (стихийных бедствий, аварий, беспорядков) защищают гарантии Правительства РФ и страхование реальных инвестиций.

Для обеспечения ликвидности инвестиций следует взвесить вероятность значительных изменений внешней инвестиционной среды, конъюнктуры рынка и стратегии развития предприятия в предстоящем году. Подобные изменения способны существенно снизить доходность отдельных объектов инвестирования, повысить уровень рисков, что окажет негативное влияние на общую инвестиционную привлекательность предприятия-проектоустроителя. В силу воздействия этих факторов часто приходится принимать решения о своевременном выходе из неэффективных проектов и реинвестировании высвобождаемого капитала. Вот почему целесообразно оценивать ликвидность капиталовложений в каждый объект. По итогам оценки проводят ранжирование проектов по критерию их ликвидности (срокам окупаемости капитальных затрат). Для реализации отбирают те из них, которые имеют максимальную ликвидность (минимальный период окупаемости капитальных затрат).

При разработке инвестиционной политики учитывают следующие факторы:

• финансовое состояние предприятия (устойчивое, неустойчивое, кризисное);

• технический уровень производства, наличие незавершенного строительства и не установленного оборудования;

• возможность получения оборудования по лизингу;

• наличие собственных финансовых ресурсов, возможности получения недорогих кредитов и займов;

• конъюнктуру рынка капитала;

• льготы, получаемые инвестором от государства;

• коммерческую и бюджетную эффективность намечаемых к реализации инвестиционных проектов;

• условия страхования и получения гарантий от некоммерческих рисков;

• налоговое окружение — налоги и другие обязательные платежи;

• условно-постоянные и условно-переменные издержки предприятия, в том числе на производство и сбыт продукции;

• цены на продукцию и выручку от продаж.

Потребность в ресурсах для реализации инвестиционной политики предприятия определяют с учетом его производственного и научно-технического потенциала, необходимого для выпуска продукции (оказания услуг) в соответствии с потребностями рынка.

При оценке рынка продукции принимают во внимание:

• географические границы рынка реализации данной продукции;

• общий объем продаж и его динамику за последние три года;

• динамику потребительского спроса, прогнозируемого на период реализации инвестиционной политики;

• уровень конкуренции на рынке;

• технический уровень продукции и возможности его повышения за счет реализации конкретных инвестиционных проектов.

Потребность в инвестиционных ресурсах должна соответствовать затратам, которые предприятие может понести с начала реализации инвестиционной политики. Стоимость объектов незавершенного строительства, оплаченного неустановленного оборудования, иные капитальные затраты истекших лет не включают в общий объем капиталовложений предстоящего финансового года.

При разработке инвестиционной политики рекомендуют определять общий объем капиталовложений, способы рационального использования собственных средств и возможности привлечения дополнительных финансовых ресурсов с финансового рынка. Инвестиционные проекты в рамках долгосрочной стратегии предприятия целесообразно согласовывать между собой по объемам выделяемых ресурсов и срокам реализации, исходя из достижения максимального общего экономического эффекта (дохода или прибыли) в процессе осуществления инвестиционной политики. Среднесрочную инвестиционную политику разрабатывают на период один — три года, а долгосрочную — на длительную перспективу (свыше трех лет).

С точки зрения управления реальными инвестициями (в рамках инвестиционной политики) можно выделить следующие этапы (шаги) инвестиционного процесса на предприятии:

• мотивация инвестиционной деятельности;

• программирование инвестиций (программа развития предприятия);

• обоснование целесообразности выбранной инвестиционной программы (оценка эффективности, рисков, ресурсного обеспечения);

• страхование реальных инвестиций;

• регулирование инвестиционного процесса;

• планирование инвестиций (составление ТЭО, бизнес-плана проекта);

• финансовое обеспечение инвестиционной деятельности (разработка капитального бюджета);

• проектирование (разработка проектно-сметной документации по отдельным объектам);

• обеспечение реальных инвестиций (капиталовложений) материально-техническими ресурсами;

• освоение реальных инвестиций (процесс производства строительно-монтажных работ);

• мониторинг процесса освоения реальных инвестиций (оперативное управление строительным циклом);

• сдача готовых объектов в эксплуатацию;

• освоение проектных мощностей;

• оценка результатов инвестирования (эффективности реализованных инвестиционных проектов).

Данные этапы могут быть изменены исходя из масштабов инвестиционной деятельности предприятия и характера реализуемых проектов.

Инвестиционная политика, определенная специалистами предприятия, подлежит рассмотрению и утверждению его руководством. Ключевые положения данной политики рекомендуют учитывать при технико-экономическом обосновании инвестиционных проектов, выборе различных источников их финансирования, привлечении к реализации проектов сторонних организаций в порядке долевого вклада в строительство.

Эффективность инвестиционной политики оценивают по сроку окупаемости инвестиций, который определяют на основе данных бизнес-плана и предварительных расчетов по обоснованию инвестиционных проектов.

Инвестиционное планирование в системе бюджетного управления.

Планирование как важное звено управления предусматривает подготовку и принятие на базе выбранных параметров управленческих решений, связанных с будущим развитием предприятия. Основное требование, предъявляемое к системе планирования, — это его целенаправленность, то есть систематическая постановка и подготовка необходимых для ее достижения мероприятий. Иными словами, это процесс разработки и принятия различных планов (производственных, финансовых и инвестиционных).

• прогноз денежных потоков (притока и оттока денежных средств);

• определение необходимого объекта капиталовложений по предприятию в целом и по отдельным инвестиционным проектам;

• прогноз источников финансирования капиталовложений (внутренних и внешних).

В отличие от финансового, под инвестиционным планированием понимают подготовку и принятие решений относительно целей, сроков, затрат и финансовых результатов по реализуемым проектам, включенным в капитальный бюджет.

Инвестиционное планирование имеет ряд особенностей, которые следует учитывать в процессе принятия управленческих решений.

1. Инвестиционные объекты планируют нерегулярно, поэтому доходы от них получают также неравномерно — после ввода их в эксплуатацию и выхода на проектную мощностью. Поэтому необходимо учитывать временные сдвиги платежей по реальным инвестициям и денежных поступлений от них.

2. Продолжительность планового периода инвестирования определяют техническим и экономическим сроками жизни проекта, поэтому важно установить период (момент времени), в котором соотношение денежных выплат и поступлений будет сопоставимым.

3. Информация, связанная с планированием долгосрочных инвестиций по периодам (шагам расчетного периода), поступает в распоряжение руководства предприятия. Она носит закрытый характер. Если при планировании инвестиций по конкретным проектам необходимо принять решение о внешнем финансировании, то такая информация (в составе бизнес-плана проекта) может быть предоставлена внешним пользователям (инвесторам и кредиторам).

4. Высокий уровень риска, связанный с принятием и реализацией долгосрочных инвестиционных проектов.

Основой планирования и его отправной точкой является стратегический план, в котором отражают цели, стратегию развития предприятия на длительную перспективу, способы ее реализации, обеспечивающие финансовую устойчивость, платежеспособность, прибыльность его работы и другие параметры на весь период планирования. В этом документе дают подробное структурированное описание последовательности действий для достижения долгосрочных целей, поддающихся количественному измерению (например, рост объема продаж и прибыли, рентабельности активов, собственного капитала и инвестиций, курсовой стоимости акций)

Взаимосвязь между стратегическим планом и другими его видами можно проследить в Приложении Б.

Из приведенной схемы можно сделать вывод, что инвестиционный план тесно связан со стратегическим и финансовым планом, а инвестиционный бюджет — с операционными и финансовыми бюджетами предприятия.

Характерно отметить, что инвестиционную деятельность предприятий осложняют: отсутствие стратегии развития, структурированного и комплексного подхода к организации инвестиционного процесса, а также его недостаточная экономическая обоснованность. Поэтому для обеспечения реализации стратегических целей предприятиям-застройщикам целесообразно внедрять комплексную систему планирования, анализа и контроля основных показателей инвестиционной деятельности на средне- и долгосрочную перспективу.

Для более эффективного управления инвестиционными проектами планы их реализации разбивают на несколько бюджетов, имеющих более короткий срок исполнения (месяц, квартал, год), что предоставляет более широкую возможность по корректировке сводного плана реального инвестирования. Успешность внедрения системы инвестиционного планирования и бюджетирования зависит прежде всего от качества менеджмента на предприятии. Поэтому для того чтобы добиться высокого уровня управления инвестиционной деятельностью целесообразно внедрять такую управляющую систему, где каждому уровню управления будут четко соответствовать определенные обязанности и полномочия. В качестве такого инструмента используют систему бюджетного управления инвестиционной деятельностью, которая обеспечивает комплексный подход для координации процедур разработки, анализа, внедрения и контроля за исполнением бюджетов.

2. Модель оценки капитальных активов (Модель Шарпа)

В этой модели с помощью сравнительно простого уравнения устанавливается:

1. Связь между эффективностью рыночного портфеля (полагается, что в него входят все ценные бумаги, присутствующие на рынке) и доходностью i-ой ценной бумаги. Хорошим приближением рыночного портфеля служат фондовые индексы типа индекса S&Р500 или РТС;

2. Влияние рынка ценных бумаг на доходность и риски формируемого портфеля инвестора.

Уравнение связи доходности i-й ценной бумаги n рынка ценная бумага имеет вид:

Ri(t)=Ai+Birт (t)+Ei(t),

где Ri(t)-доходность i-й ценной бумаги в момент времени;

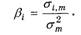
Ai- постоянный параметр (не зависит от времени), показателей, какая часть доходности i-й ценной бумаги не связана с изменениями доходности рыночного портфеля ценной бумаги rт (t);

Bi- постоянный параметр, называемый бета, показывающий чувствительность доходности 1-й ценной бумаги к изменениям доходности рыночного портфеля;

rт (t)- доходность рыночного портфеля, включающего в идеале все ценные бумаги рынка (хорошая аппроксимация — фондовый индекс типа S&Р500) в момент времени t;

Ei(t)- случайная ошибка.

Основное допущение этой модели заключается в предположении, что доходность отдельной ценной бумаги зависит в основном от доходности рынка в целом. И это допущение позволяет значительно снизить объем вычислений, что и является главным достоинством модели Шарпа. Не нужно рассчитывать корреляцию с каждым отдельным активом портфеля, а только с рыночным портфелем.

Параметр Bi (бета) определяет зависимость доходности i-й ценной бумаги Ri(t) от рыночной доходности rт (t).

При Bi > 0 — динамика доходности ценной бумаги аналогична динамике доходности рыночного портфеля. Доходность ценной бумаги возрастает при росте доходности рынка.

При Bi > 1 — этот эффект сильнее, а ценная бумага рискованнее, поскольку при падении биржевого индекса потеряет свою доходность и ценная бумага.

При Bi < 0 — эффект ценной бумаги обратен эффекту рынка. Доходность ценной бумаги возрастает при снижении доходности портфеля рынка. И наоборот.

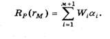
При использовании формулы для Ri(t) ожидаемая доходность портфеля из М ценных бумаг будет равна:


Ожидаемая доходность портфеля R(rт) есть сумма двух членов (см. подробный вывод, например):

 

сумма взвешенных параметров i каждой ценной бумаги — вклад в ожидаемую доходность самих ценных бумаг;

Члена


произведения портфельной беты на ожидаемую доходность рыночного портфеля, что отражает влияние на доходность портфеля из М ценных бумаг рынка. Величина


представляет собой сумму взвешенных величин «беты» Bi каждой ценной бумаги (где весом служат Wi) и называется портфельной бетой Bт. Портфельная бета отражает влияние рынка на весь инвестиционный портфель в целом.

Отметим основные этапы, которые необходимо выполнить для построения границы эффективных портфелей в модели Шарпа.

1. Выбрать М ценных бумаг, из которых формируется портфель, и определить исторический промежуток в N шагов расчета, за который будут наблюдаться значения доходности гit для каждой ценной бумаги.

2. По выбранному рыночному индексу вычислить рыночные доходности rтt для того же промежутка времени.

3. Определить величину дисперсии рыночного показателя ат2, а также значения ковариаций аiт доходностей каждой ценной бумаги с доходностью рыночного портфеля (его аппроксимацией — подходящим фондовым индексом) и найти величины Д:


4. Найти ожидаемые доходности каждой ценной бумаги Ri(ri) и доходности рыночного портфеля Rр(rт) и вычислить параметр:


5. Вычислить дисперсии случайных ошибок е..

6. Подставить эти значения в соответствующие уравнения.

После такой подстановки выяснится, что неизвестными величинами являются веса Wi ценных бумаг. Выбрав определенную величину ожидаемой доходности инвестиционного портфеля, можно найти веса ценных бумаг в портфеле, построить границу эффективных портфелей и определить оптимальный портфель.

Список литературы

1.Корчагин Ю.А., Маличенко И.П.Инвестиции. –Р-н/Д: Феникс, 2008

2.Нешитой А.С.Инвестиции. –М.: Дашков и Ко, 2007

3.Ример М.И., Касатов А.Д., Матиенко Н.Н. Экономическая оценка инвестиций. –СпБ: Питер, 2007

4.Янковский К.П. Инвестиции.- СпБ: Питер, 2008

Приложение А

Схема: Содержание и основные этапы формирования инвестиционной политики предприятия (корпорации) рисков, связанных с выполнением конкретных проектов


Приложение Б

Схема: Взаимосвязь между системой планов на предприятии, реализующем инвестиционные проекты

Похожие работы на - Планирование инвестиций на предприятии. Оценка капитальных активов

 

Не нашли материал для своей работы?
Поможем написать уникальную работу
Без плагиата!
Без нейросетей!